Технологический процесс прессования и механической обработки изделия 'Кольцо'
Государственное
образовательное учреждение высшего профессионального образования
«Московский
государственный технический университет имени Н.Э. Баумана»
РАСЧЁТНО-ПОЯСНИТЕЛЬНАЯ
ЗАПИСКА К КУРСОВОМУ ПРОЕКТУ
«Технология
машиностроения»
Выполнил Ковалёв К.Е.
Научный руководитель проекта Комков М.А.
Москва, 2014
г.
Содержание
Задание на
курсовое проектирование
.
Технологическая часть
.1 Описание
объекта производства и условий эксплуатации
.2 Анализ
технологичности детали
.3 Анализ
типа производства
.4 Анализ и
обоснование выбора материала детали
.5 Разработка
маршрутного технологического процесса
.6 Расчет
межоперационных припусков
.7 Расчет
режимов механической обработки
.7.1 Расчет
режимов токарной обработки
.7.2 Расчет
режимов сверления
. Конструкторская
част
.1 Разработка
установочно-зажимного приспособления «Кондуктор»
Список
литературы
Задание на курсовое проектирование
I.
Тема курсового проекта:
Разработка технологического процесса прессования и механической обработки
изделия «Кольцо».
II.
Техническое задание:
. Разработать технологический процесс прессования и механической
обработки изделия «Кольцо» в условиях мелкосерийного производства.
. Разработать приспособление.
. Выбрать обрабатывающий инструмент.
. Выбрать измерительный инструмент или контрольные приспособления.
1. Технологическая часть
1.1 Описание объекта производства и условий эксплуатации
Объектом производства является кольцо, являющееся составной частью
межконтинентальной баллистической ракеты «Тополь-М». Кольцо представляет собой
цилиндрическое тело вращения и включает в себя целый ряд отверстий, с помощью
которых происходит соединение ТЗП корпуса с металлическим фланцем заднего днища
РДТТ.
В процессе эксплуатации изделие испытывает некоторые нагрузки, поэтому
изделие подвергается визуальному контролю и с применением
контрольно-измерительной оснастки.
1.2 Анализ технологичности детали
ГОСТ 14.201-73 устанавливает два этапа анализа технологичности.
Качественно можно утверждать, что из-за небольшого числа развитых поверхностей
детали и их несложной геометрии обработка резанием применяется в качестве
основной.
Наиболее подходящим для изготовления заготовки детали является метод
прессования с последующей механической обработкой. Данный метод позволяет
свести к минимуму операционные припуски на мех. обработку и изготовить деталь с
меньшей затратой материала.
Количественно показателями технологичности являются (ГОСТ14.201-73):
. Трудоемкость, оцениваемая как суммарное время изготовления:
где n - количество операций;
- основное время на i-ую операцию, мин;
- вспомогательное время на i-ую операцию, мин;
. Коэффициент использования материала:
где
- масса детали,
- масса заготовки,
. Коэффициент точности обработки:
где
- допуск наиболее точной поверхности;
- допуск заготовки того же размера;
. Коэффициент шероховатости:
где
- шероховатость наиболее гладкой поверхности, мкм;
-
шероховатость поверхности, мкм;
. Масса детали:
1.3 Анализ типа производства
Производство изделий, в которое входит деталь «Кольцо», является
мелкосерийным(~10-15шт./год). После выполнения заказанной партии изделий
производственный цех переходит на выпуск других изделий на том же оборудовании.
При этом заказы могут периодически повторяться.
Организация цеха мелкосерийного производства предполагает расположение
оборудования по технологическому признаку. Оснастка станков универсальна,
включающая в себя универсально-сборочные приспособления. Инструмент, как
правило, стандартный, но в отдельных случаях может быть специально разработан для
непосредственного производства одного изделия. Это делается для улучшения
точности обработки детали либо для уменьшения времени ее производства.
