Процесс прессования и изготовления профиля ПК-346 из сплава АД1
РЕФЕРАТ
Пояснительная записка 25 с, 5 рисунка, 8 таблиц,
6 источников.
ТЕХНОЛОГИЧЕСКИЙ ПРОЦЕСС,
ПРОФИЛЬ, ОБОРУДОВАНИЕ, КОНТЕЙНЕР, НАПРЯЖЕННО-ДЕФОРМИРОВАННОЕ СОСТОЯНИЕ
Разработан технологический процесс изготовления
прессованного профиля ПК-346 из сплава АД1. Приведены расчеты оптимальных
параметров прессования и оборудования, необходимого для изготовления заданного
профиля.
1. АНАЛИЗ МЕТОДОВ ПОЛУЧЕНИЯ ИЗДЕЛИЯ. ВЫБОР
ОПТИМАЛЬНОЙ СХЕМЫ ПРОИЗВОДСТВА
Прессованием называется процесс истечения
металла заготовки из замкнутого объема, заключенного в контейнере между
пресс-шайбой и матрицей, через отверстие в матрице под действием сжимающих сил.
Форма отверстия в матрице определяют форму поперечного сечения прессованного
изделия.
Прутки и профили, панели и пустотелые изделия
изготавливают прессованием практически из всех освоенных промышленностью
металлов и сплавов.
Деформированное состояние при прессовании
характеризуется двумя деформациями укорочения и одной деформацией удлинения.
Схема напряженного состояния позволяет получать весьма высокие степени
деформации, недостижимые в других процессах обработки металлов давлением.
Производство пресс-изделий осуществляется на
специализированном оборудовании, тип и конструкция которого зависят от метода
истечения при прессовании, обрабатываемого материала, вида и размеров
пресс-изделий, способа их отделки, а также от объема производства. Процесс
изготовления пресс-изделий состоит из технологически структурных однотипных
элементов, которые в основном определяют состав и компоновку оборудования для
прессования металлов в цехе. Обобщенная структурная схема технологического
процесса производства пресс-изделий включает следующие операции: приемку и
складирование заготовок, нагрев, прессование, резку пресс-изделий,
термообработку, правку и калибровку, отделку поверхностей, контроль и
складирование готовой продукции.
Для реализации различных технологических схем
производства пресс- изделий прессовые цехи оснащают комплексом основного и
вспомогательного оборудования, которое в соответствии с обобщенной структурной
схемой технологического процесса можно подразделить на следующие основные
группы:
1. гидравлические прессы
для прессования со средствами механизации, автоматизации, приводом, системой
управления и вспомогательным оборудованием;
. печи для нагрева
заготовок перед прессованием с механизмами загрузки и выгрузки;
. машины для правки и
калибровки пресс-изделий;
. установки для
термообработки пресс-изделий;
. установки для отделки
поверхности пресс-изделий;
. пилы;
. устройства для
транспортирования и складирования продукции.
Прессование сплошных профилей
из алюминиевых сплавов производится по схемам прямого, обратного, с активными
силами трения и другими способами.
Основными достоинствами прямого метода являются:
- относительная простота
возможность
осуществления на любой прессовой установке
высокое качество
поверхности изделий
возможность получения
профилей практически любой конфигурации
Недостатком прямого метода являются:
- большие затраты на
преодоление трения заготовки о контейнер
неравномерность
деформации.
Чаще всего сплошные профили получают прямым
горячим прессованием на горизонтальных гидравлических прессах.
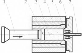
- пресс-штемпель, 2 - пресс-шайба, 3 -
заготовка, 4 - контейнер, 5 - матрица, 6 - матрицедержатель, 7 - профиль
Рисунок 1 - Схема прессования сплошных профилей
Пресс-штемпель 1, двигаясь в
направлении матрицы 5 через пресс- шайбу 2 передает давление Р на заготовку 3,
установленную в контейнере 4. Металл выдавливается через канал матрицы,
закрепленной в матрицедержателе 6, и образует профиль 7. Форма и размер
поперечного сечения профиля соответствуют форме и размерам очка матрицы.
