Газоснабжение и горячее водоснабжение жилого многоквартирного дома
Оглавление
Введение
.
Газоснабжение многоквартирного жилого дома
.1
Исходные данные
.2
Выбор расчетной схемы внутридомовой сети
.3
Гидравлический расчет внутридомовой сети
.
Горячее водоснабжение
.1
Исходные данные
.2
Расходы воды и тепла на горячее водоснабжение
.3
Расчет и выбор бака-аккумулятора
.
Отопление многоквартирного жилого дома
.1
Исходные данные
.2
Расчет тепловой мощности системы отопления
.3
Определение удельной тепловой характеристики здания
.
Расчет теплообменного аппарата - воздухоподогревателя
.1
Исходные данные
4.2
Определение количества передаваемой теплоты и температуры нагреваемой среды на
выходе из теплообменного аппарата
4.3
Определение коэффициента теплоотдачи со стороны греющей среды
4.4
Определение коэффициента теплоотдачи со стороны нагреваемой среды
4.5
Определение коэффициента теплопередачи теплообменного аппарата
.6
Определение среднего температурного напора
.7
Определение площади расчетной теплообменной поверхности
Заключение
Список
литературы
Введение
Газоснабжение - это обеспечение природным газом
зданий различного назначения, при котором распределительная сеть населенного
пункта поставляет газ по газопроводу прямиком к газовому оборудованию,
установленному у потребителей газа. Первоначально, газ транспортируется из мест
добычи по магистральному газопроводу. На специальном распределительном пункте
газ преобразовывается до необходимых показателей давления и транспортируется до
городской газовой сети. Она представляет собой систему газопроводов,
распределительных станций, распределительных пунктов, газгольдеров, которые
компенсируют неравномерное потребление в сутки газа, регуляторов давления,
которые отвечают за устойчивость давления в газовых приборах.
Система водоснабжения же многоквартирного дома
состоит из насосного оборудования, поквартирных разводок и стояков, запорной и
регулирующей арматуры, а также всевозможных приборов учета и фильтров разного
уровня. Комплектация системы, как и вообще, ее выбор, могут быть различными.
Целью курсовой работы является газоснабжение и горячее
водоснабжение жилого многоквартирного дома.
Задачи работы:
. Провести расчеты по газоснабжения и
водоснабжению 6 этажного жилого дома,
. Выполнить расчет воздухоподогревателя и
определение коэффициентов теплопередачи.
. Газоснабжение многоквартирного жилого дома
.1 Исходные данные
Вариант 11
Архитектурно-планировочный вариант здания
Число этажей здания - 6 этажей.
В объем графической части (2/3 листа) входят:
. План первого и типового этажей дома (с
разводкой газовых сетей и обозначениями) (М 1:100).
. Аксонометрическая схема внутридомового газопровода.
.2 Выбор расчетной схемы внутридомовой сети
Вводы газопроводов в жилые, общественные здания,
здания коммунально-бытового назначения и здания предприятий общественного
питания надлежит предусматривать непосредственно в помещениях, где установлены
газовые приборы (кухни квартир первого этажа).
Установку отключающих устройств на газопроводах,
прокладываемых в жилых и общественных зданиях, надлежит предусматривать:
на каждом стояке, если от одного ввода питается
два и более стояка в зданиях свыше четырех этажей;
перед счетчиками;
перед каждым газовым прибором.
Таких вводов согласно нашему варианту - шесть.
Расчетный расход газа на участке внутридомовой
сети, м3/ч:
где k0 - коэффициент одновременности включения
газовых приборов;- количество квартир, питаемых газом от данного участка,
определяемое из расчетной схемы сети;- суммарная тепловая нагрузка горелок
бытовых газовых приборов одной квартиры, кДж/ч;- число однотипных приборов или
групп приборов.
При установке в квартире бытовой газовой плиты:
где
-
тепловая нагрузка конфорочных горелок и горелки духового шкафа бытовой газовой
плиты, принимаемая по техническим данным, кДж/ч.
Для 4-конфорочной плиты:
Тогда
1.3 Гидравлический расчет внутридомовой сети
Для участков стояка задаемся для здания в 6
этажей трубопроводом диаметром dу=15 мм.
