Разработка технологического процесса работы сортировочной станции
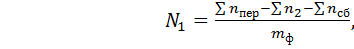
СОДЕРЖАНИЕ
Введение
1. Техническая и
эксплуатационная характеристика станции
. Специализация парков и
путей станции
. Технология работы парка
прибытия
. Нормирование горочных
локомотивов
. Организация обработки
вагонов в сортировочном парке
. Расчет числа маневровых
локомотивов для расформирования и формирования поездов
. Расчет потребности
локомотивов для подач и уборок вагонов на пункты выгрузки, погрузки и ремонта
. Технология работы
приемо-отправочного парка
. Построение плана-графика
работы станции
. Расчет показателей работы
станции
Заключение
Литература
ВВЕДЕНИЕ
Сортировочные станции предназначены в основном
для сортировки вагонов по маршрутам следования и массового формирования из них
поездов дальних назначений. Производственная деятельность сортировочных станций
характеризуется, таким образом, расформированием большей части поступающих сюда
поездов, накопления из них составов новых назначений, формирования и
отправления поездов. Транзитные поезда без переработки или с частичным
изменением состава в отличие от участковых станций имеют здесь меньший удельный
вес в общем вагонопотоке, чем переработка вагонов.
Сортировочные станции размещают в пунктах
массового зарождения или погашения вагонопотоков, в пунктах слияния или
пересечения железнодорожных линий либо в крупных транспортных узлах. Расстояние
между сортировочными станциями зависит от размещения производительных сил и
конфигурации железнодорожной сети.
Объём работы с местными вагонами на самой
сортировочной, как правило, невелик, хотя есть отдельные станции с примыканием
крупных подъездных путей и значительной переработкой в связи с этим местного
вагонопотока. Кроме того, на сортировочных станциях выполняются техническое
обслуживание и коммерческий осмотр вагонов, устранение выявленных неисправностей,
смена локомотивов и локомотивных бригад, сортировка грузов, погрузка и выгрузка
вагонов и обслуживание подъездных путей, формирование сборных вагонов с
контейнерами и мелкими отправками и другие операции. Для выполнения указанной
работы на сортировочных станциях имеется 3 - 6 парков путей, общее число
которых в зависимости от типа станции и объёма работы колеблется от 30 до 100
путей. На сортировочных станциях размещают: локомотивное и вагонное депо,
пункты технического обслуживания вагонов, служебно-технические здания. Для
расформирования-формирования поездов на сортировочных станциях сооружают
механизированные сортировочные горки.
По объёму и характеру работы различают
сортировочные станции основные (опорные) и районные.
К основным относятся сортировочные станции,
перерабатывающие свыше 3000 вагонов в сутки, оборудованные механизированными
горками и формирующие сквозные поезда назначением на другие основные
сортировочные станции.
К районным относятся сортировочные станции,
перерабатывающие от 1500 до 3000 вагонов в сутки и формирующие, как правило,
сквозные поезда на ближайшие сортировочные станции.
В зависимости от вида сортировочных устройств,
применяемых для расформирования-формирования составов, различают горочные
станции, оборудуемых сортировочными горками большой, средней или малой
мощности, и безгорочные, на которых устраиваются вытяжные пути. В зависимости
от числа сортировочных комплектов различают односторонние (однокомплектные) и
двусторонние (двухкомплектные) станции. Каждый сортировочный комплект на
крупных станциях состоит из парков приёма, горки, сортировочного парка и парка
отправления. На менее мощных станциях парк отправления может отсутствовать и
сортировочный комплект может включать лишь парк приёма, горку и
сортировочно-отправочный парк.
По взаимному расположению основных парков
различают станции с последовательным, параллельным и комбинированным
расположением парков. Расположение главных путей на сортировочных станциях
может быть объемлющим и односторонним.
Специализация парков и путей на станциях должна
осуществляться исходя из максимального их использования с учётом возможной
взаимозаменяемости, обеспечения минимального числа враждебных маршрутов
поездных и маневровых передвижений и минимального пробега вагонов и
локомотивов.
1. ТЕХНИЧЕСКАЯ И ЭКСПЛУАТАЦИОННАЯ ХАРАКТЕРИСТИКА
СТАНЦИИ
Рисунок 1.1 Схема железнодорожных линий,
примыкающих к станции
Станция Н - сортировочная станция с
последовательным расположением парков. Она состоит из следующих парков: парк
прибытия, сортировочная горка, сортировочный парк и приёмо-отправочный парк. К
станции примыкает 3 перегона:
Перегон Н-Д имеет два главных пути,
оборудованных автоблокировкой. Перегонное время хода поездов: грузовых четных и
нечетных - 13 минут; пассажирских четных и нечетных - 11 минут.
Перегон Н-И имеет два главных пути,
оборудованных автоблокировкой. Перегонное время хода поездов: грузовых четных и
нечетных - 13 минут; пассажирских четных и нечетных - 11 минут.
Перегон Н-Р имеет один главный путь,
оборудованный полуавтоматической блокировкой. Перегонное время хода поездов:
грузовых четных и нечетных - 13 минут; пассажирских четных и нечетных - 11
минут.
Состоит из трех парков:
парк прибытия, состоит из 9-ти путей, который
предназначен для поездов прибывших в расформирование с направлений Д, Р, И;
сортировочный парк, состоит из 29-ти путей, для
накопления вагонов по направлениям;
приемоотправочный парк, состоит из 10-ти путей,
в котором производятся операции по отправлению поездов своего формирования и
транзитных поездов, также осуществляется пропуск поездов прибывающих в
расформирование с направления Д в парк прибытия;
сортировочная горка, имеет два пути надвига, два
пути роспуска.
Станция Н выполняет следующие виды работ:
ü прием и отправление поездов;
ü расформирование и формирование
поездов в соответствии с графиком движения поездов;
ü работа с транзитными поездами без
переработки;
ü работа с вагонами, прибывающими под
погрузку, выгрузку;
ü работа по обслуживанию маневровыми
локомотивами станции мест погрузки, выгрузки на путях необщего пользования;
ü технический и коммерческий осмотр
составов, поездов и вагонов;
ü текущий безотцепочный и отцепочный
ремонт вагонов;
ü отцепочное и безотцепочное
исправление коммерческих неисправностей в вагонах.
Станция Н оборудована устройствами СЦБ-МРЦ,
электрической централизацией стрелок маневровых районов сортировочного парка.
В парке прибытия и приемо-отправочном парке для
закрепления составов применяются - упоры тормозные станционные (УТС). Пути в
приемо-отправочном парке оборудованы воздухопроводами от компрессорной.
Сортировочная горка механизированная с ГАЦ.
Маневровая работа выполняется маневровыми локомотивами серии ЧМЭ5.
Связь ДСП, дежурного по горке и старших
осмотрщиков ПТО с работниками осуществляется по громкоговорящей оповестительной
связи. Связь машинистов маневровых локомотивов с ДСЦ, ДСП и составительскими
бригадами осуществляется по двусторонней радиосвязи. Документы пересылаются по
пневмопочте.
Данные по поездо- и вагонопотокам приведем в
виде таблицы 1.1.
В таблице указывают суточное количество вагонов
и поездов с переработкой и без переработки, поступающих с каждого из
направлений Д, И, Р и следующих на эти направления, а также количество вагонов,
прибывающих на станцию Н для грузовых операций.
Таблица 1.1 Характеристика поездо- и
вагонопотоков станции Н
|
на
из
|
Направления
|
Ст.
Н
|
Итого
|
Количество
поездов Nб/п / Nпер
|
|
Д
|
И
|
Р
|
|
б/п
|
с/п
|
|
|
б/п
|
с/п
|
б/п
|
с/п
|
б/п
|
с/п
|
|
|
|
|
|
Д
|
х
|
х
|
426
|
953
|
355
|
451
|
26
|
781
|
1404
|
11/20
|
|
И
|
568
|
1042
|
х
|
х
|
х
|
х
|
23
|
568
|
1042
|
8/15
|
|
Р
|
71
|
480
|
71
|
х
|
х
|
х
|
17
|
142
|
480
|
2/7
|
|
Итого
|
639
|
1522
|
497
|
953
|
355
|
451
|
66
|
1491
|
2992
|
21/42
|
Число поездов поступающих в расформирование за
сутки 42.
Рассчитываем среднее количество вагонов в
составе поезда с переработкой и без переработки:

, (1.1)

, (1.2)
Определим избыток и недостаток
порожних вагонов по пунктам погрузки-выгрузки и по станции в целом:
Таблица 1.2 Балансовая таблица
|
Пункты
погрузки-выгрузки
|
Выгрузка
вагонов
|
Погрузка
вагонов
|
Баланс
порожних вагонов
|
|
|
|
избыток
|
недостаток
|
|
Грузовой
двор
|
31
|
22
|
9
|
-
|
|
Склад
топлива
|
11
|
-
|
11
|
-
|
|
Завод
|
24
|
16
|
8
|
-
|
|
Итого
|
66
|
38
|
28
|
-
|
. СПЕЦИАЛИЗАЦИЯ ПАРКОВ И ПУТЕЙ СТАНЦИИ
Специализацию парков и путей станции
устанавливаем исходя из следующих условий:
полное обеспечение безопасности следования
поездов и маневровой работы;
максимальная ликвидация враждебности пересечений
при пропуске по станции вагонопотоков отдельных направлений или назначений;
выбор наилучшего варианта использования путей
парков с учетом равномерного распределения маневровой работы между маневровыми
районами (вытяжками).
В парке прибытия (ПП) 9 путей: пути №1, 2, 3, 4,
5 предназначены для приема четных поездов из И и Р, пути №6, 7, 8, 9
предназначены для приема нечетных поездов из Д.
В приемоотправочном парке (ПОП) 10 путей: путь №
1 для транзитных поездов из Д, путь № 10 для транзитных поездов из Р и из И,
пути № 2, 3, 4, 5, 6, 7, 8, 9 для отправления поездов своего формирования.
Сортировочный парк (СП) - для накопления
составов, согласно плана формирования.
Специализацию путей сортировочного парка
производим с учетом количества и мощности отдельных назначений вагонов. При
этом для вагонов каждого назначения обычно требуется выделение отдельного пути.
При поступлении на одно назначение более 200 вагонов в сутки выделяем два
сортировочных пути.
Таблица 2.1 Специализация путей сортировочного
парка
|
Назначение
вагонов или путей
|
Суточное
количество вагонов
|
Требуется
путей при жесткой специализации
|
Выделено
путей
|
Номера
выделенных путей
|
|
А
Б В Г Д Е Ж З Н-Д И К Л М О Н-И Р С Т Н-Р ГД Склад топ. Завод Отсевной ВРД
|
234
225 162 189 183 155 148 150 76 174 166 181 182 173 77 139 119 139 54 31 11 24
- -
|
2
2 1 1 1 1 1 1 1 1 1 1 1 1 1 1 1 1 1 1 1 1 2 1
|
2
2 1 1 1 1 1 1 1 1 1 1 1 1 1 1 1 1 1 1 1 1 2 1
|
21,20
19,18 22 23 24 25 26 27 17 13 12 11 10 9 5 8 7 6 4 28 2 29 15,16 1
|
|
Итого:
|
2992
|
27
|
27
|
27
|
А если вагонопоток какого-либо направления не
велик, не более 25-30 вагонов в сутки, отдельный путь сортировочного парка на
это направление не выделяем. Таким образом, специализации путей сортировочного
парка предшествует установление потребного их количества.
В СП предусмотрен путь для отцепочного ремонта
вагонов. Соответственно количеству прибывающих вагонов по направлениям
предусматриваем потребное число сортировочных путей и сопоставим их с
фактическим наличием.
Вывод: путей на станции для данного вагонопотока
достаточно. Вагонопоток можно увеличить. Пути № 3, 14 в сортировочном парке не
задействованы.
. ТЕХНОЛОГИЯ РАБОТЫ ПАРКА ПРИБЫТИЯ
Прибывший в расформирование состав закрепляют от
ухода тормозными башмаками или стационарными тормозными упорами (УТС), затем
отцепляют поездной локомотив и ограждают с помощью специальных устройств. Это
делают для того, чтобы к составу не мог подъехать маневровый локомотив во время
технического осмотра вагонов, тем самым обеспечивают безопасность работающих
около состава людей. В процессе подготовки состава к расформированию работники
пункта технического обслуживания вагонов (ПТО) производят отпуск тормозов
вагонов, выявляют вагоны с неисправностями. Одновременно с техническим осмотром
приемщики поездов осуществляют коммерческий осмотр состава.
Общую продолжительность обработки состава по
прибытию определяют временем его технического и коммерческого осмотра,
поскольку остальные операции выполняются параллельно.
Средняя длительность технического осмотра
состава:

(3.1)
где: τ - среднее
время осмотра вагона, принимаем 0,8 -1,0 мин;
m - число
вагонов в составе поезда, прибывающего в расформирование, 71 вагон;
Кгр - число групп осмотрщиков в
бригаде ПТО, принимаем 3.
Число бригад устанавливается исходя
из ограничений, наложенных на загрузку бригады:

, (3.2)
где: Nр
- суточное количество прибывших в расформирование поездов со всех
направлений(таблица 1.1).
Величину загрузки бригады рекомендуется
принимать не более 0,8 (технически рациональный уровень). Вместе с тем слишком
малая загрузка бригады (менее 0,4) экономически нерациональна. Тогда возможное
число бригад определим из неравенства:

(3.3)
Рассчитаем:

,

Вывод: загрузка бригады не превышает
рекомендуемых норм, значит, в парке прибытия работает одна бригада ПТО в
составе которой 3 группы осмотрщиков.
Рисунок 3.1. График обработки поезда,
поступившего в расформирование
. НОРМИРОВАНИЕ ГОРОЧНЫХ МАНЁВРОВ
Технологический процесс работы горки
разрабатывают исходя из условия максимального совмещения операций расформирования
и формирования составов в максимальной параллельности всех горочных операций с
процессом роспуска и накопления вагонов.
Расформирование и формирование составов на
сортировочной станции - единый процесс, выполняемый под руководством
маневрового диспетчера с использованием сортировочных устройств и маневровых
средств. Для выполнения сортировочной работы на станции сооружена горка. По
заданию горка на станции Н механизированная, оборудована ГАЦ.
Процесс расформирования - формирования состава
на горке состоит в следующем. После обработки состава в парке прибытия горочный
локомотив заезжает в хвост состава, надвигает состав до горба горки, после чего
производится его роспуск. Для ликвидации образующихся «окон» на путях в
сортировочном парке горочный локомотив после роспуска 3-4 составов заезжает в
него для осаживания вагонов. Таким образом, время на расформирование одного
состава с горки:

(4.1)
где: tз
- среднее время на заезд локомотива от вершины горки до хвоста в парке
прибытия, мин;
tнад - среднее время
надвига состава из парка прибытия до вершины горки, мин;
tрос - среднее время
роспуска состава с горки;
tос - среднее время
на осаживание вагонов на путях сортировочного парка (на один состав), мин;
tоф - время на
выполнение операций окончания формирования со стороны горки (на один состав),
мин.
Среднее время на заезд локомотива:

(4.2)
где: 
- затрата времени на выполнение
рейса от вершины горки до хвоста состава с учетом перемены направления движения
(0,15мин);

- величина средней задержки из-за
враждебности маршрутов приема поездов на станцию и заезда горочного локомотива
под состав во входной горловине парка приема, мин.

(4.3)
где: 
- длины полурейсов соответственно от
вершины горки за горловину парка прибытия и обратно к хвосту состава,
устанавливаем по схеме станции (210+850+450=1510 м и 210 м соответственно).

- средняя скорость заезда горочного
локомотива (принимаем 19,5 км/ч).
Величину средней задержки из-за
враждебности поездных и маневровых маршрутов находим по эмпирическим формуле
при двух примыкающих к горловине парка приема направлений И и Р:

(4.4)
где: 
- число прибывающих за сутки
поездов с направлений, примыкающих к входной горловине парка приема (таблица
1.1).
Итак,
Время надвига состава:

, (4.5)
где: 
- расстояние от границы предельных
столбиков парка прибытия до вершины горки, 450м.

- средняя скорость надвига состава
на горку, 6 км/ч.
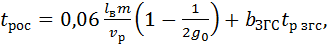
Время роспуска состава с горки:

(4.6)
где: 
- длина вагона (в среднем 14,7 м);

- средняя скорость роспуска
состава, км/ч (принимаем m / g0 = 71 /38
=1,9 тогда 
=5,95 км/ч);

- доля составов с вагонами ЗСГ
(принимаем 0,2);

- увеличение времени роспуска
состава из-за наличия вагонов, запрещенных к роспуску с горки без локомотива
(ЗСГ), (принимаем 4,4 мин).
Время на осаживание вагонов со
стороны горки для ликвидации «окон» на путях сортировочного парка, приходящееся
на один состав:

(4.7)
Время на окончание формирования состава со
стороны горки:

(4.8)
где: nс
- среднесуточное количество повторно сортируемых вагонов, приходящееся на один
сформированный состав.

(4.9)

При работе на горке одного горочного
локомотива горочный технологический интервал будет равен времени на
расформирование одного состава.
Теперь необходимо определить среднее
время на расформирование одного состава при работе на горке двух, трех и,
возможно, четырех локомотивов. Это время называется горочным технологическим
интервалом - это время занятия горки расформированием одного состава. Его
следует определить графическим методом.
С этой целью при рассчитанных
значениях элементов горочного цикла строится технологический график работы сортировочной
горки в условиях работы двух горочных локомотивов рисунке 4.1. По нему
определяется время технологического цикла работы горки и горочный
технологический интервал.
Рисунок 4.1. Технологический график работы
сортировочной горки при работе двух горочных локомотивов
Необходимо учитывать работу с вагонами,
запрещенными к роспуску с горки (ЗСГ). Поэтому к полученному графически
значению горочного технологического интервала следует прибавит 2 минуты.
При работе трех горочных локомотивов горочный
интервал уменьшается в среднем на 2 минуты, при работе четырех еще на 1 минуту.
Количество маневровых локомотивов,
работающих на горке, может быть различным, но оно должно быть таким, чтобы
загрузка горки 
не превышала 0,85.

, (4.10)
При этом

(4.11)
где : 
- горочный технологический
интервал-время от момента начала роспуска состава до момента возможного начала
роспуска другого состава;

- коэффициент, учитывающий
надежность технических устройств (принимаем 0,08);

- коэффициент, учитывающий
возможные перерывы в использовании горки из-за враждебных передвижений
(принимаем 0,95);

- время занятия горки в течение
суток выполнением постоянных операций (техническое обслуживание горочных
устройств, расформирование групп местных вагонов, вагонов с путей ремонта и
др.), принимаем равное 30 мин;

- относительные потери
перерабатывающей способности горки из-за недостатка числа и вместимости
сортировочных путей, в среднем 0,05 для станций с парком отправления.
При работе одного горочного
локомотива, 
При работе двух горочных
локомотивов, 
При работе трех горочных
локомотивов, 
При работе четырех горочных
локомотивов, 

