Расчет и составление графика движения флота

  • Вид работы:
    Курсовая работа (т)
  • Предмет:
    Транспорт, грузоперевозки
  • Язык:
    Русский
    ,
    Формат файла:
    MS Word
    731,23 Кб
  • Опубликовано:
    2014-11-24
Вы можете узнать стоимость помощи в написании студенческой работы.
Помощь в написании работы, которую точно примут!

Расчет и составление графика движения флота

Введение

груз флот транспорт перевозка

Основой организации транспортного процесса на внутренних водных путях является график движения флота, определяющий систему организации взаимоувязанной работы транспортных судов в линиях движения, их обслуживание в портах и в пути следования по заранее установленным нормативам.

График движения флота обеспечивает: выполнение плановых заданий по перевозкам грузов в установленные сроки их доставки; выполнение экономических показателей работы транспортного предприятия; наиболее полное использование резервов провозной способности флота; безопасность плавания; согласованную работу всех звеньев речного транспорта между собой, с другими видами транспорта, с грузополучателями и грузоотправителями.

Проектирование данного курсового проекта, ставит своей задачей, самостоятельный расчет и составление графика движения флота на заданной линии и определенном объеме перевозок, как основной производственной задачи будущего специалиста по организации работы флота.

1. План перевозок грузов

.1 Корреспонденция грузовых потоков

Основой всех эксплуатационных расчетов при составлении плана работы флота являются перевозки грузов на расчетном участке. В качестве исходной информации для разработки плана задается корреспонденция грузовых потоков на меженный период навигации. Данные корреспонденции приведены в таблице 1.

Таблица 1

пункты

дальность перевозки

род груза

масса, тыс.тонн

грузооборот, тыс.ткм

отправления

назначения





Покровка

Мариинское

641

уголь

54,0

34 614

Покровка

Троицкое

191

уголь

38,0

7258

Циммермановка

Хабаровск

578

лес

27,0

15606

Мариинское

Покровка

641

лес

18,0

11538

Шелехово

Покровка

470

лес

21,0

9870

Итого: 158,0 78886

 


Грузооборот на линии рассчитывается по формуле:


где G - масса перевозимого груза, т;- расстояние перевозки, км;

Расчет:


Данные остальных расчетов приведены в Таблице 1.

1.2 Шахматная таблица перевозок грузов

Для наглядного изображения плана перевозок масса перевозимого груза предоставляется в виде шахматной таблицы.

Таблица 2. Шахматная таблица перевозок грузов.


Густота перевозок - это показатель, характеризующий напряженность водного участка пути, как отношение грузооборота на участке к протяженности грузового участка, и имеет размерность - ткм / км;

Густота перевозок рассчитывается отдельно по направлениям и в целом.


где lг*lг - грузооборот, тыс. ткм;г - расстояние, км;

Расчет: 18*73


.3 Показатели перевозок грузов

Основными показателями перевозок грузов и пассажиров, которые необходимы для планирования и оценки эксплуатационной деятельности транспортного предприятия являются:

масса грузов;

грузооборот;

дальность перевозок грузов;

густота перевозок грузов;

коэффициент неравномерности перевозок грузов по направлениям;

коэффициент неравномерности перевозок грузов по времени;

1.  Масса перевозимого груза:


Показатели плана рассчитываются отдельно по направлениям (прямое, обратное) и в целом;

Расчет:

прямое направление:


обратное направление:


в целом:


2.  Грузооборот:


Расчет:

прямое направление:


обратное направление:


общий грузооборот:


3.  Средняя дальность перевозок:


Расчет:

прямое направление:


обратное направление:


общая дальность:


4.  Густота перевозок:


Где  - грузооборот, ткм- протяженность, км

Расчет:

прямое направление:


обратное направление:


общая густота перевозок:


5.  Коэффициент неравномерности перевозок грузов по направлениям:


6.      Коэффициент неравномерности перевозок грузов по времени показывает превышение их в наиболее напряженный месяц навигации над среднемесячным уровнем перевозок. Принимаем данный коэффициент равным:

для угля - δ′ = 1,2 [5]

для леса - δ′ = 1,3

1.4 Технико-эксплуатационные характеристики флота

проект 576 - грузовое самоходное судно со следующими характеристиками:

регистровая грузоподъемность - 2000 т;

грузовместимость трюмов - 3150 мі;

осадка порожнем - 0,74 м;

осадка регистровая - 2,8 м;

скорость относительно воды при движении порожнем - 20,8 км/ч;

скорость относительно воды при движении с полной загрузкой - 19,2 км/ч;

норма расхода топлива на ходу - 165 г/л.с.

норма расхода смазочных материалов на ходу - 2,5 г/л.с.

Размеры корпуса; длина - 90м;

ширина - 13м;

высота борта 4,8м;

Нагрузка на 1 см осадки - 9,8 т/см;

Мощность - 1000 л.с.

проект 1741 - буксирный теплоход:

осадка порожнем - 1.16 м;

осадка в эксплуатационном состоянии - 1,51 м;

скорость легкачем относительно воды- 18,8 км/ч;

норма расхода топлива на ходу - 165 г/л.с.

норма расхода смазочных материалов на ходу - 3,2 г/л.с.

Размеры корпуса; -длина - 33м;

ширина - 8,3м;

высота борта 2,7м;

Мощность - 600л.с.

Класс Речного Регистра - Р

Действительная сила тяги на гаке: - на швартовых - 7400 кгс;

при скорости 8 км/ч - 5900 кгс;

Коэффициенты силы тяги на гаке: A = -312 кгссІ/мІ;= -76.5 кгссІ/мІ;= 7400 кгс;

проект 16800 - несамоходное судно:

грузоподъемность регистровая - 3000 т;

осадка порожнем - 0,58 м;

осадка регистровая - 2,5 м;

полезная площадь палубы - 1107,5 мІ

Размеры корпуса:

Расчетные - длина - 98,8м;

ширина - 16,5м;

высота борта 2,8м;

Габаритные: - длина - 102,7м;

ширина - 17,5м;

высота борта 6,9м;

Приведенное сопротивление:

порожнем - 310 кгссІ/мІ;

в полном грузу - 627,9 кгссІ/мІ;

Нагрузка на 1 см осадки - 15,5 т/см;

Приведенное сопротивление на 1 см осадки - 1,65 кгссІ/мІ;

.5 Экономические характеристики флота

К экономическим характеристикам транспортного судна относятся:

строительная стоимость (для судов новой постройки);

балансовая (для судов, работающих, находящихся на балансе пароходства, порта - пристани) стоимость;

эксплуатационные расходы по содержанию судна за год;

судо-часовые показатели эксплуатационных расходов;

удельные показатели эксплуатационных расходов;

Эксплуатационные расходы по содержанию судна за год при решении текущих задач по оптимизации транспортного процесса принимаются суммой следующих затрат по статьям:

1.      заработная плата команды судна (основная и дополнительная) за период эксплуатации судна и период его технического вооружения;

2.      отчисления на социальное страхование;

.        расходы по рациону бесплатного питания;

.        расходы по зимнему отстою;

.        амортизационные отчисления;

.        расходы на навигационный и зимний ремонт;

.        расходы на материалы и малоценный инвентарь;

.        расходы на топливо и смазочные материалы;

.        прочие прямые расходы;

.        распределяемые расходы;

С помощью абсолютных величин эксплуатационных расходов рассчитываются относительные величины-показатели эксплуатационных расходов: судо-часовые и удельные.