Эквивалентная длина трубопровода для ламинарного
течения газа:
э.rk=0,384Qrk=0,384*3,36=1,29 м
Тогда расчетная длина участка равна:
р.rk=lrk+ lэ.rkΣξ,
где Σξ - сумма
коэффициентов потерь.
Для участка 1-2:
р.rk=lrk+ lэ.rkΣξ=3,4+0,42*7,5=6,55
м.
Потери давления участка равны:
∆Prk=Rrk*lр.rk,
где Rrk - удельные потери давления.
Для участка 1-2:
∆Prk=0,8*6,55=5,24 Па
Величина гидростатического давления равна:
∆PГrk=gH(ρв-ρс)
где H - разность геометрических отметок.
Для участка 1-2:
∆PГrk= 9,81*2,8*(2,9-1,605)=35,57 Па.
Тогда суммарный перепад давления равен:
ΣР=∆PГrk+∆Prk
Для участка 1-2:
ΣР=5,24+35,57=40,81
Па.
Обобщенная схема узлов газопровода:
Результаты расчета сведем в таблицу 1.
Таблица 1
|
Номер
участка
|
Расчетный
расход участка, Qrk
|
Условный
диаметр участка, dyk
|
Действительная
длина участка, lrk
|
Эквивалентная
длина участка при ξ=1, lэ.rk
|
Сумма
коэффициентов местных сопротивлений участка, Σξ
|
|
1
|
2
|
3
|
4
|
5
|
6
|
|
1-2
|
3,36
|
15
|
3,4
|
0,42
|
7,5
|
|
2-3
|
3,49
|
20
|
5,6
|
0,44
|
4,5
|
|
3-4
|
4,23
|
25
|
12,4
|
0,52
|
1
|
|
4-5
|
7,25
|
50
|
2,8
|
0,6
|
3,6
|
|
Расчетная
длина участка, lр.rk
|
Удельные
потери давления участка, Rrk
|
Потери
давления участка, ∆Prk
|
Гидростатический
перепад давления участка, ∆PГrk
|
Суммарный
перепад давления участка, ΣР
|
Перечень
местных сопротивлений и их коэффициенты, ξ
|
|
7
|
8
|
9
|
10
|
11
|
12
|
|
6,55
|
0,8
|
5,24
|
35,57
|
40,81
|
Два
угольника z=2*2,1= 4,2 тройник на проход z= 1,0 отвод 90° z=0,3 кран пробковый
z=2,0
|
|
7,58
|
1,2
|
9,096
|
35,57
|
44,666
|
тройник
на проход z=1,0 5 отводов 90° z=0,3 кран пробковый z=2,0
|
|
12,92
|
0,6
|
7,752
|
0
|
7,752
|
тройник
на проход z=1,0
|
|
4,96
|
0,8
|
3,968
|
35,57
|
39,538
|
тройник
на проход z=1,0 кран пробковый z=2,0 2 отвода 90° z=0,3
|
Плотность газа состава (СН4+С2Н6+С3Н8+С4Н10+СО2)
определяется с учетом сжимаемости газа.
ρrk=ρ/z,
где ρ - плотность
элемента газа,- коэффициент сжимаемости.
Расчет сведем в таблицу 2.
Таблица 2
|
Элемент
|
Плотность
газа ρ,
кг/м3
|
Коэффициент
сжимаемости, z
|
Реальная
плотность элемента газа, кг/м3
|
Суммарная
плотность газа, кг/м3
|
|
СН4
|
0,6682
|
0,9981
|
0,6695
|
-
|
|
С2Н6
|
1,2601
|
0,9920
|
1,2703
|
-
|
|
С3Н8
|
1,8641
|
0,9834
|
1,8956
|
-
|
|
С4Н10
|
2,4880
|
0,9682
|
2,5697
|
-
|
|
СО2
|
1,8393
|
0,9947
|
1,8491
|
-
|
|
-
|
-
|
-
|
1,6508
|
Суммарные потери давления сети равны:
∆Рс=ΣР+∆Рпл,
где ∆Рпл - потери давления в арматуре и
трубах плиты.
