Построение ГТС на базе SDH
Содержание
Введение
1. Разработка схемы построения ГТС
.1 Анализ способов построения
телефонных сетей общего пользования
.2 Обоснование выбора способа
построения проектируемой сети
.3 Разработка системы нумерации
абонентских линий
2. Расчет
интенсивности телефонной нагрузки на сети
2.1 Составление диаграммы
распределения нагрузки
.2 Расчет местной исходящей нагрузки
.3 Расчет нагрузки к узлу спецслужб
(УСС)
.4 Расчет междугородной нагрузки
.5 Расчет местной межстанционной
нагрузки
3. Расчет емкости
пучков соединительных линий
3.1 Расчет числа соединительных
линий на межстанционной сети
.2 Расчет числа ИКМ трактов передачи
4. Выбор
оптимальной структуры построения первичной сети на базе SDH
4.1 Анализ способов построения сети
на базе SDH и выбор структуры первичной сети
.2 Разработка оптимальной структуры
первичной сети
5. Расчет
объема оборудования системы SDH
5.1 Выбор типа транспортных модулей
SDH
.2 Определение объема оборудования
.3 Выбор типа оптического кабеля
6. Расчет
структурной надежности сети МСС
Заключение
Список используемой литературы
Введение
Потребности пользователей телефонных сетей
общего пользования возрастают, при этом увеличивается как количество абонентов
ТФОП, так и средние объемы информации, приходящиеся на каждого пользователя.
Это вызвано внедрением более совершенного оборудования, приводящее к увеличению
числа предоставляемых услуг электросвязи, появлением новых технологий
предъявляющих довольно высокие требования к качеству телефонных линий и
каналов, а также требующих большого время занятия линии. Еще одним новшеством в
современных технологиях построения ТФОП является применение цифрового
оборудования, что требует значительной модернизации существующей сети. Здесь
можно выделить сети с интеграцией услуг ISDN
и интеллектуальные сети IN.
Абоненты таких сетей получают огромное количество дополнительных услуг, в том
числе услуги доступа к интернету на скоростях значительно превышающих
возможности существующих сетей общего пользования. Внедрение таких технологий
требует прокладки как более качественных кабельных сетей, так и оптических
кабелей связи. Кроме замены кабельного хозяйства на существующей сети требуется
произвести замену станционного оборудования, а также провести оптимизацию
топологии сети.
Для рассмотрения вопросов современных сетей ТФОП
в качестве темы курсового проектирования выбрана задача построения ГТС на базе SDH.
Задачи курсового проекта:
*рассмотреть вопросы нумерации на ТФОП
*произвести расчет нагрузки на проектируемой
сети
*обосновать способ построения первичной сети
*разработать структуру вторичной сети
*в соответствии с рассчитанной нагрузкой
рассчитать необходимое число соединительных линий на сети
*рассчитать объемы оборудования ИКМ и SDH
Все эти задачи позволяют практически
познакомиться с проектированием сетей SDH.
1.
Разработка схемы построения ГТС
.1
Анализ способов построения телефонных сетей общего пользования
телефонный сеть sdh кабель
Разработка схемы межстанционной связи и
нумерация абонентских линий (АЛ).
Анализ способов построения телефонных сетей общего
пользования.
Для построения сетей ГТС используют следующие
способы:
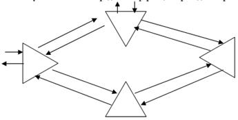
а) каждый с каждым - полносвязная сеть,
используется в случае большого тяготения между станциями, небольшого размера
сети, большой интенсивности нагрузок между станциями. Этот тип построения
характеризуется самой высокой надежностью из всех методов, но относительно
низким коэффициентом использования линий, по такому принципу строятся ГТС
средней емкости.
Рисунок 2. Структура сети «каждый с каждым»
б) радиальный - способ построения, при котором
на сети организуется одна узловая станция, к которой подключаются оконечные
станции. Такой тип применяется на СТС, для него характерны большой уровень
потерь, низкое тяготение нагрузки между оконечными станциями и большое
тяготение нагрузки от конечных к узловой станции, довольно высокий коэффициент
использования межстанционных каналов.
Рисунок 3. Структура «радиальной» сети
с) радиально-узловой, -развитие предыдущего способа
для более крупной СТС с большим числом станций, значительно удаленных друг от
друга. В этом случае организуется три типа станций: центральная станция,
узловая станция, оконечная станция. Для этого способа построения характерны
большие потери на сети, а также низкие значения межстанционной нагрузки.
Рисунок -4. Радиально-узловой способ построения
1.2
Обоснования выбора построения проектируемой сети
Для построения проектируемой сети будем
использовать способ «каждый с каждым», т.к. наша сеть представляет собой ГТС средней
емкости с небольшим числом станций и небольшими расстояниями между ними. Данный
способ наиболее приемлем как с точки зрения надежности, так и с экономической
точки зрения.
Рисунок 5. Схема межстанционных связей
1.3
Разработка системы нумерации абонентских линий
На ТФОП России принят зоновый принцип нумерации
с индексами выхода на внутризоновую междугороднюю и международные сети. Полный
телефонный номер на ТФОП имеет вид:
АВСabxxxxx,
Где АВС - междугородний код номера (А не может
принимать значения 1 и 2).
аb
- внутризоновый код (а не может принимать значения 0 и 8).
ххххх - местный абонентский номер (первая цифра
номера не может принимать значения 0 и 8).
Зная монтированные емкости станций на сети и
беря коэффициент использования нумерации kи=0,8
рассчитываем значность номера на сети, а также монтированную и номерную емкость
сети:
Определим значность номера.
