Проект ГТС на базе SDH (СЦИ)
ФГАОУ
ВПО СВФУ имени М.К. Аммосова
Сети
связи и системы коммутации
Курсовая
работа
«Проект
ГТС на базе SDH (СЦИ)»
выполнил: студент
гр.итсс -11
Сыромятников И.С.
проверила:
КолодезниковаМ.Н.
Якутск
2014
Оглавление
Введение
1.
Разработка схемы построения ГТС
2.
Расчет интенсивности нагрузки
3.
Расчет емкости пучков соединительных линий
4.
Выбор оптимальной структуры построения сети на базе SDH
5.
Выбор типа синхронного транспортного модуля
6.
Оценка структурной надежности сети
Заключение
Список
используемой литературы-
Введение
С начала 90-х годов в нашей стране на городских
телефонных сетях начали широко внедряться цифровые системы коммутации. По
сравнению с электромеханическими системами они обладают рядом преимуществ:
большая емкость станций;
малая занимаемая площадь;
высокая надежность;
возможность организации практически любого числа
направлений;
возможность организации в сети развитой системы
обходных путей;
возможность анализа любого числа цифр номера;
возможность централизованного управления;
возможность организации полнодоступных пучков
линий любой емкости и др.
На данный момент стоит задача замены аналоговых
сетей на цифровые. Существует три способа перехода к цифровой сети - стратегия
наложения, островная стратегия и прагматическая.
Стратегия наложения состоит в том, что цифровая
телефонная сеть как бы накладывается на существующую аналоговую сеть
(территориально цифровые АТС располагаются по всей аналоговой сети), причем
между ними существует лишь несколько соединительных трактов.
Островная стратегия предполагает внедрение
цифровой передачи и коммутации в ограниченных районах города, территориально не
охватываемых аналоговой сетью. По мере роста числа «цифровых островов» и их
размера они будут составлять все большую часть сети.
Прагматическая стратегия предусматривает
эксплуатацию аналогового оборудования на сети возможно более длительные сроки,
замена на цифровое оборудование производиться только в случае, когда это
оправдано технически и экономически.
В городских условиях, где большая телефонная
плотность и быстрее идет цифровизация сети, целесообразно применять стратегию
наложения и островную. В данной курсовой работе применяется стратегия
наложения.
Проектирование и в дальнейшем строительство
цифровых городских телефонных сетей жизненно необходимо для развития
инфраструктуры города…
В данной курсовой работу будет разработан проект
городской телефонной сети на базе систем передачи синхронной цифровой иерархии
(SDH).
1. Разработка схемы построения ГТС
Схема построения ГТС.
УСС я разместил в здание с РАТС 4. Между АТСЭ
для передачи сигналов используется пучки линий двухстороннего действия (ДСЛ) и
общий канал сигнализации (ОКС №7). При соединении АТСК-У и АТСКЭ используются
пучки одностороннего действия, и применяется система сигнализации по двум
выделенным сигнальным каналам для передачи линейных сигналов, а многочастотный
код «2 из 6» используется для передачи сигналов управления. Для передачи АМТС с
АТС используются междугородние соединительные линии (СЛМ), для связи АТС с АМТС
- заказно-соединительные линии (ЗСЛ).