Тогда ∆Рс=132,76+50=182,76 Па.
Номинальное значения потери для внутридомовой
сети ∆Рсн=350 Па. Что согласуется с результатами расчета.
2. Горячее водоснабжение
.1 Исходные данные
Для всех вариантов в проектируемом здании должна
быть предусмотрена установка следующих приборов: в ванной комнате - смесителей
у ванн и умывальников, на кухне - смеситель у мойки. В ванных комнатах
предусматривается установка полотенцесушителей.
Схема подключения водонагревателя к тепловой
сети - параллельная
Система теплоснабжения - открытая
Тип разводки - верхняя.
В объем графической части (2/3 листа) входят:
) план типового этажа и подвала (чердачного
помещения) (М 1: 100) нанесением точек водоразбора, стояков и трубопроводов по
подвалу (чердачному помещению) здания;
) аксонометрическая схема системы горячего
водоснабжения здания (на схеме указать номера участков, номера стояков,
арматуру, воздушники, спускники, точки водоразбора, уклоны труб).
.2 Расходы воды и тепла на горячее водоснабжение
Секундные и часовые расходы воды
Расчетные секундные расходы горячей воды, л/с,
при водоразборе и на участках трубопроводов определяются по формуле
G=5gα,
где g - расход воды одним водоразборным прибором,
л/с (для мойки g=0,14 л/с, для душа - 0,1 л/с, для ванной - 0,2 л/с),
α - безразмерная
величина, зависящая от общего количества N водоразборных приборов на расчетном
участке сети и вероятности их действия Р в час наибольшего водопотребления
(α=f(NP)).
Вероятность действия Р водоразборных приборов
определяется по формуле:
Где gи.ч. - норма расхода горячей воды одним
прибором (gи.ч.=7,9 л/чел),
А V - количество потребителей горячей воды:
,
де ∑F - суммарная жилая площадь квартиры,-
норма жилой площади на человека, принимаем f=9 м2/чел.
Вероятность
действия приборов для участка 1-2 вычислится, как
Произведение NP для
участка 1-2 вычисляется как
=1*0,078=0,078
Коэффициент α находим графически по произведению NP.
Секундный расход
вычислится для участка 1-2 как
=5*0,14*0,030=0,021
л/с.
Результаты секундных расходов сведем в таблицу
3.
Таблица 3
|
Номера
участков
|
Кол-во
приборов, N, шт
|
Кол-во
потребите лей V, чел
|
Расход
воды прибором g, л/с
|
Вероятность
действия приборов, Р
|
Произведение,
NP
|
Коэффициент,
α
|
Секундный
расход на участке G, л/с
|
|
1-2
|
1
|
-
|
0,14
|
0,078
|
0,078
|
0,030
|
0,021
|
|
2-3
|
2
|
-
|
0,2
|
0,027
|
0,055
|
0,021
|
0,021
|
|
3-4
|
3
|
5
|
0,2
|
0,018
|
0,055
|
0,021
|
0,021
|
|
4-5
|
3
|
5
|
0,2
|
0,018
|
0,055
|
0,021
|
0,021
|
|
5-6
|
6
|
10
|
0,2
|
0,018
|
0,110
|
0,042
|
0,042
|
|
6-7
|
9
|
15
|
0,2
|
0,018
|
0,165
|
0,063
|
0,063
|
|
7-8
|
12
|
20
|
0,2
|
0,018
|
0,219
|
0,084
|
0,084
|
|
8-9
|
15
|
25
|
0,2
|
0,018
|
0,274
|
0,106
|
0,106
|
|
9-10
|
18
|
30
|
0,2
|
0,018
|
0,329
|
0,127
|
0,127
|
|
10-11
|
36
|
60
|
0,2
|
0,018
|
0,658
|
0,253
|
0,253
|
|
11-12
|
72
|
120
|
0,2
|
0,018
|
1,317
|
0,506
|
0,506
|
Расходы тепла
Максимальный часовой расход, м3/ч,
который соответствует вечернему пику потребления горячей воды и используется
при определении поверхности нагрева водоподогревателей
Ч=18gКиαч,
где Ки=0,28 - коэффициент использования
водоразборного прибора.
