Проектирование тепловых сетей промышленного предприятия г. Тамбова

  • Вид работы:
    Курсовая работа (т)
  • Предмет:
    Физика
  • Язык:
    Русский
    ,
    Формат файла:
    MS Word
    1,51 Мб
  • Опубликовано:
    2015-06-08
Вы можете узнать стоимость помощи в написании студенческой работы.
Помощь в написании работы, которую точно примут!

Проектирование тепловых сетей промышленного предприятия г. Тамбова














ПОЯСНИТЕЛЬНАЯ ЗАПИСКА

Проектирование тепловых сетей промышленного предприятия г. Тамбова


Введение

тепловой вентиляция водоснабжение пьезометрический

Тепловое потребление - одна из основных статей топливно-энергетического баланса нашей страны. На удовлетворение тепловой нагрузки страны расходуется ежегодно более 600 млн. т.у.т., т.е. около 30% всех используемых первичных топливно-энергетических ресурсов. Под теплоснабжением понимают систему обеспечения теплом зданий и сооружений. Централизованные системы теплоснабжения обеспечивают наиболее экономное использование топлива и имеющие наиболее высокие экономические показатели.

Теплоснабжение является крупной отраслью народного хозяйства. В условиях ограниченных топливных ресурсов рациональное и экономичное расходование их представляет задачу большой государственной важности. Значительная роль в решении этой задачи отводится централизованному теплоснабжению и теплофикации, которые тесно связаны с электрификацией и энергетикой.

Централизованная система теплоснабжения состоит из следующих основных элементов: источника тепла, тепловых сетей и местных систем потребления - систем отопления, вентиляции и горячего водоснабжения.

Развитие теплофикации способствует решению многих важных народнохозяйственных и социальных проблем, таких как повышение тепловой и общей экономичности энергетического производства, обеспечение экономичного и качественного электро- и теплоснабжения жилищно-коммунальных и промышленных комплексов, снижение трудозатрат в тепловом хозяйстве, улучшение экологической обстановки в городах и промышленных районах.


Исходные данные для проектирования

Промышленное предприятие, предоставленное для проектирования тепловых сетей, расположенное на площади 81 400 м2 и имеет следующие объекты и их планировочные размеры:

Механический цех №1/бытовка - F = 80 x 49 м2, V = (30,0/3,9)*103 м3;

Сборочный цех №2/бытовка - F = 120 x 71 м2, V = (94/17)*103 м3;

Сборочный цех №3/бытовка - F = 94 x 55 м2, V = (45/2,9)*103 м3;

Механический цех №4/бытовка - F = 94 x 30 м2, V = (34,2/4,4)*103 м3;

Литейный цех /бытовка - F = 33 x 30 м2, V = (5,4/1,13)*103 м3;

Ремонтно-инструментальный цех/бытовка - F = 30 x 10 м2, V = (14,6/2,2)*103 м3;

Центральное конструкторское бюро - F = 63 x 14 м2, V = 31,1*103 м3;

Административный корпус - F = 53 х 16 + 26 х 18 м2, V = 2,93*103 м3;

Центральная заводская лаборатория - F = 40 x 17 м2, V = 4,21*103 м3;

Компрессорная - F = 16,5 x 12,5 м2, V = 2,11*103 м3;

Два склада - F = 32 x 17 м2, V = 4*103 м3;

Гараж - F = 17 x 10 м2, V = 0,65*103 м3;

Диспетчерская - F = 8 x 5 м2, V = 0,16*103 м3;

Внутризаводской транспорт - F = 28 x 10 м2, V = 1,0*103 м3;

Вохр (военизированная охрана) - F = 10 x 5 м2, V = 0,115*103 м3.

Климатические условия в холодный период работы предприятия:

Район строительства: Тамбов

Температура воздуха наиболее холодной пятидневки: -28°С

Максимальная из средних скоростей ветра: 4,7 м/с

Продолжительность периода со среднесуточной температурой воздуха ниже 8°С: 202 дня

Средняя месячная относительная влажность воздуха наиболее холодного месяца: 84%

Средняя температура воздуха: -4,2°С

Расчетная температура наружного воздуха для проектирования вентиляции: -15°С



1.      Расчет тепловых нагрузок по укрупненным характеристикам

Тепловые нагрузки на отопление и вентиляцию зависят от температуры наружного воздуха, скорости ветра, влажности. При перспективном строительстве расчетные расходы тепла рекомендуется принимать из типовых проектов с соответствующей корректировкой по климатическим условиям района строительства. Если проектные материалы отсутствуют, то расходы тепла на отопление и вентиляцию допускается определять по укрупненным показателям.

Если объемы здания известны, то расчетные тепловые нагрузки систем отопления определяют по формуле [1]:

, кВт (1)

где  - коэффициент инфильтрации, учитывающий долю расхода тепла на подогрев наружного воздуха, поступающего в помещение через неплотности ограждения; - удельная тепловая характеристика здания на отопление, Вт/м3*°С;  - объем здания по наружному обмеру, м3; - температура воздуха в помещении,°С; - расчетная температура наружного воздуха для проектирования системы отопления,°С;  - добавочные потери на инфильтрацию.

Добавочные потери на инфильтрацию можно найти по формуле:

 (2)

Для определения коэффициента инфильтрации можно пользоваться формулой [1]:

 (3)

где  - коэффициент учитывающий степень остекления. Для общественных зданий  = (0,008…0,010), для производственных  = (0,035…0,040); H - высота здания, м;  = 4,7 м/с - скорость ветра по СНиП.

Коэффициент инфильтрации для жилых и общественных зданий можно принять  [2].

.1 Расчет тепловых нагрузок производственных зданий

Для определения тепловой нагрузки производственными зданиями предприятия сначала надо найти , а также  по формулам (3) и (2):

 

где  = - 28°С;  - температура воздуха в помещении, которая зависит от назначения помещения и выбирается из справочной литературы, С.


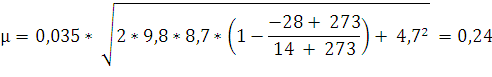
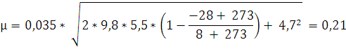
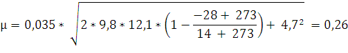
где  = 0,035 - коэффициент учитывающий степень остекления;  - высота здания, м;  - удельная тепловая характеристика здания на отопление, которая определяется по назначению и объему здания по справочной литературе, Вт/м3*°С.

Определим тепловую нагрузку каждым из объектов:

Механический цех №1:

F = 80 x 49 = 3920 м2, V = 30,0*103 м3, = 30000/3920 = 7,7 м.


Объем цеха без бытовки составляет:

Vц = (30,0 - 3,9)*103 =26,1 м3;

 = 14°С - для цеха с незначительным тепловыделением (12…16°С)

 = 0,46 Вт/м3*°С - по таблице «удельные теплопотери зданий в зависимости от их назначения» [2].

 

Сборочный цех №2:

F = 120 x 71 = 8520 м2, V = 94*103 м3,= 94000/8520 = 11 м.

Объем цеха без бытовки составляет:

Vц = (94 - 17)*103 = 77 м3

 = 14°С - для цеха с незначительным тепловыделением (12…16°С)

 = 0,38 Вт/м3*°С - по таблице «удельные теплопотери зданий в зависимости от их назначения» [2].

 

Сборочный цех №3:

F = 94 x 55 = 5170 м2, V = 45*103 м3,= 45000/5170 = 8,7 м.

Объем цеха без бытовки составляет:

Vц = (45,0 - 2,9)*103 =42,1 м3

 = 14°С - для цеха с незначительным тепловыделением (12…16°С)

 = 0,45 Вт/м3*°С - по таблице «удельные теплопотери зданий в зависимости от их назначения» [2].

 

Механический цех №4:

F = 94 x 30 = 2820 м2, V = 34,2*103 м3,= 34200/2820 = 12,1 м.

Объем цеха без бытовки составляет:

Vц = (34,2 - 4,4)*103 =29,8 м3

 = 14°С - для цеха с незначительным тепловыделением (12…16°С)

 = 0,46 Вт/м3*°С - по таблице «удельные теплопотери зданий в зависимости от их назначения» [2].

 

Литейный цех:

F = 33 x 30 = 990 м2, V = 5,4*103 м3,= 5400/990 = 5,5 м.

Объем цеха без бытовки составляет:

Vц = (5,4 - 1,13)*103 =4,27 м3

 = 8°С - для цеха со значительным тепловыделением (5…10°С)

 = 0,2 Вт/м3*°С - по таблице «удельные теплопотери зданий в зависимости от их назначения» [2].

 

Ремонтно-инструментальный цех:

F = 30 x 10 =300 м2, V = 14,6*103 м3,= 14600/300 = 45 м.

Объем цеха без бытовки составляет:

Vц = (14,6 - 2,2)*103 =12,4 м3

 = 14°С - для цеха с незначительным тепловыделением (12…16°С)

 = 0,55 Вт/м3*°С - по таблице «удельные теплопотери зданий в зависимости от их назначения» [2].

 

Компрессорная:

F = 16,5 x 12,5 = 206 м2, V = 2,11*103 м3,= 2110/206 = 10 м.

 = 10°С - для цеха со значительным тепловыделением (5…10°С)

 = 0,41 Вт/м3*°С - по таблице «удельные теплопотери зданий в зависимости от их назначения» [2].

 

Гараж:

F = 17 x 10 =170 м2, V = 0,65*103 м3,= 650/170 = 3,8м.

 = 16°С - для цеха с незначительным тепловыделением (12…16°С)

 = 1,34 Вт/м3*°С - по таблице «удельные теплопотери зданий в зависимости от их назначения» [2].

