Возбуждение синхронных генераторов
Контрольная
работа
Вариант №9
Возбуждение
синхронных генераторов
Содержание
1. Системы возбуждения синхронных
генераторов
. Системы автоматического
регулирования возбуждения синхронных генераторов
Литература
. Системы возбуждения синхронных генераторов
Система возбуждения и регулирования синхронных
машин - это машины и аппараты, создающие ток возбуждения и необходимый поток
для преобразования энергии и управления ими. Система возбуждения синхронных
машин состоит из обмотки ротора генератора или двигателя, источника напряжения
постоянного тока, подводимого к обмотке ротора и коммутационной аппаратуры.
Влияние системы возбуждения на характер
переходного процесса весьма существенно. Поэтому возбудители генераторов должны
обеспечивать:
необходимую мощность возбуждения как в
нормальных эксплуатационных, так и в аварийных режимах;
изменение тока ротора генератора по заданному
закону при автоматическом или ручном регулировании возбуждения;
возможно более высокий потолок возбуждения;
максимально возможную скорость нарастания тока
ротора, что особенно важно для крупных генераторов.
Однако при быстром изменении параметров режима
(например, посадка U при к.з.)
действие системы возбуждения неизбежно запаздывает, поскольку обмотки
возбуждения и возбудителя, и генератора обладают самоиндукцией -
электромагнитной инерцией, благодаря которой ток в этих обмотках изменяется по
экспоненциальному закону (рис.1).
Системы возбуждения подразделяются
по конструктивному исполнению:
1) электромашинные
(для агрегатов номинальной мощностью N=5¸100
МВт ):
2) статические
тиристорные системы (для агрегатов номинальной мощностью N=200¸500МВт
и более ):
и по виду возбудителя;
1) с
самовозбуждением:
2) с
независимым возбуждением.
i
i=i0(1-e-t/T)
i0
t
Рис. 1. Изменение
тока возбуждения синхронного генератора (T=L/R
- индуктивность и активное сопротивление обмотки характеризует инерционность
данной обмотки)
Кратко рассмотрим эти системы возбуждения.
Возбудитель с самовозбуждением
iвв
iвр
ОВВ ОВГ
Р
Рис. 2. Возбудитель с самовозбуждением
Из названия видно, что генератор возбуждает сам
себя, т.е. возбудитель (генератор постоянного тока) находится на одном валу с
генератором (ротором). Изменение напряжения возбудителя и синхронного
генератора осуществляется регулятором Р ( здесь: СГ - синхронный генератор, В -
возбудитель синхронного генератора, ОВВ - обмотка возбуждения возбудителя, ОВГ
- обмотка возбуждения генератора, iвв,
iвр - токи
возбуждения возбудителя и синхронного генератора.)
Возбудитель с независимым возбуждением
ОВП ОВВ ОВГ
Рис. 3. Возбудитель с независимым возбуждением
В этой схеме возбуждения устанавливается
дополнительный генератор постоянного тока (ПВ - подвозбудитель), который
сначала возбуждает возбудитель (В) и возбудитель в свою очередь возбуждает
обмотку ротора генератора. При этой схеме возбуждения ПВ и В сидят на одном
валу с генератором, но ПВ может питаться и от постороннего источника. Изменение
напряжения генератора осуществляется регулятором Р.
В обеих рассмотренных электромашинных системах
возбуждения электромагнитная инерционность существенна и поэтому она
применяется в относительно маломощных генераторах.
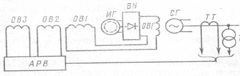
Статические тиристорные системы возбуждения.
Рассмотрим упрощенную схему возбуждения на
основе статических тиристорных систем.
Основой систем возбуждения генераторов мощностью
200 мВт и более в настоящее время являются машины переменного тока с
неуправляемыми выпрямителями, (или управляемыми выпрямителями), к которым
относятся высокочастотная, бесщеточная и тиристорная.
