Одноэтажное производственное здание
РОСЖЕЛДОР
Федеральное государственное бюджетное
образовательное учреждение высшего профессионального образования
Сибирский государственный университет
путей сообщения
Кафедра «Здания, строительные
конструкции и материалы»
Курсовой проект
По дисциплине
Металлические конструкции, включая
сварку
На тему:
Одноэтажное производственное здание
Разработал А.Н. Кретинин
студент гр. П-411
Руководитель к.т.н.,
доцент Г.А. Швейцер
Аннотация
Курсовая работа выполнена в соответствии с заданием, выданным кафедрой
«Здания, строительные конструкции и материалы», в котором указаны основные
исходные данные для проектирования.
В настоящее время широко распространено строительство промышленных и
общественных зданий, основой которым служит металлический каркас. Особо важно в
таких зданиях верно рассчитать соединения конструкций, а также предусмотреть их
огнезащиту.
Целью данной работы служит обучение подбору несущих металлических
конструкций по имеющимся нагрузкам и их конструирование.
В данной курсовой работе запроектирована производственная площадка,
несущие конструкции которой выполнены из металла.
Содержание
Исходные
данные
. Сбор
нагрузок
2. Расчет базы колонны
. Расчет колонн
3.1 Определение расчетной длины
колонн по оси
.2 Расчет сжато-изогнутой колонны по
оси (подкрановая часть)
.3 Расчет сжато-изогнутой колонны по
оси (надкрановая часть)
4. Расчет подкрановой балки
Список
используемых источников
Исходные
данные
Общие
данные
Настоящий курсовой проект содержит расчеты металлоконструкций каркаса
одноэтажного производственного здания, расположенного в г. Воронеж.
При расчете конструкций учтен коэффициент надежности по ответственности
здания γn = 1,0, как для здания нормального уровня
ответственности, согласно ст.16 п. 7 ФЗ-№384 «Технический регламент о
безопасности зданий и сооружений» /1/.
Климатические условия:
- климатический район - IВ СП
131.13330.2012 «Строительная климатология» /2/;
- ветровой район - II по СП 20.13330.2011 «Нагрузки и воздействия» /3/, нормативное ветровой
давление 0,3 кПа;
- снеговой район - III /3/, расчетная снеговая нагрузка 1,8 кПа;
- температура наиболее холодной пятидневки с обеспеченностью
0,92 минус 26°С /2/;
Статический расчет выполнено в программном комплексе SCAD Office 11.5.
В программном комплексе SCAD Office 11.5 реализованы
положения следующих документов:
- СП 20.13330.2011 «Нагрузки и воздействия»;
- СП 16.13330.2011 «Стальные конструкции».
Материал
конструкций
Марки стали элементов конструкций приняты в зависимости от группы
конструкций, с учетом температуры в соответствии с требованиями СНиП II-23-81 /4/, а также в соответствии с
техническими требованиями на проектирование и приведены в ведомости элементов и
технической спецификации стали.
Сталь, используемая для проектирования конструкций первой группы - С255
/4/; для конструкций второй группы - С245 /4/; для конструкций третей группы -
С235 /4/; для конструкций четвертой группы - С235 /4/.
1. Сбор
нагрузок
Таблица 1.1
Сбор нагрузок
|
№ п/п
|
Наименование нагрузки
|
Нормативная, кН/м2
|
gf
|
Расчетная, кН/м2
|
|
Постоянные от покрытия g1
|
|
1
|
Сендвич-панели, d = 120 мм
|
0,257
|
1,2
|
0,309
|
|
2
|
Собственный вес конструкций
площадок на кровле
|
0,285
|
1,05
|
0,3
|
|
3
|
Собственный вес МК (фермы,
прогоны, связи)
|
Учтен в ПК SCAD Office 11.5
|
|
Итого g1 :
|
0,542
|
|
0,609
|
|
Технологическая на покрытия
g2
|
|
4
|
Система пожаротушения
|
0,455
|
1,05
|
0,5
|
|
5
|
Технологическая
|
0,455
|
1,05
|
0,5
|
|
Итого g2:
|
0,91
|
|
1,0
|
|
Постоянные от стенового
ограждения gстен
|
|
6
|
Сендвич-панели, d = 100 мм и остекление
|
0,712
|
1,1
|
0,783
|
|
7
|
Стеновые ригели
|
0,114
|
1,05
|
0,12
|
|
Итого gстен:
|
0,826
|
|
0,903
|
|
Временные
|
|
8
|
Снег, III
снеговой район
|
1,29
|
1,4
|
1,8
|
|
9
|
Ветер, II
ветровой район
|
0,3
|
1,4
|
0,322
|
Ветровая нагрузка
Ветровой район II по
СП 20.13330.2011, w0 = 0,23 кПа, тип местности В.
где k(ze) = 0,795 по табл. 11.2 /3/,
γf = 1,4 по п. 11.1.12 /3/,
ζ(ze) = 0,959 по табл. 11.4 /3/
Ветер по х:
νвдоль зд. = 0,699 (ZOY: p=b=41,82 м, χ = h = 18,25 м),
νторец= 0,827 (ZOХ: p=0,4а=0,4*20=8
м, χ = h =
18,25 м),
νпокрытия = 0,696 (XOY: p=b=41,82 м, χ = а = 20 м).