 

Два склада:

F = 32 x 17 =544 м2, V = 4*103 м3,= 4000/544 = 7,4 м.

Складам не требуется отопление и вентиляция.

Внутризаводской транспорт:

F = 28 x 10 = 280 м2, V = 1,0*103 м3,= 1000/280 = 3,6 м.

 = 16°С - для цеха с незначительным тепловыделением (12…16°С)

 = 1,34 Вт/м3*°С - по таблице «удельные теплопотери зданий в зависимости от их назначения» [2].

 


1.2 Расчет тепловых нагрузок служебных зданий

Для определения тепловой нагрузки служебными зданиями предприятия сначала надо найти , а также  по формуле (2):

 

где  = - 28°С;  - температура воздуха в помещении, которая зависит от назначения помещения и выбирается из справочной литературы,°С;  - удельная тепловая характеристика здания на отопление, которая определяется по назначению и объему здания по справочной литературе, Вт/м3*°С.

Определим тепловую нагрузку каждым из объектов:

Бытовка механического цеха №1:

V = 3,9*103 м3;

 = 18°С - для общественного помещения;

 = 0,47 Вт/м3*°С - по таблице «удельные теплопотери зданий в зависимости от их назначения» [2].

 

Бытовка сборочного цеха №2:

V = 17*103 м3;

 = 18°С - для общественного помещения;

 = 0,47 Вт/м3*°С - по таблице «удельные теплопотери зданий в зависимости от их назначения» [2].

 

Бытовка сборочного цеха №3:

V = 2,9*103 м3;

 = 18°С - для общественного помещения;

 = 0,47 Вт/м3*°С - по таблице «удельные теплопотери зданий в зависимости от их назначения» [2].

 

Бытовка механического цеха №4:

V = 4,4*103 м3;

 = 18°С - для общественного помещения;

 = 0,47 Вт/м3*°С - по таблице «удельные теплопотери зданий в зависимости от их назначения» [2].

 

Бытовка литейного цеха:

V = 1,13*103 м3;

 = 18°С - для общественного помещения;

 = 0,47 Вт/м3*°С - по таблице «удельные теплопотери зданий в зависимости от их назначения» [2].

 

Бытовка РИЦ:

V = 2,2*103 м3;

 = 18°С - для общественного помещения;

 = 0,47 Вт/м3*°С - по таблице «удельные теплопотери зданий в зависимости от их назначения» [2].

 

Центральное конструкторское бюро:

F = 63 x 14 = 882м2, V = 31,1*103 м3,= 31100/882 = 35 м.

 = 18°С - для общественного помещения;

 = 0,3 Вт/м3*°С - по таблице «удельные теплопотери зданий в зависимости от их назначения» [2].

 

Административный корпус:

F = 53 х 16+26 х 18 =1316 м2, V = 2,93*103м3,= 2930/1316 = 2,2 м.

 = 18°С - для общественного помещения;

 = 0,45 Вт/м3*°С - по таблице «удельные теплопотери зданий в зависимости от их назначения» [2].

 

Центральная заводская лаборатория:

F = 40 x 17 = 680 м2, V = 4,21*103 м3,= 4210/680 = 6 м.

 = 18°С - для общественного помещения;

 = 0,45 Вт/м3*°С - по таблице «удельные теплопотери зданий в зависимости от их назначения» [2].

 

Диспетчерская:

F = 8 x 5 = 40 м2, V = 0,16*103 м3,= 160/40 = 4 м.

 = 18°С - для общественного помещения;

 = 0,76 Вт/м3*°С - по таблице «удельные теплопотери зданий в зависимости от их назначения» [2].

 

Вохр (военизированная охрана)

F = 10 x 5 = 50 м2, V = 0,115*103 м3,= 115/50 = 2,3 м.

 = 18°С - для общественного помещения;

 = 0,44 Вт/м3*°С - по таблице «удельные теплопотери зданий в зависимости от их назначения» [2].

 


1.3 Расчет тепловых нагрузок на вентиляцию

Расчетная тепловая нагрузка на вентиляцию отдельных зданий может быть найдена по укрупненным измерителям [1]:


, кВт (4)

где - удельная тепловая характеристика здания на вентиляцию, которая определяется по назначению и объему здания по справочной литературе, Вт/м3*°С;  - расчетная температура наружного воздуха для проектирования вентиляции,°С.

Определим тепловую нагрузку на вентиляцию каждым объектом:

Механический цех №1:

V = 26,1*103 м3;

 = 14°С - для цеха с незначительным тепловыделением (12…16°С)

 = 0,46 Вт/м3*°С - по таблице «удельные теплопотери зданий в зависимости от их назначения» [2].

Бытовка механического цеха №1:

V = 3,9*103 м3;

 = 18°С - для общественного помещения;

 = 0,33 Вт/м3*°С - по таблице «удельные теплопотери зданий в зависимости от их назначения» [2].

Сборочный цех №2:

V = 77*103 м3;

 = 14°С - для цеха с незначительным тепловыделением (12…16°С)

 = 0,37 Вт/м3*°С - по таблице «удельные теплопотери зданий в зависимости от их назначения» [2].

Бытовка сборочного цеха №2:

V = 17*103 м3;

 = 18°С - для общественного помещения;

 = 0,33 Вт/м3*°С - по таблице «удельные теплопотери зданий в зависимости от их назначения» [2].

Сборочный цех №3:

V = 42,1*103 м3;

 = 14°С - для цеха с незначительным тепловыделением (12…16°С)

 = 0,42 Вт/м3*°С - по таблице «удельные теплопотери зданий в зависимости от их назначения» [2].

Бытовка сборочного цеха №3:

V = 2,9*103 м3;

 = 18°С - для общественного помещения;

 = 0,35 Вт/м3*°С - по таблице «удельные теплопотери зданий в зависимости от их назначения» [2].

Механический цех №4:

V = 29,8*103 м3;

 = 14°С - для цеха с незначительным тепловыделением (12…16°С)

 = 0,45 Вт/м3*°С - по таблице «удельные теплопотери зданий в зависимости от их назначения» [2].

Бытовка механического цеха №4:

V = 4,4*103 м3;

 = 18°С - для общественного помещения;

 = 0,31 Вт/м3*°С - по таблице «удельные теплопотери зданий в зависимости от их назначения» [2].

Литейный цех:

V = 4,27*103 м3;

 = 8°С - для цеха со значительным тепловыделением (5…10°С)

 = 1,74 Вт/м3*°С - по таблице «удельные теплопотери зданий в зависимости от их назначения» [2].

Бытовка литейного цеха:

V = 1,13*103 м3;

 = 18°С - для общественного помещения;

 = 0,39 Вт/м3*°С - по таблице «удельные теплопотери зданий в зависимости от их назначения» [2].

Ремонтно-инструментальный цех:

V = 12,4*103 м3;

 = 14°С - для цеха с незначительным тепловыделением (12…16°С)

 = 0,3 Вт/м3*°С - по таблице «удельные теплопотери зданий в зависимости от их назначения» [2].

Бытовка ремонтно-инструментального цеха:

V = 2,2*103 м3;

 = 18°С - для общественного помещения;

 = 0,37 Вт/м3*°С - по таблице «удельные теплопотери зданий в зависимости от их назначения» [2].

Компрессорная:

V = 2,11*103 м3;

 = 10°С - для цеха со значительным тепловыделением (5…10°С)

 = 1,52 Вт/м3*°С - по таблице «удельные теплопотери зданий в зависимости от их назначения» [2].

Гараж:

V = 0,65*103 м3;

 = 16°С - для цеха с незначительным тепловыделением (12…16°С)

 = 2,33 Вт/м3*°С - по таблице «удельные теплопотери зданий в зависимости от их назначения» [2].

Внутризаводской транспорт:

V = 1*103 м3;

 = 16°С - для цеха с незначительным тепловыделением (12…16°С)

 = 2,33 Вт/м3*°С - по таблице «удельные теплопотери зданий в зависимости от их назначения» [2].

Найденные данные заносим в таблицу 1.1:

Таблица 1.1.

Назначение

Объем тыс. м3

Уд. тепл. хар. Вт/м2К

Вент. Вт/м2К

Qо, кВт

Q”в, кВт

Q, кВт



произв

быт.

произв

быт.

произв

произв

быт.

произв.


1

Механический цех №1

30

3,9

0,46

0,47

0,46

643

86

391

1120

2

Сборочный цех №2

94

17

0,38

0,47

0,37

1641

374

1011

3026

3

Сборочный цех №3

45

2,9

0,45

0,47

0,42

1046

64

547

1657

4

Механический цех №4

34,2

4,4

0,46

0,47

0,45

769

97

434

1300

5

Литейный цех

5,4

1,13

0,2

0,47

1,74

43

25

254

6

РИЦ

14,6

2,2

0,55

0,47

0,3

440

49

135

624

7

ЦКБ

-

31,1

-

0,3

-

-

438

-

438

8

Админ. корпус

-

2,93

-

0,45

-

-

62

-

62

9

ЦЗЛ

-

4,21

-

0,45

-

-

89

-

89

10

Компрессорная

2,11

-

0,41

-

1,52

46

-

80

126

11

Два склада

4

-

-

-

-

-

-

-

-

12

Гараж

0,65

-

1,34

-

2,33

48

-

47

95

13

Диспетчерская

-

0,16

-

0,76

-

-

7,5

-

7,5

14

ВЗТ

1

-

1,34

-

2,33

74

-

72

146

15

ВОХР

-

0,115

-

0,44

-

-

2,5

-

2,5

16

Сумма:






6044

2903

8947


1.4 Расчет тепловых нагрузок на ГВС

Определим тепловую нагрузку объектами завода по формуле:

 (5)

где  - расчетный расход тепла, кВт;  - количество душей, полудушей, умывальников.

