Гидравлический расчет совместной работы пласта и скважины
Курсовая
работа
по
дисциплине: «Подземная гидромеханика»
на
тему: «Гидравлический расчет совместной работы пласта и скважины»
Оглавление
Введение
1.
Теоретическая часть
2.
Расчетно-графическая часть
2.1
Решение задачи в общем виде
2.2
Расчеты и графики
Заключение
Список
литературы
Введение
Подземная гидромеханика является теоретической
основой разработки нефтяных, газовых и газоконденсатных месторождений.
Целями данной работы являются:
закрепить теоретический материал курса
«Подземная гидромеханика»;
выполнить гидродинамический расчет совместной
работы пласта и скважины
Постановка задания. В зонально-неоднородном
круговом пласте постоянной толщины эксплуатируется гидродинамически совершенная
скважина на стационарном режиме. Подъем жидкости осуществляется по
насосно-компрессорным трубам при закрытом сверху затрубном пространстве, где
жидкость и газ находятся в гидростатическом равновесии. Требуется рассчитать
зависимость дебита скважины Q от проницаемости k0 внутренней кольцевой зоны, в
центре которой расположена скважина, а также зависимость затрубного давления Pз
от проницаемости k0
Исходные данные
|
|
СИ
|
|
Радиус
контура питания
|
Rk
= 1 км
|
1000м
|
|
Толщина
пласта
|
h
= 10м
|
10м
|
|
Диаметр
насосно-компрессорных труб
|
d=5
см
|
0,05м
|
|
Радиус
скважины
|
rc
= 100мм
|
0,1
м
|
|
Шероховатость
стенок труб
|
∆
= 0,1 мм
|
0,0001м
|
|
Высота
столба газа в затрубном пространстве до начала эксплуатации скважины
|
hг0
= 130м
|
130м
|
|
Проницаемость
пласта
|
k
= 200 мД
|
0,204*10-12
м2
|
|
Плотность
жидкости
|
ρж = 850
кг/м3
|
850
кг/м3
|
|
Плотность
газа при нормальных условиях
|
ρr0 = 1,5
кг/м3
|
1,5
кг/м3
|
|
Вязкость
жидкости
|
μж = 4 спз
|
0,004Па*с
|
|
Устьевое
давление
|
Pу
= 5 атм
|
4,9*105Па
|
|
Показания
манометра в затрубном пространстве до начала эксплуатации
|
Pз0
= 50 атм
|
49*105Па
|
|
Глубина
скважины
|
H
= 2 км
|
2000м
|
|
Радиус
зоны с проницаемостью к0
|
r0
= 10 м
|
10
м
|
|
Длина
лифта
|
L
= 1,9 км
|
1900м
|
1. Теоретическая часть
Основная формула гидростатики
Распределение давления в газовой части
определяется барометрической формулой

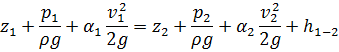
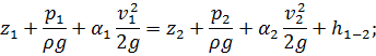
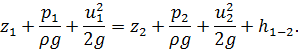
Уравнение Бернулли для элементарной струйки тока
вязкой несжимаемой жидкости при установившемся движении:
Уравнение Бернулли для потока вязкой жидкости:
где z1, z2 - расстояния от плоскости сравнения
до центра тяжести;иp2 - давления в сечениях 1-1 и 2-2 соответственно;, u2 -
истинные скорости; ,v2 - средние скорости в этих сечениях;

- коэффициенты Кориолиса;-2 -
потери напора на участке между выбранными сечениями.
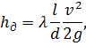
Потери напора определяются по
формуле:
где hд - потери напора по длине; hм
- потери в местных сопротивлениях.
Потерями напора в местных
сопротивлениях при решении задачи можно пренебречь.
Потери по длине определяются по
формуле Дарси-Вейсбаха:
где λ -коэффициент
гидравлического сопротивления; l - длина трубы; d - ее диаметр; v - средняя
скорость потока.
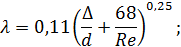
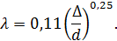
Коэффициент гидравлического
сопротивления в общем случае является функцией числа Рейнольдса (Re) и
относительной шероховатости стенок трубы 
,
, численно определяется в
зависимости от области сопротивления.
Ламинарный режим (Re<Reкр)
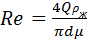
Число Рейнольдса:
Турбулентные режимы:
Зона гидравлически гладких труб
(Reкр<Re< 10 
)
Формула Блазиуса:
Зона смешанного трения (шероховатых
труб)
(10 
<Re< 500 
)
Формула Альтшуля:
Квадратичная зона (вполне
шероховатых труб)
(Re >500 
)
Формула Шифринсона:
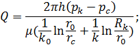
Формула Дюпюи для установившейся фильтрации
в однородном пласте:
пласт скважина давление
фильтрация
где h - толщина пласта; - давление
на контуре питания;- давление на забое скважины;
μ - вязкость;- проницаемость
пласта;- радиус контура питания;радиус скважины.
При наличии зональной
неоднородности:
где h - толщина пласта; - давление
на контуре питания; давление на забое скважины;
μ - вязкость; проницаемость i-той
зоны; радиус i-той зоны.
2. Расчетно-графическая часть
.1 Решение задачи в общем виде
До начала эксплуатации давление
всюду постоянно: давление на забое скважины равно давлению на контуре питания и
определяется суммой давления газа и столба жидкости в затрубном пространстве:
Распределение давления в газовой
части определяется барометрической формулой:
Где Pз0 и ρз0 -
давление и плотность на поверхности наz2;го - высота столба газа.
Таким образом, давление на контуре
питания:

