Расчет электрической части ТЭЦ с установленной мощностью 180 МВт
ВВЕДЕНИЕ
Электростанциями называют предприятия или установки, предназначенные для
производства электрической энергии.
По особенностям основного технологического процесса преобразования
энергии и виду используемого энергетического ресурса электростанции подразделяют
на тепловые (ТЭС), атомные (АЭС), гидроаккумулирующие (ГАЭС), газотурбинные и
др.
На тепловых электростанциях химическая энергия сжигаемого топлива
преобразуется в парогенераторе (котле) в энергию водяного пара, приводящего во
вращение турбоагрегат (паровую турбину, соединённую с генератором).
Механическая энергия вращения преобразуется генератором в электрическую.
Топливом для электростанций служат газ, мазут, а так же уголь, торф, горючие
сланцы.
Специфика электрической части ТЭЦ определяется положение электростанции
вблизи центров электрических нагрузок. В этих условиях часть мощности может
вдаваться в местную сеть непосредственно на генераторном напряжении. С этой
целью на электростанции создаётся обычно генераторное распределительное устройство
(ГРУ). Избыток мощности выдаётся в энергосистему на повышенном напряжении.
Существенной особенностью ТЭЦ является так же повышенная мощность
теплового оборудования по сравнению с электрической мощностью электростанции с
учётом выдачи тепла. Это обстоятельство определяет большой относительный расход
электроэнергии на собственные нужды.
В данном курсовом проекте рассмотрен расчёт электрической части ТЭЦ с
установленной мощностью 180 МВт.
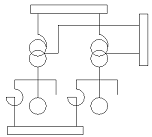
1. ВЫБОР ОСНОВНОГО ОБОРУДОВАНИЯ И РАЗРАБОТКА ВАРИАНТОВ СХЕМ ВЫДАЧИ ЭНЕРГИИ
До разработки главной схемы составляются структурные схемы выдачи
электроэнергии, на которых показываются основные функциональные части
установки.
К основному
электрическому оборудованию электростанций относятся генераторы и
трансформаторы. Количество агрегатов и их параметры выбираются в зависимости от
типа, мощности и схемы станции, мощности энергосистемы и других условий. Число
и мощность генераторов на ТЭЦ выбирают в зависимости от характера тепловых и
электрических нагрузок, при этом используют только турбогенераторы.
Структурные схемы выдачи электроэнергии для обоих рассматриваемых
вариантов приведены на рис. 1.1 и 1.2.
Рис. 1.1
Рис. 1.2
1.1 Выбор генераторов
При выборе
числа и мощности генераторов руководствуются следующими соображениями:
число
генераторов, присоединённых к ГРУ - не должно быть меньше двух и больше
четырёх,
ударный ток
на шинах генераторного напряжения должен быть не меньше 300 кА,
суммарная
мощность выбранных генераторов должна быть в пределах от -5% до +10% от
заданной мощности станции с учётом отбора мощности на собственные нужды.
Для первого
варианта выбираем два генератора типа:
ТВФ-120-2У3
(UН = 10,5 кВ, S = 125 МВ*А, cosj =
0,8., n = 3000 об/мин., x''d = 19,2%, Цена: 350 тыс. у.е.).
Для второго
варианта выбираем генераторы типа:
2
ТВФ-63-2У3 (UН = 10,5 кВ, S = 78,5 МВ*А, cosj = 0,8., xd = 1,199, n = 3000 об/мин.,
Цена: 268 тыс. у.е.),
ТВФ-32У3
(UН = 10,5 кВ, S =40 МВ*А, cosj = 0,8., xd = 2,648, n = 3000 об/мин., Цена: 250 тыс. у.е.)
1.2 Выбор трансформаторов связи
Вариант №1:
Так как питание потребителей осуществляется через КРУ-10 кВ, то выбор
трансформаторов производим, как для блочной станции.
Расход мощности на собственные нужды (СН) одного турбогенератора для
первого варианта SСН находим по формулам (по заданию РСН
= 8%):
РСН
= (РСН% / 100)
РУСТ.
где
РСН% - расход на собственные нужды, принимаем 8%;
Руст.
- установленная мощность генератора, МВт.
РСН
= (8/100)
100 = 8 МВт.
Определяем
расчётную нагрузку автотрансформаторов связи в режиме минимальных нагрузок, по формуле:
.расчт.=
(åРг - Рн.minНН - Рн.minCН
- 2
Рсн)/cosj =
=(2
100 - 22,5 - 75 - 2
8)/0,8 =
108,1 МВ
А.
Определяем
расчётную нагрузку автотрансформаторов связи в режиме максимальных нагрузок:
.расчт.=
(åРг - Рн.maxНН - Рн.maxCН
-2
Рсн)/cosj =
=(2
100 - 30 - 100 - 2
8)/0,8 =
67,5 МВ
А.
Определяем
расчётную нагрузку автотрансформаторов связи в режиме, при отключении одного
генератора (аварийный режим):
авар.расчт.=
(Рг - Рн.maxНН - Рн.maxСН - Рсн)/cosj =
=(100
- 30 - 100 - 8)/0,8 = - 47,5 МВ
А.
Знак
”-” говорит о том, что поток мощности поменял своё направление.
Мощность
автотрансформатора связи с учётом перегрузки 40%:
тр-ра
= Sном
(0,6
0,7)ном.=
Sтип./kВЫГ.
где
Sтип. - типовая мощность обмоток автотрансформатора, равная протекающей
мощности самого тяжёлого режима;ВЫГ. - коэффициент выгодности
автотрансформатора:ВЫГ.= 1- 1/(Uв/Uс) = 1-1/(330/110) = 0,66
Sтр-ра
= 108,1
0,6/0,66 = 98,3 МВ
А
Принимаем
стандартную ближайшую мощность и выбираем автотрансформатор связи типа:
АТДЦТН-125000/330/110.
Данные трансформатора заносим в таблицу 2.
Вариант №2:
Выбор автотрансформаторов производим аналогичным способом что и для
первого варианта:
режим минимальных нагрузок:
.расчт.= (åРг - Рн.minНН - Рн.minСН -- Рсн)/cosj =
=
(2
63 - 22,5-16,1-10,1)/0,8 = 19,1 МВ
А.
режим
максимальных нагрузок:
.расч.=
(åРг- Рн.maxНН -Pсн)/cosj= =(2
63 - 30 - 10,1)/0,8 = 107,4 МВ
А.
аварийный
режим:
авар.расчт.=
(Рг - Рн.maxНН - Рн.maxСН - Рсн)/cosj =
=(63
- 30 - 41,2 - 10,1)/0,8 = - 22,9 МВ
А.тр-ра =
116,75
0,6/0,66 = 106,1 МВ
А.
Выбираем
автотрансформатор связи типа: АТДЦТН-125000/330/110.
Выбираем
трансформаторы (Т3 и Т4) для блока генератор-трансформатор питающих нагрузку на
среднем напряжении:
Рсн
= (Рсн% / 100)
Руст= (8/100)
32 = 2,6
МВт..
Во
всех режимах через трансформаторы будет протекать одинаковая мощность:
тр-ра
= 0,6
(åРг - 2
Pсн) /cosj = 0,6
(32
2 - 2
2,6)/0,8 =44,1 МВ
А.
Принимаем
стандартную ближайшую мощность и выбираем трансформатор типа: ТРДН-63000/110.
1.3 Выбор трансформаторов СН
Напряжение собственных нужд принимаем равным 6,3 кВ.
Мощность рабочих трансформаторов собственных нужд рассчитывается по
формуле:
,
где
SГН - мощность генератора, МВ·А;СН - коэффициент,
учитывающий расходы на СН, %.
Для
варианта №1
выбираем
два трансформатора типа ТДНС-10000/35
Резервный трансформатор СН выбираем по условию:
выбираем
трансформатор с расщеплённой обмоткой ТРДНС-15000/330.
