Измеритель интервалов времени
Министерство транспорта Российской
Федерации
Федеральное агентство
железнодорожного транспорта
Государственное бюджетное
образовательное учреждение высшего профессионального образования
Омский государственный университет
путей сообщения ( ОмГУПС)
Кафедра « Вагоны и вагонное
хозяйство»
Измеритель интервалов времени
Пояснительная записка к курсовой
работе
по дисциплине «Физические методы
контроля»
ИМНВ. 4.005.000.000 ПЗ
Студент
гр.10Ж
Фокина Е. А.
Руководитель
-
Доцент каф.
«ВиВХ»
Чередов А. И.
Омск 2013
Реферат
УДК 621.372.64
Курсовой проект содержит 27 страниц, 13 рисунков, 4 источника, 3 формулы.
Целью данной работы - моделирование измерителя интервалов времени в Mathcad, собрать схему генератора
прямоугольных импульсов в среде программирования Electronics WorkBench
При выполнение курсовой работы были использованы такие программные
средства, как: Microsoft Office Word 2007, Electronics WorkBench 5.12, Mathcad 14.
Задание
Изучить конструкцию, назначение и работу ультразвукового дефектоскопа УД2
− 12. В среде программирования Mathcad смоделировать измеритель интервалов времени и генератор
прямоугольных импульсов. В программе Electronics WorkBench собрать схему генератора прямоугольных импульсов.
Введение
К акустическим методам неразрушающего контроля относят обширную область
испытания материалов и изделий, основанную на применении упругих колебании и
волн, точнее, на регистрации параметров упругих волн, возбуждаемых или
возникающих в объекте неразрушающего контроля. Методы неразрушающего акустического
контроля широко применяют благодаря ряду их преимуществ: волны легко вводятся в
объект контроля, хорошо распространяются в металлах, бетоне и других
материалах; эффективны при выявлении дефектов с малым раскрытием, чувствительны
к изменению структуры и физико-механических свойств материалов, не представляют
опасности для персонала. Использование различных типов волн (продольных,
поперечных, поверхностных, нормальных и других) расширяет возможности
акустических методов неразрушающего контроля. Основным средством
ультразвукового контроля является ультразвуковой дефектоскоп. Ультразвуковой
дефектоскоп - это прибор, предназначенный для выполнения ультразвукового
контроля и измерения толщины изделий из различных материалов, проводящих
ультразвук, разнообразных типоразмеров и полученных различными способами.
Дефектоскоп УД2-12 представляет собой ультразвуковой измерительный
диагностический прибор неразрушающего контроля, предназначенный для контроля
готовой продукции, сварных швов и металлических полуфабрикатов на предмет
наличия нарушения однородности и сплошности изоляции, а также других дефектов,
включая механические повреждения. Устройство измеряется глубину и координаты
залегания объекта и используется в качестве установки ручного контроля, осуществляющей
эхо-теневой и зеркально-теневой методы дефектоскопии.
Переносной акустический дефектоскоп имеет датчик с источником и
регистратором ультразвуковых колебаний, которые создают УЗ-волны и направляют
их на диагностируемый объект. В случае обнаружения дефекта изменяется скорость
распространения акустических колебаний, что и определяется приемником. Прибор
обеспечивает скорости распространения продольных ультразвуковых колебаний в
диапазоне от 2240 до 6700 м/с и затухание не более 3,9 дБ/см. Поскольку различный
характер дефектов определяет интенсивность УЗК, то широкий диапазон испускаемых
сигналов позволяет выявить и локализовать все виды повреждений на довольно
больших расстояниях.
. Назначение
дефектоскопа
Дефектоскоп ультразвуковой УД2-12 предназначен для
контроля продукции на наличие дефектов (обнаружение дефектов) типа нарушения
сплошности и однородности материалов, полуфабрикатов, готовых изделий и сварных
соединений, для измерения глубины и координат их залегшим, измерения отношений
амплитуд сигналов от дефектов, и работающий на частотах 1,25; 1,8; 2,5; 5,0 и
10,0>МГц. Дефектоскоп сохраняет работоспособность при контроле материалов и
изделий со скоростями распространения продольных ультразвуковых колебаний (УЗК)
в диапазоне от 2240 до 6700 м/c затуханием продольных УЗК не более 3,9 дБ/см на
частоте 2,5 МГц. Диапазон толщин контролируемого материала (по стали) от 1 до
999 мм по цифровому индикатору и от 1 до 5000 мм по экрану электронно-лучевой
трубки (ЭЛТ). Другие параметры контролируемых объектов, ограничивающие область
применения дефектоскопа, устанавливаются в нормативно-технической документации
на контроль конкретных видов продукции.
