Тепловой расчёт котельного агрегата Е-50-14-194 Г
Реферат
Пояснительная записка содержит: 37 листов,
11таблиц, 8 рисунков,5 приложений.
КОТЕЛЬНЫЙ АГРЕГАТ, ПАРОПЕРЕГРЕВАТЕЛЬ, ФЕСТОН,
КОТЕЛЬНЫЙ ПУЧОК, ЭКРАННАЯ ПОВЕРХНОСТЬ, ТОПОЧНАЯ КАМЕРА, ЭКОНОМАЙЗЕР,
ВОЗДУХОПОДОГРЕВАТЕЛЬ, УХОДЯЩИЕ ГАЗЫ, ПАРОВОДЯНОЙ ТРАКТ, ТЕМПЕРАТУРНЫЙ НАПОР,
ГАЗОВЫЙ ТРАКТ, ТЕПЛОВОЙ БАЛАНС, ТЕПЛОВОСПРИЯТИЕ.
Цель работы: тепловой расчёт котельного агрегата
Е-50-14-194 Г. Определение тепловосприятий всех существующих в нём поверхностей
нагрева и сведение теплового баланса.
ВВЕДЕНИЕ
ОПИСАНИЕ КОТЛОАГРЕГАТА ТИПА ГМ-50-14/194
Котлоагрегат типа ГМ-50-14/194
вертикально-водотрубный с естественной циркуляции. Предназначен для получения
пара низкого давления при сжигании газа и мазута. Котельный агрегат рассчитан
на следующие параметры: номинальная паропроизводительность - 50 т/час.;
давление перегретого пара - 194 °С; температура питательной воды - 100 °С.
Котел выполнен П-образной компоновки поверхностей нагрева, с отдельно
вынесенной шахтой водяного экономайзера. В топочной камере размещены испарительные
экраны. Трубы фронтального и заднего экранов образуют подвухсветный наклонный
под. В верхней поточной камеры трубы заднего экрана разведены в трехразрядный
фестон. Трубы боковых экранов в верхней части образуют потолок топочной камеры.
В поворотном газоходе находится котельный пучок, расположенный между барабаном
и коллектором. В опускной конвективной шахте расположен (последовательно по
ходу газов) конвективный дренируемый пароперегреватель горизонтального типа и
трубчатый воздухоподогреватель. Водяной экономайзер установлен за пределами
котла и выполнен из чугунных труб, состоит из четырех блоков. Котлоагрегат
оснащен четырьмя газомазутными горелками Бел. КЗ, расположенными в один ярус на
боковых стенках котла. Тягодутьевая установка котлоагрегата состоит из одного
вентилятора типа ВДН-12,5 и одного дымососа типа ДН-19 ВГН. Во время работы
котла в зимний период холодный воздух перед поступлением в воздухоподогреватель
берется из котельного зала. Котельный пучок состоит из барабана внутренним 1,490
мм., толщина стенок 30 мм., сталь 20х, трех камер, каждая наружный 0,325 мм.,
толщина стенки 13 мм., опускных труб, соединяющий барабан с камерами. Трубы
0,219x9 мм. в количестве 6 штук и трубы наружным 0,159x7 мм. в количестве 6
штук являются опускными трубами. Остальные трубы котельного пучка 050x3 мм.
являются подъемными. Трубы крепятся к барабану и к трем камерам на сварке.
Котельный пучок с тремя камерами подвешен на
опускных трубах 0,219 и 0159мм., которые обеспечивают тепловые расширения в
вертикальных и горизонтальных направлениях. Внутри барабана располагается
сепарационное устройство. Сепарационное устройство выполнено по схеме
трехступенчатого испарения. Первая ступень испарения (чистый отсек средней
части барабана) подключены задний экран топки и котельный пучок. Вторая ступень
(соленной отсек по торцам барабана) подключенный боковые экраны. Третья ступень
испарения (соленый отсек) составляют выносные циклоны, к которым подключены
экраны фронтовых блоков. Чистый отсек оборудован отражателями в месте подвода
пароводяной смеси, потолочными жалюзи и дырчатыми листами. В солевых отсеках
второй ступени испарения установлено 8 внутрибарабанных циклонов (по четыре
циклона в каждом отсеке). Чистый отсек отделен от соленого перегородками, в
нижней части которых находятся трубы 0,159 мм., по которым происходит питание
второй ступени испарения.