1.4 Анализ и обоснование выбора материала детали
Критерии выбора материала:
) Т.к. изготавливаемая деталь является элементом межконтинентальной
баллистической ракеты, то основной критерий - это наибольшая прочность детали
при меньшей массе или при меньшей плотности.
) Т.к. деталь используется в камере РДТТ(между ТЗП и металлическим
фланцем), где температура достигает, то температура применения материала детали
должна соответствовать данному диапазону.
) Важным критерием является обрабатываемость резанием, т.к. в процессе
изготовления применяется точение, сверление, зенкерование.
Анализируя критерии, выбираем материал для прессования заготовки:
Материал заготовки - стеклоткань Т-13;
Связующее - ЭП-5122 (основа - эпоксидно-фенолоформальдегидная смола,
растворитель - этиловый спирт);
Разделительная плёнка - пропиленовая ("Филмопол").
1.5 Разработка маршрутного технологического процесса
|
Номер операции
|
Операция(наименование, содержание)
|
Оборудование (приспособление, инструмент)
|
|
005
|
Подготовка оборудования 1. Проверить исправность пресса на
холостом ходу, для чего: -включить пресс и поднять до упора верхнюю подвижную
плиту пресса; -опустить подвижную плиту пресса и дать давление 10-20 кгс/см2.
2. Проверить работу приборов контроля температуры и давления. 3. Очистить
приямок пресса от остатков смолы.
|
Лопата совковая
|
Подготовка оснастки Очистить прокладочные листы от остатков
облоя. Периодичность замены прокладочных листов 1 раз в год, не реже.
|
Стол, латунные скребки Прокладочные листы (ст. Х18Н97)
|
|
015
|
Подготовка материалов 1. Проверить наличие паспорта на
материалы, удостоверяющего их качество. 2. Отторцевать рулоны материалов по
ширине в заданный размер. 3. Разрезать отторцованные или целые рулоны
материалов заготовки по длине в заданный размер. Места склейки полотен ткани
вырезать. Стыки по длине полотна не допускаются.
|
Станок токарно-винторезный тип 163, резец 359.000. Стол
б/ч, нож б/ч. Рулетка ГОСТ 7502-98, Линейка 1000 ГОСТ 427-75.
|
|
020
|
Прессование 1. Уложить в пресс-форму прокладочный лист 2.
Уложить разделительную плёнку с припуском по периметру, обеспечивающим
перекрытие торцев собранного пакета. Нахлесты слоев плёнки между собой -
(30-50)мм. Использовать плёнку «Филмопол» толщиной 80мкм ТУ
2245-008-29007916-98. 3. Уложить заготовки материала. Заданную толщину плиты
обеспечить количеством слоёв в соответствии с картой эскизов на изделие.
Ширину плиты более ширины ткани обеспечивать укладкой заготовок встык со
смещением стыков в каждом последующем слое на 180°. 4. Завернуть нижний слой
разделительной плёнки на верх пакета. Уложить сверху слой разделительной
плёнки. 5. Уложить прокладочный лист. Допускается прессовать несколько
пакетов одновременно. Для этого собрать на прокладочный лист следующий пакет
согласно пер. 2-4. 6. Загрузить подготовленные пакеты в этаж пресса при
температуре пресса не выше 60°С. 7. Сомкнуть плиты пресса. 8.
Проконтролировать температуру плит пресса. 9. Поднять температуру до
(110±10)°С. Дать давление (30±5)кгс/см2. Поднять температуру до
(150±10)°С. Выдержать из расчёта (10±5)мин на 1мм толщины изделия. Охладить
плиты пресса, не снижая давления, до температуры 30°С. 10. Снять давление.
11. Выгрузить листы из пресса.
|
Пресс-форма Манометр ЭКМ-2У ГОСТ 13717-74 кл.1,5.
Потенциометр КСП-3 ГОСТ 7164-78.
|
|
025
|
Контроль 1. Проконтролировать толщину плиты в соответствии
с картой эскизов. Измеренное значение должно быть не меньше указанного номинала.
