|
№ п/п
|
Наименование продукта
|
Норма закладки для приготовления порции 250 г
|
|
|
брутто
|
нетто
|
В сухих веществах
|
|
11
|
Мука пшеничная в. с.
|
57,7
|
57,7
|
49,3
|
|
22
|
17,4
|
17,4
|
13,9
|
|
33
|
Сахар-песок
|
86,7
|
86,7
|
86,6
|
|
44
|
Яйца куриные столовые I категории
|
3,6 шт
|
144,6
|
39,0
|
|
55
|
Овсяные отруби
|
10,5
|
10,5
|
8,9
|
|
66
|
Морковный порошок
|
2,1
|
2,1
|
1,9
|
|
Масса полуфабриката (сырьевой набор)
|
-
|
320
|
199,6
|
|
Масса готового кулинарного изделия
|
-
|
250
|
187,5
|
. ТЕХНОЛОГИЧЕСКИЙ ПРОЦЕСС
Подготовка сырья производится в соответствии с
технологическими требованиями и санитарными правилами.
Для приготовления теста: яйцо с сахаром-песком без подогрева или с
предварительным подогревом до 40 оС взбивают вначале при малом,
затем при большем числе оборотов с помощью взбивальной машины до увеличения
объема в 2,5-3 раза. Перед окончанием взбивания добавляют муку, смешанную с
крахмалом и перемешивают не более 15 секунд. Муку следует вводить в 2-3 приема.
Формование: бисквитное тесто немедленно разливают в противень или формы,
которые предварительно смазывают жиром или застилают бумагой. Противни и формы
заполняют на ¾ высоты, чтобы тесто при подъеме не переваливалось через
борта.
Выпечка: продолжительность выпекания 50-55 минут при температуре 195-200 оС
или 40-45 минут при температуре 205-225 оС. Выпеченный бисквит
охлаждают в течение 20-30 минут, вынимают из противня или формы и выстаивают
8-10 часов при температуре 15-20 оС. Затем бумагу снимают и зачищают
бисквит.
5. ОФОРМЛЕНИЕ, ПОДАЧА, РЕАЛИЗАЦИЯ
Блюдо подают при температуре не ниже 14°С.Реализуют в течении
2 часов с момента окончания технологических операций.
. ПОКАЗАТЕЛИ КАЧЕСТВА И БЕЗОПАСНОСТЬ
.1 Органолептические показатели блюда:
Внешний вид - форма прямоугольная, круглая или овальная, толщина бисквита
3-4 сантиметра. Верхняя корочка гладкая, тонкая;
Запах бисквита - приятный, соответствующий свежевыпеченному тесту,
смягченным запахом моркови;
Вкус бисквита - соответствующий данному изделию с привкусом овсяных
отрубей, смягченным привкусом моркови;
Цвет бисквита - верхняя корочка светло-коричневого, мякиш светло-желтого
цвета с включениями моркови оранжевого цвета и овсяных отрубей, равномерно
распределенный по всему объему;
Консистенция бисквита - мякиш пористый, эластичный, без следов закала или
непромеса;
Пористость - развитая, равномерная.
6.2 Микробиологические показатели: соответствуют требованиям СанПиН
2.3.2. 1078-01 индекс 1.9.15.11.
7. ПИЩЕВАЯ ЦЕННОСТЬ
Бисквит
с морковью и овсяной клетчаткой на выход- 250 г
1.2 Разработка блок-схемы процесса производства полуфабриката бисквита с
добавлением овсяных отрубей и морковного порошка ИК-сушки
Блок-схема - это последовательность всех действий процесса,
представленная в виде алгоритма. На блок-схемах, планах или в приложениях к ним
должны быть приведены следующие сведения:
контролируемые параметры технологического процесса,
периодичность и объем контроля (схемы производственного контроля);
инструкции о процедурах уборки, дезинфекции и дезаэрации, а
также гигиене персонала, согласованные с органами Минздрава России;
техническое обслуживание и мойка оборудования и инвентаря;
петли возврата, доработки и переработки продукции;
пункты санитарной обработки, расположение туалетов,
умывальников, хозяйственно-бытовых зон;
пункты возможных загрязнений от сырья, смазочных материалов
хладагентов, поддонов, персонала;
система вентиляции и др. [4].
