Эффект Керра

  • Вид работы:
    Реферат
  • Предмет:
    Физика
  • Язык:
    Русский
    ,
    Формат файла:
    MS Word
    216,67 Кб
  • Опубликовано:
    2015-02-08
Вы можете узнать стоимость помощи в написании студенческой работы.
Помощь в написании работы, которую точно примут!

Эффект Керра

Федеральное агентство по образованию

ГОУ ВПО «Уральский федеральный университет - УрФУ имени первого Президента России Б. Н. Ельцина»

Химико-технологический институт

Кафедра «Физики»






Реферат

«Эффект Керра»

Преподаватель:

Ф.А. Сидоренко

Студент гр. Х-130902

А.А. Пунгин




Екатеринбург, 2014

Введение


Отрасли физики, известные под названием электрооптики и магнитооптики, получили свое начало еще в далеком 1845 году со времени открытия Фарадеем вращения плоскости поляризации поляризованного света при прохождении в прозрачной среде параллельно силовым линиям магнитного поля. Это сделавшее эпоху открытие Фарадея было результатом его долгих исследований о связи между светом, электричеством и магнетизмом.

В своей статье, описывающей это открытие он говорит: «Как и многие любители естествознания, я уже долгое время придерживался мнения, почти перешедшего в уверенность, что те различия формы, в которых проявляются силы материи, имеют одно общее начало, т.е., другими словами, они так зависят друг от друга и так связаны друг с другом, что могут быть преобразованы одни в другие и что существуют эквиваленты их действия». Это убеждение Фарадея привело его к поискам дальнейших связей между светом, электричеством и магнетизмом, но чувствительность его аппаратуры была недостаточна для определения таких данных. Но, однако, следует заметить, что эти убеждения и ранние исследования служили постоянным стимулом для применения более усовершенствованной техники и поисков новых явлений в области электро и магнитооптики среди его преемников. Наиболее важные открытия эффектов носят имена Керра, Зеемана и Коттон-Мутона.

Действительно, большинство открытий в электро- и магнитооптике являлось следствие экспериментаторов усовершенствовать свою аппаратуру. В данном реферате подробно изложен эффект Керра, изучаемый при прохождении света через среду перпендикулярно к силовым линиям электрического и магнитного поля.

Целью данной работы является изучение электрооптического эффекта Керра.

Объект работы исследование эффекта Керра.

Предмет работы- труды ученых конца девятнадцатого- первой половины двадцатого века.

Гипотеза эффект Керра основан на создании ячейки, в которой происходит изменение состояния вещества, то есть переход от изотропного к анизотропному. Какие особенности этого явления можно проследить при его наблюдении?

Задачи:

.        Ввод основных понятий и представление сущности эффекта Керра

.        Изучение методов экспериментального получения постоянной Керра

.        Акцентирование внимания на изучение теоретической части для полярных и неполярных молекул.

.        Ввод понятия о длительности существования эффекта Керра и его применение.

1. Электрооптический эффект Керра

Введем основные понятия, которые будут использоваться во время чтения работы:

Поляризация света - это свойство света, которое характеризуется пространственно-временной упорядоченностью ориентации электрического вектора Е

Поляризуемость - физическое свойство веществ приобретать электрический или магнитный дипольный момент (поляризацию) во внешнем электромагнитном поле.

Преломление света (рефракция)- изменение направления распространения волн электромагнитного излучения, возникающее на границе раздела двух прозрачных для этих волн сред или в толще среды с непрерывно изменяющимися свойствами.

Анизотропия - различие свойств среды в различных направлениях внутри этой среды.

Николь - поляризационное устройство, в основе принципа действия которого лежат эффекты двойного лучепреломления и полного внутреннего отражения.

Интерференция - перераспределение интенсивности света в результате наложения (суперпозиции) нескольких когерентных световых волн.

Электрическая проводимость вещества- способность вещества проводить под действием неизменяющегося во времени электрического поля неизменяющийся во времени электрический ток.

Дипольный момент- векторная физическая величина, характеризующая, наряду с суммарным зарядом электрические свойства системы заряженных частиц в смысле создаваемого ею поля и действия на нее внешних полей.

Электромагнитная природа света и вещества позволяют предположить, что оптические свойства вещества должны изменяться при его внесении в электрическое и магнитное поле. Действительно, такие изменения были обнаружены на опыте. Сначала Фарадей в 1846 году открыл магнитооптическое явление - вращение плоскости поляризации света в магнитном поле. Впервые Керру в 1875 году удалось наблюдать, что некоторые изотропные вещества, будучи помещены в электрическое поле, становятся двупреломляющими с «оптическими осями», параллельными силовыми линиями, т.е. вещество, помещенное в однородное электрическое поле, приобретает свойства одноосного кристалла с оптической осью, параллельной электрическим силовым линиям. Это «электрооптическое явление» теперь носит имя его открывателя (P.S. Керр (1824-1907г.г В 1877 году тот же Керр обнаружил, что намагниченное железное зеркало иначе отражает поляризованный свет, чем не намагниченное. В дальнейшем были открыты и другие электрооптические и магнитооптические явления.