Для
варианта №2
-
для ГРУ
выбираем
трансформатор с расщеплённой обмоткой ТРДНС-15000/10.
для
блока генератор-трансформатор
выбираем
два трансформатора типа ТМ-4000/10,
Резервный
трансформатор СН выбираем, как и для первого варианта, с расщеплённой обмоткой
типа ТРДНС-15000/330. Поскольку в каталожных данных типовых трансформаторов с
такими параметрами нет, то они будут изготавливаться на заводе по специальному
заказу (трансформаторы ТРДНС-15000/330 и ТРДНС-15000/10).
Данные
трансформаторов заносим в таблицу 1.1 и 1.2.
Таблица 1.1 Номинальные данные выбранных трансформаторов
|
Тип
|
Номинальное напряжение
|
Потери, кВт
|
Uкз%
|
Iхх%
|
Цена, тыс. у.е.
|
|
ВН
|
НН
|
Pхх
|
Pкз
|
|
|
|
|
ТРДН-63000/110
|
110
|
10,5
|
50
|
245
|
10,5
|
0,5
|
110
|
|
ТДНС-10000/35
|
10,5
|
6,3
|
12
|
60
|
8
|
0,75
|
43
|
|
ТРДНС-15000/330
|
330
|
6,3-6,3
|
80
|
180
|
11/28
|
0,8
|
120
|
|
ТРДНС-15000/10
|
10,5
|
6,3-6,3
|
25
|
115
|
10,5/30
|
0,65
|
68
|
|
ТМ-4000/10
|
10,5
|
6,3
|
5,2
|
33,5
|
7,5
|
0,9
|
8,4
|
Таблица 1.2 Номинальные данные автотрансформатора
|
Тип
|
Номинальное напряжение
|
Потери, кВт
|
Uкз%
|
Iхх%
|
Цена, тыс. у.е.
|
|
ВН
|
СН
|
НН
|
Pxx
|
Pкз(в-н)
|
В-С
|
В-Н
|
С-Н
|
|
|
|
АТДЦТН -125000/330/110
|
330
|
110
|
10,5
|
100
|
345
|
10
|
35
|
24
|
0,45
|
238,5
|
1.4 Предварительный выбор реакторов
Вариант 1
питающий реактор:
Выбираем
реактор РБДГ-10-2500-0,25У3.
Вариант
2
секционный
реактор:
Выбираем
реактор РБ-10-1600-0,25У3.
2.
ВЫБОР И ТЕХНИКО-ЭКОНОМИЧЕСКОЕ ОБОСНОВАНИЕ ГЛАВНОЙ СХЕМЫ ЭЛЕКТРИЧЕСКИХ
СОЕДИНЕНИЙ
Экономически целесообразный вариант определяется минимумом приведенных
затрат:
З
= Ен
К + И,
где
К - капиталовложения в сооружение электроустановки, тыс. у.е.;
Ен
= 0,125 - нормативный коэффициент эффективности капиталовложений;
И
- годовые эксплуатационные издержки, тыс. у.е.
И
= Иа + Иру = (Ра + Ро)
К/100 + b
∆Э
10-5,
где
Ра и Ро - отчисления на амортизацию и обслуживание
для
оборудования примем Ра = 6,4%, Ро = 3%;
∆Э
- потери энергии, кВТ
ч;
b = 0,008 у.е. -
стоимость 1 кВт
ч потерянной энергии.
Потери
энергии в двухобмоточном трансформаторе:
∆Э
= ∆Рхх
Т + ∆Рк
(Sm/Sном)2
τ,
Потери
в автотрансформаторе:
∆Э
= ∆Рхх
Т + ∆Рк.вн
(Sm.вн/Sн.вн)2
τ + ∆Рк.сн
(Sm.сн/Sн.сн)2
τ +
+
∆Рк.нн
(Sm.нн/Sн.нн)2
τ,
где
- ∆Рхх - потери холостого хода, кВт;
∆Рк
- потери короткого замыкания, кВт;ном - номинальная мощность трансформатора, МВ
А;- максимальная нагрузка трансформатора, МВ
А;
Т
- число часов работы трансформатора (Т = 8760 ч.);
τ - число часов максимальных потерь (τ = 4500 ч.).
Капиталовложения
определяются по укрупнённым показателям стоимости элементов схем. Результаты
подсчёта капиталовложений приведены в таблице:
Таблица
2.1 Вариант №1
|
№ п/п
|
Наименование оборудования
|
Стоимость единицы оборуд., тыс. у.е.
|
Кол-во, шт.
|
Стоимость
|
Итого, тыс. у.е.
|
|
1
|
ТВФ-120-2У3
|
350
|
2
|
700
|
1809,58
|
|
2
|
АТДЦТН-125000/330/110
|
238,5
|
2
|
715,5
|
|
|
3
|
ТДНС-10000/35
|
43
|
2
|
129
|
|
|
4
|
РБДГ-10-2500-0,25У3
|
1,18
|
6
|
7,08
|
|
|
5
|
ОРУ - 110 кВ
|
42
|
4
|
168
|
|
|
6
|
КРУ - 10 кВ
|
15
|
9
|
90
|
|
Следует отметить, что при расчёте капиталовложений в трансформаторы
учитывается коэффициент доставки К = 1,5.
Таблица 2.2
Вариант №2
|
№ п/п
|
Наименование оборудования
|
Стоимость единицы оборуд., тыс. у.е.
|
Кол-во, шт.
|
Стоимость
|
Итого, тыс. у.е.
|
|
1
|
ТВФ-63-2У3
|
268
|
2
|
536
|
2748,415
|
|
2
|
ТВФ-32У3
|
250
|
2
|
500
|
|
|
3
|
АТДЦТН-125000/330/110
|
238,5
|
2
|
715,5
|
|
|
4
|
ТРДН-63000/110
|
110
|
2
|
330
|
|
|
5
|
ТРДНС-15000/10
|
68
|
2
|
204
|
|
|
6
|
ОРУ - 110 кВ
|
42
|
6
|
252
|
|
|
7
|
РБ-10-1600-0,25У3
|
1,905
|
3
|
5,715
|
|
|
8
|
КРУ - 10 кВ
|
15
|
12
|
180
|
|
|
9
|
ТМ-4000/10
|
8,4
|
2
|
25,2
|
|
Стоимости ячеек ОРУ-330 кВ не учитываем, потому что их в обоих вариантах
равное количество. Количество отходящих линий РУ всех напряжений определяется
исходя из дальности передачи и экономически целесообразных величин передаваемых
мощностей:
Протяжённость
ЛЭП различных напряжений и соответствующие им наибольшие передаваемые мощности
приведены в табл. 2.1 [3].
Произведём
расчёт приведённых затрат для первого варианта:
1)
потери энергии в трансформаторах ТДНС-10000/35:
∆Э
= 2
12
8760+1/2
60 (10/10)2
4500 =
345240 кВТ
ч;
)
потери энергии в автотрансформаторах АТДЦНТ - 125000/330/110:
∆Ркзв
= ∆Ркзв-н/2 = 345/2 = 172,5 кВт;
∆Ркзс
= ∆Ркзс-н/2 = 345/2 = 172,5 кВт;
∆Ркзн
= ∆Ркзн-н/2/Кв = 345/2/(1-1/330/110) = 261,4 кВт.
∆Э
= 2
100
8760 +
1/2
(172,5
(116,75/125)
2 + 172,5
(116,75/125) 2 +
+261,4
(116,75/125) 2)
4500 = 2942242,5 кВт
ч.
)
издержки на эксплуатацию:
И
= (6,4 + 3)
1809,58/100 + 0,8
(345240+2942242,5)
10-5 = 231 тыс. у.е.
)
приведённые затраты:
З1
= 0,125
1809,58 + 231 = 457,2 тыс. у.е.
