Анализ факторов, влияющих на цену туристической путевки
Федеральное
государственное автономное
образовательное
учреждение
высшего
профессионального образования
«СИБИРСКИЙ
ФЕДЕРАЛЬНЫЙ УНИВЕРСИТЕТ»
Институт
экономики, управления и природопользования
Кафедра
социально-экономического планирования
КУРСОВАЯ
РАБОТА
«Анализ
факторов, влияющих на цену туристической путевки»
Руководитель
старший
преподаватель А. М. Булавчук
Студент группы ЭЭ
11-03 131102214
О.
А. Непомнящих
Красноярск
2013
Содержание
Введение
Глава
1. Общие аспекты туристической деятельности
1.1 Туристический
бизнес в Красноярске
1.2 Выбор
факторных признаков
Глава
2. Построение и анализ модели
2.1
Сбор и предварительная обработка исходной информации
2.2
Формирование модели
2.3
Статистическое оценивание модели и проверка ее на адекватность
2.4
Анализ модели
Заключение
Список
литературы
Приложение
А
Введение
цена туристическая путевка
Джон Бернал, физик, основатель науковедения,
живший в прошлом столетии, сказал: «Наука - не предмет чистого мышления, а
предмет мышления, постоянно вовлекаемого в практику и постоянно подкрепляемого
практикой.» Действительно, многие ученые проводили и проводят свои исследования
для применения результатов этих работ на практике, в быту, и идею для работы
они находят в повседневных явлениях. Поэтому когда необходимо было выбрать тему
для курсовой работы, для такого небольшого исследования, мне захотелось, чтобы
эта работа имела практическое применение. И я выбрала сферу туризма. На мой
взгляд, использование научных подходов даже в такой области, где решающее
значение имеют желание и вкусы человека, вполне возможно, как минимум, в
качестве вспомогательных. Актуальность выбранной темы особенно высока сейчас,
весной, когда люди планируют свой летний отдых, некоторые из них - за рубежом.
В начале работы поставим перед собой цель:
выявить факторы, влияющие на цену путевки, и определить меру этого влияния.
Подобный анализ может быть осуществлен с помощью
методов эконометрики, поэтому задачи нашей работы будут определяться этапами
эконометрического моделирования:. Изучение объекта;. Сбор и
предварительная обработка информации;. Построение модели;. Статистическое
оценивание модели и проверка ее на адекватность;. Анализ модели.
Глава 1. Общие аспекты туристической
деятельности
Решение задачи I «Изучение объекта» подразумевает
качественный анализ объекта, основанный на теоретических знаниях о
функционировании объекта и взаимосвязи его частей. Поэтому работу начнем с
изучения основ туристической деятельности: кто может быть продавцом
туристических услуг, какие виды путевок существуют и что они в себя включают.
Туристический бизнес в Красноярске
Осуществление туроператорской деятельности в
России допускается юридическими лицами при наличии у них финансового
обеспечения. Срок обеспечения - не меньше одного года. Финансовая гарантия
является обязательным условием работы туроператоров. Причем различий между
отечественными и иностранными туроператорами в этом отношении нет - как те, так
и другие обязаны иметь финансовые ресурсы, гарантирующие стабильную работу,
если ведут свою деятельность на территории РФ.
Размеры финансовых гарантий для туристических
операторов, занятых в сфере международных путешествий, составляет 30 млн. руб.
Для туроператоров, ведущих деятельность в сфере внутреннего туризма (в пределах
России), размер финансового обеспечения должен быть 500 тысяч руб.
Туроператоры, занятые в сфере и внутреннего, и международного туризма имеют
гарантии на суммы не менее 30 млн. рублей.
Туроператоры, осуществляющие деятельность в
сфере выездного туризма, должны быть также членами объединения туроператоров в
сфере выездного туризма.
На рынке туристических продуктов сегодня
действует два основных типа компаний:
туроператоры;
турагенты.
Туроператоры - это компании-производители
туристских услуг. Они представляют собой «фабрики», производящие туры из
различных компонентов (трансфер, авиабилет, размещение в гостиницах, оформление
визы и страховки, экскурсионное обслуживание).
Турагенты - «магазины», основной их целью
является продажа туристских услуг (путевок).
В городе Красноярск в 2013 году ведет свою
деятельность 21 туроператор, внесенный в Единый федеральный реестр
туроператоров. Из них 9 работают в сфере международного выездного туризма, 20 -
в сфере внутреннего туризма.
Туроператоры Красноярска подразделяются на два
основных вида:
Крупные операторы. Они не занимаются продажей в
розницу, а продают турпакеты, используя сеть уполномоченных турагентств;
Малые и средние операторы. Они производят, а
кроме того, еще и продают турпакеты розницей.
По состоянию на начало мая 2013 г. по данным
информационно-справочной системы 2ГИС в Красноярске действует 427 туристических
агентств. Турагентства также делятся на две основные категории, но совсем по
другому признаку:
сетевые турагентства представляют собой точки
продаж, которые объединены общим брендом, технологией работы,
рекламно-маркетинговой политикой и др.;
независимые турагентства (их насчитывается 70%
от общего количества туристических компаний).
В Красноярске осуществляют свою деятельность
следующие крупные федеральные туристические сети:
Тез Тур;
Анекс Тур;
Библио Глобус;
Пегас Туристик;
Русский экспресс;
Спутник;
Корал Тревел;Tour;
тур;
Горячие туры и др.
Как правило современные российские туроператоры
и турагенства предлагают путевки трех видов:
Пакетные туры - туры на отдых, которые, как
правило, состоят из перелета, страховки, проживания в отеле, трансферов и
визового обслуживания. Пакетные туры не содержат в себе экскурсий. Это самый
популярный способ заказать путевку.- это система бронирования, при которой
название отеля заранее неизвестно. Имеется возможность выбора региона (в
отдельных случаях - города), а так же категории отеля. Название гостиницы
становится известным за несколько дней до вылета. Преимущество системы Fortuna
очевидно: если повезет, за более чем умеренную цену можно провести отпуск в
отеле, который стоит значительно дороже при его непосредственном бронировании.
В любом случае у туристов, заказавших тур по этой системе, есть прекрасная
возможность отдохнуть на выбранном курорте по оптимально экономной цене.
Индивидуальные туры - туристический пакет,
создаваемый для конкретного туриста, например, по случаю знаменательного
события.
Насколько много сейчас в Красноярске существует турфирм, настолько же много
направлений туризма они предлагают. Каждый год красноярцы открывают для себя
новые курорты с прямым вылетом из города.
Для проведения исследования остановимся на
курортах о. Бали, Индонезия.
Бали как квинтэссенция желаний любого туриста.