Ч=18*0,2*0,28*0,506=0,51 м3/ч
Вероятность использования водоразборных приборов
вычисляется из выражения
Расход горячей воды за сутки наибольшего
водопотребления (используется для определения емкости бака-аккумулятора),
м3/сут
и=0,001gиV,
где gи=100 л/с - норма расхода горячей воды за
сутки наибольшего водопотребления, л/сут
и=0,001*100*120= 12 м3/сут
Среднесуточный расход воды, м3/сут,
за отопительный период при расчете потребления тепла системой горячего
водоснабжения
ис=0,001gисV,
где gис=85 л/с - среднесуточная норма расхода
горячей воды за отопительный период, л/сут.
ис=0,001*85*120=10,2 м3/сут
Часовые расходы тепла в системе горячего
водоснабжения определяются по следующим формулам, кДж/ч:
а) максимальный часовой для определения
поверхности нагрева водонагревателей (при отсутствии бака-аккумулятора)
,
где γ - плотность
воды, кг/м3;
с =4,9 кДж/(кг*К) - теплоемкость воды;ср =55°С
средняя расчетная температура горячей воды в системе;= 5°С расчетная
температура водопроводной воды в зимнее время;
- теплопотери
подающими и циркуляционными трубопроводами, кДж/ч, (принимаются соответственно
22071 кДж/ч и 1113 кДж/ч).

в) среднечасовой за сутки наибольшего
водопотребления при определении емкости бака-аккумулятора:
г) среднечасовой за неделю или за отопительный
период при расчете потребления тепла системой:
Среднечасовой расход тепла в летний период,
ГДж/ч:
где β = 0,8 - коэффициент,
учитывающий снижение расхода горячей воды;л = 15°С - температура водопроводной
воды в летний период.
Годовой расход тепла на горячее водоснабжение,
ГДж/год:
где n0=172 сут/год=4128 ч/год -
продолжительность отопительного периода для Астрахани (11 вариант), ч/год
(принимается по заданию на проектирование системы отопления).
.3 Расчет и выбор бака-аккумулятора
Требуемую емкость бака-аккумулятора для
выравнивания заданного графика тепловой нагрузки удобно определять графическим
методом. Для этого необходимо построить график суточного теплопотребления
системой горячего водоснабжения.
По оси ординат откладывается величина
теплопотребления, %, а по оси абсцисс - время суток в часах.
определяется
по формуле
Строим интегральный график (таблица 4).
Таблица 4
|
Часы
суток
|
%
|
Часовой
расход тепла, кДж/ч
|
Интегральный
расход тепла, ГДж
|
|
0-1
|
80
|
Q0-1=0,8
|
Q0-1
|
|
1-6
|
4
|
Q1-6=0,04
|
Q0-6=
Q0-1+ 5Q1-6
|
|
6-7
|
60
|
Q6-7=0,6
|
Q0-7=
Q0-6+ 1Q6-7
|
|
7-9
|
100
|
Q7-9=1,0
|
Q0-9=
Q0-7+ 2Q7-9
|
|
9-13
|
140
|
Q9-13=1,4
|
Q0-13=
Q0-9+ 4Q9-13
|
|
13-16
|
80
|
Q13-16=0,8
|
Q0-16=
Q0-13+ 3Q13-16
|
|
16-18
|
100
|
Q16-18=1,0
|
Q0-18=
Q0-16+ 2Q16-18
|
|
18-20
|
120
|
Q18-20=1,2
|
Q0-20=
Q0-18+ 2Q18-20
|
|
20-22
|
240
|
Q20-22=2,4
|
Q0-22=
Q0-20+ 2Q20-22
|
|
22-23
|
200
|
Q22-23=2,0
|
Q0-23=
Q0-22+ 1Q22-23
|
|
23-24
|
140
|
Q23-24=1,4
|
Q0-24=
Q0-23+ 1Q23-24
|
Вычислим и результаты занесем в таблицу 5.
