Проект мостового перехода в Новосибирской области
Введение
Курсовой проект: „Проект мостового перехода в
Новосибирской области” по дисциплине „Изыскания и проектирование автомобильных
дорог”, посвящен решению вопросов проектирования мостовых переходов с учетом,
предъявляемых к ним высоких современных требований по обеспечению безопасности
и комфортности движения.
Наиболее трудоемкая и дорогая часть перехода -
мост, и длина его должна быть минимальной. Однако все элементы перехода через
водоток тесно связаны между собой. Поэтому расчет оптимального отверстия моста
следует осуществлять в увязке с учетом назначения глубины фундирования опор и
возможных природных деформаций русла. Глубина фундирования опор определяется на
основе общего и местного размывов с учетом возможных глубинных деформаций.
Глубинные природные деформации могут вызвать смещение максимальной глубины воды
в районе мостового перехода как в поперечном, так и в продольном направлениях.
Плановые природные деформации часто вызывают смещение русла в пределах
отверстия моста с приближением к устоям, излучины реки могут угрожать насыпи
подходов.
Устранить отрицательное влияние природных
деформаций можно путем их учета при назначении генеральных размеров перехода и
соответствующим регулированием руслового потока.
В процессе разработки курсового проекта решаются
следующие задачи:
анализируются природно-климатические и
экономические условия работы мостового перехода;
производится расчет паводковых расходов, путем
вычерчивания морфоствора и интерполяции;
определяется расчетный расход методами теории
вероятности;
назначается отверстие моста с учетом
экономической выгоды;
производится расчет регуляционных сооружений, а
именно, струенаправляющей дамбы;
производится расчет общего размыва, как фактора
нарушения баланса твердого стока в подмостовом сечении;
наряду с общим производится расчет местного
размыва;
обосновывается расчетом минимальная отметка
пойменных насыпей;
производится расчет судоходного горизонта и
проектирование продольного профиля перехода.
1. Описание района строительства
.1 Природно-климатические условия
района строительства
Новосибирская область - субъект Российской
Федерации. Входит в состав Сибирского федерального округа.
Административный центр - город Новосибирск.
Новосибирская область расположена на юго-востоке
Западно-Сибирской равнины. Площадь территории области 178,2 тыс. км².
Протяжённость
области с запада на восток - 642 км, с севера на юг - 444 км.
Рис. 1
Климат континентальный, средняя температура
января от −16 на юге, до −20 °C в северных районах. Средняя
температура июля +18…+20 °C. Средняя годовая температура воздуха - 0,2 °C.
Абсолютный максимум - +37 °C, минимум - −51 °C.
Годовое количество осадков ≈ 425 мм, из
них 20 % приходится на май-июнь, в частности, в период с апреля по октябрь выпадает
(в среднем) 330 мм осадков, в период с ноября по март - 95 мм.
Роза ветров
Январь
|
с
|
св
|
в
|
юв
|
ю
|
юз
|
з
|
сз
|
штиль
|
|
3
|
5
|
9
|
16
|
27
|
31
|
6
|
3
|
|
Рис. 2
Июль
|
с
|
св
|
в
|
юв
|
ю
|
юз
|
з
|
сз
|
штиль
|
|
12
|
18
|
11
|
10
|
11
|
15
|
12
|
11
|
|
Рис. 3
Заморозки на почве начинаются во второй половине
сентября и заканчиваются в конце мая. Продолжительность холодного периода -
178, тёплого - 188, безморозного - 120 дней.
безоблачных дней в году, 67 - со сплошной
облачностью.
Основные особенности климата Новосибирской области
определяются ее положением в средней части обширного Евроазиатского континента.
Удаленность от Атлантики и Тихого океана определяет четко выраженную
континентальность климата, проявляющуюся в значительной разнице температур
между зимой и летом - 38 °С. В Прибалтике или на Камчатке, на тех же широтах,
разница между зимой и летом составляет 22-23°С.
Гидрогеология. Журавский водный горизонт
Новосибирской области представлен тонко-мелкозернистыми песками, алевритами и
вскрывается на глубине 150-170 м на Приобском плато и 60-150 м в Барабинской
низменности. Мощность водоносного горизонта соответственно 15-25 и 30-50 м.
Воды напорные. Уровень устанавливается на плато па глубине до 56 м, а в
Барабинской низменности на 5-8 м от поверхности. Вскрытые подземные воды в ряде
случаев самоизливаются по долинам мелких рек. Минерализация возрастает с
востока на запад от 0,5 до 3,0-5,0 г/л в Чистоозерном и Чаповском районах и до
9,2 г/л в Татарском. Соответственно изменяется тип вод от гидрокарбонатного к
хлоридному натриевому;
Рельеф. Преобладающая часть территории области
расположена на Западно-Сибирской низменности, поэтому ее поверхность в основном
равнинная. Долина реки Обь делит территорию области на две неравные части.
Большая, левобережная, часть расположена на обширной равнине Обь-Иртышского
междуречья, средняя высота которой 120 м над уровнем моря. Характерная
особенность Барабинско-Кулундинской низменности - лентообразное повышение
рельефа - гривы. Правобережная часть области более возвышенная, холмистая.
Почвенный покров области весьма сложен. В
специальной литературе почвенный покров Новосибирской области рассматривается
по шести районам, отличающимся по комплексу природных условий:
заболоченный южно-таежный район;
засоленная заболоченная лесостепь (Центральная
Бараба);
солонцовая лесостепь (Южная Бараба);
солонцеватая степь;
дренированная лесостепь;
лесостепь Присалаирья.
Растительность. В основном, по видовому составу
флора Новосибирской области ненамного отличается от флоры Средней Европы, хотя
встречаются и некоторые чисто сибирские виды. Всего на территории области
отмечено около 1200 видов высших дикорастущих растений.
2. Расчет паводковых расходов
Для расчета паводковых расходов вычерчивается
морфоствор мостового перехода по данным расстояниям и превышениям дна русла. За
пределами снятого морфоствора принимается постоянный уклон бортов долины,
равный 50 ‰. Наносятся уровни паводков. Строится график зависимости скорости
течения от глубины воды на поймах и в русле рис 1.
