Патентная защита объектов интеллектуальной собственности в РФ

  • Вид работы:
    Курсовая работа (т)
  • Предмет:
    Основы права
  • Язык:
    Русский
    ,
    Формат файла:
    MS Word
    48,11 Кб
  • Опубликовано:
    2014-07-23
Вы можете узнать стоимость помощи в написании студенческой работы.
Помощь в написании работы, которую точно примут!

Патентная защита объектов интеллектуальной собственности в РФ

Федеральное агентство железнодорожного транспорта

Государственное образовательное учреждение высшего профессионального образования

Уральский государственный университет путей сообщения

Факультет Экономики и управления

Кафедра Экономика транспорта





Комплексная курсовая работа

Тема:

Патентная защита объектов интеллектуальной собственности в РФ












Екатеринбург - 2014

Содержание:

Введение

.   Патентная защита объектов интеллектуальной собственности в РФ

1.1 Понятие патентного права

1.2    Объекты и субъекты патентного права

1.3 Права создателей

1.4    Оформление патентного права

2. Внедрение инновации в организации Центр Дополнительного Образования

2.1 Характеристика предприятия, миссия и цели

2.2 Дерево целей

2.3    SWOT-анализ

.4      Затраты

.5      Показатели внедрения

.6      Показатели экономической эффективности инновационного проекта

.7      Риск и страхование риска предприятия

Заключение

Список использованных источников

Введение

Одним из основополагающих показателей формирования цивилизованного общества на всех этапах развития является степень развития и использования в хозяйственной деятельности достижений науки, культуры и техники. Решение экономических проблем общества в целом и отдельной страны в частности зависит от уровня интеллектуального потенциала населения, для наращивания которого нужны не только соответствующий человеческий фактор, наличие технических и технологических условий развития интеллектуальных возможностей, но и формирование необходимых правовых предпосылок, а именно:

создание юридической базы, позволяющей наиболее эффективно использовать существующие результаты интеллектуальной деятельности;

содействие правовых основ развитию интеллектуальной деятельности;

законодательное закрепление нормативных правил интеллектуальной деятельности и их соответствие современным товарно-денежным отношениям.

Совершенствование патентного законодательства является одним из приоритетных направлений развития законодательства, как в Российской Федерации, так и во всем мире. Во многом это обусловлено тем, что наше государство стремится развивать творческий потенциал граждан, составляющий его стратегический ресурс, в целях вовлечения результатов интеллектуальной деятельности в гражданский оборот, стимулирования экспорта и импорта новейших технологий. Реализация этих целей, в свою очередь, требует надлежащего обеспечения прав создателей результатов интеллектуальной деятельности и других правообладателей.

1. ПАТЕНТНАЯ ЗАЩИТА ОБЪЕКТОВ ИНТЕЛЛЕКТУАЛЬНОЙ СОБСТВЕННОСТИ В РФ

1.1    Понятие патентного права

Патентное право является одним из относительно обособленных институтов российского гражданского права. Сам термин совсем недавно был возвращен в российское законодательство. Как известно, в течение длительного времени в России, как и во всем бывшем Советском Союзе, изобретения и другие технические новшества охранялись в основном не патентами, а авторскими свидетельствами. Последние не предоставляли их обладателям исключительного права на использование созданных разработок, а лишь гарантировали им личные права и право на получение вознаграждения от пользователей. Поэтому совокупность правовых норм, регулирующих отношения, возникавшие в рассматриваемой области, именовалась не патентным, а изобретательским правом. В настоящее время в связи с восстановлением в России общепринятой системы охраны технических новшеств можно вновь с полным основанием говорить о российском патентном праве.

Под патентным правом в объективном смысле понимается «совокупность правовых норм, регулирующих имущественные и личные неимущественные отношения, возникающие в связи с созданием, использованием и охраной изобретений, полезных моделей и промышленных образцов».

В субъективном смысле патентное право - это «исключительное и иное имущественное или личное неимущественное право конкретного субъекта, связанное с определенным изобретением, полезной моделью или промышленным образцом».

В качестве основных принципов российского патентного права могут быть названы следующие положения:

. Признание за патентообладателем исключительного права на использование запатентованного объекта.

. Сочетание баланса индивидуальных интересов патентообладателя и публичных интересов общества.