Он привлекает путешественников своими первозданными ландшафтами, тропическими
лесами, внушительными вулканами Кинтамини, Гунунг-Батур и Гунунг-Агунг,
древними храмами и, конечно же, песчаными пляжами.
Бали - идеальное место и для отдыха в стиле
«Баунти» и для серфинга, торговые центры, традиционная медицина - все это
доступно для гостей Бали.
Бали - самый популярный и самый развитый в
туристическом плане индонезийский курорт.
На Бали представлены все лучшие мировые
гостиничные сети.
Подобная универсальность, на мой взгляд,
является плюсом для исследователя: на Бали найдут свое воплощение разные
стороны одних и тех же факторов туризма.
Выбор факторных признаков
Для продолжения работы ознакомимся с
предлагаемыми турфирмами Красноярска туристическими пакетами, при следующих
замечаниях:
• Путешествие на о. Бали, Индонезия;
• Вылет из г. Красноярска;
• Путевки с вылетом в апреле или в
августе.
В качестве источника информации мы будем
использовать сайты #"798761.files/image001.gif">
Обратим внимание на значение средней бинарных
переменных пляж и горящая путевка, 0,22 и 0,44, соответственно, то есть только
22% отелей из нашей выборки имеют в собственности пляж, и 44% путевок
предполагают вылет в апреле. На основании значений можно предположить, что
влияние переменной, соответствующей признаку пляж, будет незначимым, а влияние
переменной, описывающей время вылета, будет значимым.
Примерно две трети нашей выборки находятся в
ценовой области 79650,6± 21885,5 руб.
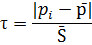
Отсев грубых погрешностей
Проверим на аномальность наибольшее и наименьшее
значения цены турпутевки, используя статистику:
Вычисления произведем с помощью MS Office Excel.
Для Pmax= 116319,0 τ=|116319
- 79804|/22173=1,675485492.
В качестве критерия, с которым будем сопоставлять
расчетное значение τ, выберем τр.
Вычислим
τр
с помощью таблицы критических значений распределения Стьюдента:
Из таблицы распределения Стьюдента выбираем при
n=48 и доверительной вероятности (1-p) 95% и 99,9% критические значения
t5%=1,6772 и t0,1%=3,2669.
Вычислили и получили τ5%=
1,647007, τ0,1%= 2,985493.
,647007<τ<2,985493,
следовательно значение не признается аномальным и не исключается из выборки.
Проверим на аномальность минимальное значение
pmin=42922,0:
τ=1,663374.
При t5%=1,6772, t0,1%=3,2689 статистики равны
τ5%= 1,647007, τ0,1%= 2,985493. Таким
образом, τ0,1% >τ> τ5%,
что означает отсутствие погрешности.
Проверка распределения на нормальность
Проверка распределения на нормальность -
основное содержание предварительной обработки результатов наблюдений.
Сформулируем нуль-гипотезу:
Н0: распределения является нормальным, и
альтернативную ей
Н1 : распределение не является нормальным.
Быструю проверку гипотезы нормального
распределения проведем с помощью R/S̄ - критерия, где R - размах выборки.
Для этого вычислим отношение
/S̄= (116319- 42922)/ 22173,0=3,310197
Сопоставим полученное значение с критическими
границами этого отношения, приведенными в соответствующей таблице, при
вероятности ошибки 5%. /S̄ниж=3,83, R/S̄верх=5,35: рассчитанное нами
значение не попадает в указанный интервал, следовательно, отвергается гипотеза
о нормальном распределении.
Судить о близости распределения к нормальному
можно также по значения коэффициентов асимметрии и эксцесса.
Гипотезу о нормальном распределении не следует
отвергать, если
и
,
где
Для нашей выборки As=0,219750, Ex=-1,29288,
σAs =0,336600709, σEx
= 0,661908375.
При As/σAs
= 1,531743839, Ex/σEx
= -0,511964277
и
,
следовательно, подтверждается нулевая гипотеза о нормальном распределении.
Далее проведем более строгую проверку
распределения с помощью критерия χ2.
.2 Формирование модели
Работу над задачей III «Построение модели»
проведем следующим образом:
Определим общую форму модели;
Статистически исследуем взаимосвязи между
признаками с помощью процедур корреляционного анализа.
Начнем работу над формированием модели.
). Определение общей формы модели.
Определим статус переменных и введем символьную
запись:
Цена (у, price) - зависимая переменная,
независимые переменные:
Класс отеля (х1, hotel);
Длительность отдыха (х2, duration);
Тип пития в отеле (х3, meal);
Категория номера (х4, room);
Расположение отеля относительно моря (х5, line);
Курортная зона (х6, place);
Горящая путевка (х7, last_minuit);
Пляж (х8, beach).
По содержанию изучаемого нами явления можно
предположить, что связь между признаками будет линейной. Преимущества линейной
формы связи заключается в простоте интерпретации модели и в получении надежных
оценок параметров, благодаря процедурам оценивания, более доступным и надежным
именно для линейных моделей.
б). Статистическое исследование взаимосвязи
между признаками с помощью процедуры корреляционного анализа.
Построим корреляционную матрицу.
Таблица 3 - Корреляционная матрица
|
hotel
|
duration
|
meal
|
room
|
line
|
place
|
last_min
|
beach
|
price
|
|
1
|
-0,3542
|
0,1507
|
0,4033
|
-0,2203
|
0,0823
|
-0,1396
|
0,2648
|
0,5951
|
|
1
|
-0,1736
|
-0,3491
|
-0,0192
|
-0,0370
|
-0,0252
|
-0,0939
|
-0,1907
|
|
|
1
|
0,0008
|
0,1201
|
-0,0258
|
0,0310
|
-0,0478
|
0,4320
|
|
|
|
1
|
-0,1637
|
-0,0097
|
-0,2936
|
-0,0021
|
0,5093
|
|
|
|
|
1
|
0,0997
|
0,0551
|
-0,3481
|
-0,1007
|
|
|
|
|
|
1
|
-0,1330
|
-0,1780
|
0,2407
|
|
|
|
|
|
|
1
|
0,1128
|
-0,4325
|
|
|
|
|
|
|
|
1
|
0,0057
|
|
|
|
|
|
|
|
|
1
|
Как видим, наибольшее влияние на результирующий
признак оказывает х1, класс отеля. Также оказываю значительное влияние х4, х3 и
х7: тип питания, категория номера и время от покупки путевки до вылета на
курорт.
Проверим значимость коэффициентов.
Сформулируем две гипотезы:
Н0: ⍴ху=0
о том, что генеральный коэффициент корреляции равен нулю, а значит
статистически существенной связи между результирующей переменной и фактором
нет.
Н1: ⍴ху≠0,
следствие из которой - существование связи между признаками.