Разработанная блок-схема производственного процесса
кулинарного изделия «Бисквит с морковью
и овсяной клетчаткой» представлена на рисунке 1.
Рисунок 1 - Блок-схема производственного процесса для бисквита с
добавками
2. Показатели качества, их характеристика
Показатель качества это количественная характеристика свойств продукции,
рассматриваемая применительно к определенным условиям ее создания или
потребления.
Показатель качества может быть выражен в различных единицах, что
позволяет количественно характеризовать степень пригодности продукции
удовлетворять установленные потребности (проценты, г, мг, градусы, ккал и т.д.)
или быть безразмерным.
Продукция может характеризоваться количественными и качественными
признаками, при этом количественный признак продукции является ее параметром и
качественно характеризует любые свойства продукции.
Для оценки качества продукции общественного питания может применяться
система показателей: единичные, комплексные, интегральные, базовые.
Единичными показателями называют те, которые количественно характеризуют
одно из свойств продукции (цвет, вкус, влажность, пористость и т.д.).
Оценка единичных показателей качества является одной из наиболее сложных
задач квалиметрии.
Комплексные показатели количественно характеризуют два и более простых
свойств продукции или одно сложное свойство. Например, такой показатель как
«пищевая ценность» отражает полезные свойства продукции, связанные с
содержанием основных пищевых веществ (белков, жиров, углеводов, витаминов,
минеральных веществ), а также энергетическую ценность (ккал, кДж),
органолептические свойства.
Интегральные показатели качества определяются как отношение суммарного
полезного эффекта от потребления продукции к суммарным затратам на ее создание
и потребление. Применительно к продукции общественного питания это например
аминокислотный скор, отражающий процент соответствия показателей
аминокислотного состава формуле сбалансированного питания.
Относительная характеристика качества продукции, основанная на сравнении
группы показателей ее качества с соответствующей группой базовых показателей,
называется уровнем качества продукции.
При оценке качества продукции следует учитывать номинальное и предельное
значение показателей качества. Номинальное значение - это регламентируемое
значение показателя, от которого отсчитывается допустимое отклонение; они
приводятся в нормативной документации.
Предельное значение показателей качества - это наибольшее или наименьшее
значение, которое регламентируется и приводится в нормативной документации или
определяется расчетным путем. Например, минимальное и максимальное содержание
сухих веществ в кулинарном изделии. Эти значения используются при контроле
качества продукции.
Показатели качества продукции общественного питания могут быть прямыми и
косвенными.
Прямые показатели качества не посредственно связаны с пищевой ценностью
продукции (содержание белков, жиров, углеводов и т.д.).
Косвенные показатели тесно связаны с прямыми, но не оказывают влияния на
пищевую ценность (кислотность полуфабрикатов из котлетной массы, плотность
молока, зависящая от содержания жира и др.).
По характеризуемым ими свойствам показатели качества подразделяются на:
показатели назначения, надежности, технологичности, безопасности,
стандартизации и унификации, а также эстетические, эргономические,
патентно-правовые, экономические.
Показатели назначения обуславливают функции продукции и область ее
применения. Для продукции общественного питания наиболее важными показателями
назначения являются: энергетическая ценность, состав продукции и ее структура.
.1 Порядок отбора пробы полуфабриката бисквита с добавлением овсяных
отрубей и морковного порошка ИК-сушки
Для контроля органолептических и физико-химических
показателей отбор образцов производят от представительной выборки методом
"вслепую" в соответствии с ГОСТ Р
54607.1-2011.
Метод "вслепую" применяется
для продукции, представленной на контроль россыпью, а также в том случае, когда
применение метода отбора с применением случайных чисел технически
затруднительно или экономически невыгодно. Метод "вслепую" не следует
применять в тех случаях, когда бракованные единицы продукции можно определить
органолептически.