Таблица 5
|
Часы
суток%Часовой расход тепла, кДж/чИнтегральный расход тепла, ГДж
|
|
|
|
|
0-1
|
80
|
116547
|
0,117
|
|
1-6
|
4
|
5827
|
0,146
|
|
6-7
|
60
|
87410
|
0,233
|
|
7-9
|
100
|
145684
|
0,524
|
|
9-13
|
140
|
203958
|
1,34
|
|
13-16
|
80
|
116547
|
1,69
|
|
16-18
|
100
|
145684
|
1,98
|
|
18-20
|
120
|
174821
|
2,33
|
|
20-22
|
240
|
349642
|
3,03
|
|
22-23
|
200
|
291368
|
3,32
|
|
23-24
|
140
|
203958
|
3,53
|
Строим график расхода:
Интегральный график теплопотребления:
Откуда
ак=0,9-0,2 = 0,6 ГДж.
Объем бака-аккумулятора определяется из
выражения:
Гдеак - тепловая мощность аккумулятора, ГДж,
с = 4,19 кДж/(кг*град) теплоемкость воды;
ρ=985,65 кг/м3 -
плотность воды при t= 55°С;Г = 55°С температура горячен воды в
баке-аккумуляторе;х =5°С температура холодной воды.
3. Отопление многоквартирного жилого дома
.1 Исходные данные
Высота этажа при проектировании - 3 м.
Этажность жилого дома - 4 этажа.
Для Астрахани температуры наиболее холодной
пятидневки: -230С, а средняя температура: -1,6 С, зона влажности -
влажная.
Расчетная скорость ветра vн=8 м/с
Располагаемое давление в тепловой сети Р=21 кПа.
Согласно режиму влажности выбираем условие
эксплуатации - Б.
Коэффициенты теплопередачи наружных ограждающих
конструкций:
Стен Кнс = 0,35 Вт/(м2*С)
Пола Кпл=0,26 Вт/(м2*С)
Потолочного перекрытия Кпт=0,28 Вт/(м2*С).
В курсовом проекте предложено запроектировать
двухтрубную систему водяного отопления с верхней разводкой магистралей и
температурой теплоносителя tг=95оС и tо=70оC.
Графическая часть проекта состоит из 2/3 листа
формата А1 и включает: планы первого этажа и чердака с нанесением на них
отопительных приборов, стояков и магистралей системы отопления в масштабе
1:100; аксонометрической схемы системы отопления в масштабе 1:100.
.2 Расчет тепловой мощности системы отопления
Определим потери теплоты для первого этажа
здания. В качестве примера расчета выполним потери теплоты для комнаты №101.
Остальные расчеты сведем в таблицу результатов.
План комнаты №101 показан на рис. 3.2; разрез
здания - на рис. 3.3. Окна были приняты с двойным остеклением в деревянных
спаренных переплетах, при уплотненном пенополиуретаном притворе сопротивление
воздухопроницанию светового проема составит 0,26 (м2*ч.Па)/кг.
Определяем расход теплоты на нагревание воздуха,
инфильтрующегося через окна четырехэтажного здания.
Вычислим плотности наружного и внутреннего
воздуха:
,
Где t - температура воздуха.
Определим расчетную разность давлений воздуха
снаружи и внутри здания на уровне верха окна для всех этажей:
ΔP=(H-h)(ρH-ρB)g+0,5vH2*ρH(CH-CЗ)*k
где H - высота здания, м, от уровня средней
планировочной отметки землидо верха карниза;- расчетная высота, м, от уровня
земли до верха окон;- ускорение свободного падения, g=9,81 м/с2;
- плотность, кг/м3,
соответственно наружного воздуха и воздуха в помещении.
ΔP1=(12,8-3,05)(1,412-1,2)*9,8+0,5*82*1,412*(0,8+0,6)*0,73=66,43
Па
ΔP2=(12,8-6,05)(1,412-1,2)*9,8+0,5*82*1,412*(0,8+0,6)*0,73=60,2
Па
ΔP3=(12,8-9,05)(1,412-1,2)*9,8+0,5*82*1,412*(0,8+0,6)*0,73=53,97
Па
ΔP4=(12,8-12,05)(1,412-1,2)*9,8+0,5*82*1,412*(0,8+0,6)*0,73=47,74
Па
План помещений к комнате №101:
Определяем расход инфильтрующегося воздуха через
неплотности в оконных проемах этажей:
,
где АОК - площадь световых проемов (окон,
балконных дверей и фонарей) м2;И - сопротивление воздухопроницанию
заполнений световых проемов (окон, балконных дверей), в (м2*ч.Па)/кг,
ΔР - расчетная
разность давлений на наружной и внутренней поверхностях каждой ограждающей
конструкции, Па.