Судо-часовой показатель эксплуатационных расходов представляет собой сумму расходов, приходящихся с среднем на данное судно за час его работы.

.5.1 Расчет судо-часовых показателей эксплуатационных расходов по несамоходному судну

Для несамоходного судна судо-часовой показатель эксплуатационных расходов равен


где  - сумма 9- ти статей эксплуатационных расходов по несамоходному судну;э - продолжительность эксплуатационного периода т.е. период времени с момента выхода судна из затона- ранней весной до постановки его в затон на зимний отстой- с закрытием навигации, сут;'рем - плановая продолжительность ремонта, профилактики в период навигации с выводом судна из эксплуатации, сут;'пр - плановые затраты времени на прочие причины ( туманы, шторма, посадки на мель, оказание помощи и т.д.);'рем = 1,3% от продолжительности эксплуатационного периода (t'э), сут.'пр = 6,2% от продолжительности эксплуатационного периода (t'э), сут.

Расчет для несамоходного судна проекта 16800:

t'рем = 182 х 1,3 % = 2,4 сут.'пр = 182 х 6,2 % = 11,3 сут.


.5.2 Расчет стоимости содержания самоходного судна

Поскольку расходы самоходного судна неодинаковы при выполнении различных операций транспортного процесса, что является следствием неодинакового расхода топлива, например, при движении, при выполнении маневровых работ, на стоянке,- для него рассчитываются не один, а несколько показателей эксплуатационных расходов:

на ходу и на стоянке.

Судо-часовой показатель эксплуатационных расходов на ходу и на стоянке самоходного судна рассчитываются по формуле:


где  - сумма годовых расходов по 10 статьям;

Эт.см - расходы на топливо и смазку;

Эпр - годовые расходы по судну на прочие нужды;

Эраспр - годовые распределяемые расходы:

Кст - коэффициент, учитывающий уменьшение нормы расхода топлива и смазочных материалов на стоянке (по сравнению с нормой расхода на ходу);

Кман - коэффициент, учитывающий увеличение нормы расхода топлива и смазочных материалов при выполнении маневровых операций (по сравнению с нормой на стоянке) и долю затрат времени на маневры в общем стояночном времени в пункте обработки судна;

Вт - норма расхода топлива на ходу, г/л.с.-час;

Всм - норма расхода смазочных материалов на ходу, г/л.с.-час;

Цт - цена топлива, Цт = 10600 руб/т;

Цсм - цена смазочных материалов, Цсм = 17000руб/т;- мощность судна, л.с.;

-6 - коэффициент для перевода граммов в тонны;

Кпр - коэффициент, учитывающий прочие прямые расходы;

Краспр - коэффициент, учитывающий распределяемые расходы;

Пр.576 tрем =2,9 % от tэ = 2,9*182 / 100 = 5,2 сут;пр = 5,2 % от tэ = 5,2*182 / 100 = 9,4 сут;

Пр.1741 tрем =3,9 % от tэ = 3,9*182 / 100 = 7.0 сут;пр = 2.7 % от tэ = 2.7*182 / 100 = 4.9 сут;

Таблица 3


Кст

tрем

tпр

Кман

Вт

Всм

Цт

Цсм

N

Кпр

Краспр

Пр.576

0.05

5.2

9.4

1.3

165

2.5

10600

17000

1000

0,012

0,17

Пр.1741

 0.05

7.0

4.9

3.9

165

3.2

10600

17000

600

0,012

0,17


Расчет:

проект 576

на ходу:


на стоянке:


проект 1741

на ходу:


на стоянке:


скопировано

2. Распределение грузопотоков на пары

Распределение объема прямого и обратного направлений производим через коэффициент обратной загрузки:


где  - объем перевозимого груза в прямом направлении, тыс.т;

 - объем перевозимого груза в обратном направлении, тыс.т;

Расчет:


Расчет:пара:обр - согласно схемы дислокации,

тогда


принимаю Gпр = 25,0 тыс.т;

Данные остальных расчетов приведены в схеме дислокации грузовых потоков.

3. Расчет технических норм работы флота

Нормой нагрузки тоннажа самоходного и несамоходного грузового судна является максимально возможное количество тонн груза, которое может быть погружено в судно при заданных условиях его эксплуатации.

Норма нагрузки тоннажа зависит от условий плавания (прежде всего, от глубины судового хода), рода перевозимого груза (его удельного погрузочного объема), а также от технико-эксплуатационных характеристик самого судна (его грузоподъемности, грузовместимости, осадок порожнем или при полной загрузке).

.1 Определение технической нормы нагрузки.

Основными показателями, определяющими техническую норму нагрузки, являются:

для груза - удельный погрузочный объем - w, мі/т;

для судна - удельная вместимость - W/Qр, мі/т;

Нормальным грузом по норме нагрузки считается такой груз, у которого удельный погрузочный объем равен удельной вместимости судна:


Легким грузом считается груз у которого удельный погрузочный объем больше удельной вместимости судна:


Тяжелым грузом считается груз у которого удельный погрузочный объем меньше удельной вместимости судна:


.1.1 Установление нормы нагрузки судна в зависимости от глубины судового хода

Норма нагрузки в зависимости от глубины судового хода рассчитывается согласно формуле:


гдеэ - искомая максимальная нагрузка, тр - регистровая грузоподъемность судна, т

Тр - осадка судна регистровая, см

То - осадка судна порожнем, см

Тэ - осадка эксплуатационная, см

Тэ = h - ∆h1

Где h - глубина на лимитирующем участке, см

∆h - регламентирующий запас под днищем, см

Расчет:= 255 см;

∆h = 15 см;

Тогда

Тэ = 255 - 15 = 240 см;

проект 576:


принимаю Qэ1 = 1611 т.

проект 16800:


принимаю Qэ1 = 2843 т.

.1.2 Установление нормы загрузки в зависимости от удельного погрузочного объема

При установлении нормы нагрузки тоннажа следует учитывать следующее ограничение:

для трюмных судов - вместимость грузовых помещений:

 

где W - объем трюма, мі

ω - удельный погрузочный объем груза, мі/ т

Расчет:

проект 576:

уголь


лес


для судов - площадок лимитирующей является полезная площадь палубы

 

где- высота складирования. Принимаю данную величину равную 2hконтейнера =2*2,4 = 4,8 м.исп - коэффициент использования высоты. Принимаю числовое значение данной величины для угля (с установленными на судне бортиками) равную Kисп =0,75

для леса Kисп =1,0

Расчет:

проект 16800:

уголь

лес


обоснование нормы нагрузки по судну используя полученные производим исходя из условия:

прин = min{ Qэ1, Qэ2, Qэ3, Qр}, т [3 стр.13]

Данные результатов внесем в таблицу:

Таблица 4 - обоснование технических норм нагрузки судна

Род груза

Проект судна


Пр.576

Пр.16800


Qэ1

Qэ2

Qэ3

Qпр

Qэ1

Qэ2

Qэ3

Qэр

Qпр

Уголь

1611

2863

-

2000

1611

2843

-

3000

2843

лес

1611

1575

-

2000

1611

2843

-

2658

3000

2658


.1.3 Корректировка технической нормы нагрузки через равенство судопотоков в прямом и обратном направлении.