В качестве статистического критерия будем
использовать t-статистику Стьюдента:
Сопоставим данное значение с табличным
критическим значением распределения Стьюдента.
Если tрасч > tтабл, то подтверждается
гипотеза Н1 и делается вывод о наличии статистически существенной связи между
исследуемыми признаками.
Если tрасч ≤ tтабл , то подтверждается Н0
, и мы можем говорить об отсутствии связи между признаками.
Рассмотрим процедуру проверки значимости для
одного коэффициента корреляции, для остальных занесем результаты вычисления в
таблицу (произведем все расчеты в MS Office Excel).
Для коэффициент rx1,y=0,5951, описывающего связь
между ценой путевки и классом отеля, tрасч=5,130299543. Критическое значение
при ν=48
(число
степеней свободы), р=5% определим по таблице Процентные точки распределения
Стьюдента :табл=1,6772, что меньше tрасч следовательно, коэффициент является
значимым при 95% уровне доверительной вероятности. Построим доверительный
интервал:
,441906365≤ρx1y ≤0,748293635
Таблица 4 - Проверка значимости коэффициентов
корреляции между зависимым признаком и фактором.
|
Фактор
|
Коэффициент парной корреляции
|
tрасч
|
tα,ν, ν=48
|
Вывод
|
Доверительный интервал
|
|
hotel, х1
|
0,5951
|
5,1303
|
1,6772, α=0,05
|
Значим
|
(0,441906365; 0,748293635)
|
|
duration, х2
|
-0,1907
|
1,34590797
|
1,6772, α=0,05
|
Не значим
|
|
|
meal, х3
|
0,4320
|
3,318629
|
1,6772, α=0,05
|
Значим
|
(0,239071502; 0,624928498)
|
|
room, х4
|
0,5093
|
4,100138
|
1,6772, α=0,05
|
Значим
|
(0,333630381; 0,684969619)
|
|
line, х5
|
-0,1007
|
0,70123
|
1,6772, α=0,05
|
Не значим
|
|
|
place, х6
|
0,2407
|
1,718132
|
1,6772, α=0,05
|
Значим
|
(0,067578339; 0,413821661)
|
|
last_min х7
|
-0,4325
|
3,323353
|
1,6772, α=0,05
|
Значим
|
(-0,625325971; -0,239674029)
|
|
beach, х8
|
0,0057
|
0,039491
|
1,6772, α=0,05
|
Не значим
|
|
Мы получили, что х2, х5 и х8 не оказывают
влияния на зависимую переменную, то есть ни длительность отдыха, ни
расположение отеля относительно моря, ни то, принадлежит пляж отелю или
муниципалитету, значимо не влияет на итоговую цену путевки.
Отсутствие влияния расположения отеля на цену
путевки можно объяснить тем, что на стоимость проживания в отеле, в первую
очередь, может влиять его класс. На Бали расположение гостиниц таково, что 3*
отель может находиться в километровом удалении от пляжа, а 1* отель - на более приемлемой
для отдыхающих первой линии, и наоборот. Поэтому влиять этот фактор не может.
Отсутствие влияния на цену путевки длительности
отдыха можно объяснить особенностью выборки: в основном, в ней представлены
туры на 13-16 дней, то есть нет большой вариации в продолжительности, чтобы
можно было отметить значимое влияние на цену пакета.
А выбытие из набора переменных фактора,
описывающего собственность на пляж, подтверждает наше предположение, сделанное
по описательной статистике.
Однако данные факторы из рассмотрения исключать
не будем, посмотрим, как они повлияют на исходную модель регрессии.
Проверим на значимости коэффициенты корреляции
между объясняющими переменными, отличающиеся относительно высокими значения.
Таблица 5 - Проверка значимости коэффициентов
корреляции между факторными переменными
|
Признаки
|
Коэффициент корреляции
|
tрасч
|
tα,ν, ν=48
|
Вывод
|
Доверительный интервал
|
|
х1 и х2
|
-0,3542
|
2,62409
|
1,6772, α=0,05
|
Значим
|
(-0,561636836; -0,146763164)
|
|
х1 и х4
|
0,4033
|
3,053483
|
1,6772, α=0,05
|
Значим
|
(0,204685206; 0,601914794)
|
|
х1 и х5
|
-0,2203
|
1,564725078
|
1,6772, α=0,05
|
Не значим
|
|
|
х4 и х7
|
-0,2936
|
2,127901
|
1,6772, α=0,05
|
Значим
|
(-0,510348314; -0,076851686)
|
|
х2 и х4
|
-0,3491
|
2,581019351
|
1,6772, α=0,05
|
Значим
|
(-0,557387614; -0,140812386)
|
|
х5 и х8
|
-0,3481
|
2,5726
|
1,6772, α=0,05
|
Значим
|
|
|
х1 и х8
|
0,2648
|
1,902501
|
1,6772, α=0,05
|
Значим
|
|
Наблюдаемую корреляцию объясняющих переменных
можно объяснить с точки зрения их качественного содержания. Как известно,
покупаешь больше - платишь меньше (это объясняет обратную связь между ценой и
продолжительностью отдыха), но, как показывает коэффициент корреляции между
длительностью отдыха и классом отеля и категорией номера (х2 и х4, х1 и х2),
эта выгода достигается за счет того, что выбирая более длительный отдых покупатель
будет вынужден жить в отеле, номере более низкого рейтинга, чем если бы он
отдал предпочтение короткому отдыху.
Но, как можно судить по коэффициенту корреляции
х4 и х7 (категории номера и временем приобретения путевки), путешественник
сможет сэкономить при покупки путевки за совсем короткий срок до отправления и
жить в номере более высокого класса, чем если бы он планировал свой отдых
заранее.
Связь класса отеля и типа номера также
объяснима: гостиницы с высоким рейтингом предлагают своим клиентом номера более
высокого уровня комфорта, чем 2* и 3* отели, в которых, в основном, номера типа
std и superior.
Но так как корреляция между объясняющими
переменными невысока (менее 0,41 по абсолютной величине), никакие факторы из
рассмотрения исключать не будем.
Получили набор объясняющих переменны: х1, x2,
х3, x4, х6 и х7, которым соответствуют признаки: класс отеля, длительность
отдыха, тип питания, категория номера, курортная зона и горящая путевка.
Таким образом, общая форма модели, объясняющей
формирование цены путевки, будет выглядеть следующим образом:
y=β0+β1x1+ β2x2+β3x3+ β4x4
+β6x6+β7x7+ε.
Перейдем к IV задаче нашей курсовой работы.