Высокочастотная система (рис. 4) содержит в
качестве возбудителя высокочастотный (500 Гц) индукторный генератор (ИГ),
расположенный на валу синхронного генератора и питающий его обмотку возбуждения
(ОВГ) через неуправляемый выпрямитель(ВН). Две из трех обмоток возбуждения ИГ
подключаются к системе автоматического регулирования возбуждения (АРВ),
регулирующий ток возбуждения по заданному закону и обеспечивающий его
форсировку. Постоянное времени высокочастотной системы возбуждения составляет 0,3¸0,4с.
Рис.4. Высокочастотная система возбуждения
Наличие контактных колец на роторе СГ
ограничивает значение тока возбуждения, поэтому при мощностях генератора 300
МВТ и более применяют бесщеточную систему возбуждения, не содержащую
вращающихся контактов (рис.4).
В качестве возбудителя используется обращенный
синхронный генератор (Г), расположенный на одном валу с основным генератором.
Здесь АРВ воздействует на систему управления тиристоров преобразователя ВУ,
получающий питание от высокочастотного индуктарного генератора (ИП).
Эквивалентная постоянная времени составляет 0,1¸0,15с.
Рис.5. Бесщеточная система возбуждения
Тиристорная система возбуждения (рис.6)
применяется в мощных гидрогенераторах и турбогенераторах мощностью 300 МВт и
более. Отличие тиристорной системы от рассмотренных выше- отсутствие
вращающейся машины в контуре управления током возбуждения основного генератора.
Время действия составляет 0,02¸0,04сек.
Рис. 6. Тиристорная система возбуждения
Изменение величины выпрямленного напряжения, как
известно, можно осуществить, регулируя моменты зажигания вентилей (рис.7).
Рис. 7 Изменение величины выпрямленного
напряжения
На сетку вентилей подается запирающее
отрицательное напряжение определенной величины. В нужный момент на это
напряжение накладывается отпирающий лампу положительный импульс. Этот
положительный импульс создается специальным пик-генератором.
Из этих диаграмм видно, что чем больше время
открытия вентилей, тем больше выпрямленное значение напряжения. Постоянная
времени у таких систем намного меньше, чем у электромашинных систем
возбуждения.
номинальным напряжением возбуждения, обычно его
величина колеблется UНВ=200-400
в;
номинальным током возбуждения (iвн);
номинальным током возбуждения возбудителя (iввн);
постоянной времени при холостом ходе Тdо;
постоянная времени обмотки возбудителя (Тe);
Мощность системы возбуждения составляет
(0,2-0,8)% от общей мощности агрегата.
Длительное увеличение тока и напряжения приводит
к перегреву соответствующей обмотки, порчи ее изоляции, снижает надежность этой
обмотки с вероятностью возникновения аварии. Поэтому схемы возбуждения
характеризуются потолочными значениями тока и напряжения возбудителя -
кратковременно, на заданное время увеличиваются их значения.
Численно потолок по напряжению определяют, как
отношение потолочного напряжения Uпв
к номинальному напряжению возбудителя Uнв.
Это отношение для:
турбогенераторов ³2
гидрогенераторов (1,8¸4)
Наличие потолка по напряжению определяется
невозможностью увеличения напряжения сверх определенных значений, которые
зависят от мощности подвозбудителя и его насыщения. Кроме того, чрезмерное
повышение напряжения может привести к нарушению работы коллектора.
Потолок по току зависит от длительно допустимого
нагрева обмоток возбудителя и подвозбудителя. Кроме перечисленных характеристик
возбудитель еще характеризуется скоростью подъема напряжения (рис.8).
Для устойчивости синхронного генератора при
возмущениях, система возбуждения должна обеспечить высокую скорость подъема
напряжения.
Скорость нарастания напряжения возбуждения
зависит от кратности возбуждения возбудителя.