Разработка нумерации абонентских линий
Для нумерации абонентских линий на ГТС
используется закрытая пяти-, шести- или семизначная в зависимости от емкости
сети.
Монтированная емкость сети равна:
Коэффициент использования номерной емкости сети
в перспективе при широком использовании цифровых систем коммутации составит
60-80%.
Возьму КИ=70%.
Таким образом, номерная емкость перспективной сети
составит:
Минимально необходимая значность номера с учетом
реализации экстренных служб и выхода на АМТС определяю из соотношения:
Таким образом, можно использовать пятизначный
абонентский номер для вновь вводимых АТС. Так как монтированная емкость сети
больше чем емкость сети при пятизначном абонентском номере, и учитывая уже
имеющуюся емкость в данной зоне, то целесообразнее использовать шестизначный
абонентский номер.
Нумерацию абонентских линий для различных видов
связи представлю в виде следующей таблицы:
|
РАТС
|
РАТС
1
|
РАТС
2
|
РАТС
3
|
РАТС
4
|
РАТС
5
|
|
Тип
РАТС
|
S-12
|
S-12
|
S-12
|
АТСК-У
|
S-12
|
|
Емкость
РАТС
|
14600
|
18400
|
14300
|
19000
|
15000
|
|
Местный
абонентский №
|
300000-
314599
|
320000-
338399
|
340000-
354299
|
360000-
378999
|
380000-
394999
|
|
Зоновый
№
|
2300000-
2314599
|
2320000-
2338399
|
2340000-
2354299
|
2360000-
2378999
|
2380000-
2394999
|
|
Междугородний
№
|
3832300000-
3832314599
|
3832320000-
3832338399
|
3832340000-
3832354299
|
3832360000-
3832378999
|
3832380000-
3832394999
|
|
Международный
№
|
73832300000-
73832314599
|
73832320000-
73832338399
|
73832340000-
73832354299
|
73832360000-
73832378999
|
73832380000-
73832394999
|
.Расчет интенсивности загрузки
Составление диаграмм распределения нагрузки.
Диаграмма распределения нагрузки для РАТС 1:
Для других РАТС диаграмма распределения нагрузки
будет выглядеть аналогичным образом…
Диаграмма распределения нагрузки для АМТС:
Диаграмма распределения нагрузки для УСС:
Структурный состав абонентов.
Учитывая исходные данные, структурный состав
абонентов для каждой РАТС будет выглядеть следующим образом:
|
РАТС
|
ТА
кв
|
ТА
дел
|
ТА
такс
|
ТА
м/г
|
ТА
п/п
|
|
Nобщ.
|
Nд.
|
Nт.
|
Nобщ.
|
Nд.
|
Nт.
|
Nобщ.
|
Nобщ.
|
Nобщ.
|
|
1
|
4964
|
1688
|
3276
|
9490
|
3227
|
6263
|
58
|
15
|
73
|
|
2
|
6256
|
2127
|
4129
|
11960
|
4066
|
7894
|
74
|
18
|
92
|
|
3
|
4862
|
1653
|
3209
|
9295
|
3160
|
6135
|
57
|
14
|
72
|
|
4
|
6460
|
2196
|
4264
|
12350
|
4199
|
8151
|
76
|
19
|
95
|
|
5
|
5100
|
1734
|
3366
|
9750
|
3315
|
6435
|
60
|
15
|
75
|
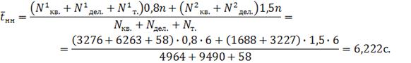
Расчет исходящей местной нагрузки.
Исходящая местная нагрузка, создаваемая
абонентами РАТС, рассчитывается по формуле:
Нагрузка в утренний ЧНН определяется следующей
формулой:
Аналогично нагрузка в вечерний ЧНН:
Коэффициент концентрации нагрузки
принимают равным: 
Учитывая, что в ночное время
нагрузка значительно меньше дневной, период суточной нагрузки можно брать
равным: 
Пусть нагрузка, создаваемая
таксофонами в дневное время, относится к максимальному ЧНН в утреннее время. У
таксофонов тастатурный номеронабиратель.
Таким образом, получаю нагрузки в
утренний и вечерний ЧНН:
Значения интенсивностей нагрузки
беру из приложения А:

; 
; 
.
Поправочные коэффициенты
определяются по следующей формуле:
Средние продолжительности занятия
беру из приложения А:

; 
; 
Таким образом, получаю поправочные
коэффициенты:
Расчет исходящей местной нагрузки,
создаваемой абонентами РАТС, сведу в следующую таблицу:
|
РАТС
|
|
|
|
 , Эрл ,Эрл , Эрл
|
|
|
|
1
|
635,07
|
144,33
|
10,96
|
736,24
|
548,10
|
736,24
|
|
2
|
800,36
|
181,90
|
13,98
|
928,03
|
690,86
|
928,03
|
|
3
|
622,02
|
141,37
|
10,77
|
721,15
|
536,86
|
721,15
|
|
4
|
826,46
|
187,83
|
14,36
|
958,21
|
713,34
|
958,21
|
|
5
|
652,47
|
148,29
|
11,34
|
756,49
|
563,17
|
756,49
|
Для всех РАТС нагрузка в утренний ЧНН получилась
больше, чем в вечерний ЧНН, поэтому эту нагрузку принимаем за исходящую…
Расчет интенсивности нагрузки на выходе
коммутационного поля.
Расчет интенсивности нагрузки на выходе КП для
АТСЭ производится по формуле:
Коэффициент, учитывающий снижение нагрузки на
выходе КП для i-ой станции, равен:
Среднее время слушания сигнала
«ответ станции» равно: 
Среднее время набора номера абонента
i-ой станции равно:
Среднее время занятия входа КП при
обслуживании одного вызова для i-ой станции равно:
Интенсивность поступления вызовов
беру из таблицы 2.2:

; 
; 
Теперь найду нагрузку на выходе КП
для РАТС 1:
Средняя удельная нагрузка на одну
абонентскую линию в Эрл составляет:
Интенсивность нагрузки на выходе КП
для оставшихся РАТС (АТСЭ) рассчитывается по формуле:
Таким образом, получаю:
Для АТСК-У (РАТС 4) расчет
интенсивности нагрузки на выходе КП производится по формуле:
где 
Время задержки, которое включает
время слушания сигнала «ответ станции», время набора и время работы маркера
ступени группового искания (ГИ) АТСК-У, равно:
где 
, 
Время задержки равно:
Таким образом, интенсивность
нагрузки на выходе КП для РАТС 4 равно:
Полученные данные сведу в таблицу:
|
РАТС
|
 , Эрл , Эрл
|
|
|
1
|
736,24
|
623,52
|
|
2
|
928,03
|
785,85
|
|
3
|
721,15
|
610,72
|
|
4
|
958,21
|
801,97
|
|
5
|
756,49
|
640,62
|
Расчет нагрузки к узлу спецслужб (УСС).
Доля интенсивности нагрузки к УСС от местной
исходящей нагрузке на выходе КП составляет 3-5%. Тогда:
Расчет свожу в следующую таблицу:
|
РАТС
|
 , Эрл , Эрл , Эрл
|
|
|
|
1
|
736,24
|
623,52
|
18,71
|
|
2
|
928,03
|
785,85
|
23,58
|
|
3
|
721,15
|
610,72
|
18,32
|
|
4
|
958,21
|
801,97
|
24,06
|
|
5
|
756,49
|
640,62
|
19,22
|
Расчет междугородной нагрузки.
Интенсивность исходящей междугородной нагрузки
определяется по формуле:
Удельную нагрузку от одного
источника на ЗСЛ приму:
Исходящая нагрузка, создаваемая
кабинами переговорных пунктов равна:
Удельная нагрузка от одной кабины ПП
равна: 
Нагрузка, создаваемая междугородними
телефонами автоматами, равна:
Удельную нагрузку от одного МТА
приму равной: 
Таким образом, получаю:
Интенсивность входящей междугородней
нагрузки определяется по формуле:
Входящая нагрузка, создаваемая КПП,
равна исходящей:

Удельную нагрузку от одного
источника на СЛМ приму: 
Таким образом, получаю:
Полученные результаты сведу в
следующую таблицу:
|
РАТС
|
 , Эрл , Эрл
|
|
|
1
|
30,88
|
|
2
|
57,74
|
38,92
|
|
3
|
45,00
|
30,36
|
|
4
|
59,85
|
40,19
|
|
5
|
47,25
|
31,73
|
Расчет межстанционной нагрузки.
Определю значения нагрузки от каждой станции
ГТС, подлежащей распределению на местной сети, по следующей формуле:
Расчет сведу в следующую таблицу:
|
РАТС
|
 , Эрл , Эрл , Эрл
|
|
|
|
1
|
623,52
|
18,71
|
604,81
|
|
2
|
785,85
|
23,58
|
762,27
|
|
3
|
610,72
|
18,32
|
592,4
|
|
4
|
801,97
|
24,06
|
777,91
|
|
5
|
640,62
|
19,22
|
621,4
|
Для каждой РАТС определю коэффициент

:
где 
.
Для полученных коэффициентов 
по таблице приложения Б определю
значения коэффициентов внутристанционного тяготения 
для каждой станции ГТС.
Значение нагрузки, которая
распределяется между другими станциями сети, определяю по следующей формуле:
Расчет 
, 
, 
сведу в следующую таблицу:
|
РАТС
|
 , Эрл , Эрл , % , % , Эрл
|
|
|
|
|
|
1
|
604,81
|
623,52
|
18,01
|
36,4
|
384,66
|
|
2
|
762,27
|
785,85
|
22,69
|
40,6
|
452,79
|
|
3
|
592,4
|
610,72
|
17,64
|
36
|
379,14
|
|
4
|
777,91
|
801,97
|
23,16
|
41
|
458,97
|
|
5
|
621,4
|
640,62
|
18,50
|
36,9
|
392,1
|
Распределение нагрузки от выбранной станции

к другим станциям сети
осуществляется пропорционально распределяемой нагрузки от каждой станции ГТС (
) по следующей формуле:
где 
.
Расчет сведу в следующую таблицу
|
№
РАТС
|
РАТС
1
|
РАТС
2
|
РАТС
3
|
РАТС
4
|
РАТС
5
|
|
 ,
Эрл736,24928,03721,15958,21756,49
|
|
|
|
|
|
|
РАТС
1
|
|
107,85
|
86,37
|
109,75
|
90,01
|
|
РАТС
2
|
103,49
|
|
101,67
|
129,18
|
105,96
|
|
РАТС
3
|
86,65
|
106,31
|
|
108,17
|
88,72
|
|
РАТС
4
|
104,9
|
128,69
|
103,06
|
|
107,41
|
|
РАТС
5
|
89,62
|
109,94
|
88,04
|
111,87
|
|
|
АМТС
|
ЗСЛ
|
46,21
|
57,74
|
45,00
|
59,85
|
47,25
|
|
СЛМ
|
30,88
|
38,92
|
30,36
|
40,19
|
31,73
|
|
УСС
|
18,71
|
23,58
|
18,32
|
24,06
|
19,22
|
. Расчет емкости пучков соединительных линий
Средние значения нагрузки на различных
направлениях необходимо пересчитать в расчетные значения, учитывая тип пучка
соединительных линий…
Для односторонних линий расчетные значения
нагрузки на различных направлениях находятся по формуле:
Для двусторонних линий расчетные значения нагрузки
на различных направлениях находятся по формуле:
где 
Для ДСЛ между АМТС и АТСЭ расчетные
значения нагрузки рассчитываются отдельно и для ЗСЛ и для СЛМ как для
односторонних линий…
Нормы потерь приведены в следующей
таблице:
|
Участок
сети
|
Потери
|
|
Соединительные
линии РАТС-РАТС
|
0,01
|
|
Соединительные
линии РАТС к УСС
|
0,001
|
|
ЗСЛ
от РАТС
|
0,003
|
|
СЛМ
к РАТС
|
0,002
|
Сначала рассчитаю расчетные значения нагрузки на
различных направлениях для односторонних линий для электронных АТС и найду
емкость пучков по таблице Пальма:
Между АМТС и РАТС 1:

→ 

→ 
Между АМТС и РАТС 2:

→ 

→ 
Между АМТС и РАТС 3:

→ 

→ 
Между АМТС и РАТС 5:

→ 

→ 
Между РАТС и УСС:

→ 

→ 

→ 

→ 
Сейчас рассчитаю расчетные значения
нагрузки на различных направлениях для двухсторонних линий и найду емкость
пучков по таблице Пальма:
Между РАТС 1 и РАТС 2:

→ 
Между РАТС 1 и РАТС 3:
Между РАТС 1 и РАТС 5:

→ 
Между РАТС 2 и РАТС 3:

→ 
Между РАТС 2 и РАТС 5:

→ 
Между РАТС 3 и РАТС 5:

→ 
Теперь рассчитаю расчетные значения
нагрузки на различных направлениях для односторонних линий для координатной
АТС:
Между РАТС 1 и РАТС 4:
Между РАТС 2 и РАТС 4:
Между РАТС 3 и РАТС 4:
Между РАТС 4 и РАТС 5:
Между АМТС и РАТС 4:
Между РАТС 4 и УСС:
Для расчета числа каналов от
координатной АТС к другим станциям сети используется метод эффективной
доступности (МЭД).
Эффективная доступность определяется
по следующей формуле:
Коэффициент, зависящий от параметров
звеньевого включения, величины нагрузки, потерь и доступности в направлении
искания, беру равным: 
.
Минимальная доступность равна:
Число выходов из одного коммутатора
звена А равно: 
Число входов в один коммутатор звена
А равно: 
Коэффициент связности для
рассматриваемого блока коммутации: 
Число выходов из одного коммутатора
звена В заданном направлении возьму равной: 
, тогда 
.
Таким образом, получаю:
Среднее значение доступности равно:
Нагрузка, обслуживаемая 
промежуточными линиями звеньевого
включения, определяется по формуле:
Удельную нагрузку на один вход
коммутации беру равной: 
.
Таким образом, получаю:
Число каналов от координатной АТС к
другим станциям сети рассчитывается по формуле О’Делла:
Коэффициенты 
и 
определяются по таблице приложения
Г по заданным потерям в направлении связи и эффективной доступности…
Для соединительных линий РАТС-РАТС
(Р=0,01):

и 
.
Таким образом, получаю:
Для ЗСЛ от РАТС (Р=0,003):

и 
.
Таким образом, получаю:
Для СЛМ к РАТС (Р=0,002):

и 
.
Таким образом, получаю:
Для соединительных линий РАТС к УСС
(Р=0,001):

и 
.
Таким образом, получаю:
Полученные результаты емкости пучков
соединительных линий сведу в следующую таблицу:
|
Тип
РАТС
|
РАТС1
|
РАТС2
|
РАТС3
|
РАТС4
|
РАТС5
|
АМТС
|
УСС
|
|
РАТС1
|
S-12
|
|
245*
|
214*
|
172
|
212*
|
67**
|
35
|
|
РАТС2
|
S-12
|
245*
|
|
242*
|
210
|
250*
|
80**
|
42
|
|
РАТС3
|
S-12
|
214*
|
242*
|
|
169
|
208*
|
66**
|
35
|
|
РАТС4
|
АТСК-У
|
180
|
211
|
177
|
|
183
|
113
|
54
|
|
РАТС5
|
S-12
|
212*
|
250*
|
208*
|
176
|
|
68**
|
36
|
|
АМТС
|
AXE-10
|
50**
|
60**
|
49**
|
81
|
50**
|
|
|
*двунаправленные линии
**рассматриваются как однонаправленные
. Выбор оптимальной структуры сети SDH
телефонная сеть
абонентская нагрузка
Применение SDH для построения первичных сетей
различного уровня позволяет существенно сократить капитальные затраты,
эксплуатационные расходы, сократить сроки монтажа и настройки оборудования.
Для построения ГТС используется топология
«кольцо». Основное преимущество кольцевой структуры - простота реализации
защиты 1+1, благодаря использованию для построения кольца мультиплексоров ADM.
Переключение в кольце позволяет локализовать (организовать обход) поврежденные
участки линий или мультиплексоры.
Для выбора оптимальной структуры кольца
использую программу EDGR, алгоритм работы в которой приведен ниже:
Сетка улиц будет выглядеть следующим образом
(l=4 км):
Теперь покажу кратчайшие расстояния от
фиксированный вершин.
Для РАТС 1:
Для РАТС 2:
Для РАТС 3:
Для РАТС 4:
Для РАТС 5:
Для АМТС:
Сейчас определю кратчайшие расстояния между
станциями:
l12=8 км; l13=16
км; l14=20
км; l15=4
км; l16=12
км; l23=8
км; l24=20
км; l25=4
км; l26=20
км; l34=20
км; l35=12
км; l36=28
км; l45=24
км; l46=16
км; l56=16
км.
Используя эти кратчайшие расстояния, строю
вспомогательный граф и нахожу минимальную длину кольца:
Длина оптимального цикла получилась равной 64
км.
Сейчас перенесу полученное оптимальное кольцо на
сетку улиц города:
Таким образом, получил оптимальное кольцо с
протяженностью 64 км…
5. Выбор типа синхронного транспортного модуля
Расчет числа ИКМ трактов передачи.
В качестве каналов доступа узлов коммутации
(РАТС, АМТС, УСС) к первичной сети, реализованной на базе SDH, будем
использовать плезиохронные системы передачи ИКМ-30 (стандарт Е1).
При использовании односторонних линий и
децентрализованной системы сигнализации (2ВСК, «2 из 6» и т.д.) требуемое число
цифровых потоков Е1 от i-ой станции к j-ой станции определяется формулой:
Число соединительных линий (каналов) между i-ой
и j-ой станциями равно:
Таким образом, получаю:

При использовании двухсторонних пучков и
централизованной системы сигнализации (ОКС№7) требуемое число цифровых потоков
Е1 от i-ой станции к j-ой станции определяется формулой:
Таким образом, получаю:
Полученные значения ИКМ трактов передачи
цифровых потоков Е1 между станциями сети сведу в следующую таблицу:
|
РАТС1
|
РАТС2
|
РАТС3
|
РАТС4
|
РАТС5
|
АМТС
|
УСС
|
|
РАТС1
|
|
8
|
7
|
12
|
7
|
4
|
2
|
|
РАТС2
|
8
|
|
8
|
15
|
8
|
5
|
2
|
|
РАТС3
|
7
|
8
|
|
12
|
7
|
4
|
2
|
|
РАТС4
|
12
|
15
|
12
|
|
12
|
7
|
2
|
|
РАТС5
|
7
|
8
|
7
|
12
|
|
4
|
2
|
|
АМТС
|
4
|
5
|
4
|
7
|
4
|
|
|
Выбор типа модуля STM
Синхронный транспортный модуль STM - это
информационная структура, используемая для осуществления соединения в SDH.
Структура оптимального кольца выглядит следующим
образом:
В общем виде структура оптимального кольца с
указанием местоположения мультиплексоров ввода-вывода (ADM) на данном кольце
выглядит следующим образом:
Для построения первичной сети на базе SDH
использую двунаправленное кольцо со 100% резервированием в случае аварии на
участках кольца.
Пусть по часовой стрелке распространяется
основной поток, а против часовой - резервный …
Т.к. УСС и РАТС 4 находятся в одном здание, то к
потоку, идущему к РАТС 4, буду добавляться поток, идущий к УСС…
Т.к. поток от РАТС 4 к УСС не идет по кольцу, то
его в матрице М емкостей кратчайших путей и ребер не учитываю.
Сейчас составлю матрицу М емкостей кратчайших
путей и ребер:
|
Исходящая
станция
|
Входящая
станция
|
Количество
цифровых потоков Е1
|
Путь
передачи
|
Участки
кольца
|
|
|
|
|
A→B
(B→A)
|
B→C
(C→B)
|
C→D
(D→C)
|
D→E
(E→D)
|
E→F
(F→E)
|
F→A
(A→F)
|
|
I
|
II
|
III
|
IV
|
V
|
VI
|
VII
|
VIII
|
IX
|
X
|
|
РАТС
1 (А)
|
РАТС
2 (С)
|
8
8
|
Осн.
Рез.
|
8
|
8
|
(8)
|
(8)
|
(8)
|
(8)
|
|
РАТС
3 (D)
|
7
7
|
Осн.
Рез.
|
7
|
7
|
7
|
(7)
|
(7)
|
(7)
|
|
РАТС
4 и УСС (E)
|
12+2
12+2
|
Осн.
Рез.
|
14
|
14
|
14
|
14
|
(14)
|
(14)
|
|
РАТС
5 (B)
|
7
7
|
Осн.
Рез.
|
7
|
(7)
|
(7)
|
(7)
|
(7)
|
(7)
|
|
АМТС
(F)
|
4
4
|
Осн.
Рез.
|
4
|
4
|
4
|
4
|
4
|
(4)
|
|
I
|
II
|
III
|
IV
|
V
|
VI
|
VII
|
VIII
|
IX
|
X
|
|
РАТС
2 (C)
|
РАТС
1 (A)
|
8
8
|
Осн.
Рез.
|
(8)
|
(8)
|
8
|
8
|
8
|
8
|
|
РАТС
3 (D)
|
8
8
|
Осн.
Рез.
|
(8)
|
(8)
|
8
|
(8)
|
(8)
|
(8)
|
|
РАТС
4 и УСС (E)
|
15+2
15+2
|
Осн.
Рез.
|
(17)
|
(17)
|
17
|
17
|
(17)
|
(17)
|
|
РАТС
5 (B)
|
8
8
|
Осн.
Рез.
|
8
|
(8)
|
8
|
8
|
8
|
8
|
|
АМТС
(F)
|
5
5
|
Осн.
Рез.
|
(5)
|
(5)
|
5
|
5
|
5
|
(5)
|
|
РАТС
3 (D)
|
РАТС
1 (A)
|
7
7
|
Осн.
Рез.
|
(7)
|
(7)
|
(7)
|
7
|
7
|
7
|
|
РАТС
2 (С)
|
8
8
|
Осн.
Рез.
|
8
|
8
|
(8)
|
8
|
8
|
8
|
|
РАТС
4 и УСС (E)
|
12+2
12+2
|
Осн.
Рез.
|
(14)
|
(14)
|
(14)
|
14
|
(14)
|
(14)
|
|
РАТС
5 (B)
|
7
7
|
Осн.
Рез.
|
7
|
(7)
|
(7)
|
7
|
7
|
7
|
|
АМТС
(F)
|
4
4
|
Осн.
Рез.
|
(4)
|
(4)
|
(4)
|
4
|
4
|
(4)
|
|
РАТС
4 (E)
|
РАТС
1 (A)
|
12
12
|
Осн.
Рез.
|
(12)
|
(12)
|
(12)
|
(12)
|
12
|
12
|
|
РАТС
2 (С)
|
15
15
|
Осн.
Рез.
|
15
|
15
|
(15)
|
(15)
|
15
|
15
|
|
РАТС
3 (D)
|
12
12
|
Осн.
Рез.
|
12
|
12
|
12
|
(12)
|
12
|
12
|
|
РАТС
5 (B)
|
12
12
|
Осн.
Рез.
|
12
|
(12)
|
(12)
|
(12)
|
12
|
12
|
|
АМТС
(F)
|
7
7
|
Осн.
Рез.
|
(7)
|
(7)
|
(7)
|
(7)
|
7
|
(7)
|
|
РАТС
5 (В)
|
РАТС
1 (A)
|
7
7
|
Осн.
Рез.
|
(7)
|
7
|
7
|
7
|
7
|
7
|
|
РАТС
2 (С)
|
8
8
|
Осн.
Рез.
|
(8)
|
8
|
(8)
|
(8)
|
(8)
|
(8)
|
|
РАТС
3 (D)
|
7
7
|
Осн.
Рез.
|
(7)
|
7
|
7
|
(7)
|
(7)
|
(7)
|
|
РАТС
4 и УСС (E)
|
12+2
12+2
|
Осн.
Рез.
|
(14)
|
14
|
14
|
14
|
(14)
|
(14)
|
|
АМТС
(F)
|
4
4
|
Осн.
Рез.
|
(4)
|
4
|
4
|
4
|
4
|
(4)
|
|
АМТС
(F)
|
РАТС
1 (A)
|
4
4
|
Осн.
Рез.
|
(4)
|
(4)
|
(4)
|
(4)
|
4
|
|
РАТС
2 (С)
|
5
5
|
Осн.
Рез.
|
5
|
5
|
(5)
|
(5)
|
(5)
|
5
|
|
РАТС
3 (D)
|
4
4
|
Осн.
Рез.
|
4
|
4
|
4
|
(4)
|
(4)
|
4
|
|
РАТС
4 (Е)
|
7
7
|
Осн.
Рез.
|
7
|
7
|
7
|
7
|
(7)
|
7
|
|
РАТС
5 (В)
|
4
4
|
Осн.
Рез.
|
4
|
(4)
|
(4)
|
(4)
|
(4)
|
4
|
|
Суммарное
число цифровых потоков Е1, передаваемых по участкам кольца
|
122
(126)
|
124
(124)
|
126
(122)
|
128
(120)
|
120
(128)
|
120
(128)
|