Расход теплоты на нагревание инфильтрующегося
воздуха вычисляем по формуле
И=0,28*GИН*Cp*(tВ-tН)*k,
где GИН - расход инфильтрующегося воздуха, кг/ч,
СР - удельная теплоемкость воздуха, равная 1,005
кДж/(кг*оС),В и tН - температуры воздуха,- коэффициент учета влияния
встречного теплового потока: для окон со спаренными переплетами k=1.
И1=0,28*24,87*1,005*(20+23)*1=301
ВтИ2=0,28*23,29*1,005*(20+23)*1=282 ВтИ3=0,28*21,64*1,005*(20+23)*1=262
ВтИ4=0,28*19,93*1,005*(20+23)*1=241 Вт
Определяем бытовые теплопоступления
БЫТ=10АП,
где АП - площадь пола помещения, м2.
БЫТ=10*21,6=216 Вт
Вычисляем затраты теплоты на нагревание
вентиляционного воздуха исходя из санитарно-гигиенических требований:
В=0,28LH* ρВ*СР*(tВ-tН)*k
где LН - расход удаляемого воздуха, в м3,
не компенсируемый подогретым приточным воздухом; для жилых зданий - удельный
нормативный расход составляет 3 м3/ч на 1 м2 жилых
помещений, следовательно LН=3·АП,
ρВ - плотность
воздуха в помещении, кг/м3.
В=0,28*3*21,6* 1,2*1,005*(20+23)*1=941 Вт.
Учитывая, что QВ оказалось больше, чем QИ, в
расчет принимаем QВ.
Основные и добавочные потери теплоты через
ограждающие конструкции
огр=А*К(tВ-tН)*n*(1+∑β),
где А - расчетная площадь ограждающей
конструкции, м2коэффициент теплопередачи ограждающей конструкции,
Вт/(м2 *оС)
β - добавочные потери
теплоты в долях от основных потерь.
огр=21,6*0,35(20+23)*1*(1+0,15)=374 Вт
Расчетная тепловая нагрузка на систему отопления
жилой комнаты №101 составляет
Qот=Qогр+Qв-Qбыт=952+941-216=1677 Вт.
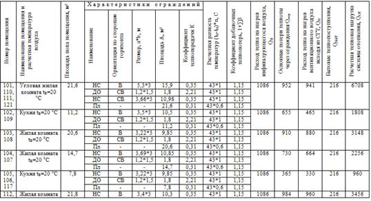
Остальные результаты заносим в таблицу 6.
Суммируя тепловую нагрузку на систему отопления
всех помещений здания, получим расчетную тепловую мощность системы отопления
здания.
Таблица 6
∑QОТ=4*26783 Вт=107132 Вт = 107,13 кВт
где НС - наружная стена, ДО - окно с двойным
остеклением, Пл - пол.
3.3 Определение удельной тепловой характеристики
здания
Определив расчетную тепловую мощность системы
отопления здания QОТ, Вт, вычисляют удельную тепловую характеристику здания
где V - объем отапливаемой части здания по
наружному объему (высота здания определяется от уровня земли до верха
утеплителя), м3;- расчетная разность температур между средней температурой
воздуха в отапливаемых помещениях и температурой наиболее холодной пятидневки,
оС.
Объем отапливаемого наружного помещения равен:
=SH=12,8S=12,8*(2*7,2*15+4*3,6*(12,6+1,2)+
10,8*12,6)=
,8*(216+136+200)=7066 м3.
Тогда
Расход теплоты, QГОД, за отопительный период на
отопление здания определяют по формуле
Расход топлива для отопления жилого дома
природным газом за отопительный период определяют по формуле:
4. Расчет теплообменного аппарата -
воздухоподогревателя
.1 Исходные данные
Предпоследняя цифра - 1, последняя цифра - 1.