Рисунок 1.1 - Схема распределения аэродинамических коэффициентов для
здания; действие ветра напор по оси - Х
Рисунок 1.2 - Схема распределения аэродинамических коэффициентов для
здания; действие ветра отсос по оси - Х
|
Зона
|
№
|
k(Ze)
|
Ce
|
ɣf
|
Wm, кН/м2
|
В, м
|
Vm, кН/м
|
ζ(Ze)
|
ν
|
Wр, кН/м2
|
Vр, кН/м
|
V, кН/м
|
|
А
|
9
|
0,795
|
-1
|
1,4
|
-0,334
|
3,665
|
-1,224
|
0,959
|
0,827
|
-0,265
|
-0,971
|
-2,194
|
|
10
|
0,795
|
-0,9
|
1,4
|
-0,301
|
5,03
|
-1,512
|
0,959
|
0,827
|
-0,238
|
-1,199
|
-2,710
|
|
В
|
11
|
0,795
|
-0,8
|
1,4
|
-0,267
|
3,865
|
-1,032
|
0,959
|
0,827
|
-0,212
|
-0,819
|
-1,851
|
|
12
|
0,795
|
-0,8
|
1,4
|
-0,267
|
4,79
|
-1,280
|
0,959
|
0,827
|
-0,212
|
-1,015
|
-2,294
|
|
13
|
0,795
|
-0,8
|
1,4
|
-0,267
|
2,29
|
-0,612
|
0,959
|
0,827
|
-0,212
|
-0,485
|
-1,097
|
|
отсос по х
|
|
|
|
|
|
|
|
|
|
|
|
А
|
12
|
0,795
|
-1
|
1,4
|
-0,334
|
4,79
|
-1,599
|
0,959
|
0,827
|
-0,265
|
-1,268
|
-2,868
|
|
13
|
0,795
|
-1
|
1,4
|
-0,334
|
2,29
|
-0,765
|
0,959
|
0,827
|
-0,265
|
-0,606
|
-1,371
|
|
В
|
9
|
0,795
|
-0,8
|
1,4
|
-0,267
|
3,665
|
-0,979
|
0,959
|
0,827
|
-0,212
|
-0,776
|
-1,755
|
|
10
|
0,795
|
-0,8
|
1,4
|
-0,267
|
5,03
|
-1,344
|
0,959
|
0,827
|
-0,212
|
-1,066
|
-2,409
|
|
11
|
0,795
|
-0,8
|
1,4
|
-0,267
|
3,865
|
-1,032
|
0,959
|
0,827
|
-0,212
|
-0,819
|
-1,851
|
|
D
|
1
|
0,795
|
0,8
|
1,4
|
0,267
|
1,66
|
0,443
|
0,959
|
0,699
|
0,179
|
0,297
|
0,741
|
|
2
|
0,795
|
0,8
|
1,4
|
0,267
|
4,13
|
1,103
|
0,959
|
0,699
|
0,179
|
0,740
|
1,843
|
|
3
|
0,795
|
0,8
|
1,4
|
0,267
|
6,25
|
1,670
|
0,959
|
0,699
|
0,179
|
1,119
|
2,789
|
|
4
|
0,795
|
0,8
|
1,4
|
0,267
|
6
|
1,603
|
0,959
|
0,699
|
0,179
|
1,074
|
2,677
|
|
5
|
0,795
|
0,8
|
1,4
|
0,267
|
5,75
|
1,536
|
0,959
|
0,699
|
0,179
|
1,030
|
2,566
|
|
6
|
0,795
|
0,8
|
1,4
|
0,267
|
6
|
1,603
|
0,959
|
0,699
|
0,179
|
1,074
|
2,677
|
|
7
|
0,795
|
0,8
|
1,4
|
0,267
|
6,6
|
1,763
|
0,959
|
0,699
|
0,179
|
1,182
|
2,945
|
|
8
|
0,795
|
0,8
|
1,4
|
0,267
|
4,82
|
1,288
|
0,959
|
0,699
|
0,179
|
0,863
|
2,151
|
|
Е
|
1
|
-0,5
|
1,4
|
-0,167
|
1,66
|
-0,277
|
0,959
|
0,699
|
-0,112
|
-0,186
|
-0,463
|
|
2
|
0,795
|
-0,5
|
1,4
|
-0,167
|
4,13
|
-0,690
|
0,959
|
0,699
|
-0,112
|
-0,462
|
-1,152
|
|
3
|
0,795
|
-0,5
|
1,4
|
-0,167
|
6,25
|
-1,043
|
0,959
|
0,699
|
-0,112
|
-0,699
|
-1,743
|
|
4
|
0,795
|
-0,5
|
1,4
|
-0,167
|
6
|
-1,002
|
0,959
|
0,699
|
-0,112
|
-0,671
|
-1,673
|
|
5
|
0,795
|
-0,5
|
1,4
|
-0,167
|
5,75
|
-0,960
|
0,959
|
0,699
|
-0,112
|
-0,644
|
-1,603
|
|
6
|
0,795
|
-0,5
|
1,4
|
-0,167
|
6
|
-1,002
|
0,959
|
0,699
|
-0,112
|
-0,671
|
-1,673
|
|
7
|
0,795
|
-0,5
|
1,4
|
-0,167
|
6,6
|
-1,102
|
0,959
|
0,699
|
-0,112
|
-0,739
|
-1,840
|
|
8
|
0,795
|
-0,5
|
1,4
|
-0,167
|
4,82
|
-0,805
|
0,959
|
0,699
|
-0,112
|
-0,539
|
-1,344
|
|
Отсос с кровли
|
|
|
|
|
|
|
|
|
|
|
|
F
|
1
|
0,795
|
-0,9
|
1,4
|