Для определения расчетного расхода тепла воспользуемся таблицей 1.2:

Таблица 1.2.

Назначение

,°С

Расход G, л

Расход тепла Q, кВт



На одну точку

Для емк. подогревателя


Душ

37

40-60

215

14,9

Полудуш

37

25

135

9,3

Умывальник

25-35

3,5

30-40

1,8-2,79


Примем температуру для ГВС как для душей так и для умывальников:

 = 35°С

Тогда расход тепла на один душ и умывальник будут равны соответственно 14,9 и 2,79 кВт.

Полученные данные заносим в таблицу 1.3:

Таблица 1.3.

Назначение

Количество

Qгвс, кВт



душей, n1

умывальников, n3


1

Механический цех №1

5

3

41,4

2

Сборочный цех №2

8

4

65,8

3

Сборочный цех №3

8

4

65,8

4

Механический цех №4

5

3

41,4

5

Литейный цех

3

1

23,8

6

РИЦ

3

2

25,1

7

ЦКБ

-

6

8,4

8

Админ. корпус

-

8

11,2

9

ЦЗЛ

-

10

14

10

Компрессорная

-

-

-

11

Два склада

-

-

-

12

Гараж

-

2

2,8

13

Диспетчерская

-

-

-

14

ВЗТ

3

2

25,1

15

ВОХР

-

-

-

16

Сумма:



324,8

1.5 Расчет годового расхода тепла

Годовые расходы тепла [в МВт*ч] на отопление и вентиляцию определяются по формулам [1]:

 (6)

 (7)

где - продолжительность отопительного периода, сут.; z - усредненное за отопительный период число часов работы вентиляции в течение суток (при отсутствии данных рекомендуется z =16), ч; ,  - средние тепловые нагрузки за отопительный период для отопления и вентиляции, кВт.

Средние тепловые нагрузки за отопительный период определяем по формулам:

, кВт (8)

, кВт (9)


где  - средняя температура наружного воздуха за отопительный период,°С;  =16°С усредненная расчетная внутренняя температура.

Найдем средние тепловые нагрузки для отопления и вентиляции по формулам (8) и (9):

Подставим найденные значения в формулы (6) (7) и определим годовые расходы тепла:

 

Для установления экономического режима работы теплофикационного оборудования, выбора наивыгоднейших параметров теплоносителя, а также для других плановых и технико-экономических исследований необходимо знать длительность работы системы теплоснабжения при различных режимах в течение года. Для этой цели построим график продолжительности тепловой нагрузки (график Россандера):

Рисунок 1.1. График Россандера

n - число часов за отопительный период со среднесуточной температурой наружного воздуха, ч. Принимаем по ([4], приложение 3).

- Qо =f(tн); 2 - Qв=f(tн); 3 - Qгвс=f(n1,2,3); 4 - Q= Qо+Qв+Qгвс; 5 - n=f(tн);

6   - график продолжительности сезонной тепловой нагрузки   

2. Расчет необходимых расходов воды

2.1 Расчет расходов воды для теплоснабжения

Определим расходы воды на отопление производственными и служебными зданиями предприятия по формуле [2]:

, т/ч (10)

где  - максимальный расход тепла на отопление, кВт; С = 4,2 кДж/кг*К - удельная теплоемкость воды;  - температура воды на входе и выходе в местных систем отопления,°С.

Принимаем значения температур:

Расходы воды на вентиляцию производственными и служебными зданиями предприятия определим по формуле [2]:

, т/ч (11)

где  - максимальный расход тепла на вентиляцию, кВт; С = 4,2 кДж/кг*К - удельная теплоемкость воды;  - температура воды на входе и выходе в местных систем вентиляции,°С.

Принимаем значения температур:

По формулам (10) и (11) определяем расходы воды и заносим в таблицу 2.1:

Таблица 2.1.

Назначение

Расход воды, т/ч

, т/ч



отопление,

вентиляция,


1

Механический цех №1

25

13,4

38,4

2

Сборочный цех №2

69

35

104

3

Сборочный цех №3

38

19

57

4

Механический цех №4

30

15

45

5

Литейный цех

2,5

6,2

8,7

6

РИЦ

17

4,5

21,5

7

ЦКБ

15

-

15

8

Админ. корпус

2,2

-

2,2

9

ЦЗЛ

3,1

-

3,1

10

Компрессорная

1,6

2,7

4,3

11

Два склада

-

-

-

12

Гараж

1,7

1,7

3,4

13

Диспетчерская

0,3

-

0,3

14

ВЗТ

2,5

2,5

5

15

ВОХР

0,1

-

0,1

16

Сумма:

208

100

.2 Расчет расходов воды для горячего водоснабжения

Определим расходы воды на ГВС производственными и служебными зданиями предприятия по формуле [2]:

, т/ч (12)

где  - расход тепла на ГВС, кВт; С = 4,2 кДж/кг*К - удельная теплоемкость воды;  - температура горячей и холодной трубопроводной воды,°С.

Значения температур равны:

Объем бака-аккумулятора определяем по формуле:

 (13)

где  - расчетный расход воды, л. Определяется по таблице 1.2;  - количество душей, полудушей, умывальников.

По формулам (12) и (13) определяем расход воды на ГВС и объем бака. Результаты заносим в таблицу 2.2:

Таблица 2.2.

Назначение

Qгвс, кВт

, т/ч

, л

1

Механический цех №1

41,4

1,18

1314,5

2

Сборочный цех №2

65,8

1,88

2068

3

Сборочный цех №3

65,8

1,88

2068

4

Механический цех №4

41,4

1,18

1314,5

5

Литейный цех

23,8

0,68

753,5

6

РИЦ

25,1

0,72

797,5

7

ЦКБ

8,4

0,24

264

8

Админ. корпус

11,2

0,32

352

9

ЦЗЛ

14

0,4

440

10

Компрессорная

-

-

-

11

Два склада

-

-

-

12

Гараж

2,8

0,08

88

13

Диспетчерская

-

-

-

14

ВЗТ

25,1

0,72

797,5

15

ВОХР

-

-

-

16

Сумма:

324,8

9,28

10257,5




3. Гидравлический расчет тепловых сетей

Гидравлический расчет водяных тепловых сетей производится с целью определения диаметров трубопроводов, потерь давлений в них, увязки тепловых точек системы.

Результаты гидравлического расчета используются для построения пьезометрического графика, выбора схем местных тепловых пунктов, подбора насосного оборудования и технико-экономических расчетов.

Напор в подающих трубопроводах, по которым перемещается вода с температурой более 100 0С, должен быть достаточным для исключения парообразования. Температуру теплоносителя в магистрали принимаем равною 1500С. Напор в подающих трубопроводах равен 85 м, что достаточно для исключения парообразования.

Для предупреждения кавитации напор во всасывающем патрубке сетевого насоса должен быть не меньше 5 м.

При элеваторном смешении на абонентском вводе располагаемый напор должен быть не меньше 10-15 м.

При движении теплоносителя по горизонтальным трубопроводам наблюдается падение давления от начала до конца трубопровода, которое складывается из линейного падения давления (потери на трение) и потерь давления в местных сопротивлениях:

 Па (14)

Линейное падение давления в трубопроводе неизменного диаметра:

 Па


Падение давления в местных сопротивлениях:

, Па

Приведенная длина трубопровода:


Тогда формула (14) примет окончательную форму:

, Па (15)

Определим общую длину расчетной магистрали (участки 1,2,3,4,5,6,7,8):

Проведем предварительный расчет (Заключается в определение диаметров и скоростей). Долю потерь давления в местных сопротивлениях можно ориентировочно определить по формуле Б.Л. Шифринсона [1]:

 (16)

где z =0,01- коэффициент для водяных сетей; G - расход теплоносителя в начальном участке разветвленного теплопровода, т/ч.

Зная долю потерь давления можно определить среднее удельное линейное падение давления [1]:

, Па/м (17)


где  - располагаемый перепад давлений до всех абонентов, Па.

По заданию располагаемый перепад давления задан в метрах и равен △H=60 м. Т.к. потери напора распределяются равномерно между подающей и обратной магистралью, то перепад давлений на подающей магистрали будет равен △H=30 м. Переведем это значение в Па следующим образом:

 270000 Па

где  = 916,8 кг/м3 - плотность воды при температуре в 150 0С.

По формулам (16) и (17) определим долю потерь давления в местных сопротивлениях, а также среднее удельное линейное падение давления:

По величине  и расходам G1 - G8 по номограмме [1, рис. 6.2] находим диаметры труб скорость теплоносителя и . Результат заносим в таблицу 3.1:

Таблица 3.1

№ участка

Предварительный расчет

Окончательный расчет


G, т/ч

l,м

dxs, мм

Rл. Па/м

w, м/с

lэ, м

lэ+l, м

дP, Па*10-3

△H, м

1

308

5

219х6

390

2,6

11,76

16,76

6,7

0,7

2

230,5

62,5

194х5

420

2,5

29,9

92,4

39

4

3

209

32,5

194х5

360

2,3

10,9

43,4

15,9

1,6

4

204,7

39

194х5

340

2,2

14,52

53,52

18,4

1,9

5

100,7

97

133х4,5

590

2,3

21,35

118,35

70

7,2

6

43,7

119

108х4

340

1,5

14,75

133,75

45,9

4,7

7

5,3

107,5

57х3,5

190

0,8

7,8

115,3

22,3

2,3

8

3,1

87,5

57х3,5

65

0,5

1,3

88,8

6,2

0,6

Сумма








224,4





Проведем окончательный расчет. Уточняем гидравлические сопротивления на всех участках сети при выбранных диаметрах труб.