Пар выносных циклонов поступает в чистый отсек,
где смешивается с паром первой ступени испарения. Далее пар сепарируется,
проходя через потолочные жалюзи и дырчатый лист. Затем пар из верхней части
барабана направляется в пароперегреватель.
Всего циркуляционных контуров (испарительных) -
девять. Из них восемь разделенные экраны топки, а девятый котельный пучок.
В третью ступень испарения входят две панели
фронтовой стенки топки. Питание каждой камеры панелей осуществляется из
выносных циклонов по четырем трубам 0,102 мм.. Пароводяная смесь из
вертикальных камер фронтовых панелей поступает по трем трубам 0,123 мм. смесь
идет от каждой камеры к выносным циклонам.
Подвод питательной воды из барабана в выносной
циклон осуществляется по трубам 0,76 мм. Пароводяная смесь из водяного циклона
по двум трубам 0,133 мм. поступает в чистый отсек верхнего барабана.
Пароводяная смесь из верхних камер боковых панелей по двум трубам 0,133 мм. от
каждой камеры подается в соленый отсек. В первую ступень испарения (чистый
отсек) входят две панели задней стенки топочной камеры. Питательная вода
подводится по двум трубам 0,133 мм. к каждой панели из барабана. Пароводяная
смесь из испарительных поверхностей поступает в чистый отсек барабана.
Вода опускается из барабана в три коллектора
0,325 мм. по шести трубам 0,219 мм. и по шести трубам 0,159 мм.. Пароводяная
смесь, образующаяся в испарительных трубах 0,60x3 мм., поднимается в чистый
отсек. Пар из барабана котла по четырем трубам 0,102 мм. поступает в камеру
насыщенного пара 0,219 мм.. Далее проходит по ста тридцати трем змеевикам из
труб 0,32x3 мм. и идет в камеру перегретого пара 0,273 мм.. Затем через главную
паровую задвижку поступает в главный паропровод. Змеевики пароперегревателя
расположены в конвективной шахте горизонтально в шахматном порядке. Поверхность
нагрева 165 м2. В котле установлен трубчатый воздухоподогреватель вертикального
типа. Расположение труб 0,40x1,6 мм. - шахматное. Холодный воздух подводится по
коробам двумя потоками, проходит между трубами сверху вниз и по коробу
отправляется в экономайзер. Поверхность нагрева воздухоподогревателя - 496 м2.
Чугунный водяной экономайзер состоит из четырех блоков: нижний левый, верхний
левый, нижний правый, верхний правый. Блоки экономайзера выполнены из ребристых
чугунных труб, соединенных между собой чугунными калачами.
Дымовые газы по газоперепускному коробу
подводятся к нижнему правому блоку чугунного экономайзера (1 ступень), идет
вверх через верхний правый блок, затем по верхнему газовому коробу делает
поворот и проходит сверху вниз через верхний левый и нижний левый блоки (2
ступень). Питательная вода подводится к нижней части второй ступени,
поднимается по ребристым трубам вверх, из верхней части второй ступени
перебрасывается по четырем трубам 0,60x3 мм. в нижнею часть 1 ступени. Из
верхней части 1 ступени экономайзера вода по четырем трубам 0,60x3 мм.
отводится в барабан котла. Поверхность нагрева - 1634 м2.
Обмуровка котла выполняется «тяжёлой». Обмуровка
(кроме потолка наклонного пода) имеет толщину 510 мм. и выполняется в два слоя:
первый слой - кладка из шамотного кирпича толщина 125 мм.; второй слой - кладка
из красного кирпича 5 = 385 мм. Обмуровка наклонного пода и конвективной части
выполнены двумя слоями: первый слой - шахматного кирпича 6 = 385 мм.; второй
слой - из диатомного кирпича 5 = 155 мм. Обмуровка конвективной шахты крепиться
к каркасу при помощи кронштейнов и листов. Наклонные и горизонтальные потоки
выполнены из бетона:
первый слой - шамотобетон, имеет толщину 8 = 145
мм.; второй слой - диатомобетон 8 = 145 мм.; третий слой - штукатурка 8=10 мм.
