Характеристика двигателей и переходных процессов электропривода
Курсовая
работа
"
Характеристика двигателей в электроприводе"
Содержание
Введение
1. Описание рабочей машины и
ее технологического процесса
2. Предварительный выбор
электродвигателя
. Определение передаточного
числа редуктора и выбор редуктора
. Расчет приведенных моментов
инерции и коэффициента жесткости системы электропривод - рабочая машина
. Предварительная проверка
двигателя по производительности и нагреву
. Выбор станции управления
асинхронным двигателем с фазным ротором
. Расчет статических
характеристик электропривода
.1 Расчет естественной
характеристики двигателя
.2 Электромеханические
характеристики двигателя
8. Расчет параметров схем
включения двигателя, обеспечивающих работу в заданных точках
8.1 Расчет добавочных сопротивлений
в цепи двигателя в установившихся режимах работы
9. Расчет параметров схем
включения двигателя, обеспечивающих пуск и торможение двигателя
9.1 Реостатный пуск
.2 Реостатное торможение
.3 Динамическое торможение
10. Структурные схемы
электропривода
11. Расчет переходных процессов и
построение нагрузочных диаграмм электропривода
. Выбор резисторов и проверка
по нагреву
. Проверка электропривода по
производительности; проверка двигателя по нагреву и по перегрузочной
способности
Заключение
Список использованной литературы
Введение
В курсовом проекте будут рассмотрены вопросы
проектирования электропривода механизмов повторно - кратковременно циклического
режима работы.
Целями курсового проекта являются:
систематизация и закрепление знаний по курсу
"Теория электропривода";
ознакомление с серийно выпускаемым
электрооборудованием (электродвигателями, преобразователями, аппаратурой
управления);
освоение распространенных методов расчетов
электропривода.
В курсовом проекте рассматриваются вопросы
выбора двигателей по мощности; обоснованный выбор силового, оборудования и
аппаратуры управления электропривода рабочей машины; оценка статических,
динамических и энергетических показателей выбранного электропривода и
применение систем управления электрозаводами для механизмов, работающих в
повторно - кратковременном режиме работы.
Предусмотрены варианты кинематических схем
типовых механизмов, применяемых в промышленности, а также обеспечивается
возможность расчета электропривода по выбору.
Рассматриваются программы расчета характеристик
двигателей и переходных процессов электропривода, позволяющие получить основные
показатели переходных режимов, а также интегральные показателя работы
(механическую, активную и реактивную энергий среднеквадратичное значение тока
двигателя и пуско-тормозных резисторов, угол поворота вала и т.п.), необходимые
для расчета энергетических показателей и проверки двигателей по нагреву.
1. Описание рабочей машины и ее технологического
процесса
Механизм захвата манипулятора служит для
обеспечения подхвата труб, которые транспортируются в пределах участка цеха.
Кинематическая схема манипулятора приведена на рисунке 1.
Рисунок 1 - Кинематическая схема
механизма захвата: 5
- захваты; - винтовая передача; - редуктор; - электродвигатель; - труба;
электродвигатель редуктор
асинхронный резистор
При подхвате включается двигатель и посредством
редуктора и винтовой передачи захваты сводятся с установившейся скоростью Vс,
приподнимая и зажимая трубу. После перемещения трубы (специальным механизмом)
на нужную позицию производится реверсирование механизма, захваты разводятся,
обеспечивая опускание трубы. Скорость поступательного движения винта при
разведении захватов Vр > Vс.
Исходные параметры и технологические требования
к рабочей машине приведены в таблице 1.
Таблица 1-Технические данные механизма захвата
манипулятора
|
Наименование показателя
|
Обозначение
|
Размерность
|
Величина
|
|
Противодействующая сила
|
Q
|
кН
|
15
|
|
Средний диаметр нарезки винта
|
dв
|
мм
|
90
|
|
Угол подъема нарезки винта
|
α
|
град
|
5,5
|
|
Угол трения в нарезке винта
|
φ
|
град
|
5,9
|
|
Приведенная масса
|
m
|
т
|
160
|
|
Линейная жесткость механизма
|
cл
|
МН/м
|
80
|
|
Длинна выдвижения винта
|
L
|
мм
|
150
|
|
Скорость винта при сведении
|
Vс
|
мм/с
|
55
|
|
Скорость винта при разведении
|
Vр
|
мм/с
|
90
|
|
Допустимое ускорение
|
a
|
мм/с2
|
90
|
|
Число циклов в час
|
Z
|
-
|
50
|
|
Суммарное время работы, не более
|
tp
|
c
|
10
|
2. Предварительный выбор электродвигателя
Время пуска tп до установившейся
скорости с допустимым ускорением, торможения tт от установившейся
скорости до остановки:
(2.1)
Путь, проходимый за время пуска (торможения)
рабочей машиной:
(2.2)
Время установившегося режима движения со
скоростью Vy:
(2.3)
тогда, для режима сведения манипулятора получим:
c;
мм;
= 2,12 с.
Для режима разведения манипулятора по формулам
(1), (2) и (3) найдем
с;
45 мм;
0,667 с.
Статические сопротивления движения рабочей
машины создаются силами трения скольжения в подшипниках и винтовой передаче.
Учесть силы трения в подшипниках пока не выбран двигатель невозможно. Моменты
сил трения в винтовой передаче:
при выдвижении винта, преодолевающего силу Q,
(2.4)
где dB - средний диаметр
нарезки винта, м;
α - угол подъема нарезки
винта, рад;
φ - угол трения в нарезке
винта, рад;
при возвратном движении винта в
направлении действия силы Q:
;(2.5)
Найдем по формуле (3.4) статический
момент сопротивления сведению захватов:
Нм.
По формуле (3.5) определим
статический момент сопротивления разведению захватов:
Нм.
Определим радиус приведения сил:
;(2.6)
где V - скорость линейного
перемещения винта;
ω - угловая скорость движения
винта;- шаг выдвижения винта за один оборот;
α - угол подъема нарезки
винта;
По формуле (3.6) радиус приведения:
мм.
