Решение проблемы совместного притока двух жидкостей в скважине
ВВЕДЕНИЕ
Многие нефтяные, газовые и нефтегазовые
месторождения в самой начальной стадии эксплуатации имеют обширные водонефтяные
зоны. Особенно это относится к месторождениям нефти платформенного типа. Такие
зоны иногда достигают 60-70% общей площади нефтеносности. При эксплуатации
водонефтяных или газонефтяных зон неизбежно приходится сталкиваться с проблемой
обводнения скважин подошвенными водами или прорывом газа из газовой шапки.
Для осуществления рациональной разработки
месторождения необходимо знать закономерности обводнения нефтяных и газовых
скважин и пластов. Одним из путей обеспечения наибольшего извлечения нефти из
пласта и продления безводного периода эксплуатации является установление
предельных безводных дебитов скважин. Однако, как показала практика разработки
некоторых месторождений, предельные безводные дебиты и депрессии, рассчитанные
по приближенной теории устойчивых конусов, не всегда отвечают плановому заданию
по добыче нефти. Особенно малыми оказываются предельные безводные дебиты в маломощных
и однородных по проницаемости пластах. В этих условиях приходится задавать
дебиты выше их предельных значений, что со временем приводит к обводнению
нефтяных и газовых скважин или прорыву верхнего газа. Таким образом начинается
совместный приток жидкостей к забоям скважин. В настоящее время эта проблема
особенно остро встала при разработке нефтегазовых залежей Западной Сибири.
Преждевременное обводнение скважин, незнание
закономерностей и причин обводнения залежей подошвенными водами ведет к захоронению
большой доли промышленных запасов нефти и газа и, таким образом, к снижению
нефтеотдачи или газоотдачи пласта, увеличению сроков разработки и, в конечном
итоге, к большим материальным затратам на извлечение нефти или газа из пласта.
Отсюда тщательное изучение процессов продвижения подошвенных вод, сложного
явления деформации границы раздела фаз в пористой среде, особенностей и
закономерностей обводнения пластов и скважин, совместного притока жидкостей к
забою скважины и изучение природных факторов, способствующих увеличению
безводного периода эксплуатации и улучшению технологических условий разработки
залежи с целью наибольшего извлечения нефти или газа из пласта, является одной
из основных задач нефтедобычи и газодобычи на современном этапе.
Проблеме совместного притока жидкостей посвящен
ряд теоретических и экспериментальных работ [1-22 и др.]. При исследовании
совместного притока воды и нефти авторы исходили из условия, что давление на
поверхности раздела меняется непрерывно и что количество добываемой нефти в
продукции скважины зависит от количества добываемой воды.
М.М. Глоговским впервые было установлено [1],
что, в случае совместного притока нефти и воды, в предположении одинаковых
плотностей жидкостей, независимо от величины вскрытия пласта дебиты жидкостей
прямо пропорциональны толщинам зон на контуре питания и обратно пропорциональны
их вязкостям:

(1)
И.А. Чарный показал, что приведенная
формула справедлива и для совместного притока жидкостей с различными
плотностями, если депрессия достаточно велика по сравнению с архимедовой силой.
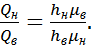
Мейер и Сирси [13] экспериментальным путем установили следующие соотношения
дебитов для совместного притока нефти Qн и глицерина Qг:

(2)
Здесь η - некоторая
функция, зависящая от всех параметров системы (давления, высоты конуса и т.д.),
близкая к единице;
Нн и Нг - потери напора в нефтяной и
глицериновой зонах.
Сопоставление расчетных и опытных
данных показало хорошую сходимость.
Для совместного притока нефти и воды
в подгазовой залежи Ван Дукерен [16] получил следующее соотношение:

(3)
где Кн и Кв - абсолютные
проницаемости нефтяной и водяной зон пласта соответственно. Сравнение
экспериментальных и расчетных данных показало расхождение для большинства
опытов не более 10%.
Совместному притоку нефти и
подошвенной воды посвящена также работа Г.П. Цыбульского и Ю.А. Теплова [9].
Авторы ставят целью установить соотношение дебитов воды и нефти и найти
уравнение поверхности раздела (конуса) в зависимости от темпа отбора,
физических свойств жидкостей и геометрии пласта. При этом используется схема
предельной анизотропии по вертикали, Кz = 0 и Кz = ∞. Полученные формулы
требуют знания величин нефтенасыщенной и водонасыщенной толщин на контуре
скважины, т. е. высоты конуса в процессе совместного притока, а эти величины
неизвестны. Формула для предельного безводного дебита обладает тем же
недостатком, что и формулы Н.Ф. Иванова [7] и Мейера - Гердера
[17]. Что касается случая Кz = 0, т. е. когда имеет место послойное движение в
горизонтальных плоскостях, то принятое условие совершенно должно исключать
конусообразование при притоке к несовершенной скважине. Однако и здесь автор
[7] получает формулу для максимального безводного дебита, исходя из неверных
предпосылок.
Здесь рассматривается более строгий
подход к решению задач при совместном притоке двух или трех жидкостей с учетом
не только различия в вязкостях и плотностях жидкостей, но и с учетом различия в
проницаемостях зон, анизотропии пласта и депрессии на пласт.
1. Гидравлическая теория безнапорного совместного притока двух жидкостей к несовершенной скважине и ее практическое применение
Гидравлическая теория безнапорного
движения основывается на следующих допущениях: горизонтальные компоненты
скорости принимаются равномерно распределенными; давление вдоль вертикали
принимается распределенным по гидростатическому закону. Здесь мы рассмотрим
совместный приток воды и нефти к несовершенной скважине реального радиуса, а
также к скважине с экраном на забое.
1.1 Расчет дебитов нефти и воды
Совместный приток нефти и воды к
несовершенной по степени вскрытия скважине схематично показан на рис. 1. Для
трех точек, расположенных в нефтяной зоне, водоносной зоне и на границе
раздела, пренебрегая капиллярными силами, можно записать следующее соотношение:
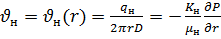
Рв (r, Zв ) −
Рн (r, Zн ) = ρв (Z − Zв )g + ρн(Zн − Z )g
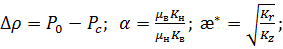
или
Pв - Pн = (ρнZн - ρвZв + ΔρZ)g; Δρ =
ρв
-
ρн (4)
Взяв частную производную по r, из
формулы (4) получаем

(5)
Согласно закону Дарси имеем:

(6)
Рис. 1.Схема совместного притока
нефти и воды
- линия тока в области вытеснения
нефти водой и в водоносной зоне; 2 - поверхность раздела «нефть-вода»
в момент прорыва вершины конуса воды к забою скважины; 3 - текущее
положение поверхности раздела «нефть- вода» (конуса) при совместном притоке
жидкостей;
Пренебрегая сжимаемостью жидкости и
учитывая (6), можно записать следующие уравнения для дебитов нефти qн и воды
qв:

(7)

(8)
или

(9)

(10)
В соответствии с работой [17] имеем
(см. рис. 1):

(11)
Все геометрические размеры показаны
на схеме (см. рис. 1). Подставляя (9) и (10) в (5) и разделяя переменные,
получаем

(12)
Вводя безразмерные параметры

; Y=
(13)
и делая замену переменных, получаем:

(14)=αRв + а; С2 =αRв + (1−
b); C3 = 1+ a - b (15)

(16)
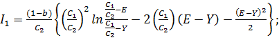
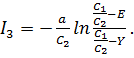
Разделяя (14) на три интеграла,
находим:

(17)

(18)

(19)
Общий интеграл (14) есть
F = I1 + I2 + I3 (20)
Итак, относительно параметра Rв
имеем трансцендентное уравнение.

(21)
Как видим, решение (21) требует
машинного счета с использованием метода итерации для определения соотношения
Rв. Значения Y и E могут быть определены следующим образом.
Для контура скважины справедливы
соотношения:

(22)

(23)
Решая совместно (22) и (23),
получаем

(24)
Где
Для контура питания имеем:

(25)

(26)
Решая совместно (25) и (26), находим

(27)
1.2 Расчет дебита воды через слабопроницаемый экран
при дренировании нефтяного пласта (см. рис. 1)
В первом приближении полученные
формулы могут быть использованы и для расчета соотношения дебита воды и нефти в
случае скважины с непроницаемым экраном на забое. Для чего необходимо заменить
в формулах радиус скважины на радиус экрана, т. е. принимается укрупненная
скважина. Если экран слабопроницаемый, тогда надо знать, какое количество воды
проходит через экран.
Для притока нефти можно записать
уравнение