Барабан и камера котлоагрегата изолируются асбозуристом. Барабан изолируется
только по наружной поверхности. Та часть барабана, которая расположена а
газоходе, не изолируется. Данный котлоагрегат укомплектован следующей
тягодутьевой установкой. Вентилятор ВДН - 12,5: производительностью 40x103
м3/час.; полный напор 36 Па; число оборотов 980 об/мин. Дымосос ДН-18 ВГМ: производительностью
85x103 м3/час.; полный напор 46,2 Па; допускается число оборотов 1000 об/мин.;
максимальная температура 194 °С.
Горелочное устройство - это четыре
комбинированные газомазутные горелки конструкции Бел. КЗ типа №8 с улиточно -
тангенциальным подводом вторичного воздуха, с прямоточной подачей первичного
воздуха через центральную трубу, в которую для мазута устанавливается форсунка.
Горелки размещены на боковых стенках топки, по две на каждой, напротив друг
друга в один ярус. Организация горения топлива обеспечивает языковый шибер
горелки, регулируя которым можно добиться необходимого положения факела в
топке.
Основные конструктивные размеры котла-прототипа
приведены в Таблице1.
Таблица 1
|
п/п
|
Конструктивная величина
|
Топка
|
Фестон
|
КП
|
ПП
|
ВП
|
ЭК
|
|
1
|
Диаметр труб, мм
|
60
|
60
|
60
|
32
|
40
|
28
|
|
2
|
Число рядов по газоходу
|
_
|
3
|
12
|
15
|
20
|
14
|
|
3
|
Шаги труб, мм
|
70
|
250/300
|
110/150
|
120/60
|
120/65
|
70/50
|
|
4
|
Расположение труб
|
_
|
Коридорное
|
Шахматное
|
|
5
|
Поверхность нагрева,
|
162,34
|
23,63
|
349
|
170
|
469
|
524
|
|
6
|
Сечение газохода,
|
_
|
9,28
|
9,28
|
3,64
|
2,64
|
1,44
|
|
7
|
Объём,
|
153,45
|
_
|
_
|
_
|
_
|
_
|
Тепловая схема
котельного агрегата
Рис.1. Общий вид и элементы парового котла:
Т - топка; Ф - фестон; КП - котельный пучок; ПП
- пароперегреватель;
ВЭ - водяной экономайзер; ВП -
воздухоподогреватель; Г - горелка;
( I
- VI) - точки состояния
газа по газовому тракту.
Исходные данные
Паропроизводительность -
Давление перегретого пара -
Температура перегретого пара -
Температура питательной воды -
Газопровод: Саушино-Лог-Волгоград
Более подробные данные представлены в
Приложении1 данного курсового проекта.
Таблица 2
Объёмный состав газа, %
|
    и более тяжелые 
|
|
|
|
|
|
|
|
|
96,1
|
0,7
|
0,1
|
0,1
|
0,0
|
2,8
|
0,2
|
-
|
Таблица 3
Объёмы воздуха и продуктов сгорания,
Низшая теплота сгорания сухого газа
Значения, представленные выше, приняты
соответственно Таблице П4.3
Таблица 4
Таблица объёмов
|
Наименование показателя
|
Размерность
|
Газоходы котла
|
|
|
Топка, фестон
|
КП
|
ПП
|
ВЭ
|
ВП
|
|
1. Присосы воздуха в поверхности
нагрева,
|
-
|
0,1
|
0,03
|
0,03
|
0,08
|
0,06
|
|
2. Коэффициент избытка воздуха за
поверхностью нагрева, -1,151,181,211,291,35
|
|
|
|
|
|
|
|
3. Средний коэффициент избытка
воздуха, -1,151,1651,1871,2381,294
|
|
|
|
|
|
|
|
4. Действительный объем водяных
паров,
|
|
2,53
|
2,78
|
3,15
|
4,01
|
4,959
|
|
5. Действительный объём газа,
|
|
11,953
|
12,01
|
12,319
|
12,823
|
13,377
|
|
6. Доля водяных паров,
|
-
|
0,211
|
0,231
|
0,255
|
0,3125
|
0,3707
|
|
7. Доля 3-х атомных газов,
|
-
|
0,0819
|
0,0815
|
0,079
|
0,0764
|
0,0732
|
|
8. Суммарная доля,
|
-
|
0,2929
|
0,3125
|
0,334
|
0,3885
|
0,4439
|
Расчёт энтальпий газов
и воздуха
Энтальпия воздуха
При
При
- теплоемкость воздуха при заданной
температуре по табл. 3.1 [1]
Расчёт энтальпий воздуха при
промежуточных значениях температуры (100оС÷2300оС)
проводился аналогичным образом, результаты представлены в Таблице 2.