Рис. 4 - График зависимости скорости течения от
глубины воды на поймах и в русле
Расходы, соответствующие заданным уровням
паводков подсчитываются в табличной форме. Для каждого уровня расход
определяется суммой расходов по элементам морфоствора, т.е. трапецеидальным или
треугольным (крайним) элементам живого сечения. Средняя скорость течения,
соответствующая средней глубине элемента, снимается с графика (рис.1). В
очертаниях морфоствора обычно ясно выделяются поймы и русло водотока, поэтому
считаем, что первые три элемента составляют левую пойму, следующие три русло и
последние четыре - правую пойму. Произведение средней скорости течения на
площадь элемента дает элементарный расход, а сумма расходов по элементам -
расход, соответствующий уровню паводка.
Таблица 1 - Подсчёт расходов
|
Левая
пойма
|
Русло
|
Правая
пойма
|
Год
уровень
|
|
Номера
элементов
|
I
|
II
|
III
|
IV
|
V
|
VI
|
VII
|
VIII
|
IX
|
X
|
|
|
Ширина
элементов, м
|
20
|
40
|
10
|
60
|
80
|
50
|
210
|
250
|
180
|
переменная
|
|
|
Отметка
по низу, м
|
109,00
|
106,30
|
105,30
|
103,70
|
100,00
|
100,70
|
103,00
|
104,50
|
105,05
|
106,20
|
переменная
|
|
|
|
Глубина
по краям Н, м
|
-
|
1,56
|
2,56
|
4,16
|
7,86
|
7,16
|
4,86
|
3,36
|
2,81
|
1,66
|
-
|
|
|
|
Средняя
глубина, Нср,м
|
0,78
|
2,06
|
3,36
|
6,01
|
7,51
|
6,01
|
4,11
|
3,09
|
2,24
|
0,83
|
1924
107,86 ∑=3065
|
|
Площадь
w,м2
|
9
|
82
|
34
|
361
|
601
|
301
|
863
|
773
|
403
|
28
|
|
|
Скорость
течения, V м/с
|
0,27
|
0,38
|
0,55
|
1,58
|
1,78
|
1,58
|
0,51
|
0,41
|
0,33
|
0,24
|
|
|
Расход
Q, м3/с
|
2
|
31
|
19
|
570
|
1070
|
476
|
440
|
317
|
133
|
7
|
|
|
Глубина
по краям Н, м
|
-
|
-
|
-
|
-
|
3,24
|
2,54
|
0,24
|
-
|
-
|
-
|
-
|
|
|
|
Средняя
глубина, Нср,м
|
-
|
-
|
-
|
1,62
|
2,89
|
1,39
|
0,12
|
-
|
-
|
-
|
1964
103.24 ∑=424
|
|
Площадь
w,м2
|
-
|
-
|
-
|
85
|
231
|
70
|
4
|
-
|
-
|
-
|
|
|
Скорость
течения, V м/с
|
-
|
-
|
-
|
1,00
|
1,17
|
0,97
|
0,23
|
-
|
-
|
-
|
|
|
Расход
Q, м3/с
|
-
|
-
|
-
|
85
|
270
|
68
|
1
|
-
|
-
|
-
|
|
|
Глубина
по краям Н, м
|
-
|
-
|
-
|
-
|
3,46
|
2,76
|
0,46
|
-
|
-
|
-
|
-
|
|
|
|
Средняя
глубина, Нср,м
|
-
|
-
|
-
|
1,73
|
3,11
|
1,61
|
0,23
|
-
|
-
|
-
|
1965
103,46 ∑=484
|
|
Площадь
w,м2
|
-
|
-
|
-
|
97
|
249
|
81
|
15
|
-
|
-
|
-
|
|
|
Скорость
течения, V м/с
|
-
|
-
|
-
|
1,02
|
1,21
|
1,00
|
0,22
|
-
|
-
|
-
|
|
|
Расход
Q, м3/с
|
-
|
-
|
-
|
99
|
301
|
81
|
3
|
-
|
-
|
-
|
|
|
Глубина
по краям Н, м
|
-
|
-
|
-
|
-
|
2,26
|
1,56
|
-
|
-
|
-
|
-
|
-
|
|
|
|
Средняя
глубина, Нср,м
|
-
|
-
|
-
|
1,13
|
1,91
|
0,78
|
-
|
-
|
-
|
-
|
1966
102,26 ∑=221
|
|
|
Площадь
w,м2
|
-
|
-
|
-
|
41
|
153
|
26
|
-
|
-
|
-
|
-
|
|
|
|
Скорость
течения, V м/с
|
-
|
-
|
-
|
0,94
|
1,04
|
0,89
|
-
|
-
|
-
|
-
|
|
|
|
Расход
Q, м3/с
|
-
|
-
|
-
|
39
|
159
|
23
|
-
|
-
|
-
|
-
|
|
|
|
Глубина
по краям Н, м
|
-
|
-
|
-
|
2,75
|
2,05
|
-
|
-
|
-
|
-
|
-
|
|
|
|
Средняя
глубина, Нср, м
|
-
|
-
|
-
|
1,38
|
2,40
|
1,03
|
-
|
-
|
-
|
-
|
1967
102,75 ∑=314
|
|
|
Площадь
w,м2
|
-
|
-
|
-
|
61
|
192
|
46
|
-
|
-
|
-
|
-
|
|
|
|
Скорость
течения, V м/с
|
-
|
-
|
-
|
0,97
|
1,11
|
0,91
|
-
|
-
|
-
|
-
|
|
|
|
Расход
Q, м3/с
|
-
|
-
|
-
|
59
|
213
|
42
|
-
|
-
|
-
|
-
|
|
|
|
Глубина
по краям Н, м
|
-
|
-
|
-
|
-
|
3,04
|
2,34
|
-
|
-
|
-
|
-
|
-
|
|
|
|
Средняя
глубина, Нср,м
|
-
|
-
|
-
|
1,52
|
2,69
|
1,19
|
-
|
-
|
-
|
-
|
1968
103,04 ∑=377
|
|
|
Площадь
w,м2
|
-
|
