|
№
|
Наименование параметра
|
Обозначение
|
Единцы измерения
|
Численные значения
|
|
1
|
Тип двигателя (дизель, карбюратор)
|
|
|
|
|
2
|
Макс. скор. Движения автомобиля
|
Vmax
|
км/ч
|
95
|
|
3
|
Полный вес автомобиля (гружен.)
|
Rz
|
Н
|
150142
|
|
4
|
База одиночного трансп. Средства
|
L
|
м
|
3190+1320
|
|
5
|
Макс. Мощность двигателя
|
Ne max
|
кВт
|
184,95
|
|
6
|
Угловая скор.коленчатого вала при макс. Мощности двигателя Ne mzx
|
ωN
|
рад/с
|
303
|
|
7
|
Радиус качения колеса
|
rk
|
м
|
0,768
|
|
8
|
КПД трансмиссии
|
ƞ
|
|
0,90
|
|
9
|
Фактор обтекаемости
|
kF
|
Н·с2/м2
|
4
|
|
10
|
Постоянная для определения δ
|
d
|
|
0,03
|
|
11 12 13
|
Постоянные коэффициенты в Формуле Лейдермана
|
a b c
|
|
0,5 1 1,5
|
|
14
|
Удельный расход топлива при Nemax
|
gN
|
г/кВт·ч
|
210
|
|
15
|
Плотность топлива
|
ϒ
|
кг/л
|
0,82
|
|
16
|
Передаточное число главнойпередачи (расчетное значение)
|
i0
|
|
8,82
|
|
17
|
Передаточное число раздаточной коробки
|
ipk
|
|
-
|
|
18
|
Количество передач в коробке передач
|
m
|
|
5
|
|
19 20 21 22 23
|
Передаточные числа коробки передач (по прототипу)
|
i1 i2 i3 i4 i5
|
|
7,82 4,03 2,5 1,53 1
|
|
24 25 26 27 28 29 30 31
|
Угловые скорости коленчатого вала взятые для расчета
характеристик двигателя и автомобиля
|
ω1 ω2 ω3 ω4 ω5 ω6 ω7 ω8
|
рад/с
|
60,6 90,9 121,2 151,5 181,8 212,1 242,4 303
|
|
32
|
Коэффициент сопротивления качению (асфальт - на первом и втором участке)
|
f0
|
|
0,015
|
|
33
|
Коэффициент сопротивления подъёму (первый участок - в гору)
|
i
|
|
0,07
|
где f
коэффициент сопротивления качению (в данном случае он равен коэффициенту
сопротивления качению fVmax);
k - коэффициент
сопротивления воздуха (исходные данные); лобовая площадь автомобиля,
принимается, как 80% от произведения ширины автомобиля (без учета выступающих
малогабаритных деталей) на высоту; f0 = 0,015.
где i0 - передаточное число главной
передачи, как центральной, так и разнесенной (с учетом бортовых и колесных
редукторов);
,6 - коэффициент, переводящий скорость
автомобиля из км/ч в м/с;
ωemax
- максимальная угловая скорость коленчатого вала двигателя, рад/с; к
- радиус качения колеса, м; max - максимальная скорость движения
груженого автомобиля, км/ч;
ikc
- «скоростное» передаточное число в коробке передач, на котором достигается
максимальная скорость движения автомобиля.
где ω1…ω5
- значения угловых скоростей коленчатого вала двигателя, при которых
рассчитываются все параметры, рад/с.
2. Определение тягово-скоростных свойств
автомобиля
.1 Определение тягово-скоростных свойств
автомобиля
Первой строим внешнюю характеристику мощности
двигателя, в зависимости от угловой скорости коленчатого вала по формуле
Лейдермана:
где Nemax - максимальная мощность двигателя,
кВт; при скорости вращения коленчатого вала ωN
, рад/с (ωN
- в задании на проектирование); e - мощность двигателя, кВт, при
текущем значении угловой скорости коленчатого вала ωe,
рад/с и полной подаче топлива; , b, c - коэффициенты формулы (в исходных
данных).
