Технология производства портвейна

  • Вид работы:
    Курсовая работа (т)
  • Предмет:
    Другое
  • Язык:
    Русский
    ,
    Формат файла:
    MS Word
    78,89 Кб
  • Опубликовано:
    2015-05-19
Вы можете узнать стоимость помощи в написании студенческой работы.
Помощь в написании работы, которую точно примут!

Технология производства портвейна

Содержание

Введение

. Технологическая часть

.1 Характеристика сырья

.2 Характеристика готовой продукции

.3 Выбор, обоснование и описание технологической схемы

.3.1 Выбор и обоснование способа переработки винограда

.3.2 Технологическая схема производства вин типа Портвейн розовый

.3.3 Описание технологической схемы производства вин типа Портвейн

.4 Технохимический и микробиологический контроль производства

. Материальный расчет основного сырья

.1 Выбор, обоснование и расчет технологического оборудования

.2 Расчет количества емкостей

Список используемой литературы

Введение

Портвейн - наиболее распространенный представитель группы специальных вин, проявляющий во вкусе и аромате хорошо выраженные сухофруктовые, плодовые и плодово-ягодные тона с легким мадерным оттенком. Вкус вина полный, экстрактивный, несколько жгучий, но слаженный, легкий, бархатистый. Отдельные образцы Портвейна имеют во вкусе миндальные, апельсиновые, персиковые тона, а также тона цветочного меда, земляники, вишни, ананаса, увяленной дыни.

Цвет вина варьирует от светло-золотистого до темно-янтарного - цвета крепко заваренного чая.

Происхождение портвейна и его история

Портвейн (Порто-Вайн - вино из Порто) получил свое название от города Порто (Опорто), расположенного в устье реки Дуэро и служившего главными торговыми воротами, через которые экспортировались португальские вина. Соавторами Портвейна, возникшего 300 лет тому назад, с полным основанием можно считать англичан.

В 1688 г. король Франции Людовик XIV запретил вывоз французского вина в Англию в отместку за то, что парламент лишил трона его друга английского короля Якова II. Конфликт имел продолжение и в 1696 г. Уже король Англии Уильям III ввел запрет на импорт вина из Франции.

Поэтому в 1703 г. Англия заключила с Португалией договор, по которому на ввозимые португальские вина была существенно снижена пошлина. Путь из главного портового города Португалии - Порто - до берегов Темзы в условиях парусного флота занимал много месяцев. Вино, перевозимое на кораблях в бочках, продолжительное время находилось без надлежащего ухода, без доливки, вследствие чего оно портилось.

Португальские виноделы обратили внимание на то, что более крепкие вина хорошо переносят морскую перевозку и не снижают своего качества. Это натолкнуло их на мысль доливать в вина перед их длительным путешествием спирт, отогнанный из вина. Нерадивые работники-крестьяне вливали спирт в бочки с бродящим суслом, не дожидаясь окончания брожения. В результате в вине сохранялся сахар и получалось сладкое крепкое вино, которое оставалось стабильным во время всего длительного транспортирования.

Спиртование вина как прием технологии начали применять около середины XVII столетия. Этот же спирт, не полностью очищенный, шел и на производство коньяка. В результате введения такого спирта в вино, оно приобретало коньячный тон, который впоследствии стал обязательным признаком типичного Портвейна.

Спрос на Портвейн в Англии с огромной быстротой рос вплоть до 1730 г., когда индустрии производства этого вина был нанесен сильный удар. Выяснилось, что в Портвейн добавляли сахар и ягоды бузины, чтобы придать цвет и вкус неудачным бледным винам. Значительное перепроизводство вина привело к резкому падению цен и снижению объектов торговли. В этот период в истории Портвейна решающую роль сыграл португальский премьер-министр маркиз Себастьян Жозе де Помпалу - выдающийся государственный деятель и реформатор. В 1756 г. впервые в мире была проведена граница региона по производству Портвейна в долине реки Дуэро. Маркиз ввел ограничения на производство Портвейна и меры по регулированию его продаж.

