Городская телефонная сеть на базе SDH
Министерство
образования и науки РФ
Федеральное
государственное бюджетное образовательное учреждение высшего профессионального
образования
Томский
государственный университет систем управления и радиоэлектроники (ТУСУР)
Курсовой
проект
по дисциплине
«Сети и системы цифровых телекоммуникаций»
Городская
телефонная сеть на базе SDH
Выполнила: Ахмедов Д.Ф.
Проверил: Винокуров В. М.
Содержание
Введение
. Разработка схемы построения
городской телефонной сети
. Разработка нумерации
абонентских линий
. Расчет интенсивности
нагрузки
.1 Диаграммы распределения
нагрузки
.2 Структурный состав
абонентов
.3 Расчет исходящей местной
нагрузки
.4 Расчет интенсивности
нагрузки на выходе коммутационного поля
.5 Расчет нагрузки к узлу
спецслужб (УСС)
.6 Расчет междугородной
нагрузки
.7 Расчет межстанционной
нагрузки
.8 Распределение нагрузки
между РАТС
. Расчет емкости пучков
соединительных линий
. Расчет числа ИКМ трактов
передачи
. Выбор структуры сети SDH
.1 Анализ способов построения
сетей на базе SDH
.2 Выбор типа оптического
кабеля
.3 Выбор конфигурации
мультиплексоров ввода-вывода
Список использованных
источников
Введение
С начала 90-х годов в нашей стране на городских телефонных сетях начали
широко внедряться цифровые системы коммутации [1]. По сравнению с
электромеханическими системами они обладают рядом преимуществ:
большая емкость станций;
малая занимаемая площадь;
высокая надежность;
возможность организации практически любого числа направлений;
возможность организации в сети развитой системы обходных путей;
возможность анализа любого числа цифр номера;
возможность централизованного управления;
возможность организации полнодоступных пучков линий любой емкости и др.
На данный момент стоит задача замены аналоговых сетей на цифровые.
Существует три способа перехода к цифровой сети - стратегия наложения,
островная стратегия и прагматическая.
Стратегия наложения состоит в том, что цифровая телефонная сеть как бы
накладывается на существующую аналоговую сеть (территориально цифровые АТС
располагаются по всей аналоговой сети), причем между ними существует лишь
несколько соединительных трактов.
Островная стратегия предполагает внедрение цифровой передачи и коммутации
в ограниченных районах города, территориально не охватываемых аналоговой сетью.
По мере роста числа «цифровых островов» и их размера они будут составлять все
большую часть сети.
Прагматическая стратегия предусматривает эксплуатацию аналогового
оборудования на сети возможно более длительные сроки, замена на цифровое
оборудование производиться только в случае, когда это оправдано технически и
экономически.
В городских условиях, где большая телефонная плотность и быстрее идет
цифровизация сети, целесообразно применять стратегию наложения и островную. В
данной курсовой работе применяется стратегия наложения.
Проектирование и в дальнейшем строительство цифровых городских телефонных
сетей жизненно необходимо для развития инфраструктуры города.
В данной курсовой работе будет разработан проект городской телефонной
сети на базе систем передачи синхронной цифровой иерархии (SDH) для города Ангарск с населением
240000 человек.
Расчет курсового проекта произведен по методике, изложенной в [2].
. Разработка схемы построения городской телефонной сети
Проектируемая городская телефонная сеть (ГТС) будет состоять из четырех
районных автоматических телефонных станций (РАТС) с узлом специальных служб
(УСС) и автоматической междугородной телефонной станции (АМТС). В качестве РАТС
применены автоматические телефонные электронные станции (АТСЭ). УСС размещен в
одном здании с РАТС1. Между АТСЭ для передачи сигналов используется пучки
двусторонних соединительных линий (ДСЛ) и общий канал сигнализации (ОКС №7).
При соединении АМТС и АТСЭ используются пучки односторонних соединительных
линий (ОСЛ). Для передачи сигнала с АМТС к РАТС используются междугородние
соединительные линии (СЛМ), для связи РАТС с АМТС - заказно-соединительные
линии (ЗСЛ).
Рисунок
1.1 - Схема ГТС
Расположение РАТС и АМТС на карте города приведено на рисунке 1.2.
