Разработка кодека и модема
ФЕДЕРАЛЬНОЕ
АГЕНТСТВО СВЯЗИ
Федеральное
государственное образовательное бюджетное учреждение высшего профессионального
образования
Московский
технический университет связи и информатики
Кафедра
теории электрической связи
КУРСОВАЯ
РАБОТА ПО ДИСЦИПЛИНЕ:
Теория
электрической связи «Разработка кодека и модема»
Выполнил студент группы ПС1051
Факультет ЗФ
Вариант 04
Домрачев Г.Р.
Москва 2013
Задание на курсовую работу:
. Разработка кодека.
.1.Нарисовать структурную схему цифровой системы
связи и указать назначение основных блоков.
.2. Записать свою фамилию, имя, отчество и
выбрать первые 10 букв.
Каждая буква - это импульс-отсчет некоторого
процесса. Амплитуда отсчета равна порядковому номеру буквы. Закодировать эти
отсчеты двоичным кодом (m=2,
n=5), нарисовать эти
отсчеты и соответствующий им сигнал ИКМ.
1.3. Рассчитать дисперсию шума
квантования, если
в Вольтах
равна количеству букв в фамилии.
.4. Определить вероятность дибитов
00, 01, 10, 11 в двоичной последовательности сигнала ИКМ, полученной в пункте
2. Рассчитать энтропию источника с полученной вероятностью дибитов.
Закодировать дибиты двоичным кодом с префиксными свойствами и определить его
энтропию, избыточность и среднюю длину кодовой комбинации.
.5. Осуществить помехоустойчивое
кодирование двоичных информационных комбинаций, используя для этого циклический
код.
. Разработка модема.
.1. Выбрать из информационного
битового потока 6 первых бит и нарисовать 5 временных диаграмм:
временная диаграмма шести
информационных бит;
четыре временных диаграммы сигналов
двоичных ДАМ, ДЧМ, ДФМ,
ДОФМ, соответствующих передаваемым
битам.
.2. Для ФМ-8 и скоростью работы 64
Кбод записать аналитические выражения и нарисовать временные диаграммы для
каждого m символов
для
заданного вида модуляции с указанием значений
и
, нарисовать ансамбли символов.
.3. Нарисовать структурную схему
модулятора, указать назначение всех блоков.
.4. Записать выражение для
энергетического спектра модулированного сигнала. Вычислить полосу частот, в
пределах которой заключена основная доля энергии сигнала. Рассчитать и
построить корреляционную функцию огибающей модулированного сигнала, как
преобразование Винера-Хинчина от спектра.
.5. Нарисовать структурную схему
демодулятора, указать назначение всех блоков.
.6. Вычислить минимальное расстояние
Гильберта для заданного вида модуляции, если вероятность ошибки не должна
превышать
.
Спектральная плотность белого шума
.
квантование кодер модулятор сигнал
Часть 1. Разработка кодека
1.1 Структурная
схема цифровой системы связи
Рис.1 Структурная схема цифровой
системы связи
Сокращенные обозначения на схеме
расшифровываются так:
ИИ - источник информации,
ФНЧ - фильтр низких частот с верхней частотой
пропускания FB
,
АЦП - аналогово - цифровой преобразователь,
БЭК - блок эффективного кодирования,
БПК - блок помехоустойчивого кодирования,
Мод - модулятор несущей,
Вых У - выходное устройство (выходные усилитель
и фильтр),
ИП - источник помех ζ
(t),
ЛС - линия (канал) связи,
Вх У - входное устройство (входной усилитель и
усилитель приемника),
Демод - демодулятор входного сигнала,
СК - сверточный кодер, ДСК - декодер сверточного
кода;
ПМ - перемножитель, ДПМ - деперемножитель;
ЦАП - цифро - аналоговый преобразователь,
ПИ - приемник информации.
Источник информации - человек, ПЭВМ, автомат.
Сообщениями могут быть: речь, текст, изображения, команды управления каким -
либо устройствами.
АЦП - состоит из 2х этапов:
Дискретизация - производится выборка значений
аналогового сигнала с интервалом Δ
t.
Квантование - выборочное значение аналогового
сигнала заменяется ближайшим значением уровня квантования (заранее
установленными). Т.е. предназначен для преобразования непрерывного аналогового
сигнала в цифровой дискретный.
Блок эффективного кодирования - предназначен для
увеличения скорости передачи информации.
Блок помехоустойчивого кодирования -
предназначен для кодирования информации помехоустойчивым кодом, позволяющим
обнаружить и исправить ошибки в принятой кодовой комбинации, искажённой
помехой.
Модулятор - изменяет один из параметров
переносчика в соответствии с модулирующим сообщением, поступающим от кодера. В
процессе модуляции могут изменяться амплитуда, частота или фаза гармонической
несущей; амплитуда, частота следования, фаза, длительность импульсного переносчика;
тип используемого шумоподобного сигнала. Иногда одновременно осуществляют
модуляцию нескольких параметров переносчика.