Электрооптический эффект Керра состоит в том, что многие изотропные тела при введении в постоянное электрическое поле становятся оптически анизотропными. Они начинают вести себя подобно одноосным двупреломляющим кристаллам, оптическая ось которых параллельна приложенному электрическому полю.

Сам Керр наблюдал это явление сначала на стекле, вводимом в электрическое поле. В этом случае, а также в случае всех других твердых тел оптическая анизотропия может быть вторичным явлением, а именно может возникать в результате механических деформаций, производимых электрическим полем. Однако последующие исследования самого Керра и других ученых показали, что явление наблюдается также в жидкостях и даже в газах, где механическая анизотропия исключена. Кроме того, «чистый эффект Керра» можно отделить от эффекта, вызванного механическими деформациями, исследуя явление в переменных полях: при внезапном включении или выключении электрического поля механические деформации возникают и исчезают не сразу, а с некоторой задержкой, тогда как явление Керра в чистом виде (наблюдаемое в жидкостях и газах) происходит практически безынерционно.

Как и всякое двойное преломление, эффект Керра можно обнаружить, помещая между скрещенными николями и плоским конденсатором, заполненный исследуемым веществом (рис. 1).

Рис. 1. Схема для наблюдения эффекта Керра

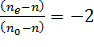
Монохроматический свет, собранный линзой L в параллельный пучок, поляризуется николем N1, проходит между двумя параллельными металлическими пластинками K (называемыми «конденсатором Керра») и через второй николь N2, скрещенный с первым. Для получения максимального эффекта, плоскость пропускания N1 должна составлять угол в 45° градусов с силовыми линиями поля. Если обе металлические пластинки К находятся при одном и том же потенциале, и если среда, заключенная между ними, изотропна, то свет не пройдет через N2. Однако, если к пластинам К приложено электростатическое поле, то среда между ними становится двоякопреломляющей, т.е. составляющие светового вектора, параллельная и перпендикулярная силовым линиям, проходят через нее с различной скоростью. Свет поэтому выходит из К эллиптически поляризованным, и часть его может пройти через N2. Эффект не зависит от направления поля и поэтому удваивается, если, поставив зеркало перед N2, заставить свет пройти еще раз через К. по смещению интерференционных полос можно вычислить ne-n и n0-n.

Первым веществом, которое было исследовано Керром, был кусок стекла с впаянными в него концами обмотки индукционной катушки. По вызываемым оптическим свойствам приложенное поле оказалось эквивалентным механическому растяжению стекла, направленному вдоль силовых линий, т.е. стекло делалось подобным положительному кристаллу1, например кварцу.

В других твердых телах, например в канифоли, эффект был обратным, т.е. они вели себя как стекло, сжатое вдоль силовых линий, как, например, исландский шпат.

Эффект появлялся не одновременно с приложением поля, а требовал иногда нескольких секунд (в случае стекла даже около ½ минуты), чтобы достичь полной величины. Такое же время протекало между выключением поля и исчезновением двойного лучепреломления.

Это запоздание в появлении и исчезновении эффекта привело к различным гипотезам о его природе. Казалось правдоподобным, что он был обусловлен натяжениями, вызванными полем в стекле, так как уже из работы Вольта хорошо известно, что «диэлектрик в заряженном стеклянном конденсаторе увеличивается в объеме и подвергается электрическим натяжениям».

Другая гипотеза объясняла эффект повышением температуры, вызванной электрической проводимостью вещества.

Сам Керр был, однако убежден, что открытый им эффект не может быть объяснен чисто механическими или термическими причинами. Он начал поэтому исследование мало вязких жидкостей, в которых полем не могли быть вызваны сколько-нибудь значительные натяжения. Он сразу же обнаружил эффект в целом ряде жидкостей. В некоторых, как, например, в сероуглероде, парафиновом масле, толуоле и бензоле, двойное преломление было положительным, в то время как в других, например, в оливковом масле, в сурепном, в тюленьем жиру оно было отрицательным. Ему удалось установить, что во всех этих случаях эффект появлялся и исчезал одновременно с включением и выключением поля, что хорошо доказывало электрическую природу явления.

Открытие этого эффекта также и в жидких телах сразу же привлекло к нему внимание многих других исследователей, и результаты Керра были быстро подтверждены и расширены.