Судопоток - это количество судов необходимые для перевозки заданного объема грузов при определенной нагрузке.

Судопоток на определенной линии перевозки грузов рассчитывается согласно следующей формуле:

= G / Qэ, ед. [3 стр.35]

где G - масса перевозимого груза, т;э- техническая норма нагрузки, т;

при сохранении условия:пр = mобр - число единиц судов в прямом направлении равно числу судов в обратном направлении;

(G / Qэ)пр = (G / Qэ)обр, ед. [3 стр.35]

Корректировка производится по каждой паре:пара:

Прямое направление - 25000 т (уголь);

Обратное направление - 18000 т (лес);

Проект 576:

Прямое направление

= 25000 / 1611= 15,5 ед.

пр принимаю m = 16 ед.;

тогда

э = 25000 / 16 = 1562,5 т. пр

обр принимаю Qэ = 1563 т.;

обратное направление

э = 18000 / 16 = 1125 т.

Проект 16800:

Прямое направление

= 25000 / 2843 = 8.8 ед.

пр принимаю m = 9 ед.

тогда Qэ = 25000 / 9 = 2777,7 т. пр

обр принимаю Qэ = 2778 т.

Обратное направление

э = 18000 / 9 = 2000 т.

пара:

Прямое направление - 38000 т (уголь);

Обратное направление - 27000 т (лес);

Проект 576:

Прямое направление

= 38000 / 1611= 23.6 ед.

пр принимаю m = 24 ед.;

тогда

э = 38000 / 24 = 1583 т.

обратное направление

э = 27000 / 24 = 1125 т.

Проект 16800:

Прямое направление

= 38000 / 2843 = 13.3 ед.

пр принимаю m = 14 ед.

тогда

э = 38000 / 14 = 2714,2 т. пр

обр принимаю Qэ = 2715 т.

Обратное направление

э = 27000 / 14 = 1928,5 т.

принимаю Qэ = 1929 т.пара:

Прямое направление - 29000 т (уголь);

Обратное направление - 21000 т (лес);

Проект 576:

Прямое направление

= 29000 / 1611= 18,0 ед.

обратное направление

э = 21000 / 18 = 1166,6 т.

принимаю Qэ = 1167 т.

Проект 16800:

Прямое направление

= 29000 / 2843 = 10,2 ед.

пр принимаю m = 11 ед.

тогда

э = 29000 / 11 = 2636 т.

Обратное направление

э = 21000 / 11 = 1909 т.

.2 Техническая норма скорости

Технической нормой скорости любого вида флота является скорость относительно берега, называемая технической скоростью:

U = V ± ω, км/ч

где V - скорость относительно воды, км/ч;

ω - потеря при движении вверх (-) или приращение при движении вниз (+), скорости, км/ч;

Величина потери- приращения скорости устанавливается по отдельным участкам. Она отражает совокупное влияние целого ряда факторов на скорость движения судов и составов в речном потоке. Основные из них: уклон реки, скорость течения, извилистость судового хода, режим работы двигателя и т.д.

Норма потери-приращения скорости устанавливается с помощью хронометражных наблюдений (или фотографии рабочего прочеса) и приводится с справочниках-руководствах для работы диспетчерского аппарата (диспетчерский справочник по флоту, справочник технических норм по эксплуатации флота).

3.2.1 Норма технической скорости для грузовых теплоходов

Техническая скорость для грузовых теплоходов в спокойной воде рассчитывается по формуле:


где V0 - паспортная скорость грузового теплохода порожнем;р - скорость при регистровой (полной) загрузке;э - принятая нагрузка, т;

.2.1.1 Расчет скорости грузового теплохода в спокойной водепара:

Проект 576:

Прямое направление: 20,8-19,2


обратное направление:

пара:

Проект 576:

Прямое направление: 20,8-19,2

обратное направление:

пара:

Проект 576:

Прямое направление: 20,8-19,2


обратное направление:


.2.1.2 Расчет нормы технической скорости грузового теплохода

Норма технической скорости грузового теплохода определяется исходя из следующего условия:

гр(0) = Vэ ± ω, км/ч; [3 стр.13]

где Vэ - ранее найденная техническая скорость, км/ч;

ω - потеря(-) - приращение (+) скорости, км/ч;

3.2.1.2.1 Расчет среднего значения потери (приращения) скорости

Данные о потерях и приращениях скоростей по участкам реки Амур

Таблица 5. Потери и приращения скоростей на участках реки Амур

Участок р.Амур

Протяженность участка, км

Потеря ω(-), км/ч

Приращение ω(+), км/ч

Хабаровск - Троицкое

201

4,6

4,4

Троицкое - Комсомольск

159

4,4

4,2

Комсомольск - Софийск

264

4,2

4,0

Софийск - Николаевск

307

3,6

3,4


Определение среднего значения потерь (приращений) скорости на участке производится по формуле:


где  - произведение протяженности участка на потерю (приращение) скорости на этом участке;

 - сумма протяженности участков;

Рассчитываемый участок: Хабаровск - Мариинское:

3.2.1.2.2 Расчет технической скоростипара:

Проект 576:

Прямое направление

гр = 19,55 + 3,92 = 23,47 км/ч;

Обратное направление

гр = 19,9 - 4,12 = 15,78 км/ч;

пара:

Проект 576:

Прямое направление

гр = 19,54 + 3,92 = 23,46 км/ч;= 20,8 + 3,92 = 24,72 км/ч;

Обратное направление

гр = 19,9 - 4,12 = 15,78 км/ч;

пара:

Проект 576:

Прямое направление

гр = 19,52 + 3,92 = 23,44 км/ч;

Обратное направление

= 20,8 - 4,12 = 16,68 км/ч;гр = 19,87 - 4,12 = 15,75 км/ч;

Результаты вычислений занесем в Таблицу 6:

Таблица 6. Расчет технической скорости грузового теплохода

Номер схемы

Направление перевозок

номер проекта

Потеря скорости, - ω, км/ч

Приращение скорости, + ω, км/ч

Техническая скорость, км/ч



пр.576






Qэ, т

Vэ, км/ч




1

вниз - уголь

1563

19,55

- 4,12

+ 3,92

23,47


вниз - порожний


-

-

-

-


вверх - лес

1125

19,9

- 4,12

+ 3,92

15,78


вверх - порожний


-

-

-

-

2

вниз - уголь

1583

19,54

- 4,12

+ 3,92

23,46


вниз - порожний

0

20,8

- 4,12

+ 3,92

24,72


вверх - лес

1125

19,9

- 4,12

+ 3,92

15,78


вверх - порожний


-

-

-

-

3

вниз - уголь

1611

19,52

- 4,12

+ 3,92

23,44


вниз - порожний


-

-

-

-


вверх - лес

0

20,8

- 4,12

+ 3,92

15,75


вверх - порожний

1167

19,87

- 4,12

+ 3,92

16,68



.2.2 Установление нормы технической скорости для составов

Скорость относительно толкаемого состава может быть определена с использование следующих способов:

графический способ;

табличный способ;

аналитический способ;

Для выполнения задания курсового проекта, я применяю графический способ.