Выходное устройство - ограничивает спектр частот
передаваемого сигнала для устранения помех соседним по частоте системам связи и
увеличения эффективности использования полосы частот, увеличивает мощность
передаваемого сигнала. Таким образом выходное устройство содержит полосовые
фильтры, усиливает мощность.
Линия связи - среда, используемая для передачи
сигналов (волновод, кабель, окружающая среда).
Входное устройство - выделяет из линии связи
сигнал нужного передатчика и усиливает его до необходимого уровня. Таким
образом, входное устройство содержит полосовые фильтры и усилители.
Демодулятор (детектор) - устройство, предназначенное
для преобразования принятого сигнала в исходное (модулирующее) колебания,
содержащее переданное сообщение.
Декодер - преобразователь кодовых символов в
переданное сообщение.
ЦАП (цифро-аналоговый преобразователь) -
декодирует принятые кодовые комбинации сигнала ИКМ, т.е. преобразует комбинации
в импульсные - отчеты соответствующей амплитуды. Восстанавливает аналоговый
сигнал путем подачи импульсов - отчетов на вход ФНЧ.
Приемник информации - человек, либо
соответствующая аппаратура для отображения принимаемой информации.
.2 Записать свою фамилию, имя, отчество и
выбрать первые 10 букв
Каждая буква - это импульс-отсчет некоторого
процесса. Амплитуда отсчета равна порядковому номеру буквы. Закодировать эти
отсчеты двоичным кодом (m=2,
n=5), нарисовать эти
отсчеты и соответствующий им сигнал ИКМ.
ДОМРАЧЕВ ГЕОРГИЙ
РУДОЛЬФОВИЧ
|
№
|
Амплитуда
отсчета
|
Двоичный
код
|
|
1
|
Д
|
4В
|
00100
|
|
2
|
О
|
14В
|
01110
|
|
3
|
М
|
12В
|
01100
|
|
4
|
Р
|
16В
|
10000
|
|
5
|
А
|
0В
|
00000
|
|
6
|
Ч
|
23В
|
10111
|
|
7
|
Е
|
5В
|
00101
|
|
8
|
В
|
2В
|
00010
|
|
9
|
Г
|
3В
|
00011
|
|
10
|
Е
|
5В
|
00101
|
Рис. 1 Изобразим отсчеты данного сигнала
1.3 Рассчитать дисперсию шума
квантования, если
в Вольтах
равна количеству букв в фамилии
Домрачев-8 букв, следовательно
=8 Вольт.
Рассчитаем дисперсию шума
квантования
, т.е.
среднюю мощность шума квантования на единичном сопротивлении.
Мгновенные значения шума квантования
равномерно распределены на интервале от
до
, т.е. его функция плотности
вероятности:
где
- шаг квантования,
В
- количество уровней квантования.
Следовательно:
.4 Определить вероятность дибитов
00, 01, 10, 11 в двоичной последовательности сигнала ИКМ, полученной в пункте 2
Рассчитать энтропию источника с
полученной вероятностью дибитов. Закодировать дибиты двоичным кодом с
префиксными свойствами и определить его энтропию, избыточность и среднюю длину
кодовой комбинации. Полученный ИКМ сигнал во втором пункте разделим на дибиты:
00 10 00 11 10 01 10 01 00 00 00 00 01 01 11 00 10 10 00 10 00 01 10 01 01
Всего 25 дибитов, N=25.
Таблица 1
|
Комбинации
|
Количество,
N(x)
|
Вероятности,
Р(x,y)=N(x)/25
|
|
00
|
9
|
0,36
|
|
01
|
7
|
0,28
|
|
10
|
7
|
0,28
|
2
|
0,08
|
Рассчитаем энтропию источника с полученной
вероятностью дибитов:
дв.ед./дибит
Закодируем 4 наших сообщения новым
двоичным кодом таким, чтобы символы нового двоичного кода были равновероятными.
Для этого построим код с префиксными свойствами по алгоритму Хаффмана.
Построим кодовое дерево для нашего
примера:
Рис. 2
Кодируем дибиты новым двоичным кодом.
,
,
,
Рассчитаем энтропию нового двоичного
кода. Для этого надо определить вероятности нулей и единиц в новом коде.
Из 100 среднестатистических
сообщений мы имеем сообщений:
комбинаций «0»
комбинаций «111»
комбинаций «10»
комбинаций «110»
Таким образом, в 100 сообщениях
содержится «единиц»
Содержится «нулей»
Вероятности появления единиц и
нулей:
Энтропия нового двоичного источника Н:
0.46дв.ед./символ
Избыточность уменьшилась
Определим среднюю длину кодовой
комбинации:
- вероятность к-го сообщения,
- длина кодовой комбинации к-го
сообщения.
