Основные виды тепловыделения
Министерство
образования и науки Российской Федерации
Федеральное
государственное бюджетное образовательное учреждение
Высшего
профессионального образования
«Воронежская
государственная лесотехническая академия»
Кафедра
автомобилей и сервиса
Дисциплина
«Конструкция и основы расчеты автомобильных двигателей»
РЕФЕРАТИВНАЯ
РАБОТА
«Основные
виды тепловыделения»
Студент
АХ2-121-ОБ А.С.Костенко
Руководитель
Канд.
техн. наук, доцент А.И.Новиков
Воронеж 2014
ВВЕДЕНИЕ
Сгорание является сложным физико-химическим
процессом. На большую часть показателей двигателя влияют, однако, не
физико-химические особенности процесса сгорания, а закономерности тепло
выделения и вызываемого им изменения давления и температуры в цилиндре. Ими
определяются энергетические, экономические и экологические показатели цикла,
статические и динамические нагрузки на детали и т. п. Благоприятные показатели
работы двигателя обеспечиваются на номинальном режиме при тепловыделении,
начинающемся за 5...15° до ВМТ, вызывающем равномерное повышение давления в
интервале углов поворота коленчатого вала 15...30° и в основном завершающемся
за 45...50°.
В двигателях внутреннего сгорания наблюдается
два основных вида тепловыделения:
Однократное тепловыделение;
Двукратное тепловыделение.
1. Однократное
тепловыделение
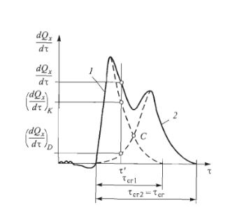
Наиболее общий случай однократного
тепловыделения в дизеле, когда скорость тепловыделения имеет два ярко
выраженных максимума, показан на рис.1.1. Первый максимум обусловлен быстрым
сгоранием паров топлива, которые образовываются в момент задержки
воспламенения. Предпламенные реакции, протекающие в период задержки
воспламенения, готовят смесь к тепловому взрыву[1].

- кинетическая фаза; 2- диффузионная фаза
При тепловом взрыве весь объем КС быстро
охватывается пламенем, скорость тепловыделения за короткий промежуток времени
стремительно увеличивается и, достигая определенного максимума, также быстро уменьшается.
В гетерогенной топливовоздушной смеси в локальных зонах, где имеется избыток
паров топлива, полностью расходуется окислитель, что приводит к резкому
снижению скорости тепловыделения после достижения первого максимума. В этот
промежуток времени преобладает кинетический механизм горения, поэтому первую
фазу процесса сгорания называют кинетической фазой или кинетическим периодом.
Кинетическая фаза характеризуется образование в КС локальных зон, внутри
которых сосредоточены продукты сгорания, несгоревшие пары и капли топлива,
снаружи- зоны с воздухом или смесью воздуха с продуктами сгорания. Скорость
тепловыделения зависит от интенсивности взаимного проникания этих зон, т.е. от
турбулентной диффузии. Доминирующим оказывается диффузионный механизм горения,
поэтому вторую фазу процесса сгорания называют диффузионной. В диффузионной
фазе решающую роль играют физические процессы, а в кинетической- химические, и,
как видно на рис.1.1, в дизеле больше времени занимает диффузионный механизм
горения[3].
В дизелях отличают три механизма диффузного
горения:
капельный;
паров топлива в сплошном фронте пламени и
смешанного горения;
представляющий собой комбинацию их двух.
При капельном механизме диффузионного горения
вокруг каждой капли образуется фронт пламени, внутри которой пары топлива, а
снаружи- воздух. В случае диффузионного механизма горения паров топлива в
сплошном фронте считается, что воздух израсходован, поэтому расстояние между
каплями заполняется продуктами сгорания и парами топлива. В результате протекающих
процессов испарения и термического разложения капель образуется граница раздела
между парами топлива в смеси и продуктами сгорания и разложения, которая и
составляет единый фронт пламени[2].
Смешанный механизм диффузионного горения имеет
место в реальных условиях, особенно при объемном смесеобразовании. Капли
топлива находятся на достаточно близком расстоянии, поэтому фронты пламени,
образующиеся вокруг капель, объединяются.
Скорость тепловыделения при кинетическом
механизме горения в каждой локальной зоне зависит от локальных значений
коэффициента избытка воздуха, температуры в текущий момент времени и массы
паров топлива в этой зоне. Скорость тепловыделения в случае диффузионного
механизма горения определяется в основном, турбулентной диффузией воздуха через
поверхность раздела паров топлива и кислорода.
2 Двукратное
тепловыделение
Воспламенение в современных двигателях
характеризуется особенностями, которые, безусловно, отражаются и на скорости
тепловыделения. К этим особенностям, в часности, относится двукратное за цикл
тепловыделение. Такой вид тепловыделения представлен на рис. 2.1
Рис.2.1 - Зависимость скорости двухкратного
тепловыделения от времени
При этом прослеживается относительно небольшое,
однако ярко выраженное предварительное тепловыделение со своим локальным
максимумом скорости, уменьшающейся в конце почти до нулевого значения, после
чего почти сразу наступает основное тепловыделение без четких признаков деления
на кинетическую и диффузионную фазы. Двукратное тепловыделение особенно заметно
при повышенных нагрузках и частоте вращения коленчатого вала[2].
Топливоподающая аппаратура современных дизелей
позволяет осуществить не только двухкратное, но и многократное за цикл
впрыскивание топлива, однако многократное за цикл тепловыделение не наблюдается
и вряд ли существует необходимость в его реализации
ЗАКЛЮЧЕНИЕ
тепловыделение время двигатель
сгорание
Изучение параметров и закономерностей
тепловыделения играет большую роль в совершенствовании современных ДВС.
Нахождение оптимальных параметров тепловыделения позволяет уменьшить
статистические и динамические нагрузки на детали, повысить энергетические,
экономические и экологические показатели цикла, тем самым повысив КПД
двигателя.
Список использованных
источников
Алексеев
В.П., Вырубов Д.Н. Физические основы процессов в камерах сгорания поршневых
двигателей внутреннего сгорания. М.: МВТУ им. Н.Э. Баумана. 1977.
Вырубов
Д.Н., Добров Н.В. Уравнение скорости тепловыделения при диффузионном горении с
учетом мелкости распыливания топлива // Двигателестроение, №5. 1980. С. 12-14.