-
|
-
|
75
|
215
|
60
|
-
|
-
|
-
|
-
|
|
|
|
Скорость
течения, V м/с
|
-
|
-
|
-
|
0,98
|
1,15
|
0,94
|
-
|
-
|
-
|
-
|
|
|
|
Расход
Q, м3/с
|
-
|
-
|
-
|
74
|
247
|
56
|
-
|
-
|
-
|
-
|
|
|
|
Глубина
по краям Н, м
|
-
|
-
|
-
|
-
|
2,87
|
2,17
|
-
|
-
|
-
|
-
|
-
|
|
|
|
Средняя
глубина, Нср,м
|
-
|
-
|
-
|
1,44
|
2,52
|
1,09
|
-
|
-
|
-
|
-
|
1969
102,87 ∑=339
|
|
|
Площадь
w,м2
|
-
|
-
|
-
|
67
|
202
|
51
|
-
|
-
|
-
|
-
|
|
|
|
Скорость
течения, V м/с
|
-
|
-
|
-
|
0,98
|
1,12
|
0,92
|
-
|
-
|
-
|
-
|
|
|
|
Расход
Q, м3/с
|
-
|
-
|
-
|
66
|
226
|
47
|
-
|
-
|
-
|
-
|
|
|
|
Глубина
по краям Н, м
|
-
|
-
|
-
|
-
|
2,52
|
1,82
|
-
|
-
|
-
|
-
|
-
|
|
|
|
Средняя
глубина, Нср,м
|
-
|
-
|
-
|
1,26
|
2,17
|
0,91
|
-
|
-
|
-
|
-
|
1970
102,52 ∑=266
|
|
|
Площадь
w,м2
|
-
|
-
|
-
|
51
|
174
|
36
|
-
|
-
|
-
|
-
|
|
|
|
Скорость
течения, V м/с
|
-
|
-
|
-
|
0,95
|
1,07
|
0,90
|
-
|
-
|
-
|
-
|
|
|
|
Расход
Q, м3/с
|
-
|
-
|
-
|
48
|
186
|
32
|
-
|
-
|
-
|
-
|
|
|
|
Глубина
по краям Н, м
|
-
|
-
|
-
|
-
|
3,18
|
2,48
|
0,18
|
-
|
-
|
-
|
-
|
|
|
|
Средняя
глубина, Нср,м
|
-
|
-
|
-
|
1,59
|
2,83
|
1,33
|
0,09
|
-
|
-
|
-
|
1971
103,18 ∑=410
|
|
|
Площадь
w,м2
|
-
|
-
|
-
|
82
|
226
|
67
|
2
|
-
|
-
|
-
|
|
|
|
Скорость
течения, V м/с
|
-
|
-
|
-
|
0,99
|
1,17
|
0,96
|
0,23
|
-
|
-
|
-
|
|
|
|
Расход
Q, м3/с
|
-
|
-
|
-
|
81
|
264
|
64
|
1
|
-
|
-
|
-
|
|
|
|
Глубина
по краям Н, м
|
-
|
-
|
-
|
0,54
|
4,24
|
3,54
|
1,24
|
-
|
-
|
-
|
-
|
|
|
|
Средняя
глубина, Нср, м
|
-
|
-
|
0,27
|
2,39
|
3,89
|
2,39
|
0,62
|
-
|
-
|
-
|
1972
104,24 ∑=724
|
|
|
Площадь
w,м2
|
-
|
-
|
1
|
143
|
311
|
120
|
108
|
-
|
-
|
-
|
|
|
|
Скорость
течения, V м/с
|
-
|
-
|
0,25
|
1,10
|
1,31
|
1,11
|
0,24
|
-
|
-
|
-
|
|
|
|
Расход
Q, м3/с
|
-
|
-
|
1
|
157
|
407
|
133
|
26
|
-
|
-
|
-
|
|
|
|
Глубина
по краям Н, м
|
-
|
0,03
|
1,03
|
2,63
|
6,33
|
5,63
|
3,33
|
1,83
|
1,28
|
0,13
|
-
|
0,02
|
0.53
|
1,83
|
4,48
|
5,98
|
4,48
|
2,58
|
1,55
|
0,7
|
0.07
|
1973
106,33 ∑=1779
|
|
|
Площадь
w,м2
|
0
|
21
|
18
|
269
|
478
|
224
|
542
|
388
|
126
|
0
|
|
|
|
Скорость
течения, V м/с
|
0,20
|
0,25
|
0,36
|
1,38
|
1,58
|
1,38
|
0,36
|
0,28
|
0,22
|
0,15
|
|
|
|
Расход
Q, м3/с
|
0
|
5
|
7
|
371
|
755
|
309
|
195
|
109
|
28
|
0
|
|
|
|
Глубина
по краям Н, м
|
-
|
-
|
-
|
0,18
|
3,88
|
3,18
|
0,88
|
-
|
-
|
-
|
-
|
|
|
|
Средняя
глубина, Нср,м
|
-
|
-
|
0,09
|
2,03
|
3,53
|
2,03
|
0,44
|
-
|
-
|
-
|
1974
103,88 ∑=604
|
|
|
Площадь
w,м2
|
-
|
-
|
0
|
122
|
282
|
102
|
54
|
-
|
-
|
-
|
|
|
|
Скорость
течения, V м/с
|
-
|
-
|
0,23
|
1,06
|
1,26
|
1,06
|
0,23
|
-
|
-
|
-
|
|
|
|
Расход
Q, м3/с
|
-
|
-
|
0
|
129
|
355
|
108
|
12
|
-
|
-
|
-
|
|
|
|
Глубина
по краям Н, м
|
-
|
0,94
|
1,94
|
3,54
|
7,24
|
6,54
|
3,54
|
2,74
|
2,19
|
1,04
|
-
|
|
|
|
Средняя
глубина, Нср,м
|
0,47
|
1,44
|
2,74
|
5,39
|
6,89
|
5,04
|
3,14
|
2,47
|
1,62
|
0,52
|
1975
107,24 ∑=2404
|
|
|
Площадь
w,м2
|
3
|
58
|
27
|
323
|
551
|
252
|
659
|
618
|
292
|
11
|
|
|
|
Скорость
течения, V м/с
|
0,23
|
0,33
|
0,45
|
1,50
|
1,71
|
1,46
|
0,42
|
0,35
|
0,28
|
0,20
|
|
|
|
Расход
Q, м3/с
|
1
|
19
|
12
|
485
|
942
|
368
|
277
|
216
|
82
|
2
|
|
|
|
Глубина
по краям Н, м
|
-
|
-
|
-
|
1,34
|
5,04
|
4,34
|
2,04
|
0,54
|
-
|
-
|
-
|
|
|
|
Средняя
глубина, Нср,м
|
-
|
-
|
0,67
|
3,19
|
4,69
|
3,19
|
1,29
|
0,27
|
-
|
-
|
1976
105,04 ∑=1039
|
|
|
Площадь
w,м2
|
-
|
-
|
6
|
191
|
375
|
160
|
271
|