-0,301
|
1,66
|
-0,499
|
0,959
|
0,696
|
-0,201
|
-0,333
|
-0,832
|
|
2
|
0,795
|
-0,9
|
1,4
|
-0,301
|
4,13
|
-1,241
|
0,959
|
0,696
|
-0,201
|
-0,828
|
-2,070
|
|
3
|
0,795
|
-0,9
|
1,4
|
-0,301
|
6,25
|
-1,878
|
0,959
|
0,696
|
-0,201
|
-1,254
|
-3,132
|
|
G
|
4
|
0,795
|
-0,8
|
1,4
|
-0,267
|
6
|
-1,603
|
0,959
|
0,696
|
-0,178
|
-1,070
|
-2,672
|
|
5
|
0,795
|
-0,8
|
1,4
|
-0,267
|
5,75
|
-1,536
|
0,959
|
0,696
|
-0,178
|
-1,025
|
-2,561
|
|
6
|
0,795
|
-0,8
|
1,4
|
-0,267
|
6
|
-1,603
|
0,959
|
0,696
|
-0,178
|
-1,070
|
-2,672
|
|
F
|
7
|
0,795
|
-0,9
|
1,4
|
-0,301
|
6,6
|
-1,983
|
0,959
|
0,696
|
-0,201
|
-1,324
|
-3,307
|
|
8
|
0,795
|
-0,9
|
1,4
|
-0,301
|
4,82
|
-1,448
|
0,959
|
0,696
|
-0,201
|
-0,967
|
-2,415
|
|
H
|
1
|
0,795
|
-0,3
|
1,4
|
-0,100
|
1,66
|
-0,166
|
0,959
|
0,696
|
-0,067
|
-0,111
|
-0,277
|
|
2
|
0,795
|
-0,3
|
1,4
|
-0,100
|
4,13
|
-0,414
|
0,959
|
0,696
|
-0,067
|
-0,276
|
-0,690
|
|
3
|
0,795
|
-0,3
|
1,4
|
-0,100
|
6,25
|
-0,626
|
0,959
|
0,696
|
-0,067
|
-0,418
|
-1,044
|
|
4
|
0,795
|
-0,3
|
1,4
|
-0,100
|
6
|
-0,601
|
0,959
|
0,696
|
-0,067
|
-0,401
|
-1,002
|
|
5
|
0,795
|
-0,3
|
1,4
|
-0,100
|
5,75
|
-0,576
|
0,959
|
0,696
|
-0,067
|
-0,384
|
-0,960
|
|
6
|
0,795
|
-0,3
|
1,4
|
-0,100
|
6
|
-0,601
|
0,959
|
0,696
|
-0,067
|
-0,401
|
-1,002
|
|
7
|
0,795
|
-0,3
|
1,4
|
-0,100
|
6,6
|
-0,661
|
0,959
|
0,696
|
-0,067
|
-0,441
|
-1,102
|
|
8
|
0,795
|
-0,3
|
1,4
|
-0,100
|
4,82
|
-0,483
|
0,959
|
0,696
|
-0,067
|
-0,322
|
-0,805
|
|
Пригруз на кровлю
|
|
|
|
|
|
|
|
|
|
|
F,H
|
1
|
0,795
|
0,2
|
1,4
|
0,067
|
1,66
|
0,111
|
0,959
|
0,696
|
0,045
|
0,074
|
0,185
|
|
2
|
0,795
|
0,2
|
1,4
|
0,067
|
4,13
|
0,276
|
0,959
|
0,696
|
0,045
|
0,184
|
0,460
|
|
3
|
0,795
|
0,2
|
1,4
|
0,067
|
6,25
|
0,417
|
0,959
|
0,696
|
0,045
|
0,279
|
0,696
|
|
G,H
|
4
|
0,795
|
0,2
|
1,4
|
0,067
|
6
|
0,401
|
0,959
|
0,696
|
0,045
|
0,267
|
0,668
|
|
5
|
0,795
|
0,2
|
1,4
|
0,067
|
5,75
|
0,384
|
0,959
|
0,045
|
0,256
|
0,640
|
|
6
|
0,795
|
0,2
|
1,4
|
0,067
|
6
|
0,401
|
0,959
|
0,696
|
0,045
|
0,267
|
0,668
|
|
F,H
|
7
|
0,795
|
0,2
|
1,4
|
0,067
|
6,6
|
0,441
|
0,959
|
0,696
|
0,045
|
0,294
|
0,735
|
|
8
|
0,795
|
0,2
|
1,4
|
0,067
|
4,82
|
0,322
|
0,959
|
0,696
|
0,045
|
0,215
|
0,537
|
|
J
|
1
|
0,795
|
-1
|
1,4
|
-0,334
|
1,66
|
-0,554
|
0,959
|
0,696
|
-0,223
|
-0,370
|
-0,924
|
|
2
|
0,795
|
-1
|
1,4
|
-0,334
|
4,13
|
-1,379
|
0,959
|
0,696
|
-0,223
|
-0,920
|
-2,299
|
|
3
|
0,795
|
-1
|
1,4
|
-0,334
|
6,25
|
-2,087
|
0,959
|
0,696
|
-0,223
|
-1,393
|
-3,480
|
|
4
|
0,795
|
-1
|
1,4
|
-0,334
|
6
|
-2,003
|
0,959
|
0,696
|
-0,223
|
-1,337
|
-3,341
|
|
5
|
0,795
|
-1
|
1,4
|
-0,334
|
5,75
|
-1,920
|
0,959
|
0,696
|
-0,223
|
-1,281
|
-3,201
|
|
6
|
0,795
|
-1
|
1,4
|
-0,334
|
6
|
-2,003
|
0,959
|
0,696
|
-0,223
|
-1,337
|
-3,341
|
|
7
|
0,795
|
-1
|
1,4
|
-0,334
|
6,6
|
-2,204
|
0,959
|
0,696