1. Суммарная монтированная емкость сети:
N монт. =
NРАТСi ,
где i = 1, 2, …, m - номер
РАТС,
N РАТСi -
монтированная емкость i-ой РАТС.
номеров
1. Определим номерную емкость
проектируемой сети:
,
где kи -
коэффициент использования номерной емкости.
номеров.
2. Определим минимально необходимую
значность номера (nmin)
с учетом реализации экстренных служб и выхода на АМТС:
где n -
минимально необходимое число знаков в местном абонентском номере.
Решая неравенство, находим, что
значность n должна быть равной 6.
Окончательный вид разработанной
системы нумерации выглядит следующим образом.
Таблица 1. - Нумерация абонентских
линий для различных видов связи
|
№
п.п.
|
Тип
РАТС
|
Емкость
РАТС
|
Местный
номер
|
Зоновый
номер
|
Междугородный
номер
|
Международный
номер
|
|
1
|
АТСК
|
9000
|
100000-
108999
|
2100000-
2108999
|
3832100000-3832108999
|
73832100000-73832108999
|
|
2
|
EWSD
|
13000
|
200000-212999
|
2200000-2212999
|
3832200000-3832212999
|
7383220000-73832212999
|
|
3
|
EWSD
|
14000
|
300000-313999
|
2300000-2313999
|
3832300000-3832313999
|
73832300000-73832313999
|
|
4
|
AXE-10
|
15000
|
400000-414999
|
2400000-2414999
|
3832400000-3832414999
|
73832400000-73832414999
|
|
5
|
AXE-10
|
16000
|
500000-515999
|
2500000-2515999
|
3832500000-3832515999
|
73832500000-73832515999
|
2.
Расчет интенсивности телефонной нагрузки на сети
.1
Составление диаграмм распределения нагрузки
РАТС1
РАТС2
|
Аисх.м.1
|
КП
|
Азсл1
|
|
Аисх.м.1
|
КП
|
Азсл2
|
|
Ам.сл1
|
|
Аусс
|
|
Ам.сл1
|
|
Аусс
|
|
Авх2-1
|
|
Аисх1-2
|
|
Авх1-2
|
|
Аисх2-1
|
|
Авх3-1
|
|
|
|
Авх3-2
|
|
Аисх2-3
|
|
Авх4-1
|
|
Аисх1-3
|
|
Авх4-2
|
|
Аисх2-4
|
|
Авх5-1
|
|
Аисх1-4
|
|
Авх5-2
|
|
Аисх2-5
|
|
Ам/г(кв. н/х,кпп,мта.)
|
|
Аисх1-5
|
|
Ам/г(кв. н/х,кпп,мта.)
|
|
|
|
Аисх.м.1
|
|
Азсл3
|
|
Аисх.м.1
|
|
Азсл4
|
|
|
РАТС3
|
|
|
|
РАТС4
|
|
|
|
КП
|
|
|
|
КП
|
|
|
Ам.сл1
|
|
Аусс
|
|
Ам.сл1
|
|
Аусс
|
|
Авх1-3
|
|
Аисх3-1
|
|
Авх1-4
|
|
Аисх4-1
|
|
Авх2-3
|
|
Аисх3-2
|
|
Авх2-4
|
|
Аисх4-2
|
|
Авх4-3
|
|
Аисх3-4
|
|
Авх3-4
|
|
Аисх4-3
|
|
Авх5-3
|
|
Аисх3-5
|
|
Авх5-4
|
|
Аисх4-5
|
|
Ам/г(кв. н/х,кпп,мта.)
|
|
Азсл5
|
|
Ам/г(кв. н/х,кпп,мта.)
|
|
Ам/г исх.
|
|
Аисх.м.1
|
|
|
|
Ам/г.вход.
|
|
|
|
|
РАТС5
|
|
|
|
АМТС
|
|
|
|
КП
|
|
|
|
КП
|
|
|
Ам.сл1
|
|
Аусс
|
|
Азсл1
|
|
Ам.сл1
|
|
Авх1-5
|
|
Аисх5-1
|
|
Азсл2
|
|
Ам.сл2
|
|
Авх2-5
|
|
Аисх5-2
|
|
Азсл3
|
|
Ам.сл3
|
|
Авх3-5
|
|
Аисх5-3
|
|
Азсл4
|
|
Ам.сл4
|
|
Авх4-5
|
|
Аисх5-4
|
|
Азсл5
|
|
Ам.сл5
|
|
Ам/г(кв. н/х,кпп,мта.)
|
|
|
|
|
|
|
|
|
|
|
|
|
|
|
УСС
|
А1усс
|
КП
|
|
А2усс
|
|
|
А3усс
|
|
|
А4усс
|
|
|
А5усс
|
|
|
|
|
Авхj-нагрузка поступающая на вход КП от
абонентов других РАТС
Аисхj-нагрузка создаваемая на выходе КП при
установлении соединений к абонентам других РАТС.
Аслм-входящяя междугородняя нагрузка к абонентам
РАТС от АМТС.
Аисх.м.-местная телефонная нагрузка, поступающая
на входы КП от абонентов квартирного и н\х сектора, а также местных
таксофонов.
Азсл-нагрузка поступающая на входы КП от
квартирного и н\х сектора РАТС, а также КПП и междугородних телефонов при
вызове ими АМТС.
Аусс-нагрузка, поступающая от абонентов РАТС на
УСС.
2.2
Расчет местной исходящей нагрузки
Рассчитаем исходящую местную нагрузку
создаваемую различными абонентами РАТС по методике, изложенной в НТП 112-2000.