Рисунок
1.2 - Расположение РАТС и АМТС на карте
2. Разработка нумерации абонентских линий
Для нумерации абонентских линий на ГТС используется закрытая пяти-,
шести- или семизначная в зависимости от емкости сети.
Монтированная емкость сети равна:
телефонный
сеть синхронный коммутационный
Коэффициент использования номерной емкости сети для ГТС
.
Таким образом, номерная емкость перспективной сети составит:
Минимально необходимую значность номера с учетом реализации экстренных
служб и выхода на АМТС определим из соотношения:
Применим шестизначную нумерацию, так как в городской сети больше восьми
групп 10000 абонентов. Присвоим у всех РАТС номера для каждой 10000-ой группы.
Нумерация абонентских представлена в таблице 2.1.
Таблица 2.1 - Нумерация абонентских линий при разрядности абонентского
номера n=6
|
АТС (емкость)
|
Номер 10000-ой группы
|
Местный номер
|
|
|
|
|
PATC1 (33000)
|
21 22 23 24
|
210000-219999 220000-229999 230000-239999 240000-249999
|
|
PATC2 (24000)
|
31 32 33
|
310000-319999
320000-329999 330000-339999
|
|
PATC3 (35000)
|
41 42 43 44
|
410000-419999
420000-429999 430000-439999 440000-449999
|
|
PATC4 (28000)
|
51 52 53
|
510000-519999
520000-529999 530000-539999
|
В таблице видно, что при такой нумерации остается номерной резерв: для
РАТС-1 7000 номеров, РАТС-2 6000 номеров, РАТС-3 5000 номеров, РАТС-4 2000
номеров. Это сделано намеренно, с учетом того, что в ближайшие десятилетия
численность населения будет постепенно увеличиваться. Нужно будет только
модульно расширять РАТС до нужного количества номеров, а так как номерная
емкость уже будет иметь запас не нужно будет вводить новые индексы.
Таблица 2.2 - Структура номеров
|
Тип номера
|
Код
|
Примечание
|
|
Местный
|
bxxxxx
|
b не «0» и «8» Присвоим каждой из РАТС свой b (2, 3, 4 и 5)
|
|
Внутризоновый
|
8-2-a-bxxxxx
|
а - выравнивающий знак для внутризоновой сети до
семизначного номера (примем а = 2)
|
|
Междугородний
|
8-ABC-a-bxxxxx
|
АВС - междугородний код А не «1» и «2», ВС любые (для
Иркутской области 395)
|
|
Международный
|
8-10-α-ABC-a-bxxxxx
|
8-10 - международная связь α - международный код телефонной сети
России (α=7)
|
Сделаем сводную развернутую таблицу для каждой РАТС.
Таблица 2.3 - Нумерация абонентских линий для различных видов связи
|
АТС
|
Внутризон. номер
|
Междугородн. номер
|
Выход на АМТС
|
Выход на УСС
|
|
|
|
В/зон. индекс
|
Междугор. индекс
|
Междунар. индекс
|
|
|
РАТС-1
|
2210000-2249999
|
З95 2210000-395
2249999
|
8-2
|
8-A
|
8-10
|
0-x
|
|
РАТС-2
|
2310000-2339999
|
395 2310000-395
2339999
|
8-2
|
8-A
|
8-10
|
0-x
|
|
РАТС-3
|
2410000-2449999
|
395 2410000-395
2449999
|
8-2
|
8-A
|
8-10
|
0-x
|
|
РАТС-4
|
2510000-2539999
|
395 2510000-395 2539999
|
8-2
|
8-A
|
8-10
|
0-x
|
3. Расчет интенсивности нагрузки
3.1 Диаграммы распределения нагрузки
Диаграммы распределения нагрузки представлены на рисунках 3.1-3.5.
Рисунок
3.1 - Диаграмма распределения нагрузки РАТС1
Рисунок
3.2 - Диаграмма распределения нагрузки РАТС2
Рисунок
3.3 - Диаграмма распределения нагрузки РАТС3
Рисунок
3.4 - Диаграмма распределения нагрузки РАТС3
Рисунок
3.5 - Диаграмма распределения нагрузки УСС
Рисунок
3.6 - Диаграмма распределения нагрузки АМТС
3.2 Структурный состав абонентов
Согласно ведомственным нормам технологического проектирования (ВНТП
112-92) различают три категории (сектора) источников: народнохозяйственный
сектор, квартирный сектор и таксофоны.
