Электроснабжение механического участка
Оглавление
Задание
. Проектирование внутрицеховых электрических сетей
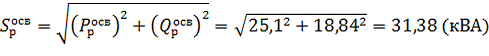
1.1 Расчет электрических нагрузок цеха
2. Расчет освещения в производственных помещениях
2.1 Расчет освещения точечным методом
.2 Проверка светового потока точечным методом
.3 Аварийное освещение
.4 Расчет освещения во вспомогательных помещениях
.5 Расчет осветительной сети
3. Выбор проводов, кабелей, шин, распределительных шкафов и
их проверка. Выбор автоматических выключателей и РП
. Определение суммарной нагрузки с учётом освещения
. Выбор числа и мощности трансформаторов цеховой подстанции
. Расчет токов КЗ
. Расчет контура заземления
7.1 Рассчитываем заземление инструментального цеха
Список литературы
Задание
Автоматизированный цех (АЦ) является вспомогательным и выполняет заказы основных
цехов предприятия.
Основное оборудование установлено в станочном отделении: станки
различного назначения и подъемно- транспортные механизмы.
АЦ получает электроснабжение (ЭСН) от собственной цеховой
трансформаторной подстанции (ТП).
ТП находится на расстоянии 1 км от ГПП предприятия, напряжение - 10 кВ.
От энергосистемы (ЭНС) до ГПП - 4 км.
Количество рабочих смен - 2.
Потребители ЭЭ относятся по надежности и бесперебойности ЭСН к 2 и 3
категории.
Грунт в районе цеха - супесь с температурой 22оС, окружающая среда не
агресивная.
Размеры цеха АхВхН=48х 48х 8 м.
Все помещения двухэтажные высотой 3,6м.
Перечень электрооборудования приведен в таблице 1.
Таблица 1 - Перечень ЭО
|
№ на плане
|
Наименование ЭО
|
|
Примечание
|
|
1-6
|
Пресс эксцентриковый КА-213
|
3,5
|
|
|
7-11
|
Пресс кривошипный К-240
|
5,88
|
|
|
12-15
|
Вертикальносверлильные
станки 2А 125
|
4,9
|
|
|
18
|
Автомат болтовысадочный
|
4,76
|
|
|
19
|
Автомат резьбонакатный
|
5,32
|
|
|
20
|
Станок протяжный
|
11,9
|
|
|
29
|
Кран-балка
|
12
|
|
|
21, 22
|
Автомат гайковысадочный
|
30,8
|
|
|
23, 24, 27, 28
|
Барабан голтовочный
|
5,6
|
|
|
31
|
Автомат обрубной
|
4,9
|
|
|
32
|
Машина шнекомоечная
|
4,9
|
|
|
33-42
|
Автомат гайконарезной
|
2,52
|
|
|
43, 44
|
Кран тележка
|
2,4
|
ПВ=60%
|
|
45, 46
|
Электроточило наждачное
|
9,24 (3,08)
|
1-фазное
|
|
47
|
Автомат 3-х позиционый
высадочный
|
8,4
|
|
|
48, 49
|
Вибросито
|
9,24 (3,08)
|
1-фазное
|
|
50, 51
|
Вентиляторы
|
5,6
|
|
1.
Проектирование внутрицеховых электрических сетей
.1 Расчет
электрических нагрузок цеха
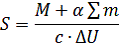
Расчет электрических нагрузок выполним методом упорядоченных диаграмм.
Этот метод расчета электрических нагрузок сводится к определению максимальных
расчетных нагрузок группы электроприемников.
где:
где: 
-
максимальная активная мощность

-
максимальная реактивная мощность

-
максимальная полная мощность

-
коэффициент максимума активной мощности

-
коэффициент максимума реактивной мощности

-
средняя активная мощность за наиболее нагруженную смену

-
средняя реактивная мощность за наиболее нагруженную смену
где:

-
номинальная активная групповая мощность, приведённая к длительному режиму, без
учёта резервных электроприёмников

-
коэффициент использования электроприёмников, определяется на основании опыта
эксплуатации (табл. 1.5.1 [1])

-
коэффициент реактивной мощности

(табл.
1.5.3 [1])
при
отсутствии таблиц коэффициент максимума можно определить по формуле:
где:

-
средний коэффициент использования группы электроприёмников:
где:

-
суммарная активная мощность за смену группы электроприёмников

- суммарная
номинальная активная мощность группы электроприёмников

-
эффективное число электроприёмников

(табл.
1.5.2 [1])
где:
- фактическое число электроприёмников в группе
-
показатель силовой сборки в группе:
где:

-
номинальная, приведённая к длительному режиму, активная мощность, наибольшая в
группе

-
номинальная, приведённая к длительному режиму, активная мощность, наименьшая в
группе
В
соответствии с практикой проектирования систем электроснабжения установлено,
что:
при

и 
эффективное
число электроприёмников вычисляется по формуле:
В
тех случаях когда 
следует
принимать 
при

принимать

при

и 
расчётная
максимальная нагрузка принимается
где:

-
коэффициент загрузки
Расчётный
ток для РП рассчитывается по формуле:
Данные
расчётов сведём в таблицу:
Таблица 2 - Нагрузки по распределительным пунктам.
|
Наименование РУ и
электроприемников
|
Нагрузка установленная
|
Нагрузка средняя за смену
|
Нагрузка максимальная
|
|
 ,кВтn ,кВт  m ,кВт ,кВАр ,кВА    ,кВт ,кВАр ,кВА ,А
|
|
|
|
|
|
|
|
|
|
|
|
|
|
|
|
|
|
РП-1
|
|
|
|
|
|
|
|
|
|
|
|
|
|
|
|
|
|
|
Пресс эксцентриковый КА-213
|
3,5
|
3
|
10,5
|
0,17
|
0,65
|
1,17
|
|
1,79
|
2,1
|
2,76
|
|
|
|
|
|
|
|
|
Пресс кривошипный К-240
|
5,88
|
4
|
23,52
|
0,25
|
0,65
|
1,17
|
|
5,88
|
6,88
|
9,1
|
|
|
|
|
|
|
|
|
Итог по РП-1
|
|
7
|
34,02
|
0,23
|
0,65
|
1,17
|
<3
|
7,67
|
8,98
|
11,81
|
7
|
2
|
1,1
|
15,34
|
9,88
|
18,25
|
27,76
|
|
РП-2
|
|
|
|
|
|
|
|
|
|
|
|
|
|
|
|
|
|
|
Пресс эксцентриковый КА-213
|
3,5
|
3
|
10,5
|
0,17
|
0,65
|
1,17
|
|
1,79
|
2,1
|
2,76
|
|
|
|
|
|
|
|
|
Пресс кривошипный К-240
|
5,88
|
1
|
5,88
|
0,25
|
0,65
|
1,17
|
|
1,47
|
1,72
|
2,26
|
|
|
|
|
|
|
|
|
Вертикально-сверлильные
станки 2А 125
|
4,9
|
4
|
19,6
|
0,1
|
0,6
|
1,33
|
|
1,96
|
2,61
|
3,26
|
|
|
|
|
|
|
|
|
Итог по РП-2
|
|
8
|
35,98
|
0,15
|
0,63
|
1,23
|
<3
|
5,22
|
6,43
|
8,28
|
8
|
2,31
|
1,1
|
12,06
|
7,07
|
13,93
|
21,27
|
|
РП-3
|
|
|
|
|
|
|
|
|
|
|
|
|
|
|
|
|
|
|
Барабан голтовочный
|
5,6
|
4
|
22,4
|
0,6
|
0,7
|
1
|
|
13,44
|
13,44
|
19
|
|
|
|
|
|
|
|
|
Барабан виброголтовочный
|
7
|
2
|
14
|
0,6
|
0,65
|
1,17
|
|
8,4
|
9,83
|
12,93
|
|
|
|
|
|
|
|
|
Станки виброголтовочные
|
14
|
2
|
28
|
0,6
|
0,7
|
1
|
|
16,8
|
16,8
|
23,76
|
|
|
|
|
|
|
|
|
Итог по РП-3
|
|
8
|
64,4
|
0,6
|
0,69
|
1,04
|
|
38,64
|
40,07
|
55,67
|
8
|
1,3
|
1,1
|
50,23
|
44,08
|
66,83
|
101,65
|
|
РП-4
|
|
|
|
|
|
|
|
|
|
|
|
|
|
|
|
|
|
|
Автомат болтовысадочный
|
4,76
|
1
|
4,76
|
0,12
|
0,4
|
2,29
|
|
0,57
|
1,31
|
1,43
|
|
|
|
|
|
|
|
|
Автомат резьбонакатный
|
5,32
|
1
|
5,32
|
0,17
|
0,65
|
1,17
|
|
0,9
|
1,05
|
1,38
|
|
|
|
|
|
|
|
|
Станок протяжный
|
11,9
|
1
|
11,9
|
0,17
|
0,65
|
1,17
|
|
2,02
|
2,36
|
3,11
|
|
|
|
|
|
|
|
|
Автомат гайковысадочный
|
30,8
|
2
|
61,6
|
0,17
|
0,65
|
1,17
|
|
10,47
|
12,25
|
16,11
|
|
|
|
|
|
|
|
|
Автомат обрубной
|
4,9
|
1
|
4,9
|
0,17
|
0,65
|
1,17
|
|
0,83
|
0,97
|
1,28
|
|
|
|
|
|
|
|
|
Машина шнекомоечная
|
4,9
|
1
|
4,9
|
0,3
|
0,6
|
1,33
|
|
1,47
|
1,96
|
2,45
|
|
|
|
|
|
|
|
|
Итог по РП-4
|
|
7
|
93,38
|
0,17
|
0,63
|
1,22
|
|
16,26
|
19,9
|
25,7
|
4
|
2,99
|
1,1
|
21,89
|
53,32
|
81,11
|
|
РП-5
|
|
|
|
|
|
|
|
|
|
|
|
|
|
|
|
|
|
|
Преобразователь сварочный
ПСО 300
|
29,1
|
2
|
58,2
|
0,2
|
0,6
|
1,33
|
|
11,64
|
15,48
|
19,37
|
|
|
|
58,2
|
77,4
|
96,84
|
147,3
|
|
Итог по РП-5
|
|
|
|
|
|
|
|
|
|
|
|
|
|
|
|
|
|
|
РП-6
|
|
|
|
|
|
|
|
|
|
|
|
|
|
|
|
|
|
|
Вентиляторы
|
5,6
|
2
|
11,2
|
0,65
|
0,8
|
0,75
|
|
7,28
|
5,46
|
9,1
|
|
|
|
|
|
|
|
|
Итог по РП-6
|
|
|
|
|
|
|
|
|
|
|
|
|
|
|
|
|
|
|
РП-7
|
|
|
|
|
|
|
|
|
|
|
|
|
|
|
|
|
|
|
Автомат гайконарезной
|
|
|
|
|
|
|
|
|
|
|
|
|
|
|
|
|
|
|
Итого по РП-7
|
|
|
|
|
|
|
|
|
|
|
|
|
|
|
|
|
|
|
РП-8
|
|
|
|
|
|
|
|
|
|
|
|
|
|
|
|
|
|
|
Кран тележка
|
|
|
|
|
|
|
|
|
|
|
|
|
|
|
|
|
|
|
Итого по РП-8
|
|
|
|
|
|
|
|
|
|
|
|
|
|
|
|
|
|
|
РП-9
|
|
|
|
|
|
|
|
|
|
|
|
|
|
|
|
|
|
|
Электроточило наждачное
|
|
|
|
|
|
|
|
|
|
|
|
|
|
|
|
|
|
|
Автомат трехпозиционный
высадочный
|
|
|
|
|
|
|
|
|
|
|
|
|
|
|
|
|
|
|
Вибросито
|
|
|
|
|
|
|
|
|
|
|
|
|
|
|
|
|
|
|
Итого по РП-9
|
|
|
|
|
|
|
|
|
|
|
|
|
|
|
|
|
|
|
Итого по РП
|
|
|
|
|
|
|
|
|
|
|
|
|
|
|
|
|
|
2. Расчет
освещения в производственных помещениях
.1 Расчет
освещения точечным методом
электросеть освещение светораспределение нагрузка
Расчет освещения будет производить методом коэффициента использования.
В станочном отделении нормальная среда, поэтому будем использовать
светильники типа HBТ 400.
Зависимость з (коэффициент использования) от площади, высоты и формы
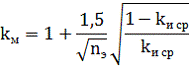
помещения учитывают комплексной характеристикой - индексом помещения:
где, S - площадь помещения (мІ);
A и B - стороны помещения (м);
h - расчетная
высота (м);
где, H - высота помещения (м);

-
расстояние от перекрытия до лампы светильника (м);

- высота
рабочей поверхности (м);
Приминаем

.
По
таблице 8-2 [5], задаемся коэффициентами отражения: для пола 
; для
стен 
; для
пола 
.
По
таблице 8-1 [5], определяем 
.
Определяем
количество рядов светильников по формуле:
где,
L - расстояние между рядами;
где,
л - коэффициент, зависящий от кривой светораспределния светильника.
В
нашем случае светильник НВО имеет в поперечной плоскости сечения кривую
светораспределения типа Д - косинусная; л=1,4; (табл. 4-16 [1]).
Принимаем
N=3.
Определяем
число светильников в ряду:
где,
E - норма освещенности для помещения (лк);
S - площадь (мІ);

Z- коэффициент
минимальной освещенности;
k - коэффициент
запаса ([6], таблица 4-16);

- поток
выбранного светильника (лм).
Для
данного помещения: E=200 (лк); z=1,15; k=1,5:
Исходя
из конструктивных особенностей помещения, принимаем n=10.
Таблица
3 - Освещение в основном производстве
|
Помещ.
|
Тип лампы
|
AхBхH (м)
|
h (м)
|
i
|
з %
|
ФЛМ(лк)
|
Ф (лк)
|
N
|
n
|
|
СО
|
НВТ 400
|
66х 24х 7
|
6,2
|
3
|
75
|
242800
|
24000
|
3
|
10
|
2.2
Проверка светового потока точечным методом
Точечный метод служит для расчета освещения рабочей поверхности, а также
для проверки фактической освещенности в контрольных точках, являющиеся наименее
освещенными.
Произведем расчет данным методом на участке штампов.
Первоначально принимается, что поток лампы в каждом светильнике равен
1000 лм. Создаваемая в этом случае освещенность называется условной и обозначается
e.
Величина e зависит от
светораспределения светильника и геометрических размеров:
h - высоты светильника над рабочей поверхностью;
d - расстояние от проекции светильника на рабочую поверхность до
контрольной точки.
Для определения e
воспользуемся изолюксами приведенными в каталоге "Световые
технологии" для светильника марки HBO.
Рис. 1. Пространственный изолюкс для светильника НВТ.
В случае расчета освещенности на горизонтальной поверхности расстояние от
источника света до конкретной точки А определяется, как гипотенуза (рис. 2)
определяется, как гипотенуза прямоугольного треугольника по выражению:
где

-
расчетная высота рабочей поверхности.
Освещенность
на горизонтальной поверхности рассчитывают по формуле:
где,

-
коэффициент запаса, определяемый по ([5], табл.3), 
.