Согласно данной методике, расчет нагрузки Аисхi
производится отдельно для утреннего и вечернего ЧНН и из этих значений
выбирается максимальное значение, которое принимается за расчетную нагрузку.
Аисхi
= max { Аутр., Авеч.},
Эрл.
Структурный состав абонентов проектируемой сети:
,
общее число квартирных абонентов на
сети;
общее число абонентов делового
сектора на сети;
общее число таксофонов на сети;
общее число кабин переговорных
пунктов;
общее число междугородних
таксофонов.
Таблица 2. - Структурный состав
абонентов станций
|
|
Nкв
|
Nд
|
Nт
|
Nкпп
|
Nмт
|
|
РАТС-1
9000
|
Диск.
|
4860
|
4050
|
2025
|
54
|
9
|
27
|
|
Таст.
|
|
1944
|
|
2025
|
|
|
|
|
РАТС-2
13000
|
Диск
|
7020
|
4212
|
5850
|
2925
|
78
|
13
|
39
|
|
Таст.
|
|
2808
|
|
2925
|
|
|
|
|
РАТС-3
14000
|
Диск
|
7560
|
4536
|
6300
|
3150
|
84
|
14
|
42
|
|
Таст.
|
|
3024
|
|
3150
|
|
|
|
|
РАТС-4
15000
|
Диск
|
8100
|
4860
|
6750
|
3375
|
90
|
15
|
45
|
|
Таст.
|
|
3240
|
|
3375
|
|
|
|
|
РАТС-5
16000
|
Диск
|
8640
|
5184
|
7200
|
3600
|
96
|
16
|
48
|
|
Таст.
|
|
3456
|
|
3600
|
|
|
|
Произведем расчеты для РАТС-2:
Расчет нагрузки утреннего ЧНН:
Аутр. = Аi
утр.ЧНН + Аутр.время ,
где Аiутр.ЧНН
- суммарная нагрузка для всех i
категорий абонентов, имеющих максимальный ЧНН - утренний это категория делового
сектора;
Аi утр.ЧНН =
Ni ai,
Аутр.время - добавочная суммарная нагрузка,
создаваемая во время утреннего ЧНН абонентами тех категорий j,
которые имеют ЧНН не утренний, а вечерний.
Нагрузку, создаваемую таксофонами в дневное ЧНН
можно условно отнести к максимальному ЧНН (утреннему).
Так как квартирные и таксофонные абонентские
категории имеют определенные ЧНН утренние, то их нагрузка входит как основная
(а не добавочная) нагрузка в значение нагрузки утреннего ЧНН.
где Ni
- количество абонентов i-ой
категории;
ai -
интенсивность нагрузки в утренний ЧНН абонента i-ой
категории, определенной по таблице приложения 1.
Эрл
Аналогично подсчитываем нагрузку в вечерний ЧНН.
Авеч.=Аjвеч.ЧНН
+ Авеч. время.
где Аj
веч.ЧНН - суммарная нагрузка для абонентов j-ых
категорий, имеющих только вечерний ЧНН.
Аjвеч.ЧНН =
·aj;
Эрл
Эрл
Авеч.время - добавочная суммарная
нагрузка, создаваемая во время вечернего ЧНН абонентами тех категорий j, которые
имеют ЧНН не вечерний, а утренний это категория делового сектора.
Авеч. время = Аi утр.ЧНН/КТ
где Nj
- количество абонентов конкретной j-ой
категории;
aj -
интенсивность нагрузки в вечерний ЧНН абонента j
- ой категории, определенной по таблице приложения 1;
К - коэффициент концентрации нагрузки. При
отсутствии статистических данных принимаем К=0.1;
Т - период суточной нагрузки (24часа), но,
учитывая, что в ночное время нагрузка значительно меньше дневной, можно брать
период нагрузки равный 16 часам.
Тогда
Авеч. время = Аi
утр.ЧНН/1,6 (К=0.1, Т=16ч.);
Аi утр.ЧНН =
Ni ai,
Так как квартирные и таксофонные абонентские
категории имеют определенные ЧНН вечернее, то их нагрузка входит как основная
(а не добавочная) нагрузка в значение нагрузки вечернего ЧНН.
Эрл
Эрл



Эрл
Из значений произведенного расчета нагрузки, для
утреннего и вечернего ЧНН выбираем максимальное значение, которое принимаем за
расчетную нагрузку:
А2.утр. = 579,54 > Авеч. = 487,6 Эрл
А2.утр = 579,54 Эрл - расчетная нагрузка.
Определяем удельную нагрузку на одну абонентскую
линию.
Эрл
Расчет исходящей нагрузки для других
станций.
Исходящую нагрузку от других станций вычислим
следующим образом. Принимая во внимание то, что структурный состав всех станций
одинаков, различие только в монтированной емкости. Следовательно, вычислив
удельную исходящую нагрузку от одной абонентской линии и умножив ее на
монтированную емкость каждой станции, можно достаточно точно определить
исходящую нагрузку.
Удельная нагрузка определяется следующим
образом:
Рассчитываем удельную нагрузку от
остальных РАТС.