Рис.8. К скорости подъема напряжения возбудителя
Средняя скорость подъема Uв
определяется как тангенс угла наклона прямой 0b,
ограничивающая для промежутка времени 0,5 сек, ту же площадь 0ab,
что и действительная кривая нарастания напряжения
(1)
синхронный генератор возбуждение
обмотка
Системы возбуждения должны также позволять осуществлять
быстрое развозбуждение и в случае необходимости производить гашение поля при
аварийных режимах. Система возбуждения обеспечивает применение любых
регуляторов, которые должны быть надежными в эксплуатации, сочетающиеся с
простотой обслуживания и возможностью полной автоматизации. Эти требования
весьма существенны для станций с крупными генераторами, работающих на дальнюю
линию передачи.
. Системы автоматического регулирования
возбуждения синхронных генераторов
Автоматические регуляторы возбуждения (АРВ)
должны поддерживать величину напряжения генератора по возможности неизменной
независимо от колебаний нагрузки и обеспечить устойчивую работу в электрической
системе при различных возмущениях в ней и подавлять качание как отдельных
генераторов, так и системы в целом.
Рассмотрим структурную схему работы АРВ (рис.9).
Допустим, по какой-либо причине уменьшилось
напряжение генератора UГ
, тогда это изменение передается в преобразовательный элемент (ПЭ). Поданное
напряжение преобразуется в постоянное и передается в измерительный элемент
(ИЭ), где происходит сравнение реального значения напряжения с эталонным U0.
или номинальным напряжением и определяется разность DU=UГ
-U0 . В зависимости
от знака и величины DU
вырабатывается сигнал, который отрабатывается в усилительном элементе (УЭ) и
далее воздействие оказывается на исполнительный элемент (ИсЭ). В результате
регулирования тока возбуждения напряжение генератора изменяется до тех пор,
пока не выполнится условие DU=0,
т.е. значение напряжение генератора будет равным номинальному (эталонному), или
же вернется к первоначальному значению. Отметим, что независимо от типа и
системы регулирования усилительным элементом является подвозбудитель, а
исполнительным - возбудитель.
CГ Uг
линия
Uв
Uвв
Uo
DU
Рис.9. Структурная схема автоматического
регулирования возбуждения синхронного генератора
Если измерительный элемент реагирует на любое
сколь угодно малое отклонение UГ,
т.е не обладает нечувствительностью, то система АРВ носит название системы без
зоны нечувствительности.
Если измерительный элемент содержит механические
устройства и в силу инерционности не может реагировать на некоторые малые
изменения Uг, то система АРВ
носит название системы с зоной нечувствительности.
Необходимо подчеркнуть, что регуляторы, имеющие
механические движущиеся части, обязательно обладают зоной нечувствительности.
Автоматические регуляторы возбуждения,
реагирующие на знак и величину отклонения регулируемого параметра режима,
называются регуляторами пропорционального типа (АРВ-П).
На современных крупных генераторах
электростанций, связанных с энергосистемой длинными линиями электропередачи,
применяются более сложные АРВ, так называемые регуляторы сильного действия
(АРВ-С). Эти АРВ регулируют ток и напряжение возбуждения генератора по сложному
закону, реагируя не только на знак и величину изменения UГ
и I и других
параметров режима, но также на скорость их изменения.
Есть еще устройство, действующее на отклонение
тока статора. Это устройство носит название - устройство компоундирования
возбуждения. Принцип компоундирования состоит в том, что осуществляется
дополнительная подпитка обмотки возбуждения возбудителя и суммарный ток состоит
из тока компаундирования и тока возбудителя обмотки возбуждения.
Вопросы влияния АРВ и их типов на режим и
устойчивость электрической системы будут рассмотрены более подробно по ходу
изложения материала курса.
Синхронные генераторы в современных электрических
станциях снабжаются различными типами автоматических регуляторов возбуждения
(АРВ), позволяющими реагировать на изменения параметров режима, подавлять
колебания, поддерживать постоянным или регулировать по заданному закону
выбранный параметр режима.
Автоматические регуляторы возбуждения позволяют
выбрать требуемый закон управления режимом возбуждения и соответственно режимом
электрической системы, обеспечивающий устойчивую ее работу. В некоторых случаях
АРВ в расчетах представляются разными Э.Д.С., которые можно считать постоянными
за некоторым сопротивлением
Ранее мы в общих чертах рассматривали системы
АРВ, однако их особенности и влияния на режим электрической системы требуют
более строгого описания.
