Проект мостового перехода и подходов к нему
Федеральное агентство по образованию
ГОУ ВПО
Воронежский Государственный
Архитектурно-
Строительный Университет
Кафедра проектирования автомобильных
дорог и мостов
КУРСОВОЙ ПРОЕКТ
«Проект мостового перехода и подходов
к нему» по курсу
«Основы проектирования автомобильных
дорог»
Выполнил: студент 941 группы
Чан Дык Туен
Воронеж - 2009 г
Содержание
Введение
Глава 1. Проектирование нежесткой дорожной одежды
.1 Исходные данные
.2 Установление расчетной нагрузки
.3 Определение величины минимального требуемого модуля
упругости
.4 Определение требуемого уровня надежности и коэффициента
прочности
.5 Конструирование дорожной одежды
.6 Определение характеристик грунта земляного полотна
Глава 2. Расчет дорожной одежды
.1 Расчет дорожной одежды по упругому прогибу
.2 Расчёт дорожной одежды по сдвигу в грунте земляного
полотна
.3 Расчёт дорожной одежды на сдвиг в песчаном слое
.4 Расчет слоев асфальтобетона на растяжение при изгибе
.5 Расчет слоя из золошлаковой смеси, укрепленным цементом,
на растяжение при изгибе
.6 Проверка дорожной конструкции на морозоустойчивость
Глава 3. Проектирование мостового перехода
3.1
Определение расчетного расхода
3.2 Определение вспомогательных характеристик потока
.3 Расчет отверстия моста
.4 Определение размеров струенаправляющих дамб
3.5 Расчет размывов
.5.1 Расчет общего размыва
.5.2 Расчет размыва у промежуточной опоры
.5.3 Расчет размыва в голове струенаправляющей дамбы
.6 Расчет подпоров
.7 Определение расчетного судоходного уровня
.8 Проектирование подходов к мосту
Глава 4. Определение отверстий малых водопропускных
сооружений
.1 Исходные данные
.2 Определение расчетного расхода по СНиП 2.01.14 - 83
.3 Определение расчётного расхода по способу МАДИ и института
Союздорпроект
.4 Расчёт стока талых вод с малых водосборов
.5 Определение сбросного расхода воды в сооружении с учетом
аккумуляции
4.6 Расчет отверстия малого моста
Список литературы
Введение
Дорожной одеждой называют твердую монолитную конструкцию из одного или
нескольких слоев, выполненных из разнородных материалов, уплотненную на
поверхность земельного полотна. Дорожная одежда должна хорошо сопротивляться
воздействию колес автотранспортных средств, быть стойкой к влиянию
природно-климатических факторов и отвечать основным транспортно-эксплутационным
требованиям (прочность, ровность, шероховатость, беспыльность).
Современные дорожные одежды по механическим свойствам, т.е. по
сопротивлению нагрузкам от воздействия автотранспортных средств и характеру
деформирования, разделяют на 2 группы - это жесткие и нежесткие дорожные
одежды.
К жестким дорожным одеждам относят дорожные одежды, главным
конструкционным элементом которых является цементно-бетонная плита.
К нежестким относят те дорожные одежды, у которых сопротивление изгибу и
модули упругости конструктивных слоев существенно зависят от температуры и
влажности, либо сопротивления изгибу практически отсутствуют. Важнейшим
требованием, предъявляемым к дорожным одеждам нежесткого типа является
надежность и экономичность в течение расчетного периода эксплуатации.
Напряжения, возникающие в дорожной одежде под воздействием подвижной
нагрузки, затухают с глубиной. Это позволяет проектировать дорожную одежду как
многослойную, конструктивную, располагая конструктивные слои в порядке убывания
их прочности с увеличением глубины. С учетом этого в основу метода расчета
нежесткой дорожной одежды положена расчетная схема многослойной конструкции,
которая рассматривается в целом, т.е. покрытие, основание и группы земельного
полотна, как сложное упругое полупространство, равномерно нагруженное по
площади круга, равного следу колеса автомобиля.
В многослойной нежесткой дорожной одежде различают следующие
конструктивные слои:
Покрытие - верхний, наиболее прочный относительно тонкий слой дорожной
одежды, воспринимающий усилия от колес автомобилей и подвергающийся воздействию
атмосферных факторов.
Основание - несущая прочная часть дорожной одежды, обеспечивающая
совместно с покрытием перераспределение и снижение давления на расположенные
ниже дополнительные слои основания или грунт земляного полотна.
Дорожную одежду укладывают на грунт земляного полотна или подстилающий
грунт, т.е. на тщательно уплотненные и спланированные верхние слои земляного
полотна. Дорожная одежда и земляное полотно в целом составляют дорожную
конструкцию.
Глава 1. Проектирование нежесткой дорожной одежды
.1 Исходные данные
Требуется запроектировать дорожную одежду на дороге в Орловская области.
Срок службы дорожной одежды Тсл - 15 лет. Заданный уровень
надежности Кн=0,95 Грунт земляного полотна - суглинок тяжелый.
Интенсивность движения на начало эксплуатации дороги для грузовых автомобилей Nо= 985 авт./сут.; из них: Nо гр= 1170 авт./сут.; Nо авт=161авт./сут.
Состав движения для грузовых автомобилей: 2т - 4%; 4т - 11%; 6т - 12%; 8т
- 11%; 10т - 13%. Рост интенсивности движения p=5.8%.
Дорога находится в III
дорожно-климатической зоне.
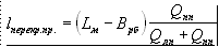
.2 Установление расчетной нагрузки
Принимаем для расчета дорожной одежды расчетную нагрузку группы А1,
характеризующуюся нормативной статической нагрузкой на ось 100 кН, нормативной
статической нагрузкой на покрытие Qрасч=50 кН,
удельное давление колеса на покрытие p=0,6 МПа, расчетный диаметр следа движущегося колеса Dд=37 см, неподвижного D=33 см.