. Предоставление правовой охраны лишь тем разработкам, которые в официальном порядке признаны патентоспособными изобретениями, полезными моделями и промышленными образцами.

. Предоставление правовой охраны лишь в объеме, определяемом формулой (описанием) поданной заявки.

. Наделение авторов запатентованных объектов личными неимущественными, а в некоторых случаях и имущественными правами независимо от того, являются ли они патентообладателями.

Данные принципы определяют конкретное содержание основных норм патентного права, являются его исходными началами и служат предпосылками его дальнейшего развития. Знание этих принципов помогает лучше понять содержание конкретных патентно-правовых норм, способствует их правильному применению на практике и дает определенные ориентиры для разрешения тех жизненных ситуаций, которые прямо не урегулированы действующим законодательством.

Предметом российского патентного права, как уже отмечалось, является регулирование отношений, возникающих в связи с созданием и использованием объектов патентного права.

1.2    Объекты и субъекты патентного права

Объектами патентного права являются «результаты интеллектуальной деятельности в научно-технической сфере, отвечающие установленным Гражданским кодексом требованиям к изобретениям и полезным моделям, и результаты интеллектуальной деятельности в сфере художественного конструирования, отвечающие установленным ГК требованиям к промышленным образцам».

В отличие от объектов авторского права и смежных прав, изобретение, полезная модель и промышленный образец подлежат правовой охране и становятся объектами исключительных прав при условии их государственной регистрации, на основании которой Федеральная служба по интеллектуальной собственности, патентам и товарным знакам (Роспатент) и выдает патент. Патент удостоверяет приоритет, авторство изобретения, полезной модели или промышленного образца и исключительное право на изобретение, полезную модель или промышленный образец.

Объектами изобретений могут быть устройства (например, приборы); вещества (например, сплавы металлов); штаммы микроорганизмов (например, грибки, дрожжи, микробы); способы (например, способ обработки материала, диагностики, измерения).

Изобретение подлежит патентно-правовой охране, если оно отвечает следующим условиям:

новизна;

изобретательский уровень;

промышленно применимо.

Не предоставляется правовая охрана в качестве изобретения: сортам растений, породам животных и биологическим способам их получения, за исключением микробиологических способов и продуктов, полученных такими способами; топологиям интегральных микросхем.

Субъекты патентного права могут быть подразделены на 2 группы.

К первой группе относятся субъекты, которые обладают какими-либо правами на соответствующие объекты интеллектуальной собственности (авторы изобретений, полезных моделей, промышленных образцов, патентообладатели, их правопреемники, и др.).

Автором изобретения, полезной модели, промышленного образца является:

гражданин, творческим трудом которого создан соответствующий результат интеллектуальной деятельности;

лицо, указанное в качестве автора в заявке на выдачу патента;

Патентообладателем, т.е. лицом, владеющим патентом на объект промышленной собственности и вытекающими из патента исключительными правами на его использование, могут быть:

автор (соавторы) изобретения, полезной модели, промышленного образца;

физические и (или) юридические лица (при условии их согласия), которые указаны автором (соавторами) или его (их) правопреемником в заявке на выдачу патента либо в заявлении, поданном в Патентное ведомство до момента регистрации изобретения, полезной модели, промышленного образца;

работодатель или заказчик в случаях, предусмотренных Гражданским кодексом;

Кроме того, субъектом патентного права может быть любое лицо, получившее принудительную лицензию на основании решения суда (в случае отказа патентообладателя от заключения лицензионного договора, а также при недостаточном использовании патентообладателем изобретения или промышленного образца в течение четырех лет, а полезной модели - в течение трех лет с даты выдачи патента).

Во вторую группу входят субъекты, которые обеспечивают или способствуют возникновению и осуществлению патентных прав субъектов первой группы (Федеральная служба по интеллектуальной собственности, патентам и товарным знакам (Роспатент), патентные поверенные).

Федеральный орган исполнительной власти по интеллектуальной собственности выдает патент на изобретение, полезную модель или промышленный образец.

Патентным поверенным является «гражданин, получивший в установленном порядке статус патентного поверенного и осуществляющий деятельность, связанную с правовой охраной результатов интеллектуальной деятельности и средств индивидуализации, защитой интеллектуальных прав, приобретением исключительных прав на результаты интеллектуальной деятельности и средства индивидуализации, распоряжением такими правами.

