План экономического и социального развития ремонтного локомотивного депо
РОСЖЕЛДОР
Федеральное государственное бюджетное
образовательное учреждение высшего профессионального образования
Сибирский государственный университет
путей сообщения (СГУПС)
Кафедра «Экономика транспорта»
План экономического и социального
развития ремонтного локомотивного депо
Курсовой проект
по дисциплине: «Планирование в
структурных подразделениях железнодорожного транспорта »
Вариант 8.8
Руководитель:
Разработал:
доцент студент
гр. БМ-411
________Волкова
О. Ю. _______Ромашева М.А.
г.
Содержание
Введение
. Технико-экономическая характеристика локомотивного депо
. Производственная программа депо
.1 Расчет пробега и эксплуатируемого парка локомотивов
.2 Программа технического обслуживания и текущего ремонта
локомотивов, работающих в пассажирском движении
.3 Программа технического обслуживания и текущего ремонта
локомотивов, работающих на маневрах
. Технико-экономические показатели
. План по труду
.1 Планирование численности работников
.1.1 Работники, занятые на экипировке и техническом
обслуживании второго объема (ТО-2) локомотивов
.1.2 Работники, занятые на текущем ремонте и техническом
обслуживании локомотивов
.1.3 Численность прочих групп контингента
.2 Планирование затрат на оплату труда
.2.1 Фонд оплаты труда работников, занятых на ТО-2 и
экипировке локомотивов
.2.2 Фонд оплаты труда работников, занятых на техническом
обслуживании и текущем ремонте локомотивов
.2.3 Фонд оплаты труда остальных работников депо
.3 Расчет производительности труда и среднемесячной
заработной платы
. План расходов по обычным видам деятельности (бюджет затрат)
.1 Прямые расходы на экипировку и ремонт локомотивов
.2 Расходы, общие для всех мест возникновения затрат и видов
работ
.3 Общехозяйственные расходы
. Калькуляция технических обслуживаний и текущих ремонтов
локомотивов
Заключение
Список использованной литературы
Введение
В период экономического роста основными направлениями развития работы
железнодорожного транспорта становятся снижение собственных затрат, повышение
мотивации работников отрасли, способность удовлетворять возрастающие требования
пользователей к качеству услуг, гибко реагировать на изменения спроса. Решение
этих вопросов связано в первую очередь с формированием и развитием конкуренции
в области перевозок.
Повышение инвестиционной привлекательности железнодорожного транспорта
является одной из приоритетных задач структурной реформы отрасли и важным
инструментом роста инвестиций в модернизацию инфраструктуры и подвижного
состава. Для ее решения в 2003 г. осуществлено разделение хозяйственной
деятельности и функций государственного управления, создано ОАО «РЖД».
В комплексе задач, стоящих перед ОАО «РЖД», одно из центральных мест
занимает разделение монопольного и конкурентного сектора экономики.
Для реализации поставленной задачи было принято решение о структурной
перестройке локомотивного хозяйства. Это решение предусматривает экономическое
и организационное разделение функций локомотивного депо на эксплуатационную и
ремонтную деятельности.
На сети железных дорог были созданы принципиально новые структурные
подразделения: базовые предприятия по эксплуатации локомотивов
(эксплуатационные локомотивные депо) и базовые предприятия по ремонту и
техническому обслуживанию локомотивов (ремонтные локомотивные депо).
Основной производственной функцией ремонтных локомотивных депо является
своевременный и качественный ремонт локомотивов по программе, утвержденной
вышестоящей организацией.
Производственная программа каждого депо устанавливается с учетом их
производственной мощности и технического оснащения в соответствии с принятой на
дороге специализацией ремонтных депо по сериям ремонтируемых локомотивов и по
видам ремонта.
Система бюджетного управления ставит перед структурными единицами задачу
дальнейшего улучшения производственно-хозяйственной деятельности и повышения
обоснованности низового технико-экономического планирования, так как
практически единственным основанием для мотивационного финансирования
структурной единицы является экономия расходов по обычным видам деятельности.
Целью курсового проекта является разработка плана экономического и
социального развития ремонтного локомотивного депо
Для достижения поставленной цели необходимо выполнить следующие задачи:
) определить производственную программу;
) рассчитать технико-экономические показатели;
) составить план по труду;
) составить план расходов и рассчитать себестоимость.
1. Технико-экономическая характеристика локомотивного депо
Ремонтное локомотивное депо расположено в пункте В заданного полигона
(рисунок 1. 1).
Рисунок 1. 1 - Участки работы локомотивов и локомотивных бригад
Согласно заданию вышестоящей организации рассматриваемое депо выполняет:
- экипировку и техническое обслуживание второго объема (ТО-2)
электровозов ЧС-4, работающих в пассажирском движении на всех участках
заданного полигона;
- все виды текущего ремонта (см. таблицу 2.3) и технического
обслуживания (кроме ТО-2) электровозов ЧС-4, работающих в пассажирском движении
на участках Б-В, Б-Г и В-Г заданного полигона;
- все виды текущего ремонта и технического обслуживания
тепловозов ТЭМ-2, работающих на маневрах. Эксплуатируемый парк маневровых
локомотивов в грузовом движении - 21, в пассажирском движении - 2, всего - 23.
В таблице 1. 1 приведем объемные и качественные показатели использования
локомотивов по участкам заданного полигона.
Таблица 1. 1 - Объемные и качественные показатели использования
локомотивов по участкам заданного полигона
|
Показатели
|
Участки
|
|
А-Б
|
Б-В
|
В-Г
|
Г-Б
|
Г-А
|
|
Протяженность, км
|
406
|
296
|
354
|
321
|
392
|
|
Пассажирское движение
|
|
|
|
|
|
|
Число пар поездов в сутки
|
10
|
11
|
13
|
9
|
9
|
Дополнительные исходные данные представим в таблице 1. 2.
Таблица 1. 2 - Дополнительные исходные данные и нормативы
|
Показатель
|
Значение показателя
|
|
1. Серия локомотивов пассажирское движение
|
ЧС-4
|
|
маневровая работа
|
ТЭМ-2
|
|
2. Эксплуатируемый парк маневровых локомотивов в грузовом
движении в пассажирском движении
|
21 2
|
|
3. Среднесуточные пробег локомотива в пассажирском
движении, км/лок.-сут
|
950
|
|
4. Процент условного пробега локомотива к общему пробегу в
пассажирском движении
|
1,4
|
|
5. Нормы расхода материалов на экипировку локомотивов,
р./1000 лок.-км общего пробега работающих в пассажирском движении
|
8
|
|
на маневровой работе
|
7
|
|
6. Норма расхода условного топлива на экипировку
локомотивов, кг/1000 лок.-км общего пробега во всех видах движения
|
4
|
|
7. Цена 1 кг условного топлива, р.
|
5,3
|
|
8. Нормы расхода электроэнергии на экипировку локомотивов,
кВт-ч/1000 лок.-км общего пробега во всех видах движения
|
15
|
|
9. Цена 1 кВт-ч электроэнергии, р.
|
0,532
|
|
10. Восстановительная стоимость производственных основных
средств (без стоимости локомотивов), млн. р.
|
|
|
здания
|
586
|
|
сооружения
|
645
|
|
оборудование
|
381
|
|
транспортные средства (автомобили и автоприцепы)
|
8,3
|
|
прочие
|
|
|
11. Средний стаж непрерывной работы, дающий право на
получение вознаграждения за выслугу лет, годы
|
|
|
мастеров
|
9
|
|
бригадиров
|
3
|
|
руководителей
|
9
|
|
остальной контингент
|
5
|
2. Производственная программа депо
2.1 Расчет пробега и эксплуатируемого парка локомотивов
Общий пробег и эксплуатируемый парк поездных локомотивов на всех участках
заданного полигона и на трех выбранных участках, необходимые для планирования
объема работы по экипировке и числа ТО-2, рассчитываются исходя из
протяженности участков
и числа поездов в сутки в направлениях «туда»
и «обратно»
(таблица 1. 1). Пробег локомотивов
во главе поездов на этих участках в пассажирском движении определяется по
формуле:
. (2. 1)
Вспомогательный линейный пробег
в пассажирском движении принимается
равным нулю, так как число поездов по направлениям равновелико.
Линейный пробег локомотивов
равен сумме величин пробега локомотивов
во главе и вспомогательного линейного пробега:
. (2. 2)
Так как в пассажирском движении
, то линейный пробег будет равен
величине пробега локомотивов во главе:
. (2. 3)
Общий пробег локомотивов в пассажирском движении
может быть определен по формуле:
, (2. 4)
где
- коэффициент условного пробега локомотивов в пассажирском
движении к общему (таблица 1. 2).
Эксплуатируемый парк локомотивов
рассчитывается по формуле:
, (2. 5)
Условный (он же общий) пробег маневровых локомотивов определяется по
формуле:
, (2. 6)
где
- эксплуатируемый парк маневровых локомотивов (таблица 1.
2); 23,5; 0,5 - время нахождения локомотива в течение суток соответственно на
маневровой работе и в простое под экипировкой, ч;
; 1 - коэффициенты, установленные для перевода времени работы и простоя
локомотивов в километры условного пробега.
Рассчитаем все перечисленные показатели для участка А-Б.
тыс. лок-км
тыс. лок-км
тыс. лок-км
лок.
Проведем расчет условного пробега маневровых локомотивов.
тыс. лок-км
Расчет показателей по всем участкам приведем в таблице 2. 1.
Таблица 2. 1 - Расчет показателей по всем участкам заданного полигона
|
Показатель
|
Участки
|
|
А-Б
|
Б-В
|
В-Г
|
Г-Б
|
Г-А
|
|
Пробег локомотивов во главе поездов, тыс. лок-км
|
2963,8
|
2376,88
|
3359,46
|
2108,97
|
2575,44
|
|
Линейный пробег локомотивов, тыс. лок-км
|
2963,8
|
2376,88
|
3359,46
|
2108,97
|
2575,44
|
|
Общий пробег локомотивов, тыс. лок-км
|
3005,882
|
2410,629
|
3407,160
|
2138,915
|
2612,008
|
|
Эксплуатируемый парк локомотивов
|
9
|
7
|
10
|
7
|
8
|
Результаты расчета пробега и эксплуатируемого парка локомотивов
представим в таблице 2. 2.