Виноград для Портвейна выращивается только вдоль реки Дуэро. В этом регионе местность гористая, склоны берегов самой реки и ее ближайших притоков очень крутые, до 60. Кроме того, виноградник должен располагаться на высоте не менее 500 м. Поэтому виноградные кусты высаживают на узких опоясывающих горы террасах, добраться до которых можно только пешком, а значит и все работы на виноградниках осуществляются вручную. В регионе Дуэро летом очень жарко, выше 35. Континентальный климат и бедные почвы создают необходимые условия для развития виноградной лозы и получения высококачественных вин.

На производство Портвейна используют только специальные сорта винограда, которые разделены на 3 группы - рекомендуемые (всего 10 сортов красного винограда и 2 белого), разрешенные и допустимые.

Все виноградники Дуэро по расположению, продуктивности, качеству почв и сортам винограда распределены по сложной системе на категории от А до F, причем возможность использования винограда на приготовление Портвейна снижается от категории А к категории F (эта возможность ограничивается главным образом, категориями А и В).

Сбор винограда для производства Портвейна начинается в конце сентября. Сначала женщины в маленьких корзинах сносят виноград на промежуточные площадки. Там их перегружают в корзины на 45 - 50 кг и уже мужчины перемещают их к местам, куда может подъехать транспорт и доставить виноград на переработку. Раньше виноград давили ногами в специальных винодельнях. Это невысокое каменное здание, в котором имеется громадный бассейн, вмещающий несколько сотен корзин винограда. Когда бассейн заполнен, в него спускаются 60 - 70 рабочих, строятся в ряды по 6 - 7 человек и, положив руки друг другу на плечи, под мелодию флейты, дудки и барабана ходят по ягодам босыми ногами - вперед и назад. Когда первая партия рабочих устает, на смену приходят свежие силы. И так - примерно 36 часов.

Раздавленная масса виноградных гроздей самопроизвольно забраживает, брожение с плавающей шапкой продолжается 2 - 3 суток в зависимости от того, какой Портвейн хотят получить - сладкий, полусладкий, сухой или сверх сухой. Когда содержание сахара снизится до желаемого уровня, бродящую мезгу спиртуют 77% об. спиртом. В итоге получают виноматериал с кондициями по спирту 18 - 23% об., по сахару - 80 - 100 г/дм3.

Вино отделяют от мезги и хранят в емкостях в кинтах (винодельческих хозяйствах). И только в начале весны с конца февраля по март, его перевозят в низовья реки в склады города Вила-Нова-ди-Гайя, близнеца города Порто, находящегося на левом берегу реки и соединенного с Порто мостами. Однако предварительно производители вина привозят в винодельческую фирму образцы своего Портвейна. Эксперт фирмы сначала оценивает густоту и цвет вина, направляя медленную струю из бутылки на выпуклую сторону большого фарфорового блюдца и наблюдая, как вино стекает по его поверхности. Затем пробуя вино на вкус, выясняет, какие задатки есть в нем для будущего Портвейна. Вино владельцы с тревогой и надеждой в глубоком молчании следят за действиями эксперта и особенно за выражением его лица - ведь его оценка обсуждению не подлежит. В вино-хранилищах принятое вино купажируют, переливают в буты и выдерживают 2, 3, 5, 10, 30, 40 и более лет. Именно в процессе выдержки вино приобретает характерный свойственный Портвейну плодовый или фруктовый аромат.

В России производство вина типа Портвейн началось более 100 лет назад в Магараче - виноградно-винодельческом заведении Никитского сада, который являлся одной из первых в стране школ, где обучали виноградарству и виноделию. Первое крепкое вино под названием «Никитское крепкое» было изготовлено в 1879 г. виноделом А.П. Сербуленко.