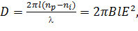
Керр смог установить зависимость между величиной преломления и силой электрического поля. Установленный им закон формулируется так: если np и ni показатели преломления среду в направлениях перпендикулярном и параллельном линиям сил, то разность фаз (в радианах) после прохождения через электрическое поле с напряженностью E будет:

 (1)

Где  длина волны проходящего света, длина пути света в среде (в см) и - так называемая «постоянная Керра». Последняя, однако, как оказалось, зависит от вещества, длины волны и температуры. Этот закон Керра оправдывается с большой точностью, как это было проверено многими исследователями. Немногочисленные исключения пришлось объяснить ошибками в методах наблюдения, так как они не подтвердились в последующих исследованиях. В сероуглероде Шомон нашел, что показатель степени Е равен 2,0045, и заключил, что закон Керра для химически чистого сероуглерода верен. Это же подтвердилось и для неполярного непроводящего сероуглерода. Но для некоторых полярных жидкостей при больших напряженностях поля были найдены незначительные отклонения. Отклонения от закона Керра в сильных полях были обнаружены и для ряда кристаллов.

2. Методы экспериментального определения постоянной Керра (В)


Чтобы определить В для данной длины волны, температуры и среду нужно, как показывает уравнение (1), измерить E,l и D. Переписанное для экспериментально измеряемых величин, уравнение (2), в случае элемента Керра в виде двух плоскопараллельных пластин на расстоянии a, будет:

 (2)

где напряжение, приложенное к элементу.

Различные методы определения В оказались, таким образом, следствием усовершенствованной техники измерений потенциала на элемента (особенно расстояния между пластинными и поправок на силу поля в их концах) и эллиптической поляризации выходящего света.

Вообще, установки разделяются на два типа в зависимости от того, является ли вещество проводником, или нет. Если оно проводник, то применяется несколько видоизмененный метод Керра, если оно полупроводник, - то метод, впервые предложенный де Кудром2, по которому постоянная Керра выражается через уже известную постоянную какого-либо другого вещества.

В первом методе желаемая длина волны выделяется светофильтром или монохроматором; в наиболее чисто сделанных работах элемент Керра помещается в термостате. Окошки в кювете элемента должны быть свободны от всяких механических напряжений, чтобы при выключении поля не было достаточного двойного лучепреломления. Металлические пластины элемента делаются обычно плоскими и неподвижно монтируются на изоляторах параллельно друг другу. Они должны быть достаточной величины, чтобы давать однородное поле на протяжении светового пучка. Однородность поля достигается также и тем, что пластины ставятся на расстоянии нескольких миллиметров друг от друга, так что необходимо определять это расстояние с большой точностью, тем более, что в уравнении (2) оно входит в квадрате.

Определение эффективной длины пластин (т.е. длины электрического поля) l также представляет затруднения вследствие тех поправок на концы, которые должны быть приняты во внимание. Часто бывает возможно определить поправку на концы экспериментально, применяя элементы различной длины. Потенциал V подается обычно на элемент электростатической машиной, трансформатором через выпрямитель или батареей. Величина этого потенциала измеряется потенциометром или электростатическим или даже обыкновенным вольтметром. Уравнение (2) показывает, что ошибка в 1% в V приведет к ошибке в 2% при определении В. Для большинства веществ В сравнительно мало, и необходимо брать очень большое V, чтобы получить D, доступное для измерений. К сожалению, техника получения измерения высоких электростатических потенциалов еще не развита в достаточной степени, так что точность определения В ограничивается ошибками в измерении V. В действительности даже часто пользуются обратным процессом измерений, применяя элемент Керра в качестве вольтметра для высоких напряжений.

Величина D, которая является мерой двойного лучепреломления, может быть измерена различными способами. Все они представляют собой видоизменения двух главных методов, один из которых основан на измерении смещения темной полосы (компенсатор Бабинэ3), а другой на сравнений интенсивности разных частей поля зрения. Последний метод является значительно более точным и вошел во всеобщее употребление после работы Брэса, который при помощи остроумной полутеневой установки добился точности в 1/20000 длины волны. Существует несколько прекрасных описаний методов измерения двойного лучепреломления и их применений (28-80) к измерению D. Поэтому нет необходимости останавливаться на этих методах подробнее. Недавно, с помощью фотоэлемента, была достигнута большая точность в определении D.

Если исследуемое вещество является проводником, то вышеуказанные методы неприменимы, так как невозможно поддерживать постоянное электрическое поле в элементе Керра, не нагревая или не разлагая среду. Отсюда необходимость включения поля только на очень короткое время, чтобы избежать повышения температуры вследствие проводимости.