Определяем интенсивность движения автомобилей и - по составу
интенсивности движения на 20-й год эксплуатации по формуле
,
где
Nt - среднегодовая суточная интенсивность движения на
последний год эксплуатации дорожной одежды, авт./сут.; t -
перспективный срок, лет; No - среднегодовая суточная интенсивность движения на
начало эксплуатации дороги, авт./сут.; p - рост
интенсивности движения.
N20=985(1+0, 058)20=3041 авт./сут. Согласно
СНиП 2.05.02-85 определяем техническую категорию дороги.
Принимаем
II- тех. кат. а/д. Согласно ОДН 218.046-01 (2) принимаем
тип дорожной одежды и вид покрытия.
Принимаем
капитальный тип покрытия. Вид покрытия из горячих асфальтобетонных смесей.
Определяем
интенсивность движения автомобилей и - по автомобильной дороге на 15-й год
эксплуатации:
N15гр=756(1+0,04)15=1170 авт./сут; N15авт=81(1+0,04)15=161 авт./сут.
Определяем
приведенную интенсивность воздействия нагрузки Np на
последний год срока службы по формуле
,
где
fпол -
коэффициент, учитывающий число полос движения, fпол =0,55; Nm -
число проездов в сутки в обоих направлениях транспортных средств m-ой
марки; Sm.сум. -
суммарный коэффициент приведения транспортного средства m-ой
марки к расчетной нагрузке.
Суммарное
расчетное число приложений расчетной нагрузки к точке на поверхности дорожной
конструкции за срок службы определяется по формуле
,
где
Tрдr - расчетное число
расчетных дней в году, соответствующих определенному состоянию деформируемости
конструкции, Tрдr=135; q -
показатель изменения интенсивности данного типа автомобиля по годам, q=1,04;
Kc - коэффициент суммирования; kn =1,49 -
коэффициент, учитывающий вероятность отклонения суммарного движения от среднего
ожидаемого, kn =1,49.
.3
Определение величины минимального требуемого модуля упругости
Определяем
величину минимального требуемого модуля упругости по формуле
,
где
с - эмпирический параметр, принимаемый равным для расчетной нагрузки
кН-
3,55.
МПа.
Согласно
ОДН 218.046-01. для дорог II технической категории минимальное значение требуемого
модуля упругости Еmin=220 МПа, что меньше полученного по расчету,
следовательно, к расчету дорожной одежды принимаем Етрmin =220 МПа.
1.4
Определение требуемого уровня надежности и коэффициента прочности
Дорожную
одежду следует проектировать с учетом требуемого уровня проектной надежности. В
качестве количественного показателя отказа используют предельный коэффициент
разрушения Крпр.
Для
дороги II технической категории с капитальным типом дорожной
одежды Крпр=0,05. Так как по заданию коэффициент
надежности равен Кн=0,95, то примем требуемые минимальные
коэффициенты прочности: для расчета по упругому прогибу - 1,20; по сдвигу и на
растяжение при изгибе - 1,00.
.5
Конструирование дорожной одежды
Примем
следующую конструкцию дорожной одежды:
покрытие
- верхний слой: асфальтобетон плотный, мелкозернистый, I марки, тип А,
на битуме БНД 60/90, укладываемый в горячем состоянии, h1=6 см, Е1=3200 МПа;
нижний
слой: асфальтобетон пористый крупнозернистый на битуме БНД 60/90, укладываемый
в горячем состоянии, h2=10 см, Е2=2000
МПа;
основание
- верхний слой: черный щебень, уложенный по способу заклинки, h3=18 см, Е3=600 МПа; нижний слой:
песчано-гравийная смесь, укрепленная цементом, Е4=385 МПа,
(толщину
слоя h4 необходимо
определить расчетом);
дополнительный
слой основания - песок крупный, h5=20 см, Е4=130
МПа;
грунт
земляного полотна - супесь лёгкая крупная, Е4=65 МПа.
Характеристики материалов, применяемых в дорожной конструкции, сводим в
табл. А
Характеристики материалов, применяемых в дорожной конструкции
Таблица А
|
Материал конструктивного
слоя
|
Источник
|
Расчёт по:
|
|
|
упругому прогибу
|
сопротивлению сдвигу
|
сопротивлению растяжению
при изгибе
|
|
1. Мелкозернистый
асфальтобетон типа А, I марки на битуме БНД 60/90, укладываемый в горячем
состоянии h1=6 см.
|
Табл. 3.3. +10˚С +30˚С
Табл. 3.2.
|
Е1=3200 МПа -
|
- Е1=1200 МПа
|
- - Е1=4500 МПа Rn=2,8
МПа
|
|
2. Крупнозернистый
асфальтобетон на битуме БНД 60/90, укладываемый в горячем состоянии h2=10
см.
|
Табл. 3.3. +10˚С +30˚С
Табл. 3.2.
|
Е2=2000 МПа -
|
- Е2=850 МПа
|
- - Е2=2800 МПа Rn=1,6
МПа
|
|
3. Черный щебень, уложенный
по способу заклинки, h3=18 см
|
Табл. 3.6.
|
Е3=600 МПа
|
Е3=600 МПа
|
Е3=600 МПа
|
|
4. Песчано-гравийная смесь,
укрепленная цементом
|
Табл. 3.6.
|
Е4=385 МПа
|
Е4=385МПа
|
Е4=385МПа
|
|
5. Песок крупный
|
Табл.2.10
|
Е5=130МПа
|
Е5=130МПа φ5=29º
С5=0,003 МПа
|
Е5=130МПа
|
6. Грунт земляного полотна - супесь лёгкая крупная Табл.
2.9. Егр=65 МПа Егр=65 МПа Φ6=13º
.6 Определение характеристик грунта земляного полотна
Расчетную влажность грунта Wp определяем по формуле
,
где
- среднее многолетнее значение относительной влажности
грунта в долях от границы текучести,
;
- поправка на особенности рельефа, для равнинных
районов
;
-
поправка на конструктивные особенности проезжей части и обочин,
;
-
поправка на влияние суммарной толщины стабильных слоев,
; t - коэффициент нормированного отклонения, принимаемый
в зависимости от требуемого уровня надежности t=1,71.
.