При прямом прессовании
вытекающее изделие и пуансон (пресс- штемпель) движутся в одном направлении,
слиток перемещается в неподвижном контейнере пресса, поэтому появляются силы
трения между слитком и стенками контейнера [1].
Прессование может производится со смазкой и без
смазки. Принимаем следующий технологический процесс изготовления профиля:
1. подготовка заготовки;
. нагрев заготовки перед
прессованием;
. прессование;
. отжиг;
. правка;
. резка;
. контроль и приёмка
ОТК;
. упаковка и сдача на склад.
. КРАТКАЯ ХАРАКТЕРИСТИКА МАТЕРИАЛА ПРОФИЛЯ
.1 Химический состав и влияние легирующих
элементов
Сплав АД1 это технически чистый
алюминий чистотой не менее 99,3%. Химический состав алюминия марки АД1 приведен
в таблице 1.
Таблица 1 - Химический состав алюминия марки
АД1,(ГОСТ 4784-97)
|
А1
|
Si
|
Fe
|
Си
|
Мп
|
Mg
|
Zn
|
Ti
|
Примеси,
не более
|
Сумма
|
|
99,3
|
0,3
|
0,3
|
0,05
|
0,025
|
0,05
|
0,1
|
0,15
|
0,05
|
0,15
|
Основные примеси в алюминии это железо и
кремний. Железо снижает пластические свойства алюминия и уменьшает коррозионную
стойкость. Кремний, растворяясь в алюминии, несколько упрочняет его,
незначительно снижая при этом пластические свойства. Железо и кремний
определяют уровень механических свойств алюминия.
прессованный профиль сплав
2.2 Диаграмма состояния и пластичности
Промышленный алюминий по существу является
тройным сплавом Аl-Fe-Si.
На рисунке 2 приведена диаграмма состояния сплава.

Если в алюминии одновременно присутствуют железо
и кремний, то могут образоваться два тройных химических соединения α(Al-Fe-Si)
и β(Al-Fe-Si).
Железо - практически не растворимый в алюминии элемент. При ничтожно малых его
содержаниях в структуре алюминия появляется эвтектика Аl
+ Al3Fe.
Соединение Al3Fe
выделяется в виде игл, служащих готовыми надрезами в металле.
Кремний не образует с алюминием
химических соединений и присутствует в элементарном виде.
Рисунок 3 - Диаграмма пластичности сплава АД1
.3 Выбор и обоснование термической обработки
Полуфабрикаты из алюминия марки АД1 поставляют
либо в горячепрессованном, либо в отожженном состоянии. Для снятия напряженного
состояния применяют отжиг при температуре 300 - 500°С с выдержкой 10-30 мин.
.4 Физические, механические и технологические
свойства сплава
Таблица 2 - Физические свойства сплава АД1
|
Сплав
|
Состояние
|
Теплопроводность
λ при 25°С,
Вт/м*°С
|
Удельн.
электрич. сопротивление ρ•108 Ом*м
|
Плотность
г/см3
|
Коэффиц.
линейного расширен, при 20- 100°С, α*106, °С-4
|
Удельн.
теплоемк. С при 100°С, кДж/кг*°С
|
Темпер
плавления, °С
|
|
АД1
|
М
|
226,08
|
2,9
|
2,71
|
24
|
0,9218
|
643
|
|
Н
|
217,71
|
3,0
|
-
|
-
|
|
657
|
Механические свойства
технически чистого алюминия марки АД1 приведены в таблице 3.
Таблица 3 - Механические свойства отожженного
технического алюминия марки АД1
|
σB,
МПа
|
σ02,
МПа
|
δ, %
|
ψ, %
|
|
80
|
30
|
35
|
80
|
Алюминий имеет высокую
теплопроводность и электропроводность. Электропроводность чистого алюминия
составляет 60% от электропроводности меди, что обеспечивает алюминию при его малом
удельном весе широкое применение в электротехнике в качестве проводникового
материала.