66
|
-
|
-
|
|
|
|
Скорость
течения, V м/с
|
-
|
-
|
0,26
|
1,21
|
1,41
|
1,21
|
0,26
|
0,19
|
-
|
-
|
|
|
|
Расход
Q, м3/с
|
-
|
-
|
2
|
231
|
529
|
194
|
70
|
13
|
-
|
-
|
|
|
|
Глубина
по краям Н, м
|
-
|
-
|
-
|
-
|
3,17
|
2,47
|
0,17
|
-
|
-
|
-
|
-
|
|
|
|
Средняя
глубина, Нср, м
|
-
|
-
|
-
|
1,59
|
2,82
|
1,32
|
0,09
|
-
|
-
|
-
|
1977
103,17 ∑=408
|
|
|
Площадь
w,м2
|
-
|
-
|
-
|
81
|
226
|
66
|
2
|
-
|
-
|
-
|
|
|
|
Скорость
течения, V м/с
|
-
|
-
|
-
|
0,99
|
1,17
|
0,96
|
0,16
|
-
|
-
|
-
|
|
|
|
Расход
Q, м3/с
|
-
|
-
|
-
|
80
|
264
|
63
|
1
|
-
|
-
|
-
|
|
|
|
|
|
|
|
|
|
|
|
|
|
|
|
|
|
|
|
|
|
|
|
|
|
|
|
|
|
|
|
|
|
|
|
|
|
|
|
|
|
|
|
|
|
|
|
|
|
|
|
|
Зависимость расхода от уровня сводится в график.
Рис. 5 - График зависимости расхода от уровня
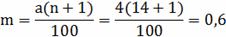
3. Определение расчетного расхода
Статистическая обработка полученного ряда
наибольших годовых расходов ведется также в табличной форме (табл.2).Выписанный
в хронологическом порядке ряд расходов упорядочивается (ранжируется) по
величине от максимального к минимальному (графа 5). Обрабатываемый ряд должен
быть непрерывным, поэтому отдельного стоящий большой расход 1924 г. в табл.5 не
включается. Подсчитываем сумму расходов, средний расход, эмпирическая
вероятность превышения каждого из наблюдаемых расходов:
,
где m-номер расхода в ранжированном
ряду;=14-количество членов ряда.
Мерой изменчивости ряда в гидрологических
расчётах служит коэффициент вариации:

,
где Кi=
- модульный коэффициент.
=
При включении в обрабатываемый ряд редкого
расхода, надежность расхода существенно повышается. Объем удлиненного ряда:
=1977-1924+1=54
Таблица 2 - Обработка результатов наблюдений
|
Год
|
Q,М³/сек
|
№
члена ряда
|
Ранжированный
ряд
|
Pэ,%
|
Ki
|
Кi-1
|
(Ki -1)²
|
|
|
|
год
|
Qi
|
|
|
+
|
-
|
|
|
1964
|
424
|
1
|
1975
|
2404
|
4,9
|
3,437
|
2,437
|
|
5,939
|
|
1965
|
484
|
2
|
1973
|
1779
|
11,8
|
2,543
|
1,543
|
|
2,381
|
|
1966
|
221
|
3
|
1976
|
1039
|
18,8
|
1,485
|
0,485
|
|
0,235
|
|
1967
|
314
|
4
|
1972
|
724
|
25,7
|
1,035
|
0,035
|
|
0,001
|
|
1968
|
377
|
5
|
1974
|
604
|
32,6
|
0,863
|
|
0,137
|
0,019
|
|
1969
|
339
|
6
|
1964
|
484
|
39,6
|
0,767
|
0,054
|
|
1970
|
266
|
7
|
1964
|
424
|
46,6
|
0,606
|
|
0,394
|
0,155
|
|
1971
|
410
|
8
|
1971
|
410
|
53,6
|
0,586
|
|
0,414
|
0,171
|
|
1972
|
724
|
9
|
1977
|
408
|
60,4
|
0,583
|
|
0,417
|
0,174
|
|
1973
|
1779
|
10
|
1968
|
377
|
67,3
|
0,538
|
|
0,462
|
0,213
|
|
1974
|
604
|
11
|
1969
|
339
|
74,4
|
0,485
|
|
0,515
|
0,265
|
|
1975
|
2404
|
12
|
1967
|
314
|
81,3
|
0,449
|
|
0,551
|
0,303
|
|
1976
|
1039
|
13
|
1970
|
266
|
88,2
|
0,380
|
|
0,620
|
0,384
|
|
1977
|
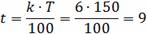
408
|
14
|
1966
|
221
|
95,2
|
0,316
|
|
0,684
|
0,468
|
|
|
|
|
ΣQi=9793
|
|
14,073≈14
|
|
|
10,762
|
|
|
|
|
Qср=699,5
|
|
|
|
|
|
Средний расход:
ср=
)
=
=743 м3/с
Коэффициент вариации:
=
=
=0,953
Удлинение ряда расходов меняет порядковые номера
членов ряда. На первое место ставится максимальный расход (паводок 1924 года),
следовательно, остальные номера увеличиваются на единицу. Кроме того, ряд как
бы растягивается с 14 до 54 лет и порядковые номера его членов увеличиваются
пропорционально этому удлинению:
;
Соответственно меняется эмпирическая вероятность
превышения:
;
Значение модульных коэффициентов при удлинений
ряда несколько уменьшается (табл.3).