Рассмотрим их и опишем математически, максимально
упрощая выкладки, но не в ущерб выявлению физики процессов.
а) Регулирование возбуждения пропорционального
типа (Е1q=пост).
Автоматические регуляторы возбуждения
относящиеся к этой категории, реагируют на отклонение параметров режима,
поэтому и называются «пропорционального типа» (рис.9). Физически это означает
компенсацию реактивного сопротивления генератора, за которым Э.Д.С. можно
считать постоянным. В данном случае это переходная Э.Д.С. за переходным
сопротивлением.
Каждый элемент в структурной схеме АРВ имеет
собственное постоянное времени и коэффициент усиления, которые характеризуют
динамические свойства регулятора.
При переходных режимах э.д.с можно представить
состоящим из двух составляющих:
DEq=DEqсв+DEqe
, (2)
где DEqсв
=Tdc×pDE'q
-э.д.с от свободных токов, DEqe
- э.д.с., приложенная к обмотке возбуждения возбудителя.
Можем написать
DEqe=Eqo-Eqe=-DUв=КвDiвв
, (3)
что отражает изменения тока возбуждения
генератора в связи с изменением приложенной э.д.с. к обмотке возбуждения
возбудителя и тока iвв в этой
обмотке.
Изменения iвв
и э.д.с. происходят в соответствии с соотношением:
,
где Re
и Le - параметры
обмотки возбуждения (исполнительный элемент)
Отсюда:
(4)
где
-
эквивалентная постоянная времени обмотки возбуждения возбудителя
Подставляя (3) в (4), получим:
(5)
- коэффициент усиления
исполнительного элемента.
Усилитель является также инерционным элементом с
параметрами - постоянной времени и коэффициентом усиления Тu,
Кu и, следовательно,
(6)
Далее можно рассмотреть измерительный и
преобразовательный элементы как одно целое с соответствующими коэффициентами
усиления и постоянной времени Кn
и Тn:
(7)
Подставляя (4), (5),
в (6), получим:
, (8)
где
-
функция, зависящая от параметров системы регулирования.
Коu=Кu×Ку×Ке
- коэффициент усиления системы.
Поскольку
можно
определить коэффициент усиления:
(9)
Так как
и, следовательно:
- коэффициент
усиления системы
Чтобы проверить, сможет ли система, имеющая
регулятор с таким Коu, устойчиво
работать, надо провести анализ на устойчивость уравнений, описывающих работу
регулируемой системы.
(10)
генератора, выраженные через э.д.с. холостого
хода, переходной э.д.с. и напряжения генератора.
В этих уравнениях пять неизвестных: Dd,
DEq,
DE'q,
DUг.
DP,
количество уравнений также пять. Следовательно, система решается. Будем
считать, что Тu=0 и Ту=0, т.е.
пренебрежем инерционностью преобразователей и регулятора. Тогда упрощенное
характеристическое уравнение имеет четвертый порядок и имеет вид:
(11)
и окончательно получим:
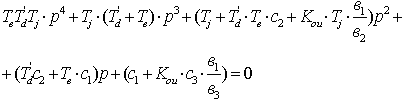
аop4+ а1p3+а2+p2+ а3+ а4=0
(12)
а0=TeT'dTj, а1=Tj(T'd+Te), а2=Tj+ T'd Teс2+Kоu
а3= Td c2+ Tec1, а4=c1+ Kоuc3
Теперь исследуем это уравнение по
критерию Гурвица.
Очевидно, что аo и а1 всегда
положительны, если Т'd>0. Условие а2>0 выполняется
всегда при с2>0 и Kоu>0. Для
того чтобы а3=T'dc2+Tec1>0
необходимо
При
отрицательном с1 (при предельных режимах) с2>0.
Условие
требует,
чтобы
, т.е.