2. Проконтролировать внешний вид: на поверхностях плиты не допускаются
вздутия. 3. Проконтролировать режим прессования: температуру и время выдержки
по диаграмме.
|
Штангенциркуль ШЦ-1-250-0,1 ГОСТ 166-89
|
|
030
|
Токарная 1. Установить плиту-заготовку на станок и поджать
к патрону центром задней бабки. 2. Точить наружную поверхность до кулачков
(ø720-2)мм.
3. Вырезать изнутри диск ø320мм.
|
Станок токарный мод.165 Резец 2102-0081 ВК8 ГОСТ 18877-73
Резец 2130-0013 ВК8 ГОСТ 18884-73
|
|
035
|
Токарная 1. Перезакрепить заготовку. 2. Обточить оставшуюся
часть наружной поверхности. 3. Подрезать торец заготовки начисто. 4. Точить
наружную поверхность до кулачков. 5. Разметить канавку на расстоянии (29,5-0,5)мм
от наружной поверхности. 6. Точить канавку, выдерживая глубину (3±0,5)мм и
привязку от наружного диаметра (29,5-0,5)мм 7. Точить
кольцевую проточку на глубину (4,2±0,15)мм 8. Вырезать заготовку по
внутреннему диаметру с припуском 3мм на сторону на чистовую расточку 9. Снять
заготовку кольца со станка. 10. Перезакрепить оставшуюся часть заготовки. 11.
Точить наружную поверхность до кулачков. 12. Снять заготовку кольца со
станка.
|
Станок токарный мод.165 Резец 2102-0081 ВК8 ГОСТ 18877-73
Резец 2130-0002 ВК8 ГОСТ 18884-73 Резец 2102-0081 ВК8 ГОСТ 18877-73
|
|
040
|
Токарная 1. Установить прижимное приспособление на станок и
закрепить в 4-ех кулачковом патроне. 2. Установить заготовку кольца на станок
и закрепить в приспособлении обработанным торцем к передней бабке с помощью
прижимов. 3. Расточить внутреннюю поверхность кольца. 4. Подрезать торец
начисто до прижимов. 5. Расточить внутренний диаметр ⌀660+0,2 мм на глубину
(4±0,15)мм. 6. Разметить канавку на расстоянии (29,5-0,5)мм от
наружной поверхности. 7. Точить канавку, выдерживая глубину (3±0,5)мм и
привязку от наружного диаметра (29,5-0,5)мм. 8. Переустановить
прижимы. 9. Подрезать оставшуюся часть торца начисто. 10. Расточить наружный
диаметр ⌀659+0,325 мм на глубину (6±0,18)мм. 11. Снять
кольцо со станка.
|
Станок токарный мод.165 Прижимное приспособление
специальное П 3211.000 Резец 2141-0042 ВК8 ГОСТ 18883-73 Резец 2103-0076 ВК8
ГОСТ 18879-73 Резец 2103-0076 ВК8 ГОСТ 18879-73 Резец 2130-0002 ВК8 ГОСТ
18884-73
|
|
045
|
Сверлильная 1. Установить кольцо в кондуктор и отцентровать
по посадочным диаметрам. 2. Установить кольцо с кондуктором на станок и
настроить на сверление отверстия. 3. Сверлить отверстие по кондуктору. 4.
Повернуть кольцо с кондуктором на 180° и повторить пункт 3. 5. Повернуть
кольцо с кондуктором для сверления следующего отверстия. 6. Повторить пункты
(3-5) 10 раз для остальных отверстий. 7. Снять кольцо с кондуктора. 8.
Зенкеровать отверстие. 9. Повторить 8 пункт 11 раз для остальных отверстий.
10. Зачистить механически обработанные поверхности.
|
Станок сверлильный мод. 2Н135 Кондуктор П 3251.000 Сверло
2300-853 ГОСТ 22735-77 Зенкер специальный
|
1.6 Расчет межоперационных припусков
Припуск - слой металла, удаляемый с поверхности заготовки в целях
достижения заданных свойств обрабатываемой поверхности детали. Припуск на
обработку поверхностей детали может быть назначен по соответствующим таблицам,
ГОСТам или на основе расчетно-аналитического метода определения припуска.