Эрл
Эрл
Эрл
Эрл
При расчете исходящей местной нагрузки учитываем
использование на сети телефонных аппаратов с тастатурными и дисковыми
номеронабирателями. С учетом использования номеронабирателей, расчет нагрузки
Аутр. производим по формуле:
Аутр.=S Кi
Ni аi
+ S(
Кj Nj
аj),
где Кi
(Кj) - поправочный
коэффициент, учитывающий использование ТА с тастатурным и дисковым
номеронабирателями, абонентами i-ой
(j-ой) категории. В
свою очередь Кi определяется по
формуле:
Кi
= 1- (1,5ndi)/ti,
- для ТА с дисковым номеронабирателем;
Кi
= 1- (0,8ndi)/ti,
- для ТА с тастатурным номеронабирателем
где n
- значность номера абонента на местной сети;
ti - средняя
продолжительность занятия в секундах, взятое из таблицы приложения А;
di - доля абонентов i-ой
категории, имеющих ТА с тастатурным и дисковым номеронабирателями:
di=
,
где N/i
- количество абонентов i-ой
категории, имеющие ТА с тастатурным и дисковым номеронабирателями:
Ni - общее
число абонентов i-ой
категории.
Доля телефонов с тастатурным
номеронабирателем от емкости квартирного сектора -
= 0,40. А с
дисковым номеронабирателем -
= 0,60.
Доля телефонов с тастатурным
номеронабирателем от емкости делового сектора -
= 0,5. А с дисковым
номеронабирателем -
=0,5.
Все таксофоны с тастатурным
номеронабирателем.
= 1.
Отсюда следует, что
- поправочный коэффициент,
учитывающий использование ТА с дисковым номеронабирателем, абонентами
квартирного сектора.
- поправочный коэффициент,
учитывающий использование ТА с тастатурным номеронабирателем абонентами
квартирного сектора.
- поправочный коэффициент,
учитывающий использование ТА с дисковым номеронабирателем, абонентами делового
сектора.
- поправочный коэффициент,
учитывающий использование ТА с тастатурным номеронабирателем, абонентами
делового сектора.
- поправочный коэффициент,
учитывающий использование ТА с тастатурным номеронабирателем, абонентами
таксофонов.
Для РАТС -1:
Эрл
Для РАТС -2:
Эрл
Для РАТС - 3:
Эрл
Для РАТС - 4:
Эрл
Для РАТС - 5:
Эрл
Расчет интенсивности нагрузки на
выходе коммутационного поля.
Нагрузка на выходе КП создается с
момента начала процесса установления соединения.
Нагрузка, создаваемая на выходе КП
меньше нагрузки, создаваемой на его входе.
Авых= 0,95Аисх.i
Произведем расчет интенсивности
нагрузки на выходе КП
Эрл;
Эрл;
Эрл;
Эрл;
Эрл.
2.3
Расчет нагрузки к узлу спецслужб (УСС)
Доля интенсивности нагрузки к УСС от местной
исходящей нагрузки на выходе КП составляет 3%.
Тогда АУССi
= 0,03 Авых.КПi , Эрл.
Эрл
Эрл
Эрл
Эрл
Эрл
Для удобства дальнейшей обработки
данных, результаты сведем в таблицу.
Таблица 3. Нагрузка к узлу спецслужб
|
РАТС
- 1
|
РАТС
- 2
|
РАТС
- 3
|
РАТС
- 4
|
РАТС
- 5
|
|
Авых.усс.
Эрл
|
10,86
|
15,68
|
16,89
|
18,1
|
19,19
|
|
Авых.КП.
Эрл
|
361,93
|
522,79
|
563
|
603,22
|
639,64
|
2.4
Расчет междугородной нагрузки
Расчет междугородной нагрузки необходимо
производить отдельно для связи РАТС с АМТС и АМТС с РАТС.
Расчет интенсивности исходящей
междугородной нагрузки.
Азсл = азсл (Nкв
+ Nд ) +Акпп исх. +
Амта , Эрл.
Акпп исх. - исходящая нагрузка, создаваемая
кабинами переговорных пунктов;
Акпп исх. = (акпп/2) Nкпп
,
где акпп = 0,45 Эрл - удельная нагрузка от одной
кабины ПП;
азсл - 0,0015 - удельная нагрузка от одного
источника (абонента квартирного или делового) на ЗСЛ;
Амта - нагрузка, создаваемая междугородными
телефонами-автоматами.
Амта= амта Nмта
, Эрл.,
амта = 0,42 Эрл - удельная нагрузка от одного
МТА.
Для РАТС - 1:
Амта.1
Эрл;
Эрл;
Эрл
Для РАТС - 2:
Эрл;
Эрл;
Эрл;
Для РАТС - 3:
Эрл;
Эрл;
Эрл.
Для РАТС - 4:
Эрл;
Эрл;
Эрл.
Для РАТС - 5:
Эрл;
Эрл;
Эрл.
Расчет интенсивности входящей междугородной
нагрузки.
Аслм = аслм (Nкв + Nд ) +Акпп
вх. , Эрл
Значения аслм - 0,001 Эрл.
Акпп вх. = Акпп исх.
Эрл;
Эрл;
Эрл;
Эрл;
Эрл.
Таблица - 4. Нагрузка на ЗСЛ и СЛМ
|
РАТС
- 1
|
РАТС
- 2
|
РАТС
- 3
|
РАТС
- 4
|
РАТС
- 5
|
|
Азсл,
Эрл
|
26,71
|
38,61
|
41,58
|
44,55
|
47,52
|
|
Аслм,
Эрл
|
10,91
|
15,79
|
17,01
|
18,22
|
19,44
|
|
Амта,
Эрл
|
11,34
|
16,38
|
17,64
|
18,9
|
20,16
|
|
АКППисх,
Эрл
|
2,005
|
2,925
|
3,15
|
3,375
|
3,6
|
2.5
Расчет межстанционной нагрузки
В курсовом проекте расчет интенсивности
межстанционной нагрузки производим по методике, изложенной в НТП 112-2000.