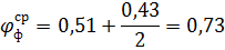
Таблица 4.1 Определение возможного
числа горочных локомотивов
|
|
 , мин Вывод
|
|
|
|
1
2 3 4
|
28
17 15 14
|
1
0,62 0,56 0,52
|
Вариант
исключается Вариант может быть Вариант может быть Вариант исключается
|
На горке данной станции может
работать либо 2, либо 3 локомотива. При одном локомотиве загрузка горки (1)
превышает допустимый уровень. При работе четырех локомотивов загрузка горки
уменьшается по сравнению с
всего на 0,04 мин, следовательно,
введение четвертого локомотива практически не снижает загрузку горки и поэтому
заранее не целесообразно.
Окончательное решение о числе
локомотивов на горке может быть принято после нахождения оптимального их
варианта в виду произведенных расчетов в разделе 6.
После установки количества
работающих на горке локомотивов, рассчитываем суточную перерабатывающую
способность горки по формуле:


(4.12)
где: 
- коэффициент, учитывающий
возможные перерывы в использовании горки из-за враждебных передвижений,
принимаем 0,95;

- время, затраченное на повторный
роспуск местных вагонов и вагонов, поступающих из ремонта, и время занятия
горки в течение суток выполнение постоянных, равное 30 мин;

- коэффициент, учитывающий
повторную сортировку части вагонов из-за недостатка числа и длины сортировочных
путей, принимаем 0,95;

- число прошедших повторный роспуск
местных вагонов и вагонов, поступивших из ремонта за время 
, принимаем 40 вагонов.
Определим резерв горки, как разность
между перерабатывающей способностью и средним количеством перерабатываемых
вагонов (он должен находиться в пределах от 10 до 40%):

(4.13)
и в процентах

(4.14)
Вывод: в ходе расчета мы получили время на
расформирование - формирование одного состава с горки, на основе которого
рассмотрели варианты загрузки горки. В итоге возможные варианты либо с 2, либо
с 3 локомотивами. Окончательное решение примем после нахождения оптимального
варианта в разделе 6.
. ОРГАНИЗАЦИЯ ОБРАБОТКИ ВАГОНОВ В СОРТИРОВОЧНОМ
ПАРКЕ
Поездообразование на сортировочных станциях
включает расформирование, формирование составов на горке, накопление вагонов и
окончание формирования составов. В процессе накопления вагонов на путях
сортировочного парка в станционном технологическом центре обработки поездной
информации и перевозочных документов подбирают документы и составляют натурный
лист. Также возможно подформирование вагонов в процессе накопления
(перестановка отдельных вагонов из-за неподхода центров автосцепки, постановка
вагонов прикрытия).
Расчет времени на маневровые работы.
Время на окончание формирования состава
одногруппного поезда при накоплении вагонов на одном пути определим по формуле:

(5.1)
где: 
- технологическое время на
подтягивание вагонов со стороны вытяжки;

- технологическое время на
выполнение маневровых операций, связанных с расстановкой вагонов по ПТЭ
(постановка в состав вагонов прикрытия, перестановка вагонов при несовпадении
осей автосцепок и др.).
Технологическое время на
подтягивание вагонов:

(5.2)
где: 
- среднее число вагонов в
формируемом составе, 71 вагон.
Технологическое время на расстановку
вагонов по ПТЭ:

(5.3)
где: В и Е - нормативные
коэффициенты, зависящие от среднего числа операций по расцепке вагонов n0=0,20,
приходящегося на один формируемый состав, принимаем соответственно 0,54 и 0,04.
Норма времени на окончание
формирования двухгруппного поезда с подборкой групп (при накоплении вагонов на
двух путях) определим по формуле:

(5.4)
Здесь: 

(5.5)
где: Ж и И - нормативные
коэффициенты, значения которых зависят от числа расцепок в переставляемой части
состава.
Определим среднее технологическое
время на окончание формирования двухгруппного поезда из 71 вагонов, если
суточные вагонопотоки, из которых составляют первые и вторые группы, равны
соответственно на С - 119 и Т- 139 вагонам, а среднее число расцепок 
Определим величины групп вагонов
пропорционально суточному вагонопотоку, с учетом того что:

(5.6)

(5.7)

(5.8)
где: 
- суточное поступление вагонов на
данные назначения, соответственно, максимальное и минимальное количество
вагонов.
Для первой группы: 
Для второй группы: 
Определим значение 
для каждой группы вагонов:

(5.9)

(5.10)
для первой группы (основной):
В = 0,32; Е = 0,03
для второй группы (переставляемой):
Ж = 2,02; И =0,328
Общее технологическое время на окончание
формирования двухгруппного поезда:
Норму времени на окончание формирования сборного
поезда при числе групп не более 4-5 и таком же числе свободных путей (или
концов путей) определим по формуле:

(5.11)
где : 
- время на сортировку вагонов на
вытяжке, мин.

- время на сборку вагонов,мин.
Технологическое время на сортировку
вагонов, мин.

(5.12)
где: А и Б - нормативные коэффициенты для
определения технологического времени на расформирование, формирование состава с
вытяжных путей локомотивами( при сортировке вагонов рейсами осаживания и
приведенном уклоне пути менее 1,5‰ А=0,81; Б=0,40);

- среднее число отцепов сборного
поезда, принимаем 17;

- среднее число вагонов в составе
сборного поезда, принимаем 50 вагонов.
Технологическое время на сборку
вагонов, мин:

(5.13)

- количество путей, с которых
вагоны переставляются.

(5.14)
где: 
- среднее количество поездных групп
в одном составе, зависящее от числа промежуточных станций участка 
=6 станций.

(5.15)

(5.16)
Норму времени на перестановку составов или
отдельных групп вагонов из парка в парк определяют суммированием времени
выполнения отдельных полурейсов, выполненных во время этих перестановок.

(5.17)
где: 
- коэффициент, учитывающий время для
изменения скорости движения локомотива на 1 км/ч при разгоне на 1 км/ч при
торможении, 
;

- коэффициент, учитывающий
дополнительное время на изменение скорости движения каждого вагона в маневровом
составе на 1 км/ч при разгоне и на 1 км/ч при торможении, 
;

-количество вагонов в маневровом
составе;

- допустимая скорость движения при
маневрах, км/ч;

- длина полурейса, м.
Таблица 5.1 Определение времени на
перестановку состава из СП в ПОП
|
Наименование
полурейса
|
 , ваг , м , км/ч , мин
|
|
|
|
|
Перестановка
состава из СП в ПОП
|
71
|
1810
|
40
|
5,9
|
|
Полурейс
локомотива от состава в горловину ПОП
|
0
|
310
|
10
|
2,06
|
|
Полурейс
локомотива от горловины ПОП в СП
|
0
|
2120
|
40
|
4
|
|
Итого
|
|
|
|
11,96
|
Также должно быть учтено время на включение и
опробование автотормозов в маневровом составе:

(5.18)
где:
- количество вагонов, тормоза
которых включается (принимаем 10 вагонов).
Общее технологическое время на
перестановку состава из СП в ПОП:
Рассчитаем средневзвешенное время
нахождения вагонов в процессе окончания формирования (с учетом перестановки):

(5.19)
где: 
- суточное количество формируемых
однограппных, двухгруппных и сборных поездов, определяем по формулам:

(5.20)

(5.21)

(5.22)
где: 
- сумма вагонов, поступающих на
назначения в сборные поезда на участки Н-И, Н-Д, Н-Р.