Энтальпия газов
- соответственно теплоемкости
двуокиси углерода, азота и водяных паров по табл. 3.1 [1]
Энтальпия газов в отдельной части
котла
Результаты расчёта энтальпии газов в
отдельной части котла при температурах 100оС÷2300оС указаны в
Таблице 4.
Таблица 5
Таблица энтальпий
|
Температура, оС
|
|
|
5
|
|
|
|
|
|
|
|
Топка, фестон
|
КП
|
ПП
|
ВЭ
|
ВП
|
|
|
|
|
|
|
|
|
|
|
|
|
|
|
100
|
1489
|
1230,24
|
|
|
|
|
|
|
|
|
446,6
|
|
|
200
|
3010
|
2566
|
|
|
|
|
|
|
744,14
|
|
898,1
|
|
|
300
|
4566
|
3882
|
|
|
|
|
815,22
|
|
1125,8
|
|
|
|
|
400
|
6167
|
5225
|
|
|
940,5
|
|
1097,25
|
|
1515,25
|
|
|
|
|
500
|
7807
|
6595
|
|
|
1187,1
|
|
1384,95
|
|
|
|
|
|
|
600
|
9483
|
8001
|
|
|
|
|
|
|
|
|
|
|
|
700
|
11227
|
9431
|
|
|
|
|
|
|
|
|
|
|
|
800
|
12979
|
10898
|
|
|
|
|
|
|
|
|
|
|
|
900
|
14789
|
12362
|
|
|
|
|
|
|
|
|
|
|
|
1000
|
16634
|
13846
|
|
|
|
|
|
|
|
|
|
|
|
1100
|
18480
|
15375
|
|
|
|
|
|
|
|
|
|
|
|
1200
|
20339
|
16915
|
|
|
|
|
|
|
|
|
|
|
|
1300
|
22282
|
18457
|
|
|
|
|
|
|
|
|
|
|
|
1400
|
24200
|
20021
|
|
|
|
|
|
|
|
|
|
|
|
1500
|
26148
|
21584
|
|
|
|
|
|
|
|
|
|
|
|
1600
|
28093
|
23170
|
|
|
|
|
|
|
|
|
|
|
|
1700
|
30095
|
24750
|
|
|
|
|
|
|
|
|
|
|
|
1800
|
32062
|
26318
|
3947
|
|
|
|
|
|
|
|
|
|
|
1900
|
34077
|
27945
|
4191,75
|
|
|
|
|
|
|
|
|
|
|
2000
|
36090
|
29546
|
4431,9
|
|
|
|
|
|
|
|
|
|
|
2100
|
38150
|
31175
|
4676,25
|
|
|
|
|
|
|
|
|
|
|
2200
|
40164
|
32778
|
4916,7
|
|
|
|
|
|
|
|
|
|
|
2300
|
42366
|
33225,8
|
5221,5
|
|
|
|
|
|
|
|
|
|
Таблица 6
Тепловой баланс котла
|
Наименование показателя
|
Обозначение
|
Размерность
|
Формула
|
Расчёт
|
|
1.Располагаемая теплота
|
|
|
Принимается по
[2]
|
|
|
2.Энтальпия холодного воздуха
При 
|
|
|
|
3.Полезное тепловосприятие котла
|
|
|
по
[3] учитывая
|
|
|
4.Энтальпия перегретого пара
|
|
|
Принимается по
|
|
|
5.Энтальпия питательной воды
|
|
|
Принимается по *
|
|
|
6.КПД котла
|
|
|
|
|
|
7.Потери теплоты с уходящими
газами
|
|
|
|
|
|
8.Энтальпия уходящих газов
|
|
|
Принимается по таблице энтальпий
при принимаем
120
|
|
|
9.Потери от механического недожога
|
|
|
Для газа не учитывается
|
|
|
10.Потери от химического недожога
|
|
|
По таблице 2.2 [1]
|
|
|
11.Потери от наружного охлаждения
|
|
|
По рисунку 4.1 [1]
|
|
12.Потери с физическим теплом
шлаков
|
|
|
Для газа не учитывается
|
0
|
|
13.Расход топлива КА
(натурального)
|
|
|
|
|
|
14.Расход топлива КА (условного)
|
|
|
|
|
|
15.Теплота сгорания условного
топлива
|
|
|
|
|
|
16. Коэффициент сохранения теплоты
|
|
-
|
|
|
Поверочный расчёт
топочной камеры
c
f
k
Рис 2. Эскиз и размеры топочной камеры.