1. Для каждой РАТС определим коэффициент hI
:
hi= (Авых.КПi 100)/
, %
;
;
;
;
2. Рассчитав коэффициент hi
, по таблице приложения Б определим значение коэффициента внутристанционного
тяготения Кi для каждой станции
РАТС.
Таблица -5. Коэффициенты тяготения каждой
станции
|
РАТС
- 1
|
РАТС
- 2
|
РАТС
- 3
|
РАТС
- 4
|
РАТС
- 5
|
|
η,
%
|
13,45
|
19,43
|
20,92
|
22,42
|
23,77
|
|
К,
%
|
32,9
|
38,5
|
39,28
|
40,84
|
41,62
|
Определим значения нагрузки от i-ой
станции ГТС, подлежащей распределению на местной сети.
Обозначим эту нагрузку через Аi,
Аi
= Авых.КПi - AУССi
, Эрл
Эрл;
Эрл;
Эрл;
Эрл;
Эрл.
3. Определим значение нагрузки Аi
расп., которая распределяется между станциями сети, за исключением i-ой
станции, по формуле
Аi
расп= Аi(1- (Кi/100)).
Эрл;
Эрл;
Эрл;
Эрл;
Эрл.
4. Распределение нагрузки от выбранной
станции Аi расп к другим
станциям сети осуществим пропорционально распределяемой нагрузки от каждой
станции РАТС (Аjрасп).Поэтому
для расчета нагрузки от i-ой
станции к j-ой воспользуемся
формулой:
Аij = (Аi расп Аj расп)/(
Akрасп.- Аiрасп.), Эрл
где Аij
-межстанционная нагрузка от i-ой станции к j-ой станции
ГТС;
Аi расп , Аj расп -
значения распределяемой нагрузки на сети соответственно для i-ой и j-ой станций.
Эрл;
Эрл;
Эрл;
Эрл;
Эрл;
Эрл;
Эрл;
Эрл;
Эрл;
Эрл;
Эрл;
Эрл;
Эрл;
Эрл;
Эрл;
Эрл;
Эрл;
Эрл;
Эрл;
Эрл.
Результаты, проведенных расчетов,
сведем в таблицу 6.
Таблица -6. Значения нагрузки между
станциями
|
РАТС
- 1
|
РАТС
- 2
|
РАТС
- 3
|
РАТС
- 4
|
РАТС
- 5
|
АМТС
|
УСС
|
|
РАТС
- 1
|
………..
|
29,92
|
31,83
|
33,21
|
34,76
|
26,71
|
10,86
|
|
РАТС
- 2
|
30,88
|
………….
|
43,5
|
45,38
|
47,49
|
38,61
|
……
|
|
РАТС
- 3
|
33,13
|
43,86
|
………….
|
48,69
|
50,94
|
16,89
|
|
РАТС
- 4
|
34,78
|
46,05
|
48,98
|
…………..
|
53,48
|
44,55
|
18,1
|
|
РАТС
- 5
|
36,65
|
48,52
|
51,61
|
53,85
|
………….
|
47,52
|
19,19
|
|
АМТС
|
10,91
|
15,79
|
17,01
|
18,22
|
19,44
|
……
|
…….
|
3.
Расчет емкости пучков соединительных линий
.1
Расчет числа соединительных линий на межстанционной сети
При расчете емкости пучка соединительных линий
(каналов) будем учитывать:
норму потерь (качество обслуживания вызовов) в
направлении связи;
величину нагрузки на заданном направлении связи;
структуру коммутационного поля узла
автоматической коммутации (РАТС, АМТС);
тип пучка соединительных линий (односторонний
или двухсторонний).
Нормы потерь представлены в таблице 7.
Таблица 7 - Нормы потерь на различных участках
соединительного тракта
|
№п/п
|
Участок
сети
|
Потери
|
|
1
|
Соединительные
линии РАТС - РАТС
|
0.01
|
|
2
|
Соединительные
линии от РАТС, УПАТС, ПСЭ к УСС (экстренные службы)
|
0.001
|
|
3
|
ЗСЛ
от РАТС
|
0.003
|
|
4
|
СЛМ
к РАТС
|
0.002
|
Прежде чем рассчитывать число соединительных
линий между станциями, необходимо осуществить переход от среднего значения
нагрузки к расчетномупо формулам:
,Эрл - для односторонних линий;
,-для двухсторонних линий,
где
, Эрл
Для расчета числа каналов от координатных АТС к
другим станциям сети используется метод эффективной доступности (МЭД),
поскольку в коммутационном поле, в качестве которого выступают блоки IГИ АТСК
наблюдается явление внутренних блокировок, что изменяет его доступность, а,
следовательно, пропускную способность.
В коммутационных полях цифровых систем
коммутации внутренние блокировки отсутствуют, что позволяют создавать
полнодоступные пучки в направлении связи.
Метод эффективной доступности.
На АТСК-У исходящие СЛ включаются в выходы
коммутационных блоков ГИ -3 с параметрами 80х120х400,исользуемых на ступени 1
ГИ.
Для расчета числа СЛ методом МЭД следует:
1. Определить эффективную доступность -
Дэф.
2. Используя приведенную формулу О’Делла,
определить число СЛ.
Расчет Дэф производится по формуле:
Дэф = Дmin + Q(
-Дmin),
где
- среднее значение доступности.