В выборку должны быть включены единицы
продукции из разных частей контролируемой партии. Для контроля органолептических показателей (кроме
формы, поверхности и цвета), а также наличия посторонних включений, хруста от
минеральной примеси, признаков болезней и плесени от представительной выборки
отбирают пять единиц продукции.
При проверке качества изделий контролирующими
организациями отбирают три лабораторных образца. При проверке, на хлебопекарном
предприятии два из них упаковывают в бумагу, обвязывают шпагатом, пломбируют
или опечатывают и отправляют в лабораторию контролирующей организации; третий
анализируют в лаборатории предприятия-изготовителя. При проверке в торговой
сети упаковывают аналогично все три лабораторных образца, два из них отправляют
в лабораторию контролирующей организации, третий - в лабораторию
предприятия-изготовителя продукции.
В лаборатории контролирующей организации анализируют
один образец, второй, упакованный, хранят на случай возникновения разногласий в
оценке качества и анализируют совместно с представителем
предприятия-изготовителя.
Для составления объединенной пробы от выборки,
отбирают не менее 1 шт. изделия, если масса изделия не превышает 400 г; если
масса изделия более 400 г, то его разрезают на четыре равные части под прямым
углом и отбирают одну четвертую часть.
.2 Органолептическая оценка и показатели качества полуфабриката бисквита
с добавлением овсяных отрубей и морковного порошка ИК-сушки
Органолептическое исследование пищи - это определение ее качества по
вкусу, цвету, запаху, внешнему виду, пористости и консистенции, т. е. при
помощи наших органов чувств. В соответствии с ГОСТ Р
53104-2008
Органолептическая оценка кулинарной продукции проводится по 5-балльной
системе. На предприятиях питания этот анализ проводят с целью проверки
соответствия качества вырабатываемой продукции и поступающего сырья
требованиям, установленным НТД, рецептурами. Органолептический анализ
предшествует физико-химическому, что позволяет более полно оценить качество
продукции и повысить оперативность контроля.
Органолептическая оценка качества кулинарной продукции проводится по 5
основным взаимосвязанным показателям: внешнему виду, цвету, запаху, вкусу и
консистенции.
При наличии дефектов снижение баллов производится в соответствии со
шкалой (Приложение А).
С реализации снимаются блюда, получившие при органолептической оценке
хотя бы одну неудовлетворительную оценку показателей качества. Сумму баллов для
таких блюд не подсчитывают [5].
.3 Подготовка образца к исследованию
Для проведения физико-химического исследования пробу приводят в
однородное состояние, используя различные способы, в зависимости от
консистенции исследуемого образца (растирают в ступке, измельчают в мясорубке,
гомогенизируют в специальном приборе).
Кексы, рулеты, коврижки, бисквит, реализуемые по массе. После удаления
наполнителя (кексы) отбирают небольшие порции, соединяют их и измельчают.
.4 Определение физико-химических показателей качества в соответствии с ГОСТ Р 54607.2-2012
Для объекта исследования определяются следующие физико-химические
показатели качества в соответствии с ГОСТ Р
54607.2-2012:
· Массовая доля влаги;
· Зольность;
· Пористость (на приборе Журавлева);
· Массовая доля сахара (рефрактометрическим методом);
· Массовая доля клетчатки (метод по
Геннебергу и Штоману).
Определение массовой доли влажности
Метод основан на выделении гигроскопической влаги из исследуемого объекта
при определенной температуре. Высушивание образцов проводят с прокаленным
песком, который придает навеске пористость, увеличивает поверхность испарения,
препятствует образованию корочки, затрудняющей удаление влаги.
Для высушивания используют фарфоровые чашки, стеклянные или алюминиевые
бюксы, предварительно высушенные и взвешенные.
Определение массовой доли влаги ускоренным высушиванием навески в
сушильном шкафу.
Методика определения. Берут две навески по 5г с точностью 0,001г.
Помещают в алюминиевые бюксы диаметром 48мм, высотой 20мм, закрывают крышкой и
взвешивают на весах с точностью до 0,01г. Затем, открыв крышку бюксы, тщательно
и осторожно перемешивают навеску с тестом стеклянной палочкой, равномерно
распределяя по дну бюксы.