- сумма вагонов, поступающих на
назначения в двухгруппные поезда на станции С+Т.

- сумма вагонов с переработкой.
Число маневровых локомотивов для
формирования поездов в выходной горловине сортировочного парка 
должно быть таким, чтобы их загрузка

находилась в пределах:

(5.23)
Помимо выполнения условия (5.23),
число маневровых локомотивов 
по условиям безопасности маневров
не должно превышать числа вытяжных путей.
Загрузку рассчитываем по формуле:

, (5.24)
где: 
- число маневровых локомотивов,
занятых формированием поездов;

- коэффициент, учитывающий возможные
перерывы в использовании локомотива из-за враждебных передвижений (принимаем
0,95);

- простой маневрового локомотива в
связи с его экипировкой, сменой бригад и по другим причинам, принимаем 90 мин.

- число формируемых за сутки
поездов, определяемых по формуле:

(5.25)



Вывод: в выходной горловине
сортировочного парка может работать 2 локомотива.
6. РАСЧЕТ ЧИСЛА МАНЕВРОВЫХ
ЛОКОМОТИВОВ ДЛЯ РАСФОРМИРОВАНИЯ И ФОРМИРОВАНИЯ ПОЕЗДОВ
Оптимальное число маневровых
локомотивов для расформирования и формирования определяют по критерию минимума
среднесуточных эксплуатационных расходов:

(6.1)
где: 
- суточные эксплуатационные
расходы, связанные с межоперационными простоями вагонов в части, зависящей от
числа маневровых локомотивов;

- суточные эксплуатационные
расходы, связанные с часами работы маневровых локомотивов.
Вагоно-часы межоперационных простоев
вагонов:

(6.2)
Локомотиво-часы маневровых локомотивов за сутки:

(6.3)
Значения 
и 
будут равны:

(6.4)

, (6.5)
где: 
, 
- эксплуатационные расходы,
приходящиеся на 1 вагоно-час простоя и 1 локомотиво-час маневровой работы,
(принимаем 
.,
)
Значения горочного интервала:






Загрузки локомотивов формирования



Таким образом, получаем 2 варианта
возможного сочетания числа горочных локомотивов и локомотивов, занятых на
окончании формирования. Произведем расчеты по вариантам:
Первый вариант:
Второй вариант:
Первый вариант:
Второй вариант:
Первый вариант:
Второй вариант:
Первый вариант:
Второй вариант:
Первый вариант:
Второй вариант:
Результаты расчетов сводим в таблицу
6.1.
Таблица 6.1 Определение оптимального
числа горочных локомотивов и локомотивов формирования
|
Показатели
|
Вариант
|
|
1
|
2
|
|
|
2
|
3
|
|
|
2
|
2
|
|
|
0,62
|
0,56
|
|
|
0,51
|
0,51
|
|
 , мин43
|
|
|
|
 , мин88
|
|
|
|
 , ваг/ч598,4548,5
|
|
|
|
 , лок/ч96120
|
|
|
|
 , руб116345,6138649
|
|
|
Вывод: Как следует из таблицы, оптимальным
является первый вариант - 2 горочных локомотива и 2 локомотива на вытяжках
формирования.
. РАСЧЕТ ПОТРЕБНОСТИ ЛОКОМОТИВОВ ДЛЯ ПОДАЧ И
УБОРОК ВАГОНОВ НА ПУНКТЫ ВЫГРУЗКИ, ПОГРУЗКИ И РЕМОНТА
Количество маневровых локомотивов
для местных нужд станции должно удовлетворять следующему условию в отношении их
загрузки 

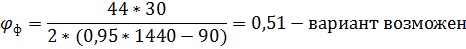
(7.1)

(7.2)
где: 
- коэффициент, учитывающий возможные
перерывы в использовании локомотива из-за враждебных передвижений, 0,93;

- простой маневрового локомотива в
связи с его экипировкой и сменой бригад, 60 мин;

- возможное количество маневровых
локомотивов для местных нужд станции;

- среднесуточный объем маневровой
работы в мин, который представим в виде таблицы 7.1.
Устанавливаем число подач вагонов в
пункты погрузки, выгрузки в соответствии с данными о суточном прибытии местных
вагонов и вместимостью фронта. На пункты отцепочного ремонта рекомендуется
планировать 2 подачи и 2 уборки в сутки, в вагонное депо - 1 подача и 1 уборка.
Для остальных пунктов местной работы минимальное число подач и уборок составит:

(7.3)
где: 
- суточное поступление вагонов к
данному фронту;

- вместимость фронта в вагонах.
Грузовой двор:
Завод:
Склад топлива:
Таблица 7.1 Определение потребного
числа маневровых локомотивов для выполнения местной работы
|
Маневровые
операции
|
Продолжительность,
мин
|
Количество
операций за сутки
|
Время
работы локомотивов, мин
|
|
Подача
вагонов на грузовой двор
|
50
|
2
|
100
|
|
Уборка
вагонов с грузового двора
|
40
|
2
|
80
|
|
Подача
вагонов на склад топлива
|
20
|
2
|
40
|
|
Уборка
вагонов со склада топлива
|
20
|
2
|
40
|
|
Подача
вагонов на завод
|
45
|
2
|
90
|
|
Уборка
вагонов с завода
|
35
|
2
|
70
|
|
Подача
вагонов на ПОР
|
20
|
2
|
40
|
|
Уборка
вагонов с ПОР
|
20
|
2
|
40
|
|
Подача
вагонов в ВРД
|
25
|
1
|
25
|
|
Уборка
вагонов с ВРД
|
25
|
1
|
25
|
|
ИТОГО
|
|
|
550
|
Определим среднюю загрузку локомотивов, занятых
формированием поездов после того, как их нагрузка увеличивается за счет работы
с местными вагонами:

(7.4)
Вывод: Так как полученный результат не превышает
допустимый максимум(0,85), то для выполнения маневровой работы с местными
вагонами не требуется дополнительный локомотив.
. ТЕХНОЛИГИЯ РАБОТЫ ПРИЕМО-ОТПРАВОЧНОГО ПАРКА
В парке отправления с составами выполняют
следующие операции:
ü техническое обслуживание и
безотцепочный ремонт вагонов;
ü коммерческий осмотр и
устранение коммерческих неисправностей;
ü приём работниками ведомственной
охраны вагонов, требующих их сопровождения;
ü постановку сигналов на
хвостовой вагон состава поезда;
ü прицепку поездного локомотива и
опробование автотормозов;
ü вручение локомотивной бригаде
перевозочных документов, справки о тормозах и предупреждений.
После перестановки состава из сортировочного
парка в парк отправления или после завершения операций по окончании
формирования, закрепления состава и отцепки маневрового локомотива состав
предъявляется к техническому обслуживанию оператору ПТО (с записью в книгу
формы ВУ-14). Предъявленный к обслуживанию состав ограждается централизованными
сигналами. Затем выполняют технический осмотр и безотцепочный ремонт вагонов.
В первую очередь необходимо установить
длительность обработки составов в парке отправления.
Норма времени на обработку в техническом
отношении (технический осмотр и безотцепочный ремонт вагонов):

(8.1)
где: 
- средняя длительность технического
осмотра одного вагона с учетом нетрудоемкого безотцепочного ремонта, принимаем
1,5мин;

- средний состав отправляемых
поездов, 71 ваг;

- доля составов, требующих
трудоемкого безотцепочного ремонта, принимаем 0,2;

- средняя длительность этого
ремонта, 12 мин;

- число групп осмотрщиков в бригаде
ПТО, принимаем не менее 4 групп.
В парке отправления обычно работают
несколько бригад ПТО. Их возможное число 
может быть установлено исходя из
ограничений, наложенных на загрузку бригады:

(8.2)
где: 
- общее число отправляемых из парка
за сутки поездов транзитных и своего формирования.

(8.3)
где: 
- число транзитных поездов, 21
поездов (из таблицы 1.1)

- число поездов своего формирования,
44 поезда.
Возможное число бригад может быть
определено из неравенства:

(8.4)
бригады
бригады
Рассмотрим два варианта загрузки бригад:
бригады, 4 группы
бригады, 4 группы
Вариант, в котором загрузка бригады составляет
66%, является более оптимальным.
Вывод: В парке отправления будут работать 2
бригады, в состав которых входят по 4 группы осмотрщиков.
Рисунок 8.1. График обработки поезда своего
формирования в парке отправления
Рисунок 8.2. График обработки транзитного поезда
со сменой поездного локомотива
. ПОСТРОЕНИЕ ПЛАНА-ГРАФИКА РАБОТЫ СТАНЦИИ
Для построения плана графика, на основании
расчетов выполненных в курсовой работе, заполняем таблицу 9.1.
Таблица 9.1 Нормы времени и данные для
построения суточного плана-графика работы станции
|
№
п/п
|
Наименование
показателя
|
Единицы
измерения
|
Значения
|
|
1
|
2
|
3
|
4
|
|
1
|
Период
построения суточного плана-графика
|
час.
|
с
_0_ до _12_
|
|
Парк
приема (ПП)
|
|
2
|
Время
занятия входных стрелок и пути ПП при приеме поезда
|
мин.
|
5
|
|
3
|
Время
на технический осмотр состава  мин.24
|
|
|
|
4
|
Количество
бригад ПТО  бригада1
|
|
|
|
Горка
|
|
5
|
Время
на заезд горочного локомотива  мин.6
|
|
|
|
6
|
Время
на надвиг состава на горку  мин.5
|
|
|
|
7
|
Время
на роспуск состава с горки по путям СП по назначениям вагонов  мин.11
|
|
|
|
8
|
Время
на осаживание вагонов в подгорочном парке для ликвидации «окон» на путях СП
между отцепами вагонов  мин.4
|
|
|
|
9
|
Время
на окончание формирование состава со стороны горки (повторно сортируемые
вагоны - местные, «угловые» потоки, «больные») мин.2
|
|
|
|
10
|
Количество
горочных локомотивов  лок-тив2
|
|
|
|
Сортировочный
парк (СП)
|
|
11
|
Время
на окончание одногруппного поезда на вытяжных путях СП  мин.9
|
|
|
|
12
|
Время
на окончание двухгруппного поезда на вытяжных путях СП  мин.20
|
|
|
|
13
|
Время
на окончание сборного поезда на вытяжных путях СП  мин.51
|
|
|
|
14
|
Время
на перестановку состава из СП в ПОП  мин.16
|
|
|
|
15
|
Количество
маневровых локомотивов для формирования составов и обработки местных вагонов  лок-тив2
|
|
|
|
16
|
Количество
вагонов в формируемых составах одногруппных и двухгруппных поездов  ваг.71
|
|
|
|
17
|
Количество
вагонов в формируемом составе сборных поездов  ваг.38
|
|
|
|
Местная
работа
|
|
Грузовой
двор
|
|
18
|
Продолжительность
операции по подаче вагонов, включая подборку и расстановку  мин.50
|
|
|
|
19
|
Продолжительность
операции по уборке вагонов, включая сборку и сортировку  мин.40
|
|
|
|
20
|
Количество
подач и уборок  подача2
|
|
|
|
21
|
Продолжительность
выгрузки (погрузки) поданной группы вагонов  ч.4
|
|
|
|
22
|
Фронт
погрузочно-выгрузочных работ  ваг.16
|
|
|
|
Склад
топлива
|
|
23
|
Продолжительность
операции по подаче вагонов, включая подборку и расстановку  мин.20
|
|
|
|
24
|
Продолжительность
операции по уборке вагонов, включая сборку и сортировку  мин.20
|
|
|
|
25
|
Количество
подач и уборок  подача2
|
|
|
|
26
|
Продолжительность
выгрузки (погрузки) поданной группы вагонов  ч.2
|
|
|
|
27
|
Фронт
погрузочно-выгрузочных работ  ваг.7
|
|
|
|
Завод
|
|
28
|
Продолжительность
операции по подаче вагонов, включая подборку и расстановку  мин.45
|
|
|
|
29
|
Продолжительность
операции по уборке вагонов, включая сборку и сортировку  мин.35
|
|
|
|
30
|
Количество
подач и уборок  подача2
|
|
|
|
31
|
Продолжительность
выгрузки (погрузки) поданной группы вагонов  ч.5
|
|
|
|
32
|
Фронт
погрузочно-выгрузочных работ  ваг.14
|
|
|
|
Пункт
отцепочного ремонта
|
|
33
|
Продолжительность
подачи (уборки)  мин.20
|
|
|
|
34
|
Количество
подач и уборок  подача2
|
|
|
|
35
|
Продолжительность
ремонта одной группы вагонов  ч.3,5
|
|
|
|
36
|
Вместимость
фронта  ваг.10
|
|
|
|
Вагоно
- ремонтное депо
|
|
37
|
Продолжительность
подачи (уборки)  мин.25
|
Количество
подач и уборок  подача1
|
|
|
|
39
|
Продолжительность
ремонта одной группы вагонов  ч.8
|
|
|
|
40
|
Вместимость
фронта  ваг.5
|
|
|
|
Приемо
- отправочный парк (ПОП)
|
|
41
|
Время
на технический осмотр состава  мин.29
|
|
|
|
42
|
Время
занятия выходных стрелок и пути ПОП при отправлении поезда
|
мин.
|
5
|
|
43
|
Количество
бригад ПТО Б бригада2
|
|
|
|
|
|
|
|
|
. РАСЧЕТ ПОКАЗАТЕЛЕЙ РАБОТЫ СТАНЦИИ
1. Средний простой транзитного вагона без
переработки:
, (10.1)
где:
- общие часы нахождения транзитных
поездов без переработки на станции;
- общее число транзитных поездов
(табл.1.1).
Таблица 10.1
|
№
поезда
|
Время
прибытия
|
Время
отправления
|
Вагонов
|
|
|
1
|
2
|
3
|
4
|
5
|
|
2701
|
01-05
|
01-35
|
0,50
|
71
|
|
2703
|
07-30
|
07-59
|
0,48
|
71
|
|
2705
|
08-55
|
09-25
|
0,50
|
71
|
|
2707
|
10-22
|
10-57
|
0,58
|
71
|
|
2502
|
04-01
|
04-33
|
0,53
|
71
|
|
2504
|
10-05
|
10-35
|
0,50
|
71
|
|
Итого:
|
|
|
3,09
|
|
ч
2. Средний простой транзитного вагона с
переработкой:
, (10.2)
где:
- средний простой вагона в парке
прибытия:
, (10.3)
где:
- среднее технологическое время
обработки состава по прибытии;
- средняя продолжительность
межоперационных простоев в парке прибытия, определяем по формуле:
, (10.4)
где:
- суммарные вагоно-часы
межоперационных простоев в парке прибытия;
- общее за 12 - часовой период число
транзитных вагонов с переработкой, поступивших в парке прибытия;
- среднее время нахождения вагона в
процессе расформирования, складывается из времени на надвиг и роспуск состава с
горки, т.е.:
, (10.5)
- средний простой вагона в
сортировочном парке, складывается из двух слагаемых:
, (10.6)
где:
- средний простой вагона в ожидании
окончания формирования состава;
- среднее время простоя вагона под
накоплением в часах:
, (10.7)
где: К- число назначений поездов плана
формирования;
- количество вагонов, отправляемых
в поездах своего формирования за сутки;
с - параметр накопления (суточные
составо-часы накопления), примерное значение которого равно 11,3 составо-ч.
- среднее время нахождения вагонов в
процессе окончания формирования на вытяжках с учетом перестановки состава в
парке отправления;
- средний простой вагона в парке
отправления:
(10.8)
где:
- среднее технологическое время
обработки состава по отправления (принимаем по технологическому графику);
- средняя продолжительность
межоперационных простоев в парке отправления.
Таблица 10.2
|
№
поезда
|
Простой