Высокая коррозионная стойкость
алюминия обеспечивает широкое его применение в химическом аппаратостроении, в
быту и других областях.
Так как сплав АД1 имеет низкую прочность,
поэтому применение его как конструкционного материала ограничено.
Технический алюминий
характеризуется высокими технологическими свойствами. Из него могут быть
изготовлены любые полуфабрикаты различных габаритов.
. РАЗРАБОТКА ТЕХНОЛОГИЧЕСКОГО ПРОЦЕССА
Профиль ПК 346-1 относится к
виду сплошного, постоянного по длине сечения профиль; к группе косоугольные,
подгруппе тавры; изготавливается из сплава АД1. Поставляется в отожженном
состоянии. Площадь сечения профиля 655 мм2. Профиль не симметричен
относительно осей X и Y
. Длина изделия 1760 мм.
Рисунок 4 - Эскиз профиля
.1 Выбор размеров заготовки
При прессовании профилей из
алюминиевых сплавов используют сплошные цилиндрические заготовки круглого
сечения диаметром D и длиной L.
Для прямого метода прессования должно выполняться эмпирическое условие.
≤ L/D
≤
4,5
Технической характеристикой
процесса прессования, определяющей размер заготовки, является коэффициент
вытяжки. Его определяют как отношение площади поперечного сечения контейнера
к
площади сечений
всех n
- каналов матрицы:
Как показывает практика, коэффициент λ
назначают из опыта и интуиции инженера. Для прессования профилей из
алюминиевого сплава АД1 рекомендуемый коэффициент вытяжки в пределах до 200.
Зная, площадь поперечного сечения прессованного
профиля f = 655 мм2
и задавшись числом каналов в матрице n
= 1, коэффициентом вытяжки λ =
34, определяем ориентировочную площадь поперечного сечения контейнера:
И его ориентировочный диаметр:
По расчётному значению Dko
= 169 мм выбираем тип пресса с усилием Р = 20 МН, стандартный диаметр
контейнера Dk = 170 мм
(ближайший к Dko = 169 мм) и
другие параметры по справочнику [6].
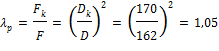
Далее определяем значение фактического
коэффициента вытяжки:
где Fk
- действительная площадь поперечного сечения контейнера.
Следовательно
Диаметр заготовки должен обеспечить свободный
ввод её в контейнер. Увеличение диаметра заготовки от нагрева составляет
(0,01-0,012)D, зазор между
контейнером и заготовкой (0,008-0,01)D,
плюсовой допуск на заготовку (0,007-0,013)D.
С учётом перечисленного диаметр заготовки D=(0,965-0,975)Dk.
Таблица 4 - Исходные данные для выбора типа
пресса и размеров заготовки [6].
|
Усилие
пресса р, МН
|
Диаметр
контейн. Dk, мм
|
Удельное
давл. в конт. при Рмакс., МПа
|
Миним.
расс-е до крайней точки профиля А, мм
|
Высота
пресс- остатка Н,мм (min)
|
Максим,
длина заготовки Lмакс., мм
|
Максим,
прессуемая длина, Lмакс. пр., мм.
|
|
20
|
170
|
890
|
162
|
25
|
40
|
700
|
22000
|
Из таблицы 4 получаем, что диаметр заготовки D
= 162 мм.
Длину заготовки определяют
исходя из длины прессованного профиля по формуле:
где l
- длина готового профиля, l
= 1,76, м;
Δ-припуск на длину, Δ
= (0,10-0,30), м;
lко - длина концевой
обрезки, lко = (0,35-0,60),
м;
Н - высота пресс-остатка, Н = 40, мм.