Произведём
расчёт приведённых затрат для второго варианта схемы:
1)
потери энергии в трансформаторах ТРДН-63000/110:
∆Э
= 2
50
8760+1/2
245(44,1/63)2
4500 =
1146112,5 кВТ
ч;
)
потери энергии в трансформаторе ТРДНС-15000/10:
∆Э
= 25
8760+115 (12,6/25)2
4500 = 350453,3 кВТ
ч;
)
потери энергии в трансформаторах ТМ-4000/10:
∆Э
= 2
5,2
8760+1/2
33,5(3,2/4)2
4500 =
139344 кВТ
ч;
)
потери энергии в автотрансформаторах АТДЦНТ - 125000/330/110:
∆Ркзв
= ∆Ркзв-н/2 = 345/2 = 172,5 кВт;
∆Ркзс
= ∆Ркзс-н/2 = 345/2 = 172,5 кВт;
∆Ркзн
= ∆Ркзн-н/2/Кв = 345/2/(1-1/330/110) = 261,4 кВт.
∆Э
= 2
100
8760 +
1/2
(172,5
(116,75/125)
2 + 172,5
(116,75/125) 2 +
+261,4
(116,75/125) 2)
4500 = 2942242,5 кВт
ч.
)
издержки на эксплуатацию:
И
= (6,4 + 3)
2748,415 /100 + 0,8
(1146112,5
+ 350453,3 + 139344 +
+2942242,5)
10-5 = 294,98 тыс.у.е.
)
приведённые затраты:
З2
= 0,125
2748,415 + 294,98 = 638,53 тыс.у.е.
Как
видно из проведённых расчётов первый вариант схемы ТЭЦ дешевле второго на 25%.
3.
РАСЧЁТ ТОКОВ КОРОТКОГО ЗАМЫКАНИЯ
генератор трансформатор теплоэлектроцентраль ток
Расчёт токов короткого замыкания производим для выбора шин, проверки
параметров электрооборудования, а так же для выбора или проверки уставок
релейной защиты и автоматики.
Выбор числа и мест точек короткого замыкания обуславливается
конфигурацией схемы и наиболее тяжёлыми режимами для выбираемого в последствии
оборудования. На рис. 3.1 и 3.2 представлены расчётная схема и схема замещения
для расчёта токов к.з.
На рис. 3.2 каждый элемент схемы замещён своим параметром, который влияет
на величину тока к.з. В его обозначении в числителе указан его порядковый
номер, в знаменателе - величина его сопротивления в относительных единицах.
Для
расчётов сопротивлений элементов сети задаёмся базисной мощностью Sб = 100 МВ
А. Сопротивление элементов схемы определяются по
приведённым ниже формулам.
Сопротивление
системы:
Сопротивление
генераторов:
Сопротивление
автотрансформаторов:
Хв
= 1/200
(Uk.в-с + Uk.в-н - Uk.с-н)
Sб/Sном.т;
Хс
= 1/200
(Uk.в-с + Uk.с-н - Uk.в-н)
Sб/Sном.т;
Хн
= 1/200
(Uk.в-н + Uk.с-н - Uk.в-с)
Sб/Sном.т.
Сопротивление
линий:
где Ѕнг, Ѕнт - номинальные мощность генератора и трансформатора; Uк -
напряжение к.з. трансформатора; Хо - удельное сопротивление линии (Хо=0,4
Ом/км); l - длина линии.
Определим сопротивление элементов схемы:
генераторов Г1 и Г2:
автотрансформаторов
Т1 и Т2
ХТ1В
= ХТ2В = (1/200)
(38+10,5-25)
1000/200 = 0,587;
ХТ1Н
= ХТ2Н = (1/200)
(38+25-10,5)
1000/200 = 1,312;
ХТ1С
= ХТ2С = (1/200)
(10,5+25-38)
1000/200 ≈ 0;
линий:
трансформаторов
собственных нужд:
ЭДС
генераторов определяется по формуле:
Принимаем
на ГРЭС-600 установку блоков генератор-трансформатор, где генераторы типов
ТВВ-320-2ЕУ3, трансформаторы типов ТЦ-400000/330.
Определяем сопротивления генераторов:
ЭДС
генераторов ГРЭС:
Определяем
сопротивления трансформаторов:
Вычислим сопротивление системы:
ЭДС энергосистемы принимается ЕС = 1;
где
Uср.ном. - среднее номинальное напряжение в точке КЗ.
В
ходе расчета необходимо определить следующие составляющие токов короткого
замыкания.
)
периодическую составляющую тока к.з. в начальный момент времени
где
- ЭДС i-ого эквивалентного источника ветви схемы
замещения;
Хi
- сопротивление i-ой ветви схемы замещения.
)
ударный ток
у
= √2*Ку*Inо;
где
Ку - ударный коэффициент, зависящий от постоянной времени затухания (Та)
апериодической составляющей тока к.з., определяемый по [2];
)
периодическая составляющая тока к.з. в момент времени
τ = τРЗ+τСО,
где
τРЗ -
время действия релейной защиты (τРЗ
=0,01 с);
τСО -
собственное время отключения выключателя.
Периодическая
составляющая определяется по соотношению Ini/Inо, которая определяется по
кривым [2] в зависимости от ее мощности, приведенной к ступени напряжения, где
находится точка к.з.:
’ном
= Рном/(√3*Uср.н
соsφн).
Если
IПО /I’ном < 1, то принимаем Ini = IПО.
)апериодическая
составляющая тока к.з. в момент времени τ:
аτ = √2
* IПО
*е-τ/τа.
Преобразуем
схему замещения и производим расчет токов к.з. для точки К1.
Для
начала упростим схему замещения энергосистемы:
Рис.
3.1 Шины высшего напряжения проектируемой ТЭЦ

ХГРЭС
= (ХГ1+ХТ1)
(ХГ2+ХТ2)/(ХГ1+ХТ1+
ХГ2+ХТ2) = 0,3735;
ЕГРЭС
= 1,092 т.к.
Произведём
расчёт токов короткого замыкания в точке 1:
ХГ1,2
= ХТВ1,2+Х ТН1,2 + Х Г1,2 =
0,587+1,312+2,44=4,339;
После
соответствующих преобразований схема примет вид: (рис. 3.2)
Рис.
3.2
Найдём
периодическую составляющую тока к.з. в начальный момент времени:
Базисный
ток:
ПО1
= IПОС1+ IПОС2+ IПОГ1+
IПОГ2 =1,147+2,17+0,44+0,44 = 4,2 кА.
Ударный
ток: для системы связанной с шинами,
где рассматривается КЗ, воздушными линиями напряжением 330 кВ КУ =
1,78, а для блока турбогенератор - повышающий трансформатор при мощности
турбогенератора 100 МВт КУ = 1,965.Уc1 = √2
1,147
1,78 =
2,89 кА;Уc2 = √2
2,17
1,78 = 3,45 кА;Уг1 = iУг2 = √2
0,56
1,965 =
1,55 кА;У
= 2,89+3,45+2
1,55=
11,44 кА;
Периодическая
составляющая тока к.з. в момент времени τ:
Для
того чтобы определить τСО, необходимо
выбрать высоковольтный выключатель. Выбор выключателя производим по номинальным
напряжению UНОМ > UР. МАХ, току IНОМ > IР.
МАХ и току отключения IОТКЛ > IПО
, а также по роду установки и конструктивному
исполнению.
где
SНОМ и UСР.НОМ - номинальная мощность и средненоминальное
напряжение присоединения; К - коэффициент, определяющий величину допустимых
длительных перегрузок (для трансформатора работающего в блоке с генератором
К=1,5.
Выбираем
элегазовый выключатель ВГУ-330Б-40/3150У1 у которого собственное время
отключения τСО
= 0,04 с.:
τ = τРЗ+τСО =
0,01+0,04=0,05 с.;
Из
отношения Inо/Iр.ном по кривым [рис. 3.1,[5]] определяем К:
Для
ветвей генераторов Г1 и Г2 0,56/0,33 = 1,7
2 получим
К=0,95Г1,2 = 0,95
0,56 =
0,52 кА,
Для
системы Ini = IПО : IniC1 = IПОC1
= 1,147 кА;
IniC2 = IПОC2 = 2,17 кА.