Таблица 2. 2 - Общий пробег и эксплуатируемый парк локомотивов
|
Показатель
|
Пассажирское движение
|
Маневровая работа
|
|
На всех участках
|
На трех участках
|
|
|
Общий пробег локомотивов, тыс. лок-км
|
13574,594
|
7956,704
|
990,61
|
|
Эксплуатируемый парк локомотивов
|
41
|
24
|
23
|
2.2 Программа технического обслуживания и текущего ремонта
локомотивов, работающих в пассажирском движении
локомотив технический обслуживание ремонт
Объем работы ремонтного локомотивного депо характеризуется числом
различных видов технических обслуживаний и текущих ремонтов локомотивов
различных серий, а также числом приведенных ремонтов.
Программа ремонта (технического обслуживания) локомотивов, работающих в
поездных видах работы (в пассажирском движении), в зависимости от характера
установленных межремонтных норм (пробежных или временных) рассчитывается по
формуле:
, (2. 7)
, (2. 8)
где
- общий пробег локомотивов j-ой серии в границах участков работы локомотивов, тыс. лок-км
(таблица 2. 2);
- норма пробега между i-ми видами ремонта локомотивов j-ой серии, тыс. лок-км;
- период работы между i-ми видами ремонта локомотивов j-ой серии, годы;
- число ремонтов локомотивов j-й серии, предшествующих по сложности i-му виду ремонта.
Расчет программы ремонта следует начинать с определения числа капитальных
ремонтов, последовательно переходя к менее сложным ремонтам и техническим
обслуживаниям. При установленных для поездных видов работы преимущественно
пробежных нормах число отдельных видов ремонтов локомотивов j-ой серии составит:
, (2. 9)
, (2. 10)
, (2. 11)
, (2. 12)
, (2. 13)
, (2. 14)
где
,
,
,
,
,
- число соответственно капитальных (КР) и средних (СР)
ремонтов, текущих ремонтов по программе третьего (ТР-3), второго (ТР-2) и
первого (ТР-1) объемов, технических обслуживаний третьего (ТО-3) объема
локомотивов j-ой серии;
,
,
,
,
,
- пробег локомотивов j-ой серии между соответствующими видами ремонта и технических
обслуживаний, км.
- общий пробег локомотивов j-й серии, работающих на участках Б-В, В-Г, Б-Г.
Кроме программы текущих ремонтов и технических обслуживаний локомотивов,
рассчитанной выше, следует дополнительно учесть число технических обслуживаний
четвертого (ТО-4) и пятого (ТО-5) объемов.
Программа ТО-4 принята в объеме 50 % от числа ТР-1. Число ТО-5 составляет
10 % в год от эксплуатируемого парка.
Число технических обслуживаний второго объема (ТО-2) рассчитывается по
формуле:
, (2. 15)
где
- эксплуатируемый парк локомотивов, работающих в
пассажирском или маневровом движении на всех участках заданного полигона;
- период работы локомотивов между ТО-2 в пассажирском или
маневровом движении.
Объем работы депо по экипировке локомотивов характеризуется величиной их
общего пробега в пассажирском движении на всех участках заданного полигона.
Приведем пример расчета программы ремонта для пассажирского движения:
ремонта,
ремонтов,
ремонт,
,
ремонтов,
обслуживания,
обслуживания,
,
обслуживаний.
2.3 Программа технического обслуживания и текущего ремонта
локомотивов, работающих на маневрах
В отличие от локомотивов, занятых в пассажирском движении, для
локомотивов, работающих на маневрах, устанавливаются не пробежные, а временные
нормы работы между ремонтами. В этом случае число ремонтов различного объема
рассчитывается по формулам:
, (2. 16)
, (2. 17)
, (2. 18)
, (2. 19)
, (2. 20)
, (2. 21)
где
,
,
,
,
,
- период работы локомотивов между соответствующими видами
ремонтов и технических обслуживаний маневровых локомотивов,
- эксплуатируемый парк маневровых локомотивов (таблица 2.
2).
Программа ТО-4 выполнена в объеме 50 % от числа ТР-1. Число ТО-5
составляет 10 % в год от эксплуатируемого парка.
Число технических обслуживаний второго объема (ТО-2) рассчитывается по
формуле (2. 15):
Общая величина производственной программы ремонтного локомотивного депо
характеризуется числом приведенных ремонтов, которое рассчитывается по формуле:
, (2. 22)
где
- коэффициенты приведения технических обслуживаний и текущих
ремонтов i-го вида j-й серии локомотивов к ремонту трудоемкостью 210 чел.-ч.
Величина названных коэффициентов рассчитывается путем деления нормативной
трудоемкости каждого вида ремонта на 210.
Результаты расчетов программы ремонтов и технического обслуживания
локомотивов приведем в таблице 2. 3.
Таблица 2.3 - Производственная программа ремонтного локомотивного депо
|
Вид ремонта (обслуживания)
|
Пассажирское движение
|
Маневровая работа
|
|
Число ремонтов
|
Коэффи-циент приведения
|
Число приве-денных ремонтов
|
Число ремонтов
|
Коэффи-циент приведения
|
Число приве-денных ремонтов
|
|
ТР-3
|
21
|
14,29
|
300,09
|
3
|
5,81
|
17,43
|
|
ТР-2
|
0
|
4,29
|
0
|
6
|
2,24
|
13,44
|
|
ТР-1
|
366
|
1,05
|
384,3
|
23
|
0,6
|
13,8
|
|
ТО-5
|
3
|
0,52
|
1,56
|
3
|
0,31
|
0,93
|
|
ТО-4
|
183
|
0,05
|
9,15
|
12
|
0,07
|
0,84
|
|
ТО-3
|
0
|
0,5
|
0
|
175
|
0,25
|
43,75
|
|
ТО-2
|
14965
|
0,02
|
299,3
|
1679
|
0,01
|
16,79
|
|
Итого
|
-
|
-
|
994,4
|
-
|
-
|
106,98
|
3. Технико-экономические показатели
Показателями, характеризующими организацию текущего ремонта и технического
обслуживания локомотивов, являются:
- простой локомотивов, дифференцированный по сериям локомотивов
и видам ремонта
;
- общее время простоя локомотивов в ремонте в течение планового
периода
, лок.-ч;
- среднее время простоя локомотивов в приведенном ремонте
, ч;
- средний остаток неисправных локомотивов
.
Последние три показателя предлагается рассчитывать по формулам:
; (3. 1)
; (3. 2)
, (3. 3)
где
- число смен работы участка депо, где выполняется i-ый вид ремонта j-ой серии локомотивов;
Ф - годовой фонд полезного времени производственного участка, на котором
работа организована в одну смену, ч. Величину Ф примем в размере 90 % от фонда
рабочего времени явочного работника при сорокачасовой рабочей неделе в 2014 г.
(
ч).
Ф = 0,9 * 1970 = 1773 ч.
В качестве примера рассчитаем время простоя в ремонте ТР-3 локомотивов
ЧС-4, работающих в пассажирском движении:
;
Расчет среднего остатка неисправных локомотивов выполним в таблице 3. 1.
Таблица 3. 1 - Расчет среднего остатка неисправных локомотивов
|
Серия локомоти-ва
|
Вид ремонта (обслу-живания)
|
Число ремонтов (обслу-живания)
|
Простой в ремонте, лок.-ч
|
Число смен работы участка
|
Годовой фонд полезного времени, ч
|
Средний остаток неисправ-ных локомо-тивов
|
|
|
|
1 локо-мотива
|
всего
|
|
|
|
|
Пасса-жирское движение
|
ТР-3
|
21
|
72
|
1512
|
4
|
7092
|
0,21
|
|
ТР-2
|
0
|
-
|
-
|
-
|
|
|
ТР-1
|
366
|
14
|
5124
|
4
|
7092
|
0,72
|
|
ТО-5
|
3
|
19
|
57
|
1
|
1773
|
0,03
|
|
ТО-4
|
183
|
10
|
1830
|
1
|
1773
|
1,03
|
|
ТО-3
|
0
|
-
|
-
|
-
|
-
|
|
|
Итого
|
-
|
-
|
8523
|
-
|
-
|
2,0
|
|
Маневро-вая работа
|
ТР-3
|
3
|
288
|
864
|
1
|
1773
|
0,49
|
|
ТР-2
|
6
|
168
|
1008
|
1
|
1773
|
0,57
|
|
ТР-1
|
23
|
24
|
552
|
1
|
1773
|
0,31
|
|
ТО-5
|
3
|
30
|
90
|
1
|
1773
|
0,05
|
|
ТО-4
|
12
|
15
|
180
|
1
|
1773
|
0,10
|
|
ТО-3
|
175
|
8
|
1400
|
1
|
1773
|
0,79
|
|
Итого
|
-
|
-
|
4094
|
-
|
-
|
2,31
|
|
Всего
|
-
|
-
|
-
|
-
|
-
|
-
|
4,31
|
Рассчитаем среднее время простоя локомотивов в приведенном ремонте (без
учета ТО-2) в пассажирском движении и при маневровой работе:
ч;
ч.
Таким образом, средний остаток неисправных локомотивов в ремонтном
локомотивном депо составил 4,31 локомотивов.
4. План по труду
4.1 Планирование численности работников
4.1.1 Работники, занятые на экипировке и техническом обслуживании
второго объема (ТО-2) локомотивов
В плане по труду рассчитываются четыре основных показателя:
- численность работников, всего и в том числе по основным
производственным группам контингента и по статьям номенклатуры расходов;
- затраты на оплату труда по группам контингента и статьям
номенклатуры расходов;
- производительность труда;
- среднемесячная заработная плата.
Контингент ремонтного локомотивного депо по перевозкам планируется по
следующим основным группам:
- рабочие, занятые на ТО-2 и экипировке локомотивов, по видам
движения и видам тяги;
- рабочие, занятые на текущем ремонте и техническом
обслуживании локомотивов, по видам движения и видам тяги;
- прочий контингент, планируемый по статьям расходов, общих для
всех мест возникновения затрат и видов работ, и по статьям общехозяйственных
расходов.
Численность работников по экипировке планируется по статьям:
- для электровозов, работающих в пассажирском движении;
- для тепловозов, работающих на маневрах.
Явочная численность работников по перечисленным статьям (
) рассчитывается по формуле:
, (4. 1)
где
- общий пробег локомотивов, работающих в пассажирском
движении либо на маневровой работе на всех участках заданного полигона, тыс.
лок.-км;
- трудоемкость экипировки локомотивов, приходящаяся на 1000
лок.-км общего пробега локомотивов, чел.-ч. Примем, что для электровозов
чел.-ч, а для тепловозов
чел.-ч;
- годовой фонд рабочего времени явочного работника при
сорокачасовой рабочей неделе в году, для которого разрабатывается план, ч.
Рассчитаем явочную численность работников по перечисленным статьям:
чел.
чел.