Коэффициент распрессовки заготовки:
Следовательно длина заготовки равна:
Далее проверим выдержано ли наиболее
рациональное отношение эмпирического условия
≤ L/D
≤
4,5
В моём случае отношение L/D
= 495/162 = 3,06 - входит в рамку эмпирического условия и расчётная длина
заготовки в пределах допустимой величины Lпасп.
- 700 мм.
Определим длину распрессованной заготовки:
Объём заготовки определяется по формуле:
Масса заготовки
G = V
ρ,
где ρ
- плотность материала прессуемого профиля, для алюминиевого сплава АД1
ρ
= 2710кг/м3.
Следовательно: G
= 0,0102
2710
= 27,6 кг.
Таблица 5 - Основные размеры заготовки.
|
НАИМЕНОВАНИЕ
|
РАЗМЕРЫ
|
|
Диаметр
заготовки
|
162
мм.
|
|
Длина
прессуемой заготовки
|
495
мм.
|
|
Масса
заготовки
|
27,6
кг.
|
.2 Выбор оборудования
Исходя из расчета заготовки для изготовления
профиля выбираем пресс усилием 20 МН.
.3 Определение температурно-скоростного режима
прессования
Температурный интервал прессования определяется
температурой начала Тн и конца Тк. Его выбирают так, чтобы при верхних
предельных температурах не происходило перегрева или пережога металла, а при
нижних - усилие прессования оказалось меньше предельного (паспортного) усилия
пресса и обеспечивало требуемое качество структуры прессового изделия. Для
выбора температурного режима прессования используют диаграммы состояния и пластичности
- Рисунок 2, 3.
Максимальная температура
прессования Тмакс. Должна соответствовать максимальному значению относительного
сужения ψ
и относительного удлинения δ
при минимальном (или близком к нему) значении предела текучести σт.
Причём значение этой температуры не должно
превышать 0,9Ts, где Ts
- температура линии солидуса. Для сплава АД1 температура линии солидуса Ts
= 540°С. Из диаграммы пластичности - Рисунок 3 имеем Тмакс = 450°С.
С учётом охлаждения во время транспортировки ΔТтр
от нагревательного устройства к прессу температура нагрева заготовки
рассчитывается по формуле:
Тнагр = Тн + ΔТтр
= Тмакс - ΔТдеф + ΔТтр
где ΔТдеф
- тепловой эффект деформации.
Разогрев металла от деформации можно найти по
приближенной формуле:
где
-
предел текучести при температуре Тмакс (определяется по диаграмме пластичности)
и в данном сплаве
= 8 МПа;
с - средняя удельная теплоёмкость = 870, ДЖ/кг*
град.
Следовательно:
Падение температуры при транспортировке
находится из выражения:
где τтр
- время транспортировки, находится в пределах - 10-30, с;
Vохл - средняя скорость
охлаждения пределы которой находятся в интервале 2-5 °С.
Определив
температуру ΔТдеф, ΔТтр
и Тмакс вычислим температуру нагрева заготовки.
Скорость истечения Vист
зависит от множества факторов, допустимая скорость истечения профилей из
алюминиевого сплава АД1 составляет 30 - 150 м/мин. Скорость прессования Vпр
и скорость истечения Vист
связаны между собой соотношением. Скорость истечения для данного профиля из
сплава АД1 принимаем 60 м/мин.
.
м/мин
.4 Расчёт энгеросиловых параметров
Усилие прессования находим по наиболее
распространенной формуле И.Л. Перлина [1]:
где
-
усилие, необходимое для осуществления деформации без учёта внешнего трения;
Ткр, Тм, Тп - усилия, необходимые для преодоления сил трения по боковой
поверхности контейнера, матрицы и калибрующего пояска соответственно.
Составляющие полного усилия при прессовании
сплошных профилей из сплошной цилиндрической заготовки вычисляют по выражениям:
В этих формулах:
где i
- интегральный показатель деформации;
- интегральный
показатель дополнительной деформации;
- средняя площадь
профиля, разбитого на N
участков;
h - высота
очага деформации;
α - угол наклона
образующей канала матрицы к ее оси, α=60°;
- поверхность
трения;
П - периметр профиля;
l
- длина калибрующего пояска;
- коэффициенты
трения на контактных поверхностях матрицы, калибрующего пояска и боковой
поверхности контейнера.