=
1,147+2,17+2
0,52 = 4,357 кА.
Апериодическая
составляющая тока к.з. в момент времени τ:
iаτС1 = √2
1,147
е-0,05/0,04
= 0,46 кА,аτС2 = √2
2,17
е-0,05/0,04
= 0,88 кА,аτГ1,2 = √2
0,56
е-0,05/0,04
= 0,46 кА,
Максимальное
значение апериодической составляющей тока к.з.:
КС1 = √2
IniC1
+ iаτС1 = √2
1,147+0,46 = 2,08 кА,КС2 =
√2
2,17+0,88 = 3,94 кА,КГ1,2 =
√2
0,52+0,65 = 1,38 кА.К
= 2
1,38+3,94+2,08
= 8,78 кА.
Дальнейшие
расчёты аналогичны расчётам точки К1.
Результаты
расчётов сведём в табл. 3.1.
Так как точка К4 находится за ТСН, то при расчете составляющих тока к.з.
необходимо учесть двигатели, присоединенные непосредственно к шинам данной
секции и к другим секциям, связанным с расчетной через магистрали резервного
питания.
По [Л-1, с. 189] для оценок тока к.з. применяют мощность двигателей при
питании от резервного трансформатора:
IПОД.
= 4
åРНОМ./Uном. = 4
8 / 6,3 = 5,08 кА.
Составляющие тока к.з. от двигателей определяются по формулам:
1)
периодическая
составляющая тока в момент времени τ:
Inτ = 4
(1,25
Sном.тсн.)/Uном.= 4
(1,25
10) / 6 =8,3 кА;,
где
Sном.тсн. - номинальная мощность ТСН, МВ
А;
1) ударный ток:
iу.под.
= √2
Ку
Inо = √2
1,65
5,08 =
11,8 кА.
1) апериодическая составляющая тока
к.з.:
iаt = √2
Inо
e- t/Tд
= √2
5,08
е-0,1/0,05 =0,97
кА,
где
Тд - постоянная времени затухания тока к.з. (периодической составляющей) от
двигателей Тд = 0,05 с.;
1) апериодическая составляющая тока
к.з.(максимальное значение):
iК.
= √2
Inо
e-
t/Taд + iаt = √2
5,08
е-0,1/0,05 + 5,08=6.
Для
расчёта точки к.з. на КРУ-10 кВ (точка К5) необходимо выбрать реактивность
реактора. Для этого необходимо выполнить следующие операции.
Рассчитать
результирующее сопротивление схемы при отсутствии реактора:
,
Рассчитать
требуемое сопротивление реакторов для ограничения токов к.з.
Хр
= Хрез. - Хсх = 0,303 - 0,097 = 0,206 Ом.
Выбран
реактор типа РБУ 10-1600 - 0,25У3.
Проверим
выбранный реактор на стойкость в режиме к.з.:
)
ток электродинамической стойкости imax = 49 кА, что больше ударного тока iу =
45,41 кА;
)
термическая стойкость: заводом гарантирована термическая стойкость=19,3 кА в
течение 8 с.,
тогда
Вкзав =19,32
8 > Вк
расч = 16,7 2 (0,105+0,125);
Выбранный
реактор удовлетворяет всем требованиям.
Таблица
3.1 Результаты расчёта токов к.з.
|
Точка К.З.
|
Источник
|
Iб, кА
|
Ino, кА
|
Int, кА
|
Iat, кА
|
iу, кА
|
iК, кА
|
|
К1
|
Система 1
|
1,67
|
1,147
|
1,147
|
0,46
|
2,89
|
2,08
|
|
Система 2
|
|
2,17
|
2,17
|
0,88
|
5,45
|
3,94
|
|
Генератор 1,2
|
|
0,56
|
0,52
|
0,65
|
1,55
|
1,38
|
|
Суммарный
|
|
4,44
|
4,357
|
-
|
11,44
|
7,4
|
|
К2
|
Система 1
|
5,026
|
2,2
|
2,2
|
1,88
|
6
|
4,98
|
|
Система 2
|
|
4,27
|
4,27
|
3,65
|
11,62
|
9,67
|
|
Генератор 1,2
|
|
2,03
|
1,95
|
1,74
|
5,52
|
4,5
|
|
Суммарный
|
|
10,53
|
10,37
|
-
|
28,7
|
23,65
|
|
К3
|
Система
|
52,55
|
19,9
|
19,9
|
9,66
|
54,3
|
37,7
|
|
Генератор 1
|
|
3,31
|
3,31
|
2,52
|
9,2
|
7,2
|
|
Генератор 2
|
|
39,4
|
32,3
|
40,3
|
110
|
85,8
|
|
Суммарный
|
|
62,6
|
55,1
|
-
|
173,5
|
130,7
|
|
К4
|
Система
|
91,75
|
3,6
|
3,6
|
2,98
|
9,8
|
8,06
|
|
Генератор 1
|
|
0,6
|
0,6
|
0,62
|
1,66
|
1,466
|
|
Генератор 2
|
|
7,1
|
5,112
|
3,19
|
18,5
|
10,4
|
|
Нагрузка
|
|
5,08
|
8,3
|
0,97
|
11,8
|
6
|
|
Суммарный
|
|
16,38
|
17,6
|
-
|
41,76
|
25,9
|
|
К5
|
Система
|
52,55
|
5,3
|
5,3
|
3,2
|
14,41
|
10,67
|
|
Генератор 1
|
|
0,9
|
0,9
|
0,54
|
2,4
|
1,8
|
|
Генератор 2
|
|
10,5
|
7,9
|
6,4
|
28,6
|
17,54
|
|
Суммарный
|
|
16,7
|
7,03
|
-
|
45,41
|
14,98
|
4. ВЫБОР ЭЛЕКТРИЧЕСКИХ АППАРАТОВ
.1 Выбор выключателей и разъединителей
Электрические аппараты выбираются по расчётным условиям с последующей
проверкой их работоспособности в аварийном режиме. При этом расчётные величины
должны быть меньшими или равными номинальным (каталожным) параметрам.
Таблица 4.1
|
Расчетные данные
|
Каталожные данные
|
|
Выключатель
|
Разъединитель
|
|
Iраб.max, кА
|
Iном, кА
|
Iном, кА
|
|
Uу, кВ
|
Uном, кВ
|
Uном, кВ
|
|
Int, кА
|
Iотк, кА
|
-
|
|
√2*Int + iat, кА
|
√2*Iотк*(1+bн), кА
|
-
|
|
iу, кА
|
iп.св, кА
|
iп.св, кА
|
|
Inо, кА
|
Iп.св, кА
|
-
|
|
Вк = I2nо*(tотк + Та), кА2*с
|
Вт = I2t*tt, кА2*с
|
Вт = I2t*tt, кА2*с
|
В таблице 4.1 приняты следующие величины:
·
Iраб.max -
максимальный рабочий ток аппарата;
·
Uу - напряжение
установки;
·
Iном - номинальный
ток аппарата:
·
Uном -
номинальное напряжение аппарата;
·
Int -
периодическая составляющая тока к.з. в момент времени t;
·
Inо - начальное
значение периодической составляющей тока к.з.;
·
iу - ударный ток
к.з.;
·
Вк - расчетный
тепловой импульс тока к.з.;
·
Iотк -
номинальный ток отключения аппарата;
·
iп.св. -
предельный сварной ток;
·
Вт -
нормированный тепловой импульс аппарата;
·
bн - содержание апериодической
составляющей;
·
tотк = tр.з. +
tс.отк. - время отключения тока к.з.
Результаты выбора электрических аппаратов для разных цепей схемы
приведены в табл. 4.2-4.6.