. (28)

(29)
Для устойчивого конуса подошвенной
воды в предельном положении, т. е. когда весь экран подстилается подошвенной
водой, давление в водяной фазе под экраном (при r = rэ )

(30)
Депрессия на экран выразится
формулой

(31)
где С1 - добавочное фильтрационное
сопротивление, обусловленное относительным вскрытием пласта.
С другой стороны, скорость движения
воды через экран может быть описана в соответствии с законом Дарси уравнением


(32)
Где ΔZ - толщина
экрана.
Приток воды через кольцевой элемент
dr выражается формулой

(33)
Учитывая (32) и (31) при
интегрировании (33), получаем

(34)
Принимая для слабопроницаемого
экрана qнКэ / qв = 1 Дарси ≈ 10-12 м2 и вводя коэффициент анизотропии æ* и 
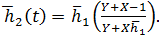
0=Д/h0, из (34)
получаем формулу для определения радиуса естественного экрана в
однородно-анизотропном пласте:

(35)
где Кн и Кэ - абсолютные
проницаемости для нефти в нефтенасыщенной толщине и в слабопроницаемом
пропластке (экране). Уравнение (35) решается методом приближения (итерации).
Более компактно уравнение (35) при ΔZ = δ запишется в
виде:

(36)
Для облегчения расчетов можно
построить функцию 
= f (rэ / rc).
1.3 Уравнение границы раздела «нефть-вода»
Для определения текущей и конечной
нефтеотдачи необходимо знать уравнение границы раздела двух жидкостей. Для
предельно-устойчивого положения подошвенной воды имеем дРв / дr = 0. Тогда из
совместного решения уравнений (5) и (7) имеем:

(37)
Запишем уравнение (37) через
дифференциалы:

(38)
Для предельного безводного дебита
имеем приближенную формулу

(39)
Подставляя (39) в уравнение (38) и
интегрируя в соответствующих пределах, получаем уравнение границы раздела



(40)
При наличии экрана необходимо в
приведенных формулах заменить радиус скважины на радиус экрана. Текущее
положение границы раздела в этом случае (см. рис. 1) приближенно может быть
описано уравнением аналогичным (40)