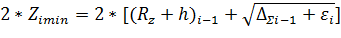
Минимальный припуск определяется по формулам:
При последовательной обработке противолежащих поверхностей (односторонний
припуск):
При параллельной обработке противолежащих поверхностей (двухсторонний
припуск):
При обработке наружный и внутренних поверхностей (двусторонний припуск):
где Rzi-1 - высота неровностей профиля на
предшествующем переходе, мкм;
hi-1 - глубина дефектного слоя на предшествующем переходе, мкм;
ΔΣi-1 - суммарное отклонение расположения
поверхностей, мкм;
εi - погрешность установки заготовки на выполняемом
переходе, мкм;
Номинальный припуск на обработку поверхностей:
Наружных
i = Zimin + eii-1 +eii
2Zi = 2Zimin + eiDi-1 + eiDi
Внутренних
i = Zimin +ESi-1 +ESi
Zi = 2Zimin + ESDi-1 + ESDi
прессование
измерительный токарный технологический
где eii-1 , eiDi-1 , eii , eiDi - нижние отклонения размеров
соответственно на предшествующем и выполняемом переходах, мкм;
ESi-1 , ESDi-1 , ESi , ESDi - верхние отклонения размеров
соответственно на предшествующем и выполняемом переходах, мкм;
Максимальный припуск на обработку поверхностей:
Наружных
imax = Zimin + TD i-1 + TD i
Zimax = 2Zimin + TDDi-1 + TDDi
Внутренних
imax = Zimin + Td i-1 + Td i
2Zimax = 2Zimin + TdDi-1 + TdDi
где Td i-1 и TD i-1 - допуски размеров на предшествующем
переходе ,
Td I
и TD I - допуски размеров на выполняемом
переходе.
1.7 Расчет режимов механической обработки
1.7.1 Расчет режимов токарной обработки
Результаты многих исследований, полученные при изучении процесса точения
пластмасс, в частности стеклопластиков, позволяют сделать вывод о том, что
наиболее оптимальным инструментальным материалом при обработке высокопрочных
композиционных полимерных материалов (ВКПМ) является вольфрамо-кобальтовый
твердый сплав. Если пластмассы, не содержащие абразивного наполнителя, можно
успешно обрабатывать резцами из быстрорежущих, а в ряде случаев из легированных
сталей, то ВПКМ, армирующим элементом в которых является абразивный материал,
например, стекло, наиболее эффективно обрабатывать твердым сплавом. Это
объясняется низкой износостойкостью и сравнительно невысокой твердостью
быстрорежущих сталей, а также их низкой теплопроводностью - в три-четыре раза
меньшей, чем у твердых сплавов. В то же время для обработки стеклопластиков,
имеющих низкую теплопроводность, необходимо иметь инструментальный материал с
высокой теплопроводностью. Это тем более важно, потому что стеклопластики,
являющиеся термореактивными материалами, допускают в зоне резания температуры,
не превышающие (200…300)0С; выше этих температур происходит их
размягчение и выгорание, а также интенсивная термодеструкция связующего.
Важным свойством инструментального материала при обработке ВКПМ является
его износостойкость, так как высокие упругие свойства обрабатываемого материала
и его абразивная способность весьма интенсивно изнашивает резец. Кроме того, исследования
показали, что при обработке ВКПМ большое значение для увеличения стойкости
резца имеет его заточка с минимальным радиусом округления режущей кромки.
Поскольку разные инструментальные материалы имеют различные минимальные радиусы
округления режущей кромки при заточке, то оптимальным будет тот, который
позволяет получить минимальные значения радиуса закругления режущей кромки.
Анализ существующих инструментальных материалов показывает, что наиболее
близко предъявляемым требованиям отвечают вольфрамо-кобальтовые твердые сплавы.