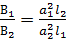
Общая схема установок приведена на рис. 2. Монохроматический свет поляризуется николем N1 под углом 45° к вертикали, проходит через элемент Керра К с вертикальными пластинами, затем через второй горизонтальный элемент К2 и, наконец, через вдоль второй николь N2, скрещенный с первым. Если в К1 поместить вещество с известной постоянной Керра В1, то можно определить неизвестную постоянную В2 для вещества, помещенного в К2 (если только В1 и В2 одного знака; если они разных знаком, то пластины К2 устанавливаются параллельно пластинам К1). К обоим элементам прилагают один и тот же потенциал и меняют расстояние между пластинами К2 до тех пор, пока двойное преломление в К1, не будет компенсировано в К2, т.е. пока свет не перестанет совсем проходить через N2. Тогда

. (3)

Рис. 2. Общая схема установок

Необходимо отметить, что пластины обоих конденсаторов должны быть строго перпендикулярны (или параллельны) друг другу, чтобы избежать вращения плоскости поляризации.

3. Теория электрооптического эффекта Керра


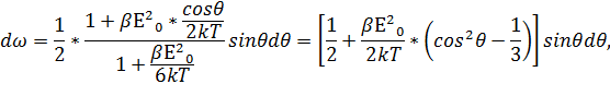
В дальнейшем предполагается, что внешнее электрическое поле однородно, а луч распространяется перпендикулярно к нему. Внешнее поле обозначается через Е0 в отличие от поля Е самой волны. Очевидно разность ne-n0 является функцией компонент поля Eox,Eoy, Eoz. если (свободная от поля) среда изотропна, то эта функция не может зависеть от направления вектора Е0. В частности, она не должна изменяться при изменение знаков своих аргументов, т.е. быть четной по отношению к каждому из них. Поэтому ее разложение в степенной ряд должно содержать только четные степени. В слабых электрических полях, какими являются все поля, применяемые на опыте, можно сохранить только первые - квадратичные- члены этого разложения. В силу уже отмеченной изотропии среды они войдут только в виде квадратов E2ox,E2oy,E2oz и притом с одним и тем же коэффициентом. Поэтому их можно объединить, написав

 (4)

Где коэффициент q зависит только от рода вещества и его состояния, а также от длины световой волны l. Опыт действительно подтвердил формулу (4). Разность фаз между необыкновенным и обыкновенным лучами после прохождения через конденсатор будет

 (5)

Где  - толщина проходимого слоя вещества, а  - так называемая постоянная Керра. Она увеличивается при уменьшении длины волны (дисперсия) и сильно уменьшается с повышением температуры (см. таблицу).

Таблица. Значения постоянной Керра для некоторых жидкостей и газов при давлении 760 мм.рт.ст в случае газов

Вещество

Постоянная Керра В, СГСЭ-ед.

Вещество

Температура, °С

Постоянная Керра В, СГСЭ-ед.

Жидкости

Газы

Нитробензол

20

2,2*10-5

Этиловый спирт

18

9,2*10-10

Нитротолуол

20

1,2*10-5

Ацетон

83

5,4*10-10

Хлорбензол

20

1*10-6

Сероуглерод

57

3,6*10-10

Вода

20

4,7*10-7

Этиловый эфир

63

-0,66*10-10

Сероуглерод

20

3,2*10-7

Этиленовый спирт

20

-1,7*10-10

Бензол

20

6*10-8




Хлороформ

20

-3,5*10-8





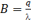
Для большинства веществ ,т.е. постоянная Керра положительна. Это соответствует анизотропии положительного кристалла. Значительно реже встречаются случаи, когда В<0 ( этиловый эфир, многие масла и спирты). Максимальным значением В из всех исследованных веществ обладает нитробензол.

Чтобы составить представление о порядке величины эффекта Керра, приведем следующий пример. Пусть расстояние между пластинами «конденсатора Керра»4 равно 1 мм, а напряжение между ними 1500 В, так что Е0=15000 В/см= 50 СГСЭ-ед. Если конденсатор заполнен жидким нитробензолом, то при l=5 см возникшая разность фаз будет . Такой конденсатор может служить пластинкой l/4. Нетрудно обнаружить и значительно меньшие разности фаз. Поэтому эффект Керра в нитробензоле находит широкие технические применения.

Эффект Керра - явление более простое и теоретически лучше изучено, чем искусственная анизотропия при механических деформациях. Это и понятно. В последнем случае проявляется воздействие сложных молекулярных полей на молекулы тела, подвергшегося деформации. Оно плохо изучено и значительно сложнее соответствующего сравнительно простого воздействия постоянного однородного электрического поля. Кроме того, явление Керра удалось наблюдать в газах, для которых теория развита наиболее глубоко и подробно. Изучение явления Керра в газах совместно с рефракцией и деполяризацией рассеянного света позволяет определить тензор поляризуемости молекул.