(41)
Уравнения (40) и (41) остаются
справедливы и для границы раздела «газ - вода» или «газ - нефть».
нефть вода скважина газ
1.4 Совместный приток нефти и воды к несовершенной
скважине, перфорированной в водоносной зоне без отбора газа из газовой шапки
Разработка нефтяной оторочки газоконденсатной
залежи, особенно при наличии подошвенной воды, в условиях послойной
неоднородности и сравнительно небольшой нефтенасыщенной толщины крайне
осложнена. Обычно принято считать, что лучшим решением проблемы разработки
нефтегазовой залежи с подошвенной водой является такое, которое обеспечивает
одновременно получение предельных безводных и безгазовых дебитов нефти, что
соответствует достижению наибольшей нефтеотдачи пласта вообще и безводной
нефтеотдачи в частности. К сожалению, такой технологический режим работы
скважины далеко не всегда приемлем по геолого-гидродинамическим условиям и
из-за неблагоприятных для эксплуатации скважин коллекторских свойств. Часто
предельные безводные и безгазовые дебиты оказываются настолько малы, что
разработка на указанном режиме становится нерентабельной. Например, по IX
пласту месторождения Русский хутор (при hн = 10 м, К = 0,1 мкм2, Δρ
=
300 кг/см2) предельные безводные и безгазовые дебиты нефти, рассчитанные В.В.
Черновой [23] по методике [14], составили всего лишь 6-7 т/сут в начале
разработки. Это подтвердилось и пробной эксплуатацией.
В подобной ситуации, очевидно, надо искать
другие пути и методы разработки нефтяной оторочки. К ним можно отнести методы
экранирования притока газа и воды, методы совместного притока нефти и воды,
нефти и газа или нефти, газа и воды, и методы создания горизонтальной трещины с
целью увеличения предельных безводных дебитов.
В предыдущих разделах на основе гидравлической
теории безнапорного движения рассмотрены задачи совместного притока двух
жидкостей к несовершенной скважине, вскрывающей продуктивный пласт. Здесь
рассматривается аналогичная задача для нефтегазовой залежи с подошвенной водой,
когда перфорация произведена в водоносной зоне. Другими словами,
рассматривается задача обратного конуса без отбора газа из газовой шапки (рис.
2.).
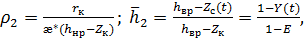
Принимается следующая расчетная схема. Скважина
дренирует нефтяную или нефтегазовую залежь с подошвенной водой с начальной
нефтенасыщенной толщиной hн, водонасыщенной толщиной hв и газонасыщенной
толщиной hг, и вскрывает водонасыщенную зону на величину D (см.рис. 2). Пусть в
процессе эксплуатации залежи на какой-то момент времени начальные
горизонтальные ГНК и ВНК займут текущие положения, изображающие линии тока, с
расчетными текущими значениями высот нефтенасыщенной hнр(Δt)
и водонасыщенной hвр(Δt) зон на
контуре дренирования соответственно и высотой цилиндрической поверхности
притока У(t) на контуре скважины радиуса rc. Пусть в процессе истощения залежи
начальный ВНК на контуре дренирования опустился на величину Zк(Δt).
Таким образом, под действием гравитационных сил
происходит истощение объема дренирования. При этом высоты на контурах питания и
скважины во времени будут изменяться, а следовательно, будет изменяться
соотношение добываемой нефти и воды.
Рис. 2. Схема обратного конуса воды в
нефтегазовой залежи
- положение поверхности раздела «нефть-вода» в
момент прорыва вершины конуса к забою скважины; 2- текущее положение границы
раздела при совместном притоке жидкостей; I - зона пространственного притока
жидкостей; II - зона плоскорадиального притока жидкостей
Если не поддерживать на контуре дренирования
уровни, насыщенные нефтью (hн) и водой (hв), постоянными, то процесс фильтрации
будет происходить при установившемся притоке с постоянным соотношением воды и
нефти Rв, зависящем от величины Zс = f(hн, hв) = const.
Предположим, что вся область пласта в объеме
дренирования скважиной занята нефтью. Тогда фиктивный дебит нефти несовершенной
скважины с частичным вскрытием пласта D и толщиной продуктивного пласта (D+
hнр), согласно гидравлической теории безнапорного притока, определится формулой

(42)
Действительный дебит воды
определяется аналогичной формулой. Согласно схемы (см. рис. 2) имеем

(43)
Действительный дебит Qн при
совместном притоке жидкостей по методу суперпозиции, очевидно, составит Qн =
Q'н - Qв, а отношение Rн с учетом (42) и (43) определится из формулы:

(44)

(45)
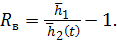
Здесь параметры Н, Y и Е изменяются
во времени. Покажем, что они могут быть определены по заданным значениям Rв =
Qв / Qн.
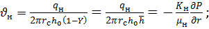
На контуре скважины скорости
фильтрации жидкости выражаются формулами:

(46)

(47)
Решая совместно (46) и (47),
получаем

(48)
Для контура дренирования имеем

(49)

(50)
Решая совместно (49) и (50) и
учитывая (45), получаем
Е = Y(1 - αHRв) (51)
Подставляя (48) и (51) в формулу
(44), после ряда преобразований получаем квадратное уравнение для определения
расчетного параметра Н, решение которого есть:

(52)

(53)

(54)
Вводя безразмерные параметры Е и Y в
формулу (43), получаем формулу для определения расхода воды