- высота топочной
камеры
- высота
окна(горизонтального газохода)
- ширина по фронту
топочной камеры
- глубина топочной
камеры
- расстояние от
пода топки до горелок
к = 2 м - длина ската
f = 0,3 м - высота
ската
- высота
призматической части топки
- относительная
высота
Таблица 7
|
Наименование показателя
|
Обозначение
|
Размерность
|
Формула
|
Расчёт
|
|
1.Полное тепловыделение
|
|
|
|
|
|
2.Теплота поступающая в топку с
воздухом
|
|
|
|
|
|
3.Энтальпия горячего воздуха
|
|
|
По таблице энтальпий согласно
|
|
|
4.Температура горячего воздуха
|
|
|
и
по
Приложению 1
|
|
|
5. Адиабатическая температура
горения
|
|
|
По таблице энтальпий
|
1959,44+273,15=2232,59
|
|
6. Относительная высота установки
горелок
|
|
|
из
эскиза топки
|
0,348
|
|
7.Параметр
|
|
-
|
и
согласно
[1]
|
|
8.Средний коэф-т тепловой
эффективности
-
, где А -
температурный коэффициент,
для газа - 700
|

|
|
|
|
9.Коэф-т тепловой эффективности
гладких труб
|
|
-
|
|
|
|
10.Угловой коэффициент
|
|
-
|
По номограмме 1 [1]
|
|
|
11.Коэффициент загрязнения
|
|
-
|
По таблице 5.2 [1]
|
|
|
12.Температура газов на выходе из
топки(задаётся)
|
|
|
Предварительно
задаётся согласно [1]
|
|
|
13.Площадь боковой стены
|
|
|
по
Приложению 1
|
|
|
13.Общая площадь стен топки
|
|
|
площади
отдельных стен топки (из чертежа)
|
|
|
14.Площадь занимаемая окном
|
|
|
|
|
|
15.Поверхность горелок
|
|
|
-
количество горелок(из чертежа) -
диаметр горелок(из чертежа)
|
|
|
16.Поверхность гладких экранов
|
|
|
|
|
|
17.Степень черноты топки
|
|
-
|
|
|
|
18.Степень черноты факела
|
|
-
|
|
= 0,501
|
|
19.Коэффициент усреднения
|
|
-
|
Определяется по =205,02
|
0,1
|
|
20.Объёмное теплонапряжение топки
|
|
|
|
|
|
21.Степень черноты газов
|
|
-
|
=0,69
согласно [1]
|
|
|
22.Коэффициент поглощения
трёхатомными газами
|
|
|
Определяется
по номограмме 3 [1]
|
0,99
|
|
23.Степень черноты светящейся
части факела
|
|
-
|
Определяется
по номограмме 2
[1]
|
0,55
|
|
24.Коэффициент поглощения
|
|
|
|
|
|
5.Соотношение между содержанием
углерода и водорода в рабочей массе топлива
|
|
-
|
|
|
|
26.Средняя теплоёмкость
|
|
|
|
|
|
27.Энтальпия газов по заданной
температуре
|
|
|
По таблице энтальпий согласно
|
|
|
28.Критерий Больцмана
|
|
-
|
|
|
|
29.Температура газов на выходе из
топки(расчётная)
|
|
|
|
|
|
30.Расчётная энтальпия
|
|
|
По таблице энтальпий согласно
|
|
|
31. Тепловосприятие топки по
балансу
|
|
|
|
|
Поверочный расчёт
фестона
Конструктивные данные фестона приведены в
таблице 1
Hф lвых
Aф
Рисунок 3 - Схема фестона
Пояснение: Путём двух расчётов по представленной
ниже методике, была найдена температура, при которой количество теплоты
воспринятое фестоном по уравнению теплового баланса равна количеству теплоты
воспринятое фестоном по уравнению теплопередачи. Берутся две разные температуры
газов за фестоном с разницей 50 и 100, температура 1068 является искомой.