А.П. Сербуленко был глубоко убежден, что вино, произведенное в Магараче, не может быть названо Портвейном, даже если оно имеет некоторые характерные для него качественные особенности. Такого же взгляда на русские названия иноземных вин придерживались и другие виноделы, считая, что присвоение русских имен иностранным винам отрицательно сказывается на их оценках, особенно на международных дегустациях. Пробуя поданное на дегустацию крепкое вино как Портвейн и не находя в нем в полной мере характерные для классического португальского Портвейна признаки, эксперты ставят ему заниженную оценку. В то же время они отмечают его высокие качества как крепкого вина вообще.

Такие вина под названием «Магарач» с номерами от 21 до 25 производились в магарачских подвалах с 1902 г. Позднее, когда были раскрыты некоторые секреты технологии Портвейнов и виноделы научились управлять процессом его производства с целью придания ему типичных черт, крепкие вина этого типа стали выпускаться под названием «Портвейн».

В технологии Портвейнов большое значение имеют купажи, которые составляются из нескольких сортов и позволяют направленно формировать физико-химический и органолептический состав вина.

В Крыму центром, куда свозилась основная масса вин из удельных имений и производилось купажирование, долго время был Новый, или Главный массандровский подвал.

Из Массандры и Магарача приготовление крепких вин, в том числе и Портвейнов, распространилось по другим южным регионам России.

1. Технологическая часть

.1 Характеристика сырья

портвейн технологический сырье материальный

Качество вина находится в тесной связи с сортом, почвенно-климатическими условиями, агротехникой и т.д.

Виноматериалы получают в результате спиртового брожения продуктов первичной переработки винограда.

Переработка убранного урожая винограда производится на промышленных предприятиях и начинается с приемки урожая. Виноград <#"795773.files/image003.jpg">



.3.3 Описание технологической схемы производства вин типа Портвейн

Приемка винограда по количеству и качеству

Виноград собирают и направляют на переработку при содержании сахара не менее 18%.

Виноград доставляют на завод не позднее чем через 4 часа после его сбора, так как вытекающее из поврежденных ягод сусло легко забраживает и закисает. Виноград принимают на переработку в течение 10 ч в сутки, поступление винограда рассчитывают с учетом коэффициента неравномерности 1,4. Доставляемый на винзавод виноград принимают по количеству и качеству.

Приемка каждой партии винограда по количеству осуществляется путем взвешивания на автовесах, установленных при въезде на винзавод. Сначала взвешивают автотранспорт или транспортную тару с виноградом (вес брутто), после чего взвешивается пустой автотранспорт или транспортная тара (вес тары), количество поступившего винограда определяют по разнице этих величин (вес нетто).

Определение качества поступившего винограда осуществляется по следующим показателям:

.Сортовой состав с указанием количества основного сорта и примесей;

.Сахаристость винограда (г/100 мл);

.Количество гнилых, поврежденных и незрелых ягод (%);

.Количество посторонних включений (листья, ветки и т.д.);

.Титруемую кислотность (г/дм3), которая колеблется от 4 до 11 г/дм3;

.Технологический запас фенольных и красящих веществ - количество веществ, которое может перейти в сусло в ходе технологических операций.

Эти показатели качества определяют в средней пробе, отбираемой с каждой транспортной единицы в верхней, средней и нижней части тары.

Виноград, прошедший приемку по количеству и качеству выгружают из транспортных средств в приемный бункер-питатель ВБШ-20, откуда он равномерно подается на дробление. Вместимость каждого бункера-питателя должна быть такой, чтобы виноград находился в нем не более 30 минут.

Дробление с гребнеотделением

Дробление ягод проводят с целью облегчения выделения сусла из винограда и повышения его выхода, а также измельчение кожицы и, в определенной степени, семени, следствием чего является экстрагирование из твердых элементов грозди красящих, ароматических, фенольных соединений.

Степень измельчения ягод при дроблении выбирается в зависимости от требований, предъявляемых к составу вина того или иного типа.