Таблица 4.2 Выбор аппаратов в цепи генератора
|
Расчётные данные
|
Каталожные данные
|
|
Выключатель МГУ 20-90/9500-УЗ
|
Разъединитель РВРЗ-1-20/8000 УЗ
|
|
Iраб.max =7,22 кА
|
Iном = 9,5 кА
|
Iном = 8 кА
|
|
Uу = 10 кВ
|
Uном = 20 кВ
|
Uном = 20 кВ
|
|
Int = 55,51 кА
|
Iотк = 90 кА
|
-
|
|
√2*Int + iat = 130,7 кА
|
2*Iотк*(1+bн) = 145 кА
|
-
|
|
Iу = 173,5 кА
|
iп.св =300 кА
|
iп.св = 320 кА
|
|
Inо = 62,6 кА
|
Iп.св = 105 кА
|
-
|
|
Вк = 690,85 кА2*с
|
Вт=I2t*tt =8547 кА2*с
|
Вт=I2t*tt=15625 кА2*с
|
Таблица 4.3 Выбор выключателей для КРУ-10 кВ
|
Расчётные данные
|
Каталожные данные
|
|
ВМПЭ-10 3200-20 У3
|
|
Iраб.max = 2,06 кА
|
Iном = 3,2 кА
|
|
Uу = 10 кВ
|
Uном = 10 кВ
|
|
Int = 7,03 кА
|
Iотк = 20 кА
|
|
√2*Int + iat = 14,98 кА
|
2*Iотк*(1+bн)= 35,94 кА
|
|
Iу = 22,73 кА
|
iп.св =52 кА
|
|
Inо = 16,7 кА
|
Iп.св = 20 кА
|
|
Вк = 64,1 кА2*с
|
Вт = I2t*tt = 3970 кА2*с
|
Таблица 4.4 Выбор выключателей за ТСН
|
Расчётные данные
|
Каталожные данные
|
|
ВМПЭ 11-1250-20 ТЗ
|
|
Iраб.max = 1,1 кА
|
Iном = 1,25 кА
|
|
Uу = 6,3 кВ
|
Uном = 11 кВ
|
|
Int = 17,6 кА
|
Iотк = 20 кА
|
|
√2*Int + iat = 25,9 кА
|
2*Iотк*(1+bн) = 35,94 кА
|
|
Iу = 41,76 кА
|
iп.св =52 кА
|
|
Inо = 16,38 кА
|
Iп.св = 20 кА
|
|
Вк = 46,9 кА2*с
|
Вт = I2t*tt = 3200 кА2*с
|
Таблица 4.5 Выбор аппаратов для ОРУ-110 кВ
|
Расчётные данные
|
Каталожные данные
|
|
Выключатель ВЭК-110-40/2000 У1
|
Разъединитель РНДЗ.1-110/2000 У1
|
|
Iраб.max = 1,5 кА
|
Iном = 2 кА
|
Iном = 2 кА
|
|
Uу = 110 кВ
|
Uном = 110 кВ
|
Uном = 220 кВ
|
|
Int = 10,37 кА
|
Iотк = 40 кА
|
-
|
|
√2*Int + iat = 23,65 кА
|
√2*Iотк*(1+bн)=35,36 кА
|
-
|
iп.св =102 кА
|
iп.св = 100 кА
|
|
Inо = 10,53 кА
|
Iп.св = 40 кА
|
-
|
|
Вк = 23,3 кА2*с
|
Вт = I2t*tt = 3200 кА2*с
|
Вт = I2t*tt= 1600 кА2*с
|
Таблица 4.6 Выбор аппаратов для ОРУ-330 кВ
|
Расчётные данные
|
Каталожные данные
|
|
Выключатель ВГУ-330Б-40/3150 У1
|
Разъединитель РНДЗ.1-330/3200 У1
|
|
Iраб.max = 0,5 кА
|
Iном = 3150 А
|
Iном = 3,2 кА
|
|
Uу = 330 кВ
|
Uном = 330 кВ
|
Uном = 330 кВ
|
|
Int = 4,36 кА
|
Iотк = 40 кА
|
-
|
|
√2*Int + iat = 7,4 кА
|
√2*Iотк*(1+bн)= 32,48кА
|
-
|
|
iу = 11,44 кА
|
iп.св =102 кА
|
iп.св = 160 кА
|
|
Inо = 4,44 кА
|
Iп.св = 40 кА
|
-
|
|
Вк = 18,2 кА2*с
|
Вт = I2t*tt = 3200 кА2*с
|
Вт = I2t*tt= 3970 кА2*с
|
4.2 Выбор ОПН
Для защиты от атмосферных и кратковременных внутренних перенапряжений
изоляции оборудования применяют следующие виды ограничителей перенапряжения и
разрядников:
ОПН - 330; ОПН - 110; ОПН - 10.
4.3 Выбор предохранителей
Для защиты трансформаторов напряжения на КРУ применяются плавкие
предохранители. Выбор предохранителей осуществляется по следующим параметрам:
Номинальное
напряжение Uн
Up.max
Номинальный
ток Iн
Iр.мах
Номинальный
ток отключения Iоткл.
Ino
Выбираем
предохранитель ПКТ 101-10-200-20 У1
4.4 Выбор комплектных РУ
Выбор КРУ производится по уровню напряжения и величине рабочего тока
Ip.мах. Для вводных ячеек КРУ:
Выбираем
КМ-1-10/3200 (IОТКЛ.=31,5 кА, IДИН.=81 кА) с выключателем
ВМПЭ-10 3200-20 У3.
Для
секционной ячейки:
Выбираем
КМ-1-10/1600 (IОТКЛ.=31,5 кА, IДИН.=81 кА,) с
выключателем ВМПЭ-10 1600-20-У3 (IОТКЛ.=31,5 кА, IДИН.М=81
кА, It=31,5 кА, t =4 с.)
Для
линейных ячеек КРУ:
Выбираем
КМ-1-10/1000 (IОТКЛ.=31,5 кА, IДИН.=81 кА) с выключателем
ВМПЭ-10 1000-20-У3 (IОТКЛ.=31,5 кА, IДИН.М=81 кА, It=31,5
кА, t =4 с.)
5.
ВЫБОР ТОКОВЕДУЩИХ ЧАСТЕЙ
Основное
электрическое оборудование электростанций и аппаратов в этих цепях соединяется
между собой проводниками разного типа, которые образуют токоведущие части
электроустановок.
В ОРУ - 110 кВ, 330 кВ применяют гибкие шины, выполненные проводом АС.
Сечение гибких шин выбирается по длительно допустимому току самого большого
присоединения.
Ток самого большого присоединения определяется по выражению:
Iнорм
= Sн/√3
Uн.
Гибкие шины крепят на гирляндах подвесных изоляторов с достаточно большим
расстоянием между фазами. Расчёт на электродинамическое действие не производим,
так как ток меньше 20 кА.
Произведём расчёт гибких шин для ОРУ-110 кВ:
1) ток самого мощного присоединения
(трансформатора 200 МВт):
Imax
= 200/√3
110 = 1,05 кА;
1) принимаем провод АС-600/72: Iдоп =
1050 А.
Выбранные гибкие шины удовлетворяют так же и по условию короны - минимальное
сечение провода при напряжении 110 кВ по условиям короны должно быть не менее
70 мм2.
Аналогично выбираем гибкие шины для ОРУ - 330 кВ:
1)
Imax = 200/√3
330 = 0,35 кА;
)
принимаем провод АС-240/32: Iдоп = 605 А.
)
согласно условиям короны шинное сечение провода при напряжении 330 кВ должно
быть не менее 600 мм2, поэтому к установке применяем провод марки
АС-600/72: Iдоп = 920 А.
Произведём
выбор токопровода от автотрансформатора до ОРУ-330 кВ:
1) Imax = 0,35 кА.
2) qэ = 350/1 = 350 мм2;
принимаем провод АС-600/72: Iдоп = 920 А.