Таблица 3 - Значения коэффициентов
|
М1
|
1,0
|
7,2
|
10,8
|
14,4
|
18,0
|
21,6
|
25,2
|
28,8
|
|
Р!
э
|
1,29
|
13,23
|
19,85
|
26,47
|
33,09
|
39,70
|
46,32
|
52,94
|
|
К!I
|
4,12
|
3,23
|
2,39
|
1,40
|
0,97
|
0,81
|
0,65
|
0,57
|
Зависимость модульных коэффициентов от их
вероятности строят клетчатки вероятностей. Используя теоретические кривые,
строящиеся по таблицам С.Н. Крицкого и М.Ф. Менкаля, составляем табл. 4 и затем
наносим на клетчатку вероятностей.
Таблица 4 - Данные для клетчатки вероятностей
|
Р,%
|
0,10
|
0,33
|
0,50
|
1,0
|
2,0
|
5,0
|
10,0
|
20,0
|
25,0
|
30,0
|
40,0
|
50,0
|
|
Сν= 0,953
|
Кi
|
CsСv
|
1
|
4,29
|
3,97
|
3,85
|
3,62
|
3,34
|
2,91
|
2,45
|
1,83
|
1,60
|
1,39
|
1,02
|
-
|
|
|
|
1,5
|
5,53
|
4,80
|
4,57
|
4,12
|
3,60
|
2,93
|
2,35
|
1,64
|
1,47
|
1,29
|
0,98
|
0,73
|
|
|
|
2
|
6,52
|
5,39
|
5,03
|
4,32
|
3,70
|
2,90
|
2,25
|
1,60
|
1,38
|
1,21
|
0,94
|
0,72
|
|
|
|
3
|
7,91
|
6,08
|
5,50
|
4,65
|
3,83
|
2,80
|
2,12
|
1,48
|
1,28
|
1,13
|
0,89
|
0,72
|
|
|
КрВП-65
|
5,79
|
5,18
|
4,84
|
4,39
|
3,73
|
2,90
|
2,25
|
1,59
|
-
|
-
|
-
|
0,72
|
Рис. 6 - Клетчатка вероятностей
Кривая
=
3 наиболее подходящая закономерность распределения расходов, при вероятности
Р=1% имеет модульный коэффициент К1(%)=4,65
Отсюда расход расчетного паводка QРАСЧ.=QСР
РАСЧ.=743*4,65=3455 м3/с
Уровень воды при расчетном расходе определяется
экстраполяцией зависимости уровня от расхода, рис 2.
Следует иметь в виду, что экстраполяция
эмпирических зависимостей может дать существенную погрешность. Поэтому
полученный уровень - расчетный горизонт воды (РГВ) нуждается в проверке (табл.
5).
Таблица 5 - Данные для клетчатки вероятностей
|
Н
|
-
|
1,90
|
2,90
|
4,50
|
8,20
|
7,50
|
5,20
|
3,70
|
3,15
|
2,00
|
-
|
Расчетный
паводок 108,20 Qрасч=3433
|
|
НСР
|
0,95
|
2,40
|
3,70
|
6,35
|
7,85
|
6,35
|
4,45
|
3,43
|
2,58
|
1,00
|
|
|
W
|
13
|
96
|
37
|
381
|
628
|
318
|
934
|
858
|
464
|
40
|
|
|
VСР
|
0,28
|
0,43
|
0,59
|
1,63
|
1,83
|
1,63
|
0,56
|
0,44
|
0,36
|
0,25
|
|
|
Q
|
4
|
41
|
22
|
621
|
1149
|
518
|
523
|
378
|
167
|
10
|
|
|
Qлп=67
|
Qрусла=2288
|
Qпп=1078
|
|
|
|
|
|
|
|
|
|
|
|
|
|
|
|
|
|
4. Назначение отверстия моста
Минимально необходимое отверстие моста по
условию баланса наносов определяется как:
Р=3,04
;
=
;=
;
где ВР - ширина русла реки, м;
µ - коэффициент сжатия потока промежуточными
опорами;
-
расход, проходящий в русловой части потока;
Р - коэффициент общего размыва;- удельный расход
на единицу длины отверстия моста, м3/ч.отверстие моста, м.
=
=346
;
Р=3,04
;=
=14,3
Для расчета отверстия моста нужно знать
допустимую величину коэффициента размыва, которая определяется удельным
расходом, в свою очередь, зависящий от искомого отверстия моста. Эту задачу
решаем подбором:
Таблица 6 - Подбор отверстия моста
|
Исходное
отверстие L,м
|
190
|
220
|
230
|
241
|
|
Удельный
расход q,м2/с
|
18,2
|
15,7
|
15,0
|
14,3
|
|
Коэффициент
размыва Р
|
1,26
|
1,29
|
1,30
|
1,31
|
|
Конечное
отверстие
|
254
|
246
|
244
|
241
|
Полученное отверстие моста необходимо правильно
разместить в пределах морфоствора.
5. Расчёт регуляционных сооружений
Для устройства струенаправляющих дамб
необходимо, чтобы не менее 15℅ расчетного расхода воды пропускалось через
поймы или имеется значительная косина перехода.
После устройства мостового перехода часть
потока, проходившая в бытовых условиях по поймам, перекрывается подходами к
мосту (насыпями) и должна будет свернуть к отверстию моста. Для плавного ввода
под мост этой части потока, устраиваются верховые струенаправляющие дамбы, а
для организации плавного растекания потока после выхода его из под моста -
низовые. Очертания верховой дамбы принимаются эллиптическими, а размеры её
рассчитываются исходя из степени стеснения потока насыпи подходов к мосту.