Открытые бюксы с навеской и крышкой помещают в сушильный шкаф и
высушивают при t=130+,- 2 °С в
течение 40мин.
После окончания высушивания бюксы закрывают крышками, вынимают из шкафа,
охлаждают в течение 20...30мин в эксикаторе и снова взвешивают.
Влажность полуфабриката рассчитывают по формуле:

,
где а - масса навески полуфабриката до высушивания, г; - масса навески
полуфабриката после высушивания, г.
Расхождение между результатами параллельных определений не должно
превышать 0,5%. За конечный результат принимают среднее арифметическое значение
двух параллельных определений
Определение массовой доли золы
Общее количество минеральных веществ определяют по массе золы, оставшейся
после сжигания и прокаливания продукта. Содержание золы выражают в % и именуют
зольностью. По проценту золы можно судить о качестве продукции.
Метод простого озоления основан на том, что содержащиеся в продуктах
органические вещества под действием высокой температуры (450-0 °С) разлагаются
и в виде летучих веществ выделяются. Минеральные вещества при данной
температуре образуют золу в виде окислов металлов, углекислых, хлористых и
других солей. Зола содержит, кроме естественных минеральных соединений,
некоторые примеси. Поэтому «сырая» зола дает условное представление о
содержании минеральных веществ в продукте.
Методика определения. Предварительно прокаленный фарфоровый тигель
взвешивают с точностью до 0,001 г.
Навеску продукта 1-2 г помещают в тигель и ставят его в муфельную печь.
Первоначальное сжигание необходимо вести осторожно у открытой двери муфеля, а
затем после того как содержимое тигля почернеет, его нужно переместить во
внутрь муфельной печи. Сжигание надо проводить до тех пор, пока полностью
исчезнут черные частицы (зола должна быть серой или белой). После озоления
тигель с золой помещают в эксикатор для охлаждения, затем взвешивают. Расчет
проводят по формуле:

, (2.2)
где В - масса тигля, г; С - масса тигля с навеской, г;
А - масса тигля с золой; 100 - перевод в %.
Определение пористости на приборе Журавлева
Сущность: метод определения пористости мякиша бисквита основан на том,
что беспористая масса бисквита из муки высшего сорта имеет приблизительно
постоянную плотность. Определив объем и массу куска мякиша и зная плотность
беспористой массы, можно рассчитать, какой объем в этом куске занимают поры.
Определение содержания сахаров рефрактометрическим методом.
Этот метод основан на зависимости между коэффициентом преломления
исследуемого объекта.
Методика определения. Навеску подготовленной пробы массой 25г переносят
небольшим количеством (40 см3) теплой воды в мерную колбу
вместимостью 100 см3, затем раствор осветляют, для чего к нему
добавляют 10 см3 7%-ного раствора сернокислой меди и 4 см3
раствора гидрата окиси натрия. После осаждения несахаров, содержимое колбы
охлаждают, доводят до метки дистиллированной водой, перемешивают, дают жидкости
отстояться 10-15 мин, отфильтровывают через бумажный фильтр в коническую колбу
и измеряют коэффициент преломления.
Необходимо рефрактометр установить на показатель преломления
дистиллированной воды при 20 °С 1,3329, что соответствует 0% сухих веществ.
Призмы рефрактометра вытирают сухой марлей и оплавленной стеклянной палочкой
наносят 1-2 капли исследуемой жидкости, профильтрованной через фильтровальную
бумагу. Опускают верхнюю призму и через 2-3 минуты произведите замер. Замер
производят 2-3 раза и рассчитывают среднее арифметическое значение, по шкале
рефрактометра определите коэффициент преломления.
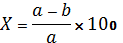
Массовую долю сахарозы (Х,%) можно рассчитать, по формуле:

, (2.4)
где a - коэффициент преломления
испытуемого раствора;
b -
показатель преломления дистиллированной воды при 20°С;
К - коэффициент пересчета показателя преломления на массовую долю сахара
в исследуемом растворе;
- множитель, введенный для того, чтобы разность (a-b) была целым
числом.