УД2-12 может быть применен в машиностроении,
металлургической промышленности, на железнодорожном и трубопроводном видах
транспорта, энергетике для контроля изделий основного производства и
технологического оборудования. Дефектоскоп реализует эхо-метод, теневой и
зеркально-теневой методы контроля. Встроенные устройства автоматизированной
обработки результатов контроля, позволяют производить настройку и диагностику
технического состояния дефектоскопа с элементами самоповерки. По
функциональному назначению дефектоскоп относится ко второй группе
ультразвуковых дефектоскопов (УЗД), по конструктивному исполнению - к переносным,
по степени участия оператора в процессе контроля - к ручным УЗД по ГОСТ
23049-84.
По устойчивости к механическим воздействиям
дефектоскоп является виброустойчивым по ГОСТ 23049-84. В зависимости от
воздействия агрессивных и взрывоопасных сред дефектоскоп является обыкновенным
по ГОСТ 23049-84. Дефектоскоп эксплуатируется при температуре окружающего
воздуха от минус 10 до плюс 50 °С. Верхнее значение относительной влажности 98%
при температуре 35°С.
1.1
Конструкция дефектоскопа
В основу работы УД2-12 положена способность УЗК
распространяться в контролируемом изделиях и отражаться от внутренних дефектов
и граней изделий. Он состоит из функционально законченных блоков, связь между
которыми осуществляется через разъемные соединения.
Основные функциональные блоки:
. БЦО - блок цифровой обработки;
. ЭЛТ - электронно-лучевая трубка;
. БР - блок развертки;
. ГЗИ - генератор зондирующих импульсов;
. ГСИ- генератор синхронизации импульсов;
. ИО - измеритель отношений;
. ПУТ - приёмно - усилительный тракт;
. АСД - автоматическая сигнализация дефекта;
. Блок питания
Дефектоскоп может работать в следующих режимах:
) режим «dB»- измерение отношения входных амплитуд
сигналов в децибелах;
) режим «mmH»- измерение глубины залегания дефекта в
миллиметрах при работе с совмещенном и раздельно-совмещенном ПЭП;
) режим«mmX»- измерение Х-координаты дефекта в
миллиметрах при работе с наклонным ПЭП;
) режим«mmУ» - измерение У-координаты (глубина
залегания) дефекта в миллиметрах при работе с наклонным ПЭП;
) режим «μs» -измерение временного интервала
электрических импульсов;
) дежурный режим.
Дефектоскоп выполнен на основе базового
унифицированного конструктива ручных переносных приборов для ультразвуковой
дефектоскопии. Конструкция дефектоскопа состоит из блоков, каркаса и двух
съёмных полукожухов (верхнего и нижнего).
1.2 Работа
дефектоскопа и блоков
На рисунке 1 изображена функциональная схема дефектоскопа УД2-12:
Рисунок 1 - Функциональная схема дефектоскопа
Генератор
синхронизации импульсов
ГСИ служит для управления работой всех узлов дефектоскопа в импульсном
режиме. При использовании режима внутренней синхронизации возможна установка
одной из четырех частот (125, 250, 500, 1000Гц). Частота синхронизации
определяет частоту следования зондирующего импульса. Чем выше частота
синхронизации, тем ярче изображение на экране ЭЛТ (т.е. луч чаще пробегает по
экрану). При увеличении скорости сканирования выбирают большую частоту
синхронизации.
Генератор
зондирующих импульсов
Генератор импульсов возбуждения служит для вырабатывания зондирующего
импульса поступающего на ПЭП. Генератор позволяет плавно изменять амплитуду
зондирующего импульса и дискретно его частоту. При настройке дефектоскопа
устанавливается максимальная амплитуда зондирующего импульса. Уменьшать
амплитуду можно только при большой амплитуде отраженного сигнала, если все
кнопки аттенюатора нажаты, а отраженный сигнал выше верхней границы экрана.