В проектируемом цехе дробление проводят на ударно-центробежных дробилках-гребнеотделителях ЦДГ-20. В этих дробилках, предназначенных для получения высокоэкстрактивных виноматериалов путем наиболее интенсивного механического воздействия на виноград, дробящий и гребнеотделительный механизмы объединены в вертикальном цилиндрическом механизме, состоящем из двойного перфорированного цилиндра и вала с установленными на нем дробильными бичами и наклонными лопастями, который вращается со скорость от 250 до 500 об/мин. Виноград через верхнюю часть, где расположен бункер поступает в малый сплошной цилиндр, где происходит дробление винограда и гребнеотделение в результате вращения дробильных бичей, которые с силой отбрасывают гроздь к стенкам перфорированного цилиндра, в результате чего ягоды отделяются от грозди и раздавливаются о стенки с частичным истиранием кожицы. Причем в нижней части машины виноград отбрасывается центробежной силой на винтообразные гребневыносные лопасти. Полученная мезга через перфорации цилиндра падает в нижнюю часть дробилки, где располагается мезгосборник, а гребни лопастями поднимаются по внутренней поверхности перфорированного цилиндра и выбрасываются через разгрузочное окно в боковой части корпуса.

Степень измельчения прямо пропорциональна скорости вращения вала, что позволяет легко регулировать интенсивность переработки винограда.

Из дробилки мезга насосом ПМН-28 перекачивается в аппарат БРК-3М для настаивания на мезге.

Настаивание на мезге

Настаивание сусла на мезге, контакт сусла с твердыми частями виноградной грозди (кожица, семена, гребни); технологический прием, проводимый с целью обогащения сусла ароматическими и экстрактивными веществами. Проводится в технологических емкостях и всегда сопровождается перелопачиванием, которое обеспечивает перемешивание и более полное соприкосновение мезги с кислородом воздуха. При настаивании сусла на мезге протекают сложные биохимические, химические и физико-химические процессы. Для настаивания мезги будем использовать установку БРК-3М. Установка состоит из отдельных металлических резервуаров, имеются мешалки-подогреватели, отсутствуют переточные бачки, сетки, гидрозатворы. Из БРК-ЗМ мезга поступает на стекание. Настаивание без подбраживания проводят в течение 24-36 ч.

Стекание производится в шнековых стекателях типа ВССШ-20.

Различают зону свободного стекания (нижняя часть стекателя) и зону легкого подпрессовывания мезги (верхняя часть стекателя) за счет сужения живого сечения перфорированного внутреннего корпуса стекателя, изменения шага шнека или установки запорного конуса.

Стекатели позволяют получать сусло-самотек - наиболее высококачественную часть сусла, используемую для производства шампанских виноматериалов и марочных вин. Стекатели позволяют получать 50-55 дал сусла с 1 т винограда.

В результате операции полученное сусло-самотек отправляют на прессование.

Для отделения сусла, остающегося в стекшей мезге, применяют прессование, т.е. всестороннее сжатие за счет приложения внешнего давления, создаваемого в специальных механических устройствах - прессах.

В качестве пресса используем двухшнековый пресс с последовательно расположенными шнеками ВПО-20. В результате процесса прессования образуется виноградная выжимка, которая по транспортеру направляется на переработку или утилизацию.

В процессе стекания образуется сусло-самотек, которое отправляется на осветление.

Осветление отстаиванием

Отстаивание является основным и наиболее широко применяемым способом осветления сусла. Оно обеспечивает многосторонний выраженный технологический эффект и приводит к формированию свойств сусла, наиболее благоприятных для получения высококачественных вин.

В качестве отстойника используем вертикальный металлический резервуар из нержавеющей стали вместимостью 2000 дал. Продолжительность отстаивания колеблется от 18 до 24 часов.

Снятие сусла с осадка

Снятие сусла с осадка проводится с помощью насоса ВЦН-20. После чего, оставшаяся сусловая гуща направляется на фильтрование, где образуется плотный осадок, который утилизируют.