Определение количества клетчатки. Метод Генненберга и Штомана
Метод основан на удалении из продукта кислотощелочерастворимых веществ и
определении массы остатка, условно принимаемого за клетчатку. Сырьё с
масличностью выше 1,5% предварительно обезжиривают по ГОСТ 13496.15-97.
Допускается использовать для определения клетчатки остаток после определения
жира по методу Рушковского.
Сущность метода: при обработке навески исходного продукта кислотой
извлекаются в раствор сахара, крахмал, большое количество минеральных веществ,
некоторые белки, органические кислоты. Все эти вещества удаляют, затем остаток
навески обрабатывают щелочью. Почти все азотсодержащие вещества при такой
обработке частично растворяются. Высушенный остаток содержит клетчатку, а также
оставшеюся гемицеллюлозу. Лигнин, белковые вещества и зольные элементы. Поэтому
высушенный остаток называют сырой клетчаткой.
Методика определения. Навеску испытуемой пробы массой около 2 г
взвешивают с точностью до 0,001 г, помещают в стакан вместимостью 300-400см,
приливают 200 см раствора 4% серной кислоты и тщательно перемешивают стеклянной
палочкой. Уровень жидкости на стакане фиксируют восковым карандашом. Смесь
тщательно перемешивают стеклянной палочкой и доводят до слабого кипения на
электрической плите. Кипячение продолжают 5мин, считая от начала кипения, при
периодическом помешивании палочкой. При сильном кипении по стакан подкладывают
слой асбеста. Стакан снимают с плитки, смывают со стенок приставшие частицы,
дают отстояться осадку и ещё горячий раствор отсасывают с помощью вакуумного,
водоструйного или насоса Камовского. Для этого используют воронку диаметром 5
см, обтянутой шелковой тканью. Эти воронки посредствам изогнутой стеклянной
трубки и толстостенной каучуковой вакуумной трубки соединяют с колбой Бунзена
вместимостью 3-5 дм3. Колба Бунзена в свою очередь соединена с
насосом. Насос приводят в действие и фильтр плотно присасывается к пластинке
воронки. Затем воронку осторожно вводят в стакан до соприкосновения с
поверхностью горячей жидкости и отсасывают раствор в колбу Бунзена. Отсасывание
продолжают до тех пор, пока высота слоя жидкости над осадком не останется
примерно 10мм. После окончания отсасывания воронку вынимают из стакана,
перевертывают фильтром вверх и дают оставшейся жидкости в воронке стечь в колбу
Бунзена. Насос выключают и снимают пинцетом фильтр со дна воронки, прикладывают
его к внутренней стенке стакана и струей горячей дистиллированной воды смывают
с фильтра и стенок стакана приставшие к ним частицы осадка. После отсасывания
удаляют из стакана промытый фильтр, в стакан наливают горячую дистиллированную
воду до метки, перемешивают, осадку дают отстояться и снова отсасывают раствор.
Отсасывание проводят три раза.
После промывания осадка дистиллированной водой от серной кислоты в стакан
наливают 100 см 5%-ного раствора гидроокиси калия и доводят горячей
дистиллированной водой до метки 200см3 (концентрация щелочи в
стакане 2,5%). Затем содержимое стакана тщательно перемешивают и кипятят в
течение 5мин на электрической плите. После кипячения осадок переносят на
воронку Бюхнера с бумажным фильтром. Для фильтрования используют вакуумный,
водоструйный или насос Камовского. Осадок на фильтре последовательно отмывают
горячей дистиллированной водой от щелочи (проба по лакмусу), 15 см3
спирта и 15 см3 диэтилового эфира. Промытый таким образом осадок
переносят вместе с фильтром из воронки Бюхнера в ту же бюксу, в которой
высушивали пустой фильтр, и высушивают в сушильном шкафу при температуре 160 °С
в течение 2ч для проб с содержанием сырой клетчатки более 15% и в течение 1,5ч
для проб с содержанием сырой клетчатки менее 15%.
Массовую долю клетчатки (X, %) вычисляют по формуле:

, (2.5)
где m - масса навески, г;
- коэффициент пересчета в проценты.