Численность работников на ТО-2 локомотивов планируется по статьям:
- для электровозов, работающих в пассажирском движении;
- для тепловозов, работающих на маневрах.
Явочная численность работников по каждой из названных статей определяется
по формуле:
, (4. 2)
где
- программа ТО-2;
- трудоемкость одного ТО-2, чел.-ч.
Рассчитаем явочную численность работников по каждой из названных статей:
чел.
чел.
Для расчета списочной численности работников, занятых на ТО-2 и
экипировке, по всем перечисленным выше статьям применяется коэффициент
замещения
.
чел.
чел.
чел.
чел.
Округления производятся с учетом технологии формирования производственных
бригад.
4.1.2 Работники, занятые на текущем ремонте и техническом
обслуживании локомотивов
Численность рабочих, занятых на текущем ремонте и техническом
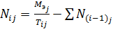
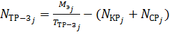
обслуживании локомотивов (исключая ТО-2), рассчитывается по формуле:
, (4. 3)
где
- число i-го
вида текущих ремонтов или технических обслуживаний j-ой серии локомотивов;
- трудоемкость выполнения i-го вида текущего ремонта или технического обслуживания j-ой серии локомотивов, чел.-ч;
- коэффициент выполнения плановых норм выработки или
нормированных заданий. Величину
примем равной 1, 1.
Явочная численность ремонтников рассчитывается по формуле (4. 3) отдельно
по следующим статьям:
- техническое обслуживание (ТО-5, 4, 3) электровозов, работающих в
пассажирском движении;
- текущие виды ремонта (ТР-3, 2, 1) электровозов, работающих в
пассажирском движении;
- техническое обслуживание (ТО-5, 4, 3) маневровых тепловозов;
- текущие виды ремонта (ТР-3, 2, 1) маневровых тепловозов.
чел.
чел.
чел.
чел.
Для расчета списочной численности работников по всем перечисленным выше
статьям применяется коэффициент замещения
.
чел.
чел.
чел.
чел.
На рассматриваемых участках работы кроме рассчитанной численности рабочих
могут быть предусмотрены освобожденные бригадиры, численность которых
принимается из расчета: один освобожденный бригадир на 20 - 30 рабочих.
Профессионально-квалификационный состав работников, занятых на ТО-2,
экипировке, техническом обслуживании и текущем ремонте локомотивов, примем
согласно таблице 4. 1. В этой же таблице отобразим списочную численность
работников, занятых на ТО-2, экипировке, техническом обслуживании и текущем
ремонте локомотивов, по профессиям.
Таблица 4. 1 - Распределение численности работников, занятых на ТО-2,
экипировке, техническом обслуживании и текущем ремонте поездных локомотивов, по
профессиям
|
Профессия (должность) работника
|
Разряд
|
Экипировка
|
ТО-2
|
ТО-5, 4, 3
|
ТР-3, 2, 1
|
|
|
Условия труда
|
%
|
Чсп, чел
|
Условия труда
|
%
|
Чсп, чел
|
Условия труда
|
%
|
Чсп. чел
|
Условия труда
|
%
|
Чсп. чел
|
|
Бригадир освобожденный
|
8
|
вред. 8 %
|
5
|
2
|
вред. 8 %
|
5
|
2
|
норм.
|
5
|
|
норм.
|
5
|
4
|
|
Слесарь по ремонту подвижного состава
|
5
|
-
|
-
|
|
вред. 8 %
|
40
|
16
|
норм.
|
40
|
1
|
норм.
|
40
|
32
|
|
Слесарь по ремонту подвижного состава
|
4
|
вред. 8 %
|
10
|
4
|
вред. 8 %
|
50
|
22
|
норм.
|
35
|
1
|
норм.
|
30
|
24
|
|
Электрогазосварщик
|
6
|
-
|
-
|
|
вред. 12 %
|
5
|
2
|
вред. 12 %
|
5
|
|
вред. 12 %
|
5
|
4
|
|
Регенераторщик отработанного масла
|
3
|
-
|
-
|
|
-
|
-
|
|
вред. 12 %
|
5
|
|
вред. 12 %
|
5
|
4
|
|
Плотник
|
4
|
-
|
-
|
|
-
|
-
|
|
-
|
-
|
|
норм.
|
2
|
2
|
|
Экипировщики
|
4
|
вред. 8 %
|
85
|
24
|
-
|
-
|
|
-
|
-
|
|
-
|
-
|
|
|
Мойщик-уборщик подвижного состава
|
2
|
-
|
-
|
|
-
|
-
|
|
вред. 8 %
|
10
|
|
вред. 8 %
|
13
|
12
|
|
Итого
|
|
|
|
30
|
|
|
42
|
|
|
2
|
|
|
82
|
Таблица 4. 2 - Распределение численности работников, занятых на ТО-2,
экипировке, техническом обслуживании и текущем ремонте маневровых локомотивов,
по профессиям
|
Профессия (должность) работника
|
Разряд
|
Экипировка
|
ТО-2
|
ТО-5, 4, 3
|
ТР-3, 2, 1
|
|
|
Условия труда
|
%
|
Чсп, чел
|
Условия труда
|
%
|
Чсп, чел
|
Условия труда
|
%
|
Чсп. чел
|
Условия труда
|
%
|
Чсп. чел
|
|
Бригадир освобожденный
|
8
|
вред. 8 %
|
5
|
|
вред. 8 %
|
5
|
|
норм.
|
5
|
|
норм.
|
5
|
|
|
Слесарь по ремонту подвижного состава
|
5
|
-
|
-
|
|
вред. 8 %
|
40
|
1
|
норм.
|
40
|
3
|
норм.
|
40
|
3
|
|
Слесарь по ремонту подвижного состава
|
4
|
вред. 8 %
|
10
|
1
|
вред. 8 %
|
50
|
2
|
норм.
|
35
|
2
|
норм.
|
30
|
2
|
|
Электрогазосварщик
|
6
|
-
|
-
|
|
вред. 12 %
|
5
|
|
вред. 12 %
|
5
|
|
вред. 12 %
|
5
|
|
|
Регенераторщик отработанного масла
|
3
|
-
|
-
|
|
-
|
-
|
|
вред. 12 %
|
5
|
|
вред. 12 %
|
5
|
|
|
Плотник
|
-
|
-
|
|
-
|
-
|
|
-
|
-
|
|
норм.
|
2
|
|
|
Экипировщики
|
4
|
вред. 8 %
|
85
|
2
|
-
|
-
|
|
-
|
-
|
|
-
|
-
|
|
|
Мойщик-уборщик подвижного состава
|
2
|
-
|
-
|
|
-
|
-
|
|
вред. 8 %
|
10
|
1
|
вред. 8 %
|
13
|
1
|
|
Итого
|
|
|
|
3
|
|
|
3
|
|
|
6
|
|
|
6
|
Списочная численность работников различных профессий показывается в
штатном расписании по соответствующим статьям (таблица 4. 3).
4.1.3 Численность прочих групп контингента
Списочная численность работников, планируемых по статьям расходов, общих
для всех мест возникновения затрат и видов работ (*757 - *778),
общехозяйственных расходов без затрат по содержанию аппарата управления (*785 -
*821) и расходов по содержанию аппарата управления (*830 - *833) принимается
согласно штатному расписанию, приведенному в таблице 4. 3.
Таблица 4. 3 - Штатное расписание ремонтного локомотивного депо
|
Статья расходов
|
Профессия (должность)
|
Спи-сочная числен-ность, чел.
|
Раз-ряд
|
Коэффи-циент доплат за вред-ность
|
Часовая тариф-ная ставка, р.
|
Час. тариф. ставка с учетом доплат за вред. р.
|
Месячная заработная плата 1 работника
|
Годовой ФОТ, тыс. р.
|
|
|
|
|
|
|
|
|
|
празднич ные дни
|
премия
|
районный коэф-т
|
Итого
|
Всего
|
В том числе по ст. *757
|
|
Прямые расходы
|
|
|
|
|
|
|
|
|
|
|
|
|
|
|
3113 экипир. пассаж.
|
Бригадир освобожденный
|
2
|
8
|
1,08
|
114,70
|
123,88
|
20336,97
|
2704,82
|
772,80
|
5084,24
|
5779,77
|
34678,60
|
832,29
|
89,17
|
|
Слесарь по ремонту подвижного состава
|
4
|
4
|
1,08
|
80,59
|
87,04
|
14289,07
|
1900,45
|
542,98
|
3572,27
|
4060,95
|
24365,72
|
1169,55
|
125,31
|
|
Экипировщики
|
24
|
4
|
1,08
|
80,59
|
87,04
|
14289,07
|
1900,45
|
542,98
|
3572,27
|
4060,95
|
24365,72
|
7017,33
|
751,86
|
|
Итого
|
30
|
|
|
|
|
|
|
|
|
|
|
9019,17
|
966,34
|
|
3316 экипир. маневры
|
Слесарь по ремонту подвижного состава
|
1
|
4
|
1,08
|
80,59
|
87,04
|
14289,07
|
1900,45
|
542,98
|
3572,27
|
4060,95
|
24365,72
|
292,39
|
31,33
|
|
Экипировщики
|
2
|
4
|
1,08
|
80,59
|
87,04
|
14289,07
|
1900,45
|
542,98
|
3572,27
|
4060,95
|
24365,72
|
584,78
|
62,65
|
|
Итого
|
3
|
|
|
|
|
|
|
|
|
|
|
877,17
|
93,98
|
|
6105 ТО-2 пассаж.
|
Бригадир освобожденный
|
2
|
8
|
1,08
|
114,70
|
123,88
|
20336,97
|
2704,82
|
772,80
|
5084,24
|
5779,77
|
34678,60
|
832,29
|
89,17
|
|
Слесарь по ремонту подвижного состава
|
16
|
5
|
1,08
|
90,40
|
97,63
|
16027,59
|
2131,67
|
609,05
|
4006,90
|
4555,04
|
27330,25
|
5247,41
|
562,22
|
|
Слесарь по ремонту подвижного состава
|
22
|
4
|
1,08
|
80,59
|
87,04
|
14289,07
|
1900,45
|
542,98
|
3572,27
|
4060,95
|
24365,72
|
6432,55
|
689,20
|
|
Электрогазосварщик
|
2
|
6
|
1,12
|
96,97
|
108,61
|
17830,14
|
2371,41
|
677,55
|
4457,54
|
5067,33
|
30403,95
|
729,69
|
78,18
|
|
Итого
|
42
|
|
|
|
|
|
|
|
|
|
|
13241,94
|
1606,74
|
|
6309 ТО-2 маневры
|
Слесарь по ремонту подвижного состава
|
1
|
5
|
1,08
|
90,40
|
97,63
|
16027,59
|
2131,67
|
609,05
|
4006,90
|
4555,04
|
27330,25
|
327,96
|
35,14
|
|
Слесарь по ремонту подвижного состава
|
2
|
4
|
1,08
|
80,59
|
87,04
|
14289,07
|
1900,45
|
542,98
|
3572,27
|
4060,95
|
24365,72
|
584,78
|
62,65
|
|
Итого
|
3
|
|
|
|
|
|
|
|
|
|
|
912,74
|
97,79
|
|
6105 ТО-5, 4, 3 пассаж.