Ввиду распространенности сплава ВК8, для токарной обработки назначаем резцы с
твердыми пластинами из ВК8.
Методика расчета режимов точения стеклопластика:
) Глубину резания выбирают исходя из имеющегося припуска на обработку и
необходимости снятия его за один проход или за несколько проходов.
) Подачу находят по таблице в зависимости от требуемой шероховатости
поверхности.
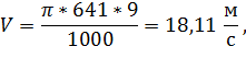
) Скорость резания рассчитывают по формуле:
где V - скорость резания, м/с;
D -
наибольший диаметр обрабатываемой поверхности, мм;
n -
частота вращения шпинделя, мин-1;
) Определение силы резания:
,
где Pz - сила резания, Н;
t - глубина
резания, мм;
S -
величина подачи, мм;
) Определение потребной мощности для осуществления требуемых режимов на
данном станке:
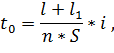
) Определяем основное время обработки:
где l - длина обрабатываемой поверхности,
мм;
l1 - величина врезания и перебега
резца, мм;
n -
число оборотов шпинделя в минуту;
S -
подача на один оборот шпинделя, мм/об;
i -
число проходов;
Операция №030 Токарная
Переход 2:
Глубина резания: t = 6 мм;
Подача: S = 0,1 мм/об;
Частота вращения шпинделя: n = 9 мин-1;
Скорость резания:
Сила резания:
Потребная мощность:
Основное время:
Переход 3:
Подача: S = 0,1 мм/об;
Частота вращения шпинделя: n = 9 мин-1;
Скорость резания:
Основное время: t0=0.5 мин;
Операция №035 Токарная
Переход 2:
Глубина резания: t = 6 мм;
Подача: S = 0,1 мм/об;
Частота вращения шпинделя: n = 9 мин-1;
Скорость резания:
Сила резания:
Потребная мощность:
Основное время:
Переход 3:
Глубина резания: t = 1,4 мм;
Подача: S = 0,1 мм/об;
Частота вращения шпинделя: n = 9 мин-1;
Скорость резания:
Сила резания:
Потребная мощность:
Основное время:
Переход 4:
Глубина резания: t = 2,5 мм;
Подача: S = 0,1 мм/об;
Частота вращения шпинделя: n = 9 мин-1;
Скорость резания:
Сила резания:
Потребная мощность:
Основное время:
Переход 6:
Глубина резания: t = 4 мм;
Подача: ручная;
Скорость резания:
Переход 7:
Глубина резания: t = 2 мм;
Подача: S = 0,1 мм/об;
Частота вращения шпинделя: n = 9 мин-1;
Скорость резания:
Сила резания:
Потребная мощность:
Основное время:
Переход 8:
Глубина резания: t = 5 мм;
Подача: ручная;
Частота вращения шпинделя: n = 9 мин-1;
Скорость резания:
Переход 11:
Глубина резания: t = 2,5 мм;
Подача: S = 0,1 мм/об;
Частота вращения шпинделя: n = 9 мин-1;
Скорость резания:
Сила резания:
Потребная мощность:
Основное время:
Операция №040 Токарная
Переход 3:
Глубина резания: t = 1,5 мм;
Подача: ручная;
Частота вращения шпинделя: n = 18 мин-1;
Скорость резания:
Переход 4:
Глубина резания: t = 1,4 мм;
Подача: ручная;
Частота вращения шпинделя: n = 18 мин-1;
Скорость резания:
Переход 5:
Глубина резания: t = 2 мм;
Подача: ручная;
Частота вращения шпинделя: n = 18 мин-1;
Скорость резания:
Переход 7:
Глубина резания: t = 4 мм;
Подача: ручная;
Частота вращения шпинделя: n = 18 мин-1;
Скорость резания:
Переход 9:
Глубина резания: t = 1,4 мм;
Подача: ручная;
Частота вращения шпинделя: n = 18 мин-1;
Скорость резания:
Переход 10:
Глубина резания: t = 3 мм;
Подача: S = 0,12 мм/об;
Частота вращения шпинделя: n = 18 мин-1;
Скорость резания:
Сила резания:
Потребная мощность:
Основное время:
1.7.2 Расчет режимов сверления
Выбор марки инструментального материала при сверлении ВКПМ практически
ничем не отличается от выбора марки материала при точении, поэтому сверление
отверстий в стеклопластиках возможно сверлами из быстрорежущих сталей и твердых
вольфрамо-кобальтовых сплавов.