3) проверяем сечение по длительно
допустимому току:
Imax = 350 А < Iдоп = 920 А.
Аналогично выбираются токопроводы на участке от автотрансформатора до ОРУ
- 110 кВ:
) Imax = 1,05 кА.
) qэ = 1050/1 = 1050 мм2; принимаем провод 2хАС-600/27:доп =
920 А.
) проверяем сечение по длительно допустимому току:
Imax
= 1050 А < Iдоп = 2
920 = 1840 А.
В блоке генератор - трансформатор от генератора до трансформатора и отпайки
к трансформатору СН выполняется комплектным токопроводом. Для генераторов
ТВФ-120-2 выполняется соединение токопроводом типа ГРТЕ-10-8550-250, у которого
номинальное напряжение 10 кВ, номинальный ток - 8550 А, электродинамическая
стойкость - 250 кА, тип встроенного трансформатора тока (ТТ) - ТШ-20-10000/5,
трансформатора напряжения (ТН) - 3НОМ-10.
Произведём выбор жёстких шин в КРУ-10 кВ.
Жёсткие шины выбираются по экономической плотности тока. Ток в нормальном
режиме:
Iном
= 30/(√3
2
10,5
0,8) =
1,03 кА,МАХ = 1,1
1,03 =
1,133 кА.
Выбираем
двухполосные плоские алюминиевые шины 2
(60
6),доп = 1350 А.
Выбранные
шины необходимо проверить по:
1) термической устойчивости (проверка
сводится к определению допустимого по условиям нагрева токам к.з. сечения и
сопоставления его с выбранным):
где
С - коэффициент, зависящий от материала шин (для алюминия С=91);
мм2
< 720 мм2.
1) механической прочности. Определяем
пролёт l при условии, что частота собственных колебаний будет больше 200 Гц:
где
q - сечение провода, q = 6
0,6
2 = 7,2
см2
Если
шины на изоляторах расположены плашмя, то (по таб. 4.1, [1]):= b
h3/ 6 = 0,6
63 / 6 = 21,6 см4;
Принимаем
расположение пакета шин плашмя, пролёт 1,2 м, расстояние между фазами a = 0,8
м. Определяем расстояние между прокладками:
где
Е - модуль упругости материала шин (по Таб. 4.2, [1]) Е=
Па;
КФ
- коэффициент формы (по рис. 4.5, [1]), КФ = 0,4
JП
= h
b3/ 12 = 6
0,63
/ 12 = 0,108 см4;П = 2
b = 2
0,6 = 1,2
см;
П - масса полосы,
определяется по сечению q, плотности материала шин (для алюминия 2,7
10-3 кг/см2) и
длине l = 100 cм.П = 2,7
10-3
6
0,6
100 =
0,972 кг/м;
Принимаем
меньшее значение lП = 0,395 м, тогда число прокладок в пролёте
При
двух прокладках в пролёте расчётный пролёт:
Определяем
силу взаимодействия между полосами:
где
b = 0,6 мм = 0,006 м.
Напряжение
в материале полос:
где
WП = h*b2/ 6 = 6*0,62 /
6 = 0,36 см3;
Напряжение
в материале шин от взаимодействия фаз:
где
WФ = b
h2/ 3 = 0,6
62 / 3 = 7,2 см3;
,
что
меньше
= 75 МПа.
Таким
образом выбранные шины удовлетворяют условиям проверки.
Жёсткие
шины крепятся на опорных изоляторах, выбор которых осуществляется по следующим
условиям:
Номинальное
напряжение Uн
Uуст.
Допустимая
нагрузка Fдоп.=0,6
Fразр.
Fрасч.
При
горизонтальном или вертикальном расположении изоляторов всех фаз расчётная
сила: Fрасч.
Выбираем опорные изоляторы И4-80 УХЛ3.
Выбор жёстких шин для СН производится аналогично:
Imax
= 1,1
10000/(√3
6
0,8) = 1325 А.
Принимаем
одно полосные шины 80
10 мм2, Iдоп = 1480 А.
1) механические напряжения:
sqmax = (0,05 +27,2) =27,25 Мпа ≤sдоп.= 75 МПа.
Выбранное сечение удовлетворяет условиям механической прочности.
Также выберем опорные изоляторы И4-80 УХЛ3.
6. ВЫБОР ТИПОВ РЕЛЕЙНОЙ ЗАЩИТЫ
.1 Защиты блока генератор-трансформатор
1) продольная дифференциальная защита
трансформатора от многофазных замыканий, витковых замыканий и замыканий на
землю на основе применения реле РНТ - 562;
2) продольная дифференциальная защита
генератора от многофазных КЗ в обмотках статора и на его выводах с
использованием реле РНТ - 562;
3) защита напряжения нулевой
последовательности - от замыкания на землю на стороне генераторного напряжения;
4) газовая защита трансформатора - от
замыкания внутри кожуха трансформатора;
5) токовая защита обратной
последовательности, состоящая из двух фильтр - реле тока обратной
последовательности РТФ-2 и РТФ-3. При этом чувствительный орган реле РТФ-2 и
РТФ-3 осуществляет защиту генератора от перегрузок токами обратной
последовательности. Грубый орган реле РТФ-2 является резервной защитой от
внешних несимметричных КЗ;
6) токовая защита с пуском по
минимальному напряжению - резервная от симметричных КЗ;
7) защита нулевой последовательности от
внешних замыканий на землю в сети с большим током замыкания в землю;
8) максимальная токовая защита от
симметричных перегрузок, используется ток одной фазы;
9) цепь ускорения отключения блока и
пуск схемы УРОВ при неполнофазных отключениях выключателя;
10)односистемная
поперечная защита от витковых замыканий в одной фазе без выдержки времени - для
защиты генератора.
6.2 Защита автотрансформаторов
(АТ)
1) от всех видов КЗ в обмотках всех
сторон АТ и на его выводах - продольная дифференциальная токовая защита;
2) от многофазных КЗ на выводах стороны
НН АТ - дифференциальная токовая защита или МТЗ с комбинированным пуском по
напряжению, которая одновременно выполняет функции защит от внешних КЗ;
3) от замыканий внутри кожуха АТ, устройства
РПН АТ, сопровождающихся выделением газа, и от понижения уровня масла - газовая
защита;
4) от замыкания на землю со стороны НН
АТ защита напряжения нулевой последовательности, действующая на сигнал;
5) от внешних многофазных КЗ, а так же
для резервирования защит по пунктам 1) - 4) - токовая защита обратной
последовательности с приставкой от симметричных КЗ (МТЗ с пуском по
напряжению);
6) от внешних КЗ на землю в сети с
большим током замыкания на землю - токовая направленная защита нулевой последовательности;
7) от перегрузок - МТЗ с использованием
тока одной фазы;
8) в качестве пускового датчика -
устройства тушения пожара н АТ - токовая защита нулевой последовательности с
заземляющим проводом.
6.3 Защиты трансформаторов собственных нужд
1) от повреждений внутри кожуха и на
выводах - продольная дифференциальная токовая защита на основе реле РНТ - 562;
2) от повреждений внутри кожуха
трансформатора, сопровождающихся выделением газов и от понижения уровня масла -
газовая защита;
3) от внешних КЗ, а так же для
резервирования защит по пунктам 1) - 2) - МТЗ с комбинированным пуском по
напряжению;
4) от перегрузки - МТЗ, использующая ток
одной фазы с действием на сигнал.
6.4 Защита шин
1) дифференциальная токовая защита без
выдержки времени, охватывающая все элементы, которые подсоединены к системе
шин, осуществляется с помощью реле тока, отстроенного от переходного и
установившегося тока небаланса;
2) на обходном выключателе
устанавливается трёхступенчатая дистанционная защита и токовая отсечка от многофазных
КЗ;
3) на обходном выключателе -
четырёхступенчатая токовая направленная защита нулевой последовательности от
замыканий на землю;
4) на шиносоединительном выключателе -
двухступенчатая токовая защита от многофазных КЗ;
5) на шиносоединительном выключателе -
трёхступенчатая токовая защита нулевой последовательности от замыканий на
землю.
