Организация контроля качества в сфере услуг (на примере ООО 'Алиса' - 'Стейк-Хауз')

  • Вид работы:
    Дипломная (ВКР)
  • Предмет:
    Менеджмент
  • Язык:
    Русский
    ,
    Формат файла:
    MS Word
    998,68 Кб
  • Опубликовано:
    2012-12-01
Вы можете узнать стоимость помощи в написании студенческой работы.
Помощь в написании работы, которую точно примут!

Организация контроля качества в сфере услуг (на примере ООО 'Алиса' - 'Стейк-Хауз')















Дипломный проект на тему:

ОРГАНИЗАЦИЯ КОНТРОЛЯ КАЧЕСТВА В СФЕРЕ УСЛУГ

(На примере ООО «АЛИСА» - «СТЕЙК-ХАУЗ»)

Введение

Все кулинарные изделия должны соответствовать нормативным документам, изготавливаться из качественного сырья с применением технологических процессов, обеспечивающих выпуск высококачественной продукции и положительно влиять на здоровье человека.

Особое значение имеют изделия, предназначенные для детского и диетического питания.

На крупных предприятиях общественного питания, как правило, качество выпускаемой продукции высокое. Однако иногда отдельные предприятия не уделяют должного внимания санитарным, технологическим, и рецептурным нормам, что отражается на качестве предлагаемых населению услуг.

В условиях жесткой конкуренции в целях повышения конкурентоспособности предприятий необходимо устранять недостатки и строго следить за качеством производимой продукции.

Особый интерес представляет возможность внедрения в практику предприятий Международной системы качества ИСО - 9000. Она нацелена на предотвращение самого брака, а не его последствий. Внедрение такой системы в общественное питание станет эффективным механизмом, гарантирующим стабильный выпуск высококачественной продукции.

За последние годы российский рынок освоили иностранные компании, открывающие рестораны национальной кухни. Широкий ассортимент блюд прекрасно оформлен, но около 30% производимых блюд и кулинарных изделий низкого качества, порой даже небезопасного для здоровья человека. Федеральный закон «О качестве и безопасности пищевой продукции» призван коренным образом изменить сложившееся положение.

Увеличение объемов производства и повышение качества кулинарных изделий, особенно для диетического, профилактического и детского питания возможно лишь на основе новейших научных разработок, технического перевооружения ныне действующих предприятий общественного питания, повышения уровня профессионализма работников, повышения уровня контроля и развитие системы управления качеством.

Система управления качеством воздействует на процесс тем, что организует и регламентирует выполнение, в том числе и таких функций как разработка политики качества на предприятии, контроль качества продукции на всех этапах ее создания и др.

Контроль качества в системе направлен на предотвращение выпуска продукции, не соответствующей нормативной документации; внедрение новых методов и средств контроля технологического процесса и продукции; внедрение статистических методов контроля качества; совершенствование системы организации контроля качества.

Комплексный подход в решении задач увеличения производства кулинарных изделий при повышении качества продукции позволит обеспечить потребителя безопасной продукцией предприятий общественного питания.

В связи с этим любой фирме необходимо зарекомендовать себя на рынке как производителя качественной и доступной продукции. Но также зарекомендованное имя фирмы может быть уничтожено одним её неверным шагом - снижением качества выпускаемых товаров, в этом случае потребитель остановит свой выбор на продукции конкурентной фирмы.

Глава 1. Общая характеристика работы


1.1 Актуальность исследования


Одним из важнейших направлений повышения эффективности современного бизнес-производства является создание высоких технологий в области повышения качества общественного питания. В наибольшей степени этим требованиям отвечает производство питания в ресторанном бизнесе.

Потребность России в современных предприятиях общественного питания значительно превышает эту потребность за рубежом.

Необходимость увеличения ассортимента и объемов производства отечественных продуктов питания обусловила также существенное расширение парка оборудования для предприятий общепита.

Настойчивый рост ресторанов, кафе, предприятий быстрого питания говорит сам за себя.

Однако качество блюд не всегда отвечает нормативным документам. Возможны срывы из-за поставки некачественного сырья и плохой работы оборудования, недообученности или недобросовестности персонала, без должной инициативы администрации и других причин.

Таким образом, качество продукции на предприятиях общественного питания является одной из важнейших сторон современной индустрии питания.

Разработка современных технологий приготовления кулинарных изделий и организация производства различных типов предприятий общественного питания с высокими качественными показателями услуг являются в современных условиях весьма актуальны.

Актуальность данного проекта подтверждается высоким спросом на услуги предприятий общественного питания и необходимостью повышать качество этих услуг.

1.2 Цель и задачи исследования

Целью настоящей дипломной работы являлось изучение перспективных направлений повышения качества, эффективности и безопасности предоставляемых услуг в сфере общественного питания.

Для достижения цели были поставлены следующие задачи:

§  анализ современного состояния обеспечения качества и безопасности предоставляемых услуг в сфере общественного питания;

§  анализ возможных нарушений при предоставлении услуг;

§  систематизация данных о причинах отклонения от норм, связанных с нарушениями функционирования всех систем организации;

§  анализ и оценка факторов риска возникновения ситуаций на объекте, приводящим к снижению качества предоставляемых услуг.

§  Стандартизация на предприятиях общественного питания

 

.3 Объект исследования


Объектом исследования является городской ресторан ««Стейк-Хауз»» на 50 посадочных мест.

 

.4 Методы исследования


Проверка основных теоретических положений проводилась на базе городского ресторана ««Стейк-Хауз»».

проведена сравнительная оценка теоретических выводов на всех видах услуг ресторана ««Стейк-Хауз»»;

изучены все группы рисков на предмет появления нарушений;

изучена нормативно-техническая документация предприятия и проведено соответствие ее технологическим процессам по цехам.

методом сравнительного анализа изучена стандартизация продуктов;

определены органолептические, физико-механические и химические показатели качества отдельных видов сырья и готовой продукции.

установлены мероприятия, повышающие качество услуг и затраты на их проведение.

Глава 2 Аналитическая часть.

Вопросами качества человечество озадачено с незапамятных времен, когда требовалось дать различие между, как минимум, двумя предметами такими простейшими понятиями как «хорошее» - «плохое». Однако философское определение качества принадлежит великому В.Гегелю, немецкому философу 19 века: «Качество есть в первую очередь тождественная с бытием определенность, так что нечто перестает быть тем, что оно есть, когда оно теряет свое качество».

В России, начиная с 1970 года, термин «качество продукции» является стандартизованным понятием (ГОСТ РФ 15467 - 79 Управление качеством продукции. Основные понятия и определения).

С 1986 года Международной организацией по стандартизации ИСО были сформулированы термины по качеству для всех отраслей бизнеса и промышленности.

А в 1987 году были разработаны и введены международной организацией по качеству стандарты ИСО-9000 (International standart organisation ISO - 9000).

В настоящее время они применяются более чем в 200 странах мира. Эти стандарты направлены на обеспечение единства в создании и управлении системами качества на предприятиях.

Стандарты ИСО определяют взаимоотношения между поставщиком и потребителем. Они должны обеспечивать производителю уверенность в том, что технологический процесс и разработанная для управления им система качества на предприятии обеспечивает или сможет обеспечить необходимый уровень качества.

Потребителю стандарты ИСО должны обеспечивать уверенность в том, что заявленный поставщиком уровень качества продукции будет достигнут. Использование стандартов ИСО во взаимоотношениях между производителем и потребителем, даёт возможность потребителю осуществить контроль системы качества поставщика. Такой контроль может производиться потребителем самостоятельно, либо с привлечением третьей стороны независимой экспертной организации.

Стандарты серии ИСО могут использоваться в нескольких различных организациях:

) ИСО 9001 - применяется в тех случаях, когда необходим контроль на стадиях проектирования, производства, монтажа, эксплуатации и обслуживания.

) ИСО 9002 - данный стандарт используется в тех случаях, когда поставщик должен обеспечить контроль качества в процессе производства, монтажа и обслуживания продукции.

) ИСО 9003 - используется в тех случаях, когда контроль качества со стороны поставщика должен быть обеспечен только в процессе окончательного контроля и испытания.

Практика показала, что может быть выбран один наиболее полно соответствующий потребностям и поставщика и потребителя.

В 1994 году терминология по качеству была уточнена и стандартизовано следующее определение качества: качество - совокупность характеристик объекта, относящихся к его способности удовлетворять установленные и предполагаемые потребности.

Объектом может быть деятельность или процесс, продукция, организация, система или отдельное лицо, а также любая комбинация из них.

Характеристикой объекта является взаимосвязь между зависимыми и независимыми переменными, выраженными в виде текста, таблицы, математической формулы, графика.

Рассматривая определения понятия «качество», следует помнить, что понятие «качество» всегда относительно. На мировом рынке всегда имеется большое количество различных моделей, типов изделий одинакового назначения. И всегда имеется фирма - изготовитель, которая выпускает самые лучшие изделия данного вида, которые будут на данный момент времени являться эталоном для этих изделий. Поэтому понятие «высокое качество» применительно к промышленному изделию означает, что функциональные свойства изделия, материал, из которого оно изготовлено, отделка и внешний вид выше среднего уровня.

Изделия высокого качества должны отражать достижения технического прогресса, отвечать требованиям производства и иметь себестоимость, экономически оправдывающую их выпуск. Они должны быть надежны и долговечны в эксплуатации, быть простыми при эксплуатации и уходе, безопасными в эксплуатации, иметь рациональную и миниатюрную конструкцию, иметь красивый внешний вид.

Качество изделия зависит от большого числа свойств изделия. Чтобы объективно судить о качестве, необходимо знать количественные значения свойств изделия и иметь методику для сравнения одного изделия с другим (эталоном) для получения измеримой оценки качества.

 

.1 Анализ затрат на качество


Всякий товар обладает двумя свойствами: потребительной стоимостью и стоимостью.

Анализ затрат на качество можно рассматривать как экономическую оценку эффективности системы, а результаты такого анализа берутся за основу при принятии решения по совершенствованию программ обеспечения качества. Информация о расходах должна быть в центре постоянного внимания руководства фирмы как для контроля, так и для увязки этих затрат с другими статьями расходов организации. Затраты на качество должны рассматриваться как основа установления размера вложений в систему обеспечения качества. Снижение расходов на качество - одна из главных целей системного управления качеством.

В рамках систем управления и контроля качеством затраты на качество обычно классифицируют на затраты (расходы) изготовителя и другие расходы. Затраты изготовителя складываются из предупредительных, оценочных, затрат из-за внутренних отказов, издержек из-за внешних отказов.

Предупредительные затраты включают расходы, связанные с планированием качества; организацией и внедрением системы управления качеством; разработкой требований к контролю качества сырья и материалов, производственных процессов и выпускаемой продукции; подготовкой методик, инструкций и т.п.; анализом качества на допроизводственной стадии. Сюда же относятся затраты на контроль технологического процесса, контрольного и испытательного оборудования; расходы на создание программ обучения и подготовки кадров в области управления качеством; расходы на совершенствование систем обеспечения качества; разного рода организационные расходы (заработная плата управленческого аппарата, командировочные расходы и пр.).

Оценочные затраты складываются из расходов на оценку качества. Это затраты на испытания и приемочный контроль исходных материалов. К оценочным относятся также расходы на аттестацию качества продукции (оплата услуг, предоставляемых независимыми испытательными центрами или лабораториями, страховыми фирмами и т.п.); расходы на отгрузку продукции; испытание продукции в эксплуатации (проведение испытаний у потребителя, командировочные расходы работников организации, направленных для этой цели к потребителю).

Затраты из-за внутренних отказов образуются по причинам потерь качества, обнаруженных до отправки изделий заказчику.

Издержки из-за внешних отказов включают: расходы на доработку товара в течение гарантийного срока по рекламациям покупателей; расходы по устранению дефектов в процессе технического обслуживания; штрафы за низкое качество в рамках юридической ответственности за качество; расходы, связанные с возвратом товара ненадлежащего качества.

Другие затраты на качество обычно возникают из-за выполнения таких производственных операций, которые можно вполне исключить, и их существование объясняется неуверенностью изготовителя в качестве производимой продукции.

Расходы поставщиков на качество должны обязательно приниматься во внимание потребителем, поскольку они влияют на уровень закупочных цен.

Непредвиденные расходы выражаются в уменьшении объема сбыта вследствие возникновения отрицательной реакции покупателей на товары организации.

Затраты на аппаратуру и приборы, обеспечивающие информацию о качестве, очень возросли с автоматизацией контроля качества и использованием ЭВМ. Обычно при планировании этих расходов выясняется возможность снижения расходов на качество в результате внедрения микропроцессоров и ЭВМ, а также увеличения срока службы аппаратуры (т.е. окупаемость расходов на дорогостоящее оборудование).

Расходы на качество, связанные с потреблением товара. Этим расходам организации уделяют много внимания, так как в конечном итоге они отражаются на объеме сбыта продукции. Информация о расходах у потребителя служит основанием для внесения соответствующих изменений в систему обеспечения качества.

Основные цели, преследуемые компаниями при введении программ затрат на качество, следующие:

. Определение масштаба проблем с качеством.

. Выявление основных возможностей снижения затрат. Затраты из-за плохого качества неоднородны.