|
Слесарь по ремонту подвижного состава
|
1
|
5
|
норм
|
90,40
|
90,40
|
16027,59
|
0,00
|
0,00
|
4006,90
|
4006,90
|
24041,39
|
288,50
|
30,91
|
|
Слесарь по ремонту подвижного состава
|
1
|
4
|
норм
|
80,59
|
80,59
|
14289,07
|
0,00
|
0,00
|
3572,27
|
3572,27
|
21433,61
|
257,20
|
27,56
|
|
Итого
|
2
|
|
|
|
|
|
|
|
|
|
|
545,70
|
58,47
|
|
6309 ТО-5, 4, 3 маневры
|
Слесарь по ремонту подвижного состава
|
3
|
5
|
норм
|
90,40
|
90,40
|
16027,59
|
0,00
|
0,00
|
4006,90
|
4006,90
|
24041,39
|
865,49
|
92,73
|
|
Слесарь по ремонту подвижного состава
|
2
|
4
|
норм
|
80,59
|
80,59
|
14289,07
|
0,00
|
0,00
|
3572,27
|
3572,27
|
21433,61
|
514,41
|
55,11
|
|
Мойщик-уборщик подвижного состава
|
1
|
2
|
1,08
|
58,42
|
63,09
|
10357,2
|
0,00
|
0,00
|
2589,30
|
2589,30
|
15535,80
|
186,43
|
19,97
|
|
Итого
|
6
|
|
|
|
|
|
|
|
|
|
|
1566,33
|
167,82
|
|
6106 ТР-3, 2, 1 пассаж.
|
Бригадир освобожденный
|
4
|
8
|
норм
|
114,70
|
114,70
|
18829,92
|
2504,38
|
715,54
|
4707,48
|
5351,46
|
32108,78
|
1541,22
|
165,13
|
|
Слесарь по ремонту подвижного состава
|
32
|
5
|
норм
|
90,40
|
90,40
|
14840,67
|
1973,81
|
563,95
|
3710,17
|
4217,72
|
25306,32
|
9717,63
|
1041,17
|
|
Слесарь по ремонту подвижного состава
|
24
|
4
|
норм
|
80,59
|
80,59
|
13230,19
|
1759,62
|
502,75
|
3307,55
|
22560,13
|
6497,32
|
696,14
|
|
Электрогазосварщик
|
4
|
6
|
1,12
|
96,97
|
108,61
|
17830,14
|
2371,41
|
677,55
|
4457,54
|
5067,33
|
30403,97
|
1459,39
|
156,36
|
|
Регенераторщик отработанного масла
|
4
|
3
|
1,12
|
69,50
|
77,84
|
12778,73
|
1699,57
|
485,59
|
3194,68
|
3631,71
|
21790,28
|
1045,93
|
112,06
|
|
Плотник
|
2
|
4
|
норм
|
80,59
|
80,59
|
13230,19
|
1759,62
|
502,75
|
3307,55
|
3760,02
|
22560,13
|
541,44
|
58,01
|
|
Мойщик-уборщик подвижного состава
|
12
|
2
|
1,08
|
58,42
|
63,09
|
10357,28
|
1377,52
|
393,58
|
2589,32
|
2943,54
|
17661,24
|
2543,22
|
272,49
|
|
Итого
|
82
|
|
|
|
|
|
|
|
|
|
|
23346,15
|
2501,37
|
|
6310 ТР-3, 2, 1 маневры
|
Слесарь по ремонту подвижного состава
|
3
|
5
|
норм
|
90,40
|
90,40
|
14840,67
|
0,00
|
0,00
|
3710,17
|
3710,17
|
22261,01
|
801,40
|
85,86
|
|
Слесарь по ремонту подвижного состава
|
2
|
4
|
норм
|
80,59
|
80,59
|
13230,19
|
0,00
|
0,00
|
3307,55
|
3307,55
|
19845,29
|
476,29
|
51,03
|
|
Мойщик-уборщик подвижного состава
|
1
|
2
|
1,08
|
58,42
|
63,09
|
10357,28
|
0,00
|
0,00
|
2589,32
|
2589,32
|
15535,92
|
186,43
|
19,97
|
|
Итого
|
6
|
|
|
|
|
|
|
|
|
|
|
1464,11
|
156,87
|
|
Итого прямых расходов
|
174
|
|
|
|
|
|
|
|
|
|
|
51850,47
|
5649,39
|
|
Расходы, общие для всех видов работ
|
|
|
|
|
|
|
|
|
|
|
|
|
|
|
*761
|
Бригадир
|
1
|
5
|
|
90,40
|
90,40
|
14840,00
|
|
|
3710,00
|
3710
|
22260,00
|
267,12
|
28,62
|
|
Оператор
|
1
|
2
|
|
58,42
|
58,42
|
9590,00
|
|
|
2397,50
|
2397,5
|
14385,00
|
172,62
|
18,50
|
|
Уборщик бытовых помещений
|
8
|
2
|
|
58,42
|
58,42
|
9590,00
|
|
|
2397,50
|
2397,5
|
14385,00
|
1380,96
|
147,96
|
|
Уборщик служебных помещений
|
8
|
2
|
|
58,42
|
58,42
|
9590,00
|
|
|
2397,50
|
2397,5
|
14385,00
|
1380,96
|
147,96
|
|
Оператор стиральных машин
|
2
|
3
|
0,16
|
69,50
|
80,62
|
13235,60
|
|
|
3308,90
|
3308,9
|
19853,40
|
476,48
|
51,05
|
|
Итого
|
20
|
|
|
|
|
|
|
|
|
|
|
3678,14
|
394,09
|
|
*765
|
Электромонтер
|
15
|
5
|
|
90,40
|
90,40
|
14840,00
|
|
|
3710,00
|
3710
|
22260,00
|
4006,80
|
429,30
|
|
Машинист крана
|
8
|
5
|
|
90,40
|
90,40
|
14840,00
|
|
|
3710,00
|
3710
|
22260,00
|
2136,96
|
228,96
|
|
Слесарь-ремонтник
|
18
|
6
|
|
98,50
|
98,50
|
16170,00
|
|
|
4042,50
|
4042,5
|
24255,00
|
5239,08
|
561,33
|
|
Слесарь-сантехник
|
10
|
5
|
0,04
|
90,40
|
94,01
|
15433,60
|
|
|
3858,40
|
3858,4
|
23150,40
|
2778,05
|
297,65
|
|
Аппаратчик
|
1
|
4
|
0,12
|
80,59
|
90,26
|
14817,60
|
|
|
3704,40
|
3704,4
|
22226,40
|
266,72
|
28,58
|
|
Электросварщик
|
4
|
6
|
0,12
|
98,50
|
110,32
|
18110,40
|
|
|
4527,60
|
4527,6
|
27165,60
|
1303,95
|
139,71
|
|
Токарь
|
3
|
4
|
|
80,59
|
80,59
|
13230,00
|
|
|
3307,50
|
3307,5
|
19845,00
|
714,42
|
76,55
|
|
Итого
|
59
|
|
|
|
|
|
|
|
|
|
|
16445,97
|
1762,07
|
|
*766
|
Аппаратчик очистки сточных вод
|
4
|
4
|
|
80,59
|
80,59
|
13230,00
|
|
|
3307,50
|
3307,5
|
19845,00
|
952,56
|
102,06
|
|
*768
|
Столяр, плотник
|
4
|
5
|
|
90,40
|
90,40
|
14840,00
|
|
|
3710,00
|
3710
|
22260,00
|
1068,48
|
114,48
|
|
Маляр
|
3
|
4
|
|
80,59
|
80,59
|
13230,00
|
|
|
3307,50
|
3307,5
|
19845,00
|
714,42
|
76,55
|
|
Каменщик
|
1
|
4
|
|
80,59
|
80,59
|
13230,00
|
|
|
3307,50
|
3307,5
|
19845,00
|
238,14
|
25,52
|
|
Машинист-кочегар
|
1
|
4
|
0,12
|
80,59
|
90,26
|
14817,60
|
|
|
3704,40
|
3704,4
|
22226,40
|
266,72
|
28,58
|
|
Слесарь по ремонту оборудования
|
1
|
5
|
|
90,40
|
90,40
|
14840,00
|
|
|
3710,00
|
3710
|
22260,00
|
267,12
|
28,62
|
|
Итого
|
10
|
|
|
|
|
|
|
|
|
|
|
2554,88
|
273,74
|
|
*770
|
Столяр, плотник
|
2
|
4
|
|
80,59
|
80,59
|
13230,00
|
|
|
3307,50
|
3307,5
|
19845,00
|
476,28
|
51,03
|
|
Маляр
|
3
|
5
|
|
90,40
|
14840,00
|
|
|
3710,00
|
3710
|
22260,00
|
801,36
|
85,86
|
|
Каменщик
|
2
|
4
|
|
80,59
|
80,59
|
13230,00
|
|
|
3307,50
|
3307,5
|
19845,00
|
476,28
|
51,03
|
|
Итого
|
7
|
|
|
|
|
|
|
|
|
|
|
1753,92
|
187,92
|
|
*775
|
Заведующий лабораторией
|
1
|
8
|
|
|
|
24370,00
|
|
|
6092,50
|
6092,5
|
36555,00
|
438,66
|
47,00
|
|
Техник-лаборант
|
1
|
6
|
|
|
|
17870,00
|
|
|
4467,50
|
4467,5
|
26805,00
|
321,66
|
34,46
|
|
Инженер
|
1
|
9
|
|
|
|
23200,00
|
|
|
5800,00
|
5800
|
34800,00
|
417,60
|
44,74
|
|
*775
|
Слесарь
|
7
|
6
|
|
98,50
|
98,50
|
16170,00
|
|
|
4042,50
|
4042,5
|
24255,00
|
2037,42
|
218,30
|
|
Электромеханик
|
3
|
10
|
|
131,33
|
131,33
|
21560,00
|
|
|
5390,00
|
5390
|
32340,00
|
1164,24
|
124,74
|
|
Итого
|
13
|
|
|
|
|
|
|
|
|
|
|
4379,58
|
469,24
|
|
*776 - *777
|
Водитель автомобиля 1 класса (25 %) 2 класса (10 %) 3
класса
|
2
|
6
|
|
98,50
|
98,50
|
16170,00
|
|
|
4042,50
|
4042,50
|
24255,00
|
582,12
|
62,37
|
|
Машинист автокрана
|
1
|
6
|
|
98,50
|
98,50
|
16170,00
|
|
|
4042,50
|
4042,50
|
24255,00
|
291,06
|
31,19
|
|
Бульдозерист
|
1
|
6
|
|
98,50
|
98,50
|
16170,00
|
|
|
4042,50
|
4042,50
|
24255,00
|
291,06
|
31,19
|
|
Тракторист
|
3
|
6
|
|
98,50
|
98,50
|
16170,00
|
|
|
4042,50
|
4042,50
|
24255,00
|
873,18
|
93,56
|
|
Итого
|
7
|
|
|
|
|
|
|
|
|
|
|
2037,42
|
218,30
|
|
Итого общепроизводственных расходов
|
120
|
|
|
|
|
|
|
|
|
|
|
31802,47
|
3407,41
|
|
Итого прямых и общепроизводственных расходов
|
294
|
|
|
|
|
|
|
|
|
|
|
82775,78
|
9056,80
|
|
Общехозяйственные расходы без аппарата управления
|
|
|
|
|
|
|
|
|
|
|
|
|
|
|
*785
|
Инженер
|
14
|
10
|
|
|
|
25545,00
|
|
|
6386,25
|
6386,25
|
38317,50
|
6437,34
|
|
|
Главный технолог
|
1
|
12
|
|
|
|
34750,00
|
|
|
8687,50
|
8687,50
|
52125,00
|
625,50
|
|
|
Старший мастер
|
5
|
12
|
|
|
|
29155,00
|
|
|
7288,75
|
7288,75
|
43732,50
|
2623,95
|
|
|
Мастер участка
|
12
|
11
|
|
|
|
25455,00
|
|
|
6363,75
|
6363,75
|
38182,50
|
5498,28
|
|
|
Психолог
|
2
|
8
|
|
|
|
22300,00
|
|
|
5575,00
|
5575,00
|
33450,00
|
802,80
|
|
|
*785
|
Начальник пункта экипировки
|
1
|
10
|
|
|
|
26360
|
|
|
6590
|
6590
|
39540
|
474,48