Подбраживание

-       подбраживание до необходимых кондиций с одновременным экстрагированием красящих и фенольных веществ в потоке в экстракторах.

Спиртование

Спиртование проводят с добавления 77% винного спирта. При добавлении винного спирта, температура сусла повышается на 4-5ºC. Во избежании этого повышения температуры, виноградный спирт добавляется охлажденным. Таким образом, прерывание ферментации происходит более эффективно и сохраняются первичные (фруктовые) ароматы.

Снятие с дрожжей

После добавления спирта-ректификата необходимо снять сусло с дрожжей. Процесс осуществляется с помощью насоса, после чего дрожжевая гуща направляется на фильтрование, где образуется плотный осадок, который отправляют на утилизацию.

После снятия сусла с дрожжей получаем осветленный виноматериал, который затем отправляется на хранение.

Хранение до отгрузки

Хранение готового виноматериала осуществляется в горизонтальных металлических резервуарах объемом 5000 дал.

Отгрузка

Отгрузка виноматериала из хранилища осуществляется с помощью мерников. В данном курсовом проекте используем: ВИЦ-1000-; ВИЦ-250; ВМА.

.4 Технохимический и микробиологический контроль производства

Технохимический и микробиологический контроль (ТХМК) виноделия, всесторонний контроль за всеми технологическими процессами производства, начиная с поступления сырья и кончая выпуском готовой продукции. Осуществляется лабораторией технохимического и микробиологического контроля. Дает возможность вести технологический процесс в оптимальном варианте, следить за качеством продукции, вовремя устранять недостатки, обеспечивать выпуск стандартной продукции высокого качества. ТХМК подвергаются: сырье, полуфабрикаты, основные и вспомогательные материалы и готовая продукция; внешнее оформление продукции, упаковка, маркировка. Лаборатория осуществляет также наблюдение за направленностью микробиологических процессов, контроль за соблюдением установленных режимов, кондиций, рецептур, за санитарным состоянием производственных помещений, тары, инвентаря. При осуществлении ТХМК пользуются методиками, описанными в ГОСТах и технологических инструкциях, или апробированными экспресс-методами и тестами.

Для контроля качества винограда и сусла рекомендуется определять следующие показатели: количество гнилых и поврежденных ягод, содержание сахаров, фенольных веществ, азотистых веществ, технологический запас красящих веществ, титруемую кислотность, величину рН. В сусле определяют также количество SO2 (общего и свободного). Контроль качества молодых виноматериалов, кроме определения основных показателей (спирт, сахар, титруемая и летучая кислотность, SO2), включает также проверку на содержание металлов, особенно железа, меди; винной, яблочной и молочной кислот; экстракта (общего и приведенного); альдегидов.

Микробиологический контроль позволяет выявить очаги инфекции и вовремя ликвидировать их, дает возможность обнаружить начало заболевания вина до появления в нем химически и дегустационно уловимых изменений. Включает отбор проб, микроскопирование, определение систематических групп микрофлоры по микроскопической картине (ориентировочно), количества микроорганизмов, физиологического состояния клеток (ориентировочно по микроскопической картине и методом посева на питательные среды), дифференциацию живых и мертвых клеток, почкующихся клеток. Для микробиологические характеристики исследуемого объекта очень важно правильно отобрать среднюю пробу и сразу же сделать анализ, т. к. количественный и качественный состав микрофлоры быстро меняется. Объектами микробиологического контроля являются: виноград, сусло после отстаивания (микроскопирование, контроль режима сульфитации); разводка чистой культуры дрожжей (микроскопирование и подсчет количества клеток); процесс брожения (микроскопирование, измерение температуры и изменение плотности среды). Виноматериал, направляемый на хранение и выдержку, отгружаемый с завода первичного виноделия, и вина, подготовленные к розливу, микроскопируют. Для оценки санитарного состояния оборудования и емкостей проводят микроскопирование мазков и смывных вод. Результаты проверки заносятся в соответствующие журналы ТХМК: контроль за созреванием винограда, контроль за приемкой винограда, контроль за переработкой винограда, контроль за брожением, контроль спиртования сусла; химический контроль, контроль за разливостойкостью; контроль за обработкой ЖКС и другими оклеивающими веществами; контроль за технологической обработкой вин; контроль за розливом и полнотой налива; контроль за температурой и влажностью воздуха. Ответственность за выполнение функций контроля возлагается на зав. лабораторией, который имеет право запретить выпуск продукции, не соответствующей требованиям ГОСТа или установленным органолептическим признакам.