Коэффициент стеснения подходами для
односторонней поймы:
δ =
;
где,Пер. - часть бытового расхода, перекрытая
подходами на левой или правой пойме;Расч. - расчетный расход.
Расход на правой пойме - 1078м3/с
Пойменная часть отверстия - 48м
Средняя глубина - 5,03м
Площадь живого сечения - 241м²
Средняя скорость - 0,64м/с
Не перекрытый расход - 154м³/с
Перекрытый расход на п.п. - 924м³/с
δ =
=924/3455=0,267
Соотношение полуосей эллипса, по которому очерчиваются
оси струенаправляющих дамб, назначается по величине коэффициента стеснения:
Кп=1,83
Размеры верховой дамбы определяются по величине
ее проекции на ось мостового перехода Вв (малая полуось эллипса):
Ввп=Ап*Вр=0,291*190=55м
Параметр Ап принимается в зависимости от того же
коэффициента стеснения.
Координаты криволинейной оси струенаправляющей
дамбы даются в относительной форме в таблице 7. Абсолютные значения координат
получаются умножением относительных на величину проекции Вв.
Таблица 7 - Координаты верховой дамбы
|
Правая
дамба
|
|
Относительные
координаты
|
Абсолютные
координаты
|
|
К=1,83
Вв=55м
|
|
X/Вв
|
Y/Вв
|
X
|
Y
|
|
0,00
|
0,000
|
0,00
|
0,00
|
|
0,20
|
0,006
|
11,00
|
0,33
|
|
0,40
|
0,028
|
22,00
|
1,54
|
|
0,60
|
0,058
|
33,00
|
3,19
|
|
0,80
|
0,100
|
44,00
|
5,50
|
|
1,00
|
0,163
|
55,00
|
8,97
|
0,244
|
66,00
|
13,42
|
|
1,40
|
0,356
|
77,00
|
19,58
|
|
1,60
|
0,514
|
88,00
|
28,27
|
|
1,70
|
0,629
|
93,50
|
34,60
|
|
1,75
|
0,710
|
96,25
|
39,05
|
|
1,80
|
0,819
|
99,00
|
45,05
|
|
1,81
|
0,852
|
99,55
|
46,86
|
|
1,83
|
1,000
|
100,65
|
55,00
|
В голове верховой дамбы устраивается приставка,
очерчиваемая по окружности радиуса r=0,2Вв=11м с углом разворота 90-120°.
Большая полуось эллипса ав=к·Вв, т.е.
авп=100,65м.
Ось низовой дамбы проектируется также из двух
сопряженных элементов - круговой кривой с радиусом R=2ав =2·100,65=201,3м и
углом разворота, β=8-8° и
касательной к ней прямой. В проекции на нормаль к створу перехода низовая дамба
вдвое меньше верховой.
Координаты рассчитываются (табл. 8) с шагом
абсциссы 10м по упрощенным формулам.
Таблица 8 - Координаты низовой дамбы
|
|
X
|
tgβ=X/2ав
|
Y=X2/4ав
|
|
Криволинейная
часть дамбы
|
-10
|
-0,050
|
0,25
|
|
-20
|
-0,099
|
0,99
|
|
-30
|
-0,149
|
2,23
|
|
Прямолинейная
часть дамбы
|
-40
|
-0,149
|
3,72
|
|
-50
|
-0,149
|
5,21
|
|
-50,325
|
-0,149
|
5,26
|
6. Расчёт общего размыва
Размывы под мостом при проходе паводка
рассчитывается поэтапным прослеживанием процесса, который заключается в
построении треугольного гидрографа паводка с продолжительностью подъема уровня
воды 6 суток и спада его 9 суток. Треугольный гидрограф заменяется ступенчатым
с расходом на каждой ступени, увеличивающимся на одну треть расчетного рис. 4.
Продолжительность ступеней 2; 2; 2,5; 3; и 3 суток. Далее задается некоторая
толщина слоя смыва и рассчитывается время за которое этот размыв произойдет.
Расчет ведется в форме таблицы 9.
Рис. 7 - Гидрограф стока
Таблица 9 - Расчет общего размыва
|
строки
|
ступени
|
Бытовые
условия
|
В
створе моста
|
|
|
расход
|
Отметка
поверхности воды Нy, м
|
Средняя
отметка дна Нд. ср,м
|
Средняя
глубина Нм, м.
|
Разм.
скорость Vом, м/сек
|
Площадь
живого сечения Wм, м²
|
Средняя
скорость Vм.ср, м/сек
|
Vм.ср/Vом,
м
|
A
|
(d/Hм)⅔
|
Мутность
воды ρ,
кг/м³
|
Твердый
расход Gм, кг/сек
|
|
|
Общий
Q, м³/сек
|
Русла
Q, м³сек
|
|
|
|
|
|
|
|
|
|
|
|
|
1
|
2
|
3
|
4
|
5
|
6
|
7
|
8
|
9
|
10
|
11
|
12
|
13
|
14
|
15
|
|
1
|
1
|
1152
|
1028
|
105,25
|
101,64
|
3,61
|
0,50
|
870
|
1,32
|
2,67
|
143
|
0,00092
|
0,1305
|
150
|
|
2
|
|
|
|
|
101,59
|
3,66
|
0,50
|
882
|
1,31
|
2,62
|
134
|
0,00091
|
0,1215
|
140
|
|
3
|
|
|
|
|
101,557
|
3,69
|
0,50
|
890
|
1,29
|
2,59
|
129
|
0,00090
|
0,1159
|
134
|
|
|
4
|
2
|
2303
|
1737
|
107,10
|
101,557
|
5,54
|
0,55
|
1336
|
1,72
|
3,12
|
248
|
0,00069
|
0,1705
|
393
|
|
5
|
|
|
|
|
101,36
|
5,74
|
0,56
|
1384
|
1,66
|
2,99
|
212
|
0,00067
|
0,1426
|
329
|
|
6
|
|
|
|
|
101,27
|
5,83
|
0,56
|
1406
|
1,64
|
2,93
|
198
|
0,00066
|
0,1320
|
304
|
|
|
7
|
3
|
3455
|
2288
|
108,20
|
101,27
|
6,93
|
0,58
|
1670
|
2,07
|
3,54
|
382
|
0,00059
|
0,2267
|
783
|
|
8
|
|
|
|
|
100,77
|
7,43
|
0,59
|
1791
|
1,93
|
3,25
|
284
|
0,00057
|
0,1607
|
555
|
|
9
|
|
|
|
|
100,58
|
7,62
|
0,60
|
1836
|
1,88
|
3,15
|
255
|
0,00056
|
0,1420
|
490
|
|
|
10
|
4
|
2303
|
1737
|
107,10
|
100,58
|
6,52
|
0,58
|
1571
|
1,47
|
2,55
|
121
|
0,00062
|
0,0745
|
171
|
Таблица 10 - Расчет общего размыва
|
Строки
|
V2м
|
Подпор
Z, м
|
В
зоне подпора
|
|
|
|
|
|
Отметка
поверхности воды Нy+Z,м
|
Средняя
отметка дна в русле Hдр, м
|
Глубина
в русле Нр, м
|
Площадь
живого сечения Wр, м²
|
Скорость
в русле Vр, м/сек
|
Разм.