Приёмно -
усилительный тракт
Устройство приемное предназначено для усиления и выпрямления сигналов с
ПЭП. Устройство приемное состоит из: аттенюатора, диодного ограничителя,
согласователя, регулируемого усилителя, на выходе которого подключается
полосовой фильтр, широкополосного усилителя, детектора, ключа, видеоусилителя,
схемы регулировки уровня шумов и корректора ВРЧ.
Работает УП следующим образом. Сигнал с ПЭП поступает на аттенюатор и
через диодный ограничитель на вход согласователя. С выхода согласователя сигнал
последовательно поступает на ряд каскадов. После этого радиоимпульсы поступают
на детектор, затем выходной сигнал поступает на полосовой фильтр, параллельно
которому включен ключ, Включающий УП только на время действия импульса.
Сигналы, превышающие пороговое значение, без изменения пропускаются на
выход, а сигналы, не превышающие порог, пропускаются на выход уменьшенными на
коэффициент деления потенциометра, что позволяет плавно регулировать их
амплитуду, не изменяя амплитуду импульсов, превышающих уровень отсечки.
Корректор ВРЧ производит кусочно-линейную аппроксимацию входного напряжения,
что необходимо для линеаризации регулировочной характеристики УП.
Временная
регулировка чувствительности (ВРЧ)
Находится в приемном устройстве. Позволяет менять во времени коэффициент
усиления. ВРЧ представлена в дефектоскопе в виде кривой линии, которая
выводится на экран ЭЛТ. В общем случае эта кривая содержит участок
экспоненциально возрастающей формы (зоны ВРЧ). Благодаря ВРЧ имеется возможность
компенсировать ослабление ультразвуковых колебаний в контролируемом изделии,
обусловленное рассеянием и затуханием ультразвука. Блок ВРЧ позволяет ослаблять
шумы зондирующего импульса, благодаря чему уменьшается мертвая зона ПЭП.
Блок ЭЛТ
Блок ЭЛТ предназначен для индикации видеосигнала, строба АСД, строба ВРЧ
и кривой ВРЧ и состоит из устройства управления, умножителя напряжения,
стабилизатора накала, усилителя вертикального отклонения, ключа питания,
усилителя горизонтального отклонения и ключа бланкирования.
Работает блок следующим образом. При поступлении импульса «Подсвет» на
ключ питания включается транзистор и подается напряжение на усилитель
вертикального отклонения, усилитель горизонтального отклонения и ключ
бланкирования. Видеосигналы с потенциометра поступают на усилитель, с выхода
которого поступают на инвертор. На базу подается строб АСД либо строб ВРЧ. С
эмиттеров парафазный сигнал поступает на вертикальные отклоняющие пластины ЭЛТ.
Потенциометр служит для смещения луча ЭЛТ по вертикали, другой потенциометр для
установки амплитуды на выходе усилителя вертикального отклонения. Для питания
накала ЭЛТ применен встроенный стабилизатор накала.
Блок
развертки
Блок развертки предназначен для выработки пилообразного напряжения
горизонтальной развертки, импульсов управления ЭЛТ, импульса управления блока
АСД и УП. Также в блоке дефектоскопа конструктивно располагается глубиномер
дефектоскопа. Блок развертки позволяет изменять длительность развертки плавно и
дискретно, а задержку развертки только плавно.
Блок АСД
Блок АСД служит для временной и амплитудной селекции принимаемых ПЭП
сигналов. Временная селекция осуществляется стробом АСД, начало и конец
которого изменяется в определенных пределах (пределы указаны в инструкции по
применению дефектоскопа). Амплитудная селекция осуществляется тремя
регулируемыми по высоте пороговыми уровнями. Превышение максимального из
застробированных сигналов того или иного уровня отражается на работе светового
индикатора.
Звуковая индикация работает совместно с загоранием зеленой лампочки в
продленном режиме звучании. Блок АСД состоит из двух одновибраторов,
формирователя сигнала, формирователя строба АСД, аналогового коммутатора,
компараторов и сигнализаторов.
Глубиномер
Глубиномер основан на измерении времени распространения ультразвуковых
колебаний от момента излучения ЗИ до момента приема отраженного сигнала с
пересчетом в требуемую координату. В дефектоскопе УД2-12 измерение этого
времени происходит автоматически. При контроле осей колесных пар вагонов
глубиномер не используется, так как зона контроля может быть определена по
эхо-сигналам от характерных отражателей (например, торцов осей, кромок
напрессованных деталей и т. п.), координаты которых известны из конфигурации и
геометрии оси.