. Поиск возможностей для уменьшения неудовлетворенности заказчика и связанной с этим угрозы для сбыта товаров.

Анализ затрат изготовителя, дополненный маркетинговым исследованием потерь заказчика из-за плохого качества, позволяет выявить некоторые жизненно важные области высоких затрат.

. Стимулирование улучшения качества путем доведения результатов до общественности.

Высшему руководству нужно представлять информацию, содержащую:

общий объем затрат на качество;

их долю в областях вне производства;

главные возможности улучшений.

Без оценок затрат в цифрах общение с высшим руководством идет вяло и мало эффективно.

 

.2 Стоимость плохого качества


Разработка программы затрат, как правило, начинается с определения статьи расходов на качество в рамках рассмотренной выше классификации. По каждой статье предусматривается ведение отчетности на основе анализа и контроля. По данным американских экспертов, затраты на качество многих фирм достигают 20% от суммы продаж, причем наблюдается их ежегодный рост на 5-7%. Внедрение же эффективной системы управления качеством, работающей по принципу предупреждения, а не обнаружения дефектов, позволяет снизить уровень затрат на качество до 2,5%.

Наиболее важная цифра в изучении затрат на качество - сумма расходов, которую лучше представлять в виде следующих соотношений:

. Затраты на качество как процент от продаж.

. 3атраты на качество в сравнении с прибылью.

. Затраты на качество сравниваются с величиной текущих проблем.

Полезно сравнить затраты на качество в основных категориях. Во многих компаниях оценочные затраты закладываются в бюджет и, следовательно, служат предметом для обсуждения. Часто затраты на предупреждение ничтожно малы по сравнению с суммарными затратами, и инстинктивной реакцией руководителей становится тщательный поиск возможностей увеличения затрат на предупреждение. Взаимосвязь между издержками из-за внешних отказов также имеет значение. Первые обычно указывают на необходимость совершенствования производства и самого производства, вторые - на необходимость улучшения процесса проектирования продукции и технологического обслуживания в условиях эксплуатации.

 

.3 Оптимальное качество продукции


Основой выявления затрат является анализ производственной деятельности. Контроль качества во многих компаниях следует шаблону - раз дефекты учащаются, надо ужесточать контроль. Такой подход недостаточен, поскольку он обычно не устраняет причины дефектов. Чтобы добиться значительного и стойкого снижения затрат, нужно задействовать структурированный процесс для борьбы с главными источниками потерь - издержками из-за отказов. Это требует неустанной работы на основе от проекта к проекту. Сами проекты, в свою очередь, нуждаются в ресурсах различных типов.

Чтобы запустить процесс и получить нужные ресурсы, их следует обосновать ожидаемыми выгодами. Для обоснования годятся разные аргументы. Например, можно:

. Показать, что затраты достаточно велики, так что они оправдывают действия.

. Привести успешный пример улучшения качества в компании и, опираясь на него, обосновать необходимость в более широкой программе.

. Высветить шансы, даваемые снижением затрат вместе с идентификацией проектов улучшений. Важный инструмент в идентификации проектов - анализ Парето, позволяющий отделить несколько жизненно важных элементов на качество от многих полезных.

. Сравнить возврат на инвестиции в связи со снижением издержек из-за плохого качества с возвратом на инвестиции от увеличения продаж.

. Подсчитать увеличение возвратов на инвестиции вследствие улучшения качества.

. Показать влияние улучшения качества на доходы от продаж. Хотя может оказаться, что рост доходов от продаж оценить трудно, этот неосязаемый фактор способен помочь обосновать программу улучшения качества.

Качество изделий не может быть очень низким, так как в этом случае такие изделия не будут удовлетворять потребности потребителей и будут ими отвергаться, особенно когда у потребителя есть возможность выбора. С другой стороны, качество изделий не может быть и слишком высоким, так как достижение очень высокого качества потребует больших затрат. Соответственно цена изделий будет очень высокой, и такие изделия будут просто недоступны массовому потребителю.

Следовательно, при решении проблемы, какой уровень качества продукции необходимо обеспечивать в процессе ее массового производства? - должны быть четко сформулированы критерии достижения оптимального качества.

Для решения этой проблемы имеется несколько подходов, однако, во всех случаях критерии оптимального качества имеют экономическую основу.

Если изделие соответствует назначению, полностью выполняет функциональные предназначения, то нет никакой необходимости изготовлять ее более качественно, использовать другое, дорогое сырье.

Следует отметить, что уровень оптимального качества с течением времени изменяется в сторону его увеличения. Это объясняется двумя обстоятельствами:

) потребители с течением времени предъявляют все более высокие требования к качеству. Следовательно, цена, приписываемая конкретному изделию, непрерывно уменьшается;

) совершенствование технологии, улучшение организации производства позволяет производителю снижать затраты, производить продукцию более высокого качества не увеличивая затрат.

2.4 Политика в области стандартизации и качества в системе пищевой промышленности и общественного питания


Производство пищевой и кулинарной продукции является подконтрольным надзорным органам, что обеспечивает их безопасное потребление. Все произведенные блюда должны быть безопасными.

В промышленно развитых странах за качеством и безопасностью пищевой продукции следит система ХАССП нередко обозначаемая НАССР - «Hazard Analysis and Critical Control Points», т.е. «Анализ рисков и критические контрольные точки».

Система добровольной сертификации ХАССП также действует и в России на основе государственного стандарта ГОСТ Р 51705.1-2001 «Управление качеством пищевых продуктов на основе принципов ХАССП. Общие требования».

В качестве национального стандарта введен в действие ГОСТ Р ИСО 22000 гармонизированный с международным стандартом ИСО 22000 «Системы менеджмента безопасности пищевой продукции. Требования к организациям, участвующим в цепи создания пищевой продукции". ГОСТ Р 51705.1-2001 и ГОСТ Р ИСО 22000 позволяют разрабатывать систему ХАССП по наиболее приемлемому корпоративному варианту на местах не отклоняясь от требований международных стандартов по системе менеджмента и соблюдая международный уровень.

Все виды продукции, технологии и услуг имеют определенный жизненный цикл. Успех маркетинговой деятельности предприятия зависит от степени согласованности различных стадий основных жизненных циклов, т.е. индивидуального жизненного цикла продукции и общего отраслевого жизненного цикла отрасли в целом. Ситуация на рынке меняется на каждой стадии жизненного цикла и требует соответствующего изменения стратегии и тактики поведения предприятия на рынке.

Гипотетически жизненный цикл, например, реконструкция участка цеха под производство нового фирменного блюда или новой услуги, может быть следующим:

Рисунок 1 - Жизненный цикл продукции

Характеристики стадий и соответствующие действия предприятия приведены под каждой из стадий.

Этапы жизненного цикла охватывают стадии от получения сырья до использования продукта конечным потребителем.

Первым этапом, позиция 1 жизненного цикла, являются маркетинговые исследования, включающие анализ проблемы, поиск и изучение рынка сбыта. Необходимость производить то, что определяется спросом потребителя.

Блок А охватывает: 2 - научно-теоретические исследования, необходимые для уточнения проблемы; 3 - изучение и подбор сырьевой базы, определяемой местными ресурсами на основе экономического анализа; 4 - разработку технологической схемы производства; 5 - подбор оборудования; 6 - реконструкция участка цеха; 7 - согласование.

Второй этап - позиция 8 - это маркетинг, включающий управление качеством, обеспечение качества в процессе производства блюда.

Блок Б охватывает: 9 - обучение персонала, обслуживающего операции процесса производства; 10 - материально-техническое обеспечение сырьем, материалом, приборами, оборудованием; 11 - подготовка производства, включающего все моменты подготовки помещений, складов, доставки, хранения сырья, выполнения правил по охране труда и безопасности производства; 12 - производство, стабильность которого позволяет снизить риски; 13 - контроль (для более крупного пищевого производства - производственные испытания); 14 - упаковка (оформление и хранение); 15 - реализация; 16 - техническая помощь в обслуживании.

Третий этап - позиция 17 - утилизация отходов, включая экологические исследования безопасности.

Задачи службы маркетинга на каждой стадии жизненного цикла продукции должны быть направлены на максимальное приспособление своей деятельности к изменениям рыночной ситуации.

На начальной стадии жизненного цикла новой продукции или услуги потенциальным потребителям необходимо объяснять, какую его потребность она может удовлетворить наилучшим способом.

На промежуточной и заключительных стадиях жизненного цикла вся деятельность службы должна быть направлена на "подавление" конкурирующей продукции или услуги. Главный упор должен делаться на преимуществах предприятия относительно конкурирующей. Необходимо сделать всё, чтобы как можно дольше удерживать существующий объём продаж и завоеванную долю рынка.

Таким образом, управление качеством на всех этапах жизненного цикла продукции, как правило, обеспечивается системой качества предприятия.

2.5 Контроль качества продукции


Контроль - это деятельность, включающая проведение измерений, экспертизы, испытаний или оценки одной или нескольких характеристик объекта и сравнение полученных результатов с установленными требованиями для определения, достигнуто ли соответствие по каждой из этих характеристик.

Объектами контроля служат предметы труда, средства производства, технологические процессы, готовая продукция, состояние приборов для измерений.

Формирование качества пищевой продукции происходит в течение длительного периода и зависит от условий, создаваемых технологическими операциями.

Контроль качества можно разделить на:

технический контроль качества;

статистические методы анализа качества.

2.5.1 Технический контроль качества


Технический контроль - это процедура, которая заключается в проверке соответствия объекта контроля установленным требованиям нормативной и технической документации с использованием различных методов контроля (см. ниже).

Рисунок 2 - Классификация видов технического контроля

Различают несколько признаков, по которым можно классифицировать процедуру технического контроля:

§  входной контроль - осуществляют при поступлении сырья или продукции;

§  текущий - контроль, выполняемый для оценки соответствия качества продукции требованиям нормативных документов;

§  операционный - контроль во время выполнения или после завершения технологической операции;

§  приемочный - контроль продукции, по результатам которого принимаются решения о ее пригодности;

§  инспекционный - выполняют специально уполномоченные лица с целью проверки эффективности ранее выполненного контроля (операционного, приемочного).

В зависимости от степени влияния на технологический процесс или продукцию контроль подразделяется на активный и пассивный. Активный контроль позволяет совершенствовать организацию, а пассивный констатирует факт.

При сплошном контроле вся продукция подлежит контролю, при выборочном - отдельные единицы продукции.

При разрушающем контроле продукция не подлежит дальнейшему использованию, а при неразрушающем - бездефектные изделия могут быть переданы на дальнейшую технологическую операцию.

Каждое отдельное несоответствие продукции установленным требованиям называется дефектом. Продукция с критическими дефектами называется брак.

Решение проблемы некачественной или дефектной продукции через усиление технического контроля равноценно увеличению расходов. Поэтому технический контроль следует рассматривать как одну из функций в системе мероприятий по управлению качеством.

 

.5.2 Статистические методы анализа качества

Статистические методы являются важным средством повышения эффективности производственных процессов и качества продукции. В стандартах ИСО 9001-ИСО 9003 записано: «В случае необходимости поставщик должен разрабатывать процедуры, обеспечивающие выбор статистических методов, необходимых для проверки возможности технологического процесса и приемлемости характеристик продукции».

Для решения проблем, связанных с качеством продукции, широко применяются 7 традиционных методов (инструментов) качества, а именно гистограммы, временные ряды, диаграммы Парето, причинно-следственные диаграммы, контрольные листки, контрольные карты, диаграммы рассеяния.

Известный японский специалист по качеству профессор К. Исикава говорил: «Основываясь на опыте своей деятельности, могу сказать, что 95% всех проблем фирмы могут быть решены с помощью этих семи приемов».

Области применения «инструментов» качества представлены на рисунке. Здесь же автор предлагает еще два приема, часто используемые на начальной стадии работы: мозговая атака и схема процесса.

Суть методов следующая.

Мозговая атака используется, чтобы помочь группе выработать наибольшее число идей по какой-либо проблеме в возможно короткое время.

Схема процесса - проследить фактические стадии процесса, чтобы можно было определить отклонения.


Рисунок 3 - Область применения «инструментов» качества: 1 - выявление проблем; 2 - анализ проблем.

То есть, из многих статистических методов, все шире применяемых в настоящее время, надо выбирать наиболее понятные и легко применимые. Анализ качества продукции позволяет выявить связь между ритмичностью производственного процесса, его производительностью, стоимостью и качеством продукции.

Контрольный листок (таблица проверок) позволяет ответить на вопрос: «Как часто случается определенное событие ?»

Временной ряд (линейный график) применяется, когда требуется самым простым способом представить ход изменения наблюдаемых данных за определенный период времени.

Гистограмма применяется, когда требуется исследовать и представить распределение данных о числе единиц в каждой категории с помощью столбикового графика.

Диаграмма рассеяния (разброса) применяется, когда требуется представить, что происходит с одной из переменных величин, если другая переменная изменяется, и проверить предположение о взаимосвязи двух переменных величин.

Контрольная карта (контрольный листок) применяется, когда требуется установить, сколько колебаний в процессе вызывается случайными изменениями и сколько обязаны чрезвычайным обстоятельствам или отдельным действиям, чтобы определить, поддается ли процесс статистическому регулированию. Форма бланка должна быть ясной, а заполнение предельно честным, точным и четким. Регистрация событий в контрольном листке позволяет выявить ритм выброса измеряемой величины, частоту появляющихся дефектов и др.