Определить расчетную теплообменную поверхность
воздухоподогревателя для исходных данных.
Состав дымовых газов:
СО2 - 8,6%, Н2О - 18,64%, О2 - 1,77%, N2 -
70,99%.=2,0%, t1’=370 0С, t1’’=170 0С, t2’=30 0С, V1=6750 м3\ч, G2=12000 кг/ч, ε=0,015
(м2К)/Вт,
DН*S=41,0*1,5 мм, W1ж=9,0 м/с, W2ж=4,8 м/с, σ1=1,25,
σ2=1,3.
Схема течения - прямоток/противоток
Расположение труб в пучках -
шахматное/коридорное.
.2 Определение количества передаваемой теплоты и
температуры нагреваемой среды на выходе из теплообменного аппарата
В развернутом виде уравнение теплового баланса,
с учетом потерь тепла в окружающую среду, выглядит следующим образом
Q=φV1Cp1(t1’ - t1’’)
= V2 Cp2(t2’’ - t2’),
где V2 - расход нагреваемого воздуха, нм3/с,
определяемый из соотношения:
V2=G2/ρ
Ср2 - плотность нагреваемого воздуха при
t2ж=0,5(t2’+t2’’).
Температура греющей среды:
ж=0,5(t1’+t1’’)=0,5(370+170)=2700С.
Ср2 - средняя изобарная теплоемкость при t=300С.
Из левой части уравнения
Q=φV1Cp1(t1’ - t1’’) = (1-q5/100) V1Cp1(t1’ -
t1’’)
Где Cp1 - средняя изобарная теплоемкость дымовых
газов:
Ср1=∑Срi*ri.
Используя начальные данные, получим
Ср1=1,835*0,086+*1,535*0,1864+1,348*0,0177+1,305*0,7099=1,394
кДж/(м3*град).
Тогда
= (1-2/100) *(6750/3600)*1,394*(370 - 170) =
512,3 кДж.
Определим теперь из правой части уравнения
недостающую температуру t2’’.
= V2 Cp2(t2’’ - t2’),
где, V2=12000/1,165 = 10300 м3/ч =
2,86 м3/с,
Ср2 = 1,285 кДж/(м3*град), тогда= V2
Cp2(t2’’ - t2’),’’ - t2’ = Q/ V2 Cp2’’= t2’+( Q/ V2 Cp2) =
30+(512,3/(2,86*1,285))= 170 0С.
.3 Определение коэффициента теплоотдачи со
стороны греющей среды
Определение конвективной составляющей
коэффициента теплоотдачи
Для воздухоподогревателя, у которого греющей
средой являются дымовые газы, коэффициент теплоотдачи от дымовых газов к стенке
включает в себя конвективную и лучистую составляющие:
α1 = α1к + α1л,
где α1к
- конвективная составляющая,
где α1л
- лучистая составляющая.
При вынужденном течении жидкости в трубах
критериальные уравнения будут иметь вид при ламинарном режиме течения:
критерий Нуссельта
-критерий Рейнольдса
газоснабжение
жилой дом теплообменный
Средняя температура греющей среды:
ж=0,5(t1’+t1’’) = 0,5(370+170) = 2700С.
Температура со стороны греющей среды:
с=0,5(t1ж + t2ж)ж=0,5(t2’+t2’’) = 0,5(30+170) =
1000С.с=0,5(270 + 100) = 1850С.
Тогда по температуре t1ж физические параметры
дымовых газов:
ρ=0,647 кг/м3,
Ср=1,113 кДж/(кг*град), λ=465,3
Вт/(м*град), а=8,255*106 м2/с, µ=27,45*106 (Н*с)/м2,
v=42,76*106 м2/с, Prж=0,655, Prс=0,667.
Определяем число Рейнольдса:
При шахматном расположении пучков труб
Тогда конвективная составляющая равна:
Найдем внешний диаметр трубы
Тогда при шахматном расположении
Определение лучистой составляющей коэффициента
теплоотдачи
Определяем парциальные давления трехатомных
газов в продуктах сгорания:
где rСО2, rН2О - соответственно объемное
содержание углекислоты и водяных паров в дымовых газах, доли.