Губиномер вырабатывает два пилообразных напряжения противоположных
полярностей и импульс подсвета, выходы для которых физически разделены. Импульс
подсвета поступает на модулятор ЭЛТ, а пилообразное напряжение - каждое на свою
горизонтально отклоняющую пластину. [1]
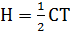
Для прямых ПЭП формула пересчета в глубину залегания отражателя имеет
вид:
(1)
где H - глубина дефекта, мм;скорость волны, мм/мкс;
Т- время между ЗИ и эхо-импульсом, мкс.
Для наклонных ПЭП формулы пересчета в координаты залегания отражателя
имеют вид
=
Csin(α) T (2)=
Ccos(α) T (3)
Из рисунка 2 видно, что L = X - смещение дефекта относительно ПЭП,
H = Y - глубина залегания отражателя. В УД2-12 все координаты
определяются в декартовой системе координат. [1]
Рисунок 2 - Схема приема отраженного сигнала для наклонного ПЭП
измеритель
интервал дефектоскоп генератор
Блок цифровой
обработки (БЦО)
Блок БЦО служит для отображения параметров измерения дефектоскопа.
Дефектоскоп позволяет измерять глубину залегания дефекта для прямого ПЭП
(Н-параметр), для наклонного ПЭП (У - параметр), для наклонного ПЭП расстояние
от точки ввода ПЭП до дефекта (Х- параметр), время, за которое акустическая
волна прозвучивает объект контроля.
Блок ИО
Измеритель отношений предназначен для формирования интервалов времени
пропорционально амплитуде сигнала в дБ и формирования кривой ВРЧ. ИО состоит из
пикового детектора, схем сравнения, генератора пилы, генератора экспоненты,
формирования интервалов, схемы «ИЛИ», схемы задержки ВРЧ, формирования зоны
ВРЧ, функционального преобразователя.
Конструкция дефектоскопа УД2-12 представлена на
рисунке 3. Аккумуляторная батарея состоит из 10 аккумуляторов типа НКГК-ЗС-ПУ2
ТУ16-129.084-77, которые укладываются в коробку, входящую в комплект поставки
дефектоскопа. Аккумуляторы 3 укладываются в корпус 2 коробки. Зазоры между
аккумуляторами заполняются картонными прокладками так, чтобы они стояли плотно.
Выводы аккумуляторов соединяют между собой планками 4 и 5 и с выводами разъёма
6 крышки I, обозначенными соответствующими знаками. Между крышкой и выводами
аккумуляторов укладывают необходимое количество прокладок и закрепляют крышку I
четырьмя винтами к корпусу 2. Аккумуляторная батарея вставляется в дефектоскоп
вместо выпрямителя.
Рисунок 3- Конструкция дефектоскопа УД2-12
. Измеритель
интервалов времени (ИИВ)
Измеритель интервалов времени предназначен для частотно-временных
измерений в радиоизмерительных приборах и позволяет уменьшить погрешности измерений,
повысить быстродействие выдачи информации, обеспечить измерение одиночных
(случайных) интервалов, длительности и периода повторяющихся импульсов. [4]
Обширную группу измерителей интервалов времени (ИИВ) условно можно
разделить на две большие группы: ИИВ, использующие прямой счет импульсов
заполнения измеряемого интервала (периода), и ИИВ, использующие
интерполяционные методы. В данной курсовой работе рассматривается ИИВ прямого
счёта.
ИИВ прямого счета достаточно просты и надежны, их функции могут быть
совмещены или могут быть выполнены узлами и блоками устройств, функционально
выполняющими другие задачи, например, в устройствах формирования сигналов по
времени, устройствами, входящими в состав частотомеров, стандартов частоты
времени типа и др.
Недостатком работы схем ИИВ прямого счета является невозможность
достаточно точного определения временного положения переднего фронта импульса
опроса даже при использовании достаточно быстродействующих триггеров. Из-за
накопления задержек при движении рабочего фронта импульсов от младшего разряда
к старшему. Моменты переключения триггеров декад по мере удаления от младшего
разряда будут все более отставать от идеальных моментов времени.[4] детектор
Рассмотрим структурную схему ИИВ, в которую входят следующие блоки:
Формирователь импульсов (ФИ) - формирует управляющий сигнал, разрешающий
начинать счет, при поступлении переднего фронта измеряемого импульса.