необходимо установка такого коэффициента усиления, значение которого было бы
больше некоторого минимально допустимого.
Для поддержания Uг нужен
коэффициент усиления Kоumin , имеющий
большое значение, но чрезмерное увеличение Kоu приводит к
уменьшению Dгур. Поэтому
коэффициент усиления возбуждения необходимо брать в пределах:
оu min£Kоu£Kоu
max , (13)
где Kоu
min=
(14)
Если при наличии АРВ, реагирующего
на отклонение напряжения
Kou< Koumin, то
происходит электромеханическое нарушение устойчивости, характеризуемое
монотонным увеличением угла во времени, т.е. происходит апериодическое
нарушение устойчивости.
Если Kou> Koumax, также
происходит электромеханическое нарушение статической устойчивости, но имеющее
колебательный характер - т.е. система самораскачивается.
Необходимо отметить, что на основе
опыта эксплуатации АРВ пропорционального типа определены значения этого
коэффициента в пределах Kou³ (25-50) ед.возб. х.х./ед.
напряжения, при которых обеспечивается высокая точность поддержания напряжения
в различных режимах генератора и увеличения предела передаваемой мощности.
Единица измерения коэффициента
усиления: единица возбуждения /единица напряжения или сокращенно
[ед.возб./ед.напр.]. За единицу напряжения принимают номинальное напряжение
генератора, за единицу возбуждения - напряжение возбуждения генератора,
приведенное к обмотке статора, обеспечивающее номинальное значение напряжения UГ в режиме
холостого хода).
В исследовании режимов электрических
систем, в особенности сложных, наличие АРВ - пропорционального типа, в целях
упрощения, представляют постоянством переходной э.д.с. за переходным
сопротивлением. Наличие АРВ-п эквивалентно частичной компенсации внутреннего
сопротивления генератора, что отражается в увеличении максимума угловой
характеристики синхронного генератора.
Таким образом, для устойчивой работы
генератора, имеющего АРВ пропорционального типа, коэффициенты усиления по
каналам регулирования по отклонению режимных параметров должны быть выбраны по
условию
п min<Koп<Koп
max ,
где П - параметр режима, по которому
регулируется ток возбуждения синхронного генератора. Нарушение этого условия
приводит к апериодическому (Koп<Koпmin) или
колебательному (Koп>Koпmax) нарушению
устойчивости.
б) Автоматический регулятор
возбуждения сильного действия АРВ-с (UГ=пост).
Автоматические регуляторы возбуждения, которые
реагируют не только на отклонение параметров режима, но на скорость их
изменения, т.е., на их первую и вторую производные, называют АРВ сильного
действия (рис.10). Такие АРВ «сильным» называют потому, что они могут
поддерживать заданный параметр режима постоянным, например, напряжение
генератора, тем самым полностью компенсируя внутреннее сопротивление
генератора. Поэтому при расчетах АРВ-с представляются постоянством напряжения
генератора UГ=пост.
АРВ-с позволяют существенно улучшить статическую
и динамическую устойчивость электрической системы. Сравнивая структурные схемы
АРВ-п и АРВ-с, видим, что в регуляторах сильного действия дополнительно имеются
каналы, вырабатывающие сигналы, соответствующие первой (ДЭ) и второй (ДДЭ)
производным режимных параметров (DU',
DI',
Df',
DU'',
DI'',
Df'
и т.д.).
Очевидно, что появление новых каналов и учет
дополнительных элементов системы АРВ увеличивают трудоемкость составления
уравнений, их порядок и, самое главное, делает невозможным их аналитическое
исследование, даже в случае одного синхронного генератора.