1.3    Права создателей и оформление патентного права

Факт создания изобретения, полезной модели, промышленного образца, квалификация его в качестве такового Роспатентом и выдача на него патента влекут за собой возникновение ряда правомочий как у автора, так и у других патентообладателей. В связи с тем, что понятия автора и патентообладателя не всегда совпадают, некоторые права могут принадлежать только автору, остальные - как автору, так и любому другому патентообладателю. Так, личные неимущественные права могут возникнуть только у авторов изобретений, полезных моделей, промышленных образцов.

Автору изобретения, полезной модели или промышленного образца принадлежат следующие права:

Данное право имеет определенные территориальные границы. По общему правилу оно ограничено территорией России, однако если изобретение запатентовано в другом государстве, то это право будет существовать и на территории того государства, где оно запатентовано. Право авторства охраняется бессрочно. Оно предполагает запрет всем другим лицам именоваться авторами того изобретения, полезной модели, промышленного образца, на которое был выдан патент, действующий на территории данного государства;

) исключительное право. Согласно п. 1 ст. 1358 ГК «патентообладателю принадлежит исключительное право использования изобретения, полезной модели или промышленного образца в соответствии со статьей 1229 ГК любым не противоречащим закону способом, в том числе способами, предусмотренными пунктами 2 и 3 статьи 1358 ГК. Патентообладатель может распоряжаться исключительным правом на изобретение, полезную модель или промышленный образец».

Сроки действия исключительных прав на изобретение, полезную модель и промышленный образец и удостоверяющего это право патента исчисляется со дня подачи первоначальной заявки на выдачу патента в федеральный орган исполнительной власти по интеллектуальной собственности и при условии соблюдения требований, установленных настоящим Кодексом, и составляют:

для изобретений - 20 лет;

для полезных моделей - 10 лет;

для промышленных образцов - 15 лет.

За поддержание патента в силе в течение указанных сроков, а также за продление срока действия патента уплачиваются патентные пошлины. Неуплата пошлины за поддержание патента в силе влечет досрочное прекращение действия патента.

По истечении срока действия исключительного права изобретение, полезная модель или промышленный образец переходит в общественное достояние, и любое лицо может свободно использовать его без чьего-либо согласия или разрешения и без выплаты вознаграждения за использование.

Исключительность прав патентообладателя означает, что он «может использовать запатентованные изобретение, полезную модель или промышленный образец любым не запрещенным способом по своему усмотрению, а все третьи лица обязаны воздерживаться от его использования без разрешения патентообладателя. Использование объекта, охраняемого патентом, без согласия патентообладателя является нарушением его исключительных прав и основанием для привлечения правонарушителя к ответственности»;

) другие права, в том числе:

право на получение патента;

право на вознаграждение за использование служебного изобретения, полезной модели и промышленного образца;

право преждепользования.

.4 Оформление патентного права

Изобретение, полезная модель или промышленный образец, отвечающие всем условиям патентоспособности, становятся объектом исключительных прав только после их государственной регистрации и выдачи патента, который удостоверяет приоритет, авторство и исключительное право на использование объекта интеллектуальной собственности и его защиту, выдается Патентным ведомством и действует в течение 20 лет со дня поступления заявки в ФИПС Роспатента. До момента регистрации они правовой охране не подлежат и могут использоваться третьими лицами без каких-либо неблагоприятных для них последствий. Временная правовая охрана предоставляется изобретению с даты публикации сведений о заявке до даты публикации сведений о выдаче патента.

Оформление патентных прав представляет собой достаточно длительный процесс, который состоит из нескольких этапов:

. Составление и подача в Роспатент заявки на выдачу патента;

. Рассмотрение заявки Роспатентом;

. Выдача патента.

патентный интеллектуальный правовой

2. ВНЕДРЕНИЕ ИННОВАЦИОННОГО ПРОЕКТА В ОРГАНИЗАЦИИ «ЦЕНТР ДОПОЛНИТЕЛЬНОГО ОБРАЗОВАНИЯ»

.1 Характеристика предприятия, миссия и цели

Центр Дополнительного Образования (ЦДО) - позиционирует себя как Центр, ставящий перед собой задачу повышать уровень управленческого мастерства менеджеров, приглашая лучших преподавателей, консультантов и экспертов России.