Для определения динамического момента рабочей
машины рассчитывается момент инерции рабочего органа:
кгм2,
где m - приведенная масса;
Определим динамический момент с учетом величины
допустимого ускорения:
Нм . (2.8)
Полный момент рабочей машины:
. (2.9)
Знак полного момента и его
составляющих зависит от направления движения и режима работы.
При сведении захватов полный момент
рабочей машины, по формуле (3.9), будет равен:
Нм.
При разведении:
Нм.
По результатам расчетов на рисунках
2 и 3 построены зависимости скорости рабочей машины от времени V(t) и
нагрузочные диаграммы моментов для каждого режима работы.
Рисунок 2 - Нагрузочная диаграмма скорости и
момента рабочей машины при сведении захватов
Рисунок 3 - Нагрузочная диаграмма скорости и
момента рабочей машины при разведении захватов
На основе построенных нагрузочных диаграмм
момента рабочей машины можно рассчитать среднеквадратичное значение момента, в
котором учтены не только статические нагрузки, но и часть динамических
нагрузок.
(2.10)
Здесь МК - момент на
k-том участке: k=1, 2, …, m, где под участком понимается промежуток времени, в
течение которого происходит разгон, торможение, работа с постоянной скоростью;K
- длительность k-того участка.
Среднеквадратичное значение момента
по формуле (3.10):
При этом мощность двигателя может
быть определена по соотношению:
(2.11)
где k1 - коэффициент,
учитывающий динамические нагрузки, обусловленные вращающимися элементами
электропривода (двигатель, редуктор), а также потерями в редукторе. Примем k1
= 1,4;
ПВФ - фактическое
значение относительной продолжительности включения проектируемого
электропривода;
ПВК - ближайшее к ПВФ
каталожное значение относительной продолжительности включения для
электродвигателей выбранной серии;
Фактическое значение относительной
продолжительности включения ПВФ рассчитываетя по длительности
времени работы tК на всех m участках движения по заданному времени
цикла:
с.
где Z - число циклов работы машины в час
тогда:
;
кВт.
Выбор электродвигателя произведем по
каталогу двигателей краново-металлургической серии - они имеют некоторые
преимущества:
· усилены обмотки статора и ротора;
· снижены моменты инерции;
· увеличена перегрузочная способность
двигателей.
Выбираем двигатель так, чтобы значение его
мощности при ПВкат было равно или несколько больше мощности, которую
мы рассчитали в предыдущем пункте.
Из асинхронных двигателей с короткозамкнутым
ротором выбираем двигатель МТF111-6, так как его мощность при ПВ=15% равна 4,5
кВт, что больше рассчитанной нами в предыдущем пункте.
Таблица 2 - Технические данные двигателя
МТF111-6
|
ПВ,%
|
15
|
40
|
|
,кВт4,53,5
|
|
|
|
,об/мин850895
|
|
|
|
,А12,910,4
|
|
|
|
0,810,73
|
|
|
|
,%66,070
|
|
|
|
,Н∙м8585
|
|
|
|
,А2115
|
|
|
|
,кг∙м20,1950,195
|
|
|
|
,кг7676
|
|
|
3. Определение передаточного числа редуктора и
выбор редуктора
Передаточное число редуктора определим по
известной номинальной скорости вращения выбранного электродвигателя и по
основной скорости рабочего органа:
, (3.1)
где
- номинальная скорость вращения
двигателя,
;- диаметр
колеса, преобразующего вращательное движение вала в поступательное, м;
- основная скорость рабочего
органа,
.
В соответствии с формулой (3.1)
имеем:
.
Выбранный редуктор должен иметь по
возможности передаточное число, равное или несколько меньшее расчетного
значения. Режим работы редуктора для рассматриваемых в данном пособии рабочих
машин следует принимать «тяжелый». По справочнику выбираем редуктор типа
РЦО-160, с передаточным числом равным 4,5, т.к. при этом значении погрешность
скорости входит в допустимый диапазон 10% от номинального значения. КПД данного
редуктора составляет 0,98%.
4. Расчет приведенных статических
моментов системы электропривод - рабочая машина
На этапе предварительного расчета
мощности электродвигателя по заданным техническим показателям рабочей машины
были рассчитаны статические и динамические моменты рабочей машины. После выбора
двигателя и редуктора, когда известны передаточное число, КПД редуктора,
статические моменты рабочей машины, приведенные к валу двигателя,
рассчитываются по формуле:
при сведении зажимов
=30,24 Нм; (4.1)
при разводе зажимов
= 15,8 Нм; (4.2)
Статический момент на валу в двигательном
режиме:
при сведении зажимов
=31,44 Нм; (4.3)
при разводе зажимов
=16,7 Нм; (4.4)
В тормозном режиме потери в
редукторе вызывают уменьшение нагрузки двигателя, при этом моменты на валу
определяют по формуле:
при сведении зажимов
=29,06 Нм; (4.5)
при разводе зажимов
=14,9 Нм; (4.6)
С помощью программы «harad»
определили Мхх=0,58 Нм.
Рисунок 4- Механическая характеристика двигателя
при ПВ=15%
Из расчётной таблицы при ω=89
рад/с
видно, что МЭМ=51,14 Нм. Следовательно Мхх=МЭМ-МН=51,14-50,56=0,58
Нм.
Суммарный, приведенный к валу двигателя, момент
инерции системы может быть рассчитан по соотношению:
при сведении зажимов
=1,4∙0,195+0,148=0,421 кг∙м2
где JД - момент инерции
ротора двигателя;
d- коэффициент, учитывающий момент инерции
остальных элементов электропривода: муфты, тормозного шкива, редуктора и др.
(примем в формуле коэффициент d= 1,4)
Jпр= Jро / J2р
- приведенный к валу двигателя суммарный момент инерции движущихся
исполнительных органов рабочей машины и связанных с ними движущихся масс
(грузов, заготовки и т.п.).
Приведенный к валу момент инерции
=0,148 кг∙м2
Для возможности учета влияния упругостей в
механизме дана линейная жесткость Сл механизма, отнесенная к
поступательно движущемуся исполнительному органу.
Приведенную к валу двигателя жесткость упругой
механической связи СПР определяют через значение линейной жесткости
рабочего вала (упругой муфты) по формуле:
74,2 Н/м
Значение установившейся скорости двигателя:
при сведении зажимов
=57,12 рад/с
- при разводе зажимов
=93,47 рад/с.