Останавливает счет при поступлении заднего фронта измеряемого импульса. В схеме
(рис.3) формирователь импульсов изображен как 2 формирующих устройства ФУ1 и
ФУ2. С помощью ФУ1 формируется опорный импульс определяющий начало измеряемого
интервала (старт); ФУ2 формирует «интервальный» импульс, определяющий окончание
интервала.[2]
Тактовый генератор (ТГ) (на рис. 4 изображен как блок образцовых частот)
- формирует импульсы высокой частоты, необходимые для измерения временного
интервала, а также импульсы, необходимые для обеспечения работы преобразователя
кода, передающего информацию в канал связи.
Схема подсчета тактовых импульсов (счетчик) - подсчитывает число
импульсов, укладывающихся в измеряемом интервале времени.
Блок управления селектором (БУ) - необходим для согласования во времени
функционирования всех узлов устройства.
Блок отображения (индикатор) - необходим для отображения результата
измерения.
На рисунке 4 представлена функциональная схема измерительного устройства,
включающая описанные выше элементы.
Рисунок 4 - Структурная схема измерителя интервалов времени
Структурная схема устройства состоит из блока ФИ, который вырабатывает
сигналы по приходу переднего фронта измеряемого импульса, и по поступлению
заднего фронта. Сигнал, вырабатываемый при поступлении переднего фронта,
разрешает прохождение тактовых импульсов от ТГ на счетчик, которая при
поступлении тактовых импульсов от ТГ производит подсчёт. При поступлении
заднего фронта, импульсы с ТГ перестают поступать на счетчик, и подсчёт
останавливается. Двоичная комбинация на выходе счетчика, по разрешающему
сигналу БУ поступает на входы индикатора. Далее результат измерения
отображается в индикаторе.
Построим функциональную схему измерительного устройства.
Формирователь импульсов - формируют сигналы, определяющие начало и конец
измеряемого временного интервала. Включает в себя детекторы переднего
(формирует сигнал определяющий начало импульса) и заднего (сигнал конца
импульса) фронта.
С детекторов фронтов импульсы попадают на триггер с помощью которого
происходит выделение требуемого временного интервала.
Конъюнктор позволяет разрешить или запретить прохождение тактовых
импульсов, вырабатываемых генератором.
Счетчик, необходимый для подсчета импульсов. Для сокращения количества
элементов при построении измерителя временных интервалов в качестве счетчика
для подсчета тактовых сигналов будем использовать двоично-десятичный счетчик,
работающий в соответствии с кодом обмена с устройством обработки.
Регистр хранения - запоминает информацию, поступающую со счетчика
импульсов, а также позволяет избежать мерцания во время отображения результата
подсчета на индикаторе. Это происходит благодаря тому, что считывание
информации из регистра осуществляется только лишь по окончании счета счетчиком.
Преобразователь кода, преобразующий информацию, поступающую с регистра
хранения, в формат, удобный для работы десятичного индикатора.
Генератор - генерирует прямоугольные импульсы заданной частоты,
необходимые для подсчета импульсов и передачи данных.
Преобразователь параллельного кода в последовательный. Для реализации
преобразователя кода в работе используется регистр с параллельным вводом и
последовательным выводом информации.
Схема управления, обеспечивает согласование во времени работы всех блоков
устройства. Управляет передачей информации с регистра хранения на индикатор и в
канал связи.
На рисунке 4 представлена функциональная схема устройства подсчёта
импульсов, которая работает по следующему принципу: в начальный момент времени
сигнал подается на вход ДПФ, который вырабатывает импульс, поступающий на вход
S триггера Т, устанавливая его выход Q в единичное состояние, таким образом
обеспечивая непрерывную подачу сигнала на логический элемент И, на второй вход
которого подается сигнал от делителя частоты f/3. Когда на выходе Q триггера Т
сигнал высокого уровня - тактовые импульсы от генератора поступают на счётчик.
Если на вход приходит задний фронт импульса - ДЗФ вырабатывает сигнал, который
поступает на вход R триггера Т, и сбрасывает его, при этом на выходе Q
устанавливается низкий уровень сигнала, а на входе элемента И появиться логический
«0», что не пропускает прохождение импульсов от генератора - счётчик остановит
счёт.