При
расчетной влажности
,
модуль
упругости грунта земляного полотна Е=65 МПа,
,
,
с
=0,004 МПа.
мостовой дорога одежда водоток
Глава 2. Расчет дорожной одежды
.1 Расчет дорожной одежды по упругому прогибу
Общий модуль упругости определяем по формуле
МПа.
Рассматриваем
поочерёдно сверху вниз двухслойные системы, находим общие модули упругости на
контактах конструктивных слоёв и определяем толщину слоя основания.
Находим
отношения
и
, по
номограмме определяем отношение
, отсюда
МПа.
Находим
отношения
и
, по
номограмме определяем отношение
, отсюда
МПа.
Находим
отношения
и
, по
номограмме определяем отношение
, отсюда
МПа.
Для
определения толщины четвертого слоя сначала находят
. Для этого определяют отношения
и
, по
номограмме находят
, отсюда
МПа.
Находим
толщину четвертого слоя. Для этого определяем отношения
и
, по
номограмме находим отношение
, отсюда
см.
см.
.2
Расчёт дорожной одежды по сдвигу в грунте земляного полотна
Расчётная
схема
Модуль упругости верхнего слоя модели вычисляем как средневзвешенный
,
МПа,
Определяем
отношения
и
, по
номограмме для
находим удельное напряжение сдвига
.
Активное
напряжение сдвига определяем по формуле
.
МПа.
Определяем
предельное допустимое напряжение активное напряжение сдвига Тпр по
формуле
, где СN - сцепление в грунте
земляного полотна (песчаном слое); Кд - коэффициент, учитывающий
особенности работы конструкции на границе песчаного слоя с нижним слоем
несущего основания, Кд =1,0; zon -
глубина расположения поверхности слоя проверяемого на сдвигоустойчивость от
верха конструкции; γср -
средний удельный вес конструктивных слоев, расположенных выше проверяемого
слоя, γср =0,002
кг/см3;
МПа.
Находим
отношение
. Следовательно, сдвигоустойчивость в грунте земляного
полотна обеспечена.
2.3
Расчёт дорожной одежды на сдвиг в песчаном слое
Расчётная
схема
Определяем
толщину верхнего слоя
см.
Определяем
средний модуль упругости верхнего слоя
МПа,
Определяем
отношения
и
, по
номограмме для
находим удельное напряжение сдвига
.
Определяем
полное активное напряжение сдвига по формуле
.
МПа.
Определяем
предельное допустимое напряжение активное напряжение сдвига Тпр по
формуле
МПа.
Находим
отношение
. Следовательно, условие сдвигоустойчивости в песчаном
слое обеспечена.
.4
Расчет слоев асфальтобетона на растяжение при изгибе
Расчётная
схема
Определяем
средний модуль упругости асфальтобетонных слоев по формуле
МПа.
Находим
отношения
и
, по
номограмме определяем растягивающее напряжение от единичной нагрузки
.
Находим
полное растягивающее напряжение по формуле
МПа.
Определяем
предельное растягивающее напряжение по формуле
,
где
Ro - нормативное предельное сопротивление растяжению при
изгибе при расчетной низкой весенней температуре при однократном приложении
нагрузки; k1 -
коэффициент, учитывающий снижение прочности вследствие усталостных явлений при
многократном приложении нагрузки; ; k2 - коэффициент, учитывающий снижение прочности во
времени от воздействия погодно-климатических факторов, ; k2=0,80; νR
- коэффициент вариации прочности на растяжение при изгибе, νR=0,1.
МПа.
Вычисляем
отношение
. Следовательно, условие на сопротивление слоев
асфальтобетона усталостному разрушению от растяжения при изгибе выполнено.
2.5 Расчет слоя из золошлаковой смеси, укрепленным цементом, на
растяжение при изгибе
Расчётная схема
Определяем
средний модуль упругости асфальтобетонных слоев по формуле
МПа.
Находим
отношения
и
,
по номограмме определяем растягивающее напряжение от
единичной нагрузки
.
Находим
полное растягивающее напряжение по формуле
МПа.
Определяем
предельное растягивающее напряжение по формуле
где
Ro - нормативное предельное сопротивление растяжению при
изгибе при расчетной низкой весенней температуре при однократном приложении
нагрузки; k1 -
коэффициент, учитывающий снижение прочности вследствие усталостных явлений при
многократном приложении нагрузки; ; k2 - коэффициент, учитывающий снижение прочности во
времени от воздействия погодно-климатических факторов, ; k2=0,80; νR -
коэффициент вариации прочности на растяжение при изгибе, νR=0,1.
МПа.
Вычисляем
отношение
. Следовательно, условие на сопротивление слоев
асфальтобетона усталостному разрушению от растяжения при изгибе выполнено.
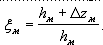
.6 Проверка дорожной конструкции на морозоустойчивость
Конструкция
считается морозоустойчивой если выполняется условие
, где lпуч -
расчетное пучение грунта земляного полотна;
lдоп - допускаемое для данной конструкции пучение грунта,
lдоп=4 см.
При
отсутствии натурных данных, глубину промерзания дорожной конструкции определяем
по формуле
м.
Уровень
грунтовых вод УГВ=1,80м.
Определяем
величину морозного пучение по формуле:
lпуч=lпуч. ср.*КУГВ*
Кпл* Кгр* Кнагр* Квл,
lпуч. ср =2,2 см - величина морозного пучение при осредненных
условиях,
КУГВ=0,62
- коэффициент, учитывающий влияние расчетный глубины залигание уровня
грунтовых вод,
Кпл=1,1
- коэффициент, зависящий от степени уплотнение грунта рабочего слоя,
Кгр=1,0
- коэффициент, учитывающей гранулометрического состава грунта основания насыпи
или выемки,
Кнагр=0,86
- коэффициент, учитывающий влияние от собственного веса вышележащей конструкции
на грунт, зависит от глубины промерзания,
Квл=1,1-
коэффициент, зависит от расчетной влажности грунта
lпуч=2,2*0,62*1,1*1,0*0,86*1,1=1,41см
Следовательно,
морозоустойчивость дорожной одежды обеспечена.