Важным направлением деятельности Центра является разработка и проведение корпоративных программ по индивидуальным темам, разработанным для решения реальных проблем на предприятии. И именно это направление становится все более востребованным в последние годы. Корпоративное (внутрифирменное обучение) - один из самых действенных способов быстро решить наболевшие проблемы компании, связаны ли они с повышением объема продаж или с выбором новых стратегических целей.

Основные преимущества компании:

широкий спектр программ по различным тематическим направлениям;

высокий профессионализм консультантов и бизнес-тренеров, имеющих практический опыт реализации бизнес-проектов на многих предприятиях России;

адаптированные под российский бизнес материалы и технологии, многолетний опыт работы в области бизнес-обучения;

программы обучения, разработанные и максимально адаптированные и под конкретные цели и задачи Компании-Заказчика.

Инновация - внедрение дистанционного образования.

Миссия организации - завоевание лидирующих позиций на рынке дополнительного образования, предоставление качественных дополнительных образовательных услуг в экономической, управленческой и юридической сферах, с индивидуальным подходом к каждому клиенту и использованием современных инновационных технологий.

Девиз Центра Дополнительного Образования - «образование должно быть совершенным».

Основная задача ЦДО - помогать клиентам пополнять и актуализировать свои знания и навыки, переводя обучение сотрудников предприятия от разового события к регулярному процессу.

Главными целями Центра являются:

) забота о том, чтобы клиенты получали услуги высшего качества;

) обеспечение качества образовательных программ, компетенции преподавателей и тренеров, экспертов и консультантов;

) забота о том, чтобы каждая оплаченная клиентом минута обернулась для него надежно усвоенными знаниями и навыками;

) гарантирование качественного сервиса и комплексного обслуживания;

) предоставление клиентам широкого выбора удобных форм обучения, а также программ различной продолжительности;

) постоянное совершенствование работы и полезности для клиентов.

2.2 Дерево целей

Дерево целей - это структурированная, построенная по иерархическому принципу (распределенная по уровням, ранжированная) совокупность целей экономической системы, программы, плана, в которой выделены генеральная цель («вершина дерева»); подчиненные ей подцели первого, второго и последующего уровней («ветви дерева»). Название «дерево целей» связано с тем, что схематически представленная совокупность распределенных по уровням целей напоминает по виду перевернутое дерево. Дерево целей для организации Центр Дополнительного Образования приведен на рисунке:



Таблица 1

Сильные и слабые стороны организации Центр Дополнительного Образования

Параметры оценки

Сильные стороны

Слабые стороны

Организация

1) высокий уровень мотивации сотрудников; 2) сплоченность и работоспособность коллектива; 3) Высокий авторитет начальства; 4) Молодой, активно развивающийся коллектив.

1) Высокие затраты на организацию корпоративных тренингов; 2) Нехватка высококвалифицированных кадров

Производство

1) высокое качество предоставляемых услуг; 2) Наличие необходимых документов (сертификат качества, лицензия др.)

1) новый, непроверенный поставщик оборудования; 2) Отсутствие полного переоборудования, преобладание изношенного; 3) Высокая себестоимость продукции

Финансы

1) Высокая финансовая устойчивость предприятия; 2) Быстрая оборачиваемость капитала, так как высокий спрос; 3) Востребованность услуги на рынке; 4) Прибыльность бизнеса

1) Высокие издержки производства; 2) Большие затраты на закупку и обслуживание оборудования

Инновации

1) Внедрение новой услуги; 2) Высокая скорость окупаемости оборудования; 3) Расширение клиентской базы

1) Низкий уровень частоты внедрения новых услуг

Маркетинг

1) Высокое качество предоставляемых услуг и востребованность у потребителя; 2) Известность предприятия на рынке образовательных услуг; 3) Широкий спектр предоставляемых услуг; 4) Высокая квалификация обслуживающего персонала