Таблица 6 - Значения коэффициентов трения.
|
Условия
прессования
|
|
|
|
|
Со
смазкой
|
0,15
|
0,10
|
0,12
|
|
Без
смазки
|
0,45
|
0,20
|
0,50
|
Sh, Sk,
Sc - истинные пределы
текучести соответственно в начале и конце очага пластической деформации,
среднее по очагу деформации
Предел текучести около боковой
поверхности контейнера в условиях полного схватывания.
Значение
и
определяют
с учётом Тн и длительности пребывания металла в очаге деформации τ.
где
-
объем очага деформации;
- секундный объем,
вытекающий из каналов в матрице.
По диаграмме - Рисунок 5 для сплава АД1 при τ
= 1.5 сек
и Тнагр=450°С определяем значение
и
.
Рисунок 5 - Зависимость сопротивления
деформирования (S) сплава АД1
от температуры (Т°С) и длительности деформации (τ)
Предел текучести около боковой поверхности

Определив все значения,
получаем:
Следовательно усилие прессования будет равно:
По известному усилию прессования определяется
расчетное усилие пресса:
где Кз - коэффициент запаса по усилию, учитывает
неточность расчётов, возможный недогрев заготовки, скоростную характеристику
пресса и т.д.
Найденное расчётное
значение усилия пресса сравниваем с предварительно выбранным по таблице и
видим, что расчётное усилие меньше номинального усилия 20 МН, следовательно,
пресс выбран правильно.
.5 Выбор основного и вспомогательного
оборудования
Основным оборудованием являются
пресс и печь нагрева заготовок. В нашем технологическом процессе используются
прутково-профильный гидравлический пресс усилием 20 МН, в котором предусмотрены
специальные устройства для осуществления вспомогательных операций: транспортеры
для продольного перемещения профилей, поперечного (шагающие балки) и т.п., со
следующими техническими характеристиками:
Таблица 7 - Техническая характеристика пресса
усилием 20 МН
|
Номинальное
усилие, МН
|
20
|
|
Диаметр
втулки контейнера, мм
|
|
Диаметр
заготовки, мм
|
162/192
|
|
Мах
длина заготовки, мм
|
700
|
|
Мах
прессуемая длина, м
|
22
|
Основной узел печи - Индуктор. Его изготавливают
с двух- или трехслойной обмоткой с рядом отпаек от наружного слоя. Индуктор
используют как автотрансформатор для повышения напряжения в контуре до 600В.
Мощность индуктора регулируют, включая его обмотки на звезду или треугольник.
Исходя из размеров заготовки и температуры
нагрева, выбираем для нагрева заготовки индукционную печь ИН-51 со следующими
техническими характеристиками.
Таблица 8 - Техническая характеристика печи
нагрева заготовок ИН-51
|
Количество
сменных индукторов
|
3
|
|
Общая
длина индукторов, мм
|
4300
(3-секции)
|
|
Размеры
заготовок, мм диаметр
|
85-215
|
|
длина
|
200-700
|
|
Мах
темп-pa нагрева,
°С
|
570
|
|
Количество
заготовок, шт
|
6-21
|
|
Время
нагрева, мин
|
0,5-20
|
|
Производительность
т/час
|
1,5
|
|
Мощность, кВт
|
350
|
. ОПИСАНИЕ ТЕХНОЛОГИЧЕСКОГО ПРОЦЕССА
ПРОИЗВОДСТВА ИЗДЕЛИЯ
Схема производства данного профиля состоит из
следующих этапов:
Подготовка заготовки к прессованию, нагрев
заготовки перед прессованием, прессование, правка, резка, отжиг, контроль, упаковка
и сдача на склад готовой продукции.