Глава 3. Проектирование мостового перехода
Требуется запроектировать мостовой переход через постоянный водоток на
автомобильной дороге II
технической категории
.1
Определение расчетного расхода
Расчетная вероятность превышения максимальных расходов расчетных паводков
для мостовых переходов на автомобильных дорогах II технической категории принимается Р = 1% .
Согласно проведенному расчету уровень высоких вод с расчетной
вероятностью превышения Р=1%, составляет Н1% = 10,7, следовательно
отметка расчётного уровня высоких вод НРУВВ равна:

где Н0=36,10м
- отметка нуля графика водомерного поста.
Таблица 3.
Определение площади живого сечения и Нср
|
Пикет плюс
|
Глубина, м
|
Сумма глубин
|
Расстояние, м
|
Удвоенная площадь
|
|
Левая пойма
|
|
35+33
|
0.00
|
-
|
-
|
-
|
|
36+00
|
2,9
|
2.9
|
67
|
194.3
|
|
37+00
|
3,9
|
6.8
|
100
|
680
|
|
38+00
|
4,7
|
8.6
|
100
|
860
|
|
39+00
|
4,99
|
9.69
|
100
|
969
|
|
40+00
|
4,6
|
9.59
|
100
|
959
|
|
41+00
|
5,05
|
9.65
|
100
|
965
|
|
Итого:
|
|
|
å567
|
å4627,3
|
|
Главное русло
|
|
41+00
|
5.05
|
-
|
-
|
-
|
|
41+50
|
11
|
16.05
|
50
|
802.5
|
|
42+00
|
11.8
|
22.8
|
50
|
1140
|
|
42+50
|
8.8
|
20.6
|
50
|
1030
|
|
43+00
|
5
|
13.8
|
50
|
690
|
|
Итого:
|
|
|
å200
|
å3662.5
|
|
Правая пойма
|
|
43+00
|
5.0
|
-
|
-
|
-
|
|
44+00
|
5.1
|
10.1
|
100
|
110.1
|
|
45+00
|
4.8
|
9.9
|
100
|
109.9
|
|
46+00
|
4.3
|
9.1
|
100
|
109.1
|
|
47+00
|
4.4
|
8.7
|
100
|
108.7
|
|
48+00
|
4.2
|
8.6
|
100
|
108.6
|
|
48+56.9
|
0
|
4.2
|
56.9
|
61.1
|
|
Итого:
|
|
|
∑556.9
|
∑4878.98
|
|
|
|
|
|
|
|
Вычисление средних скоростей и расходов по элементам сечения приведено в
табл.4.
Таблица 4
Определение
средних скоростей и расходов по элементам сечения
|
Элемент сечения
|
ω,
м2
|
Нср2/3
|
Jб
|
mV, м/сQ, м3/с% от общего
|
|
|
|
|
|
Левая пойма
|
2313,65
|
4,08
|
2,55
|
0.00019
|
0.014
|
18
|
0,64
|
1480,7
|
24
|
|
Главное русло
|
1831,25
|
9,16
|
4,378
|
0.00019
|
0.014
|
28
|
1,72
|
3149,8
|
51
|
|
Правая пойма
|
2439,49
|
4,38
|
2,677
|
0.00019
|
0.014
|
17
|
0,637
|
1553,9
|
25
|
|
Итого:
|
|
|
|
|
|
|
|
6184,4
|
100
|
3.2
Определение вспомогательных характеристик потока
Вычисляются вспомогательные характеристики элементов живого сечения,
которые требуются при дальнейших расчётах:
ширина меньшей поймы мп = lпп = 556,9м;
ширина большей поймыбп = lлп = 567м;
ширина русла в бытовом состоянии
Врб = 200м;
ширина разлива реки
В0 = Врб + lмп + lбп = 200 +
556,9 + 567 = 1323,9м
расход на 1м левой поймы в бытовом состоянии
лп = Qлп / lлп = 1480,7 / 567 =2,61 м3/с;
расход на 1м главного русла в бытовом состоянии
рб = Qрб / Bрб = 3149,8 /200 = 15,75 м3/с;
расход на 1м правой поймы в бытовом состоянии
пп = Qпп / lпп = 1553,9 /556,9 = 2,79 м3/с;
средняя отметка поймы
- средний расход 1м всей
поймы в бытовом состоянии

cр.п = Hрувв - hпб =
высота средней отметки поймы над нулём графика водомерного поста
ср.над 0 = Hср.п - H0 =
максимальная глубина воды в русле в бытовом состоянии
hmax = Hрувв - Hmin =
площадь пойма в бытовом состоянии
ωпб =
ωлп +
ωпп=
средние скорости по элементам сечения на пойме:
левой поймы Vср.лп = 0.64м/с,
главного русла Vрб = 1.72м/с,
правой поймы Vср.пп = 0.64м/с,
средняя скорость течения на пойме

средняя скорость течения потока

3.3 Расчет отверстия моста
Определяем возможность уширения русла под мостом в зависимости от степени
стеснения потока подходами β и вероятности затопления поймы Рп.
Степень стеснения потока подходами определяют по формуле:
β = Q / Qрб = 6184,4/3149,8 =1,96
Вероятность затопления поймы определяют по кривой распределения ежегодных
максимальных уровней для высоты средней отметки поймы над нулём графика
водомерного поста.
Для Нср.над 0 = 6,47м , вероятность затопления поймы равна Рп =
69,63=70%.
Проверяем целесообразность устройства срезки по условию.
следовательно, уширение русла под мостом возможно.
Расчетную ширину русла под мостом определяют по формуле:
При β = 1,96 и Pп% = 70% определение коэффициента, учитывающего
полноту расчетного паводка, Kn , производят по формуле (4.10 /9/):
где полнота паводка П по формуле равна:
=
Так как Рп < 95%, коэффициент частоты затопления поймы определяют по
формуле:
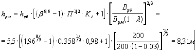
Расчетная ширина русла под мостом:
Врм = 200×[(1,960,93 - 1)×0,075×0,531+ 1]
= 206,928м.