Явление Керра объясняется анизотропией самих молекул. Количественная теория для газов была развита Ланжевеном (1872-1946 г/г.) в 1910 году. В ней анизотропия молекулы характеризовалась только тензором поляризуемости. В отсутствие электрического поля анизотропные молекула ориентированы в пространстве хаотически, так что среда в целом макроскопически изотропна. При наложении внешнего электрического поля молекулы преимущественно ориентируются осями наибольшей поляризуемости вдоль поля, вследствие чего среда становится анизотропной. В общем случае произвольного тензора поляризуемости вычисления очень громоздки. Однако сущность теории и ее основные результаты, по крайней мере качественно, можно передать, предполагая, что молекулы полностью анизотропны, что очень сильно упрощает вычисления. Это и помогло легче передать сущность теории. Полностью анизотропной называется такая молекула, внутри которой электрические заряды могут смещаться только в определенном направлении, называемом осью молекулы. Моделью такой молекулы может служить палочка, вдоль которой и может происходить смещение зарядов(1).

При проведении расчета надо соблюдать осторожность, чтобы не спутать внешнее поле Е0 с полем Е электромагнитной волны, которое предполагается монохроматическим. Роль постоянного поля Е0 сводится к созданию в среде определенного распределения молекул по их направлениям в пространстве. Переменное же поле Е создаст в ней переменную электрическую поляризацию Р, определяющую показатели преломления электромагнитной волны.

Переменный дипольный момент р полностью анизотропной молекулы создается только составляющей поля Е, параллельной ее оси.

Он равен  где s - единичный вектор в направлении оси молекулы, а  - ее поляризуемость в том же направлении. Очевидно, р можно представить в виде . Направление внешнего поля Е0 примем за ось Ч, а направление распространения волны за ось Z. Допустим сначала, что электрический вектор Е волны направлен по оси Х. Тогда , и следовательно,

 (6)

Все направления, перпендикулярные к оси Х, для распределения молекул равновероятны. Усредняя по этим направлениям, найдем для средних значений произведений

 (7)

Тогда, для средних значений проекции дипольного момента получится

 (8)

А для вектора поляризации


Вектор поляризации среды, таким образом, направлен по Е и равен

.

Соответствующая поляризуемость среды

.

Показатель преломления будет необыкновенным. Для него и диэлектрической поляризуемости получаем


Так как показатель преломления газа близок к единице, то извлекая квадратный корень приближенно получаем

, (9)

Где  угол преломления между осью молекулы и внешним полем Е0 (т.е. осью Х).

Если распределение молекул анизотропно (т.е. внешнего поля нет), то

. Но ,

а поэтому  Значит, среда будет оптически изотропна, причем

 (10)

Если поле Е направлено вдоль оси Y, то  В этом случае показатель преломления будет обыкновенным. Для него расчет, аналогичный вышеизложенному, дает


Чтобы вычислить  представим проекции единичного вектора s в полярной системе координат с полярной осью вдоль поля Е:


Где соответствующий азимут. Он с равной вероятностью может принимать все значения от 0 до 2. Поэтому


Следовательно

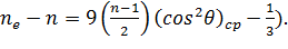
𝑐𝑝. (11)

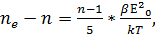
Прежде чем проводить дальнейшие вычисления, отметим, одно следствие теории. Вычитая соотношение (9) из соотношений (10) и (11), получим


Отсюда

 (12)

Это соотношение, как показали тщательные измерения, хорошо выполняется для большинства веществ.

Найдем теперь постоянную Керра В. Из (9) и (11) получаем:


Или на основании (10)

 (13)

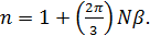
Для дальнейших вычислений воспользуемся формулой Больцмана

, (14)

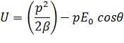
Которая определяет вероятность направления оси молекулы в пределах телесного угла . Потенциальная энергия молекулы в электрическом поле Е0 равна


Первый член есть энергия, затраченная на создание диполя с дипольным моментом , второй- потенциальная энергия этого диполя в электрическом поле Е0.