По приходу импульса о заднем фронте сигнала, включается схема БУ, которая
вырабатывает сигнал о разрешение записи в регистр хранения и регистр сдвига для
выдачи данных из них на индикаторы и в канал связи, соответственно. После чего
БУ переводит элементы устройства в исходное состояние (т.е. сбрасывает) для
продолжения измерения длительности других импульсов.
Рисунок
4 - Функциональная схема измерителя интервалов времени
Устройство
измерения временных интервалов функционирует по следующему алгоритму.
Когда
на вход устройства поступает передний фронт сигнала, то включается генератор,
который через делитель f/3 вырабатывает импульсы частотой f1=10000Гц, и
подает тактовый сигнал включения счётчика, который подсчитывает количество
импульсов до прихода заднего фронта сигнала (рис. 5). Если происходит
переполнение счётчика, то включается ещё один счётчик, а предыдущий выдает
результат подсчёта, который записывается в регистр хранения, для отображения на
индикаторе, и в параллельно-последовательный регистр для передачи далее в канал
связи. Если же происходит переполнение на первом счётчике, то включается второй
счётчик, если происходит переполнение и на нём, то включается третий счётчик,
если же и на третьем счётчике происходит переполнение, то загорается индикатор,
сообщающий об ошибке. Когда на вход перестаёт поступать сигнал, тактовые
импульсы с генератора не подаются на счётчик и схему управления - счётчик
сохраняет своё значение до прихода следующего сигнала.
Рисунок
5 - Временная диаграмма измерителя временного интервала
.
Практическая часть
.1 Генератор прямоугольных импульсов (ГПИ)
Импульсными генераторами называют устройства, преобразующие энергию
источников постоянного напряжения в энергию электрических импульсов. Одна из
разновидностей импульсных генераторов - генераторы прямоугольных импульсов.
Генераторы прямоугольных импульсов формируют сигналы, по форме близкие к
прямоугольным. Такие генераторы являются релаксационными. Релаксационный
генератор - генератор колебаний, в которых активный элемент работает в ключевом
режиме - включён/выключен.
Для синхронизации работы схемы устройства, получения импульсов для
измерения временного интервала, импульсов задающих скорость передачи данных в
канал связи необходимо иметь генератор, который бы мог генерировать
прямоугольные импульсы с заданной частотой следования и длительностью импульса.
Причём длительность импульсов генератора должна быть достаточной для
срабатывания всех устройств, работающих от него. Поэтому в программе Electronics WorkBench 5.12 смоделируем ГПИ. Система
схемотехнического моделирования Electronics Workbench предназначена для моделирования
и анализа электрических схем.
В схеме присутствует 4 логических элемента (рис. 6), резистор,
конденсатор (рис. 7) и осциллограф (рис. 8), с помощью которого можно будет
увидеть прямоугольные импульсы.
Рисунок 6 - библиотека Logic Gates, в которой
находятся логические элементы
Рисунок 7 - библиотека Basic,
в которой находятся резистор и конденсатор
В Electronics Workbench имеется семь приборов, с
многочисленными режимами работы, каждый из которых можно использовать в схеме
только один раз (рис. 8). Эти приборы расположены на панели приборов.
Осциллографы должны быть обязательно заземлены, иначе приборы не будут
производить измерения или их показания окажутся неправильными.
Рисунок 8- библиотека Insruments, из которой берется осциллограф
Соединив все элементы между собой, получается схема генератора
прямоугольных импульсов, которая показана на рис 9.
Рисунок 9- Схема генератора прямоугольных импульсов
Осциллограф, имитируемый программой Workbench, представляет собой аналог
двулучевого запоминающего осциллографа и имеет две модификации: простую и
расширенную. Расширенная модификация по своим возможностям приближается к
лучшим цифровым запоминающим осциллографам. Из-за того, что расширенная модель
занимает много места на рабочем поле, рекомендуется начинать исследования
простой моделью, а для подробного исследования процессов - использовать
расширенную модель.
Двойным щелчком мыши по уменьшенному изображению открывается изображение
передней панели простой модели осциллографа с кнопками управления,
информационными полями и экраном (рис. 10).