Определяем эквивалентные длины местных сопротивлений на расчетных участках по таблице «эквивалентные длины местных сопротивлений» [1, приложение 17].

Далее вычисляем полные потери давления на участках сети по формуле:

дP = R*(l+lэ)*10-3, кПа (18)

Определяем суммарное гидравлическое сопротивление для всех участках расчетной магистрали, которые сравнивают с располагаемым в ней перепадом давлений:

 (19)

Расчет является удовлетворительным, если гидравлическое сопротивление не превышают располагаемый перепад давлений и отличается от него не более чем на 25%. Конечный результат переводим м. вод. ст. для построения пьезометрического графика. Все данные заносим в таблицу 3.

Проведем окончательный расчет для каждого расчетного участка:

Участок 1:

На первом участке имеется следующие местные сопротивления с их эквивалентными длинами:

Задвижка: lэ = 3,36 м   

Тройник для деления потоков: lэ = 8,4 м

Вычисляем полные потери давления на участках по формуле (18):

дP = 390*(5+3,36+8,4)*10-3=6,7 кПа

Или м. вод. ст.:

△H= дP*10-3/9,81 = 6,7/9,81=0,7 м

Участок 2:

На втором участке имеется следующие местные сопротивления с их эквивалентными длинами:

П-образный компенсатор: lэ = 19 м         

Тройник для деления потоков: lэ = 10,9 м

дP = 420*(62,5+19+10,9)*10-3=39 кПа

△H= 39/9,81=4 м

Участок 3:

На третьем участке имеется следующие местные сопротивления с их эквивалентными длинами:    

Тройник для деления потоков: lэ = 10,9 м

дP = 360*(32,5+10,9) *10-3=15,9 кПа

△H= 15,9/9,81=1,6 м

Участок 4:

На четвертом участке имеется следующие местные сопротивления с их эквивалентными длинами:

Отвод: lэ = 3,62 м

Тройник для деления потоков: lэ = 10,9 м

дP = 340*(39+3,62+10,9) *10-3=18,4 кПа

△H=18,4/9,81=1,9 м

Участок 5:

На пятом участке имеется следующие местные сопротивления с их эквивалентными длинами:

П-образный компенсатор: lэ = 12,5 м     

Отвод: lэ = 2,25 м

Тройник для деления потоков: lэ = 6,6 м

дP = 590*(97+12,5+2,25+6,6) *10-3= 70 кПа

△H= 70/9,81=7,2 м

Участок 6:

На шестом участке имеется следующие местные сопротивления с их эквивалентными длинами:

П-образный компенсатор: lэ = 9,8 м        

Тройник для деления потоков: lэ = 4,95 м

дP = 340*(119+9,8+4,95) *10-3=45,9 кПа

△H= 45,9/9,81=4,7 м

Участок 7:

На седьмом участке имеется следующие местные сопротивления с их эквивалентными длинами:

Два отвода: lэ = 2*0,65 м

П-образный компенсатор: lэ = 5,2 м

Тройник для деления потоков: lэ = 1,3 м

дP = 190*(107,5+2*0,65+5,2+1,3) *10-3=22,3 кПа

△H= 22,3/9,81=2,3 м

Участок 8:

На восьмом участке имеется следующие местные сопротивления с их эквивалентными длинами:

Задвижка: lэ = 0,65 м

Отвод: lэ = 0,65 м

дP = 65*(87,5+0,65+,065) *10-3=6,2 кПа

△H= 6,2/9,81= 0,6 м

Определяем суммарное гидравлическое сопротивление и сравним с располагаемым перепадом по (17=9):

224,4  

Посчитаем расхождение величин в процентах:

△ = ((270-224,4)/270)*100 = 17%

Расчет является удовлетворительным т.к. гидравлическое сопротивление не превышают располагаемый перепад давлений, и отличается от него менее чем на 25%.

Аналогично рассчитываем ответвления и результат заносим в таблицу 3.2:

Таблица 3.2

№ участка

Предварительный расчет

Окончательный расчет

Дополн.


G, т/ч

l,м

dxs, мм

Rл. Па/м

w, м/с

lэ, м

lэ+l, м

дP, Па*10-3

△H, м


22

2,2

105

57х3,5

32

0,3

6,5

111,5

3,6

0,4

Дрос. ш.

23

38,4

117,5

108х4

230

1,3

3,3

120,8

27,8

2,8


24

57

141,5

108х4

480

1,9

3,3

154,6

69,5

7,1


25

104

164,5

133х4,5

500

2,1

4,45

181,45

98

10

Дрос. ш.

26

4,3

31,5

57х3,5

120

0,6

1,3

32,8

0,4

Дрос. ш.

27

21,5

40

76х3,5

550

1,6

2

42

23,1

2,4

Дрос. ш.


Участок 22:

Располагаемый напор у абонента: △H22= 0,6 м

На 22-ом участке имеется следующие местные сопротивления с их эквивалентными длинами:

Отвод: lэ = 0,65 м

П-образный компенсатор: lэ = 5,2 м

Задвижка: lэ = 0,65 м

дP = 32*(105+0,65+5,2+0,65)*10-3=3,6 Па

△H= 3,6/9,81=0,4 м

Избыток напора в ответвление: △H22 - △H = 0,6-0,4=0,2 м

△ = ((0,6-0,4)/0,6)*100 = 33,3%

Т.к. расхождение величин больше 25% и нет возможности установить трубы меньшим диаметром, то необходимо установить дроссельную шайбу.

Участок 23:

Располагаемый напор у абонента: △H23= △H8 +△H7= 0,6+2,3=2,9 м

На 23-ом участке имеется следующие местные сопротивления с их эквивалентными длинами:

Отвод: lэ = 1,65 м

Задвижка: lэ = 1,65 м

дP = 230*(117,5+1,65+1,65)*10-3=27,8 кПа

△H= 27,8/9,81=2,8 м

Избыток напора в ответвление: △H23 - △H = 2,9-2,8=0,1 м <25%

Участок 24:

Располагаемый напор у абонента: △H24= △H23 +△H6= 2,9+4,7=7,6 м

На 24-ом участке имеется следующие местные сопротивления с их эквивалентными длинами:

Отвод: lэ = 1,65 м

Задвижка: lэ = 1,65 м

дP = 480*(141,5+1,65+1,65)*10-3= 69,5кПа

△H=74,1 /9,81=7,1 м

Избыток напора в ответвление: △H24 - △H = 7,6-7,1=0,5 м <25%

Участок 25:

Располагаемый напор у абонента: △H25 = △H24 +△H5= 7,6+7,2=14,8 м

На 25-ом участке имеется следующие местные сопротивления с их эквивалентными длинами:

Отвод: lэ = 2,25 м

Задвижка: lэ = 2,2 м

дP = 580*(164,5+2,25+2,2)*10-3=98 кПа

△H= 98/9,81=10 м

Избыток напора в ответвление: △H25 - △H = 14,8-10=4,8 м

△ = ((14,8-10)/14,8)*100 = 32,4%

Т.к. расхождение величин больше 25% и нет возможности установить трубы меньшим диаметром, то необходимо установить дроссельную шайбу.

Участок 26:

Располагаемый напор у абонента: △H26= △H25 +△H4= 14,8+1,9=16,7 м

На 26-ом участке имеется следующие местные сопротивления с их эквивалентными длинами:

Отвод: lэ = 0,65 м

Задвижка: lэ = 0,65 м

дP = 120*(31,5+0,65+0,65)*10-3=3,9 кПа

△H= 3,9/9,81=0,4 м

Избыток напора в ответвление: △H26 - △H = 16,7-0,4=16,3 м

△ = ((16,7-0,4)/16,7)*100 = 97%

Т.к. расхождение величин больше 25% и нет возможности установить трубы меньшим диаметром, то необходимо установить дроссельную шайбу.

Участок 27:

Располагаемый напор у абонента: △H27= △H26 +△H3= 16,7+1,6=18,3 м

На 27-ом участке имеется следующие местные сопротивления с их эквивалентными длинами:

Отвод: lэ = 1 м

Задвижка: lэ = 1 м

дP = 550*(40+1+1)*10-3=23,1 кПа

△H= 23,1/9,81=2,4 м

Избыток напора в ответвление: △H27 - △H = 18,3-2,4=15,9 м

Уменьшение диаметра трубопровода не предоставляется возможным, поэтому необходимо установить дроссельную шайбу.

4. Построение пьезометрического графика и выбор схемы присоединения абонентских вводов

Исходные данные для построения пьезометрического графика:

Геодезическая линия z-z = 0.

Наибольшая высота здания на предприятии Н = 45 м.

Минимальный напор в обратной магистрали Н0 = 5 м.

Требуемый статический напор на 5 м больше самого высокого здания:

Нст = 45+5 = 50 м.

Располагаемый напор в сети после теплопункта Н = 50+30 = 80 м.

Располагаемая потеря напора △Н= 80-20 = 60 м.

Для всех абонентов напор на входе Наб = 20 м.

Потери напора распределяются равномерно между подающей и обратной магистралью.

Разводка трубопровода представлена на рисунке 4.1.