.3 Статистическое оценивание модели и проверка
ее на адекватность
Проведем процедуру регрессионного анализа с
помощью метода наименьших квадратов. Получим оценки параметров:
|
b0
|
-14546,4
|
|
Класс отеля
|
b1
|
12471,7
|
|
Длительность отдыха
|
b2
|
1848,81
|
|
Тип питания
|
b3
|
12172,7
|
|
Категория номера
|
b4
|
-457,349
|
|
Расположение отеля (линия)
|
b5
|
4913,2
|
|
Курорт
|
b6
|
-11632,1
|
|
Горящий тур
|
b7
|
-434,074
|
|
Пляж
|
b8
|
4211,7
|
Исходная эконометрическая модель нашей задачи,
таким образом, принимает вид:
у̂= -14546,4+12471,7х1 +1848,81х2+
12172,7х3 -457,349х4+4913,2х5-11632,1х6-434,074х7+4211,7 х8+е.
Проведем проверку на наличие
мультиколлинеарности методом инфляционных остатков:
Класс отеля 1,477
Продолжительность отдыха 1,296
Тип питания 1,083
Категория номера 1,455
Горящая путевка 1,158
Курорт 1,084
Расположения отеля (линия) 1,227
Пляж 1,294
Все инфляционные факторы меньше 10, значит,
мультиколлинеарность отсутствует.
Проверка значимости уравнения регрессии
Подобная процедура поможет нам установить,
соответствует ли эконометрическая модель имеющимся данным.
Н1: βj≠0
о существовании хотя бы одного параметра, отличного от нуля, что
свидетельствовало бы о значимости модели.
Для проверки гипотезы будем использовать
F-критерий:
Для нашей модели, используя возможность
проведения дисперсионного анализа в Gretl, находим:
=2089100000,00
/164803000,00= 12,68
Сопоставим с Fтабл= 2,17399, с числом степеней
свободы ν1=8,
ν2=41
и доверительной вероятностью 95%:табл <
,
делаем заключение, что выборочные данные не подтверждают нулевую гипотезу. Все
или некоторые переменные имеют влияние на результирующий признак. Узнаем, какие
именно.
Проверка значимости оценок параметров уравнения
регрессии
Сформулируем две гипотезы:
Н0: о том, что параметр генерального уравнения
регрессии βi не значимо
отличается от нуля, что означает отсутствие влияния на результирующую
переменную i-го фактора. А также вторую гипотезу
Н1: βj≠0
о значимом отличии от нуля параметра, следствие из которого - признание влияния
фактора на функцию отклика.
В качестве статистического критерия будем
использовать t-статистику Стьюдента.
Определим значение
и сопоставим его с табличным значением, при
количестве степеней свободы ν=41
=1,6828.
Если
,
то βj
значим,
если соотношение не выполняется, то оценка признается незначимой.
Для значимого параметра построим доверительный
интервал:
Произведем вычисления и занесем их в таблицу 5.
Таблица 6 - Проверка значимости оценок
параметров
уравнения регрессии
|
Коэффициент
|
Оценка
|
Ст.ошибка
|
tрасч
|
tтабл
|
Вывод
|
Доверительный интервал
|
|
b0
|
-14546,4
|
25094,6
|
-0,5797
|
1,68288, р=0,05
|
Не значим
|
|
|
b1 (hotel)
|
12471,7
|
3184,46
|
3,9164
|
1,68288, р=0,05
|
Значим
|
6040,59;18902,9
|
|
b2 (duration)
|
1848,81
|
1348,7
|
1,3708
|
1,68288, р=0,05
|
Не значим
|
|
|
b3 (meal)
|
12172,7
|
2596,51
|
4,6881
|
1,68288, р=0,05
|
Значим
|
6928,93;17416,4
|
|
b4 (room)
|
4913,2
|
1576,83
|
3,1159
|
1,68288, р=0,05
|
Значим
|
1728,72; 8097,67
|
|
b5 (line)
|
-434,074
|
2646,47
|
-0,1640
|
1,68288, р=0,05
|
Не значим
|
|
|
b6 (place)
|
4211,7
|
1925,53
|
2,1873
|
1,68288, р=0,05
|
Значим
|
323,004; 8100,39
|
|
b7 (last_min)
|
-11632,1
|
3936,54
|
-2,9549
|
1,68288, р=0,05
|
Значим
|
-19582,1;-3682,04
|
|
b8 (beach)
|
-457,349
|
4985,72
|
-0,0917
|
1,68288, р=0,05
|
Не значим
|
|
Таким образом, оценки b1,b3, b4, b6 и b7 значимы
при 95% доверительной вероятности, а b0, которую мы могли бы
проинтерпретировать, как среднее значение цены, b2, b5, b8 оказались не
значимым. Вновь обратимся к процедуре МНК. Последовательно исключим незначимые
факторы из уравнения, обращая внимание на значение R2.
Исходное уравнение имело вид:
у̂= -14546,4+12471,7х1 +1848,81х2+
12172,7х3 -457,349х4+4913,2х5-11632,1х6-434,074х7+4211,7 х8+е, R2=0,7121.
Исключим переменную х8 (пляж) из уравнения, так
как она имеет наименьшую по модулю tрасч, получим R2= 0,7120.
Далее удалим х5 (расположение отеля), R2=0,7119.
После исключения const, R2= 0,9799 и значимой
стала оценка b2.
Таким образом, получили следующее выборочное
уравнение регрессии:
̂у= 11484,3 х1 + 1077,14х2+11732,7х3+
4707,24 х4 +3935,34 х6 - 12350,0х7+е.
Проверим качество уравнения регрессии по
коэффициенту детерминации R2.=0,9799 и R2испр=0,9776, что говорит о достаточно
хорошей описательной способности модели.
Проанализируем статистическую значимость
коэффициента детерминации. Сформулируем гипотезы:
Н0: R2=0. Если данная гипотеза подтверждается,
то мы можем утверждать, что совокупное влияние объясняющих переменных на
объясняемую статистически несущественно.
Н1: R2>0, что говорит о качестве модели.
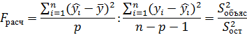
Для проверки гипотез используем F-статистику
Фишера:
расч=
.
Если Fрасч > Fтабл, при ν1=8,
ν2=41,
то гипотеза Н0 отклоняется в пользу Н1 и мы говорим о том, что построенная
модель хорошо объясняет поведение зависимого признака.
Если Fрасч ≤ Fтабл , то подтверждается Н0.
Для нашей модели Fрасч=249,85 , Fтабл =2,17399,
при α=0,05.
Следовательно,
коэффициент детерминации признается значимым с 95% вероятностью.
Тестирование гетероскедастичности при помощи
критерия Уайта
Построим гипотезы:
Н0: σi2=σ2 и
Н1: σi2≠σ2
для
всякого наблюдения.
При подтверждении исходной гипотезы, мы сделаем
вывод о постоянстве дисперсии отклонений случайной компоненты, о
гомоскедастичности, в противном случае - о гетероскедастичности.