Динамический момент, обеспечивающий возможность
разгона и торможения с заданным допустимым ускорением:
при сведении и разведении зажимов
=39,4 Нм
Пусковой момент:
при сведении зажимов
= 31,44+39,4=70,82 Нм; (5.2.7)
при разводе зажимов
= -16,7-39,4=-56,09 Нм. (5.2.8)
при сведении зажимов
=29,06-39,4=-10,32 Нм; (5.2.9)
при разводе зажимов
=-14,9+39,4=24,48 Нм. (5.2.10)
Для приближенного расчета времени
переходного процесса оценивают средний момент двигателя Мср:
При реостатном пуске:ведение:
=54,28 Нм;
развод:
=-38,07 Нм
При динамическом торможении:ведение:
=-5,16 Нм
развод:
= 12,24 Нм
5. Предварительная проверка
двигателя по производительности и нагреву
Целями предварительной проверки являются:
изучение приближенных способов оценки времени
переходных процессов;
уточнение нагрузочных диаграмм момента и
скорости двигателя с учетом момента инерции предварительно выбранного
двигателя;
снижение затрат времени на выполнение курсового
проекта для случая, когда предварительно выбранный двигатель не проходит по
нагреву.
Используя выбранные выше значения пусковых и
тормозных моментов, скоростей установившихся режимов и возможности выбранной
схемы управления двигателем найдем:
) время переходного процесса
а) сведение зажимов
пуск
=1,054 с; (5.1)
торможение
= 0,703 с;
(5.2)
б) развод зажимов
пуск
= 1,844 с; (5.3)
торможение
= 1,451;
(5.4)
) угол поворота вала двигателя за
время переходного процесса:
а) сведение зажимов
пуск
= 30,1 град; (5.5)
торможение
= 20,1 град;
(5.6)
б) развод зажимов
пуск
= 86,2 град; (5.7)
торможение
= 67,2 град;
(5.8)
установившаяся скорость
= 155,8
град, (5.9)
где aПС - угол
поворота вала двигателя за время пуска при сведении зажимов;
aТС - угол поворота вала двигателя за
время торможения при сведении зажимов;
aПР - угол поворота вала двигателя за
время пуска при разводе зажимов;
aТР - угол поворота вала двигателя за
время торможения при разводе зажимов;
aУС - угол поворота вала двигателя с
установившимся значением скорости при сведении зажимов;
aУР - угол поворота вала двигателя с
установившимся значением скорости при разводе зажимов;
) время работы с установившейся
скоростью:
а) при сведении зажимов
= 1,85 с; (5.10)
б) при разводе зажимов
= 0,032 с. (5.11)
Примем, что момент двигателя за время переходною
процесса от начального до конечного значения скорости остается постоянным, т.е.
не учитываются в процессе пуска по правильной пусковой диаграмме нарастание и
снижение момента - при управлении от тиристорного преобразователя.
Проверка двигателя по производительности
заключается в сравнении суммарного фактического времени работы электропривода в
цикле tф, с заданным значением времени работы tр в
исходных данных для проектирования. Задание по производительности должно быть
безусловно выполнено, т.е. tф < tр.
=1,054+0,703+1,844+1,451+1,85+0,032=6,932
с.
Условие выполняется: tф =6,932
с < tр=10 с.
Предварительная проверка двигателя по нагреву
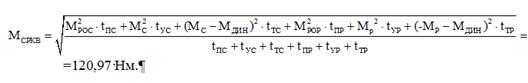
осуществляется по величине среднеквадратичного момента:

44,7 Нм; (5.12)
= 50 Нм. (5.13)
Двигатель подходит по условиям
нагрева, т. к. М сркв £ М доп.
Таблица 3 - Предварительный расчет нагрузочных
диаграмм
|
Сведение зажимов
|
Развод зажимов
|
|
параметры
|
Пуск
|
Уст. режим
|
Торможение
|
Пуск
|
Уст. режим
|
Торможение
|
|
t, c
|
0,61
|
2,12
|
0,61
|
1
|
0,667
|
1
|
|
a, м-3
|
17
|
116
|
17
|
45
|
60
|
45
|
|
v, м/с
|
-
|
0,055
|
-
|
-
|
0,09
|
-
|
|
Мрост , Нм
|
131,6
|
71,1
|
|
Мродин , Нм
|
62,4
|
0
|
-62,4
|
62,4
|
0
|
-62,4
|
|
Мро , Нм
|
198,5
|
131,6
|
73,7
|
133,5
|
71,1
|
8,7
|
|
Мпр , Нм
|
59,3
|
31,4
|
29
|
7
|
16,7
|
14,9
|
|
wс , рад/с
|
0
|
57,12
|
0
|
0
|
93,47
|
0
|
|
Jпр , кгм2
|
0,148
|
|
J, кгм2
|
0,421
|
39,4
|
0
|
39,4
|
39,4
|
0
|
-39,4
|
|
Мдоп. уск , Нм
|
70,82
|
31,4
|
10,32
|
56,09
|
16,7
|
24,48
|
|
Мср, Нм
|
54,28
|
31,4
|
5,16
|
38,07
|
16,7
|
12,24
|
|
t, с
|
1,054
|
1,85
|
0,703
|
1,844
|
0,032
|
1,451
|
|
a, рад
|
30,1
|
155,8
|
20,1
|
8,2
|
155,8
|
67,2
|
6. Выбор станции управления асинхронным
двигателем с фазным ротором
Выбираем станцию управления серии ПУ6520. Схема
применяется для двигателей средней и большой мощности при напряженном
повторно-кратном режиме с переменной нагрузкой.
Обозначения элементов в схеме:
М - асинхронный двигатель
Контакторы: КМ3 - линейный
КМ1, КМ2 - реверсирующие
КМ6, КМ7 - ускоряющие
КМ5 - противовключение
КМ8 - динамического торможения
КМ4 - механического торможения
Реле: FV - напряжения
КТ1, КТ2 - ускорение
КТ3 и КТ4 - блокировочное и динамическое
торможения-FA4 - максимально токовые-SM4 - контакты командоконтроллера, SQ2 -
контакты конечных выключателей- выпрямитель
Резисторы: R1- противовключения, R3 - ускорения-
торможения- катушка электромагнитного тормоза.