Рисунок 4.1. Разводка трубопровода промышленного предприятия

Построение пьезометрического графика

По результатам гидравлического расчета разветвленной тепловой сети необходимо провести построение пьезометрического графика для двух режимов работы - статического и динамического. Статический режим характеризуется давлениями в сети при отключенных сетевых насосах, но включенных подпиточных насосах. Динамический режим характеризуется давлениями в сети и в местных системах потребителей при работающих сетевых насосах и циркуляции теплоносителя.

На графике в определенном масштабе наносится рельеф местности, высота присоединенных зданий, полные или пьезометрические гидродинамические и статический напоры. Полный напор отсчитывается от одного общего горизонтального уровня 0-0, за который принимается самая низкая геодезическая отметка района прокладки тепловой сети. Пьезометрический напор отсчитывается от оси трубопровода, положение которой условно принимают совпадающей с поверхностью земли.

Основные требования к режиму давлений для водяных тепловых сетей:

1. Непревышение допустимых давлений в оборудовании источника теплоснабжения, тепловой сети и абонентских установок. Допустимое избыточное давление для стальных трубопроводов и арматуры тепловых сетей зависит от используемого сортамента и чаще всего составляет 1,6-2,0 МПа, для водогрейных котлов - 2,5 МПа, для теплообменников с латунными трубками диаметром 16x1 мм - 1,47 МПа при температуре сетевой воды до 180°С.

Гидродинамический пьезометрический напор в обратной магистрали и гидростатический пьезометрический напор при зависимой схеме присоединения абонентов не должны превышать - 60 м для систем с чугунными радиаторами или отопительными бетонными панелями и 90 м - для систем со стальными конвекторами.

2. Поддержание избыточного давления 50 кПа (5 м вод. ст.) во всех точках системы теплоснабжения для избежания подсоса воздуха и предотвращения кавитации насосов (т.е. пьезометрический напор в обратной магистрали должен быть не ниже 5 м вод. ст.).

3. Обеспечение невскипания воды в тепловой сети и местных системах при гидродинамическом режиме, т.е. при циркуляции воды в системе. Для этого избыточное давление на участках сети с температурой более 100°С должно превышать давление насыщения при этой температуре. При проектировании можно не предусматривать поддержание избыточного давления обеспечивающее невскипание воды в статическом состоянии так как температура воды в системе теплоснабжения может быть снижена до 100°С и ниже до прекращения циркуляции воды.

Построение пьезометрического графика рекомендуется начинать с гидростатического режима (циркуляция отсутствует и температура воды до 100°С). Из условия не превышения допустимых пьезометрических напоров во всех элементах сети проверяется возможность установления общей статической зоны для всей системы теплоснабжения, и выявляются причины препятствующие этому. При зависимой схеме присоединения абонентов установлению общей статической зоны обычно мешает высокий полный напор создаваемый абонентами, расположенными на высоких геодезических отметках. Эта задача может быть решена путем присоединения по независимой схеме абонентов создающих повышенный полный напор или абонентов находящихся под недопустимо высоким пьезометрическим напором. Величина полного статического напора при зависимой схеме определяется как сумма минимально допустимого напора в верхних точках отопительных установок (5 м вод. ст.) и самой высокой геодезической отметки соответствующей верхней точке отопительной установки.

При построении графика гидродинамических напоров наносят максимально и минимально допустимые пьезометрические напоры для подающей, обратной магистралей и источника теплоснабжения. Действительные пьезометрические напоры при любом режиме работы системы не должны выходить за предельные уровни. Так как допустимые напоры являются пьезометрическими и отсчитываются от оси трубопровода, то линии допустимых напоров повторяют рельеф местности. При построении линий допустимых напоров для оборудования, имеющего существенные вертикальные габариты, величина допустимых максимальных пьезометрических напоров отсчитывается от нижней точки совпадающей с геодезической отметкой земли, а минимальных пьезометрических напоров - от верхней точки этого оборудования. Для водогрейных котлов минимально допустимый пьезометрический напор определяется по давлению насыщения соответствующего температуре на 30°С превышающей расчетную на выходе из коллектора котла.

Величина максимально допустимого гидродинамического пьезометрического напора определяется: для подающей магистрали из условия механической прочности трубопроводов, арматуры и оборудования источника теплоснабжения (бойлерные установки, водогрейные котлы); для обратной магистрали, при зависимой схеме присоединения, из условия механической прочности оборудования абонентской установки (радиаторы, конвекторы, теплообменники ГВ и вентиляционные приборы); при независимой схеме из условия механической прочности водоводяных подогревателей.

Порядок построения пьезометрического графика

1. Выбираем статический напор тепловой сети Нст=50 м и наносим его на пьзометрический график (линия S-S). При этом статическом напоре обеспечивается избыточное давление в верхних точках отопительных установок, а пьзометрический статический напор в наиболее низких точках системы не превышает допустимого значения.

. Определяем напор в подающем и обратном коллекторах. Располагаемая потеря напора в сети 80-20=60 м. Потерю напора разделим поровну между подающей и обратной линиями тепловой сети, т.е. принять дНп=дНо=30 м. В этом случае полные напоры в подающем и обратном коллекторах на ЦТП составят Нп=85 м, Но=5 м.

. Выбираем расчетную магистраль. Поскольку на всех абонентских вводах должен быть обеспечен один и тот же располагаемый напор △Наб=20 м, то расчетной магистралью является линия, соединяющая станцию с наиболее удаленным абонентом. В нашем случае расчетной является магистраль 1-8. Длина расчетной магистрали l = 550 м.

. Определяем на основе гидравлического расчета располагаемый напор в точках расчетной магистрали. Определим располагаемый напор на подающем трубопроводе участка 1 расчетной магистрали по следующей формуле:

△H1п=△Hп -△H (20)

где △Hп - располагаемый напор на выходном коллекторе ЦТП, м; △H - потери напора на соответствующем участке подающей магистрали, м.

Определим располагаемый напор на обратном трубопроводе последнего участка 8 расчетной магистрали по следующей формуле:

△H=△H8п -△H -△Наб (21)

Расчет всех остальных точек также ведется по формуле (20) и (21), тогда:

△H1п=85-0,7=84,3 м

△H2п=84,3-4=80,3 м

△H3п=80,3-1,6=78,7 м

△H4п=78,7 -1,9=76,8 м

△H5п=76,8-7,2=69,6 м

△H6п=69,6 -4,7=64,9 м

△H7п=64,9-2,3=62,6 м

△H8п=62,6-0,6=62 м

△H=62-20-0,6=41,4 м

△H=41,4-2,3=39,1 м

△H=39,1-4,7=34,4 м

△H=34,4 -7,2=27,2 м

△H=27,2-1,9=25,3 м

△H=25,3-1,6=23,7 м

△H=23,7-4=19,7 м

△H=19,7-0,7=19 м

В аналогичной последовательности проводится также расчет ответвлений.

Пьезометрический график предоставлен на рисунке 4.2.

Рисунок 4.2. Пьезометрический график

Выбор схемы присоединения абонентских вводов

Для абонентских вводов выберем схему с зависимым присоединением отопительной системы. Оборудование абонентского ввода при зависимой схеме присоединения проще и дешевле, чем при независимой, при этом может быть получен несколько больший перепад температур сетевой воды в абонентской установке. Увеличение перепада температур воды уменьшает расход теплоносителя в сети, что может привести к снижению диаметров сети и экономии на начальной стоимости тепловой сети и на эксплуатационных расходах.

Схема представлена на рисунке 4.3. Цифрами на рисунке обозначены: 1-задвижки; 2-грязевик; 3-регулятор расхода; 4-термометр; 5-манометр; 6-элеватор; 7-задвижки, отделяющие тепловой пункт от отопительной системы; 8-продувочный вентиль; 9-водомер; 10-регулятор давления.

Рисунок 4.3. Схема местного теплового пункта с зависимым присоединением отопительной системы

5. Расчет конструктивных элементов тепловых сетей

5.1 Расчет опор трубопроводов

Опоры являются ответственными деталями теплопровода. Они воспринимают усилия от трубопроводов и передают их на несущие конструкции или грунт. При сооружении теплопроводов применяют опоры двух видов: свободные и неподвижные.

Свободные опоры воспринимают вес трубопровода и обеспечивают его свободное перемещение при температурных деформациях.

Неподвижные опоры фиксируют положение трубопровода в определенных точках и воспринимают усилия, возникающие в местах фиксации под действием температурных деформаций и внутреннего давления.

При расчете изгибающих напряжений и деформаций трубопровод, лежащий на свободных опорах, рассматривается как многопролетная балка. На рис. 5.1 приведена эпюра изгибающих моментов многопролетного трубопровода и прогиб трубопровода.

Рисунок 5.1. Прогиб трубопровода и эпюра изгибающих моментов многопролетного трубопровода

Рассчитаем усилия и напряжения, действующие в трубопроводах.

Трубопровод рассматриваем как многопролетная неразрезная балка, в которой максимальный изгибающий момент над опорой вдвое превышает изгибающий момент в середине пролета [1]:

 (22)

где  - изгибающий момент над опорой и в середине пролета, Н*м; q - полная удельная нагрузка на метр длины трубопровода, Н/м; l - пролет между опорами, м.

Полная удельная нагрузка определяется из выражения:

 (23)

где  - удельная вертикальная нагрузка от массы трубы, теплоносителя, теплоизоляции и снега, принимаем по приложению 25 [4], Н/м;  - удельная горизонтальная нагрузка от ветрового давления, Н/м.

Удельная нагрузка ветрового давления определяется по формуле:

 (24)

где  - аэродинамический коэффициент (для одиночных труб  = 0,7, для двух и более труб );  -скорость ветра, м/с;  - плотность воздуха, кг/м3; - диаметр изолированного трубопровода, м.