Критерием выступит величина n* R2, которая в
случае гомоскедастичности асимптотически распределена, как χр-12,
где R2 - коэффициент детерминации уравнения регрессии квадратов этих остатков и
всех факторы нашей модели.
Имеем R2 = 0,736470,
χрасч2=n*
R2=36,82, а критическое значение χ52= 11,0705,
χрасч2>
χ52
, следовательно,
Но отвергается в пользу гипотезы о гетероскедастичности.
Для устранения этого недостатка применим
взвешенный метод наименьших квадратов при построении итоговой модели.
Данный метод применяется при известных для
каждого наблюдения значениях σi2. В
этом случае устранить гетероскедастичность можно, разделив каждое наблюдаемое
значение на соответствующее ему значение среднеквадратического отклонения.
Выбрав в качестве весовой переменной выберем х1,
подразумевающую класс отеля, построим уравнение регрессии, включающее все
имеющиеся факторы и проверим оценки параметров на значимость с помощью критерия
Стьюдента t с числом степеней свободы ν=41
р=0,05: t=1,68288 (таблица 7).
О качестве модели: R2=0,726833, F5,45= 21,22756.
Таблица 7 - Оценки параметров, полученные по
ВМНК.
|
Признак
|
Оценка
|
Значение
|
Ст. ошибка
|
t-статистика
|
|
const
|
b0
|
-14546,4
|
25094,6
|
-0,5797
|
|
Класс отеля
|
b1
|
12471,7
|
3184,46
|
3,9164
|
|
Продолжительность
|
b2
|
1848,81
|
1348,7
|
1,3708
|
|
Тип питания
|
b3
|
12172,7
|
2596,51
|
4,6881
|
|
Категория номера
|
b4
|
4913,2
|
1576,83
|
3,1159
|
|
Расположение отеля
|
b5
|
-434,074
|
2646,47
|
-0,1640
|
|
Курорт
|
b6
|
4211,7
|
1925,53
|
2,1873
|
|
Горящая путевка
|
b7
|
-11632,1
|
3936,54
|
-2,9549
|
|
Пляж
|
b8
|
-457,349
|
4985,72
|
-0,0917
|
Проведем окончательное построение модели,
пошагово удаляя незначимые факторы:
уберем из факторного пространства х8 (пляж),
получили R2=0,726833.
Далее вычтем из набора х5 (расположение отеля
относительно моря), R2=0,726379, и значимой стала оценка влияния х2
(длительность отдыха) с tрасч=1,704. Устраним const, R2=0,718367, b2 стала
вновь незначимой, удалим х2 из набора объясняющих переменных, получили
уравнение с R2=0,702258.
Таблица 8 - Оценки параметров итоговой модели
|
Признак
|
Переменная
|
Коэффициент
|
Ст. ошибка
|
t-статистика
|
|
Класс отеля
|
х1
|
14211,9
|
1917,94
|
7,4099
|
|
Тип питания
|
х3
|
12430
|
2366,75
|
5,2519
|
|
Категория номера
|
х4
|
4611,36
|
1466,74
|
3,1440
|
|
Горящая путевка
|
х7
|
-11096,1
|
3708,27
|
-2,9923
|
|
Курорт
|
х6
|
5248,71
|
1620,86
|
3,2382
|
Проверим на нормальность распределение остатков
модели с помощью критерия χ2 (см.
Рисунок 2)
Н0: распределение остаков является нормальным,
Н1 : распределение не является нормальным.
С помощью программы Gretl получили χ2расч
= 0,6996 и χ2крит= 9,48773 (при
р=0,05, ν=4).
0,6996<9,48773, следовательно, нулевая
гипотеза о нормальном распределении подтверждается.
Рисунок 2 - График распределения остатков
Итоговая модель: у̂=14211,9х1+12430х3+4611,36
х4+5248,71х6 -11096,1х7.
Для сравнения влияния на зависимую переменную
различных объясняющих переменных вычислим стандартизированные коэффициенты
регрессии, коэффициенты эластичности. Интерпретация этих коэффициентов
затрудняется тем, что признаки в нашей модели качественные, поэтому будем
рассматривать вычисленные коэффициенты по большому счету не с точки зрения
содержания, а как критерий меры связи.
Стандартизованный коэффициент регрессии
определим по формуле
Коэффициент эластичности рассчитаем, как:
полученные значения занесем в таблицу 9.
Таблица 9 - Стандартизированные коэффициенты
регрессии и коэффициенты эластичности
|
Признак
|
Ст. отклонение
|
Стандартизированный коэф.
регрессии
|
Среднее
|
Коэф.эластичности, %
|
|
Класс отеля
|
0,69985
|
0,454465204
|
3,2
|
57,09697
|
|
Тип питания
|
0,73512
|
0,41751578
|
1,42
|
23,7206
|
|
Категория номера
|
1,4028
|
0,295575418
|
1,46
|
8,452649
|
|
Горящий тур
|
0,50143
|
-0,254228481
|
0,44
|
-6,12963
|
|
Курорт
|
0,40975
|
0,098268667
|
2,42
|
2,899454
|
Максимальный вклад в вариацию зависимого
признака вносит признак, означающий класс отеля, что логично, так как
проживание в отеле занимает значительную долю в стоимости турпакета и может
предопределять некоторые другие параметры отдыха. Далее, чуть меньшее влияние,
оказывает тип питания. Так как отдых бывает продолжительным, совокупный расходы
на питание в отеле получаются значительными. Самое минимальное значение
коэффициент регрессии принимает в отношении характеристики влияния выбранного
курорта Бали на цену турпутевки.
Можно отметить, что наиболее эластичной является
связь между классом отеля и ценой турпакета, наименее эластичной - между ценой
турпакета и курортом.
Применим построенную модель для построения
прогнозов цены турпакетов и оценим результаты.