В соответствии с заданием определим структурный состав абонентов для
каждой РАТС и, для удобства, сведем в таблицу 3.6.
Таблица 3.6 - Структурный состав абонентов ГТС
|
№ РАТС Категория абонентов
|
РАТС1
|
РАТС2
|
РАТС3
|
РАТС4
|
|
Квартирный сектор
|
|
Общее количество ТА
|
19800
|
14400
|
21000
|
16800
|
|
ТА с тональным набором
|
7920
|
5760
|
8400
|
6720
|
|
ТА с дисковым набором
|
11880
|
8640
|
12600
|
10080
|
|
Народнохозяйственный сектор
|
|
Общее количество ТА
|
13200
|
9600
|
14000
|
11200
|
|
ТА с тональным набором
|
5280
|
3840
|
5600
|
4480
|
|
ТА с дисковым набором
|
7920
|
5760
|
8400
|
6720
|
|
Таксофоны
|
|
Общее количество ТА
|
165
|
120
|
175
|
140
|
|
Переговорные пункты
|
|
Общее количество ТА
|
66
|
48
|
70
|
56
|
|
Таксофоны междугородные
|
|
Общее количество ТА
|
33
|
24
|
35
|
28
|
3.3 Расчет исходящей местной нагрузки
Исходящую нагрузку создают вызовы (заявки на обслуживание), поступающие
от абонентов (источников) и занимающие на некоторое время различные
соединительные устройства станции.
Существует два метода расчета исходящей местной нагрузки. Первый метод
основан на использовании параметров, характеризующих нагрузку. Второй метод
основан на использовании удельных значений нагрузок.
Ограничимся расчётом по первому методу [2].
Исходящая местная нагрузка в Эрл, создаваемая абонентами РАТС i-ой категории, рассчитывается по
формуле:
где
- количество источников нагрузки i-ой категории;
- число вызовов от источника i-ой категории в ЧНН;
- среднее время обслуживания одного вызова от одного
источника нагрузки i-ой категории.
где
- коэффициент, учитывающий отношение общей и производительной
нагрузки;
- доля вызовов, завершившихся разговором;
- среднее время слушания сигнала - ответ станции;
- число знаков набираемого номера;
- время набора одной цифры номера (для дисковых ТА - 1.5 с;
для тонального набора - 0.8 с);
- среднее время установления соединения;
- среднее время выдачи сигналов «посылки вызова» и «контроль
посылки вызова»;
- средняя длительность разговора абонента i-ой категории.
Значения средней исходящей нагрузки приведены в таблице 3.7. Значения Сi взяты из НТП 112-2000 для 5-значного
абонентского номера. В таблице 3.8 приведена зависимость ai от Тi, при Рр= 0,5.
Таблица 3.7 - Параметры нагрузки Тi и Сi при Рp
= 0,5
|
Доля абонентов квартирного сектора на сети
|
Квартирный сектор
|
Народнохозяйственный сектор
|
Таксофоны
|
|
Скв, выз/ч
|
Ткв, с
|
Сн/х, выз/ч
|
Тн/х, с
|
Стакс, выз/ч
|
Ттакс, с
|
|
До 65% абонентов квартирного сектора
|
1.1
|
110
|
4
|
90
|
10.5
|
110
|
Таблица 3.8 - Зависимость ai от Тi, при Рр= 0,5
|
Тi, с
|
80
|
85
|
90
|
110
|
140
|
|
ai
|
1,24
|
1,23
|
1,22
|
1,185
|
1,16
|
Используя значения таблиц 3.7, 3.8, вычислим среднее время обслуживания
одного вызова от одного источника нагрузки i-ой категории:
Далее вычислим исходящую местную нагрузку для РАТС1:
;
;
;
;
;
Сложив полученные значения получим общую исходящую местную нагрузку для
РАТС1:
Аналогичны вычисления для РАТС2, РАТС3 и РАТС4. Результаты вычислений
занес в таблицу 3.9.