|
-0,223
|
-1,471
|
-3,675
|
|
8
|
0,795
|
-1
|
1,4
|
-0,334
|
4,82
|
-1,609
|
0,959
|
0,696
|
-0,223
|
-1,074
|
-2,684
|
|
I
|
1
|
0,795
|
-0,4
|
1,4
|
-0,134
|
1,66
|
-0,222
|
0,959
|
0,696
|
-0,089
|
-0,148
|
-0,370
|
|
2
|
0,795
|
-0,4
|
1,4
|
-0,134
|
4,13
|
-0,552
|
0,959
|
0,696
|
-0,089
|
-0,368
|
-0,920
|
|
3
|
0,795
|
-0,4
|
1,4
|
-0,134
|
6,25
|
-0,835
|
0,959
|
0,696
|
-0,089
|
-0,557
|
-1,392
|
|
4
|
0,795
|
-0,4
|
1,4
|
-0,134
|
6
|
-0,801
|
0,959
|
0,696
|
-0,089
|
-0,535
|
-1,336
|
|
5
|
0,795
|
-0,4
|
1,4
|
-0,134
|
5,75
|
-0,768
|
0,959
|
0,696
|
-0,089
|
-0,513
|
-1,281
|
|
6
|
0,795
|
-0,4
|
1,4
|
-0,134
|
6
|
-0,801
|
0,959
|
0,696
|
-0,089
|
-0,535
|
-1,336
|
|
7
|
0,795
|
-0,4
|
1,4
|
-0,134
|
6,6
|
-0,881
|
0,959
|
0,696
|
-0,089
|
-0,588
|
-1,470
|
|
8
|
0,795
|
-0,4
|
1,4
|
-0,134
|
4,82
|
-0,644
|
0,959
|
0,696
|
-0,089
|
-0,430
|
-1,073
|
Ветер по у:
νвдоль зд. = 0,764 (ZOY: p=b=20 м, χ = h = 18,25 м),
νторец= 0,780 (ZOХ: p=0,4а=0,4*41,82=16,73
м, χ = h =
18,25 м),
νпокрытия = 0,728 (XOY: p=b=20 м, χ = а = 41,82 м)
Рисунок 1.3 - Схема распределения аэродинамических коэффициентов для
здания; действие ветра напор по оси - У
Рисунок 1.4 - Схема распределения аэродинамических коэффициентов для
здания; действие ветра напор по оси - У
|
Зона
|
№
|
k(Ze)
|
Ce
|
ɣf
|
Wm, кН/м2
|
В, м
|
Vm, кН/м
|
ζ(Ze)
|
ν
|
Wр, кН/м2
|
Vр, кН/м
|
V, кН/м
|
|
А
|
1
|
0,795
|
-1
|
1,4
|
-0,334
|
1,66
|
-0,554
|
0,959
|
0,78
|
-0,250
|
-0,415
|
-0,969
|
|
2
|
0,795
|
-0,9
|
1,4
|
-0,301
|
4,13
|
-1,241
|
0,959
|
0,78
|
-0,225
|
-0,928
|
-2,169
|
|
В
|
3
|
0,795
|
-0,8
|
1,4
|
-0,267
|
6,25
|
-1,670
|
0,959
|
0,78
|
-0,200
|
-1,249
|
-2,918
|
|
4
|
0,795
|
-0,8
|
1,4
|
-0,267
|
6
|
-1,603
|
0,959
|
0,78
|
-0,200
|
-1,199
|
-2,802
|
|
В,С
|
5
|
0,795
|
-0,6
|
1,4
|
-0,200
|
5,75
|
-1,152
|
0,959
|
0,78
|
-0,150
|
-0,862
|
-2,014
|
|
С
|
6
|
0,795
|
-0,5
|
1,4
|
-0,167
|
6
|
-1,002
|
0,959
|
0,78
|
-0,125
|
-0,749
|
-1,751
|
|
7
|
0,795
|
-0,5
|
1,4
|
-0,167
|
6,6
|
-1,102
|
0,959
|
0,78
|
-0,125
|
-0,824
|
-1,926
|
|
8
|
0,795
|
-0,5
|
1,4
|
-0,167
|
4,82
|
0,959
|
0,78
|
-0,125
|
-0,602
|
-1,407
|
|
F
|
1
|
0,795
|
-1,6
|
1,4
|
-0,534
|
1,66
|
-0,887
|
0,959
|
0,728
|
-0,373
|
-0,619
|
-1,506
|
|
F,H
|
2
|
0,795
|
-0,8
|
1,4
|
-0,267
|
4,13
|
-1,103
|
0,959
|
0,728
|
-0,186
|
-0,770
|
-1,873
|
|
G
|
1
|
0,795
|
-1,3
|
1,4
|
-0,434
|
1,66
|
-0,721
|
0,959
|
0,728
|
-0,303
|
-0,503
|
-1,224
|
|
G,H
|
2
|
0,795
|
-0,8
|
1,4
|
-0,267
|
4,13
|
-1,103
|
0,959
|
0,728
|
-0,186
|
-0,770
|
-1,873
|
|
H,I
|
3
|
0,795
|
-0,6
|
1,4
|
-0,200
|
6,25
|
-1,252
|
0,959
|
0,728
|
-0,140
|
-0,874
|
-2,126
|
|
I
|
4
|
0,795
|
-0,5
|
1,4
|
-0,167
|
6
|
-1,002
|
0,959
|
0,728
|
-0,117
|
-0,699
|
-1,701
|
|
5
|
0,795
|
-0,5
|
1,4
|
-0,167
|
5,75
|
-0,960
|
0,959
|
0,728
|
-0,117
|
-0,670
|
-1,630
|
|
6
|
0,795
|
-0,5
|
1,4
|
-0,167