|
№
|
Параметр
|
Расчётная формула или способ её
определения
|
Расчёт
|
Численное значение
|
|
1
|
Температура газов на выходе υ’
,
|
Из расчёта топки
|
1139
|
|
2
|
Энтальпия h’,
кДж/кг
|
h-
υ
таблица
|
20462
|
|
3
|
Температура газов за фестоном υ”
,
|
|
1139- 71
|
1068
|
|
4
|
Энтальпия h”,
кДж/кг
|
h-
υ
таблица
|
19045
|
|
5
|
Количество теплоты воспринятое
фестоном по уравнению теплового баланса ,
кДж/кг
|
h’-h”)
|
0,9947(20462-19045)
|
1409
|
|
6
|
Температурный напор ∆
,
|
|
|
907,93
|
|
7
|
Расчётная скорость дымовых газов ,
м/с
|
|
|
5,36
|
|
8
|
Сечение газохода,
|
По таблице 1
|
|
|
8
|
Средняя температура дымовых газов υ
,
|
|
|
1103
|
|
9
|
Коэффициент теплоотдачи ,
ккал/ *час*
|
По номограмме 5[1]
|
|
37
|
|
10
|
Коэффициент теплоотдачи излучением
,
ккал/ *час*
|
По номограмме 8[1]
|
|
57
|
|
11
|
Коэффициент теплоотдачи ,
ккал/ *час*
|
|
|
94
|
|
12
|
Коэффициент тепловой эффективности
Ѱ
|
const
|
|
0,6
|
|
13
|
Коэффициент теплоотдачи k
, ккал/ *час*
|
Ѱ*
|
|
56,4
|
|
14
|
Количество теплоты воспринятое
фестоном по уравнению теплопередачи ,
кДж/кг
|
|
|
1420,22
|
|
15
|
Расхождение между и
,
%
|
|
|
0,78
|
Вывод: Расхождение между
и
меньше
5%, что допустимо
Распределение
тепловосприятий По пароводяному тракту
котельный газ воздух тепловой
Рис.4. Схема пароводяного тракта.
Точка 1.
Точка 2.
Уравнение теплового баланса экономайзера
=
экономайзер не
кипящий
Точка 3.
Точка 4.
Точка 5.
Точка 6.
Точка 7.
Точка 8.
Точка 9.
По газовому тракту
Рассчитываемые в дальнейшем точки состояния газа
представлены на Рисунке 4
Точка I
Точка II
Точка III
По таблице энтальпий исходя из
определяем
Точка IV
По таблице энтальпий исходя из
определяем
Точка VI
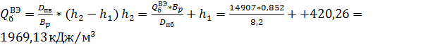
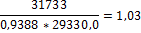
Тепловой баланс воздухоподогревателя(Точка V)
- коэффициент
избытка воздуха на выходе из
воздухоподогревателя
Сведение теплового баланса котла
Полученное процентное соотношение соответствует
условиям [1], следовательно можно продолжать расчёт дальше.
Но так как
,
чего быть не может, проводим расчёт по данным конструктивным размерам.
Поверочный расчёт
котельного пучка
Рисунок 5 - Схема котельного пучка
Конструктивные данные котельного пучка приведены
в таблице 1.