Таблица 1 - Контрольный листок

 Проблема

Месяц

Общее число случаев данного события


1-я неделя

2-я неделя

3-я неделя


Проблема № 1

Отказ 1






Отказ 2






……






Отказ n -й





Проблема № 2

Отказ 1





Общее число проблем за неделю






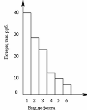
Диаграмма Парето применяется, когда требуется представить относительную важность всех проблем или условий с целью выбора отправной точки для решения проблем, проследить за результатом или определить основную причину проблемы.

В 1897 г. итальянским экономистом В. Парето была предложена формула, описывающая неравномерность распределения благ, которая в дальнейшем была переработана, усовершенствована учеными нескольких стран и в настоящее время широко представлена в Японии для решения многочисленных задач экономического плана. Это есть форма вертикального столбикового графика, которая помогает определить, какие имеются проблемы, и выбрать порядок их решения.

Рисунок 4 - Диаграмма Паретто

- брак по внешнему виду: 2 - низкие потребительские характеристики: 3 - повышенное содержание микроорганизмов; 4 - наличие продуктов окисления жиров: 5 - порча при хранении: 6 - наличие пестицидов.

Наглядное представление выявленных причин и потерь позволяет планировать мероприятия по их устранению.

Значения наименьшего столбика указывают, что в данный момент эта проблема не требует активного вмешательства в ее решение.

Причинно-следственная диаграмма <#"583878.files/image005.gif">

Рисунок 5 - Причинно-следственная диаграмма Исикавы

При построении диаграммы все факторы различают по значимости: факторы 1 порядка обозначаются большими наклонными стрелками, факторы II, III и так далее порядка малыми наклонными стрелками.Порядок построения причинно-следственной диаграммы следующий:

1.           Описывается выбранная проблема с указанием ее особенностей, места и времени возникновения и область ее распространения.

2.       Перечисляются причины, для этого:

проводится мозговая атака, на которой обсуждаются все возможные причины без предварительной подготовки;

внимательно прослеживаются все стадии производственного процесса и на контрольных листках указываются возможные причины возникающей проблемы;

строится действительная причинно-следственная диаграмма;

изучаются все взаимосвязи, особое внимание уделяется повторяющимся причинам.

2.6 Статус контроля


Существуют различные способы выявления состояния изделий во время процесса производства. Речь идет о системе идентификации, которая быстро указывала бы на состояние изделия: ожидает контроля, уже проверено и принято; проверено и забраковано. Например:

* изделия или партии, ожидающие контроля, не маркируются;

* изделия или партии, прошедшие контроль и принятые, отмечаются зеленым клейким ярлыком;

* изделия или партии, прошедшие контроль и забракованные, помечаются красным клейким ярлыком или на ярлыке делается надпись «забраковано».

2.7 Методы определения уровня качества продукции

Для определения уровня качества продукции и соответствие его стандартам и техническим условиям применяются следующие методы:

. Измерительный метод - при помощи инструментов, приборов.

. Регистрационный метод - основан на регистрации и подсчете: числа определенных событий (например, отказов при испытаниях) или предметов (например, стандартизированных, унифицированных, оригинальных, защищенных патентами).

. Вычислительный метод - основывается на применении специальных математических моделей для определения показателя качества продукции.

. Органолептический метод - предусматривает анализ восприятия человеческих органов чувств - зрения, слуха, обоняния, вкуса, осязания. Точность и достоверность найденных значений зависят от квалификации, навыков и способности лиц, их определяющих.

. Социологический метод - осуществляется на основе сбора и анализа мнений о продукции ее фактических или возможных потребителей.

. Экспертный метод - реализуется группой специалистов, например технологов, дегустаторов.

Предприятие по своему усмотрению может выбрать один или несколько методов (или же всю их совокупность) определения качества продукции для получения более точных результатов контроля.

Глава 3. Контроль качества услуг общественного питания

 

.1 Краткая история развития общественного питания


Кулинария доступна человечеству с незапамятных времен, а развитие профессиональной кулинарии связано с появлением предприятий внедомашнего питания (корчмы, трактиры и т.п.). Именно в трактирах и ресторанах получила развитие профессиональная кулинария, в основе которой лежала народная кухня.

Трактиры пользовались огромным успехом. Каждый из трактиров отличался своими обычаями, своим особым блюдом, имел своих постоянных посетителей. В трактире были огромные залы, а также ряд кабинетов, где за именитыми купцами закреплялись столы, которые до определенного часа никто не имел права занимать.

Современные рестораны отличаются от трактиров: изменились интерьер, качество и сервис обслуживания, но цель осталась неизменной - доставить посетителю ресторана приятное чувство от вкусно приготовленных, красиво оформленных блюд и высокого класса обслуживания.

Ресторан - это предприятие общественного питания, в котором реализация широкого ассортимента блюд, изготавливаемых в основном по индивидуальным заказам посетителей, сочетается с организацией их отдыха.

Рестораны организуют обслуживание торжественных и официальных приемов, совещаний, конференций, съездов; они могут проводить вечера отдыха с музыкальными и эстрадными представлениями.

Кухня (меню) ресторана отличается от меню столовых и бистро, как правило, широким ассортиментом вин, напитков, кулинарных и кондитерских изделий, их оформлением, вкусом. Кулинарные блюда и кондитерские изделия готовят повара и кондитеры, достигшие высокого профессионального мастерства, знающие тонкости приготовления блюд и напитков. Многие рестораны специализируются на приготовлении только национальных блюд или блюд зарубежной кухни, например в китайском ресторане подают блюда китайской кухни, а в обслуживании проявляется китайский колорит.

В качестве дополнительных услуг рестораны организуют реализацию кулинарных и кондитерских изделий через магазины кулинарии, столы заказов, буфеты и бары ресторанов, принимают заказы по обслуживанию на дому.

Помимо городских ресторанов выделяют рестораны, размещающиеся при гостиницах, железнодорожных вокзалах, аэропортах. Рестораны, расположенные на улицах и проспектах, должны на входе иметь табло с режимом работы, а на фасаде здания - вывеску с названием ресторана (ресторан «Словакия», ресторан «Виктория»), хорошо освещенную в вечернее время. Подъезд к ресторану должен хорошо освещаться и располагать местом для парковки автомашины.

Государственный стандарт Российской Федерации (ГОСТ Р500762-95) устанавливает классификацию ресторанов в зависимости от качества предоставляемых услуг, интерьера, а также ассортимента заказных и фирменных блюд и изделий. На основании совокупности этих отличительных признаков рестораны подразделяются на три класса - люкс, высший класс и первый .

Ресторан класса «люкс» характеризуется современным интерьером, наиболее высоким по сравнению с другими ресторанами, уровнем комфортности и разнообразием предоставляемых услуг.

Ресторан высшего класса также характеризуется высоким уровнем комфортности за счет оборудования и удобной мебели, оригинальностью интерьера, надлежащим микроклиматом за счет кондиционирования воздуха, высоким качеством обслуживания посетителей и разнообразием кулинарных, кондитерских изделий, блюд и напитков. Многие рестораны этого класса специализируются на приготовлении национальных блюд, в меню могут включаться фирменные блюда, напитки и закуски, которые готовятся только здесь. Как правило, в меню входит меньшее количество блюд, чем в ресторане класса «люкс», рецептуры их менее сложны.

Ресторан первого класса характеризуется простотой и оригинальностью интерьера, гармоничностью и комфортностью. В интерьере используются декоративные элементы, создающие единство стиля, учитываются наименование ресторана, специфика кухни и другие факторы.

Рестораны быстрого обслуживания в мировой практике известны давно, но система фастфуд начала развиваться стремительными темпами приблизительно с середины ХХ в. Рынок «быстрой еды» переживает в настоящее время свой золотой век.

Обслуживание в системе фастфуд занимает считанные минуты. При этом существуют два вида обслуживания:

) кассир принимает заказ и сам (или его помощник) приносит выбранные клиентом блюда;

) посетитель с подносом проходит вдоль прилавков, выбирает блюда и в конце расплачивается в кассе.

Основная черта подобных предприятий - это быстрота. В соответствии с этим определяются многие детали. Меню должно быть представлено понятно и наглядно, чтобы клиент быстро сделал выбор, сбалансировано и ограничено по ассортименту. Распространенное для фастфуда явление - наличие монопродукта, на котором держится все меню. Это могут быть бургеры, сэндвичи, пицца, буррито, печеная картошка или блины.

Сетевые рестораны имеют в России довольно долгую историю. Существовала целая сеть похожих трактиров, имевших одного владельца, но называвшихся по-разному. Сейчас, как правило, сетевые рестораны имеют одно название. Для клиентов это удобно. Такие рестораны основываются на подсознательном желании человека пользоваться знакомыми ему вещами.

Особенности организации работы в ресторане определяются качеством предоставляемых услуг, уровнем и условиями обслуживания. Большое значение имеет направленность ресторана, определяемая целью и местом организации: при железнодорожном транспорте, в аэропортах, на теплоходах и судах, при гостиницах и др.

 

.2 Характеристика ресторана ««Стейк-Хауз»»


Ресторан высшего класса ««Стейк-Хауз»» на 50 посадочных мест расположен на Лиговском проспекте, одном из самых многолюдных проспектов Санкт-Петербурга. Вход в ресторан отдельный с проспекта, 1 этаж, здание 5-ти этажное, парковки нет.

Ресторан оснащен всем необходимым оборудованием в соответствии с требованиями Роспотребнадзора. Интерьер, посуда, инвентарь соответствуют заявленному классу обслуживания.











Рисунок 1 - Структура служб ресторана

Контроль на предприятии осуществляется как внешний, так и внутренний. Внешний контроль осуществляется специалистами санэпидемстанции (служба Роспотребнадзора); Госторгинспекцией (Министерство торговли); Налоговыми органами (фискальные органы); Пожарной охраной и Милицией (Министерство внутренних дел);

Внутренний контроль производства осуществляется по схеме работы служб ресторана.

Как часть локального организационного проекта составляются должностные инструкции, как на служащих, так и на руководителей подразделения. В приложении Ж и З представлены инструкции по технике безопасности повару и должностная инструкция на главного технолога ресторана «Стейк-Хауз». Главный технолог (зав.производством) является одним из руководителей ресторана, отвечающим за весь технологический процесс, качество и безопасность готовой продукции.

3.3 Схема технологических потоков на предприятии


Качество выпускаемой продукции зависит от соответствия всех служб ресторана требованиям определенных правил ведения технологического процесса. В ресторане этому придается большое значение. Строгое соответствие всех служб ресторана требованиям и соблюдение правил ведения технологического процессов начинается с размещения функциональных групп помещений. Производственная группа помещений размещена в единой функциональной зоне, оснащенной оборудованием и средствами механизации процессов. Потоки сырья, готовой продукции и отходов не пересекаются. Сырье овощное, мясное, рыбное, птица или полуфабрикаты, сырье свежее, замороженное, охлажденное - все передается на кратковременное хранение по строго определенным секциям склада или холодильника, распределяясь на подтоварниках, стеллажах или функциональных емкостях. Особое внимание уделяется срокам условиям хранения полуфабрикатов и готовой продукции.


Рисунок 6 - Схема технологического потока сырья, готовой продукции и отходов

Различное сырье обрабатывается в соответствии с технологическим процессом, установленным нормативной документацией на продукцию, например ТУ.

Технологическая схема выпуска кулинарной продукции может быть представлена в следующем виде.

Рисунок 7 - Технологическая схема выпуска кулинарной продукции представлена ниже.

3.4 Нормативная документация


К нормативной документации предприятия общественного питания относятся технические регламенты на продукцию, отраслевые стандарты, ТУ, ТТК, ТК, бракеражный журнал, а также сертификат соответствия и гигиенический сертификат. Сотрудники ресторана должны иметь правильно заполненные медицинские книжки.

Производственная программа предприятия общественного питания характеризуется объемом перерабатываемого сырья и объемом выпускаемых полуфабрикатов. Для ресторана производственной программой является расчетное меню для реализации блюд в зале данного предприятия и снабжения буфетов, магазинов кулинарии и отпуска обедов на дом. Для составления меню определяется количество потребителей и выполняется расчет количества блюд, реализуемых за день.

 

.4.1 Меню

Меню - это документ, информирующий потребителей об ассортименте кулинарной и кондитерской продукции, напитков и других товаров, их количественных характеристиках (выходы блюд и цены).

В меню должны учитываться совместимость, взаимозаменяемость, экономичность, безопасность, последовательность расположения блюд.

В зависимости от формы предприятия и принятых форм обслуживания меню могут подразделяться меню со свободным выбором блюд, комплексного обеда, бизнес-ланча, диетического, детского, специального. В ресторане ««Стейк-Хауз»» используются все перечисленные виды меню. Специальное меню применяется при обслуживании банкетов. При составлении плана-меню учитывается порядок написания блюд в меню, ассортиментный минимум, количество посетителей за день, наличие оборудования, квалификацию поваров.

Каждый вид меню содержит три графы: выход блюда, его наименование и цену.

Таблица 2 - Примерный план - меню на расчетный день

Наименование блюд

Кол-во блюд

Выход  в г.