Скорость в русле Vор, м/сек
|
Vр/Vор
|
А
|
(d/Нм)2/3
|
Мутность
воды
ρ, кг/м³
|
Твердый
расход Gр, кг/сек
|
Дефицит
наносов Gм-Gр кг/сек
|
|
|
16
|
17
|
18
|
19
|
20
|
21
|
22
|
23
|
24
|
25
|
26
|
27
|
28
|
29
|
|
|
1
|
1,75
|
0,08
|
105,33
|
101,22
|
4,11
|
781
|
1,32
|
0,51
|
2,57
|
124
|
0,0008
|
0,1042
|
107
|
43
|
|
|
2
|
1,71
|
0,08
|
105,33
|
101,22
|
4,11
|
781
|
1,32
|
0,51
|
2,57
|
124
|
0,0008
|
0,1044
|
107
|
33
|
|
|
3
|
1,67
|
0,08
|
105,33
|
101,22
|
4,11
|
780
|
1,32
|
0,51
|
2,57
|
125
|
0,0008
|
0,1046
|
108
|
26
|
|
|
|
|
4
|
2,97
|
0,14
|
107,24
|
101,22
|
6,02
|
1118
|
1,55
|
0,56
|
2,76
|
160
|
0,0007
|
0,1042
|
181
|
212
|
|
|
5
|
2,77
|
0,13
|
107,23
|
101,22
|
6,01
|
1141
|
1,52
|
0,56
|
2,70
|
149
|
0,0007
|
0,0970
|
169
|
160
|
|
|
6
|
2,68
|
0,12
|
107,22
|
101,22
|
6,00
|
1141
|
1,52
|
0,56
|
2,70
|
149
|
0,0007
|
0,0973
|
169
|
135
|
|
|
|
|
7
|
4,28
|
0,19
|
108,39
|
7,18
|
1363
|
1,68
|
0,59
|
2,85
|
180
|
0,0006
|
0,1042
|
238
|
545
|
|
|
8
|
3,72
|
0,17
|
108,37
|
101,22
|
7,15
|
1359
|
1,68
|
0,59
|
2,86
|
183
|
0,0006
|
0,1061
|
243
|
312
|
|
|
9
|
3,54
|
0,16
|
108,36
|
101,22
|
7,14
|
1357
|
1,69
|
0,59
|
2,87
|
184
|
0,0006
|
0,1067
|
244
|
246
|
|
|
|
|
10
|
2,15
|
0,10
|
107,20
|
101,22
|
5,98
|
1136
|
1,53
|
0,56
|
2,72
|
152
|
0,0007
|
0,0994
|
173
|
-1
|
|
|
Размыв
|
|
Средний
дефицит наносов ∆Gср
|
Слой
смыва под мостом ∆h, м
|
Бытовой
уклон iб
|
Er/iб
|
Q/QбМ
|
a
|
LР,
м
|
Объём
смыва ∆W, м³
|
Время
смыва, ∆t, сутки
|
t
cтупени, сутки
|
h
ступени
|
Продолжительность
ступени, сутки
|
Размыв
за ступень
|
Общий
размыв
|
|
30
|
31
|
32
|
33
|
34
|
35
|
36
|
37
|
38
|
39
|
40
|
41
|
42
|
43
|
|
38
|
0,05
|
0,00010
|
>0.5
|
<1,25
|
0,73
|
436,218
|
2,07204
|
1,1
|
1,1
|
0,05
|
2
|
0,0835
|
0,0835
|
|
29,3
|
0,033
|
0,00010
|
>0.5
|
<1,25
|
0,73
|
436,065
|
1,38777
|
0,9
|
2,0
|
0,083
|
|
|
|
|
|
185,8
|
0,2
|
0,00009
|
>0.5
|
<1,25
|
0,73
|
643,162
|
12,2201
|
1,3
|
1,3
|
0,2
|
2
|
0,2870
|
0,3705
|
|
147,4
|
0,087
|
0,00008
|
>0.5
|
<1,25
|
0,73
|
642,502
|
5,31028
|
0,7
|
2,0
|
0,287
|
|
|
|
|
|
428,6
|
0,5
|
0,00008
|
>0.5
|
=1,5
|
0,74
|
723,352
|
34,3592
|
1,6
|
1,6
|
0,5
|
2,5
|
0,6890
|
1,0595
|
|
279,3
|
0,189
|
0,00008
|
>0.5
|
=1,5
|
0,74
|
721,650
|
12,9572
|
0,9
|
2,5
|
0,689
|
|
|
|
|
|
|
|
|
|
|
|
|
|
|
|
|
|
|
|
|
|
|
|
|
|
|
|
|
|
|
|
|
|
Таблица 10 - Коэффициент общего размыва
|
Средняя
отметка до размыва
|
101,64
|
|
Отметка
при максимальном размыве
|
100,58
|
|
Коэффициент
общего размыва
|
1,16
|
|
Соотношение
максимальной и средней глубин
|
1,25
|
|
Максимальная
глубина.
|
8,20
|
|
Максимальная
отметка дна
|
97,55
|
7. Расчет местного размыва
Кроме общего размыва, происходящего относительно
равномерно по всей длине отверстия моста, у промежуточных опор моста
наблюдается местный размыв, добавляющийся к общему. Опоры моста обычно
размещают так, чтобы они не попадали на вертикаль с наибольшей глубиной. Однако
со временем эта максимальная глубина может сместиться к опоре, поэтому глубина
заложения фундамента должна соответствовать максимально возможной глубине
размытого сечения. Величина местного размыва также зависит от гидрографа
паводка, но в курсовой работе допустимо считать максимум местного размыва соответствующим
наивысшей (третьей) ступени паводка.