Схема осуществляет автоматический пуск двигателя
с двумя ступенями сопротивлений в роторе с управлением по принципу времени
(реле КТ1 КТ2). При остановке осуществляется динамическое торможение с
постепенным отключением резисторов в роторе (реле КТ1, КТ2) с управлением по
принципу времени (реле КТ4). Реле КТ3 позволяет прервать торможение и
обеспечить повторное включение двигателя. При остановке «накладывается»
механический тормоз YB.
В схеме предусмотрены защиты - максимальная
мгновенная токовая в главных цепях (FA1, FA2 FA3) и цепи динамического
торможения (FA4), максимально-токовая (FU1, FU2) и нулевая (FV) в цепи
управления.
7. Расчет статических характеристик
электропривода
При расчете статических характеристик необходимо
обеспечить задачи, поставленные выполнением технологии:
· Рабочие скорости рабочего и
обратного хода должны быть обеспечены с заданной степенною точности;
· Ускорение электропривода не должно
превышать допустимых значений.
.1 Расчет естественной характеристики двигателя
Для расчета естественной характеристики
потребуются данные, которые сведены в таблицу 4.
Таблица 4 - Данные для расчета естественной
характеристики
|
U1Н
|
Номинальное линейное напряжение статора
|
В
|
380
|
|
I1Н
|
Ток статора
|
А
|
12,9
|
|
PН
|
Мощность на валу
|
кВт
|
3,5
|
|
nН
|
Частота вращения
|
Об/мин
|
895
|
|
cosφH
|
Коэффициент мощности
|
---
|
0,73
|
|
ηH
|
Коэффициент полезного действия
|
%
|
70
|
|
nмакс
|
Максимальная частота вращения
|
об/мин
|
1000
|
|
JДВ
|
Момент инерции ротора
|
кгм2
|
0,195
|
|
Е20
|
Напряжение на кольцах заторможенного разомкнутого ротора
|
В
|
176
|
|
I2Н
|
Номинальный ток ротора
|
А
|
15
|
При известных сопротивлениях статора r1,
x1 и ротора r2/, x2/ для
расчета естественной механической характеристики используют формулу:
(7.1)
Критическое скольжение:
. (7.2)
Максимальный момент двигателя:
(7.3)
Приведенной активное сопротивление
ротора
. (7.4)
Приведенное индуктивное
сопротивление рассеяния ротора:
. (7.5)
Коэффициент приведения:
. (7.6)
Синхронная скорость вращения поля
статора:
; (7.7)
,
где рП - число пар
полюсов;1 - номинальная частота напряжения статора, Гц;1Н -
номинальное линейное напряжение, В
МК - максимальный момент
двигателя, Нм;
Номинальное относительное
скольжение:
; (7.8)
.
По формуле (7.5) приведенное
индуктивное сопротивление рассеяния ротора:
Ом.
Рассчитываем приведенное активное
сопротивление ротора по (8.4):
Ом.
Максимальный момент двигателя:
Нм;
. (7.9)
Критическое скольжение по (7.2)
.
Получаем
для
двигательного режима.
По формуле (7.1) находим
механическую характеристику
; (7.10)
Рисунок 5 - Естественная
механическая характеристика двигателя построенная в программе «harad»
Рисунок 6 - Естественная
механическая характеристика двигателя построенная в программе «Mathcad»
7.2 Электромеханические
характеристики двигателя
Электромеханические характеристики -
это зависимости частоты вращения ротора двигателя от тока статора, от тока
ротора, от тока намагничивания.
Для расчета используем формулы
профессора Шубенко. Они получены при не учете активного сопротивления статора
двигателя, но используют каталожные данные.
Ток намагничивания:
; (7.11)
А.
Ток ротора:
, (7.12)
где
- номинальный ток ротора двигателя,
А.
Ток статора:
. 7.13)
На рисунке 7, 8 приведены
электромеханические характеристики, построенные по данным формулам.
Рисунок 7 - Естественные
электромеханические характеристики двигателя построенная в программе «harad»
Рисунок 8 - Естественные электромеханические
характеристики двигателя построенная в программе «Mathcad»
8. Расчет параметров схем включения двигателя,
обеспечивающих работу в заданных точках
Задачей является определение напряжения и
частоты, добавочных сопротивлений силовых цепей возбуждения, при которых
выполняется требования к электроприводу по обеспечению заданных скоростей
движения рабочего органа (рабочей машины).
Исходными данными для расчета
являются заданная скорость движения механизма
, приведенная к валу двигателя, и
заданный момент сопротивления движению Мс, приведенный к валу
двигателя и включающий в себя момент механических потерь холостого хода
двигателя МХХ.
.1 Расчет добавочных сопротивлений в цепи
двигателя в установившихся режимах работы
Для асинхронного двигателя с фазным ротором
расчет сопротивлений в цепи ротора для обеспечения работы в заданной точке
наиболее прост при использовании формулы соотношения скольжений и сопротивлений
при постоянстве момента М=const,
(8.1)
и естественной механической
характеристики
Скольжение на искусственной
реостатной характеристики:
, (8.2)
где
- скорость искусственной
характеристики,
При установившемся режиме Мр
находим
:
.
По формуле (8.2) рассчитываем
искусственное скольжение при установившемся режиме Мс:
.
По формуле (9.1) находим R2
при
:
;
.
При
:
;
.
Полное сопротивление фазы ротора:
. (8.3)
Из формулы (8.3) находим R2доб:
.
Соответственно при
:
Ом.
При
:
Ом.
Для удобства сведем все значения в
таблицу 5
Таблица 5 - Данные добавочных
сопротивлений двигателя в установившихся режимах
|
Участок движения
|
При своде зажимов
|
При разводе зажимов
|
|
|
Установившийся режим Мс
|
Установившийся режим МР
|
|
|
0,4540,107
|
|
|
|
R2, Ом
|
2,59
|
0,61
|
|
R2доб, Ом
|
1,99
|
0,01
|
|
|
|
|
|
Строим механические и электромеханические
характеристики по формуле Клосса
.(8.4)
Критическое скольжение:
. (8.5)
Установившийся режим Мс=31,45
.