.2.2.1 Определение числа несамоходных судов в составе

Для того, чтобы приступить к определению нормы технической скорости для составов необходимо установить число несамоходных судов в составе. Данный расчет производится исходя из условия работы тяги в оптимальном режиме, т.е. движения ее с оптимальной скоростью.

Оптимальной для данного типа буксирного судна при работе в заданных условиях (с заданным типом несамоходного судна, его загрузкой, на заданном участке пути) будет такая скорость, при которой обеспечивается минимум ходовой ставки себестоимости перевозок.

Ходовая ставка себестоимости при движении груженого состава вверх рассчитывается по формуле:


гдеэ - эксплуатационная нагрузка для несамоходных судов в обратном направлении, т;

С′ - стоимость содержания несамоходного судна, руб / судо-час;

Сх - стоимость буксирного судна на ходу, руб / судо-час;′э - приведенное сопротивление одного типового несамоходного судна, кгссІ / мІ;′гi - приведенная сила тяги на гаке толкача, при коком-то i-ом значении скорости, кгссІ / мІ;- задаваемое i-тое значение скорости, км/ч;

ωвв - значение потери скорости при движении вверх по течению;

.2.2.1.1 Расчет приведенного сопротивления несамоходного судна


где′0 - приведенное сопротивление порожнем, кгссІ / мІ;′р - приведенное сопротивление в полном грузу (регистровое), кгссІ / мІ;р - регистровая грузоподъемность, т;э - техническая норма нагрузки, т;пара:

Проект 16800

Прямое направление - груженный


обратное направление - груженный


II пара:

Проект 16800

Прямое направление - груженный


обратное направление - груженный


обратное направление - порожнем′о = 310 кгссІ / мІ;пара:

Проект 16800

Прямое направление - груженный


обратное направление - груженный


обратное направление - порожнем′о = 310 кгссІ / мІ;

3.2.2.1.2 Расчет количества несамоходных судов

Для определения количества несамоходных судов в составе необходимо построить график зависимости ходовой ставки себестоимости при движении груженного состава вверх и график тяговой характеристики буксира (в зависимости приведенной силы тяги на гаке от скорости).


Проект 16800

Обратное направление


Результаты последующих вычислений приведены в таблице:

Таблица 7

Vi, км/ч

F′гi, кгссІ/мІ

Вх, руб/ткм

6,0

2374

0,09630

6,5

1951

0,09105

7,0

1640

0,08842

7,5

1374

0,08897

8,0

1170

0,09027

8,5

1000

0,09292

9,0

859

0,09653

9,5

740

0,10114

10,0

640

0,10656

10,5

556

0,11265

11,0

486

0,11917


Из наложения графиков зависимостей себестоимости и тяговой характеристики буксирного теплохода пр.1741 от скорости определяем:

′вк = 1670 кгссІ/мІ;

В качестве дополнительного критерия, необходимого для установления целого числа несамоходных судов в составе, принимается максимум мощности. Для этого производим исследование на экстремум функции Nm = f(v), что дает оптимальную скорость буксирного судна по максимуму тяговой мощности:


где A,B,C - параметры силы на гаке;

Расчет:


Типовой состав может быть установлен исходя из следующих соображений:


Расчет:


принимаем m′ = 2 ед.;

.2.2.2 Расчет приведенного сопротивления состава

Приведенное сопротивление состава рассчитывается по формуле:

′сост = m * R′э * Kсч, кгссІ/мІ; [3 стр.18]

где m - число несамоходных судов в составе, ед;′э - приведенное сопротивление одного несамоходного судна, кгссІ/мІ;сч - коэффициент счала,

Пример расчета:пара:

прямое направление - груженный

′сост = 2 * 604,3 * 0,82 = 991,0 кгссІ/мІ;

обратное направление - порожний

′сост = 2 * 510,0 * 0,82 = 836,4 кгссІ/мІ;

Результаты остальных расчетов приведены в таблице 8.

Таблица 8. Расчет технической скорости толкаемых составов

Номер схемы

Направление перевозок

состав 1741 + 2 * 16800

потеря скорости, -ω

приращение скорости, +ω

техническая скорость Uсост. км/ч



Экспл. Нагрузка Qэ, т

кол-во н/судов m′, ед.

коэф. Счала Ксч

привед-е сопр.сост R′сост

Скорость букс.сост Vб, км/ч

коэф. Толкания Кт

Скорость толкания Vт, км/ч




1

Вниз -уголь

2778

604,3

2

0,82

991,0

8,4

1,04

8,7

4,12

3,92

12,6


Вниз -порожний

-

-

-

-

-

-

-

-

-

-

-


Вверх -лес

2000

510,0

2

0,82

836,4

9,0

1,04

9,36

4,12

3,92

5,24


Вверх -порожний

-

-

-

-

-

-

-

-

-

-

-

2

Вниз -уголь

2715

581,5

2

0,82

953,6

8,6

1,04

8,9

4,12

3,92

12,8


Вниз -порожний

0

310

2

0,86

533,2

10,6

1,04

11,02

4,12

3,92

15,1


Вверх -лес

1929

502,9

2

0,82

824,8

9,2

1,04

9,6

4,12

3,92

5,5


Вверх -порожний

-

-

-

-

-

-

-

-

-

-

-

3

Вниз -уголь

2636

589,3

2

0,82

946,8

8,4

1,04

8,7

4,12

3,92

12,6


Вниз -порожний

-

-

-

-

-

-

-

-

-

-

-


Вверх -лес

1909

500,9

2

0,82

821,5

8,5

1,04

8,8

4,12

3,92

4,7


Вверх -порожний

0

310

2

0,86

533,2

10,6

1,04

11,0

4,12

3,92

6,9

3.2.2.3 Расчет скорости толкаемого состава

Скорость толкаемого состава определяется по формуле:

т = Vб * Kт, км/ч; [3 стр.20]

где Vб - скорость буксировки состава, км/ч;

Кт - коэффициент увеличения скорости при толкании;

Пример расчета:пара:

прямое направление - груженное

т = 8,4 * 1,04 = 8,7 км/ч;

обратное направление - груженное

т = 9,0 * 1,04 = 9,36 км/ч;

Результаты расчетов по остальным схемам приведены в Таблице 6.