Отверстие моста назначается не менее величины, определяемой по формуле.
При δ = 1,1; åbоп = 0; ålукр =20 м; m =2 отверстие моста
будет равно:м = 1,1*206,928 + 0 + 20 + 2*2*11,8 = 294,821 м
На морфостворе намечаем положение моста. Мост перекрывает левую пойму на
величину:
правую пойму на величину (4.18 /9/):
Длина подхода: на правой пойме равна
556,9-46,26=510,64м,
на левой пойме равна
567-48,538=518,46м.
3.4 Определение размеров струенаправляющих дамб
Находим относительную длину верховых струенаправляющих дамб (lв/Lм)
в зависимости от степени стеснения потока подходами и размеров отверстия моста.
При β = 1,96 и lв/Lм = 0.60 суммарная длина верховых
струенаправляющих дамб равна:
в = 0,60× Lм =
0,60×294,821 = 176,89 м.
Суммарная длина верховых струенаправляющих дамб при двух поймах
распределяется на две дамбы (левобережную и правобережную) пропорционально
расходу воды, протекающей на поймах и определяется по формулам:
Длину низовых струенаправляющих дамб (lнл, lнп) определяют по формулам:
Полная длина криволинейных струенаправляющих дамб равна:
Для вычисления координат оси струенаправляющих дамб определяют
геометрические параметры дамб:
для левобережной
;
для правобережной
.
Координаты оси струенаправляющих дамб определяют путём умножения величин
на величину геометрического параметра. Строят схему примыкания
струенаправляющей дамбы к мосту.
3.5 Расчет размывов
.5.1 Расчет общего размыва
Для определения расчетного предела общего размыва на данной реке
определяем группу мостового перехода по отношению продолжительности расчетного
паводка к времени стабилизации предельного (нижнего) размыва (tпав/tн).
Время продолжительности паводка принимаем по заданию, tпав =
28 сут.
Время стабилизации предельного размыва определяем по формуле:
Длину зоны сжатия перед мостом определяют при β = 1,96 по формуле:
Коэффициент формы воронки размыва перед мостом определяем по формуле:
Кфв = 0.4×(lмп / lбп - 0.5) + 0.8 = 0.4×(556,9/567- 0.5) +0.8 = 0,993.
Относительная длина верховой струенаправляющей дамбы определяется по
формуле:
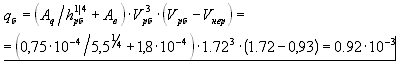
Погонный бытовой расход руслоформирующих наносов при
Ад =0,75×10-4; Ав
= 1,8×10-4 равен:
Неразмывающая средняя скорость течения равна:
При диаметре частиц слагающих дно d = 2,5 мм, (Vнд/d1/6) = 0.70).
Находим отношения
пав / tн = 28/30,08 = 0.93,.
Сравниваем отношения tпав / tн и 1/П1,5*β. Так как 0,93<20,49,
следовательно, этот мостовой переход относится ко II группе и расчетным для
определения размыва является верхний предел размыва.
Для него при lпр = 30м, bоп = 1.0 м,
λ = 1,0/30 = 0.03, коэффициент,
учитывающий влияние длительности паводка равен:
так как Kt > 0,8, пересчитываем значение коэффициента по формуле (4.10
/9/) нет необходимости:
Глубина общего размыва в этом случае составит:
Отметка дна русла после общего размыва равна:
НРУВВ - hрм = 46,8 - 8,31 = 38,49 м.
.5.2 Расчет размыва у промежуточной опоры
Расчетную опору размещают в самом глубоком месте русла.
Определяем среднюю скорость течения в русле после общего размыва по
формуле:
= 1.72×(200/206,9)1/4×(8,31 / 11,8)1/8 = 1.63 м/с.
Сравниваем неразмывающую скорость для частиц, слагающих дно русла, Vнер
со средней скоростью течения в русле после общего размыва Vрм.нер = 0.93 м/с;
Vрм = 1.63 м/с, следовательно, Vрм > Vнер и поступление наносов в воронку
размыва возможно.
Среднюю скорость течения по вертикали перед опорой рассчитываем по
формуле:
Коэффициент формы русла равен:
= 11,8/5,5 = 2,15.
Средняя взмучивающая скор
ость турбулентного потока перед опорой определятся по формуле
(5.17 /9/):
При d = 2,5 мм W = 0,177 м/с
м/с.
При Vрм > Vнер глубину воронки местного размыва у промежуточной опоры
определяем по формуле (5.12 /9/):
принимаем n=0.67
Следовательно, глубина потока у опор моста равна:
hм =hрм + hв = 8,31+2.986 = 11,296 м.
Отметка дна русла после суммарного размыва равна:
НРУВВ - hм = 46,8 - 11,296 =35,504 м.
.5.3 Расчет размыва в голове струенаправляющей дамбы
При грунтах поймы - суглинках тяжелых (связный грунт) нер = 0,93 м/с.
Угол набегания потока 78˚. Глубина воронки местного размыва в голове дамбы
определяется по формуле:
Длина тюфяка, достаточная для того, чтобы закрыть размываемый откос,
рассчитывается по формуле:
Принимаем mт = 2.0, тогда
Следовательно, длина тюфяка
для укрепления откоса lт = 2.5 м
3.6 Расчет подпоров
Расчет характерных подпоров производят на пике первого расчетного паводка
с учетом русловых деформаций, так как при этом все характерные подпоры имеют
наибольшие возможные значения.
Принимаем время подъема расчетного паводка tпод
= 28/3 = 10 сут; полноту паводка на
ветви подъема П = 0,5.
Начальный подпор. Начальный подпор определяем по формуле:
где А1 - параметр, вычисляемый по формуле:
при Jб = 0,00019
Определяем среднюю глубину размыва на пике расчетного паводка h/рм по
формуле (6.4 /9/) и коэффициент размыва Р/w по формуле:
= 5,5+ 0.7(8,31- 5,5) = 7,467 м.