= q(mа - Аm),
Дmin -
минимальная доступность, Дmin =
- na + f),
где ma - число
выходов из одного коммутатора звена А; (ma=20 -среднее
число выходов из одного коммутатора звена А);
na - число
входов в один коммутатор звена А(nа=13.3 -среднее число входов в
коммутатор звена А. Всего на блоке I ГИ зв.А -
80 входов на 6 коммутаторов, 80/6=13,3);
f -
коэффициент связности для рассматриваемого блока коммутации (q = 1);
q - число выходов из
одного коммутатора звена В в заданном направлении (q
= 1, Д =20; q =2, Д=40;q=3,Д=60);
Q - коэффициент,
зависящий от параметров звеньевого включения, величины нагрузки, потерь и
доступности в направлении искания.
Q может изменяться в
пределах от 0,65 до 0,75 (Q = 0,75).
где Аm
- нагрузка, обслуживаемая mа
промежуточными линиями звеньевого включения:
Аm=
авх·nA,
где авх - удельная нагрузка на один вход блока
коммутации (IГИ), авх =(0,5) Эрл
линии.
Произведем расчет числа соединительных линии.
Для расчета емкости пучка от координатной
станции данная величина будет определяться формулой О’Делла имеющей следующий
вид:
Vij =aApij
+ b,
где Apij
- расчетная нагрузка в направлении от i-ой
станции к j-ой станции;
a и b
- коэффициенты, значения которых определяется для заданных потерь в направлении
связи и найденному значению Дэф.
для: РАТС → РАТС Р = 0,01; α
=1,2;
β
= 5,6;
для: РАТС → АМТС Р = 0,003; α
=1,27;
β
= 6,7;
для: РАТС → УСС Р = 0,001; α
=1,33;
β
= 7,7;
для: АМТС → РАТС Р = 0,002; α
=1,3;
β
= 7,1.
Для расчета емкости пучка цифровых
станций используем первую формулу Эрланга или таблицы Пальма.
Результаты расчета числа
соединительных линий в различных направлениях сведем в таблицу 8.
Таблица 8 - Число соединительных
линий межстанционной сети связи
|
РАТС-1
АТСК
|
РАТС-2
EWSD
|
РАТС-3
EWSD
|
РАТС-4
AXE-10
|
РАТС-5
AXE-10
|
АМТС
АХЕ-10
|
УСС
|
|
РАТС
-1
|
………
|
45
|
48
|
50
|
51
|
44
|
24
|
|
РАТС-
2
|
46
|
………
|
111
|
115
|
120
|
59
|
……..
|
|
РАТС-3
|
48
|
111
|
….….
|
122
|
128
|
62
|
33
|
|
РАТС-4
|
50
|
115
|
122
|
…..…..
|
133
|
66
|
35
|
|
РАТС-5
|
52
|
120
|
128
|
133
|
………
|
69
|
36
|
|
АМТС
|
23
|
30
|
32
|
35
|
37
|
……….
|
……….
|
Примечание,
т.к. при соединении цифровых, станции используются двухсторонние пучки, в
таблице указана суммарная емкость пучков между этими станциями, т.е. Vi↔j.
3.2
Расчет числа ИКМ трактов передачи
В качестве каналов доступа узлов коммутации
(РАТС, АМТС, УСС) к первичной сети, реализованной на базе SDH,
будем использовать плезиохронные системы передачи ИКМ -30 (стандарт Е1).
При применении односторонних линий и
децентрализованной системы сигнализации (2ВСК, “2 из 6» и т.д.), для расчета
требуемого числа потоков Е1 от i-ой
станции к j-ой станции,
воспользуемся формулой:
, ( 1.)
где Nijикм -
требуемое число цифровых потоков Е1 от i-ой станции
к j-ой станции;
Vсл - число
соединительных линий (каналов) между i-ой и j-ой
станциями, (Vсл = Vij+ Vji);
“Еn” - знак
целой части числа.
Для расчета числа систем ИКМ -30 вычислим
суммарное число соединительных линий между станциями, данные заносим в таблицу.
Таблица 9. Суммарное число соединительных линий
между станциями
|
РАТС-1
АТСК
|
РАТС-2
EWSD
|
РАТС-3
EWSD
|
РАТС-4
AXE-10
|
РАТС-5
AXE-10
|
АМТС
АХЕ-10
|
УСС
|
|
РАТС
-1
|
………
|
91
|
96
|
100
|
103
|
67
|
24
|
|
РАТС-
2
|
91
|
………
|
111
|
115
|
120
|
89
|
……
|
|
РАТС-3
|
96
|
111
|
……
|
122
|
128
|
94
|
33
|
|
РАТС-4
|
100
|
115
|
122
|
……
|
133
|
101
|
35
|
|
РАТС-5
|
103
|
120
|
128
|
133
|
……
|
106
|
36
|
|
АМТС
|
67
|
89
|
94
|
101
|
106
|
……
|
……
|
;
;
;
;
;
При применении двухсторонних пучков
и централизованной системы сигнализации (ОКС№7) воспользуемся формулой:
(2.)
Формула 2. справедлива, если Vсл > 60 каналов. В противном
случае необходимо использовать формулу (1).
;
.
Результаты расчета числа цифровых
потоков Е1 заносятся в таблицу 10.
Таблица 10. - Число ИКМ трактов
передачи цифровых потоков Е1 между станциями сети
|
РАТС-1
АТСК
|
РАТС-2
EWSD
|
РАТС-3
EWSD
|
РАТС-4
AXE-10
|
РАТС-5
AXE-10
|
АМТС
АХЕ-10
|
УСС
|
|
РАТС
-1
|
………
|
4
|
4
|
4
|
4
|
3
|
1
|
|
РАТС-
2
|
4
|
………
|
4
|
4
|
4
|
3
|
……
|
|
РАТС-3
|
4
|
4
|
……
|
5
|
5
|
4
|
2
|
|
РАТС-4
|
4
|
4
|
5
|
……
|
5
|
4
|
2
|
|
РАТС-5
|
4
|
4
|
5
|
5
|
……
|
4
|
2
|
|
АМТС
|
3
|
3
|
4
|
4
|
4
|
……
|
……
|
4.