Пояснение: Путём двух расчётов по представленной
ниже методике, была найдена температура, при которой количество теплоты
воспринятое котельным пучком по уравнению теплового баланса равна количеству
теплоты воспринятое котельным пучком по уравнению теплопередачи. Берутся две
разные температуры газов за фестоном с разницей 500 и 600, температура 523
является искомой.
Таблица 9
|
№
|
Параметр
|
Расчётная формула или способ её
определения
|
Расчёт
|
Численное значение
|
|
1
|
Температура газов на выходе υ’
,
|
Из расчёта фестона
|
1068
|
|
2
|
Энтальпия h’,
кДж/кг
|
h-
υ
таблица
|
19460
|
|
3
|
Температура газов за КП υ”
,
|
|
1068- 545
|
545
|
|
4
|
|
h-
υ
таблица
|
8529
|
|
5
|
Количество теплоты воспринятое КП
по уравнению теплового баланса ,
кДж/кг
|
h’-h”)
|
0,9947(19045-8529)
|
7460
|
|
6
|
Температурный напор ∆
,
|
|
|
554
|
|
7
|
Расчётная скорость дымовых газов ,
м/с
|
|
|
4,18
|
|
8
|
Средняя температура дымовых газов υ
,
|
|
|
806,5
|
|
9
|
Коэффициент теплоотдачи ,
ккал/ *час*
|
По номограмме 5[1]
|
|
30
|
|
10
|
Коэффициент теплоотдачи излучением
,
ккал/ *час*
|
По номограмме 8[1]
|
|
48
|
|
11
|
Коэффициент теплоотдачи ,
ккал/ *час*
|
|
|
78
|
|
12
|
Коэффициент тепловой эффективности
Ѱ
|
const
|
|
0,6
|
|
13
|
Коэффициент теплоотдачи k
, ккал/ *час*
|
Ѱ*
|
|
46,8
|
|
14
|
Количество теплоты воспринятое КП
по уравнению теплопередачи , кДж/кг
|
|
|
7620
|
|
15
|
Расхождение между и
,
%
|
|
|
1,53
|
Вывод: Расхождение между
и
меньше
5%, что допустимо.
Поверочный расчёт
пароперегревателя
Конструктивные данные пароперегревателя
приведены в таблице 1.
Рисунок 6 - Схема пароперегревателя
Пояснение: Путём двух расчётов по представленной
ниже методике, была найдена температура, при которой количество теплоты
воспринятое котельным пучком по уравнению теплового баланса равна количеству
теплоты воспринятое котельным пучком по уравнению теплопередачи. Берутся две разные
температуры газов за фестоном с разницей 50 и 150, температура 409 является
искомой.
Таблица 10
|
№
|
Параметр
|
Расчётная формула или способ её
определения
|
Расчёт
|
Численное значение
|
|
1
|
Температура газов на входе υ’
,
|
Из расчёта котельного пучка
|
523
|
|
2
|
Энтальпия h’,
кДж/кг
|
h-
υ
таблица
|
8529
|
|
3
|
Температура газов за
пароперегревателем υ” ,
|
|
523- 114
|
409
|
|
4
|
Энтальпия h”,
кДж/кг
|
h-
υ
таблица
|
6950
|
|
5
|
Количество теплоты воспринятое ПП
по уравнению теплового баланса ,
кДж/кг
|
h’-h”)
|
0,9947(8529-6950)
|
1973
|
|
6
|
Температурный напор ∆
,
|
|
|
264
|
|
7
|
Расчётная скорость дымовых газов ,
м/с
|
|
|
7,45
|
|
8
|
Средняя температура дымовых газов υ
,
|
|
|
466
|
|
9
|
Коэффициент теплоотдачи ,
ккал/ *час*
|
По номограмме 5[1]
|
|
71
|
|
10
|
Коэффициент теплоотдачи от стенки
к пару ,
ккал/ *час*
|
По номограмме 8[1]
|
|
695
|
|
11
|
Коэффициент тепловой эффективности
Ѱ
|
const
|
|
0,6
|
|
12
|
Коэффициент теплоотдачи k
, ккал/ *час*
|
|
|
38,73
|
|
13
|
Количество теплоты воспринятое ПП
по уравнению теплопередачи , кДж/кг
|
|
|
2040
|
|
14
|
Расхождение между и
,
%
|
|
|
1,81
|
Вывод: Расхождение между
и
меньше
5%, что допустимо.