|
6
|
-1,002
|
0,959
|
0,728
|
-0,117
|
-0,699
|
-1,701
|
|
7
|
0,795
|
-0,5
|
1,4
|
-0,167
|
6,6
|
-1,102
|
0,959
|
0,728
|
-0,117
|
-0,769
|
-1,871
|
|
8
|
0,795
|
-0,5
|
1,4
|
-0,167
|
4,82
|
-0,805
|
0,959
|
0,728
|
-0,117
|
-0,562
|
-1,367
|
|
отсос по у
|
|
C
|
8
|
0,795
|
-0,5
|
1,4
|
-0,167
|
4,82
|
-0,805
|
0,959
|
0,78
|
-0,125
|
-0,602
|
-1,407
|
|
7
|
0,795
|
-0,5
|
1,4
|
-0,167
|
6,6
|
-1,102
|
0,959
|
0,78
|
-0,125
|
-0,824
|
-1,926
|
|
6
|
0,795
|
-0,5
|
1,4
|
-0,167
|
6
|
-1,002
|
0,959
|
0,78
|
-0,125
|
-0,749
|
-1,751
|
|
5
|
0,795
|
-0,5
|
1,4
|
-0,167
|
5,75
|
-0,960
|
0,959
|
0,78
|
-0,125
|
-0,718
|
-1,678
|
|
4
|
0,795
|
-0,5
|
1,4
|
-0,167
|
6
|
-1,002
|
0,959
|
0,78
|
-0,125
|
-0,749
|
-1,751
|
|
3
|
0,795
|
-0,5
|
1,4
|
-0,167
|
6,25
|
-1,043
|
0,959
|
0,78
|
-0,125
|
-0,781
|
-1,824
|
|
2
|
0,795
|
-0,5
|
1,4
|
-0,167
|
4,13
|
-0,690
|
0,959
|
0,78
|
-0,125
|
-0,516
|
-1,205
|
|
1
|
0,795
|
-0,5
|
1,4
|
-0,167
|
1,66
|
-0,277
|
0,959
|
0,78
|
-0,125
|
-0,207
|
-0,484
|
|
I
|
8
|
0,795
|
-0,5
|
1,4
|
-0,167
|
4,82
|
-0,805
|
0,959
|
0,728
|
-0,117
|
-0,562
|
-1,367
|
|
7
|
0,795
|
-0,5
|
1,4
|
-0,167
|
6,6
|
-1,102
|
0,959
|
0,728
|
-0,117
|
-0,769
|
-1,871
|
|
6
|
0,795
|
-0,5
|
1,4
|
-0,167
|
6
|
-1,002
|
0,959
|
0,728
|
-0,117
|
-0,699
|
-1,701
|
|
5
|
0,795
|
-0,5
|
1,4
|
-0,167
|
5,75
|
-0,960
|
0,959
|
0,728
|
-0,117
|
-0,670
|
-1,630
|
|
4
|
0,795
|
-0,5
|
1,4
|
-0,167
|
6
|
-1,002
|
0,959
|
0,728
|
-0,117
|
-0,699
|
-1,701
|
|
3
|
0,795
|
-0,5
|
1,4
|
-0,167
|
6,25
|
-1,043
|
0,959
|
0,728
|
-0,117
|
-0,728
|
-1,772
|
|
2
|
0,795
|
-0,5
|
1,4
|
-0,167
|
4,13
|
-0,690
|
0,959
|
0,728
|
-0,117
|
-0,481
|
-1,171
|
|
1
|
0,795
|
-0,5
|
1,4
|
-0,167
|
1,66
|
-0,277
|
0,959
|
0,728
|
-0,117
|
-0,193
|
-0,471
|
|
D
|
9
|
0,795
|
0,8
|
1,4
|
0,267
|
3,665
|
0,979
|
0,959
|
0,764
|
0,196
|
0,717
|
1,696
|
|
10
|
0,795
|
0,8
|
1,4
|
0,267
|
5,03
|
1,344
|
0,959
|
0,764
|
0,196
|
0,984
|
|
11
|
0,795
|
0,8
|
1,4
|
0,267
|
3,865
|
1,032
|
0,959
|
0,764
|
0,196
|
0,756
|
1,789
|
|
12
|
0,795
|
0,8
|
1,4
|
0,267
|
4,79
|
1,280
|
0,959
|
0,764
|
0,196
|
0,937
|
2,217
|
|
13
|
0,795
|
0,8
|
1,4
|
0,267
|
2,29
|
0,612
|
0,959
|
0,764
|
0,196
|
0,448
|
1,060
|
|
E
|
9
|
0,795
|
-0,5
|
1,4
|
-0,167
|
3,665
|
-0,612
|
0,959
|
0,764
|
-0,122
|
-0,448
|
-1,060
|
|
10
|
0,795
|
-0,5
|
1,4
|
-0,167
|
5,03
|
-0,840
|
0,959
|
0,764
|
-0,122
|
-0,615
|
-1,455
|
|
11
|
0,795
|
-0,5
|
1,4
|
-0,167
|
3,865
|
-0,645
|
0,959
|
0,764
|
-0,122
|
-0,473
|
-1,118
|
|
12
|
0,795
|
-0,5
|
1,4
|
-0,167
|
4,79
|
-0,800
|
0,959
|
0,764
|
-0,122
|
-0,586
|
-1,386
|
|
13
|
0,795
|
-0,5
|
1,4
|
-0,167
|
2,29
|
-0,382
|
0,959
|
0,764
|
-0,122
|
-0,280
|
-0,662
|
Крановая нагрузка
Нормативное максимальное давление на колесо Pmax = 42,3 кН.
Грузоподъемность крана Qкр = 50 кН.
Вес крана Ркр = 56 кН.
Вес тележки Gт = 45 кН.