(дв.символов)
.5 Осуществить помехоустойчивое
кодирование двоичных информационных комбинаций, используя для этого циклический
код
Циклический код
Характерной особенностью этих кодов является то,
что циклическая перестановка символов одной комбинации, например, 1001011 дает
новую комбинацию того же кода 1100101.
Теория циклических кодов базируется на теории
двоичных полиномов Каждая комбинация записывается в виде двоичного полинома
степени (n-l) с коэффициентами ак = 0 или 1:
А(Z)=an-1Zⁿ‾1+an-1Zⁿ‾²+...+a1Z+a0
Алгоритм формирования циклического кода на примере
кода (7,4)
Рассмотрим комбинации циклического кода
состоящие из 7 символов, из которых 4 символа информационные и 3-проверочные
1) Записываем возможные информационные
комбинации из 4-х символов: 0000,0001, 0010, 0011, 0100, 0101, 0110, 0111,
1000, 1001, 1010, 1011, 1100, 1101, 1110, 1111
2) Каждую комбинацию записываем в виде полинома.
Например:
=0
=1
=Z
=Z+1
=Z2
0101=Z2+1
0111=Z2+Z+1
=Z3
1001=Z3+1
=Z3+Z
=Z3+Z+1
=Z3+Z2
1101=Z3+Z2+1
=Z3+Z2+Z
=Z3+Z2+Z+1
Алгоритм формирования циклического кода
3) Из таблицы выбираем образующий полином P(Z) ,
степень которого соответствует количеству npоверочных символов.
Полином:
Рассмотрим комбинации данного циклического кода
состоящие из 7 символов, из которых 4 символа информационные и 3-проверочные 4
символа информационные и 3 - проверочные.
В данном случае количество проверочных символов n-k=3.
4) Полином, соответствующий каждой
информационной комбинации, умножается на P(Z):
В результате получим 16 комбинаций
циклического-кода (7,4): 0000000, 0001101,0011010 и т.д…1001011.
Минимальное кодовое расстояние равно 3, т.е.
данный код исправляет все одиночные ошибки.
Алгоритм декодирования циклического кода на
примере кода (7,4)
). Принятая кодовая комбинация делится на
образующий полином. Остаток от деления есть синдром, который указывает на
позицию, где произошла ошибка Т.к. синдром не зависит от передаваемой
комбинации, а зависит только от позиции, в которой произошла ошибка, то
синдромы можно вычислить заранее. Например, передавали комбинацию 0000000, под
действием помехи она превратилась в 0100000, т.е. ошибка в 6-ом символе справа.
Разделим
Остаток 011 и есть синдром, указывающий, что
ошибка произошла в 6-ом символе справа.
). В соответствии с синдромом формируется вектор
ошибки, т.е. кодовая комбинация, которая содержит 1 в той позиции, где
произошла ошибка.
Для данного примера вектор ошибки V=0100000.
3). Вектор ошибки суммируется по модулю 2 с
принятой комбинацией:
0100000 О 0100000 = 0000000
Ошибка исправлена
Структурная схема кодера циклического кода (7,4)
Рис. 3
Кодер содержит два сумматора по модулю 2( О ),
три элемента памяти и два переключателя. Четыре информационных бита поступают
на вход схемы и одновременно на выход (переключатели находятся в верхнем
положении). После этого переключатели переходят в нижнее положение и на выход
идут три проверочных бита.
Структурная схема декодера циклического кода
(7.4)
Рис. 5
Семь бит (четыре информационных бита и три
проверочных) поступают на вход декодера (ключ - в верхнем положении ). После
этого ключ переходит в нижнее положение и синдром поступает на выход схемы
Синдром поступает на блок формирования вектора ошибки и сумматор по модулю 2
вектора ошибки и принятой комбинации.
2. Разработка модема
. Выбрать из информационного битового потока,
сформированного на выходе кодера (часть 1 курсовой работы) и поступающего на
вход модулятора, 6 первых бит и нарисовать 5 временных диаграмм:
временная диаграмма шести информационных бит;
четыре временные диаграммы сигналов двоичных
ДАМ, ДЧМ, ДФМ, ДОФМ, соответствующих передаваемым битам.
. Выбрать соответствующий Вашему варианту вид
модуляции и скорость работы в бодах.
Записать аналитические выражения и нарисовать
временные диаграммы для каждого из m
символов si(t)
для заданного вида модуляции с указанием значений ai
и bi, нарисовать
ансамбли символов.
. Нарисовать структурную схему модулятора,
указать назначение всех блоков.