Фирменные закуски, блюда, десерты



Салат «Деликатесный» со спаржей

230

100

Мясо заливное особое

220

150

Котлета натуральная из филе птицы, фаршированная печенью

300

100/150

Цыпленок «Чкмерулат»

25

250

Желе фруктовое из тропических фруктов

30

100

Холодные блюда и закуски

 


Салат витаминный

390

100

Салат мясной

470

100

Ассорти рыбное

470

185

Ассорти мясное

470

175

Форшмак картофельный с сельдью

265

150

Баклажаны, тушеные с помидорами

250

150

1-е горячие блюда

 


Солянка сборная

500

500

Суп-лапша грибная

500

500

Уха рыбацкая

275

250

Суп-харчо

300

500

2-е горячие блюда

 


Рыба, запеченная в соусе с грибами

345

100/170

Котлета по-киевски

300

100/150

Лангет

300

100/250

Печень по строгановски

300

100/215

Рагу из свинины

175

324

Колбаски немецкие

175

250

 

.4.2 Сертификация услуг

Одним из основных видов нормативно-технической документации на предприятиях пищевой промышленности и общественного питания являются технические регламенты и отраслевые стандарты.

Опираясь на технические условия, приводится в действие порядок технологического производства изделий и проведения контроля качества продукции, ее соответствие техническим нормам, указываются методы измерений показателей качества с использованием измерительной и контролирующей аппаратуры.

Общим стандартом на продукты питания является национальный стандарт Российской Федерации ГОСТ Р 51074-2003 Группа Н09 «Продукты пищевые. Информация для потребителя. Общие требования» веденный в действие 1 июля 2005 г. ГОСТ разработан Всероссийским научно-исследовательским центром стандартизации, информации и сертификации сырья, материалов и веществ (ФГУП "ВНИЦСМВ") на основе задач, основных принципов и правил проведения работ по государственной стандартизации в Российской Федерации, которые установлены, в свою очередь, ГОСТ Р 1.0-92 "Государственная система стандартизации Российской Федерации. Основные положения" и ГОСТ Р 1.2-92 "Государственная система стандартизации Российской Федерации. Порядок разработки государственных стандартов"

Согласно постановлению Правительства Российской Федерации от 13 августа 1997г. № 1013 услуги общественного питания подлежат обязательной сертификации. Сертификация считается основным достоверным способом доказательства соответствия продукции заданным требованиям.

Основополагающими ГОСТами на услуги общественного питания являются:

v  ГОСТ Р 50764-95 “Услуги общественного питания. Общие требования”;

v  ГОСТ Р 50762-95 “Общественное питание. Классификация предприятий”;

v  ГОСТ Р 50763-95 “Общественное питание. Кулинарная продукция, реализуемая населению. Общие технические условия”;

v  ГОСТ Р 50935-96 “Общественное питание. Требования к обслуживающему персоналу”.

Кроме того, нормативными документами, регламентирующими специфическую особенность деятельности предприятий общественного питания, являются

v  «Правила оказания услуг общественного питания», утвержденные постановлением Правительства Российской Федерации от 15 августа 1997г. №1036;

v  СанПиН № 42-123-4117-86. «Санитарные правила. Условия, сроки хранения особо скоропортящихся продуктов»;

v  СанПиН № 1923-78. «Санитарные правила по применению пищевых добавок. Санитарные правила. Гигиенические требования к качеству и безопасности продуктов, сырья и пищевой продукции». Утверждены Постановлением Госсанэпиднадзора России 24.10.96г. № 27.

v  СанПиН 2.3.6.959-00: «Санитарно-эпидемиологические требования к организациям общественного питания, изготовлению и оборотоспособности в них продовольственного сырья и пищевых продуктов» и введенные взамен СанПиН 42-123-5777-91., утвержденные в 2000 г и направлены на руководство при организации общественного питания.

Основной целью государственного регулирования деятельности предприятия, т.е. сертификация услуг общественного питания, является обеспечение безопасности жизни и здоровья людей, а также охрана окружающей среды и предотвращение нанесения вреда имуществу.

В системе общественного питания сертифицируется не сам товар, а услуга общественного питания, являющаяся результатом деятельности предприятия. Качество услуг должно удовлетворять требованиям потребителя и соответствовать ГОСТам, ОСТам, ТУ на вырабатываемые изделия. Кроме того, должны соблюдаться санитарные правила и нормы.

ГОСТ Р 50764-95 на услуги общественного питания устанавливает классификацию услуг, требования к качеству и безопасности услуг в соответствии с законами «О защите прав потребителей», «С сертификации продукции и услуг» и др.

В системе общественного питания сертифицируется не сам товар, а услуга общественного питания, являющаяся результатом деятельности предприятия или отдельного предпринимателя.

Качество услуги должно удовлетворять требованиям потребителя и соответствовать ГОСТам, ОСТам, ТУ на вырабатываемые изделия. Кроме того, должны соблюдаться санитарные правила и нормы.

Классификация услуг общественного питания определяет услуги по изготовлению кулинарных и кондитерских изделий. Предприятие обязательно должно иметь вывеску с указанием его типа, фирменного названия, юридического лица (местонахождения, режима работы).

Услуги по изготовлению кулинарных и кондитерских изделий состоят в приготовлении блюд, тортов, пирожных и другой продукции по заказам потребителей.

Услуги по реализации изделий могут производиться через залы ресторана, магазины, отделы кулинарии, а также вне предприятия.

Услуги общественного питания и их предоставление должны быть безопасными для жизни и здоровья потребителя. Особые требования предъявляются к используемому сырью и полуфабрикатам, условиям производства и реализации готовых изделий.

Особые требования предъявляют к производственному персоналу по уровню профессиональной подготовки и квалификации, к способности организации производственной деятельности, знанию отраслевых документов по функционированию предприятия.

Производственный персонал предприятия должен иметь специальную подготовку, чтобы обеспечить выпуск продукции, безопасной для жизнедеятельности человека. Они должны соответствовать тарифно-квалификационным характеристикам, соблюдать должностные инструкции, требования санитарии и личной гигиены, пройти инструктаж по охране труда и технике безопасности при производстве продукции.

В настоящее время в России вводится обязательная программа по внедрению системы штрихового кодирования в торговле и других сферах. Это создает условия для получения потребителем необходимой и достоверной информации о приобретаемом товаре в соответствии с одним из положений Закона РФ «О защите прав потребителей». Производственное предприятие имеет право применять штриховой код только после его регистрации. Даже собственные торговые предприятия (магазины) не имеют права принимать товар на реализацию без штрихового кода.

На данном предприятии общественного питания сырье без документов, подтверждающих ее безопасность, не поступает. Так, мясо, поступающее на предприятие, принимается при наличии ветеринарного свидетельства, сертификата соответствия, сертификата о радиологии, товарно- транспортной накладной. При отсутствии сертификата о радиологии в сертификате соответствия или в ветеринарном свидетельстве должен присутствовать штамп о радиологической проверке мяса. Туши мяса должны иметь ветеринарное клеймо овальной формы (имеет в центре три пары цифр) и товароведное клеймо, указывающее на упитанность животного.

Овощные, молочные, рыбные и другие продукты должны иметь сертификат соответствия и гигиеническое заключение санитарно-эпидемиологической службы.

Соответствие продукции требованиям технических регламентов подтверждается сертификатом соответствия, выдаваемым заявителю органом по сертификации.

Сертификат соответствия включает в себя: наименование и местонахождение заявителя, изготовителя продукции, и органа; по сертификации, выдавшего сертификат соответствия; информацию об объекте сертификации, позволяющую идентифицировать этот объект; наименование технического регламента, на соответствие требованиям которого проводилась сертификация; информацию о проведенных исследованиях (испытаниях) и измерениях; информацию о документах, представленных заявителем в орган по сертификации в качестве доказательств соответствия продукции требованиям технических регламентов; срок действия сертификата соответствия определяется соответствующим техническим регламентом.

















Рисунок 8 - Форма сертификата соответствия при обязательной сертификации продукции

После тщательной проверки продукции и условий его производства органы Роспотребнадзора выдают санитарно-эпидемиологическое заключение, подтверждающее безопасность продукции.

Рисунок 9 - Санитарно-эпидемиологическое заключение

 

.4.3 Метрологическая поверка приборов

Качество продукции невозможно обеспечить без наличия исправных и точных приборов контроля. Аккредитованные метрологические службы после тщательной проверки работоспособности приборов контроля выдают сертификаты о калибровке их, без которых пользоваться приборами нельзя. На техническую службу ресторана возложена обязанность метрологического контроля.

 

3.4.4 Бракераж


Передача полуфабрикатов в другой цех производится только после заполнения бракеражного журнала.

Таблица 3 - Бракеражный журнал по оценке качества полуфабрикатов

Дата, время изготовления продукции

Органолептическая оценка

Разрешение к реализации (время)

Ответственный исполнитель (Ф.И.О., должность)

Ф.И.О. лица, проводившего бракераж

1

2

3

4

5

6


3.4.5 Технико-технологические карты

Одним из важнейших нормативных документов являются технико-технологические карты (ТТК) и технологические карты (ТК) на продукцию, выпускаемую на предприятиях общественного питания.

Технико-технологические карты (ТТК) разрабатывают на новые и фирменные блюда и кулинарные изделия - те, которые вырабатывают и реализуют только в данном предприятии. Срок действия ТТК определяет само предприятие.

ТТК включает разделы:

. Наименование изделия и области применения ТТК.

. Перечень сырья для изготовления блюда.

. Требования к качеству сырья.

. Нормы закладки, сырья массой брутто и нетто, нормы выхода полуфабрикатов и готового изделия.

. Описание технологического процесса, режима холодной и тепловой обработки, обеспечивающих безопасность блюда, приводят используемые пищевые добавки, красители и др.

. Требования к оформлению, к подаче, реализации и хранению.

. Показатели качества и безопасности.

. Показатели пищевого состава и энергетической ценности.

Каждая технико-технологическая карта получает порядковый номер и хранится в картотеке предприятия. Подписывает ТТК ответственный разработчик.

В работе представлены технологическая карта на блюдо салат «Деликатесный» (Приложение А) и технико-технологическая карта (ТТК) - на «Котлету натуральную из филе птицы, фаршированную печенью» - Приложение Б.

Для усиления контроля качества блюд составляется карта операционного контроля с указанием вида контроля.

стандартизация качество ресторан

Таблица 4 - Карта операционного контроля на фирменное блюдо «Котлета натуральная из филе птицы, фаршированная печенью»

Вид контроля

Объект контроля

Показатели качества

Значение (характеристика) показателя качества

Возможные нарушения

Способы устранения

1

2

3

4

5

6

Входной

Сырье:






Овощи

Органолептические

Цвет, свежесть

Вялость

Перебрать овощи, удалив вялые, (зелень, сморщенную морковь)


Курица

-«-

Внешний вид тушки, свежесть

Неудаленное оперение

Зачистить, опалить


Печень

-«-

Зачистка

наличие неудаленных сосудов

Зачистить

Межоперационный

Полуфабрикат

Формовка котлеты

форма, панировка

Неровная форма, плохая панировка

Выровнять, придав форму, вновь обвалять



тепловая обработка

жарение

Неравномерное обжаривание

Повернуть форму или полуфабрикат

Приемочный контроль

Готовое кулинарное изделие

Внешний вид

Золотистый

Небрежное оформление блюда

Красиво распределить котлету, гарнир, зелень

 

 

.4.6 Подбор методов определения показателей качества: органолептических, физико-химических, весовых.


Таблица 5 - Методы определения качества фирменной кулинарной продукции

Нормируемые показатели

Методы анализа

Характеристика методов анализа

Состав

органолептический

Внешний вид, консистенция, вкус, цвет, запах


весовой

Масса блюда в соответствии с меню

Качество блюда, массовая доля сухих веществ, Пищевая и энергетическая ценность

физико-химический

Сохраняемость, состав консервантов, влажность, кислотность, пористость, массовая доля (%) сухих веществ, жира, белков

Эргономические

Микробиологический контроль (химический анализ)

Гигиенические показатели, наличие солей тяжелых металлов, безвредность пищевых добавок, количество мезофильных аэробных и факультативных анаэробных микроорганизмов (патогенных)


3.4.7 Маркетинговая работа на предприятии общественного питания

Анализ рынка и разработка концепции маркетинга лежат в основе маркетинговых исследований, при этом во главу ставятся такие понятия как продукт, цена, товаропродвижение; сбыт. Используя эти инструменты маркетолог определяет условия, обеспечивающие максимальную прибыль.

Например, для мучных кондитерских изделий, в частности тортов, показатели качества характеризуются следующим:

показатели состава включают химический состав, в том числе макро- и микроэлементов, витаминов. В основе производства тортов лежат сложные физические и химические изменения сырья, полуфабрикатов, происходящие при определенных оптимальных технологических параметрах, при отклонении от которых ухудшается качество продукции, и физико-химические показатели не соответствуют ГОСТам;

показатели структуры представляют пористость основы и крема, усилие резания и др.;

к показателям надежности можно отнести сохраняемость торта. Увеличение срока хранения возможно при добавлении консервантов, наименование и количество которых утверждено соответствующей нормативно-технической документацией. На предприятии общественного питания, это чаще всего ТУ на изделие;

эргономические - к ним относятся гигиенические показатели, характеризующие их безвредность, в том числе недопустимость наличия солей тяжелых металлов, безвредность пищевых добавок улучшающих структуру, красителей и др.). Торты и пирожные - это продукты высокой влажности и являются хорошей питательной средой для микроорганизмов, тем самым создают повышенный фактор риска. При выработке таких изделий особенно необходим микробиологический контроль производства и качества;

эстетические - представляют информационную выразительность продукции, стабильность товарного вида;

экологичность - характеризуют уровень вредных воздействий на окружающую среду при изготовлении или утилизации продукции;

показатель транспортабельности влияет на завершающую операцию по доставке качественной продукции потребителю.