Установившийся режим Мр=16,7
.
Рисунок 9 - Механическая
характеристика двигателя через заданные точки
При проведенных расчетах и
построении механических характеристик, можно сказать, что величины
сопротивлений пуско - тормозных резисторов надо увеличивать, и следовательно
принимаем новые значения:
Таблица 6
|
Участок движения
|
При своде зажимов
|
При разводе зажимов
|
|
Установившийся режим Мс
|
Установившийся режим Мр
|
|
R2доб, Ом
|
12,01
|
4,31
|
9. Расчет параметров схем включения,
обеспечивающий пуск и торможение двигателя
Для асинхронного двигателя возьмем форсированный
пуск, при котором время пуска минимально, а максимальный момент двигателя при
пуске принимают равным максимально - допустимому Ммакс.доп..
.1 Реостатный пуск
Пуск двигателя при питании от цеховой сети
осуществляется включением в цепь двигателя добавочных сопротивлений с
последующим их шунтирование по мере разгона в функции тока (скорости, времени).
Для пуска рассчитывается правильная пусковая диаграмма, в которой максимальные
моменты М1 равны на каждой из пусковых характеристик.
Расчет правильной пусковой диаграммы начинается
с расчета максимального момента М1 и полного сопротивления силовой
цепи R1 при скорости равной 0.
Сопротивление R1 разбивают на ступени
таким образом, чтобы обеспечивалась правильная пусковая диаграмма.
Для асинхронного двигателя
аналитический метод выполняют при
, используют соотношение
между
моментами М1 и М2 правильной пусковой диаграммы:
, (9.1)
где
- относительной значение момента М1,-
число пусковых ступеней,
- относительное активное
сопротивление фазы ротора
;
Ом;
Ом.
Полное сопротивление силовой цепи на
пусковых характеристиках определяется по формулам:
Ом; (9.2)
Ом; (9.3)
Ом. (9.4)
Сопротивление ступеней пусковых
реостатов определяется:
Ом; (9.5)
Ом; (9.6)
Ом. (9.7)
Из формулы (9.1) находим М2:
Нм
9.2 Реостатное торможение
При питании от цеховой сети для торможения
двигателя используют динамическое торможение.
Рисунок 10 - Механическая
характеристика пуска АД с ФР
При реостатном торможении необходимо
рассчитать начальный тормозной момент Мтнач из условий ограничения
ускорения рабочего органа на уровне допустимого значения
. Значение Мдоп.уск
рассчитано в таблице 2. При переходе на торможение с начальной скорости
момент
двигателя принимают равным
;
- для режима сведения
- для режима разведения
Значение Мтнач должно
обеспечивать ограничение ускорения при различных статических моментах Мс
и моментах инерции Jпр, поэтому следует принимать минимальное значение
Мдоп.уск из всех режимов рабочего органа в цикле.
9.3 Динамическое торможение
Рисунок 11 - Динамическое торможение АД с ФР при
сведении зажимов
Рисунок 12 - Динамическое торможение АД с ФР при
разведении зажимов
С помощью программы «HARAD» были подобраны
полные сопротивления ротора при динамическом торможении таким образом, чтобы
характеристики проходили через заданные точки.
Таблица 7 - Полные сопротивления ротора при
динамическом торможении
|
Сопротивление
|
При своде зажимов
|
При разводе зажимов
|
|
R5,Ом
|
20,5
|
73
|
10. Структурные схемы электропривода
Для выполнения расчетов, связанных с оценкой
статических и динамических характеристик электропривода, нужно составить
структурную схему силовой части электропривода и рабочей машины.
Структурные схемы составляются на основе
дифференциальных уравнений звеньев, записанных в абсолютных и относительных
единицах. Запись уравнений в относительных единицах позволяет упростить запись
самих уравнений и последующие расчеты. В качестве базовых величин рекомендуется
принимать:
1. Для напряжений и токов в цепях
обмоток двигателей, момента двигателя - их номинальные значения
2. Для скорости вращения двигателя -
скорость идеального холостого хода при номинальном магнитном потоке и
напряжении питания обмоток двигателя
. Для частоты напряжения двигателя
переменного тока частоту 50 Гц питающей сети.
Механическая часть электропривода включает в
себя движущиеся массы двигателя, передачи и рабочей машины. Структурные схемы
механической части должны учитывать упругие связи и распределение моментов
инерции между двигателем и рабочей машиной. Многомассовые упругие системы чаще
всего сворачиваются в двухмассовые системы с присоединением малых маховых масс
к звеньям механической части, обладающих большими маховыми массами, т.е. к
ротору двигателя и рабочей машины.
Дифференциальные уравнения, описывающие
поведение двухмассовой упругой системы, без учета диссипативных сил и зазоре в
передачи, имеют вид:
(10.1)
Продифференцировав во времени
последнее уравнение, перепишем систему дифференциальных уравнений. Оставим в
левой части члены уравнений, содержащие производные. Положим также, что
Принимаем в качестве базовых величин
номинальные данные двигателя:
Получим систему дифференциальных
уравнений в о.е.
(10.2)
Коэффициенты при производных
представляют собой постоянные времени:
двигателя
; (10.3)
упругого звена
; (10.4)
рабочего органа
; (10.5)
Структурная схема двухмассовой
упругой системы представлена на рисунке 14.а.
Главные инерционные массы,
представленные интегрирующими звеньями с постоянными времени ТДВ и ТРО,
разделены интегрирующим звеном с постоянной времени ТС.
В идеально жесткой механической
системе ТС = 0 и структурная схема механической части преобразуется
в интегрирующее звено (см. рисунок 14.б) с механической постоянной времени
. (10.6)
Структурные схемы электропривода
Полная структурная схема электропривода включает
в себя структурные схемы составных частей: механической части
электромеханического преобразователя энергии, электрического преобразователя и
задающего устройства.
Структурная схема для рабочего
участка механической характеристики АД при работе от цеховой сети также
включает в себя структурные схемы механической части и электромеханического
преобразования энергии. Параметры
и ТЭ рассматриваются для
каждой характеристики.