Таблица 2
|
Ne1
|
Ne2
|
Ne3
|
Ne4
|
Ne5
|
Ne6
|
Ne7
|
Ne8
|
|
28,11
|
47,72
|
69,54
|
92,48
|
115,41
|
137,21
|
156,84
|
184,95
|
Далее строим характеристику крутящего момента
двигателя. Известно, что при вращательном процессе мощность считается по
формуле
N = M
· ω
где М - крутящий момент;
ω - угловая скорость
вращения под действием момента. Тогда крутящий момент двигателя Ме
(Н·м) рассчитываем по формуле:
где Ne - мощность двигателя по графику, кВт;
1000 - коэффициент для перевода мощности из кВт в Вт.
Таблица 3
|
Me1
|
Me2
|
Me3
|
Me4
|
Me5
|
Me6
|
Me7
|
Me8
|
|
463,90
|
524,94
|
573,77
|
610,39
|
634,81
|
647,02
|
647,02
|
610,39
|
Кω
- коэффициент, учитывающий скоростной режим работы двигателя, определяется по
эмпирической зависимости:
Таблица 4
|
Kω1
|
Kω2
|
Kω3
|
Kω4
|
Kω5
|
Kω6
|
Kω7
|
Kω8
|
|
1,11
|
1,04
|
1,00
|
0,97
|
0,95
|
0,94
|
0,95
|
1,00
|
КN
- коэффициент, учитывающий степень загрузки двигателя. Для дизельного
двигателя:
автомобиль скорость
деталь демпфер
где р - степень загрузки двигателя, определяется
по формуле. Для внешней скоростной характеристики р = 1,0, поэтому - КN
= 1,0.
Характеристика удельного расхода топлива
строится по формуле:
где gN - удельный расход топлива при Nemax,
г/кВт·ч (берется в исходных данных).
Таблица 5
|
ge1
|
ge2
|
ge3
|
ge4
|
ge5
|
ge6
|
ge7
|
ge8
|
|
232,85
|
220,14
|
210,25
|
203,18
|
198,91
|
197,46
|
198,83
|
210,00
|
Часовой расход топлива определяем по формуле:
где размерность Ne - кВт, часовой
расход топлива Gt - кг/ч, а удельный расход топлива ge-
г/кВт·ч. Коэффициент 1000 переводит граммы ge в килограммы Gt.
Таблица 6
|
Gt1
|
Gt2
|
Gt3
|
Gt4
|
Gt5
|
Gt6
|
Gt7
|
Gt8
|
|
6,55
|
10,50
|
14,62
|
18,79
|
22,96
|
27,1
|
31,18
|
38,84
|
В дальнейшем на основании скоростных
характеристик двигателя строим характеристики автомобиля с учетом следующих
зависимостей:
Скорость движения автомобиля, км/ч:
Таблица 7
|
V1
|
V2
|
V3
|
V4
|
V5
|
|
2,429187
|
4,713708
|
7,598498
|
12,41585
|
18,99624
|
|
3,643781
|
7,070563
|
11,39775
|
18,62377
|
28,49437
|
|
4,858375
|
9,427417
|
15,197
|
24,83169
|
37,99249
|
|
6,072968
|
11,78427
|
18,99624
|
31,03962
|
47,49061
|
|
7,287562
|
14,14113
|
22,79549
|
37,24754
|
56,98873
|
|
8,502156
|
16,49798
|
26,59474
|
43,45546
|
66,48686
|
|
9,716749
|
18,85483
|
30,39399
|
49,66339
|
75,98498
|
|
12,14594
|
23,56854
|
37,99249
|
62,07923
|
94,98122
|
Сила тяги на ведущих колесах, Н:
Таблица 8
|
Pk1
|
Pk2
|
Pk3
|
Pk4
|
Pk5
|
|
37495,74
|
19323,25
|
11987,13
|
7336,123
|
4794,852
|
|
42429,39
|
21865,79
|
13564,38
|
8301,402
|
5425,753
|
|
46376,31
|
23899,81
|
14826,19
|
9073,626
|
5930,474