Выбор оптимальной структуры построения первичной сети на базе SDН
.1
Анализ способов построения сети на базе SDH
и выбор структуры первичной сети
SDH -
синхронная цифровая иерархия (СЦИ), это способ организации универсальной
цифровой транспортной сети. На базе этого способа в настоящее время
организуется первичные цифровые сети с использованием ВОЛС.
Основные достоинства этого способа построения
сети:
Упрощения схемы построения сети, благодаря тому,
что SDH
мультиплексор заменил собой по функциональным возможностям стойку
мультиплексоров PDH.
Плезиохронный мультиплексор де мультиплексировал поток для выведения нескольких
компонентов сигналов, а затем мультиплексировал весь набор компонентных
сигналов снова. SDH
мультиплексор выделяет требуемые компонентные сигналы, не разбирая поток.
Оборудования нужно меньше, требования к питанию снижаются, площади на установку
оборудования уменьшается, затраты на эксплуатацию уменьшаются.
Высокая надежность сети. Централизованное
управление сетью обеспечивает полный мониторинг состояния каналов и узлов.
Использование кольцевых топологий предоставляет возможность автоматически пере
маршрутизации каналов при любых аварийных ситуациях на резервный маршрут.
Полный программируемый контроль. Управление
конфигурацией сети, отслеживание и регистрация аварийных ситуаций осуществляется
программными средствами с единой консоли управления. В функции центральной
управляющей системы входят также средства поддержки тестирования каналов и
контроль за качеством работы основных блоков мультиплексоров.
Предоставление услуг по требованию. Создание
новых или перемаршрутизация старых каналов пользователя - вопрос малого
времени.
Стандартизация SDH
технологии позволяет использовать оборудование разных фирм производителей на
одной сети.
Основной набор функциональных модулей, на базе
которых строятся сети SDH
следующий: мультиплексоры, коммутаторы, концентраторы, регенераторы,
терминальные устройства. Этот набор модулей определяется следующими основными
операциями, выполняемыми при передаче данных по сетям:
сбор входных потоков с помощью каналов доступа в
агрегатный блок, транспортируемый по сети.
передвижение агрегатных блоков по сети с
возможностью ввода-вывода входных потоков.
передача виртуальных контейнеров из одного
сегмента сети в другой с помощью коммутаторов или кросс-коннекторов.
объединение нескольких однотипных потоков в
распределительном узле- концентраторе.
восстановление формы и амплитуды сигналов,
передаваемых на большие расстояния.
сопряжение с сетями пользователей с помощью
согласующих устройств - конвекторов интерфейсов, скоростей, и т.д.
Мультиплексор (multiplexer
- MUX) - основной
функциональный модуль сетей SDH.
Этим термином обозначают устройства сборки (мультиплексирования)
высокоскоростного потока из низкоскоростных и разборки (демультиплексирования),
т.е. выделения из высокоскоростного низкоскоростных потоков.
MUX
SDH могут выполнять и
функции собственно мультиплексора и устройства терминального доступа, позволяя
подключать низкоскоростные каналы иерархии PDH
непосредственно к своим портам. К тому же они способны решать задачи коммутации,
концентрации и регенерации. Различают два типа мультиплексоров: терминальные и
ввода-вывода. Терминальный мультиплексор (terminal
multiplexer - TM)
является оконечным устройством сети SDH
с некоторым числом каналов доступа, соответствующим определенному уровню
иерархий PDH и SDH.
Для мультиплексора четвертого уровня иерархии SDH
(STM-64), имеющего
скорость выходного потока 10 Гбит/с, входными каналами могут служить трибы PDH
со скоростью 1,5,2,6,8,34,45,140 Мбит/с и трибы SDH
со скоростью 155,622,2500 Мбит/с (соответствующие STM-1,
STM-4,STM-16).
Если каналы PDH являются
электрическими, то каналы SDH
могут быть как электрическими (STM-1),
так и оптическими. У мультиплексоров третьего уровня исключается входной канал
со скоростью 2500 Мбит/сек, второго - еще и канал со скоростью 622 Мбит/сек. У
мультиплексоров первого уровня входными могут быть только трибы PDH.
Конкретный мультиплексор может и не поддерживать полный набор входных каналов
доступа.
Важной особенностью SDH
MUX является наличие у
него двух оптических выходов (каналов приема/передачи), называемых агрегатными,
используемых для резервирования или защиты по схеме 1+1с целью повышения
надежности передачи информации. Резервный выход, если на сети организованы
резервные линии передачи, используется в случае нарушения связи по основной
линии передачи, переключение на резервную линию происходит полностью
автоматически.
Мультиплексор ввода-вывода (Add/Drop
Multiplexer-ADM)
может иметь тот же набор каналов ввода, что и терминальный мультиплексор, и дополнительно
такой же набор каналов вывода.
Концентратор - вырожденный случай
мультиплексора. Он объединяет однотипные потоки нескольких удаленных узлов сети
в одном распределительном узле, связанном с главной транспортной магистралью.
Это позволяет уменьшить общее число подключенных непосредственно к ней каналов.
Концентратор дает возможность удаленным узлам обмениваться информацией между
собой, не загружая основной трафик.
Регенератор - это мультиплексор, имеющий один
входной канал доступа (как правило, оптический канал STM-n)
и один или два (при 1+1) агрегатных выхода. Его применяют, если нужно увеличить
расстояние между узлами сети SDH.