Система магнитный конроллер -
асинхронный двигатель МК - АД
Система МК - АД обеспечивает работу
АД с ФР при питании цепей статора от цеховой сети. С помощью магнитного
контроллера осуществляется пуск двигателя в 1 - 2 - 3 ступени по правильной
пусковой диаграмме с контролем пуска по скорости или по времени. Система
обеспечивает торможение двигателя в одну ступень.
Основные уравнения, решаемые в
программе READ:
(10.7)
Структурная схема системы МК - АД,
построенная на основании приведенной системы алгебраических и дифференциальных
уравнений приведена на рисунке 13.
Рисунок 13 - Структурная схема МК - АД
(программа READ)
11. Расчет переходных процессов и построение
нагрузочных диаграмм электропривода
Переходные процессы электропривода возникают при
изменении управляющих и возмущающих воздействий.
Переходные процессы возникают при изменениях
возмущающих воздействий, в частности - при изменениях по величине или
направлению действия (знаку) момента статических сопротивлений.
Если двигатель получает питание от цеховой сети
и управление осуществляется релейно-контакторной системой, процессы пуска и
торможения обеспечиваются введением в силовую цепь двигателя добавочных
сопротивлений. Изменение сопротивлений в цепи двигателя обычно выполняется с
помощь. Электромагнитных контакторов, включение и отключение которых производят
автоматические реле тока, времени, скорости, настроенные на требуемые значения
координат электропривода, или вручную оператором.
Расчет переходных режимов необходим:
для определения времени и характера их
протекания;
для оценки их соответствия требованиям
технологического процесса рабочего органа;
для оценки механических и электрических
перегрузок;
для правильного выбора мощности двигателя и
аппаратуры управления.
Нагрузочные диаграммы, построенные для
переходных и установившихся режимов работы электропривода. Дают возможность
проверить выбранный двигатель по условиям заданной производительности, по
нагреву, кратковременной перегрузке и условиям пуска. Они используются также
для проверки по нагреву пуско-тормозных резисторов.
На характер переходного процесса оказывает
существенное влияние механическая инерция электропривода, жесткость
механической передачи, электромагнитная инерция обмоток двигателя. Для анализа
влияния этих факторов на вид нагрузочных диаграмм для одного переходного
процесса - пука при грузовом движении - рассчитываются переходные процессы:
1. без учета упругости передачи и
электромагнитной инерции (механический процесс жесткой системы);
2. с учетом упругости передачи
(механический процесс упругой системы);
3. с учетом электромагнитной инерции
(электромеханический процесс);
4. с учетом электромагнитной инерции и
упругости передачи.
Таблица 8 - Перечень данных для расчета в
программе READ
|
№
|
Наименование показателя
|
Обозначения
|
Данные
|
|
1
|
Номинальное фазное напряжение, В
|
220
|
|
|
2
|
Номинальный ток статора, А
|
12,9
|
|
|
3
|
Номинальный момент, Нм
|
50,55
|
|
|
4
|
Номинальная синхронная скорость, рад/с
|
104,72
|
|
|
5
|
Приведенное активное сопротивление фазы ротора, Ом
|
2,59
|
|
|
6
|
Приведенное индуктивное сопротивление рассеяния ротора, Ом
|
2,98
|
|
|
7
|
Индуктивное сопротивление контура намагничивания, Ом
|
20,3
|
|
|
8
|
Активное сопротивление фазы статора, Ом
|
2,1
|
|
|
9
|
Индуктивное сопротивление рассеяния статора, Ом
|
2,45
|
|
|
10
|
Момент статический реактивный, Нм
|
Мс1 ,Мс2
|
16,7 31,4
|
|
11
|
КПД передачи, о.е.
|
0,98
|
|
|
12
|
Электромагнитная постоянная времени двигателя, с
|
ТЭ
|
0,007
|
|
13
|
Механическая постоянная времени двигателя с учетом передачи, с
|
ТДВ
|
|
14
|
Постоянная времени упругого звена, с
|
Тс
|
0,0065
|
|
15
|
Постоянная времени рабочего органа, с
|
ТРО1
|
0,3
|
|
16
|
Шаг интегрирования, с
|
h
|
0,0001
|
|
17
|
Время переходного процесса, с
|
tПП
|
6
|
|
18
|
Режим работы «ПУСК»: Полные приведенные сопротивления роторной
цепи при пуске
|
R1>R2>R3
|
12,4>7,7>4,25
|
|
19
|
Полное приведенное сопротивление роторной цепи при динамическом
торможении Электромагнитная постоянная времени при торможении Значение
постоянного тока статора (для звезды)
|
R5 ТЭ1 IП = IЭкв
|
20,5 0,011 21
|
|
20
|
Контроль за переключением: по скорости: Скорости, при которых
проходит переключение ступеней
|
43,5<69,1<83,2
|
|
Переходные процессы в механической части
электропривода с идеально жесткими связями
Расчет переходных процессов основан на
применении уравнений:
Основное уравнение движения:
; (11.1)
механическая характеристика
двигателя:
. (11.2)
В выражениях (11.1) - (1113.2):
- момент инерции системы, кг∙м2;
- жесткость механической
характеристики;
При питании двигателя от цеховой
сети
(угловое
ускорение вала двигателя,
)

; (11.3)
, (11.4)
где
- значение момента двигателя при
t=0;
- скорость на характеристике
,
соответствующая статическому моменту
,
.
Рассчитаем переходные процессы для
каждого участка и записываем в таблицу 8.
Рассчитываем электромагнитную
постоянную времени ТЭ для естественной характеристики:
, (11.5)
где
- критическое скольжение
Согласно формуле (12.3) рассчитываем
TД для каждого участка:
· разгон привода :
;
Постоянная интегрирования пути рассчитывается:
. (11.6)
Переходный процесс в механической
части электропривода с упругими связями.
При учете упругих связей в
механической части привода разделяют вращающиеся инерционные массы двигателя и
рабочей машины, вводя между ними упругий элемент.