Таблица 3.9 - Суммарная исходящая нагрузка для РАТС
|
Категория абонентов
|
РАТС-1(Эрл)
|
РАТС-2(Эрл)
|
РАТС-3(Эрл)
|
РАТС-4(Эрл)
|
|
Квартирный сектор
|
Тональные
|
182.529
|
132.748
|
193.591
|
154.873
|
|
Дисковые
|
282.827
|
205.692
|
299.968
|
239.974
|
|
Производственный сектор
|
Тональные
|
383.991
|
279.266
|
407.263
|
325.81
|
|
Дисковые
|
598.532
|
435.296
|
634.807
|
507.845
|
|
Для таксофонов
|
Тональные
|
31.499
|
22.409
|
33.408
|
26.727
|
|
Суммарная нагрузка
|
1479.378
|
1075.911
|
1569.037
|
1255.23
|
В результате произведенных расчетов получили значения интенсивности
нагрузки на входе коммутационного поля для всех РАТС ГТС.
3.4 Расчет интенсивности нагрузки на выходе коммутационного
поля
Расчет интенсивности нагрузки на выходе КП для АТСЭ производится по
формуле:
Коэффициент, учитывающий снижение нагрузки на выходе КП для i-ой станции, равен:
Среднее время слушания сигнала «ответ станции» равно:
Среднее время набора номера абонента i-ой станции равно:
Среднее время занятия входа КП при обслуживании одного вызова для i-ой станции равно:
Интенсивность поступления вызовов берем из таблицы 3.7:
;
;
; количество абонентов i-ой категории из таблицы 3.6.
Теперь найдем нагрузку на выходе КП для РАТС1:
Средняя удельная нагрузка на одну абонентскую линию в Эрл составляет:
Интенсивность нагрузки на выходе КП для оставшихся РАТС (АТСЭ)
рассчитывается по формуле:
Таким образом, получим:
3.5 Расчет нагрузки к узлу спецслужб (УСС)
Доля интенсивности нагрузки к УСС от местной исходящей нагрузке на выходе
КП составляет 3-5%. Тогда:
Сведем расчетные значения нагрузок в таблицу 3.10.
Таблица 3.10 - Расчетные
значения нагрузок
|
№ РАТС
|
, Эрл
|
, Эрл
|
, Эрл
|
|
1
|
1479.378
|
1260.881
|
37.826
|
|
2
|
1075.911
|
27.51
|
|
3
|
1569.037
|
1337.299
|
40.119
|
|
4
|
1255.23
|
1069.839
|
32.095
|
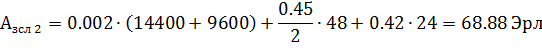
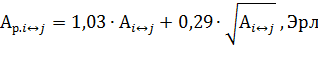
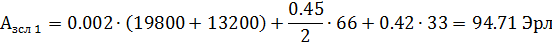
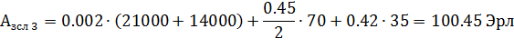
3.6 Расчет междугородной нагрузки
Интенсивность исходящей междугородной нагрузки определяется по формуле:
Принимаем удельную нагрузку от одного источника на ЗСЛ:
Исходящая нагрузка, создаваемая кабинами переговорных пунктов равна:
Удельная нагрузка от одной кабины ПП равна:
Нагрузка, создаваемая междугородними телефонами автоматами, равна:
Принимаем удельную нагрузку от одного МТА равной
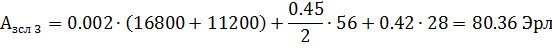
Таким образом, получим:
Интенсивность входящей междугородней нагрузки определяется по формуле:
Входящая нагрузка, создаваемая КПП, равна исходящей:
Принимаем удельную нагрузку от одного источника на СЛМ
Таким образом, получим:
Полученные результаты отражены в таблице 3.11.
Таблица 3.11 - Междугородная нагрузка
|
№ РАТС
|
, Эрл
|
, Эрл
|
|
1
|
94.71
|
64.35
|
|
2
|
68.88
|
46.8
|
|
3
|
100.45
|
68.25
|
|
4
|
80.36
|
54.6
|
3.7 Расчет межстанционной нагрузки
Значения нагрузки от каждой станции ГТС, подлежащей распределению на
местной сети, вычисляются по формуле:
Рассчитанные значения сведены в таблицу 3.12.