Рисунок 1.5 - Схема крановой нагрузки
Нормативное минимальное давление на колесо
Нормативная горизонтальная нагрузка на 1 колесо от торможения тележки
Нормативная продольная горизонтальная нагрузка от торможения крана
Крановая нагрузка для оси 7,3:
Рисунок 1.6 - Линия влияния Dmax, min, Tпопер ось 7
На раму:
Рисунок 1.7 - Линия влияния для Mmax, Qсоот, Qmax, ось 7
На подкрановую балку:
Крановая нагрузка для оси 6, 5, 2:
Рисунок 1.8 - Линия влияния Dmax, min, Tпопер ось 6
На раму:
Рисунок 1.9 - Расчетная схема поперечной рамы здания в осях А-Б
2. Расчет
базы колонны
Расчет базы колонны произведем в двух вариантах:
- при действии максимальной продольной силы и соответствующего изгибающего
момента;
- при действии максимального момента и соответствующей
продольной силы
1) РСУ: Nmax = 419,1 кН, My = 101,2 кНм.
Принимаем фундамент из бетона класса В15 с расчетным сопротивлением на
сжатие Rb = 8,5 МПа. Расчетное сопротивление
смятию равно
Опорную плиту принимаем из стали С235. Предварительно примем ширину плиты
из конструктивных соображений
Длину плиты определяем из условия
Так как ширина колонны, равная 320 мм, больше требуемой длины опорной
плиты, то длину опорной плиты принимаем из конструктивных соображений
Фактическое напряжение в бетоне фундамента найдем по формуле
Размеры участков для расчета толщины опорной плит, определяем из рисунка
2.1.
Рисунок 2.1 - Схема опорной плиты
При расчете участка, опертого по четырем сторонам
По таблице 6.8 /8/ определяем коэффициент α1. Так как b/a > 2, то принимаем α1 = 0,125.
Изгибающий момент на участке составляет
Требуемая толщина плиты равна
При расчете участка, опертого по трем сторонам имеем
Так как отношение b/a = 0,156 < 0,5, то рассчитываем
изгибающий момент как у консольного участка.
Требуемая толщина плиты равна
Для консольного участка имеем
Требуемая толщина плиты равна
2) РСУ: Nmax = 338,3 кН, My = 258,1 кНм.
Принимаем фундамент из бетона класса В15 с расчетным сопротивлением на
сжатие Rb = 8,5 МПа. Расчетное сопротивление
смятию равно
Опорную плиту принимаем из стали С235. Предварительно примем ширину плиты
из конструктивных соображений
Длину плиты определяем из условия:
металлический конструкция
нагрузка балка колонна
Конструктивно длина опорной плиты равна
Так как Конструктивные размеры равны расчетным, то принимаем
конструктивные размеры
Фактическое напряжение в бетоне фундамента найдем по формуле
Размеры участков для расчета толщины опорной плит, определяем из рисунка
2.2.
Рисунок 2.1 - Схема опорной плиты.
При расчете участка, опертого по четырем сторонам
По таблице 6.8 /8/ определяем коэффициент α1. Так как b/a > 2, то принимаем α1 = 0,125.
Изгибающий момент на участке составляет
Требуемая толщина плиты равна
При расчете участка, опертого по трем сторонам имеем
Так как отношение b/a = 0,156 < 0,5, то рассчитываем
изгибающий момент как у консольного участка.
Требуемая толщина плиты равна
Для консольного участка имеем
Требуемая толщина плиты равна
Таким образом, принимаем толщину опорной плиты 25 мм.
3. Расчет
колонн
.1
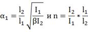
Определение расчетной длины колонн по оси
Коэффициент расчетной длины μ1 определяем как для закрепленного в основании нижнего
участка одноступенчатой колонны при верхнем конце колонны, свободном от
закрепления по таблице И.3 /7/
где l1 = 12,35 м,
l2 = 4,17 м,
I1 = 150484,621 cм4,
I2 = 13959,133 cм4
где F1 = 468,60 кН
F2 = 184,18 кН.
По таблице И.3 принимаем μ1 = 2,251. Расчетная длина нижнего участка колонны
составит
Коэффициент расчетной длины μ2 определяем по п. И.2 /7/
Принимаем μ2 = 3. Расчетная длина верхнего участка колонны
составит
.2 Расчет
сжато-изогнутой колонный по оси (подкрановая часть)
Исходные данные:
Геометрические размеры элемента
lefx = 27,8 м; lefу
= 9,35 м; l= 12,35 м.
РСУ с учетом коэффициент γn = 1,0.
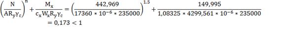
Mmax = 149,995 кНм, N = 442,969 кН, Q =
16,326 кН.
Вид металла - листовой, широкополосный прокат; сталь и толщина металла
С245 по ГОСТ 27772 от 2 до 20 мм.
Ry = 235 МПа;
Ru = 350 МПа;
Rs = 0,58 Ry = 136,3 МПа.
Основные характеристики сечения составного двутавра:
|
h = 700 мм;
|
b = 380 мм;
|
|
tw =
10
мм;
|
tf =
14
мм;
|
|
A = 17360 мм2;
|
m = 136,28 кг/м;
|
|
Ix = 150484,619 см4;
|
Iy = 12809,067 см4;
|
|
Wx1 =
4299,561 см3;
|
Wx2 =
4299,561 см3;
|
|
Wy1 =
674,161 см3;
|
Wy2 =
674,161 см3;
|
|
Sx = 2389,24 см3 ;
|
It = 57,867 см4
;
|
|
αfwx = 0,86747;
|
αfwy = 0,57639;
|
Характеристики сечения сварного соединения:= 190 мм, У = 350 мм.