|
|
49336,5
|
25425,33
|
15772,54
|
9652,793
|
6309,015
|
|
51309,96
|
26442,34
|
16403,44
|
10038,91
|
6561,376
|
|
52296,69
|
26950,85
|
16718,89
|
10231,96
|
6687,556
|
|
52296,69
|
26950,85
|
16718,89
|
10231,96
|
6687,556
|
|
49336,5
|
25425,33
|
15772,54
|
9652,793
|
6309,015
|
Мощность на ведущих колесах, кВт:
Таблица 9
|
Nk1
|
Nk2
|
Nk3
|
Nk4
|
Nk5
|
Nk6
|
Nk7
|
Nk8
|
|
25,29
|
42,94
|
62,59
|
83,23
|
103,86
|
123,51
|
141,16
|
166,46
|
.2 Построение силового баланса
где Pf - сила сопротивления качению,
Н;
Таблица 10
|
f1
|
f2
|
f3
|
f4
|
|
0,015004
|
0,015013
|
0,015035
|
0,015092
|
0,015217
|
|
0,015008
|
0,01503
|
0,015078
|
0,015208
|
0,015487
|
|
0,015014
|
0,015053
|
0,015139
|
0,01537
|
0,015866
|
|
0,015022
|
0,015083
|
0,015217
|
0,015578
|
0,016353
|
|
0,015032
|
0,01512
|
0,015312
|
0,015832
|
0,016949
|
|
0,015043
|
0,015163
|
0,015424
|
0,016133
|
0,017652
|
|
0,015057
|
0,015213
|
0,015554
|
0,01648
|
0,018464
|
|
0,015089
|
0,015333
|
0,015866
|
0,017312
|
0,020413
|
Таблица 11
|
Pf1
|
Pf2
|
Pf3
|
Pf4
|
Pf5
|
|
2252,662
|
2254,132
|
2257,331
|
2266,017
|
2284,638
|
|
2253,326
|
2256,634
|
2263,833
|
2283,376
|
2325,273
|
|
2254,256
|
2260,136
|
2272,935
|
2307,678
|
2382,162
|
|
2255,452
|
2264,64
|
2284,638
|
2338,923
|
2455,304
|
|
2256,914
|
2270,144
|
2298,941
|
2377,112
|
2544,701
|
|
2258,642
|
2276,65
|
2315,845
|
2422,245
|
2650,352
|
|
2260,635
|
2284,156
|
2335,35
|
2474,321
|
2772,256
|
|
2265,42
|
2302,17
|
2382,162
|
2599,303
|
3064,828
|
Сила сопротивления уклона (в данном случае
подъема), Н:
где i - величина уклона дороги (указана на
дорожных знаках в процентах).
Сила сопротивления воздуха, Н:
где к·F - фактор обтекаемости (исходные данные)
Таблица 12
|
Pw1
|
Pw2
|
Pw3
|
Pw4
|
Pw5
|
|
1,815677
|
6,83663
|
17,76528
|
47,43177
|
111,033
|
|
4,085274
|
15,38242
|
39,97189
|
106,7215
|
249,8243
|
|
7,262709
|
27,34652
|
71,06113
|
189,7271
|
444,1321
|
|
11,34798
|
42,72894
|
111,033
|
296,4485
|
693,9564
|
|
16,3411
|
61,52967
|
159,8876
|
426,8859
|
999,2972
|
|
22,24205
|
83,74872
|
217,6247
|
581,0391
|
1360,155
|
|
29,05084
|
109,3861
|
284,2445
|
758,9083
|
1776,528
|
|
45,39193
|
170,9157
|
444,1321
|
1185,794
|
2775,826
|
График силового баланса в курсовом проекте
строим для движения по горизонтальной асфальтированной дороге, поэтому сила
сопротивления уклона на нем отсутствует. На график наносим: характеристику силы
тяги при соответствующей скорости движения автомобиля; силы сопротивления
качению (откладываются от оси абсцисс); силы сопротивления воздуха
(откладываются вверх от характеристики силы сопротивления качению).