Допустимое расстояние между опорами определяется из условий прочности и допустимой стрелы прогиба трубы на середине пролета для наиболее неблагоприятных режимов работы теплопровода, при которых в самом ослабленном сечении (обычно сварные стыки) напряжения не должны превышать допустимых. Заменяя в выражении (22) значение изгибающего момента равенством , найдем допустимое расстояние между опорами:

 (25)

где  -допустимое изгибающее напряжение, Па; W - момент сопротивления трубы, м3.

Момент сопротивления трубы определяется по формуле:

 (26)

Допустимое напряжение изгиба принимается в зависимости от типа трубы, способа прокладки и компенсации температурных удлинений трубопровода. В непроходных каналах наблюдается перераспределение напряжений трубопровода вследствие неравномерной просадки опор. Из выражения (22) следует, что при просадке одной из опор расстояние между точками опирания трубы возрастает вдвое, а изгибающий момент и напряжения - в 4 раза. По этим причинам расстояния между опорами в непроходных каналах принимаются меньшими, чем при других прокладках.

Значение допустимого напряжения изгиба равно:

 (27)

где  - коэффициент, учитывающий способ компенсации температурных удлинений трубы;  - допустимое напряжение от внутреннего давления; - коэффициент прочности сварного шва; 0,8 - коэффициент пластичности трубы.

Значения величин, входящих в выражение (27), принимаются по таблицам и графикам [9]; в приближенных расчетах можно принимать 35 МПа.

На поворотах труб расстояния между опорами рекомендуется принимать не более 0,67 от допустимого расстояния на прямом участке трубы, а на участках последней и предпоследней опор до поворота или гибкого компенсатора - не более 0,82.

Для участка 2 тепловой сети с длиной 62,5 м и диаметрами трубы без изоляции: 194х5 мм, с изоляцией: 334 мм, проведем расчет участка свободных опор.

Удельная нагрузка ветрового давления определяем по формуле (24):

где  - аэродинамический коэффициент (для одиночных труб  = 0,7, для двух и более труб );  =4,7 м/с -скорость ветра;  - плотность воздуха.

Определим полную удельную нагрузку по формуле (23):


где =843Н/м - удельная вертикальная нагрузка от массы трубы, теплоносителя, теплоизоляции и снега, принимаем по приложению 25 [4].

Определим момент сопротивления трубы определяется по (26):

Подставим полученные значения в формулу (25) и найдем допустимое расстояние между опорами:

где значение допустимого напряжения изгиба принимаем равное  25 МПа.

Определим максимальный изгибающий момент над опорой и изгибающий момент в середине пролета по формуле (22):

Определим горизонтальную реакцию, возникающую на свободной опоре при термической деформации трубопровода. Реакцию возникающую на скользящей опоре определим по формуле [4]:


где  коэффициент трения скольжения «сталь по стали».

5.2 Расчет компенсаторов

Неподвижное закрепление трубопроводов производят для предупреждения самопроизвольного его смещения при удлинениях. Но при отсутствии устройств, воспринимающих удлинения трубопроводов между неподвижными закреплениями, возникают большие напряжения, способные деформировать и разрушать трубы. Компенсация удлинений труб производится различными устройствами, принцип действия которых можно разделить на две группы: 1) радиальные или гибкие устройства, воспринимающие удлинения теплопроводов изгибом (плоских) или кручением (пространственных) криволинейных участков труб или изгибом специальных эластичных вставок различной формы; 2) осевые устройства скользящего и упругого типов, в которых удлинения воспринимаются телескопическим перемещением труб или сжатием пружинящих вставок.

Гибкие компенсирующие устройства самые распространенные. Наиболее простая компенсация достигается естественной гибкостью поворотов самого трубопровода, изогнутого под углом не более 150°.

Для естественной компенсации могут быть использованы подъемы и опуски труб, но естественная компенсация не всегда может быть предусмотрена. К устройству искусственных компенсаторов следует обращаться лишь после использования всех возможностей естественной компенсации.

На прямолинейных участках компенсация удлинений труб решается специальными гибкими компенсаторами различной конфигурации. Лирообразные компенсаторы, особенно со складками, из всех гибких компенсаторов обладают наибольшей эластичностью, но вследствие усиленной коррозии металла в складках и повышенного гидравлического сопротивления применяются редко. Более распространены П-образные компенсаторы со сварными и гладкими коленами; П-образные компенсаторы со складками, как и лирообразные, по указанным выше причинам применяются реже.

Достоинством гибких компенсаторов является то, что они не нуждаются в обслуживании и для их укладки в нишах не требуется сооружение камер. Кроме того, гибкие компенсаторы передают на неподвижные опоры только реакции распоров. К недостаткам гибких компенсаторов относятся: повышенное гидравлическое сопротивление, увеличенный расход труб, большие габариты, затрудняющие их применение в городских прокладках при насыщенности трассы городскими подземными коммуникациями.

Линзовые компенсаторы относятся к осевым компенсаторам упругого типа. Компенсатор собирается на сварке из полулинз, изготовленных штамповкой из тонколистовых высокопрочных сталей. Компенсирующая способность одной полулинзы составляет 5-6 мм. В конструкции компенсатора допускается объединять 3-4 линзы, большее число нежелательно из-за потери упругости и выпучивания линз. Каждая линза допускает угловое перемещение труб до 2-3°, поэтому линзовые компенсаторы можно использовать при прокладке сетей на подвесных опорах, создающих большие перекосы труб.

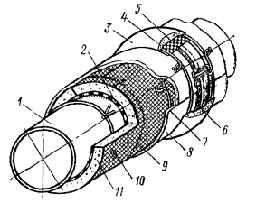
Осевая компенсация скользящего типа создается сальниковыми компенсаторами. К настоящему времени устаревшие чугунные литые конструкции на фланцевых соединениях повсеместно вытеснены легкой, прочной и простой в изготовлении стальной сварной конструкцией, показанной на рисунке 5.2.

Рисунок 5.2. Бесфланцевый односторонний сварной сальниковый компенсатор: 1- нажимной фланец; 2 - грундбукса; 3 - сальниковая набивка; 4- контрбукса; 5 - стакан; 6 - корпус; 7 - переход диаметров

Компенсация температурных удлинителей трубопроводов назначается при средней температуре теплоносителя более +50°С. Тепловые перемещения теплопроводов обусловлены линейным удлинением труб при нагревании.

Для безаварийной работы тепловых сетей необходимо, чтобы компенсирующие устройства были рассчитаны на максимальные удлинения трубопроводов. Исходя из этого при расчете удлинений температура теплоносителя принимается максимальной, а температура окружающей среды - минимальной и равной: 1) расчетной температуре наружного воздуха при проектировании отопления - для надземной прокладки сетей на открытом воздухе; 2) расчетной температуре воздуха в канале - для канальной прокладки сетей; 3) температуре грунта на глубине заложения бесканальных теплопроводов при расчетной температуре наружного воздуха для проектирования отопления.

Проведем расчет П-образного компенсатора, который расположен между двумя неподвижными опорами, на участке 2 тепловой сети с длиной 62,5 м и диаметрами трубы: 194х5 мм.

Рисунок 5.3 схема П-образного компенсатора

Определим тепловое удлинение трубопровода по формуле:


где б - коэффициент линейного удлинения стальных труб принимается в зависимости от температуры, в среднем б =1,2·10-5 м/˚С; t - температура теплоносителя, ˚С; t0= -28 ˚С - температура окружающей среды.

С учетом предварительно растяжки по полному удлинению на 50%:


Графическим методом зная тепловое удлинение, диаметр трубы определяем по номограмме длину плеча П-образного компенсатора, которая равняется 2,4 м.

Радиус изгиба гладкого отвода

.


Отношение длины спинки компенсатора к длине вылета:


При изгибе гибких компенсаторов круглое сечение трубы сплющивается в эллиптическое, жесткость которого значительно понижается. Коэффициент жесткости гибких отводов зависит от геометрической характеристики отвода, представляющей собой отношение:


где S - толщина стенки трубы, м; R - радиус изгиба отвода, м; rc - средний радиус трубы, м.


Определим коэффициент жесткости гладкого отвода по формуле:


В сплющенном сечении трубы напряжения изгиба несколько уменьшаются и учитываются коэффициентом напряжения, который для гладких отводов определяется зависимостью:



Определим изгибающее напряжение в отводе по формуле:

 (28)

где E=2*108 кПа, модуль продольной упругости для стали.


Подставим найденные данные в формулу (28) и определим изгибающее напряжение в отводе:

Допустимое напряжение от температурных удлинений

Т.к. , то расчет является верным.

6. Расчет изоляции тепловых сетей с учетом способа их прокладки

Экономическая эффективность систем централизованного теплоснабжения при современных масштабах теплового потребления в значительной мере зависит от тепловой изоляции оборудования и трубопроводов. Тепловая изоляция служит для уменьшения тепловых потерь и обеспечения допустимой температуры изолируемой поверхности. Дополнительные затраты, связанные с нанесением тепловой изоляции и антикоррозионных покрытий, относительно невелики и составляют 5-8% от общей стоимости тепловых сетей, но качественное изолирование повышает стойкость металла против коррозии, в результате которой существенно увеличивается срок службы трубопроводов.

Тепловая изоляция трубопроводов и оборудования тепловых сетей применяется при всех способах прокладки независимо от температуры теплоносителя. Теплоизоляционные материалы непосредственно контактируют с внешней средой, для которой свойственны непрерывные колебания температуры, влажности и давления.