.2.2.4 Расчет технической скорости состава по ранее приведенной скорости

Расчет производится согласно следующей формулы:

гр(о) = Vт ± ω, км/ч [3 стр.13]

где Vт - скорость толкаемого состава, км/ч;

ω - потеря(приращение) скорости на участке пути;

Пример расчета:пара:

направление прямое - груженное

Uгр = 8,7 + 3,92 = 12,6 км/ч;

направление обратное - груженное

гр = 9.36 - 4.12 = 5,24 км/ч;

Результаты остальных расчетов приведены в Таблице 6.

.2.3 Установление технических норм времени

Технической нормой времени считается минимально необходимые затраты времени на выполнение того или иного элемента транспортного процесса. Нормы времени определяются по видам флота, типам судов, линиям движения и другим конкретным условиям использования транспортных средств.

В составе технических норм времени рассматриваются следующие нормы на элементы транспортного процесса:

ход с грузом и порожнем, легкачем;

грузовые операции (погрузка, выгрузка, паузка, перевалка);

техническое обслуживание в пунктах грузовой обработки и в пути следования;

дополнительное время на ожидание выполнения того или иного элемента транспортного процесса.

.2.3.1 Установление нормы ходового времени

Норма ходового времени определяется по формуле:


где lг(о) - протяженность участка перевозки, км;г(о) - скорость судна, км/ч;

Пример расчета:пара:

пр.576

направление прямое - груженное


пр.1741 + 2*16800

направление прямое - груженное


Результаты остальных расчетов приведены в таблице 7.

Таблица 9. Расчет путевого времени

номер схемы

проект (тип состава)

напр. движения

расстояние,l, км

Техническая скорость U, км/ч

ходовое время tх, ч

время стоянок в пути tст, ч

Путевое время tп, ч




гр.

пр.

гр.

пор.

гр.

пор.

итого

гр.

пор.

итого


1

576

вниз

641

-

23,47

-

27,3

-

27,3

1,6

-

1,6

28,9



вверх

641

-

15,78

-

40,6

-

40,6

2,4

-

2,4

43,0


1741+2*16800

вниз

641

-

12,6

-

50,9

-

50,9

2,3

-

2,3

53,2



вверх

641

-

5,24

-

122,3

-

122,3

5,5

-

5,5

127,8

2

576

вниз

191

387

23,46

24,72

8,1

15,6

23,7

0,46

0,9

1,36

25,1



вверх

578

-

15,78

-

36,6

-

36,6

2,1

-

2,1

38,7


1741+2*16800

вниз

191

387

12,8

15,12

14,9

25,4

40,3

0,7

1,1

1,8

42,1



вверх

578

-

5,48

-

105,4

-

105,4

4,7

-

4,7

110,1

3

576

вниз

641

-

23,44

-

27,3

-

27,3

1,5

-

1,5

28,8



вверх

470

171

15,75

16,68

29,8

10,2

40,0

1,7

0,6

2,3

42,3


1741+2*16800

вниз

641

-

12,6

-

50,8

-

50,8

-

2,2

53,0



вверх

470

171

4,68

6,88

100,4

24,8

125,2

4,5

1,1

5,6

130,8



.2.3.2 Расчет норматива времени стоянок в пути

Норматив времени стоянок в пути представляет собой часть чистого ходового времени на непредвиденные задержки в пути следования (в том числе и занятость судового хода) а также обслуживание судов в пути (дополнительный забор топлива, продовольствия и т.д.). Расчет выполняется согласно формуле:

ст = tх * γ, ч; [3 стр.20]

где tх - ходовое время, ч;

γ - коэффициент, учитывающий непредвиденные задержки в пути:

для сухогрузных теплоходов - 0,058 (5,8%);

для несамоходных и буксирных судов - 0,045(4,5%);

Пример расчета:пара:

проект 576

направление прямое - груженный

ст = 23,7 * 0,058 = 1,6 ч;

направление обратное - груженный

ст = 40,6 * 0,058 = 2,4 ч;

проект 1741 + 2*16800

направление прямое - груженный

ст = 50,9* 0,045 = 2,3 ч;

направление обратное - груженный

tст = 122,3 * 0,045 = 5,5 ч;

Результаты остальных расчетов приведены в Таблице 7.

.2.3.3 Расчет путевого времени

Время нахождения в пути определяется как:

пут = tх + tст, ч [3 стр.20]

где tх - ходовое время, ч;ст - время стоянок в пути, ч;

Пример расчета:пара

проект 576

направление прямое - груженное

пут = 27,3 + 1,6 = 28,9 ч;

направление обратное - груженное

пут = 40,6 + 2,4 = 43,0 ч;

проект 1741 + 2*16800

направление прямое - груженное

пут = 50,9+ 2,3 = 53,2 ч;

направление обратное - груженное

tпут = 122,3 + 5,5 = 127,8 ч;

Результаты остальных расчетов приведены в Таблице 7.

.2.3.4 Расчет технических норм времени на грузовые операции

Норма времени грузовой обработки судов (погрузка, выгрузка) устанавливается в соответствии с типом судна, нормой его загрузки, классом груза и видом его упаковки, что определяет судо-часовую норму погрузки - выгрузки.

Норма времени на грузовые работы определяется:


где Qэ - принятая норма нагрузки одного судна или состава, т;

Бсчн - судо-часовая норма погрузки (выгрузки);

Таблица 10

род груза

номер проекта


пр.576

пр.16800


погрузка

выгрузка

погрузка

выгрузка

уголь

133

109

183

149

лес

44

40

61

55


Пример расчета:пара

проект 576

направление прямое - груженное


Результаты остальных расчетов приведены в Таблице 11.

Таблица 11. Расчет норм времени на грузовые операции.

номер схемы

Направление перевозок

Род груза

номер проекта




пр.576

пр. 16800




Qэ, т

Бсчн -пгр, т/ч

tпгр, ч

Бсчн -вгр, т/ч

tвгр, ч

Qэ, т

Бсчн -пгр, т/ч

tпгр, ч

Бсчн -вгр, т/ч

tвгр, ч

1

вниз

уголь

1563

133

11,8

109

14,3

2778

183

15,2

149

18,6


вверх

лес

1125

44

25,6

40

28,1

2000

61

32,8

55

36,3

2

вниз

уголь

1583

133

11,9

109

14,5

2715

183

14,8

149

18,2


вверх

лес

1125

44

25,6

40

28,1

1929

61

31,6

55

35,1

3

вниз

уголь

1611

133

12,1

109

14,8

2636

183

14,4

149

17,7


вверх

лес

1167

44

26,5

40

29,2

1909

61

31,3

55

34,7



.2.3.5 Расчет норматива времени на техническое обслуживание судов в портах.

Норма времени на техническое обслуживание грузовых и буксирных судов в портах принимается согласно следующих данных:

Таблица 12

Грузоподъемность регистровая, т

Наличие груза

вид флота



проект 576

проект 16800

проект 1741

свыше 1000т

груженное

8,0

(13 + m′*1)13+2*1 = 15

(5+0.5m′)5+0.5*2 = 6


порожнее

5,0

(5 + 0.7m′)5+0.7*2 =6.4

(4+0.4m′)4+0.4*2 = 4.8


4. Расчет продолжительности круговых рейсов

Круговой рейс - это технологическая схема грузовой операции с одним и тем же пунктом отправления и назначения.