.3 Построение мощностного баланса автомобиля
η
- мощность расходуемая на трение в трансмиссии.
Таблица 13
|
Nη1
|
Nη2
|
Nη3
|
Nη4
|
Nη5
|
Nη6
|
Nη7
|
Nη8
|
|
2,81
|
4,77
|
6,95
|
9,25
|
11,54
|
13,72
|
15,68
|
18,49
|
Другие мощности сопротивлений определяются путем
перемножения соответствующих сил на скорость движения автомобиля:
Таблица 14
|
Nf51
|
Nf52
|
Nf53
|
Nf54
|
Nf55
|
Nf56
|
Nf57
|
Nf58
|
|
12,06
|
18,40
|
25,14
|
32,39
|
40,28
|
48,95
|
58,51
|
80,86
|
Таблица 15
|
Nw51
|
Nw52
|
Nw53
|
Nw54
|
Nw55
|
Nw56
|
Nw57
|
Nw58
|
|
0,59
|
1,98
|
4,69
|
9,17
|
15,85
|
25,17
|
37,58
|
73,39
|
В знаменателях формул стоят коэффициенты,
переводящие скорость автомобиля из км/ч в м/с и мощность из Вт в кВт.
График мощностного баланса в курсовом проекте
строим с учетом движения автомобиля по горизонтальной дороге, т.е. Ni
= 0.
Значения Nw - так же, как в силовом
балансе откладываются вверх от уже построенной характеристики Nf
так, чтобы их значения суммировались.
Значения Nη
откладываются вниз от характеристики Ne.
.4 Построение динамической характеристики
На динамической характеристике отображается
зависимость динамического фактора груженого автомобиля от скорости его
движения.
Динамический фактор:
где Rz - полный вес автомобиля, Н.
Таблица 16
|
D1
|
D2
|
D3
|
D4
|
D5
|
|
0,248994
|
0,127959
|
0,079098
|
0,04812
|
0,031194
|
|
0,280928
|
0,143967
|
0,088676
|
0,053623
|
0,03447
|
|
0,305919
|
0,156217
|
0,095784
|
0,05747
|
0,036535
|
|
0,323968
|
0,164711
|
0,10042
|
0,05966
|
0,037389
|
|
0,335074
|
0,169447
|
0,102584
|
0,060194
|
0,037032
|
|
0,339238
|
0,170425
|
0,102277
|
0,059071
|
0,035464
|
|
0,336459
|
0,167646
|
0,099498
|
0,056293
|
0,032686
|
|
0,310074
|
0,150817
|
0,086526
|
0,045766
|
0,023495
|
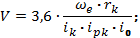
.5 Построение графика ускорения
График ускорения строим на основе динамической
характеристики по формуле:
где D
и ψ
= f берутся из
динамической характеристики для груженого автомобиля и горизонтальной дороги;
g - ускорение
свободного падения, ≈ 9,81 м/с2; δ - коэффициент
учета вращающихся масс.

- передаточное число в коробке
передач.