Определяем эффективную толщину излучающего слоя
для трубчатых воздухоподогревателей, при течении газов внутри труб:
Вычисляем параметр Р*lэф:
По температуре t1с = 185 0С определяем степень
черноты объемов излучаемых газов εСО2=0,023
и εН2О=0,009.
Степень черноты излучающих газов определяется по
формуле
где β=1,13 - поправочный
коэффициент.
Выбираем степень черноты поверхности труб εС
при t1с = 1850С: εС=0,85.
Приведенная степень черноты системы
"дымовые газы - труба":
Удельный тепловой поток излучением от дымовых
газов к стенке трубы:
,
где q1л - удельный тепловой поток излучением,
Вт/м2;
Т1ж - средняя температура греющей среды, К;
Т1с - средняя температура стенки трубы со
стороны дымовых газов, К.
С учетом вышеизложенного определяем величину
лучистой составляющей коэффициента теплоотдачи со стороны греющей среды:
Тогда при шахматном
расположении
.4 Определение коэффициента теплоотдачи со стороны
нагреваемой среды
При течении среды при поперечном обтекании
наружной поверхности труб, D=Dн=41,0 мм.
Температура со стороны греющей среды:
ж=0,5(t2’+t2’’) = 0,5(30+170) = 1000С.
Тогда
λ=312,85 Вт/(м*град),
v=21,54*106 м2/с, Prж=0,69, Prс=0,667.
Тогда критерий Нуссельта равен
А критерий
Рейнольдса
При коридорном расположении пучков труб
.5 Определение коэффициента теплопередачи
теплообменного аппарата
Коэффициент теплопередачи при переносе тепла
через разделяющую стенку трубы (тонкостенный цилиндр) может быть приближенно
определен по формуле для плоских теплообменных поверхностей:
где К - коэффициент теплопередачи теплообменного
аппарата, Вт/(м2 *град);
ε - термическое
сопротивление слоя отложений со стороны дымовых газов, (м2
*град)/Вт;
α1 и α2-
соответственно коэффициент теплоотдачи со стороны греющей и нагреваемой сред,
Вт/(м2 *град).
.6 Определение среднего температурного напора
Средний температурный напор для аппаратов с
перекрестным или смешанным током рабочих сред (воздухоподогреватели)
определяется выражением
,
где ε∆t
- поправочный коэффициент.
Для противопоточной схемы
∆tвх=t1’-t2’’=370-170=2000C
∆tвых=t1’’-t2’=170-30= 400C
Тогда
Откуда ε∆t=0,955.
.7 Определение площади расчетной теплообменной
поверхности
Расчетная теплообменная поверхность
теплообменного аппарата Нр, м2, определяется из уравнения
теплопередачи
Заключение
В процессе курсового проекта было выполнено
газо-, тепло- и водоснабжение жилого 6 этажного дома общей площадью 552 м2.
Затраты на годовое отопление дома составили 364 м3 природного газа с
учетом температуры снаружи помещения в -230С на примере города
Астрахани. Интегральный расход водоснабжения по дому составил 3,53 ГДж в сутки.
Суммарные потери давления газовой сети равны
182,76 Па, что согласуется с номинальным значением потери для внутридомовой
сети ∆Рсн=350 Па.
Список литературы
1.
СНиП 31-01-2003. Здания жилые многоквартирные. - Введ. 2003 - 06-23. - М.: ГП
ЦПП, 2003. - 20 с.
.
СНиП 41-01-2003. Отопление, вентиляция и кондиционирование. - Введ. 2003-06-26.
- М.: ГУП ЦПП, 2004. - 71 с.
.
Рагозин А.О. Справочник по аппаратуре, арматуре и приборам для бытового
газоснабжения / А.О. Рагозин. - Л.: Недра, 1976. - 264 с.
.
Тихомиров К.В., Сергеенко Э.С. Теплотехника, теплогазоснабжение и вентиляция. -
М.: Стройиздат, 1991. - 480 с.