Наибольшая глубина местного размыва.
Н=(h0+0.014
B)·μ·k
=6,2·β·H/(
)β;
где
Н - глубина воды у опоры;
β - параметр,
принимаемый по приложениям;- гидравлическая крупность частиц грунта;-
максимальная размываемая скорость;- средняя скорость;
В - ширина опоры, принимаемая 3,0 м;
μ=0,85 - коэффициент формы
поперечного сечения;
К - коэффициент косины, принимаемый =1,0;
При соотношении В/Н=3,0/10,25=0,2927 по
приложению β=0,06156.
С учетом местного размыва максимальная глубина
достигает 20,41м и минимальная отметка дна после размыва расчетным паводком
87,79.
Таблица 11 - Глубина местного размыва
|
Н
|
10,25
|
|
В
|
3,00
|
|
В/Н
|
0,29
|
|
β
|
0,06
|
|
Vo
|
0,64
|
|
V
|
2,13
|
|
W
|
0,00692
м/сек
|
|
(Vo/W)β
|
1,31
|
|
h=
|
10,16
|
8. Расчет минимальной отметки
пойменных насыпей
Бровка земляного полотна на подходах к мосту
должна быть выше расчетного горизонта высокой воды (с учётом подпора) на высоту
наката волны по откосу и величину технического запаса (0,5м). Величина подпора
приближенно найдена при расчете общего размыва (0,19).
Высота наката волны определяется по:
н=
где
Кm - коэффициент, учитывающий тип укрепления
откоса насыпи;- коэффициент заложения откоса; (1,5-3,0)
λ - длина волны; высота
волны;
Расчетная скорость ветра - 20м/сек.
Длина разгона волны - 7км.
Откос укреплен наброской из рваного камня.
По приложению Кm/m=0,27.
Средняя глубина от расчетного горизонта высокой
воды (для не размытого створа выше моста) 108,20-101,64=6,56м.
При длине разгона волны 7км и скорости ветра
20м/сек по приложению
Высота наката волны
Минимальная отметка бровки земляного полотна на
подходах к мосту:
9. Расчёт судоходного горизонта,
проектирования продольного профиля перехода
Минимальная отметка проектной линий в продольном
профиле мостового перехода складывается из отметки расчётного судоходного
горизонта, высоты подмостового габарита и строительной высоты пролётного
строения (включая конструкцию проезжей части).
Расчет максимального горизонта воды, при котором
судоходство по реке не испытывает затруднений, ведется по паводку, порядковый
номер которого в ранжированном ряду наблюдений
Высота подмостового габарита для рек III класса
и средней части пролёта - 10 м. Строительную высоту можно условно принять 2м.
Тогда минимальная отметка проезжей части моста 106,55+10+2=118,55 м
При проектировании продольного профиля перехода
радиусы кривых и уклоны принять по нормативам дороги первой технической
категории.
Таблица 12 - Расчет судоходного горизонта
|
Класс
реки
|
III
|
|
Порядковый
номер m
|
0,6
|
|
а-коэффициент,
принимаемый по таблице приложения, в зависимости от класса реки.
|
4
|
|
k-коэффициент
допускаемого снижения продолжительности физической навигации Зависящий от
класса водного пути.
|
6
|
|
Т-фактическая
продолжительность навигации, суток
|
150
|
|
t-перерыв
в судоходстве для наиболее крупных судов продолжительностью в сутках.
|
9
|
|
9
суток
|
1730
|
|
Расчетный
судоходный горизонт
|
106,55
|
|
Подмостовой
габарит, м
|
10
|
|
Строительная
высота, м
|
2
|
|
Минимальная
отметка проезжей части моста
|
118,55
|
насыпь мост профиль строительство
При проектировании продольного профиля перехода
радиусы кривых и уклоны принять по нормативам дороги первой технической
категории.
Заключение
В курсовом проекте рассмотрен вариант расчёта по
изысканиям и проектированию мостового перехода через реку в Новосибирской
области.
В результате изысканий мостового перехода
получены следующие результаты:
Рассчитаны расходы, соответствующие заданным
уровням паводков;
Определен расчетный расход заданной
обеспеченности;
Назначено отверстие моста;
Рассчитаны регуляционные сооружения;
Определен общий размыв;
Рассчитан местный размыв;
Назначена минимальная отметка пойменной насыпи;
Определен судоходный горизонт, запроектирован
продольный профиль перехода.
Принимая во внимание вышеизложенное, тема
курсового проекта достигла цели проектирования.
За окончательный вариант проектом принят
постоянный низководный мостовой переход с затопляемыми высокими водами мостом и
подходами.
Список литературы
1. Самбаров
Н.Н. Проектирование мостовых переходов. Учебное пособие/ - Иркутск: ИрГТУ -
ИрДУЦ, 2001. - 71с.
2. Андреев
О. В. Проектирование мостовых переходов. - М., Транспорт, 1980. 215 с.
. Андреев
О.В., Глаголева Т.Н., Федотов Г.А., Абрамов Ю.В. Основы расчета мостовых
переходов. Л., Изд-во "Высшая школа", 1971.
. ГОСТ
26775-97 Габариты подмостовые судоходных пролетов мостов на внутренних водных
путях. Нормы и технические требования.