-
коэффициент дополнительной освещенности, учитывающий освещенность, создаваемую
от неучтенных светильников, стен, и потолка (принимается равным 1,1-1,2).
В
случае, когда расчетная точка освещается несколькими источниками света,
необходимо рассчитать освещенности от каждого источника, а искомая освещенность
определяется как их сумма.
По
заданной нормируемой освещенности 
определяем
мощность лампы, необходимую для обеспечения этой освещенности на горизонтальной
поверхности, расчетное значение светового потока лампы определяют по формуле:
По
найденному значению светового потока выбирается лампа стандартной мощности и
светового потока, значение которого отличается от 
не более
чем на -10…+20%.
Рис.
2. Точки для определения освещенности.
Таблица
4 - Механическое отделение.
|
Отрез.
|
d (м)
|
|
e
|
Отрез.
|
d (м)
|
|
e
|
|
А-1
|
5,32
|
40,61
|
2,62
|
1-Б
|
4,00
|
32,83
|
3,86
|
|
А-2
|
5,32
|
40,61
|
2,62
|
2-Б
|
7,14
|
49,04
|
0,73
|
|
А-3
|
11,24
|
61,11
|
0,00
|
3-Б
|
6,63
|
46,93
|
0,83
|
|
А-4
|
5,32
|
40,61
|
2,62
|
4-Б
|
4,00
|
32,83
|
3,86
|
|
А-5
|
5,32
|
40,61
|
2,62
|
5-Б
|
7,14
|
49,04
|
0,73
|
|
А-6
|
11,24
|
61,11
|
0,00
|
6-Б
|
6,63
|
46,93
|
0,83
|
|
А-7
|
12,50
|
63,62
|
0,00
|
7-Б
|
12,00
|
62,68
|
0,00
|
|
А-8
|
12,50
|
63,62
|
0,00
|
8-Б
|
13,89
|
65,95
|
0,00
|
|
А-9
|
15,95
|
68,75
|
0,00
|
9-Б
|
18,44
|
71,42
|
0,00
|
|
|
|
Определим необходимый поток лампы:
По данному световому потоку подбираем лампу ДРЛ-400 (24000 лм).
Отклонение светового потока составляет: для точки "А" - 8,50%; для
точки "Б" - 4,86%, что укладывается в требуемый диапазон -10%...+20%.
Таблица 5 - Характеристика ртутных ламп
|
Тип лампы
|
Мощность, Вт
|
Напряжение на лампе, В
|
Ток лампы, А
|
Световой поток, лм, после
100 ч горения
|
Размеры, мм
|
Тип цоколя (ГОСТ 17101-71)
|
|
|
|
рабочий
|
пусковой
|
|
D
|
L
|
|
|
ДРЛ 400
|
400
|
140
|
5,45
|
12,00
|
30000
|
152
|
368
|
Е 40
|
2.3
Аварийное освещение
Аварийное отключение рабочего освещения может вызвать нежелательные, а то
и недопустимые последствия, вследствие чего помимо рабочего освещения
необходимо применять аварийное или эвакуационное. В зависимости от характера
освещаемого объекта это освещение согласно нормам должно служить различным
целям:
- обеспечить безопасное пребывание людей в помещении (или на участке
территории) или их безопасную эвакуацию. По норме освещенность должна быть не
менее 0,5 лк в зданиях и 0,2 лк на открытых пространствах.
- обеспечить возможность временного продолжения работы или хотя бы
доведения ее до определенного состояния. По нормам освещенность в этом случае
колеблется в пределах 2-30 лк в зданиях и 1-5 лк на открытых пространствах. При
этом освещенность на рабочих поверхностях должна создавать 5% освещенности
рабочего освещения.
Для эвакуационного освещения предпочтительно использовать те же источники
света, что и для рабочего освещения. Вообще же, могут применятся любые
источники света, безусловно надежные в данных условиях и обеспечивающие быстрое
перезажигание на мгновенных перерывах питания, происходящих при коммутационных
операциях.
Эвакуационное освещение цеха выполним светодиодными светильниками
прожекторного типа ССП 01-06-100 со светодиодами мощностью 100 Вт, 220 -
напряжение. Световой поток светильника по паспорту светильника составляет:
Флампы = 3000 лм. Требуемое количество светильников определим по формуле:
Принимаем количество светильников 12 штук.
2.4 Расчет
освещения во вспомогательных помещениях
Расчет проводим упрощенным методом удельной мощности.
Произведем
расчет количества светильников для бытового помещения. Марку светильников
выберем: ALS.OPL, с люминесцентными лампами 2х 36. Коэффициенты
отражения для потолка, стен и пола равны: 
; 
; 
,
соответственно.
Определяем
удельную мощность: 
.
Определяем
количество светильников:

.
Приминаем
N=4.
Для
остальных помещений расчеты аналогичные. Их результаты сведем в таблицу.
Таблица
6 - Освещение во вспомогательных помещениях
|
Помещ.
|
AхBхH (м)
|
S (мІ)
|
Тип свет.
|
Pсв (Вт)
|
W
|
N
|
|
ТП
|
6x6x3,6
|
36
|
ALS.OPL 218
|
36
|
4,1
|
4
|
|
Щитовая
|
6x4x3,6
|
24
|
ALS.OPL 218
|
36
|
3,7
|
4
|
|
Бытовка
|
6x6x3,6
|
36
|
ALS.OPL 418
|
72
|
4,1
|
4
|
|
Сварочный участок 1
|
12x6x3,6
|
72
|
ALS.OPL 236
|
72
|
3,5
|
8
|
|
Вентиляц. 1
|
6x6x3,6
|
36
|
ALS.OPL 218
|
36
|
4,1
|
2
|
|
Компрессор 1
|
6x6x3,6
|
36
|
ALS.OPL 218
|
36
|
4,1
|
2
|
|
Сварочный участок 2
|
6x6x3,6
|
36
|
ALS.OPL 236
|
72
|
3,5
|
4
|
|
Вентиляц. 2
|
6x6x3,6
|
36
|
ALS.OPL 218
|
36
|
4,1
|
2
|
|
Компрессор 2
|
6x6x3,6
|
36
|
ALS.OPL 218
|
36
|
4,1
|
2
|
2.5 Расчет
осветительной сети
Мощность отходящей линии с учетом ПРА для щита рассчитывают
где,

-
активная мощность линии, кВт;
Момент
линии, питающей сеть, определяется следующим образом:
где,

- полная
мощность щита, кВт, определяемая суммированием мощностей отходящих линий;

- длина,
линии, питающей сеть, м.
Момент
отходящей линии определяют по формуле:
Сечение
кабеля, питающего сеть, выбирают по расчетному току, вычисляемому по формуле:
Из
условия 
.
Определяем
сечение питающего осветительные щитки кабеля:
где,
с=79 - коэффициент для трехфазной линии 380/220В для медного проводника и 48
для алюминиевого ([5], табл. 12.11);
S - сечение
кабеля, ммІ;

-
коэффициент приведения моментов ([5], табл. 12.12).
Потерю
напряжения в линии, питающей щит, определяется:
Располагаемую
потерю напряжения определяем по формуле:
Для
отходящих линий сечение провода определяют:

Потеря
напряжения для выбранного провода отходящей линии:
По
полученным расчетным данным выбирают щит, выключатели которого проверяют по
условию 
.
Произведем
расчет по формулам, указанным выше, результаты сведем в таблицу 7. Выбираем
щиты освещения для ЩО-1 и ЩО-2 марки ОЩВ-12 на 12 отходящих линий и
автоматическим выключателем на вводе, для ЩОА ОЩВ-3 на 3 отходящий линий и
автоматическим выключателем на вводе. В данные щиты допустимо установить
однополюсные автоматические выключатели марки ВА 27-49, и трехполюсные марки ВА
47-100

.
Приведем
расчёт кабеля (ввода) и одной отходящей линии ЩО-1. Остальные провода
рассчитываются аналогично.
Определяем
момент линии питающей сети
Определяем
момент отходящей линии.