Без регенерации для одномодовых волоконно-оптических кабелей оно
составляет15-40 км (при λ=1300 нм)
или 40-80 км (1500 нм), а с помощью регенератора его можно увеличить до 250-300
км.
Для построения цифровых сетей на базе технологии
SDH используют четыре
базовых топологии сетей: точка-точка, линейная цепь, звезда, кольцо.
«Точка-точка»: соединение узлов А и В с помощью
терминальных мультиплексоров является наиболее простым примером организации
сети SDH.
Основной и резервный агрегатные выходы формируют
систему резервирования типа 1+1. При отказе основного канала сеть автоматически
переходит на резервный. Благодаря своей простоте именно эта топология
используется при передаче больших потоков данных по высокоскоростным
магистральным данным. Ее же применяют при переходе к более высоким скоростям
-2,5 и 10 Гбит/сек. в качестве «радиусов» в сети с «радиально-кольцевой»
топологией и как основу для топологии «линейная цепь». Топология «точка-точка»
с резервированием можно рассматривать и как упрощенный вариант топологии
«кольцо».
Рисунок 6. Схема SDH
сети топологии «точка-точка»
«Линейная
цепь». Применяется, если интенсивность трафика сети не велика, и в ряде точек
линии необходимо сделать ответвления для ввода и вывода каналов доступа. Она
реализуется исполнением как терминальных, так мультиплексоров ввода-вывода. Эта
топология напоминает линейную цепь, состоящую из отдельных звеньев
мультиплексоров ввода-вывода. Для нее возможно соединение без резервирования и
с резервированием типа 1+1. Последний вариант иногда называют «упрощенное
кольцо».
Рисунок 7. Схема SDH
сети топологии «линейная цепь»
«Звезда». В этой топологии один из удаленных
узлов сети, связанный с центром коммутации или узлом сети SDH
на центральном кольце, играет роль концентратора, у которого большая часть
трафика выведена, например, на терминалы пользователей, а оставшиеся каналы
распределены по другим удаленным узлам. Очевидно, что такой концентратор должен
быть активным и интеллектуальным. Концентратор, на входы которого подаются
частично заполненные потоки STM-1
или STM-n,
а выход также соответствует STM-n,
называют оптическим.
Рисунок 8. Схема SDH
сети топологии «звезда»
«Кольцо». Эта топология широко используется для
построения сетей SDH
первых уровней (со скоростями 155 и 622 Мбит/сек.). Ее основное
преимущество-легкость организации защиты типа 1+1 благодаря наличию в
мультиплексорах SMUX
двух оптических агрегатных выходов, позволяющих сформировать двойное кольцо со
встречными потоками. Организовать систему защиты можно двумя способами. Первый
заключается в том, что блочные виртуальные контейнеры TU-n,
передаются одновременно в двух противоположных направлениях по разным кольцам.
Если в момент приема блока происходит сбой в одном из колец, система управления
автоматически выбирает этот же блок из другого кольца.
Второй способ защиты предполагает возможность
переключения с «основного» кольца» на «резервное». Первоначально блоки TU-n
имеют доступ только к основному кольцу. В случае сбоя происходит замыкание
основного и резервного колец на границах дефектного участка, т.е. приемник и
передатчик агрегатного блока соединяются на соответствующей стороне
мультиплексора. Так образуется новое кольцо. Современные программы управления
мультиплексорами обычно поддерживают оба метода защиты.
Рисунок 9. Схема SDH
сети топологии «кольцо»
Для проектируемой сети целесообразно применить
последнюю топологию построения сети, т.к. она отличается относительной
дешевизной - число необходимых для ее организации линий связи значительно
меньше, чем при организации сети по топологии «звезда», при этом кольцевая
структура сети позволяет пропускать большие потоки информации, которые
характерны для сетей ГТС, простота организации резервирования также очень
положительно характеризует эту топологию. Еще одним плюсом является возможность
использования для такой сети, как оптическое волокно, так и кабельные линии
связи в качестве среды распространения, что является немаловажным для более
простого перехода от существующей сети ГТС к современным сетям SDH.
Возможность использования кабельных линий связи наряду с волокном является
следствием, как технических возможностей мультиплексоров, так и из-за
«скученности» станций на сетях ГТС, что приводит к небольшим длинам участков
соединительных линий между мультиплексорами.
Для построения проектируемой сети будем
применять топологию «кольцо».
Структура «кольцо» позволяет организовать 2
алгоритма работы:
однонаправленное кольцо.
двунаправленное кольцо.
В случае однонаправленного кольца системы
передачи разделяются на основное и резервное кольцо, при этом нормальном режиме
информация передается только по основному кольцу. Оно используется как базовый
маршрут передачи, как для тракта приема, так и для тракта передачи, в случае
выхода из строя основного кольца передача осуществляется по резервному кольцу,
при этом тракты передачи и приема передаются по резервному кольцу.
В случае двунаправленного кольца информация
передается по тем участкам сети, которые обеспечивают минимальное число
транзитных мультиплексоров, при этом тракты передачи и приема передаются как по
основному, так и по резервному кольцам.
Рисунок 10. Схема передачи информации при
однонаправленном кольце
Рисунок11. Схема передачи информации при
двунаправленном кольце
4.2 Разработка оптимальной структуры
первичной сети
Как упоминалось выше, структура первичной сети
будет строиться на основе однонаправленного кольца. В данном разделе решается
задача построения кольца минимальной длины с учетом сетки улиц города и
расположения станций.
Рисунок 12.