2. Расчетная часть

.1 Расчет основного сырья

. Контрольная фильтрация

.

у=1002,3-1000=2,3 дал.

.Отдых

у=1002,6-1002,3=0,3 дал.

. Холодная фильтрация

у=1004,81-1002,6=2,21 дал

. Выдержка на холоде с обработкой

у= 1009,05-1004,81=4,24

. Обработка теплом

у= 1013,31-1009,05=4,26 дал

. Снятие с клея через фильтр

у= 1017,58-1013,31=4,27 дал

. Прессование клеевых осадков

Жидкие клеевые осадки составляет: 0,2*3=0,6 %

. Выдержка на клею

у= 1017,88-1017,58=0,30 дал

. Купаж с оклейкой

.2 Выбор, обоснование и расчет технологического оборудования

. Автовесы для цехов первичного виноделия

Автомобильные весы, располагаемые при въезде на территорию завода, служат для учета количества сырья, поступающего на завод.

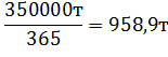
Данные для расчета: производительность цеха - 350000 т в год.

За сутки:

Продолжительность приемки винограда рассчитывается в соответствии с длительностью светового периода суток, т. е. 10 часов. Следовательно, за 1 час на переработку поступает:

Грузоподъемность автотранспорта 5 т, коэффициент использования грузоподъемности 0,75, отсюда грузоподъемность по винограду:

Неравномерность поступления винограда в течение рабочего дня учитывается с поправочным коэффициентом 1,4, следовательно, за 1 час будет принято:

Время взвешивания одной машины принимается 2 минуты, значит за 1 час можно осуществить 30 взвешиваний, а учитывая, что каждая машина взвешивается 2 раза (брутто и нетто), число взвешиваний в час составит 72.

Необходимое количество весов:

. Линии непрерывной переработки винограда

Количество линий непрерывной переработки винограда ведется на основании расчета ведущей машины (в нашем случае это дробилки).

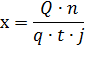
Расчет выполняется с использованием данных материального баланса и суточной производительности по формуле:


где Q - количество продукта, поступающего на данную технологическую операцию, т;

j -коэффициент неравномерности использования оборудования по времени (0,75 - 0,9);

t - время работы оборудования;

n - коэффициент неравномерности поступления сырья (1,2 - 1,4).

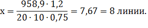
Необходимо рассчитать, сколько линий непрерывной переработки винограда потребуется при поступлении винограда в объеме 3900 т в сезон 20 дней.

В сутки на переработку поступает 958,9 т. Выбираем дробилку ЦДГ-20 как ведущую машину, тогда находим:

В состав линии непрерывной переработки винограда входит следующее оборудование:

.        бункер-питатель ВБШ-20 - 20 т/ч;

.        ударно центробежная дробилка-гребнеотделительЦДГ-20 - 20 т/ч;

.        мезгонасос ПМН-28 - 32 м3/ч;

.        насос для перекачки сусла ВЦН-20 - 20 м3/ч;

.        ВССШ-20

.        ДПО-20А

Насосы применяются для перемещения сусла, виноматериалов, мезги, осадков внутри цеха. Расчет насосов ведется с учетом тех насосов, которыми укомплектована поточная линия. Насосы, входящие в комплект поточной линии, используются на следующих технологических операциях:

·        мезгонасосы - для перекачивания мезги на стекание (насос марки ПМН-28);

·        насосы для сусла - для перекачивания сусла на осветление. Эти же насосы можно использовать после окончания сезона виноделия, т. е. для первой переливки, подачи виноматериалов на хранение, отгрузке виноматериалов (ВЦН-20).