; 
.
Определяем
сечение кабеля питающего сеть:
Для
питания щита выбираем кабель ВВГ 4х 2,5 ммІ.
Определяем
потерю напряжения в линии, питающей щит:
Определяем
располагаемую потерю напряжения:
Определяем
сечение провода для линии 1.
Выбираем
провод ПВС 3х 2,5. Для остальных линий расчет проводим аналогично.
Определим
потери напряжения в отдельных линиях.
Для
остальных отходящих линий расчет проводим аналогично.
Определяем
расчетный ток щита:
Выбираем
вводной аппарат защиты ВА 47-100 на номинальный ток 20 А с характеристикой В.
Определяем
расчетные токи отходящих линий.
Выбираем
автоматический выключатель ВА 27-49 на номинальный ток 2 А с характеристикой В.
Данные
расчетов сводим в таблицу:
Таблица
7 - Расчет осветительной сети.
|
№ лин.
|
P (кВт)
|
L (м)
|
M
|
SP
|
Тип провода
|
|
IP (А)
|
Тип автом.
|
IНА
(А)
|
IНР
|
|
ЩО-1
|
|
ввод
|
12,98
|
18
|
234
|
2,13
|
АВВГ(4х 6)
|
0,54
|
24,7
|
ВА 47-63
|
32
|
30,9
|
|
1
|
2,8
|
33
|
92,4
|
1,96
|
ВВГ(3х 2,5)
|
3,08
|
15,9
|
|
20
|
19,9
|
|
2
|
0,32
|
22
|
7,04
|
0,15
|
|
0,39
|
1,82
|
|
3
|
2,3
|
|
3
|
0,32
|
10
|
3,2
|
0,09
|
|
0,18
|
1,82
|
|
3
|
2,3
|
|
4
|
2,8
|
22
|
61,6
|
1,4
|
|
3,42
|
15,9
|
|
20
|
19,9
|
|
5
|
0,32
|
12
|
3,84
|
0,1
|
|
0,21
|
1,82
|
|
3
|
2,3
|
|
6
|
0,32
|
17
|
5,44
|
0,13
|
|
0,3
|
1,82
|
|
3
|
2,3
|
|
7
|
3,5
|
32,5
|
113,75
|
2,42
|
ВВГ(3х 2,5)
|
3,79
|
19,9
|
ВА 47-63
|
25
|
24,9
|
|
ЩО-2
|
|
ввод
|
12,25
|
9
|
110,25
|
21
|
АВВГ(4х 6)
|
0,28
|
23,4
|
ВА 47-63
|
32
|
29,3
|
|
8
|
2,8
|
29
|
81,2
|
1,52
|
ВВГ(3х 2,5)
|
2,71
|
15,9
|
|
20
|
19,9
|
|
9
|
2,1
|
53,5
|
112,35
|
2,11
|
ВВГ(3х 2,5)
|
3,75
|
11,9
|
|
16
|
14,9
|
|
10
|
2,8
|
19
|
53,2
|
1
|
ВВГ(3х 1,5)
|
2,96
|
15,9
|
|
20
|
19,9
|
|
11
|
2,1
|
43,5
|
91,35
|
1,71
|
ВВГ(3х 2,5)
|
3,05
|
11,9
|
|
16
|
14,9
|
|
ЩО-3
|
|
ввод
|
1,2
|
35
|
42
|
0,36
|
АВВГ(4х 4)
|
0,24
|
3,65
|
|
5
|
4,6
|
|
12
|
0,16
|
13,5
|
2,16
|
0,04
|
ВВГ(3х 1,5)
|
0,12
|
0,91
|
|
2
|
1,1
|
|
13
|
0,64
|
19
|
12,16
|
0,22
|
|
0,68
|
3,64
|
|
5
|
4,6
|
|
14
|
0,16
|
34,5
|
5,52
|
0,1
|
|
0,31
|
0,91
|
|
2
|
1,1
|
3. Выбор
проводов, кабелей, шин, распределительных шкафов и их проверка. Выбор
автоматических выключателей и РП
При эксплуатации электросетей длительные перегрузки проводов и кабелей,
КЗ вызывают повышение температуры токопроводящих жил больше допустимой.
Это приводит к преждевременному износу изоляции, следствием чего может
быть пожар, взрыв во взрывоопасных помещениях, поражение персонала.
Для предотвращения этого линия ЭСН имеет аппарат защиты, отключающий
повреждённый участок.
Аппаратами защиты являются: автоматические выключатели, предохранители с
плавкими вставками и тепловые реле, встраиваемые в магнитные пускатели.
Автоматические выключатели являются наиболее совершенными аппаратами
защиты.
Наиболее современными автоматами являются выключатели серии ВА. Они имеют
уменьшенные габариты, совершенные конструктивные узлы и элементы.
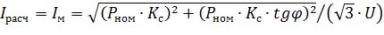
Аппараты управления и защиты выбираются по следующим условиям:
1.
Номинальное напряжение 
.
Номинальный ток расцепителя
.Номинальный
ток выключателя
Определяем расчетный ток от пресса КА 213 до РП 1:
Выбираем
автоматический выключатель марки ВА 47-63, трехполюсной, с током автомата 13A с C
срабатывание электромагнитной защиты между 5 и 10 кратным значением
номинального тока, условным током расцепителя 
, 
.
Аналогично
выбираем автоматические выключатели для других станков, и заносим полученные
сведения в таблицу:
Таблица 8 - Выбор автоматических выключателей для станков
|
Наименование станка
|
А
|
А
|
Тип АВ
|
А
|
|
Характер
|
|
Пресс эксцентриковый
|
8,2
|
10,25
|
ВА 47-63
|
13
|
1,25
|
С
|
|
Пресс кривошипный
|
13,76
|
17,2
|
ВА 47-63
|
20
|
1,25
|
С
|
|
Вертикально-сверлильный станок
|
12,42
|
15,53
|
ВА 47-63
|
16
|
1,25
|
С
|
|
Барабан голтовочный
|
12,17
|
15,21
|
ВА 47-63
|
16
|
1,25
|
С
|
|
Барабан виброголтовочный
|
16,38
|
20,48
|
ВА 47-63
|
25
|
1,25
|
С
|
|
Станок виброголтовочный
|
30,42
|
38
|
ВА 47-63
|
40
|
1,25
|
С
|
|
Автомат болтовысадочный
|
18,1
|
22,63
|
ВА 47-63
|
25
|
1,25
|
С
|
|
Автомат резьбонакатный
|
12,45
|
15,56
|
ВА 47-63
|
16
|
1,25
|
С
|
|
Станок протяжной
|
27,85
|
34,81
|
ВА 47-63
|
40
|
1,25
|
С
|
|
Автомат гайковысадочный
|
72
|
90
|
ВА 47-100
|
100
|
1,25
|
С
|
|
Автомат обрубной
|
11,47
|
14,34
|
ВА 47-63
|
16
|
1,25
|
С
|
|
Машина шнекомоечная
|
12,42
|
15,53
|
ВА 47-63
|
16
|
1,25
|
С
|
|
Преобразователь сварочный
ПСО 300
|
73,8
|
73,8
|
ВА 47-100
|
80
|
1,25
|
С
|
|
Вентилятор
|
10,65
|
13,31
|
ВА 47-63
|
16
|
1,25
|
С
|
|
Автомат гайконарезной
|
5,9
|
7,38
|
ВА 47-63
|
10
|
1,25
|
С
|
|
Кран тележка
|
8
|
10
|
ВА 47-63
|
10
|
1,25
|
С
|
23,43
|
29,29
|
ВА 47-63
|
32
|
1,25
|
С
|
|
Автомат трехпозиционный
высадочный
|
21,3
|
26,63
|
ВА 47-63
|
32
|
1,25
|
С
|
|
Вибросито
|
23,43
|
29,29
|
ВА 47-63
|
32
|
1,25
|
С
|
Для питания кран-балок проведем расчет троллейной линии, т.к. она
является более надежной и устойчивой к механическим воздействиям чем провод.
Троллейные линии применяются в крановых установках для двигателей
подъёма, тележки и моста. Двигатели кранов работают в повторно-кратковременном
режиме с низким коэффициентом использования. Троллейные линии крановых
установок, где в качестве материала применяют угловую сталь или шинопроводы
ШТМ, можно рассчитать методом, который сводится к выбору размеров угловой стали
или серии ШТМ, удовлетворяющих условиям нагрева и допустимой потере напряжения.
Рассчитаем номинальный и пусковой ток двигателя:
Потребляемая
мощность при 
:
При
среднем режиме работы кранов коэффициент спроса 
,
определяем расчётный ток троллея, принимая 
, 
.
Кратковременный
пусковой ток при пуске двигателя:
Так
как в данном цехе установлено один мостовой кран, то выбираем троллейный шинопровод
ШТМ - 72 на номинальный ток 630 А. Для выбранного шинопровода ШТМ 72 R=0,034
Ом/м, X=0,016 Ом/м. Тогда потери напряжения в ШТМ 72 при
пусковом токе 
:
что составляет 8,8%.
Произведем расчет для кран-балки.
Рассчитаем номинальный и пусковой ток двигателя:
Потребляемая
мощность при 
:
При
среднем режиме работы кранов коэффициент спроса 
,
определяем расчётный ток троллея, принимая 
, 
.
Кратковременный
пусковой ток при пуске двигателя:
Так
как в данном цехе установлена одна кран-балка, то выбираем троллейный
шинопровод ШТМ - 72 на номинальный ток 630 А. Для выбранного шинопровода ШТМ 72
R=0,034 Ом/м, X=0,016 Ом/м. Тогда потери
напряжения в ШТМ 72 при пусковом токе 
:
что
составляет 0,1%.
Выбираем
кабели из условия, что 
Для
сварочного аппарата 
,
следовательно выбираем кабель АВВГ (4х 35+1х 26) с током 
Выбранный
кабель проверяем по потере напряжения