Рисунок 10- Простая модель осциллографа
Нажатие клавиши Expand на панели простой модели
открывает окно расширенной модели осциллографа (рис. 11).
Панель расширенной модели осциллографа в отличие от
простой модели расположена под экраном и дополнена тремя информационными табло,
на которые выводятся результаты измерений. Кроме того, непосредственно под
экраном находится линейка прокрутки, позволяющая наблюдать любой временной
отрезок процесса от момента включения до момента выключения схемы. В сущности,
расширенная модель осциллографа это совершенно другой прибор, позволяющий
намного удобнее и более точно проводить численный анализ процессов.
На экране осциллографа расположены два курсора,
обозначаемые 1 и 2, при помощи которых можно измерить мгновенные значения
напряжений в любой точке осциллограммы. Для этого следует просто перетащить
мышью курсоры за треугольники в их верхней части в требуемое положение.
Координаты точек пересечения первого курсора с осциллограммами отображаются на
левом табло, координаты второго курсора - на среднем табло. На правом табло
отображаются значения разностей между соответствующими координатами первого и
второго курсоров. Результаты измерений, полученные при помощи расширенной
модели осциллографа, можно записать в файл.
Рисунок 11- Панель расширенной модели осциллографа
3.2
Измеритель интервалов времени
Смоделируем измеритель интервалов времени в среде программирования Mathcad 14. Интервал времени Tizm_time,
заданный любым способом, разбивается на элементарные интервалы Tizm
(кванты), образуемые с помощью высокостабильного генератора импульсов. Число Nsch
этих элементарных интервалов подсчитывается счетчиком.
Таким образом, измеряемый интервал времени равен:
Где Nsch число
периодов
Функция floor () выполняет округление и возвращает
наибольшее целое значение.
Пересчет времени

Генератор
где Tt период следования импульсов
генератора стабильной частоты.
Временные интервалы могут задаваться различными способами, однако в
радиоэлектронике они чаще всего задаются длительностью одного прямоугольного
импульса или же ограничиваются короткими начальным и конечным (стартовым и
стоповым), которые могут поступать на вход измерителя по одному или двум
каналам. Смоделируем генератор прямоугольных импульсов:
Рисунок 12- График прямоугольного импульса
Если измеряемый интервал Tizm задан длительностью
прямоугольного импульса, то последний поступает на специальное формирующее
устройство, с помощью которого получаются короткие импульсы, ограничивающие
временной интервал.
Используя формирующие устройства, можно с помощью измерителя временных
интервалов измерять период электрических колебаний или период следования
импульсов. Поэтому теперь необходимо смоделировать счетчик, который бы мог
подсчитывать импульсы.

Рисунок 13 - График подсчета импульсов
С помощью глубиномера измеряют координаты отражателей (дефектов) и
толщину контролируемого слоя, а также определяют контролируемый слой на заданной
глубине объекта контроля. Работа глубиномера основана на измерении времени
распространения ультразвуковых колебаний от момента излучения зондирующего
импульса до момента приема эхо-сигнала с пересчетом в требуемую координату.
Заключение
В данной работе рассмотрен ультразвуковой дефектоскоп УД2-12. В ходе
работы были подвергнуты рассмотрению технические характеристики дефектоскопа,
проанализированы методы контроля, выявлены основные блоки и режимы работы
УД2-12. В ходе выполнения работы были рассмотрены функциональная и стурктурная
схемы устройства измерения интервалов времени.
В среде программирования MathCad
были смоделированы генератор прямоугольных импульсов, измеритель интервалов
времени. В программе Electronics WorkBench также
был смоделирован генератор прямоугольных импульсов.
Список
литературы
1. Ахмеджанов
Р. А. Ультразвуковой контроль. Часть 1: Методические указания к лабораторным
работам / Р. А. Ахмеджанов, В. В. Макарочкин, В.Ф. Соколов; Омский гос. ун-т
путей сообщения. Омск, 2004. - 47с.
. Тычино
К. К.: Многофункциональные цифровые измерительные приборы / К. К. Тычино, Н. К.
Тычино; М.: Радио и связь, 1981. - 128с.
3. Угрюмов
Е. П.: Цифровая схемотехника / Е. П. Угрюмов - СПб: БХВ-Петербург, 2004. - 528
с.
4. <http://www.findpatent.ru/patent/237/2379824.html>