|
|
|
Оператор ЭВМ
|
1
|
6
|
|
|
|
28340
|
|
|
7085
|
7085
|
42510
|
510,12
|
|
|
Итого
|
36
|
|
|
|
|
|
|
|
|
|
|
16972,47
|
|
|
Расходы по содержанию аппарата управления
|
|
|
|
|
|
|
|
|
|
|
|
|
|
|
*830
|
Начальник депо
|
1
|
15
|
|
|
|
42875
|
|
|
10718,75
|
10718,75
|
64312,5
|
771,75
|
|
|
Зам. начальник
|
2
|
13
|
|
|
|
38540
|
|
|
9635
|
9635
|
57810
|
1387,44
|
|
|
Ведущий Экономист
|
1
|
11
|
|
|
|
25545
|
|
|
6386,25
|
6386,25
|
38317,5
|
459,81
|
|
|
Ведущий инженер
|
1
|
13
|
|
|
|
25545
|
|
|
6386,25
|
6386,25
|
38317,5
|
459,81
|
|
|
Остальные работники
|
12
|
8
|
|
|
|
21215
|
|
|
5303,75
|
5303,75
|
31822,5
|
4582,44
|
|
|
Итого
|
17
|
|
|
|
|
|
|
|
|
|
|
7661,25
|
|
|
Всего по депо
|
347
|
|
|
|
|
|
|
|
|
|
|
107409,50
|
9056,80
|
4.2 Планирование затрат на оплату труда
4.2.1 Фонд оплаты труда работников, занятых на ТО-2 и экипировке
локомотивов
Фонд оплаты труда работников (ФОТ), занятых на ТО-2 и экипировке
локомотивов, рассчитывается по всем производственным группам (профессиям) по
тем же статьям, что и контингент.
ФОТ рассматриваемой группы работников включает в себя следующие основные
виды выплат.
1. Месячная тарифная ставка
рабочего i-го разряда рассчитывается по формуле:
, (4. 4)
где
- часовая тарифная ставка работника i-го разряда.
Рабочие на ТО-2 и экипировке локомотивов связаны с движением поездов и
ремонтом подвижного состава и тарифицируются по второму уровню оплаты труда.
Отдельным работникам по результатам аттестации рабочих мест часовые тарифные
ставки, могут быть повышены на коэффициент, учитывающий условия труда.
Это повышение должно быть предусмотрено слесарям по ремонту подвижного
состава, экипировщикам и бригадирам в размере, приведенном в таблице 4. 1.
Часовая тарифная ставка рабочего 1 разряда 1 уровня оплаты труда
рассчитывается исходя из месячной тарифной ставки в 7000 рублей, путем деления
ее на среднемесячный фонд рабочего времени.
Часовая тарифная ставка рабочего iго разряда jго
уровня оплаты труда рассчитывается путем умножения часовой тарифной ставки 1 разряда
1 уровня на тарифный коэффициент, предусмотренный тарифной сеткой по оплате
труда рабочих.
. Доплата за работу в ночное время
рассчитывается по формуле:
, (4. 5)
где
- средний процент доплат за работу в ночное время рабочим на
экипировке и ТО-2, рассчитываемый по формуле:
. (4. 6)
Ночным временем при оплате труда считается период от 22 ч до 6 ч утра (
ч). Учитывая круглосуточный режим
работы на экипировке и ТО-2 (
ч) и установленный коллективным договором размер доплаты за
каждый час работы в ночное время (
%), средняя величина доплаты за
работу в ночное время в процентах к тарифному заработку составит:
%.
. Доплата за работу в праздничные дни
рассчитывается по формуле:
, (4. 7)
где
- средний процент доплаты за работу в праздничные дни,
рассчитываемый по формуле:
(4. 8)
Учитывая круглогодичный режим работы работников экипировки и ТО-2 (
), число нерабочих праздничных дней (
) и установленный Трудовым кодексом
размер доплат за работу в праздничные дни (
%) величина
в процентах к тарифному заработку составит:
%.
. Премии работникам, выполняющим экипировку и ТО-2 локомотивов,
устанавливаются за безаварийную и высокопроизводительную работу согласно
принятому в депо положению о премировании. В курсовом проекте размер премии
25 % от тарифной ставки:
. (4. 9)
. Локомотивное депо расположено в Новосибирске, где районный
коэффициент
%. Надбавка по районному коэффициенту
начисляется на все выплаты,
названные выше:
. (4. 10)
Результаты расчетов затрат на оплату труда приведем в штатном расписании
(таблица 4. 4) по тем же статьям Номенклатуры расходов, по которым показан
соответствующий контингент.
4.2.2 Фонд оплаты труда работников, занятых на техническом
обслуживании и текущем ремонте локомотивов
ФОТ работников, занятых на техническом обслуживании и текущем ремонте
локомотивов, рассчитывается по всем производственным группам (профессиям) по
тем же статьям, что и контингент.
ФОТ рассматриваемой группы работников включает в себя следующие основные
виды выплат.
. Месячная тарифная ставка
рабочего i-го разряда рассчитывается по формуле:
, (4. 11)
Рабочие рассматриваемой группы тарифицируются по второй строке тарифных
ставок. Отдельным работникам, занятым на техническом обслуживании и текущем
ремонте локомотивов, по результатам аттестации рабочих мест часовые тарифные
ставки, предусмотренные ОЕТС, могут быть повышены на коэффициент, учитывающий
условия труда.
Это повышение должно быть предусмотрено электрогазосварщикам,
регенераторщикам отработанного масла и мойщикам-уборщикам подвижного состава в
размере, приведенном в таблице 4. 1.
. Доплата за работу в ночное время
работникам, занятым на ТО и ТР
локомотивов, рассчитывается по формуле:
. (4. 12)
С учетом режима работы отдельных участков, принятых в разделе 3.
. Доплата за работу в праздничные дни
рассчитывается по формуле:
. (4. 13)
С учетом режима работы отдельных участков, принятых в разделе 3.
. Премии работникам, выполняющим техническое обслуживание и
текущий ремонт локомотивов, устанавливаются за высокопроизводительную работу и
высокое качество ремонта, гарантирующее работу локомотива в пределах
межремонтных норм, согласно принятому в депо положению о премировании. В
курсовом проекте размер премии
25 % от тарифной части:
. (4. 14)
. Локомотивное депо расположено в Новосибирске, где районный
коэффициент
%. Надбавка по районному коэффициенту
начисляется на все выплаты,
названные выше:
. (4. 15)
4.2.3 Фонд оплаты труда остальных работников депо
ФОТ работников, численность которых планируется по статьям расходов,
общих для мест возникновения затрат и видов работ (*757 - *778), общехозяйственных
расходов без затрат по содержанию аппарата управления (*785 - *821) и расходов
по содержанию аппарата управления (*830 - *833) рассчитывается исходя из
численности работников должностным окладам, согласно штатному расписанию,
приведенному в таблице 4. 3.
4.3 Расчет производительности труда и среднемесячной заработной
платы
В ремонтных локомотивных депо производительность труда определяется по
формуле:
, (4. 17)
где
- число приведенных ремонтов локомотивов, работающих во всех
видах движения (таблица 2. 3);
- среднесписочная численность работников по основным видам
хозяйственной деятельности железнодорожного транспорта, относимая на
себестоимость железнодорожных перевозок.
В курсовом проекте для расчета производительности труда примем всю
численность работников, приведенную в штатном расписании.
(прив. рем./чел.)
Среднемесячная заработная плата работников локомотивного депо
рассчитывается по формуле:
, (4. 18)
где
- годовой фонд оплаты труда, рассчитанный в таблице 4. 3.
(тыс. р.)
5. План расходов по обычным видам деятельности (бюджет затрат)
5.1 Прямые расходы на экипировку и ремонт локомотивов
Расходы по обычным видам деятельности (расходы на железнодорожные
перевозки) планируются по статьям Номенклатуры расходов и элементам затрат.
Расходы на оплату труда, рассчитанные в плане по труду, по статьям прямых
и общепроизводственных расходов переносятся из штатного расписания (таблица 4.