(В)
Аналогично
подбираем кабели для остальных станков и сводим в таблицу 9.
Таблица 9 - Выбор кабелей для станков
|
№
|
Наименование cтанка
|
кВт
|
cosц
|
А
|
А
|
Марка кабеля
|
мОм/км
|
мОм/км
|
м
|
%
|
|
1
|
Пресс эксцентриковый КА 213
|
3,5
|
0,65
|
10,25
|
20
|
АВВГ 5Х 2,5
|
12,5
|
0,116
|
7
|
0,27
|
|
2
|
Пресс эксцентриковый КА 213
|
3,5
|
0,65
|
10,25
|
20
|
АВВГ 5Х 2,5
|
12,5
|
0,116
|
13
|
0,5
|
|
3
|
Пресс эксцентриковый КА 213
|
3,5
|
0,65
|
10,25
|
20
|
АВВГ 5Х 2,5
|
12,5
|
0,116
|
19
|
0,7
|
|
7
|
Пресс кривошипный К 240
|
5,88
|
0,65
|
17,2
|
20
|
АВВГ 5Х 2,5
|
12,5
|
0,116
|
7
|
0,45
|
|
8
|
Пресс кривошипный К 240
|
5,88
|
0,65
|
17,2
|
20
|
АВВГ 5Х 2,5
|
12,5
|
0,116
|
9,5
|
0,61
|
|
9
|
Пресс кривошипный К 240
|
5,88
|
0,65
|
17,2
|
20
|
АВВГ 5Х 2,5
|
12,5
|
0,116
|
12
|
0,77
|
|
10
|
Пресс кривошипный К 240
|
5,88
|
0,65
|
17,2
|
20
|
АВВГ 5Х 2,5
|
12,5
|
0,116
|
14,5
|
0,93
|
|
4
|
Пресс эксцентриковый КА 213
|
3,5
|
0,65
|
10,25
|
20
|
АВВГ 5Х 2,5
|
12,5
|
0,116
|
13
|
0,5
|
|
5
|
Пресс эксцентриковый КА 213
|
3,5
|
0,65
|
10,25
|
20
|
АВВГ 5Х 2,5
|
12,5
|
0,116
|
19
|
0,73
|
|
6
|
Пресс эксцентриковый КА 213
|
3,5
|
0,65
|
10,25
|
20
|
АВВГ 5Х 2,5
|
12,5
|
0,116
|
25
|
0,96
|
|
11
|
Пресс кривошипный К 240
|
5,88
|
0,65
|
17,2
|
20
|
АВВГ 5Х 2,5
|
12,5
|
0,116
|
11,5
|
0,74
|
|
12
|
Вертикально-сверлильные
станки 2А 125
|
4,9
|
0,6
|
15,53
|
20
|
АВВГ 5Х 2,5
|
12,5
|
0,116
|
18,5
|
0,99
|
|
13
|
Вертикально-сверлильные
станки 2А 125
|
4,9
|
0,6
|
15,53
|
20
|
АВВГ 5Х 2,5
|
12,5
|
0,116
|
22,5
|
1,21
|
|
14
|
Вертикально-сверлильные
станки 2А 125
|
4,9
|
0,6
|
15,53
|
20
|
АВВГ 5Х 2,5
|
12,5
|
0,116
|
26,5
|
1,42
|
|
15
|
Вертикально-сверлильные
станки 2А 125
|
4,9
|
0,6
|
15,53
|
20
|
АВВГ 5Х 2,5
|
12,5
|
0,116
|
30,5
|
1,64
|
|
23
|
Барабан голтовочный
|
5,6
|
0,7
|
15,21
|
20
|
АВВГ 5Х 2,5
|
12,5
|
0,116
|
6
|
0,37
|
|
24
|
Барабан голтовочный
|
5,6
|
0,7
|
15,21
|
20
|
АВВГ 5Х 2,5
|
12,5
|
0,116
|
9
|
0,55
|
|
27
|
Барабан голтовочный
|
5,6
|
0,7
|
15,21
|
20
|
АВВГ 5Х 2,5
|
12,5
|
0,116
|
12
|
0,73
|
|
28
|
Барабан голтовочный
|
5,6
|
0,7
|
15,21
|
20
|
АВВГ 5Х 2,5
|
12,5
|
0,116
|
15
|
0,92
|
|
25
|
Барабан виброголтовочный
|
7
|
0,65
|
20,48
|
27
|
АВВГ 5Х 4
|
7,81
|
0,107
|
7,5
|
0,36
|
|
29
|
Барабан виброголтовочный
|
7
|
0,65
|
20,48
|
27
|
АВВГ 5Х 4
|
7,81
|
0,107
|
10,5
|
0,5
|
|
30
|
Станок виброголтовочный
|
14
|
0,7
|
38
|
47
|
АВВГ 5Х 10
|
3,12
|
0,099
|
15,5
|
0,6
|
|
26
|
Станок виброголтовочный
|
14
|
0,7
|
38
|
47
|
АВВГ 5Х 10
|
3,12
|
0,099
|
15
|
0,59
|
|
18
|
Автомат болтовысадочный
|
4,76
|
0,4
|
22,63
|
27
|
АВВГ 5Х 4
|
7,81
|
0,107
|
7
|
0,23
|
|
19
|
Автомат резьбонакатный
|
5,32
|
0,65
|
15,56
|
20
|
АВВГ 5Х 2,5
|
12,5
|
0,116
|
14
|
0,81
|
|
20
|
Станок потяжный
|
11,9
|
0,65
|
34,81
|
47
|
АВВГ 5Х 10
|
3,12
|
18,5
|
0,62
|
|
21
|
Автомат гайковысадочный
|
30,8
|
0,65
|
90
|
101
|
АВВГ(3Х 35+2Х 25)
|
0,894
|
0,088
|
25,5
|
0,68
|
|
22
|
Автомат гайковысадочный
|
30,8
|
0,65
|
90
|
101
|
АВВГ(3Х 35+2Х 25)
|
0,894
|
0,088
|
25,5
|
0,68
|
|
31
|
Автомат обрубной
|
4,9
|
0,65
|
14,34
|
20
|
АВВГ 5Х 2,5
|
12,5
|
0,116
|
12,5
|
0,67
|
|
32
|
Машина шнекомоечная
|
4,9
|
0,6
|
15,53
|
20
|
АВВГ 5Х 2,5
|
12,5
|
0,116
|
16
|
0,86
|
|
16
|
Преобразователь сварочный
ПСО 300
|
29,1
|
0,6
|
73,8
|
82
|
АВВГ(3Х 25+2Х 16)
|
1,25
|
0,091
|
4,5
|
0,12
|
|
17
|
Преобразователь сварочный
ПСО 300
|
29,1
|
0,6
|
73,8
|
82
|
АВВГ(3Х 25+2Х 16)
|
1,25
|
0,091
|
4,5
|
0,12
|
|
50
|
Вентилятор
|
5,6
|
0,65
|
13,31
|
20
|
АВВГ 5Х 2,5
|
12,5
|
0,116
|
3
|
0,15
|
|
51
|
Вентилятор
|
5,6
|
0,65
|
13,31
|
20
|
АВВГ 5Х 2,5
|
12,5
|
0,116
|
4,5
|
0,22
|
|
33
|
Автомат гайконарезной
|
2,52
|
0,65
|
7,38
|
20
|
АВВГ 5Х 2,5
|
12,5
|
0,116
|
9
|
0,25
|
|
34
|
Автомат гайконарезной
|
2,52
|
0,65
|
7,38
|
20
|
АВВГ 5Х 2,5
|
12,5
|
0,116
|
15
|
0,41
|
|
35
|
Автомат гайконарезной
|
2,52
|
0,65
|
7,38
|
20
|
АВВГ 5Х 2,5
|
12,5
|
0,116
|
21
|
0,58
|
|
36
|
Автомат гайконарезной
|
2,52
|
0,65
|
7,38
|
20
|
АВВГ 5Х 2,5
|
12,5
|
0,116
|
24,5
|
0,68
|
|
37
|
Автомат гайконарезной
|
2,52
|
0,65
|
7,38
|
20
|
АВВГ 5Х 2,5
|
12,5
|
0,116
|
8,5
|
0,23
|
|
38
|
Автомат гайконарезной
|
2,52
|
0,65
|
7,38
|
20
|
АВВГ 5Х 2,5
|
12,5
|
0,116
|
14,5
|
0,4
|
|
39
|
Автомат гайконарезной
|
2,52
|
0,65
|
7,38
|
20
|
АВВГ 5Х 2,5
|
12,5
|
0,116
|
20,5
|
0,57
|
|
40
|
Автомат гайконарезной
|
2,52
|
0,65
|
7,38
|
20
|
АВВГ 5Х 2,5
|
12,5
|
0,116
|
17,5
|
0,48
|
|
41
|
Автомат гайконарезной
|
2,52
|
0,65
|
7,38
|
20
|
АВВГ 5Х 2,5
|
12,5
|
0,116
|
17,5
|
0,48
|
|
42
|
Автомат гайконарезной
|
2,52
|
0,65
|
7,38
|
20
|
АВВГ 5Х 2,5
|
12,5
|
0,116
|
23,5
|
0,65
|
|
43
|
Кран тележка
|
2,4
|
0,5
|
10
|
20
|
АВВГ 5Х 4
|
92
|
7,37
|
10
|
9,5
|
|
44
|
Кран тележка
|
2,4
|
0,5
|
10
|
20
|
АВВГ 5Х 4
|
92
|
7,37
|
12
|
9,6
|
|
45
|
Электроточило наждачное
|
9,24
|
0,6
|
29,29
|
34
|
АВВГ 5Х 6
|
5,21
|
0,1
|
14
|
0,6
|
|
46
|
Электроточило наждачное
|
9,24
|
0,6
|
29,29
|
34
|
АВВГ 5Х 6
|
5,21
|
0,1
|
20
|
0,86
|
|
47
|
Автомат 3-хпозиционый
высадочный
|
8,4
|
0,6
|
26,63
|
27
|
АВВГ 5Х 4
|
7,81
|
0,107
|
28
|
1,1
|
|
48
|
Вибросито
|
9,24
|
0,6
|
29,29
|
34
|
АВВГ 5Х 6
|
5,21
|
0,1
|
14
|
0,6
|
|
49
|
Вибросито
|
9,24
|
0,6
|
29,29
|
34
|
АВВГ 5Х 6
|
5,21
|
0,1
|
20,5
|
0,87
|
Аппараты защиты для распределительных пунктов, от которых питается группа
ЭД выбираются по следующим условиям:
1.
Номинальный ток расцепителя
. Ток отсечки
Аналогично выбираем автоматические выключатели для других сборок, и
заносим полученные сведения в таблицу:
Таблица 10 - Выбор автоматических выключателей для РП
|
Наименование РП
|
Iном расц
А
|
Iнома А
|
Тип АВ
|
kутр
|
Характер.
|
|
РП-1
|
30,5
|
32
|
ВА 47-63
|
1,45
|
D
|
|
РП-2
|
23,4
|
25
|
ВА 47-63
|
1,45
|
D
|
|
РП-3
|
111,8
|
125
|
ВА 47-100
|
1,45
|
D
|
|
РП-4
|
89,2
|
100
|
ВА 47-100
|
1,45
|
D
|
|
РП-5
|
162
|
|
|
|
|
|
РП-6
|
23,4
|
25
|
ВА 47-63
|
1,45
|
D
|
|
РП-7
|
18,4
|
20
|
ВА 47-63
|
1,45
|
D
|
|
РП-8
|
16,1
|
20
|
ВА 47-63
|
1,45
|
D
|
|
РП-9
|
32,3
|
40
|
ВА 47-63
|
1,45
|
D
|
Для распределительных щитков выбираем ящики марки ЩРВ из металлического
материала. Данные распределительные щиты универсальные и позволяют
устанавливать в коробе распределительного щита от 2 до 24 автоматических
выключателей. В зависимости от количества приёмников, данные ящики будут
комплектоваться соответствующим количество аппаратов защиты. Также, конструкция
распределительных щитов марки ЩРВ позволяет устанавливать вводные аппараты
защиты.
4.
Определение суммарной нагрузки с учётом освещения
Суммарную нагрузку цеха находят путем простого арифметического сложения
полных суммарных мощностей силовой и осветительной нагрузки.
Где,
для того чтобы найти 
сначала
проведём ряд вычислений
Расчетная
мощность освещения:
где,