Таблица 9 - Прогнозные и фактические значения
|
№
|
Фактическое
|
Расчетное
|
Остатки
|
|
|
1
|
116319,
|
88360,3
|
27958,7
|
|
|
2
|
78402,0
|
51351,1
|
27050,9
|
|
|
3
|
106797,
|
104106,
|
2690,61
|
|
|
4
|
78749,0
|
70174,4
|
8574,62
|
|
|
5
|
51106,0
|
74526,2
|
-23420,2
|
|
|
6
|
57579,0
|
70811,7
|
-13232,7
|
|
|
7
|
60008,0
|
79397,1
|
-19389,1
|
|
|
8
|
60516,0
|
74785,7
|
-14269,7
|
|
|
9
|
75783,0
|
60573,9
|
15209,1
|
|
|
10
|
52800,0
|
51351,1
|
1448,85
|
|
|
11
|
106797,
|
102702,
|
4094,70
|
|
|
12
|
50953,0
|
49477,7
|
1475,26
|
|
|
13
|
57232,0
|
59078,2
|
-1846,24
|
|
|
14
|
106797,
|
91606,2
|
15190,8
|
|
|
15
|
94650,0
|
84575,6
|
10074,4
|
|
|
16
|
96038,0
|
79326,9
|
16711,1
|
|
|
17
|
79254,0
|
93161,0
|
-13907,0
|
|
|
18
|
52878,0
|
59715,6
|
-6837,59
|
|
|
19
|
45922,0
|
40255,0
|
5666,99
|
|
|
20
|
48218,0
|
54466,9
|
-6248,88
|
|
|
21
|
51981,0
|
40255,0
|
11726,0
|
|
|
22
|
73480,0
|
66896,9
|
6583,12
|
|
|
23
|
74837,0
|
77264,1
|
-2427,12
|
|
|
24
|
68369,0
|
59078,2
|
9290,76
|
|
|
25
|
83576,0
|
59078,2
|
|
|
26
|
58115,0
|
72145,6
|
-14030,6
|
|
|
27
|
90107,0
|
70811,7
|
19295,3
|
|
|
28
|
107522,
|
92971,6
|
14550,4
|
|
|
29
|
107712,
|
91827,1
|
15884,9
|
|
|
30
|
108627,
|
104106,
|
4520,61
|
|
|
31
|
108627,
|
118469,
|
-9841,97
|
|
|
32
|
89760,0
|
102325,
|
-12564,5
|
|
|
33
|
91590,0
|
89257,2
|
2332,82
|
|
|
34
|
114684,
|
118318,
|
-3634,26
|
|
|
35
|
114684,
|
116536,
|
-1852,39
|
|
|
36
|
115252,
|
113220,
|
2031,74
|
|
|
37
|
109731,
|
106039,
|
3692,03
|
|
|
38
|
61712,0
|
55962,5
|
5749,49
|
|
|
39
|
65780,0
|
65563,0
|
216,986
|
|
|
40
|
55600,0
|
76060,4
|
-20460,4
|
|
|
41
|
89820,0
|
90423,0
|
-603,016
|
|
|
42
|
91296,0
|
102325,
|
-11028,5
|
|
|
43
|
95404,0
|
95034,4
|
369,620
|
|
|
44
|
60554,0
|
66896,9
|
-6342,88
|
|
|
45
|
62993,0
|
77264,1
|
-14271,1
|
|
|
46
|
69282,0
|
80731,0
|
-11449,0
|
|
|
47
|
63859,0
|
69575,7
|
-5716,66
|
|
|
48
|
65143,0
|
75860,0
|
-10717,0
|
|
|
49
|
76085,0
|
77901,5
|
-1816,47
|
|
|
50
|
79551,0
|
74187,0
|
5363,98
|
|
По данной таблице мы можем проверить качество и
точность расчетов по сформированному нами уравнению. Наглядно данные
представлены на рисунке 3. Например, турпутевка № 35, предполагающая
11-тидневный отдых в 4*-ном отеле первой линии Bali Tropik Resort & Spa на
курорте Нуса-Дуа с питанием по типу полупансион в номере категории deluxe рядом
с муниципальным пляжем, стоит 114684 руб. По нашей модели
у̂=14211,9х1+12430х3+4611,36 х4+5248,71х6
-11096,1х7, при
х1=4 (класс отеля), х3=2 (тип питания), х4=3
(категория номера), х6=4 (курорт), х7=0 (горящий тур),
такая путевка оценивается в 116536 руб, то есть
ошибка прогноза -1852,39руб.
В целом, прогнозы по нашей модели можно
охарактеризовать следующими показателями.
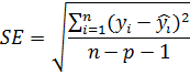
Стандартная ошибка регрессии (SE)= 12845,9
показывает возможные отклонения значений от уравнения регрессии:
Средняя ошибка прогноза (МЕ) = 726,88
показывает, какие, в среднем, ошибки прогноза по нашей модели можно ожидать при
увеличении числа прогнозов.
Средняя абсолютная ошибка в процентах (MAPE) =
13,248% позволяет оценить точность наших прогнозов по имеющемуся проценту
ошибок.
Рисунок 3 - Расчетные и прогнозные значения
2.4 Анализ модели
Проинтерпретируем полученный результат.
Оценка 14211,9 при х1 говорит о том, что,
отдавая предпочтение отелю большей комфортности, турист будет доплачивать
примерно 15 тыс. руб. за каждую дополнительную звезду в статусе отеля.
Оценка 12430 при х3 означает, что турист
сэкономил бы примерно 11 тысяч рублей, если бы имел возможность отказаться от
питания, входящего в пакетный тур.
Оценка 4611,36 при х4 отражает цену, которую
платит турист за улучшение категории своего номера. Например, если
путешественник пожелает иметь в номере встроенную кухню и изменит категорию
номера с superior на studio, то он должен будет доплатить примерно 5000 рублей.
Оценку 5248,71 при х6 можно интерпретировать как
плату туриста за атмосферу курорта, который он выбрал. Выбрав отель
определенного класса, расположенный, например, в Нуса-Дуа, путешественник
заплатит больше, чем за отель в Кута. Но плюс этого выбора будет заметен по
приезду на курорт: более чистые и ухоженные пляжи, не столь многолюдные, как в
Кута, и никаких домов местных жителей, что для многих туристов может быть
расценено как гарантия безопасности на улице.
Оценка -11096,1 при х7 подтверждает идею
существования горящих путевок. Согласно нашей кодировке 0 - путевка с вылетом в
августе (а значит купленная за несколько месяцев до вылета), 1 - путевка с
вылетом в апреле (то есть купленная примерно за неделю до вылета), и
получается, что импульсивные путешественники смогут сэкономить примерно 11
тысяч рублей. Это можно объяснить следующим образом. Покупая путевку заранее
турист оплачивает не только стоимость всех услуг, входящих в пакет, но и
бронирование номера в отеле, что повышает цену путевки, а путешественнику,
купившему путевку ближе к вылету, такую плату вносить не нужно.
С другой стороны, именно эту оценку можно
интерпретировать в другом смысле. Считается, что лучшее время для отдыха на
Бали - это май-сентябрь. Поэтому путевки, предполагающие отдых в апреле,
обойдутся дешевле, чем более популярные августовские путевки.
Заключение
В начале работы мы ставили цель: выявить
факторы, влияющие на цену путевки, и определить меру этого влияния.
Также были сформулированы несколько задач.
Прокомментируем кратко достижения каждого этапа работы.