патентно-правовые - характеризуют степень обновления технических решений, использованных в продукции, их патентную защиту;

показатели безопасности - учитывают безвредность продукции. Специалисты проверяют качество готовой продукции по органолептическим и физико-химическим показателям, предусмотренным ГОСТами. При нарушении технологического процесса выясняется причина и принимаются меры к устранению нарушений.

По органолептическим показателям изделия контролируются такие показатели как требования к форме, поверхности, цвету, состояние мякиша, пропеченности, промессу теста, вкусу и запаху.

По физико-химическим показателям изделия должны соответствовать требованиям по влажности, кислотности, пористости, массовой доли жира в пересчете на сухое вещество %, массовая доля сахара в пересчете на сухое вещество % и другие в соответствии с видом изделия.

Одним из важнейших показателей безопасности являются бактериологические показатели. Бактериологический контроль в кондитерском производстве включает в себя следующие исследования: определение общего количества микроорганизмов и титра кишечной палочки (в сырье, полуфабрикатах, воздухе, воде, таре, средствах транспорта и т.д.). При подозрении пищевых интоксикаций кондитерскими изделиями в них определяют патогенные виды бактерий (стафилококки, кишечно-тифозную группу и др.).

К перечню контролируемых показателей относятся показатели на наличие загрязнителей химического и биологического происхождения - остаточные количества токсичных элементов, микотоксинов, антибиотиков, радионуклидов и пестицидов, которые в продукте не должны превышать допустимых уровней, установленных СанПиН 2.3.2.1078.

Внедренный контроль качества на предприятии выявляет и информационную фальсификацию, при искажении информации в товарно-сопроводительных документах, маркировке и рекламе. Контроль качества продукции направлен и на предотвращение появления заранее известных дефектов продукции, вызванных нарушениями при производстве изделия. Наиболее распространёнными нарушениями являются:

Ø  Недовложения компонентов, положенных по рецептуре;

Ø  Замена дорогостоящего компонента менее ценным;

Ø  Повышенное содержание воды;

Ø  Введение консервантов;

Ø  Антиокислителей.

К информационной фальсификации может быть отнесена и подделка сертификата качества, таможенных документов (например, на сырье), штрихового кода. Выявляется такая фальсификация проведением специальной экспертизы.

 

.4.8 Роль руководства

Среди факторов обеспечения качества, ведущим является человеческий фактор. Какими бы совершенными ни были системы управления качеством, организация производства, технология - за всем этим стоит человек с его умением и желанием работать качественно. Отношение к труду руководителей подразумевает их компетентность в вопросах управления предприятием в целом и системой качества в частности, разумную степень риска при принятии решений, желание работать по новому. Воспитание руководителей такого типа требует определенного периода времени, и связано с технической подготовкой руководителей и формированием их социального интеллекта. Зрелость руководителей и степень соответствия качеств руководителя оценивается такими показателями как «оперативная зрелость», т.е. умение выполнять поставленные задачи и «психологическая зрелость», т.е. умение контактировать и руководить людьми. Так, особенностью японского производства является близость руководителей всех звеньев управления к рабочим, ощущение равенства всех работающих. Это проявляется в тесном личном контакте, создании совместных столовых, организации коллективного отдыха всех сотрудников фирмы. При этом и группы по качеству находятся в тесном сотрудничестве.

В нашей стране сложность с внедрением требований и реализацией принципов возникают на этапе производства и формирования мотивации у исполнителей качественного труда и реализации механизма ответственности за результаты труда, как у руководителей, так и у исполнителей.

Глава 4. Рекомендации


Качество продукции - это совокупность свойств продукции, обуславливающих ее пригодность удовлетворять определенные потребности в соответствии с ее назначением.

Для роста эффективности производства и поддержания конкурентоспособности на предприятии общественного питания должна систематически проводиться оценка качества продукции, которая состоит из следующих этапов:

ü  выбор номенклатуры показателей качества и обоснование ее необходимости и достаточности;

ü  выбор и разработка методов определения значений показателей качества;

ü  выбор базовых значений показателей и исходных данных для определения фактических значений показателей качества оцениваемой продукции;

ü  выбор метода оценки уровня качества.

В условиях развивающейся конкуренции руководство предприятия должно принимать меры по жесткому контролю продукции на всех этапах ее жизненного цикла и весь персонал от руководителя до рабочего должны уметь пользоваться инструментами контроля качества продукции для обеспечения конкурентоспособности продукции

Понятие «качество» всегда относительно. Всегда имеется фирма - изготовитель, которая выпускает самые лучшие изделия данного вида, которые будут на данный момент времени являться эталоном для этих изделий. Поэтому понятие «высокое качество» применительно к изделию чьи функциональные свойства, отделка и внешний вид выше среднего уровня.

Продукция высокого качества должна отражать достижения технического прогресса, иметь себестоимость, экономически оправдывающую ее выпуск, безопасной и иметь красивый внешний вид.

Качество изделия зависит от большого числа свойств изделия. Чтобы объективно судить о качестве, необходимо знать количественные значения свойств изделия и иметь методику для сравнения одного изделия с другим (эталоном) для получения измеримой оценки качества.

 

.1 Основные рекомендации


Основные рекомендации при предоставлении услуг общественного питания следующие:

. Определение масштаба проблем с качеством на «языке денег».

. Выявление основных возможностей снижения затрат.

. Поиск возможностей для уменьшения неудовлетворенности заказчика и связанной с этим угрозы для сбыта товаров.

. Расширение бюджетных и стоимостных регуляторов.

. Стимулирование улучшения качества путем доведения результатов до персонала и общественности.

. Регулярно представлять руководству информацию, содержащую:

общий объем затрат на качество;

их долю в областях вне производства;

главные возможности улучшений.

 

.2 Пути выполнения рекомендаций


К наиболее важным с точки зрения обеспечения качества работам в области контроля можно отнести:

* рассмотрение контракта;

* контроль подготовки документов;

* контроль оборудования

* контроль закупаемых материалов;

* контроль технологического процесса;

* контроль готовой продукции;

* сохранность, упаковка и отгрузка;

* изделия не соответствующие ТУ;

* записи, регистрируемые данные;

* аудит и контролирующие действия.

4.2.1 Рассмотрение контракта

Рассматриваются:

масштаб и характер работ;

сертификации, ТУ и стандарты.

требования к контролю

4.2.2 Контроль подготовки документов

Документация охватывает:

* план контроля

* рабочие инструкции;

* сертификация производства;

* производственные процессы;

* процедуры контроля.

4.2.3 Контроль оборудования

* местонахождение оборудования;

* его номер и тип;

* частота поверки;

* мера, которую необходимо принять при выявлении неудовлетворительных условий.

4.2.4 Контроль закупаемых материалов

Входной контроль. При некачественном сырье и материалах его использование должно быть приостановлено.

4.2.5 Контроль технологического процесса


Результаты контроля и/или испытаний регистрируются в соответствующем документе, обычно в маршрутной карте.

4.2.6 Контроль готовой продукции

* сертификаты на материалы;

* результаты выборочного приемочного контроля;

* результаты органолептического анализа и т.д.

4.2.7 Сохранность, упаковка и отпуск

Методы транспортирования переноса блюда от кухни до потребителя при обслуживании должны гарантировать доставку блюда потребителю в сохранности.

4.2.8 Изделия, не соответствующие ТУ.

Продукт, идентифицированный как несоответствующий ТУ обозначают клеймом, маркировкой или клейким ярлыком и отделяют от годных изделий.

4.2.9 Записи (регистрируемые данные)

Все стандарты по обеспечению качества содержат требование контролировать регистрируемые данные:

* отчеты по результатам аудита;

* результаты контроля, производимого в соответствии с планом контроля и испытаний;

* сертификаты на материалы;

* данные о проверке контрольно-измерительного оборудования;

* документация на изделия, несоответствующие ТУ;

* информацию о корректирующих действиях;

* результаты контроля складских запасов;

* результаты проверок, проводимых регулирующими органами

* данные об аттестации персонала;

* протоколы функциональных испытаний;

* протоколы установочных испытаний.

Все отчеты, протоколы и другие записи хранятся в течение срока, установленного законодательством в условиях, обеспечивающих их надежную защиту от повреждения и утери.

Заключение


Важнейшим источником роста эффективности производства является постоянное повышение технического уровня и качества выпускаемой продукции. Но не каждое предприятие затрачивает свои материальные и другие ресурсы на постоянное улучшение качества и модернизацию технологий. Организации пытаются удерживать свою продукцию на постоянном достаточно высоком уровне качества. В настоящее время, время рыночной экономики, на рынке складывается ситуация жесточайшей конкуренции, и, следовательно, потребитель становится более привередливым и разборчивым в выборе товаров. В связи с этим любой фирме необходимо зарекомендовать себя на рынке как производителя качественной и доступной продукции

Точная информация о характере, структуре, объёме и тенденция развития общественных потребностей, учёт платёжеспособного спроса населения, его дифференциацию по различным возрастным, национальным и региональным группам является необходимой предпосылкой для принятия оптимальных решений при управлении качеством продукции.

Многие предприятия России в стремлении к развитию производства приняли рекомендации ученых по вопросу менеджмента качества и успешно их используют. Необходима координация всех сопричастных к производству фирм. Так. в перерабатывающей пищевой промышленности продукция сельскохозяйственных предприятий, являющаяся начальным звеном, должна быть высокого качества, что послужит предпосылкой производства конечного пищевого продукта высокого качества. Исполнитель самостоятельно определяет перечень оказываемых услуг в сфере общественного питания. Он должен иметь ассортиментный перечень производимой им продукции общественного питания, соответствующий обязательным требованиям нормативных документов.

Выявлено, что качество выпускаемой продукции в настоящее время ценится потребителями все больше;

v Все показатели, характеризующие свойства продукции объединены в группы по номенклатуре показателей.

v  Всякая услуга или товар обладают такой характеристикой как качество.

v  Потребитель услуг вправе быть уверенным в том, что заявленный поставщиком уровень качества услуги общественного питания будет обеспечен.

v  Все показатели, характеризующие свойства продукции объединяются в группы по номенклатуре показателей.

v  Качество выпускаемых кулинарных изделий должно строго контролироваться по перечню показателей, установленных НД на продукцию.

Список использованной литературы


1.                Аврашков Л.Я. Адамчук В.В., Антонова О.В., и др. Экономика предприятия.- М., ЮНИТИ, 2001.

2.                Богушева В.И. Организация производства и обслуживания на предприятиях общественного питания: учебник /В.И. Богушева.- Ростов н/Д: Феникс, 2008.- 253 с.

3.                Вильям ДЖ. Стивенсон Управление производством. - М., ЗАО «Изд-во БИНОМ», 2000.

4.       ГОСТ Р 15467 - 79 Управление качеством продукции. Основные понятия и определения

5.                ГОСТ Р 51074-97 «Продукты пищевые. Информация для потребителя. Общие требования». - М.: Госстандарт России, Изд-во стандартов, 1977.- 50 с.

6.       ГОСТ Р 50663-95 «Общественное питание» Классификация предприятий».

.        ГОСТ Р 50647-94 «Общественное питание. Термины. Определения».

8.                Гличёв А.В. Основы управления качеством продукции. Изд-во АМИ, 2001.

9.       Грузинов В.П., Грибов В.Д. Экономика предприятия. Учебное пособие.-М.:ИЭП, 2004.

.        Капырин В.В. Системы управления качеством: учебник для студентов вузов.- М., Европ. Центр по качеству., 2002.-323 с.

.        Качество и стандартизация.- М.: Экономика, 2002.- 168с.

12.    Кудряшов Л.С., Гуринович Г.В., Рензяева Т.В. Стандартизация, метрология, сертификация в пищевой промышленности: Учебник.- М.: ДеЛи принт, 2002.- 303 с.

13.              Менеджмент (Современный Российский менеджмент) учеб. для студ. вузов/ под ред. Ф.М. Русинова.- М.: ИД ФБК-ПРЕСС, 2000.-502 с

14.              Никуленкова Т.Т., Ястина Г.М. Проектирование предприятий общественного питания. - М.: КолосС, 2006. - 247 с.:ил.- (Учебники и учеб.пособия для студентов высш. учеб. заведений).

15.              Окрепилов В.В. Управление качеством: Учебник - 2-е изд., доп. И перераб.- М.: Экономика, 2003.

16.              Оробейко Е.С., Шередер Н.Г. Организация обслуживания: рестораны и бары: Учебное пособие.- М.: Альфа-М; ИНФРА-М, 2008.- 320 с.

17.              Поздняковский В.М. Гигиенические основы питания, безопасность и экспертиза продовольственных товаров. - Новосибирск: - Изд-во Новосибирск. ун-та, 1999. - 447 с.