4) за минусом сумм, отраженных в таблице 4. 4 по графе «в том числе по статье
*757».
Расходы на оплату труда, рассчитанные в плане по труду, по статьям
общехозяйственных расходов переносятся на соответствующие статьи плана расходов
без каких-либо изменений.
Величина ФОТ, относимая на статью *757, рассчитывается по каждой статье
по формуле:
(5. 1)
где
- годовой ФОТ, тыс. р.
-
коэффициент замещения, принятый при расчете списочного контингента по i-й
статье,
.
тыс. р.
Отчисления на социальные нужды планируются по всем статьям, на которые
согласно штатному расписанию отнесены расходы на оплату труда, размер
отчислений - 30% + тариф на обязательное социальное страхование от несчастных
случаев на производстве и профессиональных заболеваний 1%. Итого 31 %.
Расходы на материалы по рассматриваемой группе затрат складываются из
расходов на материалы для экипировки, ТО и ТР.
Расходы материалов на экипировку локомотивов, работающих в пассажирском
(ст. 3113), маневровом (ст. 3316) движении, рассчитываются по норме затрат
материалов в денежном выражении на 1000 лок-км общего пробега в соответствующем
виде движения
и величине этого пробега в границах работы локомотивов
:
(5. 2)
тыс. р.
тыс. р.
Расход материалов на ТО-2,3,4,5 электровозов работающих в пассажирском
(ст. 6105) движении и тепловозов в маневровом (ст. 6309) движении,
рассчитывается по норме затрат материалов в денежном выражении на 1 ТО i-го
объема
и числу обслуживаний
:
(5. 3)
тыс. р.
тыс. р.
Расход материалов на ТР локомотивов работающих в пассажирском (ст. 6106),
маневровом (ст. 6310) движении, рассчитывается по норме затрат материалов в
денежном выражении на 1 ТР i-го объема
и числу обслуживаний
:
(5. 4)
тыс. р.
тыс. р.
Расход на топливо планируется только для экипировки локомотивов по тем же
статьям, что и материалы.
Расходы на топливо для экипировки локомотивов, работающих в пассажирском
(ст. 3113), маневровом (ст. 3316) движении, рассчитываются по норме затрат
условного топлива в килограммах на 1000 лок-км общего пробега в соответствующем
виде движения
, цене условного топлива и величине пробега локомотивов,
приписанных к данному депо
:
(5. 5)
тыс. р.
тыс. р.
Расход на электроэнергию планируется только для экипировки локомотивов по
тем же статьям, что и материалы и топливо.
Расходы на электроэнергию для экипировки локомотивов, работающих в
пассажирском (ст. 3113), маневровом (ст. 3316) движении, рассчитываются по
норме затрат электроэнергии на 1000 лок-км общего пробега в соответствующем
виде движения
, цене 1кВт-ч электроэнергии и величине пробега в границах
работы локомотивов, приписанных к данному депо
:
(5. 6)
тыс. р.
тыс. р.
Затраты на капитальные виды ремонта локомотивов планируются, исходя из
рассчитанной программы среднего и капитального ремонта локомотивов, отдельно
для пассажирского (ст. 6107) и маневрового (ст. 6311) движения. Некоторые из
названных видов ремонта могут выполняться в локомотивном депо. В этом случае
расходы на капитальные виды ремонта планируются по всем элементам затрат
аналогично затратам на текущие ремонты.
В большинстве случаев капитальные ремонты локомотивов выполняются на
электроремонтных заводах. Затраты на эти ремонты в виде оплаты счетов за
выполненные работы отражаются по элементы «прочие материальные затраты». В
курсовом проекте примем, что все капитальные ремонты локомотивов выполняются на
заводах, и затраты на них отражаются в бюджете расходов депо. Величина этих
затрат рассчитывается по формуле:
, (5. 7)
где
,
- плановые цены соответственно на капитальный и средний
ремонт i-ой серии локомотивов, которые примем
в размере 60 и 40 % от цены локомотива.
тыс. р.,
тыс. р.,
тыс. р.
тыс. р.,
тыс. р.,
тыс. р.
тыс. р.
тыс. р.
5.2 Расходы, общие для всех мест возникновения затрат и видов работ
Расходы, общие для всех мест возникновения затрат и видов работ,
планируются и учитываются по статьям *757 - *778 Номенклатуры расходов.
В курсовом проекте выполним расчеты только по некоторым статьям этой
группы.
Статья *757. Затраты по оплате труда производственного персонала за
непроработанное время.
В затраты на оплату труда производственного персонала за непроработанное
на производстве, но по закону оплачиваемое время, согласно действующей
Номенклатуре расходов включаются:
- затраты на оплату очередных (ежегодных) и дополнительных
отпусков;
- денежные компенсации за неиспользованный отпуск в соответствии
с трудовым законодательством РФ;
- другие денежные выплаты и натуральные компенсации.
Величина расходов по данной статье взята из таблицы 4. 4 по строке «Итого
прямых и общепроизводственных расходов» по графе «в том числе по статье *757».
Кроме того, по статье *757 отражаются отчисления на социальные нужды в
размере 31% от суммы заработной платы, показанной по этой статье.
Статья *758. Скидка со стоимости форменной одежды, выданной
производственному персоналу.
На статье *758 отражается стоимость формной одежды, выдаваемой
производственному персоналу младшего начальствующего и рядового состава в
соответствии с законодательством РФ бесплатно или с частичной оплатой и
остающейся в их личном постоянном пользовании.
Работники, связанные с движением поездов и обслуживанием пассажиров, для
которых ношение форменной одежды в рабочее время обязательно, получают ее
бесплатно. Стоимость форменной одежды в этом случае полностью возмещается за
счет расходов структурного подразделении, относится на элемент «затраты по
оплате труда».
В ремонтном локомотивном депо к лицам младшего начальствующего состава
относятся бригадиры на техническом обслуживании и текущем ремонте локомотивов;
к лицам среднего начальствующего состава относятся мастера, старшие мастера,
начальник пункта экипировки.
На рассматриваемую статью относится скидка, предоставляемая только
бригадирам. Расходы на предоставление скидки остальным работникам среднего
начальствующего состава отражаются по статье *785 в составе общехозяйственных
расходов.
Расходы структурного подразделения на предоставление скидки со стоимости
форменной одежды определяются в зависимости от числа работников, получающих ее
на льготных условиях, установленного размера скидки со стоимости форменной
одежды, срока ее носки и цены приобретения.
Виды форменной одежды, их примерная цена и сроки носки приведены в
таблице 5. 1.
Таблица 5. 1 - Расчет расходов на предоставление скидки со стоимости
форменной одежды
|
Форменная одежда
|
Списочная численность работников, чел.
|
Цена за ед., р.
|
Стоимость форменной одежды, тыс. р.
|
Размер скидки, %
|
Срок носки, лет
|
Сумма скидки, тыс. р.
|
|
Средний начальствующий состав (мастера, старшие мастера,
начальник пункта экипировки)
|
|
Пальто из смесовой ткани
|
18
|
1920
|
34,56
|
30
|
3
|
3,46
|
|
Плащ из смесовой ткани
|
|
1100
|
19,80
|
|
3
|
1,98
|
|
Костюм из п/шерстяной ткани, компл.
|
|
3000
|
54,00
|
|
2
|
8,10
|
|
Сорочка мужская(блузка женская), шт.
|
|
400
|
7,20
|
|
2
|
1,08
|
|
Галстук, шт.
|
|
120
|
2,16
|
|
2
|
0,32
|
|
Летний головной убор, шт.
|
|
168
|
3,02
|
|
2
|
0,45
|
|
Зимний головной убор, шт.
|
|
650
|
11,70
|
|
3
|
1,17
|
|
Итого
|
-
|
-
|
132,44
|
-
|
-
|
16,56
|
|
Младший начальствующий состав (бригадиры экипировки, ТО и
ТР)
|
|
Пальто из смесовой ткани
|
8
|
1920
|
15,36
|
50
|
3
|
2,56
|
|
Костюм из п/шерстяной ткани, компл.
|
|
3000
|
24,00
|
|
3
|
4,00
|
|
Сорочка мужская(блузка женская), шт.
|
|
400
|
3,20
|
|
2
|
0,80
|
|
Галстук, шт.
|
|
120
|
0,96
|
|
2
|
0,24
|
|
Летний головной убор, шт.
|
|
168
|
1,34
|
|
2
|
0,34
|
|
Зимний головной убор, шт.
|
|
650
|
5,20
|
|
2
|
1,30
|
|
Итого
|
-
|
-
|
50,06
|
-
|
-
|
9,24
|
|
Всего
|
-
|
-
|
182,51
|
-
|
-
|
25,80
|
Статья *760. Отчисления в резерв на выплату вознаграждения по итогам
работы за год.
В целях равномерного включения в издержки производства отчислений на
выплату вознаграждения по итогам работы за год в структурных подразделениях
создается специальный резерв предстоящих расходов и платежей - резерв на
выплату вознаграждения по итогам работы за год.
Годовые затраты на создание названного резерва могут быть определены по
формуле:
, (5. 8)
где
- годовой фонд оплаты труда производственного персонала (ст.
от 3101 до *778);
- процентная ставка для определения суммы отчислений в
резерв структурному подразделению, установленная вышестоящим звеном управления,
к затратам на оплату производственного персонала, %.
%.
При планировании затрат по ст. *760 помимо суммы отчислений на выплату
вознаграждения по итогам работы за год на плановый период рассчитываются
отчисления на социальные нужды. В формуле (5. 8) это учтено введением
коэффициента 1,31.
тыс. р.
Расходы по ст. *760 относятся на элемент «прочие расходы».
Статья *761. Охрана труда и производственная санитария.
По статье *761 планируются три группы затрат:
- на проведение мероприятий по улучшению условий и охраны
труда;
- на обеспечение производственного персонала спецодеждой,
спецобувью, защитными приспособлениями;
- на обеспечение производственного персонала спецмылом,
смывающими и обеззараживающими средствами, молоком или другими равноценными
пищевыми продуктами.
Финансирование мероприятий по улучшению условий и охраны труда в
организациях, занимающихся эксплуатационной деятельностью, должно
осуществляться в размере не менее 0,7 % от суммы расходов по обычным видам
деятельности.
Общая сумма рассматриваемой группы затрат рассчитывается по установленной
процентной ставке к расходам по обычным видам деятельности по формуле:
, (5. 9)
где
- общая сумма расходов по обычным видам деятельности в
плановом периоде. В связи с тем, что общая сумма затрат неизвестна, примем эту
величину равной 120 % суммы прямых расходов по локомотивной тяге и ТО-2.