1) Высокий уровень цен




Таблица 2

Возможности и угрозы организации Центр Дополнительного Образования

Параметры оценки

Возможности

Угрозы

Спрос

1) Емкий рынок и как следствие возможность привлечения клиентов

Конкуренция

1) В ближайшее время не предвидеться появление крупных компаний - конкурентов

1) Большое количество имеющихся на рынке конкурентов; 2) Наличие в отрасли нелицензированных компаний

Сбыт

1) Появление на рынке новых крупных поставщиков оборудования и программного обеспечения

1) Вероятность «распыления» крупного поставщика на другие компании

Экономические

1) Гибкая налоговая политика

1) Из-за нестабильности в экономике, возможно снижение спроса

Политико-правовые

1) Из-за увеличения уровня политической стабильности возможно укрепление и удержание своих конкурентных позиций

1) Коррупционированные чиновники - подкуп власти, лишение лицензии

Научно-технический прогресс

1) Внедрение инновации должно привести к укреплению позиции компании на рынке, увеличению клиентской базы 2) Увеличение уровня государственной поддержки

1) Кража идей (плагиат)

Социально-демографические

1) Из-за увеличения уровня занятости населения возможно расширение клиентской базы, благодаря увеличению спроса на услугу;

1) Преобладание пожилого населения приводит к потерям части сегмента рынка

Социально-культурные

1) Увеличение уровня образования населения приводит к увеличению спроса

-

Природные, экологические

1) Из-за отсутствия перемещения населения, благодаря внедрению дистанционного обучения, потребители услуги не ухудшают состояние окружающей среды

-

Международные

1) Увеличение рынка сбыта из-за политической ситуации на Украине

1) Из-за нестабильной ситуации в мире есть вероятность ограничения сотрудничества между странами, что может привести к нарушению связей с иностранными специалистами



2.3 SWOT-анализ

SWOT-анализ - метод <#"795565.files/image002.jpg">

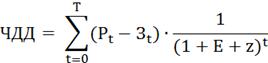
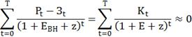
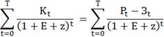
где Pt - приток денег в году t (стоимостная оценка результатов), руб.;

Зt - отток денег в году t (текущие и единовременные затраты), руб.;

Т - расчетный период (определяется с учетом времени эксплуатации проекта и интересов инвестора), лет;

t - шаг расчета.

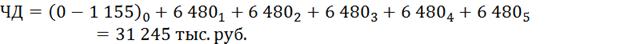
)   Чистый дисконтированный доход (ЧДД) - сумма текущих эффектов за весь расчетный период, приведенная к начальному шагу с учетом нормы дисконта и рисковой поправки:


где Е - норма дисконта (применяется равным процентной ставке ЦБ РФ);

z - рисковая поправка (при инвестировании производства новых продукций и услуг = 0,13).

)   Индекс доходности (ИД) - представляет собой отношение сумма приведенных эффектов к величине капиталовложений:


)   Внутренняя норма доходности инвестиций (ВНД) - представляет собой ту норму дисконта (ЕВН), при которой величина производственного эффекта равна инвестиционным вложениям, т.е. величина ЕВН (ВНД) определяется из равенства:


)   Срок окупаемости инвестиций (ТОК) - период, начиная с которого первоначальные вложения и другие затраты, связанные с инвестиционным проектом, покрываются суммарными результатами его осуществления:

2.7 Риск и страхование риска предприятия

Суммарная оценка риска выражается в процентах от максимальной суммы баллов:

Минимальный риск - от 15 до 35% (мягкий риск);

Риск средней степени - от 35 до 55% (жесткий риск);

Максимально допустимый риск - не выше 55% (критический риск).

Вывод: все риски находятся в приемлемых значениях, а именно не превышают 35%.