18.              Санитарно-эпидемиологические требования к организациям общественного питания, изготовлению и оборотоспособности в них продовольственного сырья и пищевых продуктов: СанПин 2.3.6.959-00. - М.: «Интерсэн», 2000.-64 с.

19.              СанПиН 2.3.2.560-96. Гигиенические требования к качеству и безопасности продовольственного сырья и пищевых продуктов. Санитарные правила и нормы.. - М. 1997. -269 с.

20.              Управление качеством /Е.И. Семенова, В.Д. Коротнев, А.В. Пошатаев и др.; Под ред. Е.И. Семеновой.- М.: КолосС, 2005.- 184

.                  Усов В.В. Организация производства и обслуживания на предприятиях общественного питания: Учеб. для нач. проф. образования: Учеб. пособие для сред. Проф. образования/ В.В. усов.- 2-е изд. Стер.- М.: Издательский центр «Академия», 2004.- 416 с.

22.        Федеральный закон № 187-ФЗ «О техническом регулировании» от 27 декабря 2002 г.

Приложение А

(обязательное)

Технологическая карта на блюдо «Салат деликатесный»

Продукты, входящие в блюдо

Наименование компонента

Масса, г


брутто

нетто

Помидоры свежие

35

30

Спаржа свежая

32

23

Масса вареной спаржи

-

20

Фасоль стручковая консервированная

17

10

Горошек зеленый консервированный

15

10

Капуста цветная свежая

21

11

Масса вареной цветной капусты

-

10

Капуста брюссельская (кочанчики)

18

12

Масса вареной брюссельской капусты

1

10

Огурцы свежие

25

20

Заправка для салатов № 830

40

40

Выход

-

150


Подготовка сырья.

Помидоры и огурцы моют и нарезают тонкими ломтиками.

Спаржу сортируют, моют, с зеленой спаржи снимать кожицу не нужно, а у белой тонким слоем снимают кожицу сверху вниз, отступая от верхней части головки на 2-3 см, затем осторожно обрезают одревесневшие концы, стараясь не отломить головки и отваривают в подсоленной воде. Отваренную спаржу нарезают на кусочки длиной 2-3 см. Цветную и брюссельскую капусту перебирают, отваривают и разбирают на мелкие соцветия и кочанчики.

Приготовление:

Подготовленные и нарезанные овощи, консервированные

фасоль и зеленый горошек укладывают букетами в салатную тарелку и поливают заправкой.

Заправка для салатов

Наименование компонента

Масса, г


брутто

нетто

Масло растительное

500

500

Уксус 3-х процентный

500

500

Сахар

40

40

Перец черный молотый

2

2

Соль

20

20

Выход

-

1000


Заправку для салатов приготавливают из смеси растительного масла и уксуса с добавлением соли, сахара и перца черного молотого.

Отпуск, выход.

Отпускают в салатных тарелках, украсив красивым распределением овощей и заправкой.

Требования к качеству.

Качество блюда определяется временем приготовления овощей и технологической инструкцией по приготовлению блюда. На показатели качества и безопасности указывают органолептические показатели блюда (вкус, запах, цвет, консистенция), физико-химические и микробиологические показатели, влияющие на безопасность блюда.

Сроки хранения.

Блюдо готовится по мере требования. Хранению не подлежит. Салаты в незаправленном виде хранят при температуре 4-2 0С не более 6 ч. Заправлять салат следует непосредственно перед отпуском (9).

 

Приложение Б

(обязательное)

 

Утверждаю:

Директор ……….

«_____»_________200….г.

 

ТЕХНИКО-ТЕХНОЛОГИЧЕСКАЯ КАРТА №

«Котлета натуральная из филе птицы, фаршированная печенью»

1 ОБЛАСТЬ ПРИМЕНЕНИЯ

Настоящая технико-технологическая карта распространяется на изделие «Котлета натуральная из филе птицы, фаршированная печенью», вырабатываемая в ресторане «Грапполо».

2 ПЕРЕЧЕНЬ СЫРЬЯ

Для приготовления изделия «Котлета натуральная из филе птицы, фаршированная печенью» используют следующее сырье:

Наименование сырья

Нормативный документ, регламентирующий качество

Курица

ГОСТ 21784-76

Кислота лимонная

ГОСТ 908-2004

Масло сливочное

Гост 37-91

Печень

Ту 9212-460-00419779-99

Яйца

Гост 27583-88

Мука пшеничная

Гост 26574-85

Жир животный топленый

Гост 25292-82

Рис

Гост 6293-90

Вино (белое сухое)

ТУ

Кости

ТУ

Морковь

ГОСТ 26767

Маргарин столовый

ГОСТ Р ИСО- 9001-2001

Лук репчатый свежий, кг

ГОСТ 1723-86

Корень и зелень петрушки свежие, г

РСТ РСФСР 370-77

Соль поваренная пищевая

 ГОСТ 13830-84

Перец

ТУ 9199-010-048777850-03

Лавровый лист

ГОСТ 17594-81


Сырье, используемое для изготовления блюда, должно соответствовать требованиям нормативной документации, иметь сертификаты и удостоверения качества.

3. РЕЦЕПТУРЫ

 

Рецептура на изделие «Котлета натуральная, фаршированная печенью»

Наименование

Брутто, г

Нетто, г

Курица

381

137

Кислота лимонная

0,1

0,1

Масло сливочное

7

7

Масса припущенной котлеты


100

Фарш:



Обработанные субпродукты (печень)

-

31/25*

Яйца

 1/4 шт

10

Мука пшеничная

5

Жир животный топленый

10

10

Масса фарша

-

40

Масса полуфабриката

-

140

Гарнир «Каша рисовая рассыпчатая»

-

100

Соус паровой

-

100

Выход


340

*В числителе указана масса обработанных субпродуктов нетто, в знаменателе -

масса тушеных субпродуктов.

Рецептура на соус белый основной

Наименование продуктов

Масса брутто, г

Масса нетто, г

Бульон


1100,0

Маргарин

50


Мука

50


Лук репчатый

24


Петрушка (корень)

13


Выход

-

1000,0

Рецептура на бульон

Наименование продуктов

Масса брутто, г

Масса нетто, г

Кости

500


Лук репчатый

14


Морковь


12

Петрушка (корень)

16


Выход

-

1000,0


Рецептура на соус паровой

Наименование продуктов

Масса брутто, г

Масса нетто, г

Соус белый основной

-

900,0

Вино (белое сухое)

100,0

100,0

Кислота лимонная

1,0

1,0

Маргарин столовый или масло сливочное

70,0

70,0

Выход

-

1000,0


4 ТЕХНОЛОГИЧЕСКИЙ ПРОЦЕСС

4.1 Подготовка сырья.

Филе. Тушку курицы осматривают, удаляют оставшиеся перья, при необходимости опаливают, затем моют. Филе птицы зачищают.

Далее филе можно подготовить двумя способами. Первый способ: тонко отбивают филе, на середину выкладывают фарш. Второй способ: отделяют внутренний мускул (малое филе) от наружного (большое филе). Из малого филе удаляют сухожилия, а из большого - остаток ключицы. Зачищенное большое филе смачивают холодной водой, и на доске острым ножом срезают с него поверхностную пленку. Надрезают с внутренней стороны в продольном направлении, слегка развертывают, перерезают в двух-трех местах сухожилия и вкладывают в надрез малое филе, которое покрывают развернутой частью большого филе.

Печень. Печень зачистить, удалить оставшиеся сосуды, промыть.

Рис. Крупу перебрать, промыть.

Морковь. Отсортировать, удалить валую, промыть, очистить.

Лук репчатый. Перебрать, удалить недоброкачественный, очистить от шелухи.

.2 Приготовление полуфабрикатов

Приготовление фарша. Печень нарезают на куски, панируют в муке и обжаривают с обеих сторон до полуготовности (5 - 10 мин). Обжаренную печень пропустить через мясорубку, добавить яйцо, соль и хорошо перемешать.

Приготовление полуфабриката котлеты.

Наполняют филе фаршем. Свернуть филе в виде конверта, смочить яйцом, запанировать в муке или другой белой панировке.

Приготовление бульона.

Для расчета данного соуса необходимо предварительно приготовить соус белый основной (№567) и бульон № 567.

Для приготовления бульона кости, промытые и нарубленные на куски длиной 5-7 см (у позвоночных костей удаляют костный мозг), заливают холодной водой, доводят до кипения, удаляют пену и варят при слабом кипении в течение 3 - 4 ч, периодически удаляя жир. За 40-60 мин до окончания варки в бульон кладут овощи. Готовый бульон процеживают.

Соус белый основной. Для приготовления соуса белого основного требуется:

В растопленный жир всыпать просеянную муку и пассеровать при непрерывном помешивании, не допуская пригорания. Правильно пассерованная мука должна иметь слегка кремовый цвет.

В пассерованную муку, охлажденную до 60 - 70 °С вливают четвертую часть горячего бульона и вымешивают до образования однородной массы, затем постепенно добавляют оставшийся бульон.

После этого в соус кладут нарезанные петрушку, сельдерей, лук и варят 25 - 30 мин.

В конце варки добавляют соль, перец черный горошком, лавровый лист.

Затем соус процеживают, протирая при этом разварившиеся овощи и доводят до кипения.

.3 Приготовление блюда

Котлета. Фаршированное филе жарить во фритюре 5-7 минут до образования корочки. Сбрызнуть лимоном или лимонной кислотой и довести до готовности в жарочном шкафу.

Приготовление гарнира «Каша рисовая рассыпчатая». Подготовленный рис кладут в подсоленную кипящую воду и варят при слабом кипении. Когда зерна набухнут и станут мягкими, рис откидывают и промывают горячей кипяченой водой. После стекания воды рис кладут в посуду, заправляют жиром, перемешивают и прогревают.

Соус паровой. Для приготовления соуса парового в соус белый основной добавляют кислоту лимонную, доводят до кипения и вливают подготовленное вино.

Соус заправляют маргарином или сливочным маслом.

5        ОТПУСК БЛЮДА

Готовое блюдо «Котлеты натуральные из филе птицы, фаршированные печенью» отпускают с гарниром и соусом, оформленное на тарелке. При реализации вторые блюда должны иметь температуру не ниже - не ниже 65°С. Блюда, находящиеся на мармите или горячей плите, должны быть реализованы не позднее чем через 3 ч после их изготовления.

Не допускаются к реализации блюда, кулинарные изделия, оставшиеся от предыдущего дня рубленые изделия из мяса, птицы.

6 ПОКАЗАТЕЛИ КАЧЕСТВА И БЕЗОПАСНОСТИ

6.1 Органолептические показатели изделия:

Внешний вид - соответствует

Консистенция - характерная

Цвет -золотистый, обрамленный рисом и политым соусом.

Вкус - приятный, с характерным вкусом

Запах - Запах блюда ароматный, куриного мяса.

.2 Физико-химические показатели должны отражать массовую долю сухих веществ (в %), жира (%), белков (%).

6.3 Микробиологические показатели представляют сведения о количестве патогенных микроорганизмов, допускаемых в готовом продукте

7 ПИЩЕВАЯ И ЭНЕРГЕТИЧЕСКАЯ ЦЕННОСТЬ

В данном разделе также отражают количество белков, жиров, углеводов и дают результаты расчетов энергетической ценности готового продукта.

Ответственный разработчик,

Должность/Ф.И.О./

Приложение С

(справочное)

 

Технологическая схема на фирменное блюдо «Котлета из филе птицы, фаршированная печенью»


 

Приложение D

(справочное)


Причинно-следственная связь брака в виде смятых кусочков мясного фарша и бульонно-жировых отеков при производстве немецких колбасок

Приложение Ж

(обязательное)

Типовая инструкция по охране труда для повара ТИ Р М-045-2002 (утв. постановлением Минтруда РФ от 24 мая 2002 г. N 36)

Инструкция вводится в действие 1 сентября 2002 г.

1. Общие требования безопасности

2. Требования безопасности перед началом работы

3. Требования безопасности во время работы

4. Требования безопасности в аварийных ситуациях

5. Требования безопасности по окончании работы

1. Общие требования безопасности

1.1. На основании настоящей типовой инструкции разрабатывается инструкция по охране труда для повара с учетом условий его работы в конкретной организации.

.2. На повара могут воздействовать опасные и вредные производственные факторы (подвижные части электромеханического оборудования; повышенная температура поверхностей оборудования, котлов с пищей, кулинарной продукции; пониженная температура поверхностей холодильного оборудования, полуфабрикатов; повышенная температура воздуха рабочей зоны; повышенный уровень шума на рабочем месте; повышенная влажность воздуха; повышенная или пониженная подвижность воздуха; повышенное значение напряжения в электрической цепи; недостаточная освещенность рабочей зоны; повышенный уровень инфракрасной радиации; острые кромки, заусенцы и неровности поверхностей оборудования, инструмента, инвентаря, тары; вредные вещества в воздухе рабочей зоны; физические перегрузки; нервно-психические перегрузки).

.3. Повар извещает своего непосредственного руководителя о любой ситуации, угрожающей жизни и здоровью людей, о каждом несчастном случае, происшедшем на производстве, об ухудшении состояния своего здоровья, в том числе о проявлении признаков острого заболевания.