Материалы, используемые в качестве теплоизолятора, должны обладать высокими теплозащитными свойствами и низким водопоглощением в течение длительного срока эксплуатации.

По исполнению основного изоляционного слоя и наружной отделки различают несколько видов конструкций тепловой изоляции: засыпные, мастичные, подвесные, оберточные, монолитные.

В данной работе выберем оберточную конструкцию тепловой изоляции, рисунок 6.1.


Рисунок 6.1. Оберточная изоляция прошивными матами из волокнистых материалов в обкладках

Цифрами на рисунке обозначены: 1 - антикоррозионное покрытие; 2 - внутренняя обкладка металлической сеткой: 3 - отделка стыка; 4 - проволочная скрутка: 5 - сетка; 6-бандаж с пряжкой: 7 - скрутка проволочная; 8 - покровный слой из асбестоцементных полуцилиндров: 9 - сшивка стыков обкладки отожженной проволокой; 10 - наружная обкладка металлический сеткой; 11 - мат.

Оберточная изоляция выполняется из прошивных матов в обкладках или из мягких плит на синтетической связке. На рис. 6.1. показана конструкция с использованием минераловатных или стекловолокнистых матов с двусторонней обкладкой металлической сеткой или стеклотканью. Маты с обкладками прошиваются мягкой отожженной проволокой или стеклонитью. На трубопроводе маты закрепляются проволочной скруткой и дополнительной сшивкой продольных и поперечных швов наружной обкладки. Затем вся эта конструкция закрывается покровным слоем, выбираемым в зависимости от способа прокладки теплопровода. По металлической сетке в качестве покровного слоя удобнее всего использовать асбестоцементную штукатурку, которая сглаживает все неровности и прочно скрепляется с основным изоляционным слоем.

Целью расчета является определение толщины изоляции. Определим толщину изоляции участка №1 магистрали по нормированным теплопотерям при надземной прокладке трубопровода.

По таблице 6 ([2] приложение 5, табл. 6) определим нормированные теплопотери для прямого и обратного трубопроводов:

для подающего:

для обратного

Определим полное термическое сопротивление для подающего и обратного трубопровода:


где  температура воды в подающей магистрали;  - средняя температура отопительного периода;  температура воды в обратной магистрали.

Найдем коэффициент теплоотдачи от поверхности изоляции к окружающему воздуху [2]:

 Вт/(м2 *°С).

где w - скорость движения воздуха, м/с.

Зададимся толщиной изоляции по таблице ([2] приложение 5, табл. 2) и определим наружный диаметр изоляции:



где d - наружный диаметр изолируемого объекта, мм.

Зная наружный диаметр изоляции и коэффициент теплоотдачи можно определить термическое сопротивление от поверхности изоляции к воздуху .

Для прямого трубопровода:


Термическое сопротивление изоляции:


Для обратного трубопровода:


Термическое сопротивление изоляции:


В качестве тепловой изоляции используем минираловатные прошивные изделия с теплопроводностью  Вт/м*°С.

Для подающего трубопровода по таблице 4.2 [2] , тогда:

 Вт/м*°С.

Определим толщину тепловой изоляции:


Найдем температуру поверхности изоляции по формуле:

°С.

Уточним среднюю температуру изоляционного материала:

С.,

Уточним коэффициент теплопроводности изоляции:

 Вт/м*°С.

По уточненным данным определим температуру поверхности изоляции при :


°С.

Полученные значения температуры поверхности изоляции достаточно близки, поэтому пересчет толщины изоляции не проводим. К установке принимаем изоляцию с толщиной  в соответствии с данными таблицы 1 ([2] приложение 5, табл. 1).

Проведем аналогичный расчет для обратного трубопровода:

Для обратного трубопровода по таблице 4.2 [2] , тогда:

 Вт/м*°С.

Определим толщину тепловой изоляции:

Найдем температуру поверхности изоляции по формуле:

°С.

Уточним среднюю температуру изоляционного материала:

С.,

Уточним коэффициент теплопроводности изоляции:

 Вт/м*°С.

По уточненным данным определим температуру поверхности изоляции при :


°С.

Полученные значения температуры поверхности изоляции достаточно близки, поэтому пересчет толщины изоляции не проводим. К установке принимаем изоляцию с толщиной  в соответствии с данными таблицы 1 ([2] приложение 5, табл. 1).

Аналогично рассчитываем изоляцию остальных участков. Результаты расчёта изоляции трубопровода по всем участкам заносим в таблицу 6.1.


Таблица 6.1

 

 

 

 

 подающий

обратный

уч.

d, мм

dint, мм

бe, Вт/(м2оС)

to, oC

tв, oC

дk, мм

tв, oC

дk, мм

1

219

207

26,8

-4,2

150

100

70

100

2

194

184

26,8

-4,2

150

100

70

100

3

194

184

26,8

-4,2

150

100

70

100

4

194

184

26,8

-4,2

150

100

70

100

5

133

124

26,8

-4,2

150

100

70

80

108

100

26,8

-4,2

150

80

70

80

7

57

50

26,8

-4,2

150

60

70

60

8|1

57

50

26,8

-4,2

150

60

70

60

8|2

57

50

26,8

18

150

60

70

40

22|1

57

50

26,8

-4,2

150

60

70

60

22|2

57

50

26,8

18

150

60

70

60

23

108

100

26,8

18

150

80

70

80

24

108

100

26,8

18

150

80

70

80

25

133

124

26,8

18

150

100

70

80

26

57

50

26,8

18

150

60

70

60

27

76

69

26,8

18

150

80

70

60



7. Подбор и расчет оборудования для горячего водоснабжения

Целью расчета подогревателя ГВС является определение площади поверхности теплообмена, марки и количества секций подогревателя.

Выбираем схему теплового пункта с параллельным подключением подогревателей горячего водоснабжения. Данную схему возможно применять в двухтрубной закрытой системе при независимом подключении систем ГВС к тепловым сетям.

Для абонентских вводов с параллельно включенными подогревателями горячего водоснабжения характерен повышенный расход сетевой воды, равный сумме расчетных расходов воды на отопление, горячее водоснабжение и вентиляцию.

В двух трубных закрытых системах теплоснабжения подогреватели устанавливают при независимых схемах присоединения систем отопления к тепловым сетям.

Подогреватели должны обеспечивать заданную теплопроизводительность при любых температурных режимах сетевой воды. Наиболее неблагоприятный режим соответствует точке излома температурного графика регулирования. Поэтому расчет подогревателей горячего водоснабжения при всех системах подключения их к тепловым сетям производится по параметрам сетевой воды при температуре наружного воздуха (tн’’’).

Схема ЦТП с параллельным подключением подогревателя ГВС изображена на рис 7.1:



Рис. 7.1. Схема ЦТП с параллельным подключением подогревателя ГВС: 1-трехходовой клапан; 2-подмешивающий насос; 3-подогреватель ГВС.

Для расчета абонентских вводов с параллельным подключением подогревателей горячего водоснабже6ния нам потребуются следующие исходные данные:

тепловая нагрузка на горячее водоснабжение Qгвс= 324,8 кВт;

расчетные температуры сетевой воды: ф1=150°С, ф2=70°С;

температуры холодной и горячей водопроводной воды: tх=5°С, tг=35°С;

температура воздуха внутри помещения tв=18°С.

В точке излома температурного графика, значения температур сетевой воды равны: ф1’’’= 70°С, ф2.о’’’= 41,7°С.

Расчетный расход сетевой воды на горячее водоснабжение определяется по формуле:

 (29)

где - расчетная теплопроизводительность подогревателя горячего водоснабжения, принимаем равным тепловой нагрузке на горячее водоснабжение, кВт; c - удельная теплоемкость воды, кДж/(кг*оС); - температура сетевой воды после подогревателя, принимаемая по графику [1,стр. 104]

Тогда по формуле (29), при  = 30°С:

Определим расчетный расход водопроводной воды:

 (30)

где - расчетная теплопроизводительность подогревателя горячего водоснабжения, принимаем равным тепловой нагрузке на горячее водоснабжение, кВт; с - удельная теплоемкость воды, кДж/(кг*оС); tх и tг -температуры холодной и горячей водопроводной воды, оС.

Тогда по формуле (30):

Зададимся скоростью воды в межтрубном пространстве подогревателя 1 м/с. Найдем ориентировочную площадь сечения межтрубного пространства (при с=1000 кг/м3):

f = Gр.г/3600сw (31)

где Qр.г- расчетная теплопроизводительность подогревателя горячего водоснабжения, принимаем равным тепловой нагрузке на горячее водоснабжение, кВт; w - скоростью воды в межтрубном пространстве, м/с.

Тогда

f = 6960/3600*1000*1=1,93*10-3 м2

Из приложения 20а ([4], приложение 20а, стр. 456]) выбираем подогреватель 04 (по ГОСТ 27590-88) с сечением трубок fтр =1,08*10-3 м2, межтрубного пространства fм=2,33*10-3 м2 и эквивалентным диаметром межтрубного пространства dм. экв=16,4 мм, трубки с диаметром наружным и внутренним соответственно 16/14.

Для этого типоразмера подогревателя скорости, нагреваемой воды в трубах (wт) и греющей воды в межтрубном пространстве (wм) составляют:

wт = Gр.в.в/3600fтрсв (32)

wм =Gр.г/3600fмсс (33)

где св - плотность водопроводной воды при средней температуре tср:

tср=0,5(tг+tх) = 0,5*(35+5)=20 оС

сс - плотность сетевой воды при средней температуре

 =0,5()=0,5*(70+30)=50 оС

Тогда по формулам (32) и (33):

wт = 9280/3600*0,00108*992,3 = 2,4 м/с.

wм=6960/3600*0,00233*988,1 = 0,84 м/с.