При β = 1,96 и Р/w= 1.387 по номограмме находят параметр А2 =
2,15.
Определяем среднюю бытовую глубину всего потока по формуле:
Далее проводим расчет в табличной форме.
Первоначальную величину относительного подпора принимаем равной 1,0.
Вычисляем левую часть уравнения по формуле:
Вычисляем правую часть уравнения по формуле.
Определяем разность между левой и правой частью уравнения в процентах.
Вычисляем значение Δzср:
Δzср = (Δzол + Δzоп) / 2.
Принимаем Δzср за значение левой части уравнения на следующем
шаге расчета.
Определяем величину относительного подпора по формуле при ΔZср и т.д.
Результаты расчета сведены в табл. 5
Таблица 5
Определение начального подпора
|
Левая часть уравнения, Δzол
|
Относительный подпор ξ
|
Правая часть уравнения Δzоп
|
Разница, %
|
Δzср
|
|
1
|
0
|
1.0
|
0,228
|
-
|
0.144
|
|
2
|
0,133
|
1,03
|
0,188
|
5,5
|
0,16
|
|
3
|
0.221
|
1.05
|
0,164
|
5,7
|
0.192
|
Расчет ведем до тех пор, пока разность между правой и левой частью
уравнения (6.1 /9/) не составит менее 10%.
Расчет показал, что начальный подпор равен Δz0 = 0,16 см при относительном
подпоре
ξ = 1,03.
Полный подпор. В рассматриваемом случае Jб > 0,00019, следовательно,
полный подпор вычисляем по формуле:
Расстояние от моста до створа полного подпора равно:

Полный подпор практически равен начальному в связи малым уклоном Jб.
Максимальный подпор у насыпи определяем по формуле:
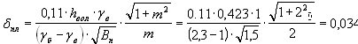
= 0,1603 + 0,00019×468,286= 0,2493 м.
Подмостовой подпор рассчитываем по формуле:
Параметр А3 определяется по формуле:
Параметр А4 определяется по формуле (6.12):
Коэффициент А5 при Р/w= 1,387 и β = 1,96
определяем А5= 3,25.
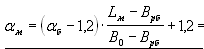
Коэффициент Кориолиса в бытовых условиях αб определяем по формуле:
Коэффициент Кориолиса в подмостовом сечении αм определяем по формуле:
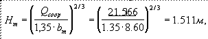
Средняя глубина под мостом до размыва:
= [8,31×206,928 +4,23(294,821 - 206,928)] / 294,821 = 7,094 м;
Относительный подмостовой подпор определяем по формуле:
Определение подмостового подпора производим подбором по аналогии с
определением начального подпора.
Задаемся величиной относительного подмостового подпора, ξм = 1,0.
Вычисляем левую часть уравнения Δzм по формуле:
Вычисляем правую часть уравнения по формуле.
Определяем разность между левой и правой частью уравнения в процентах.
Вычисляем значение:
Δzм ср = (Δzмл + Δzмп) / 2.
Принимаем Δzм ср за значение левой части уравнения на следующем
шаге расчета.
Определяем величину относительного подпора по формуле.
Расчет сводим в табл.6.
Таблица 6
Расчет подмостового подпора
|
Левая часть уравнения, Δzмл
|
Относительный подпор, ξм
|
Правая часть уравнения, Δzмп
|
Разница, %
|
Δzм
ср
|
|
1
|
0
|
1.0
|
0,183
|
-
|
0.092
|
|
3
|
0,071
|
1,01
|
0,171
|
10
|
0,121
|
|
2
|
0.106
|
1.015
|
0,165
|
5,9
|
0,136
|
В результате расчета установлено, что подмостовой подпор равен
Δzм = 0,136 м при относительном подмостовом подпоре ξм = 1,015.
3.7 Определение расчетного судоходного уровня
Расчетный судоходный уровень (РСУ) определяем исходя из допускаемого
перерыва в работе речного флота во время половодья.
По табл.8.1 задаем вероятность превышения расчетного паводка. Для VII
класса водных путей Рd =4%. Отметку над нулем графика водомерного поста
устанавливаем по кривой распределения максимальных уровней воды H4% =9,75 м.
Отметка расчетного судоходного уровня равна:
м
Определяем допускаемый перерыв в движении речного флота по формуле:
Коэффициент допускаемого перерыва в работе речного флота определяем по
табл.8.1. Для VII класса водных путей k = 2.
3.8 Проектирование подходов к мосту
Для проектирования подходов к мосту делим продольный профиль подходов к
мосту на три участка: I -
участок спуска с коренного берега речной долины на пойму; II - пойменный участок насыпи с
минимальными отметками; III -
участок сопряжения пойменной насыпи с проездами по мосту.
Плита толщиной 4 см со стороной 1,5 м не будет сброшена волной с откоса.
Минимальная отметка бровки насыпи на подходах определяется по формуле:
Высота набега волны определяется по формуле при Kш = 1, m = 2:
Расчетная высота волны определяется по формуле:
Минимальную отметку проезда моста определяем по формуле при Гc = 7.0 м,
hкон = 1.5 м:
Величину уклона на переходе от низкой насыпи к высокой, обеспечивающего
минимальный объем земляных работ, определяем по формуле:
или 18 ‰,
что меньше imax = 40 ‰ . Следовательно, уклон, с которым происходит
подъем от низкой насыпи к высокой у моста, равен 18 ‰.
Минимально допускаемая толщина плиты (σпл), при которой грунтовое основание
остаётся устойчивым при волновом воздействии, определяется по формуле:
Плита толщиной 4 см со стороной 1,5 м не будет сброшена волной с откоса.
Рассчитываем укрепление откоса на ледовое давление. Ледовое давление
определяется по формуле:
Суммарное толщина покрытия откоса и его основания по формуле:
Глава 4. Определение отверстий малых водопропускных сооружений
.1 Исходные данные
Величина расхода ливневых вод зависит от следующих основных факторов:
количества осадков и продолжительности ливня, площади водосбора, длины главного
лога, уклонов склонов водосбора, типа растительности, наличия озер, болот в
бассейне и типа почв по впитыванию.