6.5 Защита ЛЭП
1) высокочастотная защита;
2) трёхступенчатая дистанционная защита;
токовая защита нулевой последовательности - для защиты от КЗ на землю.
7. ВЫБОР КОНТРОЛЬНО-ИЗМЕРИТЕЛЬНЫХ ПРИБОРОВ И ИЗМЕРИТЕЛЬНЫХ
ТРАНСФОРМАТОРОВ
Контроль за режимом работы основного и вспомогательного оборудования на
электростанциях и подстанциях осуществляется с помощью контрольно-измерительных
приборов. В зависимости от характера объекта и структуры его управления объем
контроля и место установки контрольно-измерительной аппаратуры могут быть
различными. Приборы могут устанавливаться на главном щите управления (ГЩУ),
блочном щите управления (БЩУ) и центральном щите (ЦЩУ) на электростанциях с
блоками генератор-трансформатор и на местных щитах.
Перечислим основные приборы, рекомендуемые для установки на проектируемой
ТЭЦ.
Таблица 7.1
|
Тип прибора
|
Класс точности
|
|
1) Турбогенератор.
|
|
|
|
Статор:
|
|
|
|
Амперметр в каждой фазе Вольтметр Ваттметр Варметр Счётчик
активной энергии Счётчик реактивной энергии
|
Э - 377 Э - 377 Д - 365 Д - 365 И - 675 И - 675М
|
1,5 1,5 1,5 2,5 1,0 2,0
|
|
Регистрирующие приборы
|
|
|
|
Частотомер Суммирующий ваттметр Варметр
|
Н - 397 Н - 395 Н - 395
|
2,5 1,5 1,5
|
|
Ротор:
|
|
|
|
Амперметр Вольтметр Вольтметр в цепи основного и резервного
возбудителя
|
Э - 377 Э - 377 Э - 377
|
1,5 1,5 1,5
|
|
Регистрирующие приборы
|
|
|
|
Частотомер Суммирующий ваттметр Варметр
|
Н - 397 Н - 395 Н - 395
|
2,5 1,5 1,5
|
|
2) Автотрансформатор связи.
|
|
|
|
Амперметр Ваттметр Варметр с двухсторонней шкалой
|
Э - 377 Д - 365 Д - 365
|
1,5 1,5 2,5
|
|
3) Трансформатор собственных нужд.
|
|
|
|
Сторона питания:
|
|
|
|
Амперметр Ваттметр Счётчик активной энергии
|
Э - 377 Д - 365 И - 675
|
1,5 1,5 1,0
|
|
4) Сборные шины 110 кВ
|
|
|
|
Вольтметр для измерения междуфазного напряжения и
регистрирующий вольтметр
|
Э - 377
|
1,5
|
|
5) Пускорезервный трансформатор (ПРТСН)
|
|
|
|
Амперметр Ваттметр Счётчик активной энергии
|
Э - 377 Д - 365 И - 675
|
1,5 1,5 1,0
|
Производим выбор трансформаторов тока для присоединения
контрольно-измерительных приборов в цепи генератора ТВФ-120-2У3.
Выбор трансформаторов тока осуществляется:
По напряжению установки: Uу ≤ Uном;
По максимальному току: Iраб.мах ≤ Iн,
По динамической устойчивости: Iу ≤ Кдин√2*I1ном,
По термической устойчивости: Вк ≤ (КтI1ном)2*tт,
По вторичной нагрузке: Ζ2 ≤ Ζ2ном.
Трансформаторы напряжения выбираются:
По напряжению установки: Uу ≤ Uном,
По вторичной нагрузке: Ѕ2 ≤ Ѕ2ном.
7.1 Выбор трансформаторов тока
Цепь генератора.
Встроенные в токопровод трансформаторы тока ТШ-20-10000/5
Подсчёт вторичной нагрузки трансформатора тока приведён в табл. 7.2
Таблица 7.2
|
Прибор
|
Тип
|
Кол-во
|
Потребляемая мощность, В·А
|
|
|
|
Фаза А
|
Фаза В
|
Фаза С
|
|
Амперметр
|
Э-350
|
3
|
0,1
|
0,1
|
0,1
|
|
Ваттметр
|
Д-365
|
1
|
0,5
|
|
0,5
|
|
Варметр
|
Д-365
|
1
|
0,5
|
|
0,5
|
|
Счётчик активной энергии
|
И-675
|
1
|
2,5
|
|
2,5
|
|
Счетчик реактивной энергии
|
И-675М
|
1
|
2,5
|
2,5
|
2,5
|
|
Суммирующий ваттметр
|
Н-395
|
1
|
10
|
|
10
|
|
Варметр
|
Н-395
|
1
|
10
|
10
|
10
|
|
Суммарная нагрузка
|
|
|
26.1
|
12,6
|
26,1
|
Наибольшая нагрузка приходится на ТТ фаз А и С Sприб = 26,1
В·А
приб= Sприб / I22 = 26,1/ 52 =
1,04 Ом
Тогда rпр = Z2 ном - r приб - r к,
где rк - сопротивление в контактах, Ом;пр -
сопротивление соединительных проводов, Ом;2 ном - номинальная
нагрузка, Ом.пр = 1,2 - 1,04 - 0,1 = 0,06 Ом.
Ориентировочная длина l = 10 м.
Во вторичных цепях электростанции с генераторами 100 МВт и выше
используются медные жилы (ρ = 17,5·10-9 Ом·м)
Тогда расчётное сечение проводов:
Выбираем
кабель АКРВГ с жилами 4 мм2.
7.2 Выбор трансформаторов напряжения
Цепь
генератора.
В
токопровод встроены трансформаторы напряжения 3НОМ-10.
Мощность
приборов, подключённых к ТН, приведена в табл. 7.3.
Таблица
7.3
|
Прибор
|
Тип
|
Sобм, В·А
|
Число паралл. катушек
|
cosφ
|
sinφ
|
Число приборов
|
Общая мощность
|
|
|
|
|
|
|
|
Р, Вт
|
Q,Вар
|
|
Вольтметр
|
Э-377
|
2
|
1
|
1
|
0
|
1
|
2
|
|
|
Ваттметр
|
Д-365
|
1,5
|
2
|
1
|
0
|
2
|
6
|
|
|
Варметр
|
Д-365
|
1,5
|
2
|
1
|
0
|
1
|
3
|
|
|
Счётчик акт. эн.
|
И-675
|
2 Вт
|
2
|
0,38
|
0,925
|
1
|
4
|
9,7
|
|
Ваттметр регистр.
|
Н-395
|
10
|
2
|
1
|
0
|
1
|
20
|
|
|
Вольтметр регистр
|
Н-393
|
10
|
1
|
1
|
0
|
1
|
10
|
|
|
Частотомер
|
Э-372
|
3
|
1
|
1
|
0
|
2
|
6
|
|
|
Суммарная нагрузка
|
|
|
|
|
|
|
51
|
Полную мощность определим по формуле:
Допустимая
мощность ТН: Sд = 52 В·А
Тогда
имеем: S2∑ < Sдоп
Следовательно,
ТН обеспечит необходимый класс точности 0,5.
Выбор
остальных измерительных трансформаторов производится аналогичным образом.