-
коэффициент спроса осветительной нагрузки.

Минимально
допустимый коэффициент мощности равен 0,92, следовательно, требуется
компенсация реактивной мощности.
Рассчитаем
КУ и данные сведём в таблицу:
Таблица 11 - Расчёт компенсирующего устройства
|
Параметры
|
|
|
P кВт
|
Q кВАр
|
S кВА
|
|
Без КУ
|
0,755
|
0,869
|
252,42
|
219,35
|
334,41
|
|
С КУ
|
0,92
|
0,429
|
252,42
|
119,35
|
279,21
|
|
Потери
|
|
|
5,58
|
27,92
|
28,5
|
|
ВН с КУ
|
|
|
258
|
147,27
|
307,71
|
Исходя из этого выбираем КУ: УКН 0,4- 100УЗ.
Фактический

будет:

легко
определить из 
: 
, что
находится в нужном диапазоне.
Определим
потери в трансформаторе:
Находим
мощность трансформатора исходя из того, что потребители 3 категории, поэтому
коэффициент загрузки можно взять равным 0,85…1.
Выбираем
трансформатор ТМ 400/10/0,4.
Таблица
12 - Характеристика трансформаторов
|
ТР
|
 , МВАПределы
регулирования , кВ , кВ , % , кВт , % , % , мОм , мОм , кВАр
|
|
|
|
|
|
|
|
|
|
|
|
ТМ-400/10
|
0,4
|
|
10
|
0,4
|
4,5
|
5,5
|
0,83
|
2
|
9,4
|
27,2
|
12,6
|
6. Расчет
токов КЗ
Точки КЗ выбираются на шинах и на вводах в электроприемник. Точки КЗ
нумеруются сверху вниз, начиная от источника.
Для определения токов КЗ используются следующие соотношения:
) 3 - фазного, (кА):
где:

-
линейное напряжение в точке КЗ, (кВ);

- полное
сопротивление до точки КЗ, (Ом)
2) 2 - фазного, (кА):
3) 1 - фазного, (кА):
где:

- фазное
напряжение в точке КЗ, (кВ);

-
сопротивление петли "фаза-ноль", (Ом);

-
сопротивление трансформатора однофазному замыканию, (Ом)
4) Ударного тока, (кА):
где:

-
ударный коэффициент, определяется по графику (рис. 1.9.1. [1])
5) Действующее значение ударного тока, (кА):
где:
- коэффициент действующего значения тока:
6) Сопротивления определяются следующим образом:
для трансформаторов по табл. 1.9.1 [1]
- для коммутационной аппаратуры по табл. 1.9.3. [1]
для питающих линий по табл. 1.9.5 - 1.9.7. [1].
Сопротивления на ВН приводится к НН по формулам:
где:

и 
-
сопротивления, приведенные к НН, (Ом);