тыс. р.
Примем
%.
тыс. р.
Из полученной суммы вычитаются затраты на оплату труда и отчисления на
социальные нужды, показанные по ст. *761. Расходы на оплату труда переносятся
из штатного расписания по соответствующей строке за минусом сумм «в том числе
по ст. *757». Учитываются отчисления на социальные нужды в размере 31%.
Оставшиеся расходы распределяются по элементам затрат примерно в
следующем соотношении: материалы - 40 %, топливо - 10 %, электроэнергия - 5 %,
прочие материальные затраты - 25 %, прочие затраты - 20 %.
тыс. р.
тыс. р.
тыс. р.
тыс. р.
тыс. р.
Помимо расходов на проведение мероприятий по улучшению условий и охраны
труда по ст. *761 учитываются затраты по обеспечению производственного
персонала спецодеждой, спецобувью и защитными приспособлениями.
Затраты по обеспечению производственного персонала спецодеждой,
спецобувью и защитными приспособлениями рассчитываются, исходя из
запланированной численности работников по профессиям, норм выдачи и примерных
цен, сложившихся на момент расчета.
Нормы выдачи спецодежды и спецобуви работникам депо приведены в таблице
5. 2.
Таблица 5. 2 - Расчет расходов по обеспечению производственного персонала
спецодеждой и спецобувью
|
Профессия
|
Списочная численность
|
Вид спецодежды, спецобуви
|
Цена, р.
|
Стоимость, тыс. р.
|
Срок носки, мес.
|
Расходы в год, тыс. р.
|
|
Экипировщики, рабочие и бригадиры на ТО и ТР локомотивов
|
167
|
костюм лавсановый
|
1200
|
200,4
|
12
|
200,4
|
|
|
сапоги юфтевые
|
1600
|
267,2
|
12
|
267,2
|
|
|
теплозащитный костюм
|
3200
|
534,4
|
24
|
267,2
|
|
|
валенки
|
500
|
83,5
|
18
|
55,67
|
|
|
галоши на валенки
|
240
|
40,08
|
24
|
20,04
|
|
Остальные рабочие
|
127
|
костюм х/б
|
840
|
106,68
|
12
|
106,68
|
|
|
ботинки кожаные
|
760
|
96,52
|
12
|
96,52
|
|
|
рукавицы комбинированные
|
100
|
12,7
|
1
|
152,4
|
|
Итого
|
-
|
-
|
-
|
-
|
-
|
1166,11
|
Затраты, рассчитанные по таблице 5. 3, включаются в план расходов по
элементу «материалы».
Обеспечение производственного персонала спецодеждой и обувью предполагает
ее хранение, периодическую стирку и ремонт. Затраты на эти цели планируются по
элементу «прочие материальные» в размере 5 % от стоимости выданной спецодежды и
спецобуви (1166,11*0,05=58,3 тыс. р.).
К материальным затратам относятся также расходы на приобретение спецмыла,
смывающих и обезвреживающих средств. Затраты на обеспечение работников
спецмылом рассчитываются, исходя из норм выдачи, численности работников
производственного персонала и цены 1 кг мыла.
Нормы бесплатной выдачи мыла: рабочим экипировки, ТО, ТР и
общепроизводственным - 2,4 кг, общехозяйственным - 0,6 кг на 1 человека в год.
Цена 1 кг мыла - 50 р.
тыс. р.
Работникам, занятым на работах с вредными условиями труда бесплатно
должно выдаваться молоко. Эти расходы планируются по элементы «материалы»,
исходя из установленной нормы выдачи молока - 0,5 л на 1 чел., цены за 1 литр
молока - 30 р, явочной численности работников, имеющих право на получение
спецпитания. Численность работников, получающих молоко, определяется по
штатному расписанию.
тыс. р.
Статья *762. Командировки и подъемные работников, не относящихся к
аппарату управления.
Затраты по оплате командировочных расходов и подъемных производственному
персоналу отражаются в бюджете затрат на ст. *762 по элементу «прочие затраты».
Затраты на оплату командировочных расходов и подъемных производственному
персоналу на плановый период определяются на основе анализа данных о расходах
по оплате командировок и подъемных в отчетном периоде. В курсовом проекте
расходы по ст. *762 примем в размере 1% от «итого ФОТ по прямым специфическим и
общепроизводственным расходам» за вычетом «в том числе по статье *757».
тыс. р.
Статья *765. Содержание и эксплуатация оборудования, кроме оборудования и
объектов природоохранного назначения.
По ст. *765 планируются расходы, связанные с содержанием и эксплуатацией
механизмов, в том числе грузоподъемных кранов на железнодорожном ходу,
оборудования и инструментов.
Кроме затрат на оплату труда и отчисления на социальные нужды на
рассматриваемую статью относятся расходы и по другим элементам затрат.
Материальные затраты на смазывание и содержание в чистоте оборудования,
запасные части и вспомогательные материалы для ремонта оборудования определяют
на основе анализа отчетных данных за предплановый отчетный период с учетом прогнозируемого
на плановый период индекса-дефлятора на материалы и изменения потребности в них
в плановом периоде, а также намечаемых изменений в составе эксплуатируемого
оборудования. В курсовом проекте примем эти затраты в размере 5 % от балансовой
стоимости оборудования (таблица 1. 2).
тыс. р.
Расходы на топливо и электроэнергию рассчитываются по норме
соответствующих затрат на один приведенный ремонт: 1, 5 кг условного топлива и
350 кВт-ч электроэнергии. Цены на топливо и электроэнергию приведены в таблице
1. 2.
тыс. р.
тыс. р.
Кроме того, по ст. *765 следует предусмотреть прочие материальные затраты
по оплате счетов за ремонт оборудования и прочие расходы на оплату сбора за
котлонадзор, соответственно 3 и 1 % от стоимости оборудования.
тыс. р.
тыс. р.
Статья *766. Содержание и эксплуатация объектов природоохранного
назначения.
По ст. *766 кроме затрат на оплату труда работников, занятых
эксплуатацией, обслуживанием и текущим ремонтов очистных сооружений,
оборудования и объектов природоохранного назначения, и отчислений на социальные
нужды, планируются материальные затраты, включающие расходы на материалы для
эксплуатации, обслуживания и текущего ремонта перечисленных объектов,
обеспечение их электроэнергией, оплату счетов сторонним организациям за ремонт
очистных сооружений, оборудования и объектов природоохранного назначения, а также
затраты по оплате услуг сторонних организаций за прием, хранение и уничтожение
экологически опасных отходов, очистку сточных вод и другие текущие
природоохранные работы.
В курсовом проекте примем величину этих затрат в размере: материалы - 60
тыс. р., топливо - 15 тыс. р., электроэнергия - 125 тыс. р., прочие
материальные затраты - 211 тыс. р.
Статья *768. Обслуживание и текущий ремонт зданий, сооружений и инвентаря
производственного назначения.
Помимо затрат на оплату труда работников, рассчитанных в плане по труду,
и соответствующих им отчислений на социальные нужды, ст. *768 включает затраты
на материалы для освещения, уборки и текущего ремонта зданий, сооружений и
инвентаря производственного назначения, а также затраты на топливо и
электроэнергию для отопления и освещения производственных помещений, затраты по
оплате счетов за их ремонт, снабжение тепловой энергией, обеспечение горячим
водоснабжением, дезинфекцию, дезинсекцию, дератизацию.
В курсовом проекте эти затраты принимаются в размере 3 % от балансовой
стоимости зданий (таблица 1. 2) с последующим распределением на материалы - 30
%, топливо - 20%, электроэнергию - 20 %, прочие материальные - 10 % и прочие
расходы - 10 %.
тыс. р.
тыс. р.
тыс. р.
тыс. р.
тыс. р.
тыс. р.
Статья *771. Амортизация основных средств производственного назначения.
Согласно действующей Номенклатуре на ст. *771 отражается сумма
амортизации основных средств, непосредственно участвующих в процессе
производства, кроме амортизационных отчислений, учитываемых по статьям основных
прямых и общехозяйственных расходов.
Расходы по данной статье планируются, исходя из балансовой стоимости
основных групп производственных фондов (таблица 1. 2) и установленных норм
амортизационных отчислений (таблица 5. 3). Расчет величины амортизационных
отчислений выполним в таблице 5. 3.
Таблица 5. 3 - Расчет затрат на амортизацию производственных основных
фондов
|
Основные средства
|
Балансовая стоимость основных средств, тыс. р.
|
Годовая норма амортизации, %
|
Сумма амортизационных отчислений, тыс. р.
|
|
Здания
|
586000
|
1,7
|
9962
|
|
Сооружения
|
645000
|
3,6
|
23220
|
|
Оборудование
|
381000
|
7,4
|
28194
|
|
Транспортные средства
|
8300
|
11,6
|
962,8
|
|
Прочие
|
-
|
5
|
-
|
|
Итого
|
-
|
-
|
62338,8
|
Сумма амортизационных отчислений = Балансовая стоимость * Годовая норма
амортизации / 100
Расходы учитываются по элементу затрат «амортизация».
Статья *775. Исследовательские и испытательные работы.
Кроме затрат на оплату труда и отчислений на социальные нужды, по
рассматриваемой статье планируются материальные затраты, к которым относятся
расходы на материалы, топливо, электроэнергию, используемые при проведении
исследовательских и испытательных работ. Величина этих затрат принимается в
размере 60 % от ФОТ по ст.*775 и распределяется по элементам след образом:
материалы - 40 %, топливо - 20 %, электроэнергия - 30 %, прочие материальные -
10 %.
тыс. р.
тыс. р.
тыс. р.
тыс. р.
тыс. р.
Статья *776. Эксплуатация автомобилей.
Статья *777. Техническое обслуживание и текущий ремонт автомобилей и
автомобильных прицепов.
На данные статьи, кроме затрат на оплату труда водителей, включенных в
план расходов из плана по труду и связанных с ними отчислений на социальные
нужды, относятся также затраты на топливо, смазочные, обтирочные и другие
материалы, запасные части, расходуемые при эксплуатации, техническом
обслуживании и ремонте автомобилей.
В курсовом проекте названные затраты примем в размере 20 % балансовой
стоимости автомобилей. С последующим распределением на топливо - 40%, материалы
- 30% и прочие материальные - 20%.
тыс. р.
тыс. р.
тыс. р.
тыс. р.
5.3 Общехозяйственные расходы
В состав общехозяйственных расходов входит большое число статей,
разделенных на две группы: затраты без расходов по содержанию аппарата управления
и расходы по содержанию аппарата управления.