Сумма обоих членов . Поскольку она зависит только от угла в качестве телесного угла  удобно взять  и переписать формулу Больцмана в виде

, (15)

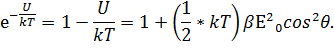
Где С- постоянная нормировки. Предполагая, что выполнено условие , разложим экспоненциальную функцию в ряд и оборвем его на линейном члене:


Постоянную С определим из условия нормировки:


Следовательно,


после подстановки в формулу (13) получим:

 (16)

А для постоянной Керра

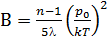
 (17)

Таким образом разность пропорциональна квадрату внешнего поля Е0, как этого и следовало ожидать из соображений симметрии. Но в теории Ланжевена постоянная Керра всегда положительна и притом не только для полностью анизотропных молекул, но и для молекул с произвольным тензором поляризуемости. Борн (1882-1971 гг.) в 1916 году устранил этот недостаток теории, распространив ее на полярные молекулы со значительными постоянными дипольными моментами р0, направления которых могут не совпадать с направлениями наибольшей поляризуемости молекул. Если р0 велико по сравнению с дипольным моментов молекулы, индуцированным внешним полем Е0, то ориентация молекул в таком поле будет определяться преимущественно постоянными моментами. Постоянные моменты р0 будут стремиться ориентироваться вдоль поля Е0, определяющего в среде направление оптической оси. Направление же наибольшей поляризуемости (т.е. наибольшей диэлектрической проницаемости и наибольшего показателя преломления) среды может составлять с ним заметный угол. Если эти два направления совпадают, то постоянна Керра В будет положительна. Если они взаимно перпендикулярны, то B<0, так как наибольший показатель преломления в этом случае соответствует обыкновенному лучу (n0>ne). В промежуточных случаях может получиться и тот и другой знак, а отдельные вещества не обнаруживают явления Керра (В=0). Отсюда понятно, почему вещества с близкими постоянными моментами и не сильно различающимися поляризуемостями (показателями преломления) могут сильно отличаться по отношению к эффекту Керра. Например, метилбромид имеет постоянную Керра, в сотни раз большую, чем метиловый спирт, хотя постоянные моменты их и поляризуемости отличаются незначительно.

Конечно, наличие постоянного дипольного момента заметно усложняет вычисления, даже если молекулы полностью анизотропны. Ограничимся простейшим случаем, когда направление вектора р0 и наибольшей поляризуемости полностью анизотропной молекулы совпадают между собой. Тогда единственное отличие от случая, разобранного выше, состоит в том, что теперь потенциальная энергия молекулы в электрическом поле Е0 будет  и в разложении соответствующего экспоненциального множителя появится линейный член Е0:


Но этот член не сказывается на вычислении , так как интегралы от  и  обращаются в нуль. Таким образом, чтобы получить окончательный результат, достаточно в формуле (17) поляризуемость  заменить на . Это дает

 (18)

Формула (18) показывает, что и в случае полярных молекул разность  пропорциональна квадрату поля Е0.

4. Длительность существования эффекта Керра. Применения эффекта Керра

электрооптический керр полярный молекула

Поскольку процессы поляризации молекул и их ориентация в электрическом поле происходят за очень короткие времена, следует ожидать, что и время возникновения и уничтожения эффекта Керра при наложении и снятии электрического поля должно быть такого же порядка. Действительно, опыты Абрагама и Лемуана5, начатые еще в 1899 году и неоднократно продолженные другими исследователями, показали, что это время меньше 10-8 с, а в некоторых случаях даже меньше 10-9с. точность всех этих опытов была недостаточна, чтобы высказать более определенные суждения. Это удалось только в результате развития лазерной техники, позволившей получать короткие импульсы (с длительностью порядка 10-12 с) мощного лазерного излучения ( со средней напряженностью электрического поля в несколько десятков кВ/см).

Такие световые поля, хотя они и не являются статистическими, способны вызывать двойное преломление в ячейках Керра. Принципиальная схема опыта приведена на рис. 2.

Рис. 3. Схема наблюдения эффекта Керра в переменных полях

Справа налево через ячейку Керра К проходит луч 1 голубого света, претерпевающий затем отражение от полупрозрачной пластинки S и попадающий в фотоумножитель ФЭУ. Если николи N1 и N2 скрещены, то свет в фотоумножитель не попадает.

Однако, если через ячейку Керра слева направо пропустить мощный импульс света от лазера L, то при прохождении луча через ячейку он вызовет в исследуемой жидкости двойное преломление луча 1, и свет начнут поступать в фотоумножитель. Если на ту же ячейку наложить статистическое электрическое поле и подобрать его напряженность так, чтобы возникла такая же разность фаз между необыкновенным и обыкновенным лучами, что и в предыдущем случае, то можно сравнить постоянные Керра в статистическом и переменном полях лазерного излучения.

Оказалось, что в не дипольных жидкостях постоянные Керра в обоих случаях практически совпадают. В дипольных жидкостях при переходе от статистического поля к переменному полю лазерного излучения постоянная Керра уменьшается. Так, в случае нитробензола она уменьшается приблизительно в 100 раз.