Так как количество поточных линий переработки винограда по расчетам равно 2, следовательно, принимаем 2 мезгонасоса ПМН-28 и 3 насоса для перекачки сусла ВЦН-20 (1 - в запас).

. Фильтры для фильтрации осадков

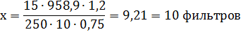
Для фильтрации осадков фильтры рассчитываются по сусловой гуще на основании их суточного количества.

Производительность вакуумного фильтра Taylo Lux-15 - 250 дал/ч.

Фильтрация сусловых осадков в объеме 15 дал, с учетом продолжительности рабочего дня 8 часов.

Расчет установок БРК-3М:

Принимаем 16 установки БРК-3М

2.3 Расчет количества емкостей

В цехах для переработки винограда могут применяться емкости для следующих технологических операций: для настоя мезги, осветления сусла, подбраживания и спиртования сусла, дображивания и хранения виноматериалов.

.        Отстойные и настойные емкости

Число отстойных и настойных емкостей определяется по формуле:


где Q -суточная производительность, дал;

,2 - коэффициент оборачиваемости емкости;

E - объем емкости, дал;

K -коэффициент заполнения - 0,9.

Необходимо рассчитать количество отстойных емкостей, если в цех поступает 195 тонн винограда, выход сусла из 1 тонны 75 дал.

.        Емкости для подбраживания, спиртования и последующего хранения

Расчет потребного количества емкостей для подбраживания, спиртования и последующего хранения ведется согласно материальному балансу на каждый виноматериал отдельно. Причем для этой операции могут использоваться уже имеющиеся емкости с коэффициентом заполнения 1, такие, закрытые отстойные емкости и др.

При таких условиях расчет ведется по формуле:


Q - количество виноматериала, поступающего на хранение, дал;

n1, n2- количество имеющихся резервуаров;

E1, E2 - вместимость имеющихся резервуаров;

E - вместимость одной емкости для хранения, дал;

K - коэффициент заполнения емкости - 1.

Вместимость одной цистерны 5000 дал.

Принимаем комплект мерников:

ВИЦ-1000, ВИЦ-250, ВМА-75.

Список использованной литературы

а) Основная литература:

.Технологическое оборудование предприятий бродильной промышленности : учеб.-метод. пособие / Е. А. Сосюра [и др.] ; СтГАУ. - Ставрополь : АГРУС, 2009. - 104 с.

. Привалова, Е. А. Технологические расчеты в бродильных производствах : учебное пособие / Е. А. Привалова. - Уфа : УГАЭС, 2009. - 79 с.

.ЭБС Университетская библиотека ONLINE: Экспертиза свежих плодов и овощей. Качество и безопасность: учебной пособие. - Новосибирск : Сибирское университетское издательство, 2009. - 312 с.

б) Дополнительная литература

.Зайчик, Ц.Р. Технологическое оборудование винодельческих предприятий/ Ц.Р.Зайчик.- М.: Де Ли принт, 2004.

. Косюра, В.Т. Основы виноделия/ В.Т. Косюра, Л.В. Донченко, В.Д. Надыкта. - М.: Де Ли принт, 2004.

. Соболев Э.М. Технология натуральных и специальных вин.- Майкоп: ГУРИПП «Адыгея», 2004.- 400с.: ил.

. Фараджева Е.Д. Общая технология бродильных производств/ Е.Д. Фараджева, В.А. Федоров. - М.: Колос, 2002.

Похожие работы на - Технология производства портвейна

 

Не нашли материал для своей работы?
Поможем написать уникальную работу
Без плагиата!
Без нейросетей!