Таблица 13. Продолжительность кругового рейса

номер схемы

Проект судна

элементы кругового рейса

продолжитть кругового рейса, ч




всего

в том числе



∑tто(о)

∑tто(г)

∑tпгр

∑tвгр

tх(г)

tх(о)

tст(г)

tст(о)


на ходу

на стоянках

1

576

10

16

37,4

42,4

67,9

-

4,0

-

177,7

67,9

109,8


состав

16800

30

12,8

48

54,9

173,2

-

7,8

-

326,7

173,2

153,5



1741

9,6

12

-

-

173,2

-

7,8

-

202,6

173,2

29,4

2

576

10

16

37,5

42,6

44,7

15,6

2,56

0,9

169,9

60,3

109,6


состав

16800

30

12,8

46,4

53,3

120,3

25,4

5,4

1,1

294,7

145,7

149



1741

9,6

12

-

-

120,3

25,4

5,4

1,1

173,8

145,7

28,1

3

576

10

16

38,6

44

57,1

10,2

3,2

0,6

179,7

67,3

112,4


состав

16800

30

12,8

45,7

52,4

151,2

24,8

6,7

1,1

324,7

176

148,7



1741

9,6

12

-

-

151,2

24,8

6,4

1,1

205,4

176

29,4




Расчет времени кругового рейса:пара - для тоннажа:


проект 576


Данные остальных расчетов приведены в Таблице 13.

5. Расстановка флота по схемам перевозки (парам грузопотоков)

График движения флота (ГДФ) - плановый документ, в котором отражается предстоящая работа флота, работа портов и всех участников транспортного процесса. ГДФ состоит из трех основных частей:

план (схема) освоения грузопотоков - входят все расчеты, технические нормы, продолжительность кругового рейса, план расстановки флота, обоснование потребности флота, эксплуатационные показатели работы флота;

план портового обслуживания - отражает схему распределения задач по портам, освещение технической оснащенности портов, определение затрат на погрузку - выгрузку;

план тягового и путевого обслуживания;

Расстановка флота представляет собой задачу распределения имеющегося на балансе транспортного флота по согласованным между собой грузопотокам, при обеспечении принятого критерия оптимальности и полного их освоения. Таким критерием является минимум интегральных затрат. Функция цели имеет следующий вид:


где Хij - количество грузовых теплоходов или составов i-го типа, закрепленных на j-ом направлении, ед.;

Зij - интегральные затраты при использовании теплохода или состава i-го типа на j-ом направлении (паре согласованных грузопотоков).

Ограничивающими условиями при реализации поставленной задачи являются следующие факторы:

положительность переменных Хij ≥ 0;

количество судов или составов i-го типа работающих на j-от направлении не должно превышать их наличие ∑ Хij ≤ Ф;

Величина интегральных затрат рассчитывается следующим образом:

Зij = Эij + Е1*Kij + E2*Иij, руб.;

где Эij - эксплуатационные расходы по грузовому теплоходу или составу i-го типа при работе на j-ом направлении, руб.;- доля капитальных вложений, руб.;

Иij - альтернативные издержки (упущенная выгода) потребителя транспортных услуг при накоплении, хранении и доставке грузов в i-ом типе судна на j-ом направлении.

Е1, E2 - норма дохода;

.1 Расчет эксплуатационных расходов по одному судну (составу)


где tм - продолжительность меженного периода, сут.;выв - время последнего холостого рейса в затон, ч;х - ходовое время самоходного флота на ходу, ч;

Сх*tх + Сст*tст - затраты по самоходному судну за круговой рейс, руб.;

.1.1 Расчет продолжительности последнего холостого рейса


где t′зо - время необходимое сдаче судна на зимний отстой, ч;′зо = 12 ч - для несамоходных судов;′зо = 24ч для теплоходов;

для судов: (576)


для составов (1741 + 16800):


где L - расстояние от пункта последней выгрузки до пункта зимнего отстоя, км;(o) - скорость при движении до пункта зимнего отстоя, км/ч;′то(о) - время технического обслуживания в последнем пункте выгрузки берется по несамоходному судну, ч;

Расчет:пара:

проект 576


состав 1741+16800


Данные остальных расчетов приведены в Таблице.

Расчет эксплуатационных расходов:пара

проект 576


Данные остальных расчетов приведены в Таблице

.1.2 Расчет провозной способности судов (составов)


Расчет:пара

пр.576


пр.1741+16800


Данные остальных расчетов приведены в Таблице

5.3 Расчет грузооборота по схемам перевозки (грузопотоков)

∑Glг = (Gl)пр + (Glг)обр, ткм; [3 стр.28]

где

(Glг)пр - грузооборот в прямом направлении, ткм;

(Glг)обр - грузооборот в обратном направлении, ткм;

Расчет:пара

∑Glг = 25000*641 + 18000*641= 27 563 000 ткм;

пара

∑Glг = 38000*191 + 27000* 578 = 22 864 800 ткм;

пара

∑Glг = 29000*641 + 21000*470 = 28 459 000 ткм;

.4 Обоснование оптимального плана расстановки судов

Решение вопроса оптимальной расстановки судов (составов) по схемам грузопотоков производим методом линейного программирования. Одним из наиболее точных методов - распределительным.

Решение производится в итеррациональном цикле, в таблицах матрицах.

.4.1 Составление начального плана

План - матрица 1.

тип судна (состав)

Наличие судов Ф, ед.

Номер схемы грузооборота, тыс.ткм

1

2

3

расходы по флоту, тыс.руб.




Пij

Пij

Пij





27563,0

22864,8

28459,0




άi βi

0.106

0,169

0,112


1741+16800

1

-1920,4

0.75 П = 35886,1 Э =1899,8

0,24 П=21235,8 Э=1668,4

 -----------------

1836,6

576

нет

0

0 П=19356,4 Э=2002,9

1,59 П=11145,4 Э=1893,3

1,62 П=17550,6 Э=1977,3

6213,5

итого:8050.1тыс.руб.

Заполняем таблицу методом "северо-западного угла":


где (Gl)1 - грузооборот первой пары, тыс.т;

П11 - провозная способность, ткм;

Ф1 - наличие судов, ед.;


принимаю Х11 = 0,76 ед.;


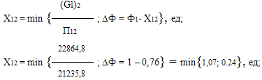
принимаю Х12 = 0,24 ед.;

Данные остальных расчетов приведены в плане - матрице 1.