Таблица 3.12 - Расчетные значения межстанционной нагрузки
|
№ РАТС
|
, Эрл
|
, Эрл
|
, Эрл
|
|
1
|
1260.881
|
37.826
|
1223.055
|
|
2
|
917.005
|
27.51
|
889.495
|
|
3
|
1337.299
|
40.119
|
1297.18
|
|
4
|
1069.839
|
32.095
|
1037.744
|
3.8 Распределение нагрузки между РАТС
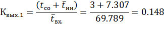
Для каждой РАТС определим коэффициент
:
Для полученных коэффициентов
по таблице (таблица П.2 [2])
определим значения коэффициентов внутристанционного тяготения
для каждой станции ГТС.
Определим значение нагрузки, которая распределяется между другими
станциями сети, по формуле:
Расчет
,
,
сведем в таблицу 3.13.
Таблица 3.13 - Распределение нагрузки между РАТС
|
РАТС
|
, Эрл
|
, Эрл
|
, %
|
, %
|
, Эрл
|
|
1
|
1223.055
|
1260.881
|
27.5
|
46
|
660.45
|
|
2
|
889.495
|
917.005
|
20
|
38.5
|
547.039
|
|
3
|
1297.18
|
1337.299
|
29.167
|
46
|
700.477
|
|
4
|
1037.744
|
1069.839
|
23.333
|
42.4
|
597.74
|
Распределение нагрузки от выбранной станции
к другим станциям сети
осуществляется пропорционально распределяемой нагрузки от каждой станции ГТС (
) по следующей формуле:
где
.
Расчетные значения приведены в таблице 3.14.
Таблица 3.13 - Распределение нагрузки от станции к другим станциям
|
№ РАТС
|
Aисх, Эрл
|
РАТС1
|
РАТС2
|
РАТС3
|
РАТС4
|
АМТС
|
УСС
|
|
|
|
|
|
|
ЗСЛ
|
СЛМ
|
|
|
РАТС1
|
1479.378
|
-
|
184.458
|
256.272
|
206.91
|
94.71
|
64.35
|
37.826
|
|
РАТС2
|
1075.911
|
195.795
|
-
|
212.266
|
171.38
|
68.88
|
46.8
|
27.51
|
|
РАТС3
|
1569.037
|
250.713
|
195.637
|
-
|
219.45
|
100.45
|
68.25
|
40.119
|
|
РАТС4
|
1255.23
|
213.942
|
166.944
|
231.939
|
-
|
80.36
|
54.6
|
32.095
|
4. Расчет емкости пучков соединительных линий
Средние значения нагрузки на различных направлениях необходимо
пересчитать в расчетные значения, учитывая тип пучка соединительных линий.