Изучение объекта. На этом этапе мы познакомились
с основами туристического бизнеса, узнали, что туристические компании бывают
двух типов (агенты и операторы) и определили, что включает в себя стандартный
турпакет: перелет, трансфер, медицинскую страховку и проживание в отеле. Выбрав
один регион - Бали - мы определили факторный набор. В него вошли класс отеля,
продолжительность отдыха, категория номера, тип питания, длительность отдыха,
расположение гостиницы относительно моря, курортная зона, собственник пляжа и
горящая путевка.
Сбор и предварительная обработка информации.
Использовав, главным образом, информацию, размещенную на туристических сайтах,
мы сформировали выборку. Определили отсутствие грубых и аномальных значений в
ней, доказали ее соответствие закону нормального распределения. Изучили
описательную статистику.
Построение модели. Решая эту задачу, мы выбрали
линейную форму модели. Изучили корреляционную матрицу и определили незначимость
влияния нескольких факторов (длительность отдыха, расположение отеля,
собственник пляжа), но оставили их для дальнейшего рассмотрения.
Статистическое оценивание модели и проверка ее
на адекватность. Для построения модели мы применили стандартную процедуру МНК,
определили незначимость оценок параметров при переменных, которые мы отметили
на III этапе. Пошагово исключили их из модели. Но так как полученное уравнение
получило положительные результаты в тесте на гетероскедастичность, итоговую
модель мы строили по взвешенному МНК. Проверили качество модели, проведя прогноз
значения цены турпакета для имеющихся наблюдений.
Анализ модели. Как итог, мы проинтерпретировали
полученные оценки уравнения регрессии между ценой туристической путевки и
набором факторов (класс отеля, тип питания, категория номера, курорт, горящая
путевка). Все факторы, за исключением последнего, положительно влияют на цену
путевки, при чем класс отеля влияет в большей мере, чем другие.
На наш взгляд, такая работа имеет еще
перспективы развития, например, можно оценить, в какой мере влияет на цену путевки
популярность курорта или сезон года.
Список литературы
Елисеева
И.И., Юзбашев М.М. Общая теория статистики: Учебник/Под ред. И.И.Елисеевой.
М.:Финансы и статистика, 2006. 654 с;
Лапо
В. Ф. Теория вероятностей, математическая статистика и эконометрика:
Учеб.пособие/Кн.2. Краснояр. гос.ун-т. Красноярск, 1999. 330с;
Львовский
Е.Н. Сатистические методы построения эмпирических формул: Учеб. пособие для
вузов. М.: Высш. шк., 1988. 239 с.;
Об
основах туристической деятельности в РФ: федер. закон №132-ФЗ в редакции от
3.05.2012. URL:
http://base.consultant.ru/cons/cgi/online.cgi?req=doc;base=LAW;n=129632 (дата
обращения: 20.04.2013);
Единый
федеральный реестр туроператоров. URL:
http://reestr.russiatourism.ru/?ac=search&mode=1&ext=1&number=&name=&id_region=24&address=&fo_name=
(дата обращения: 20.04.2013);
Есаулов
Андрей. Турфирмы//Деловой квартал. URL: <http://krasnoyarsk.dkvartal.ru/wiki/turfirmy>
(дата обращения: 25.04.2013);
Все
для путешественника. Классификация отелей. URL:
http://forthetraveler.ru/poleznoe/kategorii-otelej-klassifikaciya-otelej.html
(дата обращения: 20.04.2013);
Туристический
портал ”Svali.ru”. Типы питания в отелях. URL:
http://hotels.svali.ru/index.php?index=54#1 (дата обращения: 20.04.2013);
Туристический
портал ”Svali.ru”. Классификация номеров.
http://hotels.svali.ru/index.php?index=54#5 (дата обращения: 20.04.2013);
Сайт
туристической фирмы «Coral travel». Бали. Семиньяк. URL:
http://www.coral.ru/main/bali/seminyak.aspx (дата обращения: 20.04.2013);
Википедия.
Свободная энциклопедия. Горящая путевка. URL:
http://ru.wikipedia.org/wiki/Горящая_путевка (дата обращения: 20.04.2013).
Приложение А
|
№
|
Турфирма
|
Отель
|
Длит-ть, ночь
|
Тип питания
|
Категория номера
|
Время вылета
|
Располо-жение
отеля
|
Курорт
|
Собственность на пляж
|
Цена, руб
|
|
1
|
Кенгуру
|
The Oasis Lagoon Sanur 4*
|
15
|
ВВ
|
deluxe
|
август
|
1
|
Санур
|
собственный
|
116319
|
|
2
|
Планета
|
Amaris 2*
|
13
|
ВВ
|
std
|
август
|
2
|
Kuta
|
муниципальный
|
78402
|
|
3
|
Гранд тур
|
Ramada Resort Camakila 4*
|
13
|
BB
|
deluxe
|
август
|
1
|
Nusa-dua
|
муниципальный
|
106797
|
|
4
|
Магазин горящих путевок
|
New Kuta Condotel 3*
|
13
|
BB
|
Superior
|
август
|
1
|
Kuta
|
муниципальный
|
78749
|
|
5
|
Африканские каникулы
|
Griya Santrian 4*
|
13
|
ВВ
|
std
|
|
1
|
Sanur
|
собственный
|
51106
|
|
6
|
Bora-Bora
|
Fave Hotel Umalas 3*
|
13
|
BB
|
std
|
…
|
1 line
|
Семиньяк
|
собственный
|
57579
|
|
7
|
Kusto
|
New Kuta Condotel 3*
|
13
|
BB
|
deluxe
|
|
2line
|
Kuta
|
муниципальный
|
60008
|
|
8
|
Ладья Трэвел
|
New Kuta Condotel 3*
|
13
|
ВВ
|
suite
|
|
2 line
|
Kuta
|
муниципальный
|
60516
|
|
9
|
Кругосвет
|
Амарис **
|
12
|
BB
|
suite
|
|
2
|
Kuta
|
муниципальный
|
75783
|
|
10
|
Кругосвет
|
Амарис **
|
13
|
BB
|
std
|
…
|
2
|
Kuta
|
муниципальный
|
52800
|
|
11
|
Гранд тур
|
Ramada Resort Camakila 4*
|
13
|
HB
|
std
|
август
|
1
|
Nusa-dua
|
муниципальный
|
106797
|
|
12
|
Планета
|
Amaris 2*
|
13
|
BB
|
suite
|
апрель
|
2
|
Kuta
|
муниципальный
|
50953
|
|
13
|
Магазин горящих путевок
|
New Kuta Condotel 3*
|
13
|
BB
|
suprerior
|
апрель
|
2
|
Kuta
|
муниципальный
|
57232
|
|
14
|
Магазин горящих путевок
|
Ramada Resort Camakila 4*
|
13
|
HB
|
std
|
апрель
|
1
|
Nusa-dua
|
муниципальный
|
106797
|
|
15
|
Гранд тур
|
Fave Hotel Umalas 3*
|
15
|
FB
|
std
|
|
1
|
Семиньяк
|
собственный
|
94650
|
|
16
|
Гранд тур
|
Quest Hotel Tuban 3*
|
15
|
FB
|
std
|
|
3
|
Кута
|
муниципальный
|
96038
|
|
17
|
Krasintour
|
The Sari Beach 3*
|
10
|
FB
|
deluxe
|
|
1
|
Кута
|
муниципальный
|
79 254 руб.