Заключение
В данной работе была разработана рецептура кулинарного
изделия «Полуфабрикат
бисквит», добавив
морковь и овсяную клетчатку, повысилась питательная ценность кулинарного
изделия. Была разработана ТТК на новую рецептуру «Полуфабрикат бисквит с
морковью и овсяной клетчаткой». Изучены
органолептические и физико-химические показатели качества разработанного
кулинарного изделия.
Список
использованных источников
1. О качестве и безопасности пищевых продуктов: Закон
Российской Федерации №29-ФЗот 02.01.2000
. Санитарно-эпидемиологические правила и нормативы.
Гигиенические требования безопасности и пищевой ценности пищевых продуктов.
СанПиН 2.3.2.1078-01. Введ. 01.07.02.
. ГОСТ Р 53105-2008. Услуги общественного питания.
Технологические документы на продукцию общественного питания. Общие требования
к оформлению, построению и содержанию. Введ. 18.12.08. - М.: Стандартинформ,
2010. -22 с.
. ГОСТ Р 51705.1-2001. ГОСТ Р 51705.1-2001. Системы
качества управления качеством пищевых продуктов на основе принципов ХАССП.
Общие требования. Введ. 23.01.01.- М.: Стандартинформ, 2001 - 15 с.
. ГОСТ Р 53104-2008. Услуги общественного питания.
Метод органолептической оценки качества продукции общественного питания.Введ.
18.12.08. - М.: Стандартинформ, 2008. -15 с.
. ГОСТ Р 54607.1-2011. Услуги общественного питания.
Методы лабораторного контроля продукции общественного питания. Часть 1. Отбор
проб и подготовка к физико - химическим испытаниям. Введ. 08.12.11. - М.:
Стандартинформ, 2012. - 8с.
. ГОСТ Р 54607.2-2012. Услуги общественного питания.
Методы лабораторного контроля продукции общественного питания. Часть 2. Методы
физико-химических испытаний. Введ. 29.11.12. - М.: Стандартинформ, 2014. -31 с.
. Сборник рецептур блюд и кулинарных изделий для
предприятий общественного питания.-М.: АРИЙ, ИКТЦ «ЛАДА», 2009.-680 с.
Приложение А
Шкала снижения оценки качества за обнаруженные дефекты
|
Наименование показателя
|
Дефекты
|
Снижение оценки
|
|
Внешний вид
|
1. Обработка компонентов произведена не полностью; 2. Не
соответствие нарезки компонентов; 3. Несоответствие набора компонентов; 4. Не
соблюдено соотношение компонентов; 5. Наличие комочков заварившейся; муки,
крахмала и манной крупы, хлопьев свернувшихся яиц, не протертых частичек; 6.
Несоответствие формы изделия или нарезки продукта; 7. Отклонение в оформлении
блюда: 7.1 Незначительно отличающийся от характерного (жареные изделия имеют
на поверхности темноокрашенные вкрапления); 7.2 Слабоокрашенные или
темноокрашенные не свойственные для блюда интенсивность окраски жареных блюд
(для изделий не характерная); 7.3 Не свойственная окраска изделий, блюд (в
том числе на разрезе) или их компонентов.
|
0,5 0,5 1,0 1,0 1,0 1,0 0,5 1,0 2,0
|
|
Запах
|
1. Немного не типичный, с небольшим преобладанием одного
какого-либо компонента, аромат специй слабо выражен; 2. Слабо выраженный,
малотипичный с заметным преобладанием одного компонента, слабый посторонний;
3. Посторонний, неприятный, нетипичный (пригорелый, кислый или другой, крайне
не желательный).
|
1,0 2,0 3,0
|
|
Вкус
|
1. Характерный, слабовыраженный, вкус специй не ощущается,
слегка пересоленный; 2. Нетипичный, нежелательный, слишком острый, соленый,
сладкий, кислый; 3. Посторонний, неприятный привкус прокисших, подгоревших,
несвежих продуктов, прогорклого осалившегося жира.
|
1,0 2,0 3,0
|
|
Консистенция
|
1. Неоднородная; 2. Крошливая; 3. Слабая.
|
2,0 2,0 3,0
|