Поверочный расчёт
воздухоподогревателя
Конструктивные данные пароперегревателя
приведены в таблице 1.
Рисунок 3 - Схема воздухоподогревателя
Пояснение: Путём двух расчётов по представленной
ниже методике, была найдена температура, при которой количество теплоты
воспринятое воздухоподогревателем по уравнению теплового баланса равна
количеству теплоты воспринятое воздухоподогревателем по уравнению
теплопередачи. Берутся две разные температуры газов за фестоном с разницей 50 и
150, температура 409 является искомой.
Таблица 11
|
№
|
Параметр
|
Расчётная формула или способ её
определения
|
Расчёт
|
Численное значение
|
|
1
|
Температура газов на выходе υ”
,
|
Принимаем
|
250
|
|
2
|
Температура воздуха на выходе ,
|
Принимаем
|
220
|
|
3
|
Энтальпия газов за ВП h’’,
кДж/кг
|
h-
υ
таблица
|
4354
|
|
4
|
Энтальпия воздуха за ВП ,
кДж/кг
|
h-
υ
таблица
|
3817
|
|
5
|
Энтальпия холодного воздуха
воздуха за ВП , кДж/кг
|
h-
υ
таблица
|
375
|
|
6
|
Действительный расход воздуха
|
|
1,1-0,05
|
1,05
|
|
7
|
Количество теплоты воспринятое ВП
по уравнению теплового баланса ,
кДж/кг
|
|
1,06*(3817-375)
|
3648
|
|
8
|
Средняя температура газов, ,
|
|
|
329,5
|
|
9
|
Средняя температура воздуха, ,
|
|
|
125
|
|
10
|
Температурный напор ∆
,
|
|
|
204,5
|
|
11
|
Расчётная скорость газов ,
м/с
|
|
|
10,1
|
|
12
|
Расчётная скорость воздуха ,
м/с
|
|
|
8,8
|
|
13
|
Средняя температура дымовых газов υ
,
|
|
|
227,3
|
|
14
|
Коэффициент теплоотдачи от газов к
стенке ,
ккал/ *час*
|
По номограмме 5[1]
|
|
54,1
|
|
15
|
Коэффициент теплоотдачи от стенки
к воздуху , ккал/ *час*
|
По номограмме 8[1]
|
|
116,3
|
|
16
|
Коэффициент тепловой эффективности
Ѱ
|
const
|
|
0,85
|
|
17
|
Коэффициент теплоотдачи k
, ккал/ *час*
|
|
|
31,41
|
|
18
|
Количество теплоты воспринятое ВП
по уравнению теплопередачи , кДж/кг
|
|
|
3739
|
|
19
|
Расхождение между и
,
%
|
|
|
2,5
|
Вывод: Расхождение между
и
меньше
5%, что допустимо
Расчёт экономайзера показал
Заключение
1. В данном курсовом проекте был произведён
расчёт котельного агрегата Е-50-14-194 Г. В результате поверочного расчёта
топочной камеры была определена температура газов на выходе из неё:
.
А также после расчёта фестона была найдена температура газов после прохода
через него:
2. После проведения расчёта распределений
тепловосприятий по газовому тракту было определено:
3.
,
4.
,
5.
,
6.
,
7.
,
8.
.
. Составление теплового баланса показало
погрешность
.
. КПД котельного агрегата составляет
Список использованных
источников
1.
Акимов Ю.И. , Васильев А.В. , Антропов Г. В.“Тепловой расчет котлоагрегатов”:
учебное пособие, СГТУ, Саратов,
.
Липов Ю.М., Самойлов Ю.В., Виленский Т.В., “Компоновка и тепловой расчет парового
котла”: учебное пособие для вузов. - М.: Энергоиздат,
.
Ривкин С.Л., Александров А.А., “Термодинамические свойства воды и водяного
пара“: справочник. -М.: Энергоатомиздат, 1984.
4.
Качев А.И., “Паровые котлы малой и средней мощности ”: отраслевой каталог
20-90-07. М.: ЦНИИТЭИ, 1990.