|
|
18
|
Дольче Вита
|
Fave Hotel Umalas***
|
13
|
BB
|
std
|
|
1
|
Семиньяк
|
собственный
|
52 878
|
|
19
|
Krasintour
|
16
|
BB
|
std
|
|
1
|
Кута
|
муниципальный
|
45 922
|
|
20
|
Сафари-тур
|
Gong Segara Homestay 3*
|
16
|
BB
|
std
|
…
|
3
|
Кута
|
муниципальный
|
48 218
|
|
21
|
АТВ-вояж
|
LA Inn Kuta 2*
|
16
|
BB
|
std
|
|
1
|
Кута
|
муниципальный
|
51 981
|
|
22
|
Путешественник
|
Quest Hotel Tuban 3*
|
10
|
НВ
|
std
|
|
3
|
Кута
|
муниципальный
|
73480
|
|
23
|
АТВ-вояж
|
Inna Grand Bali Beach 4*
|
10
|
BB
|
deluxe
|
|
1
|
Санур
|
собственный
|
74837
|
|
24
|
Путешественник
|
New Kuta Condotel 3*
|
10
|
BB
|
suprerior
|
|
2
|
Kuta
|
муниципальный
|
68 369
|
|
25
|
Планета
|
New Kuta Condotel 3*
|
15
|
BB
|
suprerior
|
|
2
|
Kuta
|
муниципальный
|
83576
|
|
26
|
Планета
|
Fave Hotel Umalas 3*
|
13
|
НB
|
std
|
апрель
|
3
|
Семиньяк
|
муниципальный
|
58115
|
|
27
|
Планета
|
Fave Hotel Umalas 3*
|
15
|
BB
|
std
|
август
|
3
|
Семиньяк
|
муниципальный
|
90107
|
|
28
|
Кусто
|
The Oasis Lagoon Sanur 4*
|
13
|
BB
|
studia
|
август
|
1
|
Санур
|
собственный
|
107522
|
|
29
|
Море отдыха
|
The Sari Beach 3*
|
15
|
НВ
|
deluxe
|
|
1
|
кута
|
муниципальный
|
107712
|
|
30
|
Кенгуру
|
Bali Tropik Resort & Spa 4*
|
13
|
ВВ
|
deluxe
|
|
1
|
Нуса-Дуа
|
муниципальный
|
108627
|
|
31
|
Голубые просторы
|
Bali Kuta Resort
by Swiss Belhotel 4*
|
13
|
FB
|
deluxe
|
…
|
3
|
Кута
|
муниципальный
|
108627
|
|
32
|
Гранд тур
|
Santika Siligita Hotel 3*
|
13
|
НB
|
deluxe
|
|
2
|
Нуса-Дуа
|
муниципальный
|
89760
|
|
33
|
Магазин горящих путевок
|
Centra Taum Seminyak 3*
|
13
|
ВВ
|
studia
|
|
3
|
Семиньяк
|
муниципальный
|
91590
|
|
34
|
Дольче Вита
|
Courtyard Bali Nusa Dua 5*
|
11
|
ВВ
|
deluxe
|
|
2
|
Нуса-Дуа
|
муниципальный
|
114684
|
|
35
|
Е-Трэвел
|
Bali Tropik Resort & Spa 4*
|
11
|
НВ
|
deluxe
|
…
|
1
|
Нуса-Дуа
|
муниципальный
|
114684
|
|
36
|
Море туров
|
The Oasis Lagoon Sanur 4*
|
11
|
FB
|
deluxe
|
|
1
|
Санур
|
собственный
|
115252
|
|
37
|
Райская птица
|
Ramayana Resort and Spa 4*
|
13
|
НВ
|
deluxe
|
|
2
|
Кута
|
муниципальный
|
109731
|
|
38
|
Три кита
|
Legian Village 2*
|
16
|
ВВ
|
suprerior
|
|
1
|
Кута
|
муниципальный
|
61712
|
|
39
|
Кругосвет
|
Bali Bungalow 3*
|
16
|
ВВ
|
std
|
|
1
|
Кута
|
муниципальный
|
65780
|
|
40
|
Клуб путеш-в
|
Сантика Селен 5760***
|
14
|
BB
|
std
|
|
2
|
Нуса-Дуа
|
муниципальный
|
55600
|
|
41
|
Planeta
|
Quest Hotel Tuban
3*о.Бали
/ Кута
|
13
|
FB
|
std
|
|
3
|
Кута
|
муниципальный
|
89 820
|
|
42
|
Planeta
|
Santika Siligita
Hotel 3*о.Бали
/ Нуса
Дуа
|
13
|
HB
|
deluxe
|
|
2
|
Нуса-Дуа
|
муниципальный
|
91 296
|
|
43
|
Planeta
|
The Sari Beach 3*о.Бали
/ Легиан
|
13
|
FB
|
suprerior
|
август
|
1
|
Кута
|
муниципальный
|
95 404
|
|
44
|
Karavan put-ii
|
Quest Hotel Tuban 3*
|
13
|
HB
|
std
|
апрель
|
3
|
Кута
|
муниципальный
|
60 554
|
|
45
|
E-travel
|
Inna Grand Bali Beach 4*
|
13
|
BB
|
deluxe
|
апрель
|
1
|
Санур
|
муниципальный
|
62 993
|
|
46
|
El-Mar
|
The Sari Beach 3*
|
13
|
HB
|
Deluxe
|
апрель
|
1
|
Кута
|
муниципальный
|
69 282
|
|
47
|
Ocean
|
Ibis Styles Bali Benoa 3*
|
13
|
BB
|
suprerior
|
|
2
|
Нуса-Дуа
|
собственный
|
63 859
|
|
48
|
Африканские каникулы
|
Griya Santrian 4*
|
13
|
HB
|
std
|
|
1
|
Санур
|
собственный
|
65 143
|
|
49
|
Караван путешествий
|
Jayakarta Bali 4*
|
13
|
BB
|
suite
|
|
1
|
Кута
|
муниципальный
|
76 085
|
|
50
|
Позитив Про Туристик
|
Ibis Styles Bali Benoa 3*
|
13
|
ВВ
|
suite
|
|
2
|
Нуса-Дуа
|
собственный
|
79 551
|