Нормы потерь приведены в таблице 4.1:
Таблица 4.1
|
Участок сети
|
Потери
|
|
Соединительные линии РАТС-РАТС
|
0,01
|
|
Соединительные линии РАТС к УСС
|
0,001
|
|
ЗСЛ от РАТС
|
0,003
|
|
СЛМ к РАТС
|
0,002
|
Для односторонних линий расчетные значения нагрузки на различных
направлениях находятся по формуле:
Вычислим расчетные значения нагрузки на различных направлениях для
односторонних линий для электронных АТС и найдем емкость пучков по таблице
Пальма:
· Между АМТС и РАТС 1:
→
→
· Между АМТС и РАТС 2:
→
→
· Между АМТС и РАТС 3:
→
→
· Между АМТС и РАТС 4:
→
→
· Между РАТС и УСС:
→
→
→
→
Для двусторонних линий расчетные значения нагрузки на различных направлениях
находятся по формуле:
где
Вычислим значения нагрузки на различных направлениях для двухсторонних
линий и найду емкость пучков по таблице Пальма:
· Между РАТС 1 и РАТС 2:
· Между РАТС 1 и РАТС 3:
· Между РАТС 1 и РАТС 4:
· Между РАТС 2 и РАТС 3:
· Между РАТС 2 и
РАТС 4:
· Между РАТС 3 и
РАТС 4:
Полученные результаты емкости пучков соединительных линий сведем в
таблицу 4.2:
Таблица 4.2 - Значения емкости пучков
|
№ РАТС
|
РАТС1
|
РАТС2
|
РАТС3
|
РАТС4
|
АМТС
|
УСС
|
|
|
|
|
|
ЗСЛ
|
СЛМ
|
|
|
РАТС1
|
-
|
423 (д)
|
556 (д)
|
465 (д)
|
124 (о)
|
91 (о)
|
60 (о)
|
|
РАТС2
|
423 (д)
|
-
|
452 (д)
|
379 (д)
|
94 (о)
|
70 (о)
|
47 (о)
|
|
РАТС3
|
556 (д)
|
452 (д)
|
-
|
498 (д)
|
131 (о)
|
95 (о)
|
63 (о)
|
|
РАТС4
|
465 (д)
|
379 (д)
|
498 (д)
|
-
|
108 (о)
|
79 (о)
|
53 (о)
|
5. Расчет числа ИКМ трактов передачи
В качестве каналов доступа узлов коммутации (РАТС, АМТС, УСС) к первичной
сети, реализованной на базе SDH,
будем использовать плезиохронные системы передачи ИКМ-30 (стандарт Е1).
При использовании односторонних линий и децентрализованной системы
сигнализации (2ВСК, «2 из 6» и т.д.) требуемое число цифровых потоков Е1 от i-ой станции к j-ой станции определяется формулой:
где En - знак целой части числа.
Число соединительных линий (каналов) между i-ой и j-ой
станциями равно:
Таким образом, получим:
При использовании двухсторонних пучков и централизованной системы
сигнализации (ОКС№7) требуемое число цифровых потоков Е1 от i-ой станции к j-ой станции определяется формулой:
Таким образом, получим:
Полученные значения ИКМ трактов передачи цифровых потоков Е1 между
станциями сети сведём в таблицу 5.1.
Таблица 5.1 - Число ИКМ трактов передачи цифровых потоков Е1 между
станциями сети
|
№ РАТС
|
РАТС1
|
РАТС2
|
РАТС3
|
РАТС4
|
АМТС
|
УСС
|
|
|
|
|
|
ЗСЛ
|
СЛМ
|
|
|
РАТС1
|
-
|
28
|
36
|
31
|
5
|
8
|
2
|
|
РАТС2
|
28
|
-
|
30
|
25
|
4
|
6
|
2
|
|
РАТС3
|
36
|
30
|
-
|
33
|
5
|
8
|
3
|
|
РАТС4
|
31
|
25
|
33
|
-
|
4
|
7
|
2
|
6. Выбор структуры сети SDH
6.1 Анализ способов построения сетей на базе SDH
Система SDH позволяет организовать универсальную транспортную сеть, решая
задачи не только передачи информационных потоков, но контроля и управления
данной сетью. Она рассчитана на транспортирование всех сигналов PDH (ИКМ -30, ИКМ-120, ИКМ-480,
ИКМ-1920), а также всех действующих и перспективных служб, в том числе и
широкополосной цифровой сети с интеграцией служб (B-ISDN),
использующей асинхронный способ переноса информации (ATM).
С прикладной точки зрения технология SDH обладает несомненными преимуществами по сравнению с
технологией PDH, поскольку она:
предусматривает прямое мультиплексирование и демультиплексирование
потоков PDH;
опирается на стандартные оптические и электрические интерфейсы;
позволяет объединить системы PDH европейской и американской иерархии;
обеспечивает лучшее управление и самодиагностику первичной сети;
предоставляет выделение полосы пропускания по требованию - сервис,
который раньше мог быть осуществлен только по заранее (например, за несколько
дней) спланированной договоренности, теперь может быть предоставлен в считанные
секунды путем переключения на другой (широкополосный) канал;
прозрачность для передачи любого трафика - факт, обусловленный
использованием виртуальных контейнеров для передачи трафика, сформированного
другими технологиями, включая самые современные технологии: Frame Relay, IP,
ISDN и ATM;
универсальность применения - технология может быть использована как для
создания глобальных сетей или глобальной магистрали, так и для компактной
кольцевой корпоративной сети, объединяющей ряд локальных сетей; - простота
наращивания мощности.