Результаты расчета:
) Расчет на прочность внецентренно-сжатых элементов
Ослабления стенки отверстиями отсутствуют.
2) Продолжение расчета по п. 9.1.1 /7/
Так как
следовательно, расчет должен быть выполнен по формуле (105) /7/
) Коэффициенты для расчета на прочность элементов стальных
конструкций с учетом развития пластических деформаций приняты по таблице Е.1
/7/ для типа сечения 1: сх = 1,08325, су = 1,47, n = 1,5.
Изгиб в одной из главных плоскостей, тип сечения - открытые.
Центр приложения нагрузки проходит через центр изгиба сечения
Условие выполнено.
) Расчет на устойчивость внецентренно-сжатых элементов постоянного
сечения из плоскости действия моменты при изгибе в плоскости наибольшей
жесткости, совпадающей с плоскостью симметрии (Ix > Iy).
Так как Ix = 150484,619 см4 > Iy = 12809,067 см4:
Тип кривых устойчивости b по
табл. 7 /7/
По таблице Д.1 /7/ принимаем коэффициент φу = 0,50994.
) Определение коэффициента с для расчета на устойчивость из плоскости
изгиба.
Wc = Wx2
= 4299,561 см3
Так как mx > 1, то коэффициент α
для типа сечения 1 равен
Так как
, то по таблице Д.1 /7/ определяем φc при
.
φc = 0,6143.
По таблице 21 /7/ коэффициент β равен
Коэффициент с определяем по формуле (112) п. 9.2.5 /7/
Так как
, то коэффициент с, должен быть меньше cmax, определяемого в зависимости от
коэффициентов:
Таким образом, в последующих расчетах принимаем с = сmax = 0,237.
) Продолжение расчета по п. 9.2.4 /7/
Для проверки по предельной гибкости принимаем l = lу = 108,85.
) Проверка по условию предельной гибкости сжатых элементов
Проверка по условной гибкости выполняется согласно таблице 32 /7/ для
типа элемента 4 - основные колонны.
) Расчет на устойчивость внецентренно-сжатых элементов.
9) Продолжение расчета по п. 9.2.2 /7/.
Wc = Wx2 = 4299,561 см3
Так как mx < 20 - условие выполнено.
) Коэффициент влияния формы сечения
Тип сечения по таблице Д.2 /7/ - 5, вынос полок отсутствует.
По таблице Д.2
Продолжение расчета по п. 9.2.2.
Пол таблице Д.3 принимаем φe = 0,328977.
Для проверки по предельной гибкости принимаем l = lх = 94,43.
) Проверка по условию предельной гибкости сжатых элементов
Проверка по условной гибкости выполняется согласно таблице 32 /7/ для
типа элемента 4 - основные колонны.
3.3 Расчет
сжато-изогнутой колонны по оси (надкрановая часть)
Исходные данные:
Геометрические размеры элемента
lefx = 12,51 м; lefу
= 4,17 м; l= 4,17 м.
РСУ с учетом коэффициент γn = 1,0.
Mmax = 41,998 кНм, N =
151,876 кН, Q = 11,179 кН.
Вид металла - то же
Основные характеристики сечения составного двутавра:
|
h = 350 мм;
|
b = 200 мм;
|
|
tw = 8 мм;
|
tf =
10
мм;
|
|
A = 66,4 см2;
|
m = 136,28 кг/м;
|
|
Ix = 13959,133 см4
|
Iy = 1334,741 см4;
|
|
Wx1 =
797,665 см3;
|
Wx2 =
797,665 см3;
|
|
Wy1 =
133,474 см3;
|
Wy2 =
133,474 см3;
|
|
Sx = 557,8 см3
;
|
It = 18,965 см4
;
|
|
αfwx = 1,04535;
|
αfwy = 0,4781;
|
Характеристики сечения сварного соединения:= 100 мм, У = 175 мм.
Результаты расчета:
) Расчет на прочность внецентренно-сжатых элементов
Ослабления стенки отверстиями отсутствуют.
2) Продолжение расчета по п. 9.1.1 /7/.
Так как
следовательно, расчет должен быть выполнен по формуле (106) /7/
) Расчет на прочность элементов в случаях, не предусмотренных
расчетом по формуле (105) /7/
Изгиб в одной из главных плоскостей, тип сечения - открытые.
Условие выполнено.
) Расчет на устойчивость внецентренно-сжатых элементов постоянного
сечения из плоскости действия моменты при изгибе в плоскости наибольшей
жесткости, совпадающей с плоскостью симметрии (Ix > Iy).
Так как Ix = 13959,133 см4 > Iy = 1334,741 см4:
Тип кривых устойчивости b по
табл. 7 /7/
По таблице Д.1 /7/ принимаем коэффициент φу = 0,61348.
) Определение коэффициента с для расчета на устойчивость из плоскости
изгиба.
Wc = Wx2 = 797,665 см3
Так как mx > 1, то коэффициент α
для типа сечения 1 равен
Так как
, то по таблице Д.1 /7/ определяем φc при
.
φc = 0,6143.
По таблице 21 /7/ коэффициент β равен
Коэффициент с определяем по формуле (112) п. 9.2.5 /7/
Так как
, то коэффициент с, должен быть меньше cmax, определяемого в зависимости от
коэффициентов:
Таким образом, в последующих расчетах принимаем с =0,362.
) Продолжение расчета по п. 9.2.4 /7/
Для проверки по предельной гибкости принимаем l = lу = 93,08.
) Проверка по условию предельной гибкости сжатых элементов
Проверка по условной гибкости выполняется согласно таблице 32 /7/ для
типа элемента 4 - основные колонны.
) Расчет на устойчивость внецентренно-сжатых элементов.
9) Продолжение расчета по п. 9.2.2 /7/.