Площадь водосборного бассейна определяют по карте. Длину главного лога L=2,5км определяют от точки
пересечения дороги с водотоком до вершины водораздела.
Уклон русла (лога) определяется по формуле:
=
,
где Н1=215,00 - отметка водораздельной точки в вершине главного лога;
Н2=188,00 - отметка дна лога в месте пересечения его трассой автомобильной
дороги; L=2,5км - длина главного лога, км.р=
‰.
Средний уклон водосбора:
в=
,
где Δ=5 - цена деления между смежными горизонталями, м; ΣS=47,5 км - сумма длин всех
горизонталей в пределах площади водосборного бассейна, км; F=5,97 км2 - площадь
водосборного бассейна, км2.в=
‰.
4.2 Определение расчетного расхода по СНиП 2.01.14 - 83
Максимальный расход воды от дождевых паводков Q p% (с вероятностью превышения Р% для
водосборов площадью менее 50 км2 для тундровой и лесотундровой зон и
менее 100 км2 для остальных природных зон) определяют по формуле
предельной интенсивности стока:
Qp% = q1%φ H1% δ λ p% F,
где q1% - максимальный модуль стока при
вероятности превышения Р=1%, выраженный в долях от произведения (φ
H1%) при δ=1; φ - сборный коэффициент стока; Н1%=120
- суточный слой осадков вероятностью(для Белгородской области) превышения Р=1%,
мм; λ p% - переходный коэффициент от максимальных расходов
воды с вероятностью превышения Р=1% к максимальным расходам воды другой вероятности
превышения; δ - коэффициент, учитывающий снижение максимального
стока рек, зарегулированных проточными озерами; при отсутствии озер, принимают δ=1.
Сборный коэффициент стока определяют по формуле:
φ=
,
где φ0 - сборный коэффициент стока для водосборов, площадью 10
км2, средним уклоном водосбора iв = 40‰ (φ0=0,54); c2 - эмпирический
коэффициент, принимается равным 1,3; n6 - параметр, который принимается равным
0,11; n5 - параметр, принимается равным 0,70; iв - средний уклон водосбора,
средним уклоном водосбора iв = 40‰.
Максимальный модуль стока q1% определяется в зависимости от
гидроморфометрической характеристики русла водотока (Фр) и продолжительности
склонового добегания tск.
Гидроморфометрическую характеристику водотока определяют по формуле:
Фр=
,
где mp - гидравлический параметр русла (mp=11); m - параметр (m=1/3).
Продолжительность склонового добегания tск принимают в первом приближении
для водотоков, расположенных в лесостепной зоне -60 мин. Район типовых кривых
редукции осадков - 3, район для определения параметра λ p% - 11, q1%=0,079, λ p%=0,80.
φ=
.
Фр=
.%=
м3/с.
.3 Определение расчётного расхода по способу МАДИ и института
Союздорпроект
Так как расчёт ливневого стока по методике СНиП 2.01.14 - 83 неполон (не
учитывает аккумуляцию части объёма стока перед сооружением), расчёт может быть
реализован по формулам, более подходящим для проектирования транспортных
сооружений. Одним из таких способов является расчёт, разработанный МАДИ и
институтом Союздорпроект.
Расчётный расход воды от ливневого стока определяется по формуле:
Qл=
,
где αрасч - расчётная интенсивность ливня, мм/мин; α
-коэффициент потерь
стока, зависящий от вида поверхности бассейна и его площади; φр -коэффициент редукции.
Расчётная интенсивность ливня зависит от расчётной вероятности
превышения, продолжительности ливня и района строительства дороги (ливневого
района).
Расчётная интенсивность ливня определяется по формуле:
αрасч=
,
где αчас - интенсивность ливня часовой продолжительности, мм/мин;
Кt - коэффициент перехода от интенсивности ливня часовой продолжительности к
интенсивности ливня расчётной продолжительности t, который зависит от длины
лога, его уклона.
Коэффициент редукции вычисляется по формуле:
φр=
.
Ливневой район - 6, αчас=0,89 мм/мин, Кt=1,37, для
чернозема α=0,5.
φр=
.
αрасч=
мм/мин.л=
м3/с.
W=
.
=
м3
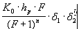
4.4 Расчёт стока талых вод с малых водосборов
Расчёт расхода талых вод производят на основании СНиП 2.01.14-83
«Определение расчётных гидрологических характеристик» по формуле:
т =
,
где К0 - коэффициент дружности половодья, который принимают для
лесостепной природной зоны - 0.02; hp - расчётный слой стока весенних вод той
же расчётной вероятности превышения, что и расчётный расход; n - показатель,
учитывающий климатическую зону - 0.25;
- коэффициент, учитывающий снижение
максимальных расходов в залесенных бассейнах;
- коэффициент, учитывающий снижение
максимальных расходов в заболоченных бассейнах. При расчётах
и
приняты равными 1.
Расчётный слой стока определяют по формуле:
=
,
где Кр - модульный коэффициент стока для перехода к слоям стока расчётной
вероятности превышения, который определяется для соответствующего коэффициента
вариации Сv; h0 -средний слой стока.=
мм.=
м3/с.
4.5 Определение сбросного расхода воды в сооружении с учетом аккумуляции
Если образование пруда перед искусственным сооружением, возможно, то
расчет будем вести с учетом аккумуляции воды перед трубой. За расчетное
значение, вычисленное по формуле МАДИ (Qл=21,894 м3/с ).
Коэффициент заложения склонов лога m1 и m2 определим используя данные
полученные по карте рис. 1
Вычислим коэффициент Ко пр формуле:
л - уклон лога у сооружения для участка 300 м
= 192.5 - отметка точки лога расположенный выше на 300 м от
сооружения.=188.00- отметка точки входа в отверстии трубы.