.4. Повару следует:

оставлять верхнюю одежду, обувь, головной убор, личные вещи в гардеробной;

перед началом работы мыть руки с мылом, надевать чистую санитарную одежду, подбирать волосы под колпак или косынку или надевать специальную сеточку для волос;

работать в чистой санитарной одежде, менять ее по мере загрязнения;

после посещения туалета мыть руки с мылом;

при изготовлении кулинарных изделий снимать ювелирные украшения, часы, коротко стричь ногти и не покрывать их лаком;

не принимать пищу на рабочем месте.

2. Требования безопасности перед началом работы

2.1. Застегнуть одетую санитарную одежду на все пуговицы (завязать завязки), не допуская свисающих концов одежды.

Не закалывать одежду булавками, иголками, не держать в карманах одежды острые, бьющиеся предметы.

.2. Проверить работу местной вытяжной вентиляции, воздушного душирования и оснащенность рабочего места необходимым для работы оборудованием, инвентарем, приспособлениями и инструментом.

.3. Подготовить рабочее место для безопасной работы:

обеспечить наличие свободных проходов;

проверить устойчивость производственного стола, стеллажа, прочность крепления оборудования к фундаментам и подставкам;

надежно установить (закрепить) передвижное (переносное) оборудование и инвентарь на рабочем столе, подставке, передвижной тележке;

удобно и устойчиво разместить запасы сырья, полуфабрикатов, инструмент, приспособления в соответствии с частотой использования и расходования;

проверить наличие и исправность деревянной решетки под ногами;

проверить внешним осмотром:

достаточность освещения рабочей поверхности;

отсутствие свисающих и оголенных концов электропроводки;

исправность розетки, кабеля (шнура) электропитания, вилки, используемых электробытовых приборов;

наличие и надежность заземляющих соединений (отсутствие обрывов, прочность контакта между металлическими нетоковедущими частями машины и заземляющим проводом). Не приступать к работе при отсутствии или ненадежности заземления;

наличие, исправность, правильную установку и надежное крепление ограждения движущихся частей (зубчатых, цепных, клиноременных и других передач, соединительных муфт и т.п.), нагревательных поверхностей оборудования;

отсутствие посторонних предметов внутри и вокруг применяемого оборудования;

наличие и исправность контрольно-измерительных приборов, а также приборов безопасности, регулирования и автоматики (наличие клейма или пломбы; сроки клеймения приборов; даты освидетельствования сосудов, работающих под давлением; нахождение стрелки манометра на нулевой отметке; целостность стекла; отсутствие повреждений, влияющих на показания контрольно-измерительных приборов);

отсутствие трещин, выпучин, значительных утолщений стенок сосудов, пропусков в сварочных швах, течи в заклепочных и болтовых соединениях, разрывов прокладки и т.п. в варочном оборудовании;

состояние полов (отсутствие выбоин, неровностей, скользкости, открытых трапов);

отсутствие выбоин, трещин и других неровностей на рабочих поверхностях производственных столов;

исправность применяемого инвентаря, приспособлений и инструмента (поверхности спецтары, разделочных досок, ручки совков, лопаток и т.п. должны быть чистыми, гладкими, без сколов, трещин и заусениц; рукоятки ножей должны быть плотно насаженными, нескользкими и удобными для захвата, имеющими необходимый упор для пальцев руки, не деформирующимися от воздействия горячей воды; полотна ножей должны быть гладкими, отполированными, без вмятин и трещин).

.4. Проверить исправность пускорегулирующей аппаратуры оборудования (пускателей, пакетных переключателей и т.п.).

.5. Произвести необходимую сборку оборудования, правильно установить и надежно закрепить съемные детали и механизмы.

.6. Перед включением электроплиты проверить наличие поддона под блоком конфорок и подового листа в камере жарочного шкафа, закрывающего тэны, состояние жарочной поверхности. Убедиться, что переключатели конфорок и жарочного шкафа находятся в нулевом положении.

.7. Перед включением пищеварочного электрического котла:

открыть крышку котла и проверить чистоту варочного сосуда, наличие фильтра в сливном отверстии и отражателя на клапане крышки, а также уровень воды в пароводяной рубашке по контрольному кранику;

нажатием на рукоятку рычага произвести "подрыв" предохранительного клапана (смещение его относительно седла);

правильно установить пределы регулирования давления в пароводяной рубашке котла электроконтактным манометром;

варочный сосуд неопрокидывающегося котла заполнить так, чтобы уровень жидкости был на 10-15 см ниже верхней кромки;

после загрузки продуктов и заливки воды в варочный сосуд проверить работу клапана на крышке, провернув его ручку 2-3 раза вокруг оси;

открыть воздушный кран предохранительного клапана, а при его отсутствии - кран наполнительной воронки и держать открытым до появления пара. После разогрева рубашки котла воздушный клапан (кран воронки) закрыть;

закрыть крышку котла, затянуть в два приема накидные рычаги герметизированной крышки сначала до соприкосновения с крышкой, затем до отказа в последовательности: передние, средние, задние.

.8. Перед началом эксплуатации электросковороды, электрофритюрницы и др.:

проверить удобство и легкость открывания откидной крышки сковороды, а также ее фиксацию в любом положении, у опрокидывающейся сковороды - механизм опрокидывания;

убедиться в том, что теплоноситель масляной рубашки аппарата с косвенным обогревом (сковороды, фритюрницы и др.) соответствует типу, указанному в паспорте;

при заполнении масляной рубашки аппарата теплоносителем следить, чтобы в нее не попала влага. Перед заполнением рубашки теплоноситель должен быть прогрет в течение 5 минут при температуре 250°С для удаления влаги.

.9. Проверить работу реле давления мармита для вторых блюд путем предварительного закрывания вентиля для воды и включения в сеть. Через некоторое время должна загореться сигнальная лампа "нет воды". Наполнить парогенератор водой и проверить работу поплавкового клапана. Затем включить тэны парогенератора, теплового шкафа и через 40 минут (когда мармит будет доведен до рабочего состояния) заполнить мармитницы.

.10. Проверить исправность другого применяемого оборудования.

.11. Обо всех обнаруженных неисправностях оборудования, инвентаря, электропроводки и других неполадках сообщить своему непосредственному руководителю и приступить к работе только после устранения неисправностей.

.12. При эксплуатации газоиспользующего оборудования, электрических жарочных и пекарных шкафов, весов и электрогриля, мясорубки соблюдать требования безопасности, изложенные в соответствующих типовых инструкциях по охране труда.

3. Требования безопасности во время работы

3.1. Выполнять только ту работу, по которой прошел обучение, инструктаж по охране труда и к которой допущен работником, ответственным за безопасное выполнение работ.

.2. Не допускать к своей работе необученных и посторонних лиц.

.3. Применять необходимые для безопасной работы исправное оборудование, инструмент, приспособления; использовать их только для тех работ, для которых они предназначены.

.4. Соблюдать правила перемещения в помещении и на территории организации, пользоваться только установленными проходами.

.5. Содержать рабочее место в чистоте, своевременно убирать с пола рассыпанные (разлитые) продукты, жиры и др.

.6. Не загромождать рабочее место, проходы к нему, между оборудованием, столами, стеллажами, проходы к пультам управления, рубильникам, пути эвакуации и другие проходы порожней тарой, инвентарем, излишними запасами сырья, кулинарной продукцией.

.7. Использовать средства защиты рук при соприкосновении с горячими поверхностями инвентаря и кухонной посуды (ручки наплитных котлов, противни и др.).

.8. Вентили, краны на трубопроводах открывать медленно, без рывков и больших усилий. Не применять для этих целей молотки, гаечные ключи и другие предметы.

.9. Использовать для вскрытия тары специально предназначенный инструмент (гвоздодеры, клещи, сбойники, консервные ножи и т.п.). Не производить эти работы случайными предметами или инструментом с заусенцами.

.10. При работе с ножом соблюдать осторожность, беречь руки от порезов.

При перерывах в работе вкладывать нож в пенал (футляр). Не ходить и не наклоняться с ножом в руках, не переносить нож, не вложенный в футляр (пенал).

Во время работы с ножом не допускается:

использовать ножи с непрочно закрепленными полотнами, с рукоятками, имеющими заусенцы, с затупившимися лезвиями;

производить резкие движения;

нарезать сырье и продукты на весу;

проверять остроту лезвия рукой;

оставлять нож во время перерыва в работе в обрабатываемом сырье или на столе без футляра;

опираться на мусат при правке ножа. Править нож о мусат следует в стороне от других работников.

.11. При нарезке монолита масла с помощью струны пользоваться ручками, не тянуть за струну руками.

.12. Переносить продукты, сырье, полуфабрикаты только в исправной таре. Не загружать тару более номинальной массы брутто.

.13. Не использовать для сидения случайные предметы (ящики, бочки и т.п.), оборудование.

.14. При приготовлении моющих и дезинфицирующих растворов:

применять только разрешенные органами здравоохранения моющие и дезинфицирующие средства;

не превышать установленные концентрацию и температуру моющих растворов (выше 50°С);

не допускать распыления моющих и дезинфицирующих средств, попадания их растворов на кожу и слизистые оболочки.

.15. Во время работы с использованием различного вида оборудования соблюдать требования безопасности, изложенные в эксплуатационной документации завода-изготовителя оборудования.

.16. Во время эксплуатации электрического пищеварочного котла:

следить за показаниями манометра включенного пищеварочного котла, не допускать превышения давления в пароводяной рубашке выше 0,5 кгс/см2;

не открывать кран уровня воды и не заливать воду в пароводяную рубашку нагретого котла;

не допускать работу котла без загрузки;

после каждого удаления с поверхности бульона жира и пены закрывать крышку всеми накидными рычагами;

по окончании варки нажать кнопку "Стоп" и отключить котел от сети. Затем повернуть ручку клапана на крышке котла, поднять деревянным стержнем за кольцо клапан-турбинку и выпустить избыточный пар из варочного сосуда. В два приема ослабить болты (в обратном порядке) и, соблюдая осторожность, открыть крышку. Котел разгрузить, промыть водой варочный сосуд и трубки выхода пара. Для этого открыть вентиль с надписью "промывка". Промывку производить при закрытой крышке, воду слить через смывной кран. Клапан-турбинку вынуть из гнезда, потянув стопор на себя, тщательно очистить, промыть, просушить и установить на место.

.17. При эксплуатации электрофритюрницы, электросковороды, электрожаровни:

заливать жир в жарочную ванну жаровни, фритюрницы, сковороды до включения нагрева. Не допускать попадания влаги в горячий жир. Добавлять жир в жарочную ванну следует тонкой струей. Предварительно жир должен быть прогрет при 170-180°С до прекращения выделения из него пузырьков пара;

загружать (выгружать) обжариваемый продукт в нагретый жир в металлической сетке (корзине), соблюдая осторожность во избежание разбрызгивания жира, имеющего температуру 150-180°С;

после выемки готового продукта из ванны сетку (корзину) подвесить над ней за скобу и дать стечь жиру;

при работе сковороды следить за тем, чтобы тэны были полностью закрыты теплоносителем во избежание нагрева его поверхностного слоя до температуры воспламенения;

во время работы жаровни следить за чистотой скребкового и отрезного ножей;

своевременно выключать сковороды, фритюрницы или переводить их на меньшую мощность. Немедленно отключать жарочные аппараты при чадении жира;

не допускается:

включать нагрев при отсутствии жира в жарочной ванне фритюрницы (чаше сковороды), при неисправном датчике реле температуры и др.;

опрокидывать сковороду до отключения ее от электрической сети;

оставлять включенными сковороды, фритюрницы и т.д. после окончания процесса жарения;

сливать из жарочных ванн жир в горячем состоянии;

охлаждать водой жарочную поверхность используемого аппарата.

.18. При эксплуатации холодильного оборудования:

загрузку охлаждаемого объема холодильного оборудования осуществлять после пуска холодильной машины и достижения температуры, необходимой для хранения продуктов;

количество загружаемых продуктов не должно превышать норму, на которую рассчитана холодильная камера;

двери холодильного оборудования открывать на короткое время и как можно реже;

при образовании на охлаждаемых приборах (испарителях) инея (снеговой шубы) толщиной более 5 мм остановить компрессор, освободить камеру от продуктов и произвести оттаивание инея;

при обнаружении утечки хладона холодильное оборудование немедленно отключить, помещение - проветрить;

не допускается:

включать агрегат при отсутствии защитного заземления или зануления электродвигателей;

работать без ограждения машинного отделения, с неисправными приборами автоматики;

загромождать пространство возле холодильного агрегата, складировать продукты, тару и другие посторонние предметы;

прикасаться к подвижным частям включенного в сеть агрегата, независимо от того находится он в работе или в режиме автоматической остановки;

хранить продукты на испарителях;

удалять иней с испарителей механическим способом с помощью скребков, ножей;

размещать посторонние предметы на ограждениях агрегата;

загружать холодильную камеру при снятом ограждении воздухоохладителя, без поддона испарителя, а также без поддона для стока конденсата;

самовольно передвигать холодильный агрегат.