Большая часть статей общехозяйственных расходов повторяет содержание, а
значит и подход к планированию расходов, общих для мест возникновения затрат и
видов работ, с той разницей, что по аналогичным статьям предусматриваются
расходы на общехозяйственные нужды.
Расходы на оплату труда переносятся из штатного расписания по
соответствующей статье. Учитываются отчисления на социальные нужды в размере
31%.
Кроме того, к расходам на оплату труда по статьям общехозяйственных
затрат без расходов по содержанию аппарата управления необходимо добавить
затраты на предоставление рассчитанной скидки со стоимости форменной одежды
работников, чья заработная плата показана по ст. *785 (мастера, старшие
мастера, начальник пункта экипировки).
Расходы по остальным элементам затрат в работе могут быть взяты по
статьям общехозяйственных затрат без расходов по содержанию аппарата управления
в размере 80 %, а по статьям расходов по содержанию аппарата управления - 20 %
от затрат на оплату труда по этим статьям. Из полученных сумм около 30 %
следует отнести на материалы, остальные 70 % распределить на другие элементы
затрат, кроме амортизации.
тыс. р.
тыс. р.
тыс. р.
тыс. р.
тыс. р.
тыс. р.
тыс. р.
тыс. р.
тыс. р.
тыс. р.
тыс. р.
тыс. р.
План расходов по обычным видам деятельности представим в таблице 5. 4.
Таблица 5. 4 - План расходов по обычным видам деятельности
|
Номер статьи
|
Наименование статьи и группы расходы
|
Затраты на оплату труда
|
Отчисления на соц. нужды
|
Материальные затраты
|
Аморти-зация
|
Прочие затраты
|
Всего расходов
|
|
|
|
|
Материалы
|
Топливо
|
Электро-энергия
|
Прочие
|
|
|
|
|
Прямые специфические
|
|
|
|
|
|
|
|
|
|
|
3113
|
Экипировка электровозов, работающих в пассажирском движении
|
8052,83
|
2496,38
|
108,6
|
287,78
|
108,33
|
|
|
|
11053,92
|
|
3316
|
Экипировка маневровых тепловозов
|
783,18
|
242,79
|
6,93
|
21
|
7,91
|
|
|
|
1061,81
|
|
6105
|
Техническое обслуживание электровозов, работающих в
пассажирском движении
|
12122,42
|
3757,95
|
3765,55
|
|
|
|
|
|
19645,92
|
|
6309
|
Техническое обслуживание маневровых тепловозов
|
2213,46
|
686,17
|
865
|
|
|
|
|
|
3764,63
|
|
6106
|
Текущий ремонт (ТР-3,2,1) электровозов, работающих в
пассажирском движении
|
20844,78
|
6461,88
|
13602
|
|
|
|
|
|
40908,66
|
|
6310
|
Текущий ремонт (ТР-3,2,1) маневровых тепловозов
|
1307,24
|
405,24
|
765
|
|
|
|
|
|
2477,48
|
|
6107
|
|
|
|
|
|
74340
|
|
|
74340,00
|
|
6311
|
Капитальный ремонт маневровых тепловозов
|
|
|
|
|
|
12000
|
|
|
12000,00
|
|
Итого прямых производственных расходов
|
|
|
|
|
|
|
|
|
165252,42
|
|
Общепроизводственные
|
|
|
|
|
|
|
|
|
|
|
*757
|
Затраты по оплате труда производственного персонала за
непроработанное время
|
9056,80
|
2807,60
|
|
|
|
|
|
|
11864,40
|
|
*758
|
Скидка со стоимости форменной одежды, выданной
производственному персоналу
|
9,24
|
|
|
|
|
|
|
|
9,24
|
|
*760
|
Отчисления в резерв на выплату вознаграждения по итогам
работы за год
|
|
|
|
|
|
|
|
7698,96
|
7698,96
|
|
*761
|
Охрана труда и производственная санитария
|
3284,06
|
1018,06
|
3725,82
|
561,29
|
280,65
|
1461,56
|
|
1122,61
|
11454,05
|
|
*762
|
Командировки и подъемные работников, не относящихся к
аппарату управления
|
|
|
|
|
|
|
|
737,19
|
737,19
|
|
*765
|
Содержание и эксплуатация оборудования, кроме оборудования
и объектов природопользования
|
14683,91
|
4552,01
|
19050
|
8,76
|
205,08
|
11430
|
|
3810
|
53739,76
|
|
*766
|
Содержание и эксплуатация объектов природопользования
|
850,50
|
263,66
|
60
|
15
|
125
|
211
|
|
|
1525,16
|
|
*768
|
Обслуживание и текущий ремонт зданий, сооружений и
инвентаря производственного назначения
|
2281,14
|
707,15
|
5274
|
3516
|
3516
|
1758
|
|
1758
|
18810,29
|
|
*770
|
Капитальный ремонт основных средств производственного
назначения
|
1566,00
|
485,46
|
|
|
|
|
|
|
2051,46
|
|
*771
|
Амортизация основных средств производственного назначения
|
|
|
|
|
|
|
62338,8
|
|
62338,80
|
|
*775
|
Исследовательские и испытательные работы
|
3910,34
|
1212,21
|
938,48
|
469,24
|
703,86
|
234,62
|
|
|
7468,75
|
|
*776-*777
|
Эксплуатация, техническое обслуживание и текущий ремонт
автомобилей и автомобильных прицепов
|
1819,13
|
563,93
|
498
|
664
|
|
332
|
|
|
3877,06
|
|
Общехозяйственные
|
|
|
|
|
|
|
|
|
|
|
*785
|
Затраты без расходов по содержанию аппарата управления
|
16989,03
|
5261,47
|
4073,38
|
2715,60
|
2715,60
|
1357,80
|
|
2715,60
|
35828,48
|
|
*830
|
Расходы по содержанию аппарата управления
|
7661,25
|
2374,99
|
459,68
|
306,45
|
306,45
|
153,22
|
|
306,45
|
11568,49
|
|
Итого
|
107435,31
|
33296,95
|
53247,26
|
8714,32
|
8025,22
|
103281,98
|
62338,80
|
18151,83
|
394224,51
|
6. Калькуляция технических обслуживаний и текущих ремонтов
локомотивов
По данным производственной программы и плана расходов по обычным видам
деятельности рассчитаем себестоимость одного приведенного ремонта. Как видно из
таблицы 2. 7, существующая методика расчета числа приведенных ремонтов не
учитывает объем работы, выполняемый локомотивным депо по экипировке и
капитальным видам ремонта. Поэтому при расчете себестоимости приведенного
ремонта из общих расходов депо, отнесенных на железнодорожные перевозки,
выделим затраты на экипировку и капитальный ремонт. Оставшуюся сумму затрат
разделим на число приведенных ремонтов.
Расчеты представим в таблице 6. 1.
Таблица 6. 1 - Расчет себестоимости 1 приведенного ремонта и удельных
затрат на экипировку локомотивов
|
Вид работы
|
Прямые расходы, тыс. р.
|
Общепроиз-водственные и общехозяйствен-ные расходы, тыс. р.
|
Всего расходов, тыс. р.
|
Измеритель
|
Уд. затраты. С/с, р.
|
|
Всего
|
В т.ч. ФОТ
|
Всего
|
В том числе ФОТ
|
Всего
|
В том числе ФОТ
|
Наиме-нование
|
Вели-чина
|
|
|
Экипи-ровка
|
12115,72
|
8836,01
|
44638,68
|
12108,77
|
56754,40
|
20944,78
|
1000 лок-км
|
14565,2
|
3897
|
|
ТО
|
23410,55
|
14335,88
|
72423,50
|
19645,74
|
95834,05
|
33981,62
|
1 прив. ремонт
|
372,32
|
257397
|
|
ТР
|
43386,15
|
22152,02
|
111909,91
|
30356,89
|
155296,06
|
52508,91
|
1 прив. ремонт
|
729,06
|
213009
|
|
КР
|
86340
|
-
|
-
|
-
|
86340,00
|
|
|
|
|
|
Итого
|
165252,42
|
45323,91
|
228972,09
|
62111,40
|
394224,51
|
107435,31
|
-
|
-
|
-
|
Заключение
Курсовой проект выполнялся по ремонтному локомотивному депо,
осуществляющему экипировку, текущий ремонт и техническое обслуживание
электровозов ЧС-4, работающих в пассажирском движении, и тепловозов ТЭМ-2,
работающих на маневрах.
Эксплуатируемый парк локомотивов серии ЧС-4 на всех участках составил 41
локомотив, а серии ТЭМ-2 - 23 локомотивов.
Рассчитана программа ремонтов, экипировки и технического обслуживания для
каждой серии локомотива, а также число приведенных ремонтов, которое составило
для пассажирского движения 994,4 приведенных ремонтов, для маневровой работы
106,98 приведенных ремонтов.
Получены следующие технико-экономические показатели:
- общее время простоя в ремонте ЧС-4 - 8523 лок-ч, ТЭМ-2 - 4094
лок-ч;
- среднее время простоя в приведенном ремонте ЧС-4 - 12,26 ч,
ТЭМ-2 - 45,39 ч;
- средний остаток неисправных локомотивов ЧС-4 - 1,3 лок.,
ТЭМ-2 - 2,31 лок.
Составлено штатное расписание для всех 347 работников депо. Наибольшее
число работников, относящихся к статьям прямых расходов, занято на текущем
ремонте локомотивов серии ЧС-4 (82 чел.). Производительность труда работников
составляет 3,17 приведенных ремонтов/ чел. Средняя заработная плата
запланирована в размере 25 795 рублей.
Составлен план расходов на сумму 394224,51 тыс. рублей. Прямые расходы в
структуре затрат составляют 41,92 %, общепроизводственные и общехозяйственные -
58,08 %.
Себестоимость экипировки на 1000 лок-км составляет 3897 р., 1
приведенного ТО - 257 397 р. Себестоимость 1 приведенного ТР - 213 009 р.
Список использованной литературы
1. Постановление
правительства РФ от 18 мая 2001 г. N 384 «О программе структурной реформы на
железнодорожном транспорте».
. Номенклатура
доходов и расходов по видам деятельности ОАО «РЖД»
. Положение
о корпоративной системе оплаты труда работников филиалов и структурных
подразделений открытого акционерного общества "Российские железные
дороги"
. Полосаткин
В. Б., Лунина Т. А., Волкова О. Ю., Никитина Е. Ю. План экономического и
социального развития ремонтного локомотивного депо: Задание и метод. указ. по
выполнению курсового проекта по дисциплине «Планирование на предприятиях
транспорта» - Новосибирск: Изд-во СГУПС, - 2005.