Принимаем Wпр = W , и находим максимально возможный подпор перед
сооружением по формуле:
Найдем диаметр трубы если известно Qл=21,894 м3/с, Н3=176,49 ,
По полученным данным определяем диаметр трубы dmр=2.0 м,
Подпор перед трубой Hn=2.4 м,
Скорость воды на выходе из трубы Vвых=3,0 м/с,
Сбросной расход воды на трубе равен 7,75 м3/с,
Тип крепления за трубой принимаем одиночное мощение на щебне с подбором
лица и грубым приколом, размер камня - 25 см,
Минимальная отметка бровки земляного полотна над трубой определяется по
формуле:
где H2 =188.00- отметка точки входа в отверстии трубы,
где
- толщина засыпки над трубой,
- толщина звена для круглых труб.
м.
.6 Расчет отверстия малого моста
Принимаем исходные данные те же что при проектирование трубы.
Qрасч =Qл=21,894 м3/с
,
Назначаем тип укрепления русла под мостом - одиночное мощение на щебне с
размером камня 15 см. Для данного типа укрепления при глубине потока в среднем
1,0 м допускаемая скорость течения Vд = 3,0 м/с.
Определяем скорость по мостом в сжатом сечении:
Глубина подпертой воды перед мостом вычисляем по формуле:
Объем пруда перед мостом:
Отношение Wпр|W=2318.49/98052=0.024 находим значение коэффициента
,
Расход воды с учетом аккумуляции:
Вычисляем отверстия моста по формуле:
По типовому проекту 3.503-12, пролет bm=8.60, определяем глубину подпертой
воды и скорость воды для типового пролета:
Критическая глубина по формуле:
Определим бытовую глубину потока в русле. Зададимся бытовой глубиной hб=1,0 м,
Площадь живого потока определим по формуле:
Гидравлический радиус для пойм, покрытый кустарником и травой n=0.04, Коэффициент шези С=22,2,
бытовая скорость и расход:
Гидравлический радиус R=0.5*h=0.5*1.0=0.5,
Уклон лога у сооружения iл=0,015,
Что больше 5% от расчетного расхода Q > Qрасч =Qл=21,894 м3/с,
Уменьшаем значение бытовой глубины до 0,82 м, при этом
Гидравлический радиус R=0.5*h=0.5*0,82=0.41,
Уклон лога у сооружения iл=0,015,
Коэффициент шези С=21,5
Что больше 5% от расчетного расхода Q > Qрасч =Qл=21,894 м3/с,
Уменьшаем значение бытовой глубины до 0,75 м, при этом
Гидравлический радиус R=0.5*h=0.5*0,75=0.375,
Уклон лога у сооружения iл=0,015,
Коэффициент шези С=21,02
Что больше 5% от расчетного расхода Q > Qрасч =Qл=21,894 м3/с,
Уменьшаем значение бытовой глубины до 0,742 м, при этом
Гидравлический радиус R=0.5*h=0.5*0,742=0.371,
Уклон лога у сооружения iл=0,015,
Коэффициент шези С=21,28
Разность подсчитанного значения и расчетного расхода равна 3,3% <5%,
требуемая точность достигнута, принимаем hб=0,742 м.
Проверим тип водослива, сравнивая hб с hкр, выполнение условие: hб <1.3* hкр,
0,742<1.3*1.042=1.355,
Т.к. условие выполняется, значит водослив не затоплен и произведенный
расчет справедлив для данного сооружения.
Минимальная отметка настила моста по формуле:
где
- возвышение низа пролетного строения над уровнем воды,
- строительная высота пролетного строения.
Список литературы
1. Инструкция по проектированию дорожных одежд
нежесткого типа. ОДН 218.046-01. Утв.20.12.00: распор. Росавтодора
№ОС-35-р.-М.: Информавтодор. 2001.-145с.
2. Методические указания к выполнению расчетов по
курсовому и дипломному проектированию/ Воронеж. Гос. Арх.-Строит. Ун-т.; Сост.:
Самадурова Т.В., Лихачев В.М. - Воронеж,2004.- 24с.
. Бабков В.Ф., Андреев О.В., Замахаев М.С.
Проектирование автомобильных дорог, Ч. I. - М.: Транспорт, 1970. - 400с.
. СНиП 2.05.02-85. Автомобильные дороги. Нормы
проектирования.- М.: Стройиздат, 1986. - 51 с.
. Бабков В.Ф., Андреев О.В. Проектирование
автомобильных дорог, Ч. 1. - М.: Транспорт, 1979. - С. 229 - 337.
. Справочник инженера-дорожника. Т. Изыскания и
проектирование автомобильных дорог. Издание 3. - М.: Транспорт, 1977. - 559с.
. Усиление нежестких дорожных одежд/Под ред. О.Т.
Батракова. - М.: транспорт, 1985. - 144с.
. Резванцев В.И., Харченко В.А., Гладышева И.А.
Конструирование и расчет нежестких дорожных одежд автомобильных дорог: Учебное
пособие. - Воронеж: ВПИ, 1988. - 169 с.
. СНиП 2.05.03-84. Мосты и трубы./ Госстрой СССР - М.:
Стройиздат, 1985. - 199с.
. Резванцев В.И., Самодурова Т.В., Гладышева И.А.
Проектирование мостового перехода и подходов к нему: методические указания к
курсовому и дипломному проектированию. - Воронеж, 1992. - 45 с.
11. СНиП 2.05.02-85. Автомобильные дороги/Госстрой СССР. -
М.:ЦИТП Госстроя СССР, 1986.
12. СНиП 3.06.03-85. Автомобильные дороги/Госстрой СССР. -
М.:ЦИТП Госстроя СССР, 1986.
13. СНиП 2.05.03-84*. Мосты и трубы/Госстрой СССР.
- М.:ЦИТП Госстроя СССР, 1996.
14. ГОСТ 26775-85. Габариты подмостовых судоходных пролётов
на внутренних водных путях. Госстрой СССР. - М., 1976
. Бабков В.Ф., Андреев О.В. Проектирование
автомобильных дорог. - М.: Транспорт, 1987.
Резванцев В.И., Харченко В.А., Гладышева И.А. Конструирование
и расчёт нежёстких дорожных одежд автомобильных дорог. - Воронеж, 1988.