Исследование трехфазного синхронного генератора
Лабораторная
работа
Исследование
трехфазного синхронного генератора
Цель работы: Изучить устройство синхронного генератора и приобрести
практические навыки в сборке схем и снятии характеристик; получить
экспериментальное подтверждение теоретическим сведениям о свойствах синхронного
генератора.
Программа работы.
1. Ознакомиться с конструкцией
синхронного генератора и приводного двигателя; записать их паспортные данные и
данные измерительных приборов.
. Собрать схему и после проверки ее
преподавателем произвести пробный пуск генератора, проверить возможность
регулирования параметров генератора.
. Снять данные и построить
характеристику х. х генератора, сравнить эту характеристику с нормальной
характеристикой х. х. синхронной машины.
. Снять данные и построить внешние
характеристики генератора при активной (cos φ1=1) и активно -
индуктивной (cos φ1<1) видах нагрузки; определить номинальное изменение
напряжения генератора при сбросе нагрузки.
. Снять данные и построить
регулировочные характеристики генератора при активной (cos φ1=1) и активно -
индуктивной (cos φ1<1) нагрузках; определить номинальное изменение тока
возбуждения.
. Собрать схему трехфазного к. з. и
после проверки ее преподавателем снять данные и построить характеристику к. з.
генератора; определить величину отношения к. з. генератора.
Схема включения трехфазного
синхронного генератора
7. Составить отчет и сделать
заключение о проделанной работе.
Ход работы
|
Намагничивание
|
Размагничивание
|
|
Номер измерения
|
IВ,
А
|
E0,
В
|
Номер измерения
|
E0,
В
|
|
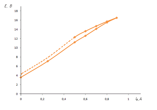
1.
|
0
|
3,6
|
1.
|
0,8
|
15,7
|
|
2.
|
0,25
|
7,1
|
2.
|
0,7
|
14,7
|
|
3.
|
0,5
|
11,2
|
3.
|
0,6
|
13,6
|
|
4.
|
12,6
|
4.
|
0,5
|
12,3
|
|
5.
|
0,7
|
14,1
|
|
|
|
|
6.
|
0,8
|
15,5
|
|
|
|
|
7.
|
0,89
|
16,5
|
|
|
|
трехфазный синхронный
генератор схема
Характеристика х. х
синхронного генератора
Данные регулировочных характеристик
синхронного генератора
Регулировочные
характеристики синхронного генератора

Так же мы узнали, что при активной
нагрузке ток якоря создает магнитное поле, действующее в поперечном отношении к
полюсам. При этом одну сторону размагничивает, а другую подмагничивает. В итоге
магнитная система машины незначительно, но все же размагничивается, поэтому
магнитный поток и ЭДС уменьшаются.
При индуктивной нагрузке в
синхронном генераторе вектор I отстает от вектора U на 900 и создает магнитодвижущую силу направленную
встречно основному магнитному потоку, который создает обмотка возбуждения
расположенная на роторе. Поэтому она размагничивает магнитную систему и
уменьшает ЭДС создаваемую генератором.
При емкостной нагрузке вектор Iопережает U на угол 900, поэтому
подмагничивает магнитную систему машины, содействует основному магнитному
потоку и увеличивает ЭДС генератора.
Эти выводы закономерны при работе
генератора на автономную нагрузку.