Методика расчета режимов сверления стеклопластика:
)Выбирают марку инструментального материала.
) Выбирают подачу, исходя из заданной шероховатости поверхности.
) Скорость резания рассчитывают по формуле:
где V - скорость резания, м/с;
D -
наибольший диаметр обрабатываемой поверхности, мм;
n -
частота вращения шпинделя, мин-1;
) Определение осевой силы и момента кручения:

где D - диаметр сверла, мм;
S -
подача, мм/об;
КМ, КР - коэффициенты, учитывающие условия
обработки;
СР, Xр, Yр, См, Xм, Yм - коэффициенты, учитывающие обрабатываемость
материала;
Ср=83,4; Хр=1,03; Yр=0,81; См=21*10-2 ; Xм=1,66; Yм=0,99.
) Определение потребной мощности для осуществления требуемых режимов на
данном станке:
Операция №045 Сверлильная
Переход 3:
Подача: S = 0,2 мм/об;
Частота вращения шпинделя: n=630
мин-1;
Скорость резания:
Осевая сила:
Момент кручения:
Потребная мощность: N=0,267 кВт;
Переход 8:
Подача: ручная;
Частота вращения шпинделя: n=630
мин-1;
Скорость резания:
2. Конструкторская часть
2.1 Разработка установочно-зажимного приспособления
«Кондуктор»
Назначение: Приспособление предназначено для закрепления и базирования
при слесарной обработке детали «Кольцо».
Описание и работа приспособления: Приспособление вычерчено в графической
части работы, спецификация приведена в приложении. Приспособление представляет
собой кондуктор, состоящий из двух плит, соединенных между собой резьбовыми
соединениями. Обе плиты являются шаблонами для отверстий. Требуемая точность
выполнения отверстий обеспечивается сменными втулками, которые заменяются по
мере износа.
Нижняя кондукторная плита опирается на упорно-радиальный подшипник,
который в свою очередь устанавливается на неподвижной плите. В обе плиты с помощью
резьбовых соединений встроены специальные направляющие приспособления для
фиксатора поворота, выполненного в виде болта с рукояткой. После установки
детали, если не требуется дополнительного центрирования, сверлится первое
отверстие. После этого ручкой оттягивается фиксатор, вся конструкция,
установленная на подшипник, поворачивается до следующего отверстия в
направляющей втулке и фиксатор возвращают в исходное положение. Сверлят
отверстие и все повторяют аналогично. Таким образом обеспечивается точный
поворот детали на заданный угол.
Список литературы
1. Буланов Н.
М., Камалов В. С., Портнов К. И. «Методические указания по выполнению курсового
проекта по курсу «Спецтехнология», изд-во МВТУ, Москва, 1983.
. Косилова А.
Г. и Мещеряков Р. К. Справочник технолога-машиностроителя. Т.2.- М.:
Машиностроение, 1985.
. Сабельников
В. В. «Расчет режимов механической обработки труднообрабатываемых материалов».
Учебное пособие. Под редакцией В. С. Камалова. Москва, 1985.
. Тарасов В.
А., Кашуба Л. А., «Теоретические основы технологии ракетостроения», изд-во МГТУ
им. Н. Э. Баумана, Москва 2006.
. Анурьев
В.И. Справочник конструктора-машиностроителя.
Тт. 1, 2, 3.
Изд. 7-е, перераб. и дополн. - М.: Машиностроение, 1992.