Коэффициенты теплоотдачи от сетевой воды к поверхности трубного пучка и от внутренних стенок трубок к водопроводной воде определим по формуле:

б = (1630+21t - 0,041t2)w0,8/d0,2 (34)

где t - средняя температура теплоносителя, оС; w- скорость теплоносителя, м/с; d- внутренний диаметр трубки или эквивалентный гидравлический диаметр межтрубного пространства, м.

б1=(1630+21*20-0,041*202)*2,40,8/0,0140,2 = 9619 Вт/м2*оС.

б2=(1630+21*50-0,041*502)*0,840,8/0,01640,2 = 5096 Вт/м2*оС.

Определим коэффициент теплопередачи по формуле:

 (35)

где б1 и б2- коэффициенты теплоотдачи, Вт/м2* оС; лст- коэффициент теплопроводности трубы, Вт/м* оС, ([6],стр. 261); дст- толщина стенки трубы, м, ([4], стр. 456).

Подставим значения в формулу (35):

 Вт/м2* оС

Среднелогарифмическая разность температур теплоносителей в подогревателе:

∆tср=(∆tб-∆tм) / 2,3lg(∆tб/∆tм) (36)

∆tср=((70-30)-(30-5))/ 2,3lg((70-30)/(30-5))=31,9 оС.

Определим необходимую поверхность теплообмена подогревателя:

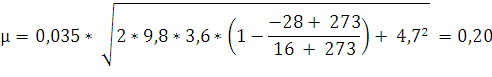
F = Qр *103 / (k∆tсрµ) (37)

где Qр - расчетная тепловая нагрузка, кВт; ∆tср- среднелогарифмическая разность температур теплоносителей в подогревателе, оС; k - коэффициент теплопередачи, Вт/м2*оС; µ - коэффициент, учитывающий накипь и загрязнение трубок, принимаем по приложению 13 ([1],cтр.401).

F=324,8*103/(3216*31,9*0,8) = 3,96 м2.

Число секций одного подогревателя:

z = F/fc=3,96/1,31=3,02


где fc- поверхность нагрева одной секции ([4], стр. 456).

Принимаем z = 3.

8. Подбор элеваторов и циркуляционных насосов абонентских вводов

Основной расчетной характеристикой для элеваторов является коэффициент смешения. При подборе элеватора коэффициент смешения принимается на 15% выше его расчетного значения с учетом возможности наладки присоединенной системы, т.е. u=1,15u’.

Определим коэффициент смешения:


где  - температуры воды, оС.

Элеватор подбираем по приведенному расходу, который определяется по формуле:

 (38)

где G - расход теплоносителя на отопление и вентиляцию, т/ч; h - располагаемый напор, необходимый для работы элеватора равный 15, м.

Подберем элеватор для РИЦ:

Расход теплоносителя на отопление и вентиляцию G =21,5 т/ч.

Определим по формуле приведенный расход (38):

Подбираем элеватор по номограмме ([1],стр. 134). Выбираем элеватор №2 с диаметром сопла dс= 6,5 мм и диаметром горловины dг= 20 мм

Проведем аналогичный расчет для остальных зданий и сооружений. Данный занесем в таблицу 8.1.

Таблица 8.1.

Назначение

, т/ч

, т/ч

Элеватор

Насос




dс, мм

dг, мм


РИЦ

21,5

5,6

2

 6,5

20

-

Компрессорная

4,3

1,1

1

 4

15

-

Сборочный цех №2

104

26,9

6

13

47

-

Сборочный цех №3

57

14,7

4

10

30

-

Механический цех №1

38,4

9,9

3

8,5

28

-

ЦЗЛ

3,1

0,8

1

4

15

-

Админ. корпус

2,2

0,6

1

4

15

-


9.  Подбор насосов ЦТП

В водяных тепловых сетях насосы используются для создания заданных давлений и подачи необходимого количества воды к потребителям тепла.

Сетевые насосы создают циркуляцию воды в системе теплоснабжения, а подпиточные компенсируют утечки воды и поддерживают необходимый уровень пьезометрических линий как при статическом, так и при динамическом режимах. Количество сетевых насосов принимается не менее двух, из которых один резервный. Если для работы сети при расчетных условиях требуется установка четырех насосов, то резервные насосы не предусматриваются. В закрытых системах теплоснабжения устанавливается не менее двух подпиточных насосов, а в открытых - не менее трех, из которых один является резервным.

Для подбора насоса необходимо знать его производительность и величину напора. Для сетевых насосов производительность определяют по расчетному расходу воды в головном участке тепловой сети. При подборе сетевых насосов для открытых систем теплоснабжения расход воды на горячее водоснабжение принимают как среднечасовой, но с коэффициентом 1,2. В летний период производительность сетевых насосов принимают по максимальному часовому расходу воды на горячее водоснабжение.

Производительность подпиточных насосов для закрытых систем теплоснабжения принимают из расчета компенсации утечек в количестве 0,5% от объема воды, находящейся в трубопроводах, и в непосредственно присоединенных абонентских системах. При подборе подпиточных насосов для закрытых систем рекомендуется также предусматривать аварийную подпитку необработанной водой в количестве 2% от объема воды, находящейся в трубах наружной сети и в системах отопления и вентиляции.

В открытых системах производительность подпиточных насосов принимают по максимальному расходу горячей воды с учетом компенсации утечек. Аварийная подпитка здесь не предусматривается.

9.1 Подбор сетевого насоса

Определим напор сетевого насоса по формуле:

 (39)

где =5 м - потери напора в тепловом центре;  - потери напора в подающем и в обратном магистральных трубопроводах;  - необходимый напор на вводе концевого абонента.

Подставим значения и определим напор сетевого насоса:

Производительность сетевого насоса определяем по расчетному расходу воды в головном участке тепловой сети Gн=308 т/ч.

По напору и производительности выберем два насоса марки КсВ 320-85 мощностью 132 кВт и частотой 1480 об/мин.

.2 Подбор подпиточного насоса

Расчетная величина напора подпиточного насоса может быть определена по формуле:

 (40)


где  - статический напор в сети по отношению к оси подпиточного насоса;  - потери напора в трубопроводах подпиточной линии от питательного бака до точки присоединения к тепловой сети; - разность отметок между осью насоса и нижним уровнем воды в питательном баке, м.

Разность отметок между осью насоса и нижним уровнем воды в питательном баке примем равное 0.

По формуле (40) определим напор подпиточного насоса:

Производительность подпиточного насоса принимают из расчета компенсации утечек в количестве 0,5% от объема воды, находящейся в трубопроводах, и в непосредственно присоединенных абонентских системах. При подборе подпиточных насосов для закрытых систем рекомендуется также предусматривать аварийную подпитку необработанной водой в количестве 2% от объема воды, находящейся в трубах наружной сети и в системах отопления и вентиляции.

Объем воды, находящийся в системе теплоснабжения, ориентировочно можно определить по формуле:

 (41)

где Q=8,95 МВт - тепловая мощность системы теплоснабжения;  - удельные объемы сетевой воды, находящейся в наружных сетях с подогревательными установками и в местных системах, м3/МВт.

Для тепловых сетей с подогревательными установками промышленных предприятий , для систем отопления

Подставим значения в формулу (41) и определим объем воды:

Определим необходимую производительность подпиточного насоса, которая равна 2% от общего объема воды в системе:


По напору и производительности выберем два насоса марки ЦНСг 8-68 мощностью 11 кВт и частотой 2940 об/мин.

Заключение

В данной курсовой работе были проведены расчеты системы теплоснабжения промышленного предприятия в результате которого были определены расходы тепла по отдельным видам теплопотребления (отопление, вентиляция, ГВС), годовые расходы тепла. Также были найдены расходы теплоносителя по отдельным видам теплопотребления.

В курсовой работе проведен гидравлический расчет тепловых сетей. По результатам этого расчета построен пьезометрический график, исходя из которого были выбраны схемы подключения абонентских вводов, а также выбрано оборудование для ГВС.

Также рассчитана тепловая изоляция тепловых сетей. Составлены соответствующие схемы и таблицы.

Проведен подбор насосного оборудования, а также расчет конструктивных элементов тепловой сети таки как: опоры, компенсаторы.


Список использованной литературы

1.   Козин В.Е. и др. Теплоснабжение: Учебное пособие. М. Высш. Школа,1980 г.

2.      Мозговой Н.В. и Быченок В.И. Проектирование тепловых сетей: Пособие. Тамбом - Воронеж, 2005 г.

3.   СНиП 23.01-99 «Строительная климатология».

.     Соколов Е.Я. Теплофикация и тепловые сети: Учебник для вузов. М. МЭИ, 2001 г.

.     СНиП 41-03-2001 «Тепловая изоляция оборудования и теплопроводов».

.     Краснощеков Е.А. и Сукомел А.С. Задачник по теплопередаче: Учеб. пособие. М. Энергия, 1980 г.

7.      Ионин А.А, Хлыбов Б.М., Братенков В.Н., Терлецкая Е.Н. Теплоснабжение. М.: Стройиздат, 1982 г.

8.   СНиП 2.04.07-86 «Тепловые сети».

9.  А.А. Николаев. Справочник проектировщика. Проектирование тепловых сетей. М., 1965.

Похожие работы на - Проектирование тепловых сетей промышленного предприятия г. Тамбова

 

Не нашли материал для своей работы?
Поможем написать уникальную работу
Без плагиата!
Без нейросетей!