и 
-
сопротивления, приведенные к ВН, (Ом).
Данные
расчета сводим в таблицу:
|
№
|
|
R, мОм
|
X, мОм
|
Z, мОм
|
|
|
q
|
 , кА , кА , кА , Ом , кА
|
|
|
|
|
|
1
|
СВ
|
21,26
|
17,3
|
27,4
|
1,23
|
1
|
1
|
8,02
|
11,34
|
6,98
|
|
|
|
2
|
РП-1
|
135,42
|
24,57
|
137,63
|
5,51
|
1
|
1
|
1,6
|
2,26
|
1,39
|
|
|
|
3
|
РП-2
|
334,61
|
27,3
|
335,72
|
12,26
|
|
1
|
0,65
|
0,92
|
0,57
|
|
|
|
4
|
РП-3
|
78,91
|
22,93
|
82,17
|
3,44
|
1
|
1
|
2,67
|
3,78
|
2,32
|
|
|
|
5
|
РП-4
|
54,56
|
20,03
|
58,12
|
2,72
|
1
|
1
|
3,78
|
5,34
|
3,29
|
|
|
|
6
|
РП-5
|
47,62
|
18,78
|
51,19
|
2,54
|
1
|
1
|
4,29
|
6,07
|
3,73
|
|
|
|
7
|
РП-6
|
438,56
|
27,15
|
439,4
|
16,15
|
1
|
1
|
0,5
|
0,71
|
0,44
|
|
|
|
8
|
РП-7
|
102,73
|
22,55
|
105,18
|
4,56
|
1
|
1
|
2,09
|
2,96
|
1,82
|
|
|
|
9
|
РП-8
|
110,54
|
22,66
|
112,84
|
4,88
|
1
|
1
|
1,95
|
2,76
|
1,7
|
|
|
|
10
|
РП-9
|
101,1
|
23,48
|
103,79
|
4,31
|
1
|
1
|
2,12
|
3
|
1,84
|
|
|
|
11
|
ЩО-1
|
141,84
|
23,6
|
143,8
|
6
|
1
|
1
|
1,53
|
2,16
|
1,33
|
|
|
|
12
|
ЩО-2
|
95,3
|
22,7
|
98
|
4,2
|
1
|
1
|
2,24
|
3,17
|
1,95
|
|
|
|
13
|
ЩО-3
|
321,4
|
25,5
|
322,4
|
12,6
|
1
|
1
|
0,68
|
0,96
|
0,59
|
|
|
|
1
|
РП-1
|
229,72
|
29,87
|
231,65
|
7,69
|
1
|
1
|
0,95
|
1,34
|
0,83
|
|
|
|
2
|
|
304,72
|
30,57
|
306,25
|
9,97
|
1
|
1
|
0,72
|
1,02
|
0,63
|
|
|
|
3
|
|
379,72
|
31,27
|
381
|
12,14
|
1
|
1
|
0,58
|
0,82
|
0,5
|
|
|
|
7
|
|
229,72
|
29,87
|
231,65
|
7,69
|
1
|
1
|
0,95
|
1,34
|
0,83
|
|
|
|
8
|
|
261,02
|
30,17
|
262,76
|
8,65
|
1
|
1
|
0,84
|
1,19
|
0,73
|
|
|
|
9
|
|
292,22
|
30,47
|
293,8
|
9,59
|
1
|
1
|
0,75
|
1,06
|
0,65
|
|
|
|
10
|
|
323,52
|
30,77
|
324,98
|
10,51
|
1
|
1
|
0,68
|
0,96
|
0,59
|
|
|
|
4
|
РП-2
|
503,91
|
33,3
|
505
|
15,13
|
1
|
1
|
0,43
|
0,61
|
0,37
|
|
|
|
5
|
|
578,91
|
34
|
579,91
|
17
|
1
|
1
|
0,38
|
0,54
|
0,33
|
|
|
|
6
|
|
653,91
|
34,7
|
654,83
|
18,84
|
1
|
1
|
0,34
|
0,48
|
0,3
|
|
|
|
11
|
|
485,21
|
33,1
|
486,34
|
14,66
|
1
|
1
|
0,45
|
0,64
|
0,39
|
|
|
|
12
|
|
572,71
|
573,71
|
16,89
|
1
|
1
|
0,38
|
0,54
|
0,33
|
|
|
|
13
|
|
622,71
|
34,4
|
623,66
|
18,1
|
1
|
1
|
0,35
|
0,49
|
0,3
|
|
|
|
14
|
|
672,71
|
34,9
|
673,61
|
19,28
|
1
|
1
|
0,33
|
0,67
|
0,29
|
|
|
|
15
|
|
722,71
|
35,3
|
723,57
|
20,47
|
1
|
1
|
0,3
|
0,42
|
0,26
|
|
|
|
23
|
РП-3
|
160,71
|
28,13
|
163,15
|
5,71
|
1
|
1
|
1,35
|
1,91
|
1,17
|
|
|
|
24
|
|
198,21
|
28,43
|
200,24
|
6,97
|
1
|
1
|
1,1
|
1,56
|
0,96
|
|
|
|
27
|
|
235,71
|
28,83
|
237,47
|
8,18
|
1
|
1
|
0,92
|
1,3
|
0,8
|
|
|
|
28
|
|
273,21
|
29,13
|
274,76
|
9,38
|
1
|
1
|
0,8
|
1,13
|
0,7
|
|
|
|
25
|
|
144,31
|
28,23
|
147
|
5,11
|
1
|
1
|
1,49
|
2,11
|
1,3
|
|
|
|
29
|
|
167,71
|
28,53
|
170,12
|
5,88
|
1
|
1
|
1,29
|
1,82
|
1,12
|
|
|
|
30
|
|
134,11
|
28,93
|
137,19
|
4,64
|
1
|
1
|
1,6
|
2,26
|
1,39
|
|
|
|
26
|
|
132,51
|
28,93
|
135,63
|
4,58
|
1
|
1
|
1,62
|
2,29
|
1,41
|
|
|
|
18
|
РП-4
|
116,03
|
25,23
|
118,74
|
4,6
|
1
|
1
|
1,85
|
2,62
|
1,61
|
|
|
|
19
|
|
236,36
|
26,13
|
237,8
|
9,05
|
1
|
1
|
0,92
|
1,3
|
0,8
|
|
|
|
20
|
|
119,06
|
26,33
|
121,94
|
4,52
|
1
|
1
|
1,8
|
2,55
|
1,57
|
|
|
|
21
|
|
79,36
|
23,43
|
82,75
|
3,39
|
1
|
1
|
2,65
|
3,75
|
2,31
|
|
|
|
22
|
|
79,36
|
23,43
|
82,75
|
3,39
|
1
|
1
|
2,65
|
3,75
|
2,31
|
|
|
|
31
|
|
217,66
|
26,03
|
219,21
|
8,36
|
1
|
1
|
1
|
1,41
|
0,87
|
|
|
|
32
|
|
261,36
|
26,43
|
262,69
|
9,89
|
1
|
1
|
0,84
|
1,19
|
0,73
|
|
|
|
16
|
РП-5
|
55,32
|
20,38
|
58,95
|
2,71
|
1
|
1
|
3,75
|
5,3
|
3,26
|
|
|
|
17
|
|
55,32
|