|
Вагонов
|
|
|
1
|
2
|
3
|
4
|
|
2102
|
0
|
71
|
0
|
|
2202
|
0,23
|
71
|
16,57
|
|
2104
|
0
|
71
|
0
|
|
2106
|
0
|
71
|
0
|
|
2108
|
0
|
71
|
0
|
|
2110
|
0,27
|
71
|
18,93
|
|
2112
|
0
|
71
|
0
|
|
2114
|
0,1
|
71
|
7,1
|
|
2204
|
0,63
|
71
|
44,97
|
|
2116
|
0,2
|
71
|
14,2
|
|
2118
|
0,18
|
71
|
13,02
|
|
2301
|
0,25
|
71
|
17,75
|
|
2303
|
0,07
|
71
|
4,73
|
|
2305
|
0
|
71
|
0
|
|
2307
|
0
|
71
|
0
|
|
2309
|
0,07
|
71
|
4,73
|
|
2311
|
0,4
|
71
|
28,4
|
|
2313
|
0,53
|
71
|
37,87
|
|
2315
|
0,6
|
71
|
42,6
|
|
2317
|
0,4
|
71
|
28,4
|
|
2319
|
0,48
|
71
|
34,32
|
|
2321
|
0
|
71
|
0
|
|
Итого:
|
|
1562
|
306,49
|
ч
ч
ч
ч
Таблица 10.3
|
№
поезда
|
Простой
|
Вагонов
|
|
|
1
|
2
|
3
|
4
|
|
Н-Р
|
0,42
|
38
|
15,83
|
|
Н-И
|
0
|
38
|
0
|
|
1
|
2
|
3
|
4
|
|
Н-И
|
0,13
|
38
|
5,07
|
|
С+Т
|
0,42
|
71
|
29,58
|
|
С+Т
|
1,13
|
71
|
80,47
|
|
Р
|
0,02
|
72
|
1,20
|
|
О
|
0
|
71
|
0
|
|
М
|
0
|
71
|
0
|
|
М
|
0,97
|
71
|
68,63
|
|
Л
|
0
|
71
|
0
|
|
Л
|
0
|
71
|
0
|
|
К
|
0
|
71
|
0
|
|
И
|
0,1
|
71
|
7,1
|
|
Н-Д
|
0,42
|
38
|
15,83
|
|
Б
|
0
|
71
|
0
|
|
Б
|
0
|
71
|
0
|
|
А
|
0,42
|
71
|
29,58
|
|
В
|
0
|
71
|
0
|
|
Г
|
0
|
71
|
0
|
|
Д
|
0
|
69
|
0
|
|
Д
|
0
|
71
|
0
|
|
Е
|
0,07
|
71
|
4,73
|
|
Ж
|
0,48
|
71
|
34,32
|
|
З
|
0
|
70
|
0
|
|
Итого:
|
|
1570
|
292,34
|
ч
ч
Таблица 10.4
|
№
поезда
|
Простой
|
Вагонов
|
|
|
1
|
2
|
3
|
4
|
|
2101
|
0,27
|
71
|
18,93
|
|
2103
|
0,13
|
71
|
9,47
|
|
2201
|
1,63
|
71
|
115,97
|
|
3101
|
1,33
|
38
|
50,67
|
|
2105
|
0,3
|
71
|
21,3
|
|
2203
|
1,32
|
72
|
94,80
|
|
1
|
2
|
3
|
4
|
|
2107
|
0,08
|
71
|
5,92
|
|
2109
|
1,3
|
92,3
|
|
3201
|
1,82
|
38
|
69,03
|
|
2302
|
0,23
|
71
|
16,57
|
|
2304
|
0,42
|
69
|
28,75
|
|
2306
|
0,65
|
71
|
46,15
|
|
2308
|
0,32
|
70
|
22,17
|
|
3302
|
0,07
|
38
|
2,53
|
|
2310
|
0,07
|
71
|
4,97
|
|
2312
|
0,17
|
71
|
11,83
|
|
2314
|
0,5
|
71
|
25,5
|
|
2316
|
1,17
|
71
|
82,83
|
|
2318
|
1,58
|
71
|
112,42
|
|
Итого:
|
|
1248
|
832,11
|
ч
ч
ч
3. Общий простой транзитного вагона:
, (10.9)
где:
- суточное число транзитных вагонов
без переработки.
ч
4. Средний простой местного вагона:
, (10.10)
где:
- средний простой местного вагона в
сортировочном парке в ожидании подачи;
- среднее время на подачу местного
вагона, включая подборку и расстановку;
- средний простой местного вагона в
ожидании начала грузовых операций;
- среднее время простоя местного
вагона под погрузкой - выгрузкой;
- соответственно время на ожидание
уборки и уборки вагона с фронтов погрузки - выгрузки с учетом сборки вагонов и
сортировки по назначениям плана формирования.
Таблица 10.5
|
Пункт
местной работы
|
Вагонов
|
Простой
|
|
|
Грузовой
двор
|
9
|
0,83
|
7,47
|
|
Завод
|
5
|
0,75
|
3,75
|
|
Склад
топлива
|
3
|
0,33
|
0,99
|
|
Итого:
|
17
|
|
12,21
|
ч
Таблица 10.6
|
Пункт
местной работы
|
Вагонов
|
Простой
|
|
|
Грузовой
двор
|
9
|
4,0
|
36
|
|
Грузовой
двор
|
9
|
4,0
|
36
|
|
Завод
|
5
|
5,0
|
25
|
|
Завод
|
5
|
5,0
|
25
|
|
Склад
топлива
|
3
|
2,0
|
6
|
|
Итого:
|
31
|
|
128
|
ч
Таблица 10.7
|
Пункт
местной работыВагоновПростой
|
|
|
|
|
Грузовой
двор
|
9
|
1,75
|
15,75
|
|
Склад
топлива
|
3
|
0,55
|
1,65
|
|
Итого:
|
12
|
|
17,4
|
Таблица 10.8
|
Пункт
местной работы
|
Вагонов
|
Простой
|
|
|
Грузовой
двор
|
9
|
0,67
|
6,03
|
|
Завод
|
5
|
0,58
|
2,9
|
|
Склад
топлива
|
3
|
0,33
|
0,99
|
|
Итого:
|
17
|
|
9,92
|
сортировочный
станция локомотив
ч
5. Рабочий парк вагонов на станции:
, (10.11)
где:
- суточное поступление на станцию
местных вагонов.
вагонов
6. Вагонооборот станции - сумма прибывших и
убывших вагонов за сутки, т.е.:
, (10.12)
вагонов
7. Коэффициент использования маневровых
локомотивов рассчитывают для каждого локомотива по плану-графику по формуле:
, (10.13)
где:
- общее время занятия локомотива
маневровой работой за 12 - часовой период, мин.
мин;
мин;
мин;
мин.
10. Коэффициент использования горочных
механизмов:
, (10.14)
где:
- время роспуска состава на горке;
- продолжительность горочного
технологического интервала.
Показатели работы станции для
удобства сводим в таблицу 10.9.
Таблица 10.9 Показатели работы
станции Н
|
Показатель
|
Единицы
измерения
|
Значение
|
|
1.
Средний простой транзитного вагона без переработки
|
час
|
0,15
|
|
2.
Средний простой транзитного вагона с переработкой
|
час
|
7,53
|
|
3.
Общий простой транзитного вагона
|
час
|
5,08
|
|
4.
Средний простой местного вагона
|
час
|
14,41
|
|
5.
Рабочий парк вагонов
|
вагон
|
988
|
|
6.
Вагонооборот
|
вагон
|
9098
|
|
7.
Коэффициент использования маневровых локомотивов
|
|
|
|
0,34
|
|
|
|
0,34
|
|
|
|
0,68
|
|
|
|
0,70
|
|
|
|
8.
Коэффициент использования горочных механизмов
|
|
0,66
|
ЗАКЛЮЧЕНИЕ
В курсовом проекте разработан технологический
процесс работы сортировочной станции Н, подсчитаны все необходимые нормы
времени на маневровые операции. Определено оптимальное количество горочных и
маневровых локомотивов. Подробно рассмотрена работа всех парков станции в
отдельности. На основании расчетов построен суточный план-график работы станции
на заданный 12-ти часовой период. Суточный план-график является графическим
отображением выполняемых на станции маневровых, технических, грузовых и др.
операций, а также подтверждением произведенных расчетов.
СПИСОК ЛИТЕРАТУРЫ
1.
Управление эксплуатационной работой на железнодорожном транспорте. Учеб. Том 1.
Под ред. В.И. Ковалева и А.Т. Осьминина/ М.: УМЦ ЖДТ, 2009. - www.twirpx.com
<http://www.twirpx.com>, www.scbist.com
<http://www.scbist.com>
.
Технология работы сортировочных станций / Бородин А.Ф., Биленко Г.М., Олейник
О.А., Бородина Е.В.; Под ред. А.Ф. Бородина: Уч. Пос. - М.: РГОТУПС, 2002. -
192 с.
.
Нормы времени на маневровые работы, выполняемые на железнодорожных станциях ОАО
«РЖД», нормативы численности бригад маневровых локомотивов. М.: ТЕХИНФОРМ, 2007.
- 100 с.
4. Типовой технологический процесс
работы сортировочной станции. М.: ТЕХИНФОРМ, 2003. - 275 с.
. Железнодорожные станции и узлы
(задачи, примеры, расчеты)/ Под ред. Н.В. Правдина. М.: Маршрут, 2005. - 501 с.
. Информационные технологии на транспорте
/ Биленко Г.М., Бородин А.Ф., Епрынцева Н.А., Хомов А.В. Под ред. Г.М.
Биленко:. Уч. Пос. - М.: РГОТУПС, 2006. - 220 с.