Применение SDH для построения
первичных сетей различного уровня позволяет существенно сократить капитальные
затраты, эксплуатационные расходы, сократить сроки монтажа и настройки
оборудования.
Для построения ГТС используется топология «кольцо». Основное преимущество
кольцевой структуры - простота реализации защиты 1+1, благодаря использованию
для построения кольца мультиплексоров ADM. Переключение в кольце позволяет локализовать (организовать обход)
поврежденные участки линий или мультиплексоры.
В общем виде структурная схема оптимального кольца с указанием
местоположения мультиплексоров ввода-вывода (ADM) на данном кольце выглядит следующим образом:
Рисунок
6.1 - Структурная схема кольца SDH
Для построения первичной сети на базе SDH используем двунаправленное кольцо со 100%
резервированием в случае аварии на участках кольца.
Составим матрицу М емкостей кратчайших путей и ребер (см. таблицу 6.1).
Таблица 6.1 - Матрица М емкостей кратчайших путей и ребер
|
Исходящая станция
|
Входящая станция
|
Путь передачи
|
Участки кольца
|
|
|
|
А→В
|
В→А
|
С→В
|
С→D
|
D→С
|
D→A
|
A→D
|
|
РАТС 1 (А)
|
РАТС2 (D)
|
Осн.
|
|
|
|
|
|
|
|
|
|
|
Рез.
|
28
|
|
28
|
|
28
|
|
|
28
|
|
РАТС3
(B)
|
Осн.
|
36
|
|
|
36
|
|
36
|
|
36
|
|
|
Рез.
|
|
|
|
|
|
|
|
|
|
РАТС4 (C)
|
Осн.
|
|
|
|
|
|
|
|
|
|
|
Рез.
|
|
|
|
|
|
|
|
|
|
РАТС 2 (D)
|
РАТС1 (А)
|
Осн.
|
|
28
|
|
28
|
|
28
|
28
|
|
|
|
Рез.
|
|
|
|
|
|
|
|
|
|
РАТС3
(B)
|
Осн.
|
|
|
|
|
|
|
|
|
|
|
Рез.
|
|
|
|
|
|
|
|
|
|
РАТС4 (C)
|
Осн.
|
|
|
|
|
|
|
|
|
|
|
Рез.
|
25
|
|
25
|
|
|
25
|
25
|
|
|
УСС (А)
|
Осн.
|
|
|
|
|
|
|
2
|
|
|
|
Рез.
|
|
2
|
|
2
|
|
2
|
|
|
|
РАТС 3 (B)
|
РАТС1 (А)
|
Осн.
|
|
|
|
|
|
|
|
|
|
|
Рез.
|
|
36
|
36
|
|
36
|
|
36
|
|
|
РАТС2
(D)
|
Осн.
|
|
|
|
|
|
|
|
|
|
|
Рез.
|
|
|
|
|
|
|
|
|
|
РАТС4 (C)
|
Осн.
|
|
33
|
33
|
|
|
33
|
|
33
|
|
|
Рез.
|
|
|
|
|
|
|
|
|
|
УСС (А)
|
Осн.
|
|
|
3
|
|
3
|
|
3
|
|
|
|
Рез.
|
|
3
|
|
|
|
|
|
|
|
РАТС4 (C)
|
РАТС1 (А)
|
Осн.
|
|
|
|
|
|
|
|
|
|
|
Рез.
|
|
|
|
|
|
|
|
|
|
РАТС2
(D)
|
Осн.
|
|
25
|
|
25
|
25
|
|
|
25
|
|
|
Рез.
|
|
|
|
|
|
|
|
|
|
РАТС3
(B)
|
Осн.
|
|
|
|
|
|
|
|
|
|
|
Рез.
|
33
|
|
|
33
|
33
|
|
33
|
|
|
УСС (А)
|
Осн.
|
|
|
|
|
2
|
|
2
|
|
|
|
Рез.
|
|
2
|
|
2
|
|
|
|
|
|
АМТС (ЗСЛ)(А)
|
РАТС 2 (D)
|
Осн.