Расходы по флоту:

∑Э = Э11*Х11 + Э12*Х12 = 1889,8*0,76+1668,4*0,24 = 1836,6 тыс.руб.;

∑Э2 = Э22*Х22 + Э23*Х23 = 1893,3*1.59+1977,3*1,62 = 6 213,5 тыс.руб.;

5.4.2 Нахождение оценочных величин

+bi * Пij = Эij [2 стр.34]

принимаю ά2 = 0,

тогда

+ b2 * П22 = Э22,

Откуда

= 1893,3/1145,4 = 0,169

ά1 + b2 * П22 = Э12, откуда ά1= 1668,4 - 0,169 * 21235,8 = - 1920,4

ά1 + b1 * П11 = Э11, откуда b1 = 0,106

ά2 + b3 * П23 = Э23, откуда b3 = 0,112

.4.3 Проверка полученного плана на оптимальность

Составленный план будет являться оптимальным, если выполнено условие:

+bi * Пij ≤ Эij, для Хij = 0;

ячейка 2-1:

+ 0,106 * 19356,4 = 2051,7 ≥ 2002,9 (+);

План неоптимален. Составляем новый план.

5.4.4 Отыскание минимального элемента в цепи перераспределения


Ставим на первую линию суда второго типа в количестве которые могут быть направлены на вторую линию.

Новые потребности во флоте определяются следующим образом;

Ф21 = Х21 ≥ 0 ; Ф11 = 0,76 - 19356,4 / 35886,1 ≥ 0; Ф12 = 0.24 + 19356,4/35886,1 ≥ 0;

Ф22 = 1,59 - (19356,4 / 35886,1) * (21235,8/ 11145,4) ≥ 0;

Значения Х21 определяем из условия:

Х21 = min {Х′21 Х′′21} = min {1,4; 1,5} = 1.4 ед.;

План - матрица 2.

тип судна (состав)

Наличие судов Ф, ед.

Номер схемы грузооборота, тыс.ткм

1

2

3

расходы по флоту, тыс.руб.




Пij

Пij

Пij





27563,0

22864,8

28459,0




άi βi

0.103

0,163

0,112


1741+16800

1

-1796,4

0.01 П = 35886,1 Э =1899,8

0,99 П=21235,8 Э=1668,4

 -----------------

1670,6

576

ограничений нет

0

1,4 П=19356,4 Э=2002,9

0,16 П=11145,4 Э=1893,3

1,62 П=17550,6 Э=1977,3

6213,5

итого:7 980,8тыс.руб.

Расходы по флоту:

∑Э = Э11*Х11 + Э12*Х12 = 1899,8*0,01+1668,4*0,99 = 1670,6тыс.руб.;

∑Э2 = Э22*Х22 + Э23*Х23 = 1893,3*0,16+1977,3*1,62 + 2002,9*1,4= 6 310,2 тыс. руб.;

.4.4 Нахождение оценочных величин

+bi * Пij = Эij [2 стр.34]

принимаю ά2 = 0,

тогда

+ b1 * П21 = Э21,

Откуда

= 2002,9/19356,4 = 0,103

ά1 + b1 * П11 = Э11, откуда ά1= 1899,8 - 0,103 * 38,886 = - 1796,4

ά1 + b2 * П12 = Э12, откуда b1 = 0,163

ά2 + b3 * П23 = Э23, откуда b3 = 0,112

.4.5 Проверка полученного плана на оптимальность

Составленный план будет являться оптимальным, если выполнено условие:

+bi * Пij ≤ Эij, для Хij = 0;

ячейка 2-1:

0 + 0,103* 19356,4 = 1993,7 ≤ 2002,9 (+);

План оптимален.

6. Определение расчетного рабочего периода

Под расчетным рабочим периодом понимается число суток навигации, в течении которых данный пункт отправления грузит и отправляет суда, осваивающие данный грузовой поток. За начало расчетного рабочего периода принимается начало межени, а окончанием будет являться отправление из начального пункта последнего груженого судна или состава с таким расчетом, чтобы грузовое судно до наступления ледовых образований успел дойти до пункта назначения, выгрузиться и вернуться порожнем в плановый отстойный пункт и встать в затон на зимнюю стоянку.

Расчетный рабочий период определяется графически с помощью хронограммы характерных фаз навигации, на которую наносятся последний груженный рейс в прямом направлении и "нулевой рейс" в конце навигации.

Расчет:

проект 576 - 83 суток рабочий период;

проект 1741 + 16800 - 80 суток рабочий период;

7. Формирование грузовых линий

Существует две формы формирования грузовых линий:

линейная форма;

рейсовая форма;

Линейная форма - движение флота производится по определенным нормативам с определенным темпом или по графику движения судов.

Рейсовая форма - перевозка грузов по готовности, в небольшом объеме.

Критерием организации линейной формы является частота отправлений и интервал:


Интервал отправлений:


гдерасч - расчетная масса перевозимого груза для данного типа флота на конкретной схеме перевозок, т;

σ′ - коэффициент неравномерности перевозки грузов по времени;ррп - продолжительность расчетного периода для конкретной схемы и конкретного судна, ч;э = эксплуатационная нагрузка для одного грузового судна прямого направления, т;′ - число несамоходных судов в составе, ед.;

7.1 Распределение объема перевозок по видам флота

Схема 1

прямое направление;

пр = 25000 т;

∑Gl = 27 563 000 ткм;

состав- 1741+16800:

сост = Пij* Хij = 35 886 000 * 0,01 = 358 861ткм;

проект 576:

= 27 563 000 - 358 861 = 27 204 139 ткм;

Тогда


тогда

пр(576) = Gпр - Gпр(сост) = 25000 - 325,5 = 24 674,5 т;

частота (1741 +16800):

0,008 < 0,16 - линейная форма не целесообразна, принимаем рейсовую форму;

частота (576):


,228 > 0,16 - линейная форма перевозки;

принимаемая частота - 0,25 (1/сут), тогда tu = 96 часов;

обратное направление: Gобр = 18000 т;

Тогда


частота (1741 +16800):


,009 < 0,16 - линейная форма не целесообразна, принимаем рейсовую форму;

частота (576):


0,24 > 0,16 - линейная форма перевозки;

принимаемая частота - 0,25 (1/сут), тогда tu = 96 часов;

Схема 2

прямое направление;пр = 38000 т;

∑Gl = 22 864 000 ткм;

состав- 1741+16800:

проект 576:

= 22 864 000 - 21 023 442 = 1 840 558 ткм;

тогда Gпр 38000

пр(576) = Gпр - Gпр(сост) = 38000 - 34 941 = 3059 т;

частота (1741 +16800):


,096 < 0,16 - линейная форма не целесообразна, принимаем рейсовую форму;


0,03 < 0,16 - рейсовая форма перевозки;

обратное направление:пр = 27 000 т;

∑Gl = 22 864 000 ткм;

состав- 1741+16800:

сост = Пij* Хij = 21 235 800 * 0,99 = 21 023 442ткм;

проект 576:

= 22 864 000 - 21 023 442 = 1 840 558 ткм;

Тогда


тогда

пр(576) = Gпр - Gпр(сост) = 27 000 - 24 826,4 = 2 173,6 т;

частота (1741 +16800):


,104 < 0,16 - линейная форма не целесообразна, принимаем рейсовую форму;

частота (576):


,03 < 0,16 - рейсовая форма;

Схема 3

прямое направление;пр = 29 000 т;

∑Gl = 28 459 000 ткм;

частота (576):


,216 > 0,16 - линейная форма перевозки;

принимаемая частота - 0,25 (1/сут), тогда tu = 96 часов;

обратное направление:обр = 21 000 т;

частота (576):


,281 > 0,16 - линейная форма перевозки;

принимаемая частота - 0,33 (1/сут), тогда tu = 72 часа;

.2 Обеспечение ритмичности работы флота по линейной форме

Ритмичность работы флота по линейной форме обеспечивается при соблюдении следующего условия:


где′кр - продолжительность кругового рейса тоннажа, ч;- интервал, ч;

Расчет:

Схема 1

проект 576


за целое число принимаем 2,0

тогда

′кр(уточн) = 96 * 2 = 192 ч;

Схема 3

проект 576


за целое число принимаем 2,0

тогда

′кр(уточн) = 96 * 2 = 192 ч.