. Записать выражение для энергетического спектра
модулированного сигнала. Вычислить полосу частот, в пределах которой заключена
основная доля энергии сигнала. Рассчитать и построить корреляционную функцию
огибающей модулированного сигнала, как преобразование Винера - Хинчина от
спектра.
. Нарисовать структурную схему демодулятора, указать
назначение всех блоков.
. Вычислить минимальное расстояние Гильберта для
заданного Вам вида модуляции, если вероятность ошибки не должна превышать 10
-3. Спектральная плотность белого шума G
0
= 10-9 в2 / Гц.
Вид модуляции: ФМ-8.
Скорость: 64 Кбод.
Рош= 10-3 hmin=3.09
2.1 Из информационного потока выбираем первые 6
бит: 001000
Временная диаграмма шести информационных бит:
Рис. 5 ДАМ
Рис. 6 ДЧМ
Рис. 7 ДФМ
Рис. 8 ДОФМ
Рис. 9
.2 Для ФМ-8 и скоростью работы 64 Кбод записать
аналитические выражения и нарисовать временные диаграммы для каждого m
символов
для заданного вида модуляции с
указанием значений
и
, нарисовать
ансамбли символов.
. 
при
,
,
.
при
,
,
.
при
,
,
. 
при
,
,
. 
при
,
,
. 
при
,
,
. 
при
,
,
. 
при
,
,
Временные диаграммы данных символов
представлены на рисунке.
Рис. 10
Амплитуды символов и их фазы
подобраны так, чтобы при нормированной максимальной амплитуде равной 1,
получить максимальную помехоустойчивость. С точки зрения геометрии, все пространство
символов содержит набор сигнальных точек, векторов
.
Определенный набор которых образует ансамбль символов.
Рис. 11 Ансамбль символов ФМ-8.
.3 Нарисовать структурную схему
модулятора, указать назначение всех блоков
Структурная схема модулятора для
образования ФМ-8 сигнала
Рис. 12
Demux - блок
разделения битового потока «с» на символы «а» и «b».
Генератор несущей - генерирует
электрическое гармоническое колебание
, которое является переносчиком
сообщения.
Фазовращатель - блок изменения фазы
несущего колебания на
,
,
,
,
,
,
.
Перемножитель 1 - блок перемножения
символов с гармоническим сигналом несущей частоты.
Перемножитель 2 - блок перемножения
символов , задержанных на
, с
гармоническим сигналом несущей частоты , измененной фазой.
Сумматор - блок сложения результатов
перемножений. В итоге на выходе сумматора получаем ФМ-8 сигнал.
.4 Запишем выражение для
энергетического спектра модулированного сигнала
Вычислим полосу частот, в пределах
которой заключена основная доля энергии сигнала. Рассчитаем и построим
корреляционную функцию огибающей модулированного сигнала, как преобразование
Винера-Хинчина от спектра.
,
где ω -
отклонение E - энергия
символа.
- полоса частот в которой
заключается 90,5% энергии всего сигнала
=64 кбод/с
Корреляционная функция огибающей
модулированного сигнала, как преобразование Хинчина-Винера от спектра
Ввиду четности функции корреляции по
аргументу τ,
окончательно запишем выражение для функции корреляции:
.
Корреляционная функция огибающей
модулированного сигнала
Рис. 13
2.5 Нарисовать структурную схему демодулятора,
указать назначение всех блоков
Рис. 14 Структурная схема демодулятора
Генератор несущей - генерирует
электрическое гармоническое колебание
.
Фазовращатель - блок изменения фазы
несущего колебания на
,
,
,
,
,
,
.
Перемножитель 1 - блок перемножения
модулированного сигнала задержанного на
, с гармоническим сигналом несущей
частоты.
Перемножитель 2 - блок перемножения
модулированного сигнала с гармоническим сигналом несущей частоты , измененной
фазой.
Интегратор - интегрируя сигнал
получаем значения
и
РУ - Решающее устройство, которое
дает на выходе символ
.
К - Коммутатор преобразует поток
и
в битовый
информационный поток.
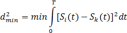
.6 Вычислить минимальное расстояние
Гильберта
Для заданного вида модуляции, если
вероятность ошибки не должна превышать
. Спектральная плотность белого шума
.
Минимальное расстояние соответствует
минимальной энергии разности символов, при этом, вероятность ошибки
максимальна.
,где
тогда
,
где рош - вероятность
ошибки для абсолютных видов модуляции.
Список используемой литературы
1. Зюко А.Г., Кловский Д.Д., Коржик
В.И., Назаров М.В. Теория электрической связи. - М.: Радио и связь, 1998.
. Зельманов С.С. Теория
электрической связи, лекции Часть 1 и Часть 2. - Н.Н.,2004.
. Сухоруков А.С. Методические
указания и задание на курсовую работу по дисциплине “Теория электрической
связи”, - М.: Инсвязьиздат, 2002.