Таблица 17
|
δ1
|
δ2
|
δ3
|
δ4
|
δ5
|
|
2,864572
|
1,517227
|
1,2175
|
1,100227
|
1,06
|
Таблица 18
|
j1
|
j2
|
j3
|
j4
|
j5
|
|
0,801323
|
0,730276
|
0,516187
|
0,294486
|
0,147871
|
|
0,910668
|
0,833672
|
0,593019
|
0,342521
|
0,175683
|
|
0,996231
|
0,91273
|
0,649798
|
0,375375
|
0,191286
|
|
1,058013
|
0,967452
|
0,686523
|
0,393048
|
0,194681
|
|
1,096014
|
0,997836
|
0,703194
|
0,39554
|
0,185867
|
|
1,110234
|
1,003883
|
0,699811
|
0,382852
|
0,164845
|
|
1,100672
|
0,985593
|
0,676375
|
0,354983
|
0,131614
|
|
1,010205
|
0,876002
|
0,569341
|
0,253704
|
0,028527
|
3. Проектирование сцепления
.1 Выбор основных параметров ведомого диска
Таблица 19
|
Наружный диаметр ведомого диска Dд, мм
|
350
|
|
Угловая скорость вращения коленчатого вала, не более, рад/с
|
400
|
|
Наружный диаметр накладок, Dн, мм
|
350
|
|
Внутренний диаметр накладок, Dв, мм
|
290
|
|
Толщина накладок, δнакл, мм
|
6
|
.2 Определение силы сжатия дисков
Максимальное рабочее давление на поверхность
накладки q определяем по формуле:
где Sн - фактическая рабочая площадь
одной накладки с учетом отверстий под заклепки, м2:
В формуле ωN
- угловая скорость коленчатого вала при максимальной мощности (см. тяговый
расчет) соответственно, рад/с;
в - коэффициент, равный: 0,72 - дизельных
двигателей;
Jа-
момент инерции автомобиля, приведенный к ведущему валу коробки передач, кг·м2.
где mа
- полная масса автомобиля, кг;
rк
- радиус качения колеса (из исходных данных), м;
δ - коэффициент учета
вращающихся масс ≈ 1,05; iк,
iрк,
i0
- передаточные числа коробки передач, раздаточной коробки, главной передачи
соответственно;
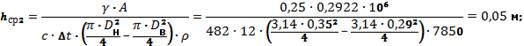
.3 Расчет размеров нажимного диска
где ρ - плотность
материала нажимного диска (чугун) 7,85·103 кг/м3.
Толщину ведомого диска принял без расчетов 2,0
мм.
.4 Расчет витых цилиндрических пружин
Диаметр витка пружины:
где ΔР
- приращение реакции пружины при выключении.
Затем вычисляю жесткость пружины с, Н/м:
где Δf=
0,004 - дополнительная деформация пружины при выключении сцепления, м.
Количество рабочих витков пружины nр:
где G
= 8·1010 Па - модуль упругости при кручении.
Полное число витков превышает рабочее на 2.
.5 Расчет пружин демпфера крутильных колебаний
Диаметр витка пружины:
Количество рабочих витков пружины nр:
где G
= 8·1010 Па - модуль упругости при кручении; жесткость с для
демпферных пружин принимается200000H/м.
3.6 Расчет шлицевого соединения
Наружный D=
0,047 и внутренний d = 0,039
диаметры шлицевого вала (в метрах) беру из прототипа и, затем, провожу
проверочный расчет вала на кручение:
Шлицы проверяю на смятие и срез.
Количество шлицев z=
10. Длина шлицевой втулки l
= 0,056 принимаю 1,2 от наружного диаметра D
шлицевого вала, м.
Список литературы
1. Краткий автомобильный справочник
НИИАТ.- М.: Транспорт, 2002-202 с.
2. Осепчугов В.В., Фрумкин А.К.
Автомобиль. Анализ конструкций, элементы расчета. Учебник для вузов по
специальности "Автомобиль и автомобильное хозяйство" - 2-е изд.,
репринт.- М.: Бастет, 2007 - 304 с.
. Конструирование и расчет
автомобиля: Учебник для студентов вузов, обучающихся по специальности
«Автомобили и тракторы»/ Лукин П.П., Гаспарянц Г.А., Родионов В.Ф. - М.:
Машиностроение, 1984. - 376 с.
4. Методические указания к
выполнению курсового проекта по дисциплине «Автомобили» для студентов
специальности 190601 (дневной и заочной формы обучения). Составитель: А.М.
Зарщиков. г. Омск издательство - СибАДИ 2007 г.