Если принять постоянным момент
двигателя и статический момент, а также не учитывать действия сил рассеяния
(диссипативных), то уравнения нагрузочных диаграмм примут вид:
; (11.7)
; (11.8)
. (11.9)
В данных формулах:
; (11.10)
. (11.11)
За счет колебания упругого момента
(формула (11.9)) максимальная нагрузка передач увеличивается и может превысить
среднюю нагрузку, соответствующую жесткому приведенному звену:
. (11.12)
Данное превышение учтем введением
динамического коэффициента:
. (11.13)
Данный коэффициент является важным
показателем условий работы системы и одним из основных показателей динамических
качеств работы системы привода.
Переходный процесс с учетом упругих
связей построим с применением программы READ на ЭВМ.
Значение динамического коэффициента,
показывающего качество работы системы в динамике, получим, сравниваю переходные
процессы (например, пуска при движении вперед) для жесткой приведенной системы
при
и для
двухмассовой приведенной системы с конечным значением жесткости
. Значения
коэффициента полезного действия получаем, зная полезную работу и активную
мощность:
;
.
Из-за конечных значений жесткости
системы момент статической нагрузки имеет колебания своего значения, в
результате чего его мгновенные значения оказываются или больше, или меньше
расчетного. В результате происходят колебания скорости и тока. Механическая
работа, а также активная и реактивная энергия, потребляемая из сети, при учете
жесткости системы практически не изменяются, так как среднее значение момента
равно среднему значению момента в жесткой системе, а скорость растет по
линейному закону (зависит от частоты тока статора).
Рисунок 14 - Процесс пуска при отсутствии
электромагнитной инерции в идеально жесткой системе (Тс=0 Тэ=0)
Рисунок 15 - Процесс пуска при отсутствии
электромагнитной инерции в двухмассовой упругой системе (Тс≠0 Тэ=0)
Рисунок 16 - Переходный процесс пуска для
жесткой приведенной системы (Тс=0 Тэ≠0)
Рисунок 17 - Переходный процесс пуска для
двухмассовой упругой системы (Тс≠0 Тэ≠0)
Произведем сравнение переходных процессов пуска
привода при разводе для идеально жесткой системы и для системы с упругими
связями. Сравнение произведем в таблице 8.
Таблица 9 - Влияние ТЭ и ТС
на показатели пуска
|
Показатели
|
Единица измерения
|
  
|
|
|
|
|
А
|
4480449044694479
|
|
|
|
|
|
Р
|
10108101121012810134
|
|
|
|
|
|
Q
|
13280132791329413288
|
|
|
|
|
|
L
|
Рад (м)
|
1,325
|
1,326
|
1,319
|
1,32
|
|
 338,8338,3338,3337,8
|
|
|
|
|
|
|
tп
|
с
|
2
|
2
|
2
|
2
|
|
---0,4430,4440,4410,442
|
|
|
|
|
|
|
---0,6060,6060,6060,606
|
|
|
|
|
|
|
1/с100,2101,3100,2101
|
|
|
|
|
|
|
Муст
|
Нм
|
17,3
|
18,6
|
17,3
|
18,4
|
|
I1уст
|
А
|
10
|
10,1
|
10
|
10,1
|
При отсутствии электромагнитной инерции в
обмотках машины темп нарастания тока при включении машины несколько
увеличивается, при этом значение тока несколько меньше, чем в инерционной
системе, так как при отсутствии электромагнитной инерции ток нарастает при
появлении напряжения на зажимах статора. При разгоне двигателя ЭДС уменьшает
ток статора, а так как система безинерционна, то ток мгновенно реагирует на
изменение напряжения и ЭДС, поэтому мгновенное значение тока оказывается
меньше, чем в инерционной системе. Вследствие этого становятся меньше значения
активной и реактивной мощностей, а КПД системы увеличивается.
Рисунок 18 - Переходный процесс системы при
своде захватов для двухмассовой упругой системы
Рисунок 19 - Переходный процесс системы при
разводе захватов для двухмассовой упругой системы
Исследуем показатели процессов в цикле работы.
Результаты занесем в таблицу 9.
Таблица 9 - Показатели переходных и
установившихся режимов
|
Показатель
|
Единица измерения
|
Свод
|
Развод
|
Суммарное значение за цикл
|
|
|
Пуск
|
Уст. режим 1
|
Торможение
|
Пуск
|
Уст. режим 2
|
Торможение
|
|
|
A
|
Вт∙с
|
2270
|
3025
|
-552
|
3168
|
1312
|
-1753
|
7470
|
|
P
|
Вт∙с
|
9242
|
6630
|
-741
|
8277
|
1831
|
-1877
|
23362
|
|
Q
|
Вар∙с
|
10238
|
9464
|
8939
|
8976
|
4304
|
14265
|
56186
|
|
L
|
Рад (м)
|
0,495
|
0,85
|
0,07
|
0,658
|
0,662
|
0,18
|
2,915
|
|
I1кв∙t
|
A2∙c
|
295
|
204
|
140
|
267
|
71
|
239
|
1216
|
|
tп
|
c
|
1,5
|
1,5
|
0,3
|
1,3
|
0,7
|
0,5
|
5,8
|
|
-0,2460,4560,7450,3830,7170,9340,32
|
|
|
|
|
|
|
|
|
|
-0,670,5740,0830,6780,3910,130,384
|
|
|
|
|
|
|
|
|
Электромеханический переходный процесс
Так как обмотки двигателя имеют индуктивности,
то приходится вести их учет при анализе переходных процессов.
Нагрузочные диаграммы электромеханического
переходного процесса рассчитаны с помощью ЭВМ и приведены для каждого участка
на рисунках 16-21.
При питании двигателя от цеховой сети, когда в
переходных процессах в силовую цепь включается добавочные резисторы, влияние
электромагнитной инерции снижается. Необходимость учета ТЭ возникает
при расчете переходных процессов, когда добавочные сопротивления отсутствуют и
двигатель работает не естественной характеристики.
Рабочий орган проходит за время пуска и
торможения некоторый путь, который мы выражаем через угол поворота вала
двигателя:
(11.14)
Время работы в установившемся режиме
работы:
, (11.15)
где
- полный угловой путь, проходимый
двигателей в данном режиме работы,
.
Среднеквадратичное значение тока.
При проверке двигателя по нагреву
будет необходимо знать среднеквадратичное значение тока статора за цикл работы.