|
|
|
|
|
|
|
4
|
|
|
|
Рез.
|
|
4
|
4
|
|
|
4
|
|
|
|
РАТС3
(B)
|
Осн.
|
|
|
5
|
|
5
|
|
5
|
|
|
|
Рез.
|
|
5
|
|
|
|
|
|
|
|
РАТС4 (C)
|
Осн.
|
|
|
|
|
4
|
|
4
|
|
|
|
Рез.
|
|
4
|
|
4
|
|
|
|
|
|
Итого
|
|
122
|
142
|
134
|
130
|
136
|
128
|
142
|
122
|
Максимальное количество цифровых поток Е1, передаваемых на участке
кольца, получилось равным:
.
Необходимое число цифровых потоков Е1 должно удовлетворять следующему
условию:
Где коэффициент запаса на развитие сети возьму равным:
.
Таким образом, получим:
Т.к. необходимое число цифровых потоков Е1 находится в промежутке
, то тип синхронного транспортного
модуля будет STM4.
6.2 Выбор типа оптического кабеля
При реализации кольцевой структуры используются не менее 4 оптических
волокон (2 основных и 2 резервных).
Для соединения мультиплексоров системы SDH используем одномодовые волоконно-оптические кабели.
Для построения транспортной сети кольцевой структуры применим синхронный
мультиплексор SM-1/4 фирмы Simens. Для стыковки мультиплексора M-622 (STM-4)
с оптическим кабелем используется два типа модулей оптического линейного
тракта:
- Opt.622мб (SH) -
,
;
Opt.622мб (LH) -
,
.
Максимальное расстояние между мультиплексорами ввода-вывода кольца
не превышает 20 км. В сети
используется STM-4. При организации первичной сети на
территории города и расстоянии между узлами не более 40 км можно использовать
одномодовые оптические кабели, работающие на длине волны
Определим затухание на участке кольца, имеющего максимальное расстояние
между мультиплексорами ввода-вывода, при использовании кабеля с длиной волны
:
Полученное значение затухания участка не превышает значение
перекрываемого затухания 24 дБ. Значит вполне целесообразно использовать
и Opt.622мб (SH),
так же беря во внимание умеренную стоимость Opt.622мб (SH).
На территории города оптический кабель прокладывается в кабельной канализации.
Учитывая вышесказанное, выберем оптический кабель ОККО-10-01-1,0-4 -
оптический кабель для прокладки в канализации с броней в виде металлической
оплетки, в этом кабеле используются 4 одномодовых волокна. Этот кабель
используется для прокладки в кабельной канализации, трубах, блоках,
коллекторах, на мостах и в шахтах с защитой от грызунов.
6.3 Выбор конфигурации мультиплексоров ввода-вывода
Сначала для каждого узла определим количество модулей вставки (выделения
потоков 2 Мб/с - Е1.2). На одном модуле Е1.2 Мб/с можно выделить до 21 потока 2
Мб/с, а также возможно резервирование.
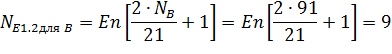
Число потоков 2 Мб/с для мультиплексора ввода-вывода равно:
Учитывая резервное направление, то получается в 2 раза больше ИКМ
потоков.
Таким образом, число модулей ставок для мультиплексоров равно:
Таким образом, мультиплексор SM-1/4 будет с одним рядом модулей, максимальное количество выделяемых 2 Мб
потоков - 126, максимальное количество направлений STM-4 - 2.
Модули UCU, SN4, LAD являются
неотъемлемой частью мультиплексора SM-1/4 и устанавливаются на каждом узле.
Механическая конструкция модуля ADM для узла C выглядит
следующим образом:
Структурная схема модуля ADM
выглядит следующим образом:
Список использованных источников
1 Росляков
А. В. Проектирование городской телефонной сети, Самара, 1998
Винокуров
В. М. Проектирование ГТС на базе технологии SDH, Томск, 2012
Бакрун
М. А, Ходасевич О. Р. Цифровые системы синхронной коммутации, Москва, 2001
Слепов
Н. Н. Синхронные цифровые сети SDH,
Москва, 1997