Wc = Wx2 = 797,665см3
Так как mx < 20 - условие выполнено.
) Коэффициент влияния формы сечения
Тип сечения по таблице Д.2 /7/ - 5, вынос полок отсутствует.
По таблице Д.2
Продолжение расчета по п. 9.2.2.
Пол таблице Д.3 принимаем φe = 0,270642.
Для проверки по предельной гибкости принимаем l = lх = 86,28.
) Проверка по условию предельной гибкости сжатых элементов
Проверка по условной гибкости выполняется согласно таблице 32 /7/ для
типа элемента 4 - основные колонны.
4. Расчет
подкрановой балки пролетом 7,2 м
|
Ведомость данных по
мостовым кранам
|
|
Режим работы кранов
|
6К
|
|
|
Коэффициент местного
действия вертикальной нагрузки (п. 9.9 /3/)
|
1,2
|
|
|
Коэффициент условий работы γс (табл.
1 /7/)
|
1,0
|
|
|
Коэффициент сочетаний (п.
9.19 /3/)
|
0,85
|
|
|
Коэффициент надежности по
нагрузке γf (п. 9.8 /3/)
|
1,2
|
|
|
Коэффициент динамичности γd (п.
9.11 /3/)
|
1,2
|
|
|
Ведомость данных по
подкрановой балке
|
|
Материал поясов балки
|
С285
|
|
|
Расчетное сопротивление металла
поясов Ry, МПа
|
250
|
|
|
Расчетное сопротивление
металла поясов по срезу Rs, МПа
|
145
|
|
|
Материал стенки балки
|
С285
|
|
|
Расчетное сопротивление
металла поясов Ry, МПа
|
260
|
|
|
Расчетное сопротивление
металла поясов по срезу Rs, МПа
|
150,8
|
|
|
Пролет балки, мм
|
7200
|
|
|
Марка кранового рельса
|
КР70
|
|
|
Высота кранового рельса, мм
|
120
|
|
|
Момент инерции кранового
рельса, см4
|
1083
|
|
|
Момент инерции кручения
кранового рельса, см4
|
253
|
|
|
Ведомость усилий в
подкрановой балке
|
|
Наименование расчетного
параметра
|
Сечение в пролете
|
Сечение на опоре
|
|
Нормативное давление колеса
на крановый рельс, кН
|
69
|
69
|
|
Расчетное давление колеса
на крановый рельс, кН
|
219,63
|
219,63
|
|
Поперечная нагрузка,
вызываемая перекосами крана (Qt), кН
|
33
|
|
|
Максимальный расчетный
изгибающий момент в плоскости стенки, кНм
|
346,21
|
|
|
Соответствующая расчетная
поперечная сила в плоскости стенки, кН
|
142,6
|
246,82
|
|
Макс. расчетн. изгиб.
момент в плоскости стенки от 1 крана (для расчета на выносливость и для
прогиба), кНм
|
209,27
|
|
|
Максимальный расчетный
изгибающий момент в плоскости верхнего пояса, кНм
|
34,621
|
|
|
Соответствующая расчетная
поперечная сила в плоскости верхнего пояса, кН
|
14,26
|
24,682
|
|
Ведомость геометрических
характеристик сечения балки
|
|
Геометрические
характеристики сечения балки
|
Значение
|
|
Полная высота сечения, мм
|
900
|
|
Ширина верхнего пояса, мм
|
500
|
|
Толщина верхнего пояса, мм
|
20
|
|
Высота стенки, мм
|
866
|
|
Толщина стенки, мм
|
10
|
|
Ширина нижнего пояса, мм
|
350
|
|
Толщина нижнего пояса, мм
|
14
|
|
Геометрические параметры
сечения балки для расчета на вертикальную нагрузку
|
|
Площадь сечения балки, см2
|
235,6
|
|
Положение центра тяжести
сечения балки относительно верхней грани сечения,
|
35,6
|
|
Момент инерции сечения
балки, см4
|
323328
|
|
Момент сопротивления
сечения (верхний пояс), см3
|
9070
|
|
Момент сопротивления
сечения (нжний пояс), см3
|
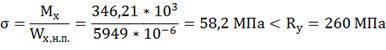
5949
|
|
Статический момент половины
сечения, см3
|
4031
|
|
Статический момент верхнего
пояса, см3
|
3465
|
|
Статический момент нижнего
пояса, см3
|
2629
|
|
Геометрические параметры
сечения балки для расчета на горизонтальные нагрузки
|
|
Момент сопротивления
верхнего пояса, см3
|
833,3
|
Коэффициент надежности по ответственности γn = 1,0.
) Проверка верхнего пояса по нормальным напряжениям
2) Проверка прочности нижнего пояса по нормальным напряжениям
3) Проверка прочности балки по касательным напряжениям
4) Прочность стенки балки от местного давления колеса крана

Список
используемых источников
1. Федеральный
закон ФЗ-№384 «Технический регламент о безопасности зданий и сооружений»
2. СП
131.13330.2012 «Строительная климатология. Актуализированная версия СНиП
23-01-99*».
. СП
20.13330.2011 «Нагрузки и воздействия. Актуализированная редакция СНиП
2.01.07-85*»
. СНиП
23-02-2003 «Тепловая защита зданий»
. СНиП
II-7-81* «Строительство в сейсмических
районах»
. Металлические
конструкции. В 3 т. Т.1. Элементы конструкций: Учеб. для строит. вузов/В.В.
Горев, Б.Ю. Уваров, В.В. Филипов и др.; Под ред. В.В. Горева - 3-е изд., стер.
- М.: Высш. Шк., 2004. - 551 с.: ил.
. СНиП
II-23-81 Стальные конструкции.