С этой целью в таблицу 9 заносится среднеквадратичное значение тока,
рассчитываемое как интеграл:
. (11.16)
Точный расчет ведется ЭВМ. Значения
на участке торможения определяется вычитанием из текущего значения,
соответствующего режиму пуска.
Энергетические показатели
электропривода
Энергетические показатели
характеризуют экономичность преобразования энергии в системе. Энергетическими
показателями являются КПД и
.
Цикловый КПД находим по формуле:
. (11.17)
Цикловый
:
. (11.18)
Механическая энергия за время
переходного процесса:
. (11.19)
Активная энергия из сети:
. (11.20)
Реактивная энергия из сети:
. (11.21)
Механическая энергия за цикл:
. (11.22)
Активная энергия из сети за цикл:
. (11.23)
Реактивная энергия за цикл:
. (11.24)
Результаты расчетов за цикл работы
привода сведены в таблицу 9.
12. Выбор резисторов и проверка их
по нагреву
Выбор резисторов для силовых цепей
двигателя производится на основе данных электрического расчета их величин и
нагрузочных диаграмм токов.
Сначала по величине сопротивлений
пусковых и тормозных резисторов выбираются ящики резисторов, как правило, с
фехралевыми ленточными или проволочными элементами.
В качестве продолжительного тока
резисторов IПР на предварительном этапе принимается средняя величина
за цикл среднеквадратичного значения тока силовой обмотки за время включенного
состояния резистора
(12.1)
А.
По величине продолжительного тока
выбирают конкретный ящик.
Подбирается схема соединения
элементов, обеспечивающая требуемую величину сопротивления каждой ступени
резисторов. Затем производится проверка выбранных резисторов по нагреву,
которая сводится к определению эквивалентного тока и сравнивают его с
допустимым продолжительным током. Проверка может быть выполнена не для каждого,
а лишь для наиболее загруженного по эквивалентному току элемента в каждой
секции.
Для определения эквивалентного тока
резисторов используют данные расчета нагрузочной диаграммы тока двигателя с
учетом времени обтекания током рассматриваемой секции и доли тока двигателя,
проходящего через элемент.
Превышение эквивалентного тока над
продолжительным недопустимо. Однако чрезмерный запас выбранных резисторов по
нагреву также недопустим, т.к. влечет за собой неоправданное завышение числа
ящиков резисторов и стоимость установки.
Продолжительный ток резисторов IПР
лишь немного отличается от допустимого, равного 4,93А, поэтому резистор
является удовлетворительным по нагреву.
Выбранный ящик входит в допустимый
интервал погрешности 5%:
.
Проверка электропривода по
производительности; проверка двигателя по нагреву и по перегрузочной
способности
Проверка на заданную
производительность состоит в сравнении рассчитанного времени работы
электропривода с заданным временем.
Проверку выбранного двигателя по
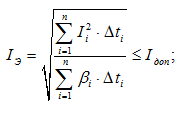
нагреву выполняем методом эквивалентного тока:
где Ii -
среднеквадратичное значение тока на i-ом участке;
Dti
- длительность i-го участка работы;
bi - коэффициент ухудшения теплоотдачи
двигателя; доп - допустимый по нагреву ток.
;
При проверке двигателя по нагреву
эквивалентный ток IЭ сравниваем с допустимым током Iдоп
при тех же условиях работы (при той же относительной продолжительности
включения). Допустимый ток рассчитываем через представленное в каталоге
значение допускаемого тока Iкат для каталожной ПВк,
ближайшей к фактической ПВф, полученной по результатам расчета
нагрузочных диаграмм
Приведенным уравнением можно
пользоваться для двигателей краново-металлургической серии
При проверке двигателя по нагреву
превышение эквивалентного тока над допустимым является неприемлемым
Проверка двигателя на кратковременную
перегрузку заключается в сравнении наибольшего значения момента двигателя с
максимально допустимым значением момента выбранного двигателя:≤MМАКС=МК;
М=70,82 Нм;
МК=85 Нм.
Выбранный двигатель проходит по
условиям нагрева IЭ>Iдоп и по перегрузочной
способности.
Заключение
В ходе курсового проектирования был
спроектирован привод толкателя методической печи на основе заданных технологией
параметров.
Привод выполнен с применением
асинхронного двигателя с фазным ротором, питающегося от цеховой сети типа:
Выбранный двигатель: MTF 111-6, Pн=3.5
кВт; nн=895 об/мин; Iн=10,4А;
Выбранная станция управления: ПУ
6520.
Привод выполнен с применением
редуктора РЦО-160, с передаточным числом 4,5 и КПД равном 0,98.
На каждом участке работы привода
рассчитаны необходимые параметры: заданные скорость и момент, скачек синхронной
скорости для преодоления момента статического сопротивления, требуемое время
переходного процесса.
Исследованы переходные процессы
пуска и торможения с учетом и без учета инерционностей в механической и
электромагнитной системах, результаты сведены в таблицу 9.
Проверено выполнение приводом требований
технологии по производительности и заданному допустимому ускорению: tц=5,8с.
Выполнена проверка выбранного электродвигателя
по нагреву методом эквивалентного тока: Iэкв=14,5 А при Iдоп=17,3
А, то есть мы не создали больших запасов по нагреву, следовательно двигатель
работает в нормальных условиях и не возникает его недоиспользования.
По результатам проделанного проекта можно
заключить, что спроектированной привод выполняет необходимые условия,
следовательно он работоспособен.
Список использованной литературы
1) Драчев Г.И. Теория
электропривода. Учебное пособие к курсовому проектированию. - Челябинск, 1998,
158 стр.
) Двигателя асинхронные трехфазные
краново-металлургической серии MTF, MTKF, MTKH: НК 01.30.01 - 82. -М.
Информэлектро. 1985г.
) Краузе Г.Н., Кутилин М.Д., Сыцко
С.А. Редукторы. Справочное пособие. - М-Ленинград; Машиностроение. - 192стр. -
1965 г.
) Ключев В.И. Теория электропривода.
- М.: Энергоатомиздат, 1985.
) Вешеневский С.Н. Характеристики
двигателей в электроприводе. - М.: Энергия, 1977.