Фактор риска

Коэффициент риска по стадиям работы

Меры по снижению степени риска


Подготовительная

Строительная

Текущая деятельность


1. Политический -угроза нестабильности извне -нестабильность правительства -возможность вооруженных конфликтов -коррупция -внешнеэкономическая ориентация

28% 0,4 0,4 0,2 1 0,8

30% 0,5 0,5 0,2 1 0,8

30% 0,5 0,5 0,2 1 0,8

Не способствовать развитию коррупции (максимально открытые сделки)

2. Социальный -возможность гражданской войны -стачки -забастовки -терроризм -лояльность местной администрации

23% 0,2 0,2 0,5 0,4 1

23% 0,2 0,2 0,5 0,4 1

23% 0,2 0,2 0,5 0,4 1

Стабильность выплаты з/п, индексация в соответствии с инфляцией

3. Финансовый -невыплаты ссуд -задержки по кредитам -аннулирование контрактов -экспроприация частного капитала -изменение кредитно-денежной политики

16% 0,2 0,2 0,8 0,2 0,2

18% 0,3 0,2 0,9 0,2 0,2

Точное исполнение договоров

4. Экономический -состояние экономического развития страны -динамика торгового и платежного балансов -конкуренты -уровень капиталовложений -стоимость рабочей силы

27% 0,4 0,4 0,7 0,3 0,9

33% 0,5 0,5 1 0,3 1

33% 0,5 0,5 1 0,3 1

Лидерство на рынке (уникальность на рынке образовательных услуг)

5. Технико-технологический -физическое и моральное старение машин - -//- оборудования - -//- технологий -жизненный цикл продукции -эффективность НИОКР

22% 0,5 0,5 0,5 0,2 0,5

27% 0,6 0,7 0,7 0,2 0,5

27% 0,6 0,7 0,7 0,2 0,5

Своевременная замена (обновление) оборудования, способствование НТП

6. Стихийные бедствия -пожар -наводнение -засуха -землетрясение -бури и ураганы

10% 0,2 0,2 0,2 0,2 0,2

10% 0,2 0,2 0,2 0,2 0,2

10% 0,2 0,2 0,2 0,2 0,2

Установка пожарной сигнализации, проверка состояния запасных выходов и своевременные инструктажи по технике безопасности

7. Хищение, порча и прочий ущерб -хищение денежных средств - -//- сырья и материалов - -//- готовой продукции - утечка информации -порча материально-вещественных факторов производства

16% 0,2 0,2 0,2 0,5 0,5

21% 0,3 0,3 0,3 0,6 0,6

21% 0,3 0,3 0,3 0,6 0,6

Тщательные проверки претендентов при приеме на работу, при поступлении на работу обязательное обучение персонала




Заключение

Интеллектуальные права на изобретения, полезные модели и промышленные образцы являются патентными правами. Патентное право представляет собой совокупность норм, регулирующих имущественные и личные неимущественные отношения, возникающие в связи с созданием и использованием изобретений, полезных моделей и промышленных образцов, путем установления режима их использования, морального и материального стимулирования и защиты прав авторов и патентообладателей.

В соответствии с Кодексом автору изобретения, полезной модели или промышленного образца принадлежат права: исключительное право, право авторства, а также другие права, в том числе: право на получение патента, на вознаграждение за использование служебного изобретения, полезной модели или промышленного образца, право преждепользования.

На территории РФ признаются исключительные права на изобретения, полезные модели и промышленные образцы, удостоверенные патентами, выданными федеральным органом исполнительной власти по интеллектуальной собственности, или патентами, имеющими силу на территории РФ в соответствии с международными договорами РФ.

Конечно, многие проблемы возникновения, осуществления и защиты прав на интеллектуальную собственность решены далеко не окончательно. Основная задача российского законодательства сегодня заключается в создании нормальной, современной, отлаженной системы патентования с прочной законодательной базой и современным режимом защиты интеллектуальной собственности и авторских прав. Не случайно в этой связи Указом Президента РФ от 18.07.2008 г. №1108 был сформирован Совет по совершенствованию Гражданского кодекса, включая все его части.


Список использованных источников:

1. «Гражданский кодекс РФ» (части первая, вторая, третья и четвертая) - М., 2009;

2.      «Гражданское право: В 4 т. Том 2: Вещное право. Наследственное право. Исключительные права. Личные неимущественные права» - М., 2010;

.        «Защита интеллектуальной собственности»

.        Молчанов А.А. «Гражданское право в схемах» - М., 2010;

.        «Общий анализ положений четвертой части гражданского кодекса РФ»

.        Чаусская О.А. «Гражданское право» - М., 2011.

Похожие работы на - Патентная защита объектов интеллектуальной собственности в РФ

 

Не нашли материал для своей работы?
Поможем написать уникальную работу
Без плагиата!
Без нейросетей!