8. Разработка плана освоения перевозок грузов и организации работы флота

Судопоток:

= G/Qэ;

Период работы линии:

- масса груза, т;

σ′ - коэффициент неравномерности;

ч - принятая частота перевозки, 1/сут;э - эксплуатационная загрузка, т;′ -число несамоходных судов, ед;

Расчет:

Схема 1


Тогда

посл.г.р = tx * (1+0,058) + tто(г) + tвгр, ч;посл.г.р = 28.9 * (1+0,058) + 4 + 14.3 = 48.8 ч;


Схема 3


Тогда


Потребность во флоте:

Ф′ = ч * t′кр (сут)* m′, ед;

Расчет:

Схема 1

Ф′ = 0,25 * 8 = 2 ед;

Схема 2

Ф′ = 0,25 * 8 = 2 ед;

Грузооборот:

= Xij * Пij, ткм;

Схема 1

= 1,4 * 19356400 = 27 098 000 ткм;

Схема 3

= 1,62 * 17550,6 = 28 431 972 ткм;

Производительность в валовые сутки:


9. Разработка плана отправления

Разработка плана отправления производится для тех схем перевозок, где частота по расчету оказалась менее 0,16 - такие перевозки организуются по рейсовой форме/

Потребность во флоте:

Ф′ = m/n, ед; [6 стр.22]

где n - целое число круговых рейсов, выполненных за меженной период, ед;- судопоток, ед;

= G/Qэ, ед.; [6 стр.22]

- масса груза, т;

= tм / t′кр, ед. [6 стр.22]

где t′кр - продолжительность кругового рейса, округленная до целого числа, сут.;м - продолжительность меженного периода, сут;

Данные расчетов приведены в Таблице

10. Разработка плана портового обслуживания

План портового обслуживания представляет собой документ в котором отражена последовательность и продолжительность обработки судов в каждом из портов согласно перевозки грузов.

.1 Уточнение элементов кругового рейса судов и составов работающих по линейной форме

Таблица 14

номер схемы

тип судна

порт погрузки

порт выгрузки

порт погрузки



tто(о)

tпгр

tто(г)

tув

tто(г)

tвгр

tто(о)

tув

tто(о)

tпгр

tто(г)

tув

1

576

2,5

11,8

4

3,5

4

14,3

2,5

3,5

2,5

25,6

4

3,5

3

576

2,5

12,1

4

4

14,8

2,5

3,0

2,5

26,5

4

3,0


порт выгрузки

Нахождение в пути

Уточненная продолжительность кругового рейса


вниз груж.

вниз порожн.

вверх груж.

вверх порожн.

всего

в т.ч.

tто(г)

tвгр

tто(о)

tув






∑tпутевое

∑tстоянок

4

28,,1

2,5

3,6

28,9

-

43,0

-

192

67,9

124,1

4

29,2

2,5

3,0

28,8

-

31,5

10,8

192

67,3

124,7



Расчет:

Схема 1

проект 576 - линейная формакр = 177,7ч;= 96ч;

тогда


за целое число принимаем 2,0 ед.;

тогда

кр (уточн.) = 96*2 = 192 ч

или продолжительность кругового рейса увеличилась на

- 177,2 = 14,3 ч;

Для обеспечения ритмичности разбиваем данные 14,3 часа на продолжение всего кругового рейса за счет стоянок в портах.

Данные остальных расчетов приведены в Таблице

.2 Определение времени нахождения судов (составов) в порту при рейсовой форме перевозки

Данные вышеизложенных расчетов по времени нахождения судов (составов) в портах представлены в Таблице

Таблица 15

Номер схемы

Проект судна

прямое направление

обратное направление



порт погрузки

порт выгрузки

порт погрузки

порт выгрузки



до

Грузовые работы

после

до

Грузовые работы

после

до

Грузовые работы

после

до

Грузовые работы

после

1

1741+16800

7,5

15,2

3,2

3,2

18,6

7,5

7,5

32,8

3,2

3,2

36,3

7,5

2

1741+16800

7,5

14,8

3,2

3,2

18,2

7,5

7,5

31,6

3,2

3,2

35,1

7,5

2

576

2,5

2,4

4

4

3,0

2,5

2,5

5,3

4

4

5,9

2,5



Список использованной литературы

1. Юмин Н.А., Зачесов В.П., Минеев В.А., Кожухарь В.И. Организация перевозок и управление работой флота в пароходствах восточных бассейнов. Части 1, 2, 3. Якутск, 1992. - 340 с.

. Зачесов В.П. Математическое моделирование в эксплуатационно-экономических расчетах. / Учебное пособие. - Новосибирск, 1990. - 111 страниц

. Юмин Н.А. Методические указания по курсовому проектированию для студентов эксплуатационной специальности факультета заочного обучения.- НИИВТ, Новосибирск, 1990, - 66 с.

. Юмин Н.А. Методическая разработка по выполнению контрольных работ по дисциплине "Организация работы флота". Новосибирск, 1991.

. Анисимов П.Л. Справочный материал по технико-эксплуатационным показателям работы Амурского речного пароходства. Хабаровск, 2004.

. Бунеев В.М. Методические указания по выполнению курсового проекта по дисциплине "Технология и организация перевозок" по теме "План освоения перевозок грузов и организация работы флота", Новосибирск. 1998.

. Диспетчерский справочник на суда Амурского речного пароходства. 1973.

. Значения коэффициентов силы тяги на гаке буксирных судов.

. Тарифное руководство №4-Р "Тарифные расстояния Амурского речного пароходства". 1978.

. Данные по экономическим показателям по самоходному флоту и несамоходным судам ОАО "Амурское речное пароходство" по состоянию на 01.01.2000 г.

. Судо-часовые нормы загрузки судов.1994.

. Правила перевозок грузов. Ч. 1 1979.

. Юмин Н.А. Методическая разработка по выполнению контрольных работ по дисциплине "Организация работы флота". Новосибирск, 1992.

. Юмин Н.А. и др. Организация работы флота. 1963

.Захаров В.Н., Зачесов В.П., Малышкин А.Г. Организация работы речного флота. 1994.

Похожие работы на - Расчет и составление графика движения флота

 

Не нашли материал для своей работы?
Поможем написать уникальную работу
Без плагиата!
Без нейросетей!