20,38
|
58,95
|
2,71
|
1
|
1
|
3,75
|
5,3
|
3,26
|
|
|
|
50
|
РП-6
|
482,86
|
31,95
|
483,92
|
15,11
|
1
|
1
|
0,45
|
0,64
|
0,39
|
|
|
|
51
|
|
501,66
|
32,15
|
502,69
|
15,6
|
1
|
1
|
0,44
|
0,62
|
0,38
|
|
|
|
33
|
РП-7
|
222,03
|
28,05
|
223,8
|
7,92
|
1
|
1
|
0,98
|
1,39
|
0,85
|
|
|
|
34
|
|
297,03
|
28,75
|
298,42
|
10,33
|
1
|
1
|
0,74
|
1,05
|
0,64
|
|
|
|
35
|
|
372,03
|
29,45
|
373,19
|
12,63
|
1
|
1
|
0,59
|
0,83
|
0,51
|
|
|
|
36
|
|
415,83
|
29,85
|
416,9
|
13,93
|
1
|
1
|
0,53
|
0,75
|
0,46
|
|
|
|
37
|
|
215,83
|
28,05
|
217,65
|
7,69
|
1
|
1
|
1,01
|
1,43
|
0,88
|
|
|
|
38
|
|
290,83
|
28,75
|
292,25
|
10,12
|
1
|
1
|
0,75
|
1,06
|
0,65
|
|
|
|
39
|
|
365,83
|
29,45
|
367
|
12,42
|
1
|
1
|
0,6
|
0,85
|
0,52
|
|
|
|
40
|
|
328,33
|
29,05
|
329,61
|
11,3
|
1
|
1
|
0,67
|
0,95
|
0,58
|
|
|
|
41
|
|
328,33
|
29,05
|
329,61
|
11,3
|
1
|
1
|
0,67
|
0,95
|
0,58
|
|
|
|
42
|
|
403,33
|
29,75
|
404,43
|
13,56
|
1
|
1
|
0,54
|
0,76
|
0,47
|
|
|
|
43
|
РП 8
|
1037,34
|
100,86
|
1042,23
|
10,28
|
1
|
1
|
0,21
|
0,3
|
0,18
|
|
|
|
44
|
|
1221,34
|
115,56
|
1226,79
|
10,57
|
1
|
1
|
0,25
|
0,16
|
|
|
|
45
|
РП-9
|
180,8
|
29,38
|
183,17
|
6,15
|
1
|
1
|
1,2
|
1,7
|
1,04
|
|
|
|
46
|
|
112,1
|
29,98
|
116
|
3,74
|
1
|
1
|
1,9
|
2,69
|
1,65
|
|
|
|
47
|
|
326,6
|
30,98
|
328,1
|
10,54
|
1
|
1
|
0,67
|
0,95
|
0,58
|
|
|
|
48
|
|
180,8
|
29,38
|
183,17
|
6,15
|
1
|
1
|
1,2
|
1,7
|
1,04
|
|
|
|
49
|
|
214,7
|
29,98
|
216,78
|
7,16
|
1
|
1
|
1,01
|
1,43
|
0,88
|
|
|
|
1
|
ЩО-1
|
392,8
|
31,9
|
394,1
|
12,31
|
1
|
1
|
0,56
|
0,79
|
0,49
|
|
|
|
2
|
|
419,2
|
30,9
|
420,3
|
13,57
|
1
|
1
|
0,52
|
0,74
|
0,45
|
|
|
|
3
|
|
271,6
|
29,4
|
273,2
|
9,24
|
1
|
1
|
0,81
|
1,15
|
0,7
|
|
|
|
4
|
|
419,2
|
30,9
|
420,3
|
13,57
|
1
|
1
|
0,52
|
0,74
|
0,45
|
|
|
|
5
|
|
296,2
|
29,6
|
297,7
|
10
|
1
|
1
|
0,74
|
1,05
|
0,64
|
|
|
|
6
|
|
357,7
|
30,2
|
359
|
11,84
|
1
|
1
|
0,61
|
0,86
|
0,53
|
|
|
|
7
|
|
389,1
|
31,9
|
390,4
|
12,2
|
1
|
1
|
0,56
|
0,79
|
0,49
|
|
|
|
1
|
ЩО-2
|
316,7
|
30,6
|
318,2
|
10,35
|
1
|
1
|
0,69
|
0,98
|
0,6
|
|
|
|
2
|
|
498
|
33,4
|
499,1
|
14,91
|
1
|
1
|
0,44
|
0,62
|
0,38
|
|
|
|
3
|
|
335,8
|
29,6
|
337,1
|
11,34
|
1
|
1
|
0,65
|
0,92
|
0,57
|
|
|
|
4
|
|
424
|
32,2
|
425,2
|
13,17
|
1
|
1
|
0,52
|
0,74
|
0,45
|
|
|
|
1
|
ЩО-3
|
494,3
|
31,7
|
495,3
|
15,59
|
1
|
1
|
0,44
|
0,62
|
0,38
|
|
|
|
2
|
|
561,9
|
32,4
|
562,8
|
17,34
|
1
|
1
|
0,39
|
0,55
|
0,34
|
|
|
|
3
|
|
752,6
|
34,3
|
753,4
|
21,94
|
1
|
1
|
0,29
|
0,41
|
0,25
|
|
|
7. Расчет контура заземления
.1
Рассчитываем заземление инструментального цеха
Размеры
цеха: 
м.
Напряжение ЛЭП 
. Длина
воздушной линии от ГПП до ТП 
. Грунт в
районе цеха - суглинок с удельным сопротивлением 
. Глубина
заложения 
.
Климатический район - 3. Вид ЗУ - рядное. Вертикальный электрод - круглая сталь

, 
.
Горизонтальный электрод - полоса (40х 4 мм).
Расчетное
сопротивление одного вертикального электрода определяется по формуле:
где:

-
коэффициент сезонности для вертикального заземлителя ([1], табл. 1.13.2).
Расчетный
ток замыкания на землю:
где:

, 
- длина
электрически связанных воздушных и кабельных линий электропередачи.
Определим
предельное сопротивление совмещенного ЗУ:
Требуемое
сопротивление заземлителя по стороне НН:
Количество
вертикальных электродов:
без
учета экранирования (расчетное):
Принимаем

.
с
учетом экранирования
где:

-
коэффициент использования вертикального электрода, определяется по ([1], табл.
1.13.5)
Принимаем

.