Исключить пользование холодильным оборудованием, если:

токоведущие части магнитных пускателей, рубильников, электродвигателей, приборов автоматики не закрыты кожухами;

холодильные машины не имеют защитного заземления или зануления металлических частей, которые могут оказаться под напряжением при нарушении изоляции;

истек срок очередного испытания и проверки изоляции электропроводов и защитного заземления или зануления оборудования;

сняты крышки магнитных пускателей, клеммных коробок электродвигателей, реле давления и других приборов;

обнаружено нарушение температурного режима, искрение контактов, частое включение и выключение компрессора и т.п.

.19. Для предотвращения попадания в воздух производственных помещений вредных веществ соблюдать технологические процессы приготовления кулинарной продукции; операции по просеиванию муки, крахмала и др. производить на специально оборудованных рабочих местах.

.20. Для предотвращения неблагоприятного влияния инфракрасного излучения на организм повар обязан:

максимально заполнять посудой рабочую поверхность плит, своевременно выключать секции электроплит или переключать их на меньшую мощность;

не допускать включения электроконфорок на максимальную и среднюю мощность без загрузки.

.21. Не допускать попадания жидкости на нагретые конфорки электроплит, наплитную посуду заполнять не более чем на 80% объема.

.22. Следить, чтобы дверца рабочей камеры жарочного шкафа плиты в закрытом положении плотно прилегала к краям дверного проема.

.23. Не превышать давление и температуру в тепловых аппаратах выше пределов, указанных в инструкциях по эксплуатации.

.24. Следить за наличием тяги в камере сгорания газоиспользующей установки и показаниями манометров при эксплуатации оборудования, работающего под давлением.

.25. Располагаться на безопасном расстоянии при открытии дверцы камеры пароварочного аппарата в целях предохранения от ожога.

.26. Включать конвейерную печь для жарки полуфабрикатов из мяса только при включенной и исправно работающей вентиляции.

.27. Устанавливать и снимать противни с полуфабрикатами, открывать боковые дверцы печи только после полной остановки конвейера.

.28. Ставить котлы и другую кухонную посуду на плиту, имеющую ровную поверхность, бортики и ограждающие поручни.

.29. Укладывать полуфабрикаты на разогретые сковороды и противни движением "от себя", передвигать посуду на поверхности плиты осторожно, без рывков и больших усилий, открывать крышки наплитной посуды с горячей пищей осторожно, движением "на себя".

.30. Не пользоваться наплитными котлами, кастрюлями и другой кухонной посудой, имеющей деформированные дно или края, непрочно закрепленные ручки или без ручек, столовой посудой, имеющей трещины, сколы, щербины.

.31. Перед переноской наплитного котла с горячей пищей предварительно убедиться в отсутствии посторонних предметов и скользкости пола на всем пути его транспортирования. При необходимости потребовать уборки пола.

.32. Предупредить о предстоящем перемещении котла стоящих рядом работников.

.33. Снимать с плиты котел с горячей пищей без рывков, соблюдая осторожность, вдвоем, используя сухие полотенца или рукавицы. Крышка котла должна быть снята.

.34. При перемещении котла с горячей пищей не допускается:

заполнять его более чем на три четверти емкости;

прижимать котел к себе;

держать в руках нож или другой травмоопасный инструмент.

.35. При перевозке, установке (снятии) котлов с пищей на плиту пользоваться исправными тележками с подъемной платформой, передвигать тележки, передвижные стеллажи в направлении "от себя".

.36. Пользоваться специальными устойчивыми и прочными инвентарными подставками при установке противней, котлов и других емкостей для хранения пищи.

.37. Производить нарезку репчатого лука в вытяжном шкафу.

.38. В зависимости от вида и консистенции нарезаемого продукта пользоваться разными ножами поварской тройки, а при фигурной нарезке овощей применять специальные карбовочные ножи.

.39. При работе на раздаче необходимо:

производить комплектацию обедов на подносах при минимальной скорости перемещения ленты конвейера;

следить за наличием и уровнем воды в ванне электромармита для вторых блюд, не допускать ее сильного кипения;

производить выемку рабочих емкостей (мармитниц) из гнезд осторожно, без рывков и больших усилий;

включать термостат в электрическую сеть только при наличии жидкости в загрузочной ванне;

сливать воду из кипятильника только в посуду, установленную на подставке у крана.

.40. При эксплуатации электромеханического оборудования:

использовать оборудование только для тех работ, которые предусмотрены инструкцией по его эксплуатации;

перед загрузкой оборудования продуктом убедиться, что приводной вал вращается в направлении, указанном стрелкой на корпусе оборудования;

предупреждать о предстоящем пуске оборудования работников, находящихся рядом;

включать и выключать оборудование сухими руками и только при помощи кнопок "пуск" и "стоп";

не прикасаться к открытым и неогражденным токоведущим частям оборудования, оголенным и с поврежденной изоляцией проводам;

снимать и устанавливать сменные части оборудования осторожно, без больших усилий и рывков;

надежно закреплять сменные исполнительные механизмы, рабочие органы, инструмент;

загрузку оборудования продуктом производить через загрузочное устройство (бункер, загрузочную чашу и т.п.) равномерно, при включенном электродвигателе, если иное не предусмотрено руководством по эксплуатации завода-изготовителя;

соблюдать нормы загрузки оборудования;

проталкивать продукты в загрузочное устройство специальным приспособлением (толкателем, пестиком и т.п.);

удалять остатки продукта, очищать рабочие органы оборудования при помощи деревянных лопаток, скребков и т.п.;

осматривать, регулировать, устранять возникшую неисправность оборудования, устанавливать (снимать) рабочие органы, извлекать застрявший продукт, очищать используемое оборудование можно только после того, как оно остановлено с помощью кнопки "стоп", отключено пусковым устройством, на котором вывешен плакат "Не включать! Работают люди!", и после полной остановки вращающихся и подвижных частей, имеющих опасный инерционный ход;

не допускается;

работать со снятыми с оборудования заградительными и предохранительными устройствами, с открытыми дверками, крышками, кожухами;

поправлять ремни, цепи привода, снимать и устанавливать ограждения во время работы оборудования;

превышать допустимые скорости работы оборудования;

извлекать руками застрявший продукт;

эксплуатировать оборудование без загрузочных устройств;

проталкивать (удерживать) продукт руками или посторонними предметами;

переносить (передвигать) включенное в электрическую сеть нестационарное оборудование;

оставлять без надзора работающее оборудование, допускать к его эксплуатации необученных и посторонних лиц;

складывать на оборудование инструмент, продукцию, тару;

при наличии напряжения (бьет током) на корпусе оборудования, кожухе пускорегулирующей аппаратуры, возникновении постороннего шума, запаха горящей изоляции, самопроизвольной остановке или неправильном действии механизмов и элементов оборудования, его следует остановить (выключить) кнопкой "стоп" (выключателя) и отключить от электрической сети с помощью пускового устройства. Сообщить об этом непосредственному руководителю и до устранения неисправности не включать.

4. Требования безопасности в аварийных ситуациях

4.1. При возникновении поломки оборудования, угрожающей аварией на рабочем месте или в цехе: прекратить его эксплуатацию, а также подачу к нему электроэнергии, газа, воды, сырья, продукта и т.п.; отключить оборудование, работающее под давлением, при срабатывании предохранительного клапана, парении и подтекании воды; доложить о принятых мерах непосредственному руководителю (лицу, ответственному за безопасную эксплуатацию оборудования) и действовать в соответствии с полученными указаниями.

.2. В аварийной обстановке: оповестить об опасности окружающих людей, доложить непосредственному руководителю о случившемся и действовать в соответствии с планом ликвидации аварий.

.3. При обнаружении запаха газа в помещении, в котором установлено газовое оборудование:

закрыть нос и рот мокрой салфеткой;

открыть окна и двери, проветрить помещение;

перекрыть вентили на подводящих газопроводах к жарочным шкафам, пищеварочным котлам, плитам и т.п.;

не включать и не выключать электроприборы, освещение, вентиляцию;

исключить пользование открытым огнем.

Если после проветривания и проверки всех газовых кранов запах газа не исчезнет, перекрыть газ на входе в здание, сообщить об этом администрации организации, а при необходимости - вызвать работников аварийной газовой службы.

.4. Если в процессе работы произошло загрязнение рабочего места жирами или просыпанными порошкообразными веществами (мукой, крахмалом и т.п.), работу прекратить до удаления загрязняющих веществ.

.5. Пролитый на полу жир удалить с помощью ветоши или других жиропоглощающих материалов. Загрязненное место следует промыть нагретым раствором кальцинированной соды и вытереть насухо.

.6. Для удаления просыпанных пылящих порошкообразных веществ надеть очки и респиратор. Небольшое их количество осторожно удалить влажной тряпкой или пылесосом.

.7. В случае возгорания жира не заливать его водой Необходимо прекратить его нагрев и накрыть крышкой или другим предметом (плотной тканью), препятствующим доступу воздуха в зону горения.

.8. Пострадавшему при травмировании, отравлении и внезапном заболевании должна быть оказана первая (доврачебная) помощь и, при необходимости, организована доставка его в учреждение здравоохранения.

5. Требования безопасности по окончании работы

5.1. Выключить и надежно обесточить электронагревательное и электромеханическое оборудование при помощи рубильника или устройства его заменяющего и предотвращающего случайный пуск. На пусковое устройство вывесить плакат "Не включать! Работают люди!".

.2. Перед отключением от электрической сети предварительно выключить все конфорки и шкаф электроплиты.

.3. Не охлаждать нагретую поверхность плиты, сковороды и другого теплового оборудования водой.

.4. Произвести разборку, очистку и мойку оборудования: механического - после остановки движущихся частей с инерционным ходом, а теплового - после полного остывания нагретых поверхностей.

.5. По окончании работы электросковороды:

выключить нагрев и отключить используемый аппарат от электрической сети;

после остывания сковороды слить жир;

пригоревшие к поду частички продуктов соскоблить деревянным скребком;

вымыть чашу горячей (не выше 50°С) водой, оставить открытой для просушки, а затем смазать тампоном, смоченным в жире, и закрыть крышкой;

стол и эмалированные облицовки промыть горячей водой и насухо протереть ветошью.

.6. Мармиты для вторых блюд выключить из сети и, при вынутом поплавковом устройстве, тщательно промыть поддон, парогенератор и мармитницы. Установить поплавковое устройство на место, парогенератор заполнить водой.

.7. Закрыть вентили (краны) на трубопроводах газа, пара, холодной и горячей воды.

После отключения газоиспользующих установок снять накидные ключи с пробковых кранов.

.8. Не производить уборку мусора, отходов непосредственно руками, использовать для этих целей щетки, совки и другие приспособления.

Приложение З

Утверждаю:

Директор ресторана «Стейк-Хауз»

Г. Санкт-Петербург

«______»_________200… г.

ДОЛЖНОСТНАЯ ИНСТРУКЦИЯ

Главного технолога (зав.производством)

. ОБЩИЕ ПОЛОЖЕНИЯ

.1. Главный технолог подчиняется непосредственно директору ресторана.

.2. Главный технолог назначается, перемещается и освобождается от работы директором.

.3. Главный технолог является полноправным руководителем и организатором производственной деятельности ресторана.

.ОБЯЗАННОСТИ

Главный технолог обязан:

.1. Участвовать в разработке квартальных и месячных производственных программ и календарных графиков.

.2.Устанавливать каждому участку, смене плановые задания и требовать безусловное их выполнение, организуя своевременное обеспечение необходимым сырьем, материалами.

.3.Обеспечить ритмичное выполнение всех заданий и технико-экономических показателей.

.4.Руководить работой по улучшению технологии и организации производства, полностью использовать производственные мощности и загрузку оборудования во всех сменах на участках производства собственной продукции.

.5.Эффективно использовать материальные ресурсы, принимать меры по предупреждению брака и простоев.

.6.Способствовать повышению квалификации работников подведомственной службы.

.7.Внедрять научную организацию труда и прогрессивное нормирование в целях оптимальной загрузки рабочих смены.

.8.Систематически проводить работу по охране труда, соблюдению правил и норм техники безопасности, производственной санитарии и пожарной безопасности.

.9.Обеспечивать сохранность оборудования, инструментов, тары и других ценностей на подведомственном участке.

.10.Осуществлять подбор рабочих, их расстановку и целесообразность использования.

.11.Обеспечивать на рабочих местах безопасные и здоровые условия труда, направленные на исключение несчастных случаев, аварий и профессиональных заболеваний.

.12.Обеспечивать выполнение в установленные сроки приказов и указаний, предписаний и требований органов Государственного надзора, технических инспекторов труда, работников служб охраны труда, замечаний и предложений служащих и общественных инспекторов по охране труда.

.13.Немедлено сообщать руководству, службе охраны труда о каждом несчастном случае, происшедшем на участке.

.14. Принимает необходимые меры для предупреждения аналогичных случаев.

. ПРАВА

.1. В соответствие с трудовым законодательством давать предложения о приеме, увольнении и переводе на другую работу рабочих.

.2.Определять права и обязанности работников, согласовывая с существующими функциональными подразделениями.

.3.В соответствии с трудовым законодательством и правилами внутреннего распорядка налагать на нарушителей производственной и трудовой дисциплины дисциплинарные взыскания.

Похожие работы на - Организация контроля качества в сфере услуг (на примере ООО 'Алиса' - 'Стейк-Хауз')

 

Не нашли материал для своей работы?
Поможем написать уникальную работу
Без плагиата!
Без нейросетей!