Результаты сводим в таблицы 7.4 и 7.5:
В
автотрансформаторах связи имеются встроенные трансформаторы тока типа ТВТ-110 и
ТВТ-330-1-600/5. В трансформатор СН встраиваются трансформаторы тока типа
ТВТ-10-1-5000/5. С низкой стороны 6 кВ пускорезервных трансформаторов
устанавливаем трансформаторы тока типа ТШЛК - 10 - 3000/5
Таблица
7.4 Выбор трансформаторов напряжения
|
Место установки
|
Тип
|
Напряжения обмоток
|
|
|
Uном, кВ первичной
|
Uном, В вторичной
|
Uном, В дополнительной
|
|
ОРУ - 330 кВ
|
НКФ-330-73
|
330/√3
|
100/√3
|
100
|
|
ОРУ - 110 кВ
|
НКФ-110-57
|
110/√3
|
100/√3
|
100
|
|
КРУ-10 кВ
|
ЗНОЛ.06
|
10/√3
|
100/√3
|
100:3 или 100
|
Таблица 7.5 Выбор трансформаторов тока
|
Место установки
|
Тип
|
Расчетные данные цепи
|
Каталожные данные
|
|
ОРУ - 330 кВ
|
ТФУМ-330 А 500/5-У1
|
Uр=330 кВ Iр.мах=500 А Iу=11,44 кА Вк=….кА2*с
|
Uном=330 кВ Iном=500 А Iдин=49,5 кА Вт=745 кА2*с
|
|
ОРУ - 110 кВ
|
ТФЗМ-110 Б-III 1500/5-У1
|
Uр=110 кВ Iр.мах=1500 А Iу=28,7 кА Вк=….. кА2*с
|
Uном=110 кВ Iном=1500 А Iдин=158 кА Вт=13872 кА2*с
|
|
Цепь трансформатора собственных нужд (НН)
|
ТПЛК-10 1500/5-У3
|
Uр=6 кВ Iр.мах=1100 А Iу=41,76 кА Вк=…… кА2*с
|
Uном=10 кВ Iном=1500 А Iдин=74,5 кА Вт=15038 кА2*с
|
|
КРУ-10 кВ
|
ТЛ-10-II 2000/5-У3
|
Uр=10 кВ Iр.мах=1600 А Iу=45,41 кА Вк=…… кА2*с
|
Uном=10 кВ Iном=2000 А Iдин=128 кА Вт=4800 кА2*с
|
|
КРУ-10 кВ (секционный выключатель)
|
ТЛ-10-II 1000/5-У3
|
Uр=10 кВ Iр.мах=800 А Iу=45,41 кА Вк=…… кА2*с
|
Uном=10 кВ Iном=1000 А Iдин=128 кА Вт=4800 кА2*с
|
8. ВЫБОР КОНСТРУКТИВНЫХ ТИПОВ ВСЕХ РУ И РАЗРАБОТКА КОНСТРУКЦИИ РУ
Типовые конструктивные решения служат основой для разработки конструкций
РУ при проектировании конкретной электростанции. Окончательное решение по
конструкции РУ принимается на основании технико-экономического сопоставления
ряда эскизно проработанных вариантов компоновок.
РУ должны удовлетворять ряду требований. Основные из них: надёжность,
экономичность, удобство и безопасность обслуживания, безопасность для людей,
находящихся вне РУ, пожаробезопасность, возможность расширения.
Надёжность в работе означает малую вероятность возникновения повреждения
оборудования, КЗ в РУ, локализацию повреждения, если оно всё-таки возникло.
Требования экономичности предполагает возможно меньшие размеры РУ,
капитальные затраты и сроки сооружения.
Для оперативного персонала необходимо обеспечить безопасность и удобство
осмотра оборудования, произведений переключений и выполнения работ по
устранению мелких неполадок, для ремонтного персонала - безопасность и удобство
ремонта и замены оборудования при снятии напряжения лишь с того присоединения,
которому принадлежит ремонтируемое оборудование. Требование возможности
расширения означает возможность подключения к РУ новых присоединений.
ОРУ сооружается при напряжениях 35 кВ и выше. Они дешевле ЗРУ, но менее
удобны в обслуживании и занимают большую площадь.
Сборные шины и ошиновку выполняют неизолированными сталеалюминевыми
проводами на оттяжных и подвесных гирляндах изоляторов или жёсткими
алюминиевыми трубами на опорных изоляторах.
Жёсткие шины позволяют применить более простые несущие конструкции,
уменьшить занимаемую площадь и высоту ОРУ. Однако стоимость жёстких шинных
конструкций несколько выше стоимости гибких шин, а так же для крепления
требуются более дорогие и менее надёжные опорные изоляторы.
Для крепления гибких проводов предусматриваются порталы, для жёстких шин
и аппаратов опоры в виде стояк и стульев или так же порталы.
Оборудование одного присоединения занимает горизонтальную полосу, которую
называют ячейкой.
Надёжность ОРУ достигается соблюдением достаточных изоляционных
расстояний в воздухе между токоведущими частями разных фаз и между токоведущими
и заземлёнными частями.
Для удобства обслуживания (монтажа, ремонта) предусматривается проезд
вдоль ряда выключателей. Габариты проезда должны быть не менее 4 м по ширине и
высоте.
В ОРУ-330 кВ и ОРУ-110 кВ принята схема четырёхугольника. Схема принята
согласно НТП и обеспечивает все требования, предъявляемые к ОРУ. Схема надёжна,
обеспечивает бесперебойность питания, экономична (используется четыре
выключателя и четыре присоединения), безопасна в обслуживании и при ремонтах,
удобна в эксплуатации.
К ОРУ присоединены по две воздушные ЛЭП и два автотрансформатора связи
АТДЦТН-125000/330/110. Каждый элемент схемы линий, автотрансформатор,
присоединяются между двумя соседними выключателями. Все аппараты данных ОРУ
располагаются на типовых опорных конструкциях, выполненных из металла или
железобетона. Кабели располагаются в лотках из ж/б плит и служат одновременно
переходными дорожками. Ошиновка ОРУ выполняется гибким токопроводом. Порталы, и
все опоры под аппаратами - стандартные, железобетонные. Площадка ОРУ окружается
от остальных территорий станции внутренним забором высотой 1,6 м - сплошным
сетчатым и решётчатым.
В системе шин СН использован КРУ внутренней установки К-XXVI, которые
состоят из жёсткого металлического корпуса, внутри которого размещена вся
необходимая аппаратура. Для безопасного обслуживания и локализации аварий
корпус разделён на отсеки металлическими перегородками. Выключатели типа ВМПЭ с
приводами установлены на выкатных тележках.
На
напряжении 10 кВ распределение электроэнергии осуществляется комплектным
распределительным устройством (КРУ) внутренней установки с воздушной изоляцией.
В данном курсовом проекте использованы шкафы КРУ марки КМ-1-10 с маломасляными
выключателями ВМПЭ на выкатных тележках. Шкафы состоят из жёсткого металлического
корпуса, внутри которого размещено основные электрические аппараты и система
жёстких шин, а также приборы для измерений, управления и релейной защиты со
всеми соединениями. Жёсткая ошиновка выполнена двухполосными прямоугольными
алюминиевыми шинами 2
(60
6)
которые крепятся на опорных изоляторах марки И4-80 УХЛ3.
Такой
тип РУ выбран из-за ряда преимуществ по сравнению с другими типами РУ, таких
как надёжность, безопасность для обслуживающего персонала, пожаробезопасность,
возможность расширения схемы распределения, быстрая замена повреждённых
выключателей, а также скорость и простота монтажа шкафов КРУ.
ЛИТЕРАТУРА
1. Рожкова Л.Д., Козулин В.С.
Электрооборудование станций и подстанций. - М.: Энергия, 1980.
2. Неклепаев Б.Н., Крючков И.П.
Электрическая часть электростанций и подстанций. Справочные материалы для
курсового и дипломного проектирования. - М.: Энергоиздат, 1989.
3. Мазуркевич В.Н., Свита Л.Н.
Методические указания по курсовому проектированию по курсу «Электрическая часть
электрических станций». - Мн.: БГПА, 1982.
4. Неклепаев В.Н. Электрическая часть
электростанций. - М.: Энергия, 1976.
5. Двоскин Л.И. Схемы и конструкции
распределительных устройств. - М.: Энергия, 1974.
6. Руцкий А.И. Электростанции и
подстанции. - Мн.: Выш. школа, 1974.