Например, АРВ-с реагирующий на отклонение
напряжения и тока генератора (DU,
DI)
первую и вторую их производные, при условии равенства постоянных времени
дифференцирующего и дважды дифференцирующего элементов регулятора T1=T2=Tp
, имеет характеристическое уравнение седьмой степени. Если инерционность
измерительного и усилительного элементов не будем учитывать Tу=Tu=0
, то получим характеристическое уравнение пятой степени:
а 0p5
+ а 1p4+ а 2p3+
а 3p2+ а 4p+
а 3=0 (15)
где
а0=Tj T'd Te Tp ,
а 1= Tj (T'd Te +
T'd Tp+ Te Tp)+k2i h1 ;
а 2= Tj (T'd +Te +
Tp)+ T'd Te Tp c2 k1i h1;
а 3= Tj +Te Tp c1+
T'd (Te +Tp ) c2 + kouTj
+koi h1+ k2i h2;
а4= (Te + Tp) c1+
T'dc2+ k1i h2;
а
5=c1+kouc3+koih2;=-Tj
,2=b1
,
.
Параметры режима, входящие в коэффициенты (I,Id,Iq),
определяются из векторной диаграммы синхронного генератора. Здесь koi
-коэффициент усиления по каналу отклонения тока статора генератора
[ед.возб./ед.ном.тока], k1i-
коэффициент усиления по каналу первой производной тока статора
[ед.возб./ед.ном.тока/cек],
k2i
- коэффициент усиления по каналу второй производной тока статора
[ед.возб./ед.ном.тока/cек2]
.Необходимо отметить, что в АРВ-с значения коэффициентов усиления по отклонению
напряжения находятся в пределах kou=(100-200)
[ед.возб.х.х./ед.напряжения].
Видно, что коэффициенты характеристического
уравнения зависят от параметров режима, системы и коэффициентов усиления по
каналам АРВ.
Из приведенных соотношений видно, что при
принятых упрощениях коэффициенты характеристического уравнения даже в случае
одного генератора усложняются и очевидно, что аналитическое их исследование
представляется невозможным.
Рис.11. Сравнение угловых характеристик и
синхронизирующих мощностей при
различных АРВ
В связи с этим применяют численные методы
анализа, особенно при определении оптимальных коэффициентов усиления АРВ в
случаях регулирования тока возбуждения по нескольким параметрам режима. Учет
наличия зоны нечувствительности, проявляющееся наличием люфта в механических
элементах и инерционности еще больше усложняет составление и анализ уравнений,
однако эти факторы могут существенно повлиять на условия устойчивой работы
генератора. Неверный их учет может стать причиной нарушения устойчивости
синхронного генератора в результате неправильной работы АРВ.
Наличие АРВ-с увеличивает максимум угловой
характеристики, так как его наличие отражается условием ХГ = 0. (рис.11).
Литература
Касаткин
А.С., Немцов М.В. «Электротехника». Учебное пособие для вузов, М.:
Энергоатомиздат, 2001.
«Электротехника»
А.С. Касаткин, М.: Энергия, 1973.
Касаткин
А.С. Электротехника : учеб. для вузов / А.С. Касаткин, М.В. Немцов. - 11-е
изд., стер. ; Гриф МО. - М. : Академия, 2007. - 539 с.
Касаткин
А.С. Электротехника : учеб. для вузов / А.С. Касаткин, М.В. Немцов. - 9-е изд.,
стер. ; Гриф МО. - М. : Academia, 2005. - 639 с.
Немцов
М.В. Электротехника : учеб. пособие для сред. учеб. заведений / М.В. Немцов,
И.И. Светлакова. - Гриф МО. - Ростов н/Д : Феникс, 2004. - 572 с.
Москаленко
В.В. «Автоматизированный электропривод». Учебник для вузов. М.:
Энергоатомиздат, 2006.
«Электротехника»,
под ред. В.С. Пантюшина, М.: Высшая школа, 2006.
«Общая
электротехника» под ред. А.Т. Блажкина, Л.: Энергия, 2009.
«Основы
промышленной электроники» под ред. проф. В.Г. Герасимова, М.: Высшая школа,
2008.
Электротехника:
Учебник для неэлектротехнич. спец. вузов. Под ред. проф. В.Г. Герасимова, м.:
Высщая школа, 2005.
Чиликин
М.Г., Сандлер А.С. Общий курс электропривода, М.: Энергоиздат, 2001.