Подготовка заготовки к прессованию.
На поверхности заготовки не должно быть
заусенцев, острых выступов, стружки, следов масла и грязи. Заготовка с
загрязнённой поверхностью перед загрузкой в печь должна быть очищена,
произведена частичная или полная зачистка по диаметру и с торцев заготовки.
Нагрев заготовок.
Нагрев заготовок до температуры прессования
производится в индукционной печи нагрева заготовок.
Прессование.
Прессование - основная технологическая операция.
Прессование проводят на горизонтальных
гидравлических прессовых установках.
Правка профилей.
Правке подвергаются профили для
придания им необходимой продольной и поперечной геометрии, а так же для
повышения их механических свойств.
Правку продольной геометрии профилей
осуществляют на правильно-растяжных, раскруточных, а так же роликово-правильных
машинах. Для доводки поперечной геометрии профилей применяют ручную правку.
Резка.
Резку профилей на мерные длины
и отбор образцов проводят на дисковых пилах.
Отжиг.
Отжиг производится в печах отжига и старения.
Контроль.
Профили должны быть обрезаны
под прямым углом. Косина реза относительно продольной оси не более 3 градусов.
Поперечная кривизна профиля нормальной точности в любом сечении по длине
профиля не более 1% от ширины полки. Контроль качества поверхности производится
наглядно, контролируется каждый профиль. На профилях не допускаются рыхлоты,
трещины, расслоения, следы утяжины, крупные светлые пятна.
Упаковка и сдача на склад.
Упаковка профилей производится
в плотные или решетчатые ящики. Вручную, плотно укладываются профили внутрь
ящика, заворачивают концы бумаги в конверт, стягивают шпагатом и завязывают
концы шпагата.
Затем упакованную продукцию сдают на склад
готовой продукции.
ЗАКЛЮЧЕНИЕ
В первой части курсовой работы
проведен анализ методов получения изделия. Выбрана оптимальная схема
производства.
Во второй части работы дано
описание физико-механических свойств сплава АД1, его технологические свойства.
В данной курсовой работе был
принят рациональный процесс прессования и разработан технологический процесс
изготовления профиля.
Основной задачей работы
произвести расчет технологических параметров процесса изготовления профиля:
выбран размер заготовки; выбран температурный режим прессования; просчитаны
энергосиловые параметры и на основе расчетов выбрано основное оборудование.
Представлена технологическая последовательность изготовления профиля.
Таким образом, цель курсовой
работы была выполнена. Разработан технологический процесс изготовления профиля
ПК 346-1 из сплава АД1.
СПИСОК ИСПОЛЬЗОВАННЫХ ИСТОЧНИКОВ
1. Жолобов, В.А. Прессование металлов.
[Текст]/ В.А. Жолобов, Г.И.Зверев. - М., «Металлургия», 1971 г.-486 с.
. Структура и свойства полуфабрикатов из
алюминиевых сплавов. Ответственный редактор В.А. Ливанов [Текст]/ М.,
«Металлургия», 1974г.-542 с.
. Перлин, И.Л. Теория прессования
металлов. [Текст]/ И.Л.Перлин М., «Металлургия», 1964г,-344 с.
. Погодин-Алексеев, Г.И. Справочник по
машиностроительным материалам том 2 [Текст]/ Г.И. Погодин-Алексеев .М., «изд.
Машиностроительной литературы». 1959г.-640 с.
. Старостин, Ю.С. Элементы теории и
технологии прессования профилей из алюминиевых сплавов для авиационной техники
[Текст]/. Ю.С.Старостин. Самарский аэрокосмич. университет. С., 1982г.-58 с.
. Каргин, В.Р. Проектирование прессовых
цехов [Текст]: Учебное пособие. В.Р. Каргин, В.И. Дровянников, А.Н. Логвинов,
М.В. Фёдоров. Самарский аэрокосмич. университет. С., 1999г.-187 с.