|
|
|
|
|
|
|
|
|
|
|
|
|
|
|
|
|
Максимальное количество цифровых поток
Е1, передаваемых на участке кольца, получилось равным: 
.
Необходимое число цифровых потоков
Е1 должно удовлетворять следующему условию:
Где коэффициент запаса на развитие
сети возьму равным: 
.
Таким образом, получаю:
Т.к. необходимое число цифровых
потоков Е1 находится в промежутке 
, то тип синхронного транспортного
модуля будет STM4…
Выбор типа оптического кабеля.
При реализации кольцевой структуры
используются не менее 4 оптических волокон (2 основных и 2 резервных).
Для соединения мультиплексоров
системы SDH использую одномодовые волоконно-оптические кабели.
Для построения транспортной сети
кольцевой структуры использую синхронный мультиплексор SM-1/4 фирмы Simens. Для
стыковки мультиплексора M-622 (STM-4) с оптическим кабелем используется два
типа модулей оптического линейного тракта:
Opt.622мб
(SH) - 
, 
;.622мб (LH) - 
, 
.
Сейчас определю оптимальную длину
волны и выберу соответствующий модуль оптического линейного тракта.
Максимальное расстояние между
мультиплексорами ввода-вывода кольца составляет: 
. На сети используется STM-4.
Определю затухание на участке
кольца, имеющего максимальное расстояние между мультиплексорами ввода-вывода,
при использовании кабеля с длиной волны 
и 
:
В обоих случаях затухание участка не
превышает значение перекрываемого затухания 24 дБ. Значит целесообразно
использовать 
и Opt.622мб (SH), т.к. стоимость
кабеля на длине волны 
, ощутимо меньше стоимости кабеля на
лине волны 
.
На территории города оптический
кабель прокладывается в кабельной канализации.
Учитывая все выше сказанное, выбираю
следующий оптический кабель: ОККО-10-01-1,0-4 - оптический кабель для прокладки
в канализации с броней в виде металлической оплетки, в этом кабеле используются
4 одномодовых волокна. Этот кабель используется для прокладки в кабельной
канализации, трубах, блоках, коллекторах, на мостах и в шахтах с защитой от
грызунов.
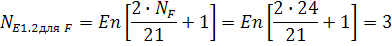
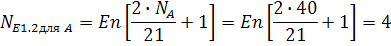
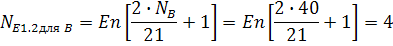
Выбор конфигурации мультиплексоров
ввода-вывода.
Сначала для каждого узла определю
количество модулей вставки (выделения потоков 2 Мб/с - Е1.2). На одном модуле
Е1.2 Мб/с можно выделить до 21 потока 2 Мб/с, а также возможно резервирование.
Число потоков 2 Мб/с для
мультиплексора ввода-вывода равно:
Учитывая резервное направление, то
получается в 2 раза больше ИКМ потоков.
Таким образом, число модулей ставок
для мультиплексоров равно:
Значит, мультиплексор SM-1/4 будет с
одним рядом модулей, максимальное количество выделяемых 2 Мб потоков - 126,
максимальное количество направлений STM-4 - 2.
Модули UCU, SN4, LAD являются
неотъемлемой частью мультиплексора SM-1/4 и устанавливаются на каждом узле.
Механическая конструкция модуля ADM
для узла C выглядит следующим образом:
Структурная схема модуля ADM выглядит следующим
образом:
. Оценка структурной надежности сети
Надежность сети связи - это свойство, заключающееся
в способности выполнять определенные функции (доставка сообщений) в
определенных условиях эксплуатации.
Структурная надежность сети отражает
функционирование сети в целом в зависимости от работоспособности или отказов
узлов (станций, пунктов) или линий сети, т.е. она связана с возможностью
существования в сети путей доставки информации.
Первичная сеть связи представляется в виде
вероятностного графа. Веса элементов графа (узлов и линий связи) представляются
надежностными показателями (коэффициенты готовности).
Модель сети, используемая для оценки структурной
надежности сети, имеет следующий вид:
Как видно из модели сети, узлы кольца являются
абсолютно надежными. Абсолютно надежны РАТС сети и участки подключения РАТС к
узлам сети. Ненадежными являются различные участки кольца.
В качестве показателя оценки структурной
надежности используют математическое ожидание числа связей M(X) на ГТС.
Коэффициент готовности приму равным:

Введу следующие обозначения:

- участок сети;

- k-ый путь, связывающий узел I и
j.
. Определю список путей связывающих
узлы сети:

; 

; 

; 

; 

; 

; 

; 

; 

; 

; 

; 

; 

; 

; 

; 

; 

; 

; 

; 

; 

; 

; 

; 

; 

; 

; 

; 

; 

; 

; 
2. Определю надежность каждого из
указанных путей:
3. Определю вероятность связности
каждой пары узлов сети:
. Определю математическое ожидание
числа связей в сети M(X):
Максимальное число связей в сети при
абсолютной надежных элементов равна:
Таким образом, математическое
ожидание в относительных единицах равно:
Структурная надежность кольца
достаточна для ГТС. Чтобы увеличить структурную надежность, необходимо увеличить
коэффициент готовности или увеличить число путей, связывающие узлы…
Заключение
В данной курсовой работе разработал
проект городской телефонной сети на базе систем передачи синхронной цифровой
иерархии (SDH).
В первом разделе я получил схему
построения ГТС и разработал нумерацию абонентских линий:
|
РАТС
|
РАТС
1
|
РАТС
2
|
РАТС
3
|
РАТС
4
|
РАТС
5
|
|
Тип
РАТС
|
S-12
|
S-12
|
S-12
|
АТСК-У
|
S-12
|
|
Емкость
РАТС
|
14600
|
18400
|
14300
|
19000
|
15000
|
|
Местный
абонентский №
|
300000-
314599
|
320000-
338399
|
340000-
354299
|
360000-
378999
|
380000-
394999
|
|
Зоновый
№
|
2300000-
2314599
|
2320000-
2338399
|
2340000-
2354299
|
2360000-
2378999
|
2380000-
2394999
|
|
Междугородний
№
|
3832300000-
3832314599
|
3832320000-
3832338399
|
3832340000-
3832354299
|
3832360000-
3832378999
|
3832380000-
3832394999
|
|
Международный
№
|
73832300000-
73832314599
|
73832320000-
73832338399
|
73832340000-
73832354299
|
73832360000-
73832378999
|
73832380000-
73832394999
|
Во втором разделе посчитал распределение
нагрузки
|
№
РАТС
|
РАТС
1
|
РАТС
2
|
РАТС
3
|
РАТС
4
|
РАТС
5
|
|
 ,
Эрл736,24928,03721,15958,21756,49
|
|
|
|
|
|
|
РАТС
1
|
|
107,85
|
86,37
|
109,75
|
90,01
|
|
РАТС
2
|
103,49
|
|
101,67
|
129,18
|
105,96
|
|
РАТС
3
|
86,65
|
106,31
|
|
108,17
|
88,72
|
|
РАТС
4
|
104,9
|
128,69
|
103,06
|
|
107,41
|
|
РАТС
5
|
89,62
|
109,94
|
88,04
|
111,87
|
|
|
АМТС
|
ЗСЛ
|
46,21
|
57,74
|
45,00
|
59,85
|
47,25
|
|
СЛМ
|
30,88
|
38,92
|
30,36
|
40,19
|
31,73
|
|
УСС
|
18,71
|
23,58
|
18,32
|
24,06
|
19,22
|
В третьем разделе рассчитал емкости пучков
соединительных линий
|
Тип
РАТС
|
РАТС1
|
РАТС2
|
РАТС3
|
РАТС4
|
РАТС5
|
АМТС
|
УСС
|
|
РАТС1
|
S-12
|
|
245*
|
214*
|
172
|
212*
|
67**
|
35
|
|
РАТС2
|
S-12
|
245*
|
|
242*
|
210
|
250*
|
80**
|
42
|
|
РАТС3
|
S-12
|
214*
|
242*
|
|
169
|
208*
|
66**
|
35
|
|
РАТС4
|
АТСК-У
|
180
|
211
|
177
|
|
183
|
113
|
54
|
|
РАТС5
|
S-12
|
212*
|
250*
|
208*
|
176
|
|
68**
|
36
|
|
АМТС
|
AXE-10
|
50**
|
60**
|
49**
|
81
|
50**
|
|
|
*двунаправленные линии
**рассматриваются как однонаправленные
В четвертом разделе я получил оптимальную
структуру кольца протяженностью 64 км:
В пятом разделе посчитал число ИКМ трактов
передачи:
|
РАТС1
|
РАТС2
|
РАТС3
|
РАТС4
|
РАТС5
|
АМТС
|
УСС
|
|
РАТС1
|
|
8
|
7
|
12
|
7
|
4
|
2
|
|
РАТС2
|
8
|
|
8
|
15
|
8
|
5
|
2
|
7
|
8
|
|
12
|
7
|
4
|
2
|
|
РАТС4
|
12
|
15
|
12
|
|
12
|
7
|
2
|
|
РАТС5
|
7
|
8
|
7
|
12
|
|
4
|
2
|
|
АМТС
|
4
|
5
|
4
|
7
|
4
|
|
|
Используя эту таблицу, выбрал тип оптического
модуля STM-4; тип оптического кабеля ОККО-10-01-1,0-4; также выбрал конфигурации
мультиплексоров, состоящих из модулей: Opt. 622 Mb (SH), SN-4, SN-4 (1+1), UCU,
LAD, E.1.2 Mb/s.
В шестом разделе сделал оценку
структурной надежности сети: определил надежность каждого пути, которая
находится в диапазоне от 0,951 до 0,990 , и математическое ожидание в
относительных единицах 
. Структурная надежность достаточна.
Таким образом, в данной курсовой
работе я получил практические навыки в построения городской телефонной сети,
это мне непосредственно пригодится в дальнейшем на рабочем месте…
Список используемой литературы
1.
Егунов М.М., Бежаева Е.Б., Шерстнева О.Г. Проектирование ГТС на базе SDH.
Учебное пособие. - Н.: СибГУТИ, 2002.
.
Ионов А.Д. Волоконная оптика в системе связи и коммутации. Часть 1. Учебное
пособие. - Новосибирск: СибГАТИ, 1998.