Уже описанный опыт позволяет оценить длительность существования эффекта Керра. Более точные результаты дают измерения, приведенной в рис.4

Рис. 4. Схема для измерения длительности существования эффекта Керра

Мощный инфракрасный импульс от лазера с длительностью порядка 10-12 и длиной волны l=1060 нм проходит через кристалл дигидрофосфата калия (KDP). Из-за нелинейного эффекта удвоения частоты незначительная часть света превращается в зеленый свет длиной волны l=530 нм. Зеркало S1 пропускает инфракрасный луч и отражает зеленый. Зеркало S2, наоборот, пропускает зеленый луч, но отражает инфракрасный. Оба луча проходят через ячейку Керра К с исследуемой жидкостью, расположенную между скрещенными николями N1 и N2. За николем N2, поставлен светофильтр F, задерживающий инфракрасное излучение и пропускающий на фотоумножитель ФЭУ зеленое. Если после зеркала S2 импульс зеленого излучения идет впереди мощного инфракрасного импульса, не перекрываясь с ним, то, разумеется, зеленый свет не может достигнуть фотоумножителя. Помещая на пути зеленого луча пластинку Р, можно задержать зеленый импульс относительно инфракрасного и по толщине пластинки измерить время задержки t. Располагая набором пластинок разной толщины, можно менять время задержки t. Опыты, показали, что в простейшем случае интенсивность проходящего света, регистрируемая фотоумножителем, меняется экспоненциально по закону  Постоянная t0 имеет смысл времени релаксации анизотропии жидкости, вызванной инфракрасным импульсом. Она и является мерой длительности эффекта Керра. Измерения дали для сероуглерода t0=2*10-12с, а для нитробензола t0=5*10-11с.

Рассмотрим теперь механизм возникновения двойного преломления в переменных полях. Если молекулы полярные, в одну половину периода их постоянные дипольные моменты стремятся ориентироваться в направлении внешнего электрического поля. В следующую половину периода, когда внешнее поле изменит направление на противоположное, возникнет такая же, но противоположно направленная ориентация. Эффекты ориентации, вызванные такими полями, вычитаются. В низкочастотных полях (в радиодиапазоне) в каждый момент времени устанавливается ориентация, соответствующая мгновенном значению электрического поля. В этом случае явление протекает так же, как в статистических полях.

Однако в высокочастотных полях (с длинами волн короче 1 см) ориентация постоянных дипольных моментов практически прекращается. В таких полях постоянные дипольные моменты р0 не могут играть роли в возникновении анизотропии, а сней и двойного преломления среды. Ориентация обусловлена только индуцированными дипольными моментами. В одну половину периода, когда электрическое поле направлено в определенную сторону, индуцированные дипольные моменты создают моменты сил, стремящиеся приблизть оси наибольшей поляризуемости молекул к направлению электрического поля. В следующую половину периода направления всех моментов меняются на противоположные. Однако они также будут приближать оси наибольше поляризуемости молекул к тому же направлению внешнего поля. Действительно, в отличие от вектора, у оси наибольшей поляризуемости нет одностороннего направления, оба направления ее совершенно эквивалентны. Не имеет никакого значения, каким концом эта ось приближается к направлению вектора Е0. Таким образом, эффекты ориентации осей наибольшей поляризуемости в соседние половины периода, несмотря на противоположные направления векторов Е0 в эти полупериоды, будут складываться, а не вычитаться. Хотя за каждый полупериод ориентация и ничтожна, благодаря такому сложению за время релаксации анизотропии т0 возникает достаточная ориентация, чтобы вызвать двойное преломление.

Таким образом, механизм возникновения двойного преломления в переменных полях высокой частоты - такой же, какой принимается в теории Ланжевена.

Благодаря чрезвычайной быстроте установления и исчезновения явления Керра оно нашло широкие научные и технические применения в качестве быстродействующих затворов и модуляторов света. Керровский модулятор света представляет собой ячейку Керра, конденсатор которой питается электрическим полем высокой частоты. Он позволяет осуществить громадное число (до 109) прерываний в секунду, недостижимое другими (например, механическими) средствами. Ячейка Керра, на которую подается кратковременный импульс электрического поля, может служить фотографическим затвором, время действия которого определяется длительностью этого импульса. Если в качестве электрического импульса взять мощный световой импульс от лазера, то время экспозиции можно довести до 10-12 с. Керровские затворы6 и модуляторы света7 применяются в лазерной технике для управления режимом работы лазеров (см. приложения).

Заключение


Данная работа дает возможность расширить свой кругозор в области знаний о электрооптике. В процессе работы над рефератом нам удалось изучить электрооптическое явление, которое подробно изучалось Джоном Керром с 1875 года. Он обнаружил, что некоторые изотропные вещества, помещенные в электрическое поле, приобретают свойства одноосного кристалла с оптической осью, параллельной электрическим силовым линиям. Был установлен закон Керра, который формулируется следующим образом: Величина двойного лучепреломления прямо пропорциональна квадрату напряжённости электрического поля.