(1)
После начала эксплуатации:
Уравнение Бернулли для двух сечений
НКТ (забой скважины и устье):
Так как режим стационарный, то
скоростные напоры одинаковы. Кроме того: 
Таким образом получаем:
Потери напора определяются по
уравнению Дарси-Вейсбаха:
Средняя скорость определяется по
формуле:
Тогда уравнение Бернулли примет вид:
Отсюда выразим pc:

(2)
Величина 
определяется, исходя из значения
числа Рейнольдса, так как 
;
)
Таким образом получается:

.(3)
Дебит скважины определяется по
уравнению Дюпюи для зонально-неоднородного пласта:
Выразим k0:

(4)
Далее необходимо найти зависимость 
=f(k0). В затрубном пространстве
жидкость и газ покоятся. Давление на забое в текущий момент:

(5)
По уравнению Менделеева-Клапейрона
при изотермическом процессе (PV=const):

Отсюда находим высоту столба газа:

(6)
Подставляем выражение (6) для 
в выражение (5). Получаем
квадратное уравнение для 
:

+
(
Дискриминант: D=
Корни уравнения:
Далее необходимо выбрать
положительные корни и результаты записать в таблицу 1. Строится зависимость
Р3=f(k0)
.2 Расчеты и графики
Вычисляем давление на контуре
питания по формуле (1):
Задаемся произвольными значениями
дебита и вычисляем число 
по формуле (3), затем зная число 
вычисляем 
, далее вычисляем pc по формуле (2)
и k0 по формуле (4):
Таблица 1
|
Q,
м3/с
|
Re
|
λ
|
Pc
|
k0,
м2
|
k0,
мД
|
Pз,
Мпа
|
|
0,00005
|
270,70
|
0,2364
|
17153109
|
4,37E-15
|
4,285
|
2,5632
|
|
0,00010
|
541,40
|
0,1182
|
17155718
|
8,94E-15
|
8,764
|
2,5647
|
|
0,00015
|
812,10
|
0,0788
|
17158327
|
1,37E-14
|
13,452
|
2,5661
|
|
0,00020
|
1082,80
|
0,0591
|
17160936
|
1,87E-14
|
18,362
|
2,5676
|
|
0,00025
|
1353,50
|
0,0473
|
17163545
|
2,40E-14
|
23,512
|
2,5690
|
|
0,00030
|
1624,20
|
0,0394
|
17166154
|
2,95E-14
|
28,919
|
2,5705
|
|
0,00035
|
1894,90
|
0,0338
|
17168762
|
34,603
|
2,5719
|
|
0,00040
|
2165,60
|
0,0296
|
17171371
|
4,14E-14
|
40,586
|
2,5734
|
|
0,00045
|
2436,31
|
0,0514
|
17196479
|
4,82E-14
|
47,277
|
2,5873
|
|
0,00050
|
2707,01
|
0,0501
|
17205789
|
5,52E-14
|
54,136
|
2,5925
|
|
0,00055
|
2977,71
|
0,0489
|
17215824
|
6,27E-14
|
61,445
|
2,5981
|
|
0,00060
|
3248,41
|
0,0479
|
17226568
|
7,06E-14
|
69,255
|
2,6042
|
|
0,00065
|
3519,11
|
0,0469
|
17238006
|
7,92E-14
|
77,622
|
2,6106
|
|
0,00070
|
3789,81
|
0,0461
|
17250123
|
8,83E-14
|
86,615
|
2,6174
|
|
0,00075
|
4060,51
|
0,0453
|
17262907
|
9,82E-14
|
96,311
|
2,6246
|
|
0,00080
|
4331,21
|
0,0445
|
17276348
|
1,09E-13
|
106,802
|
2,6322
|
|
0,00085
|
4601,91
|
0,0439
|
17290433
|
1,21E-13
|
2,6402
|
|
0,00090
|
4872,61
|
0,0433
|
17305154
|
1,33E-13
|
130,619
|
2,6486
|
|
0,00095
|
5143,31
|
0,0427
|
17320502
|
1,47E-13
|
144,226
|
2,6573
|
|
0,00100
|
5414,01
|
0,0421
|
17336468
|
1,62E-13
|
159,202
|
2,6665
|
По полученным данным строим графики зависимости
дебита скважины от проницаемости Q=f(k0) и давления в затрубном пространстве от
проницаемости Р3=f(k0)
Заключение
При выполнении курсовой работы были изучены
основные законы, определяющие совместную работу пласта и скважины.
Искомыми величинами в данной работе являлись
проницаемость внутренней кольцевой зоны и затрубное давление.
Графики зависимости дебита скважины и затрубного
давления от проницаемости внутренней кольцевой зоны имеют нелинейный сложный
вид, также можно сделать вывод о том, что увеличение проницаемости внутренней
кольцевой зоны приводит к увеличению дебита и затрубного давления, однако
скорость возрастания дебита и затрубного давления неодинакова при разных
значениях проницаемости.
Список литературы
Курбанов
А.К., Епишин В.Д. Методические указания к выполнению курсовых работ по курсу
«Нефтегазовая и подземная гидромеханика» - М., 2007.
Дмитриев
Н.М., Кадет В.В. Введение в подземную гидромеханику - М., 2011.