Метод экспериментального определения постоянной Керра основан на выделении длины волны с помощью светофильтра или монохроматора; так же в наиболее чисто сделанных работах элемент Керра помещается в термостате. Очень важно знать является ли исследуемое вещество проводником, иначе указанные в работе методы неприменимы, так как невозможно поддерживать постоянное электрическое поле в элементе Керра, не нагревая или не разлагая среду. Отсюда необходимость включения поля только на очень короткое время, чтобы избежать повышения температуры вследствие проводимости.

В теоретической части работы представлены различные методы расчета постоянной Керра, а также приведена таблица с показателями константы для жидкостей и газов. Нужно отметить, что для большинства веществ постоянная положительна. Это соответствует анизотропии положительного кристалла. Значительно реже встречаются случаи, когда постоянная отрицательная (этиловый эфир, многие масла и спирты). Явление Керра объясняется анизотропией самих молекул. Количественная теория для газов была подробно развита Ланжевеном в 1910 году. Однако в его теории постоянная Керра была всегда положительна и притом не только для полностью изотропных молекул, но и для молекул с произвольным тензором поляризуемости. Этот недостаток был устранен в 1916 году Борном, который распространил ее на полярные молекулы со значительными постоянными дипольными моментами.

В конце девятнадцатого века началось изучение длительности существования эффекта Керра. У многих исследователей результаты получились настолько малыми, что был сделан вывод: длительность существования явления Керра настолько мала, что измерить ее точно в наше время невозможно. Это удалось только в результате развития лазерной техники, позволившей получать короткие импульсы порядка 10-12 с мощного лазерного излучения. Механизм возникновения двойного преломления в переменных полях оказался схож с теорией Ланжевена. Благодаря чрезвычайной быстроте установления и исчезновения явления Керра оно нашло широкие научные и технические применения в качестве быстродействующих затворов и модуляторов света.

Таким образом, в результате проделанной работы, мы выделили главные особенности электрооптического эффекта Керра, но не рассмотрели его более подробно для веществ разных фазовых состояний. Продолжение темы о действии явления в газах, в жидких или твердых веществах даст дополнительные навыки по его определению, а так же разовьет научный интерес в области физики.

Приложения

 

Положительный кристалл - одноосные кристаллы, в которых скорость распространения обыкновенного луча света больше, чем скорость распространения необыкновенного луча.

Де Кудр - провел опыт «вращение плоскости поляризации в кварце».

Компенсатор Бабине - есть система из двух кварцевых клиньев, вырезанных так, что их оптические оси взаимно перпендикулярны. Один из клиньев может перемещаться в направлении, перпендикулярном падающему пучку лучей, другой же клин неподвижен. Компенсатор устанавливается между поляризатором и анализатором.

Конденсатор Керра (ячейка Керра) применяется в качестве безынерционного светового затвора для модулирования света в звуковом кино, а также в ряде специальных устройств и для научных исследований. На практике ячейка Керра позволяет фотографировать с экспозицией в 0,01 мксек.

Опыт Абрагама и Лемуана- позволяют измерить время, в течение которого молекулы успевают ориентироваться во внешнем электрическом поле.

Керровский затвор- нелинейный диэлектрик (рис.5.)


Рис. 5. Схема Керровского затвора.

Модулятор света - некий объект, который накладывает определённую форму пространственной модуляции на луч света. Простым примером является прозрачная плёнка, накладываемая на лампу графоскопа. А также это устройства для управления параметрами световых потоков (амплитудой частотой, фазой, поляризацией).Простейшие амплитудные M. с.механич. прерыватели светового луча, в качестве которых используютвращающиеся и колеблющиеся заслонки, призмы, зеркала, а также вращающиеся растры.(рис.6.)

Рис. 6. Пространственный модулятор света

Фотографический затвор - устройство, используемое для перекрытия светового потока, проецируемого объективом на фотоматериал (например, фотоплёнку) или фотоматрицу (в цифровой фотографии). Путем открытия затвора на определенное время выдержки дозируется количество света, попадающего на чувствительную поверхность и тем самым регулируется экспозиция.

Список литературы

Дж.В. Бимс. Книга «Успехи физических наук», статья «Двойное лучепреломление в электрическом и магнитном поле», том XIII, вып.2, стр.211-215

Р.И. Березина, Березин К.В., редакция профессора В.П. Рябухо «Руководство к лабораторным работам по курсу общей физики», раздел «Оптика», стр.3-16.

Похожие работы на - Эффект Керра

 

Не нашли материал для своей работы?
Поможем написать уникальную работу
Без плагиата!
Без нейросетей!