(55)
В зависимости от исходных данных (α и ρн / ρв) и
задаваемых значений Rв <1, может оказаться подкоренное выражение в формуле
(52) отрицательным. Это значит, в принятых условиях приток нефти отсутствует.
Следовательно, для вызова притока нефти, другими словами для создания обратного
конуса, требуется поддерживать бóльшие депрессии, т. е.
увеличивать долю дебита воды в суммарном отборе.
Предлагается следующая схема расчета
процесса истощения залежи при совместном притоке нефти и воды при вскрытии
водонасыщенной зоны:
. По известному из промысловых
данных соотношению воды и нефти Rв и коэффициенту подвижности α по формуле
(48) находим параметр Y, т. е. высоту притока Zс на контуре скважины;
. По формулам (52)-(54) определяем
параметр Н; для начального времени эксплуатации принимается Н = hн / D;
. По формуле (55) находим расход
воды Qв, а расход нефти определится из соотношения Qн = Qв / Rв.
Анализы показывают, что с
уменьшением отношения Rв, т. е. с уменьшением дебита воды Qв в общем дебите
жидкости, параметр Y, как и следовало ожидать, увеличивается, т. е.
увеличивается высота потока Zс на контуре скважины.
Используя метод решения, изложенный
в п.2.1, для схемы рис. 2 получаем следующие более точные формулы для расчета
дебита нефти и воды:


(56)

= I1 + I2 + I3 (57)
Здесь значения I1, I2, I3, С1, С2,
С3 определяются по формулам (15)-(20), где следует принять следующие
безразмерные параметры:

(58)

(59)
Расчетное значение Hвр (см. рис. 2)
приближенно определяется формулой
вр = 0,5 [D + Zc(t)] (60)
1.5 Алгоритм расчета основных показателей разработки
Предлагается следующий порядок
расчета для системы «нефть-вода»:
принимаются исходные параметры (h0,
hв, D, rк, rс, rэ, μв, μн, К, Δρ, ΔZ, Кэ);
разбивается безразмерный параметр Е
на шаги (ΔЕ1, ΔЕ2, ΔЕ3...);
используя метод смены стационарных состояний для каждого из фиксированных
интервалов (ΔЕ1; ΔЕ1 + ΔЕ2, ΔЕ1 +ΔЕ2 + ΔЕ3; ...), из
формулы (27) определяют отношение Rв; затем по формуле (24) определяют и Y;
зная безразмерные параметры (13), для
найденных отношений Rв по формулам (14)-( 20) находят дебиты нефти;
для слабопроницаемого экрана
количество воды, проходящей через экран, определяют по формуле (34);
зная геометрию пласта (объем
дренирования скважиной) и начальную нефтенасыщенность σн, подсчитывают
запасы нефти;
для каждого фиксированного интервала
ΔЕi по
формуле (41) строят границу раздела (см. рис. 1) и графически определяют объем
заводненной зоны; подсчитывают остаточные запасы, текущую нефтеотдачу и время
разработки;
строят графические зависимости:
суммарный отбор нефти во времени для фиксированных значений размеров экрана, N
= f(t, rэ), в безводный период эксплуатации по формуле (39) и при совместном
притоке по формуле (21); обводненность продукции δ, как
функцию суммарного отбора нефти N и радиуса экрана rэ, δ = f(N, rэ),
текущую нефтеотдачу β
во
времени, β
=
f(N, rэ).
Аналогичный порядок расчета искомых
параметров остается справедливым и для других систем жидкостей.
2. Теория совместного напорного притока жидкостей к
несовершенной скважине и ее практическое применение
2.1 Совместный квазиустановившийся приток нефти и
подошвенной воды
Рассмотрим осесимметричный
совместный приток нефти и воды к несовершенной скважине по степени вскрытия
однородно-анизотропного пласта. Расчетная схема притока приведена на рис. 1.
При решении задачи используем метод суперпозиции. Предположим, что вся область
пласта в удельном объеме дренирования скважиной занята водой. Тогда расход воды
определится из решения для притока к несовершенной скважине с частичным
вскрытием пласта D и толщиной водонасыщенной зоны (h0 + hв):

(61)
Действительный расход нефти
определяется формулой

(62)
Очевидно, действительный расход воды
Qв при совместном притоке жидкостей составит Qв =Qв' - Qн, а
отношение

(63)
Подставляя (61) и (62) в (63) и
делая некоторые преобразования, получаем:

(64)

(65)

(66)

(67)
Р0 - давление у кровли пласта; С1(ρ1,
) -фильтрационные сопротивления,
обусловленные относительным вскрытием и анизотропией пласта, определяемые из
известных графиков и формул (см. п.14.2).
Остальные обозначения показаны на
схеме (см. рис. 1).
.2. Совместный напорный приток двух
жидкостей к несовершенной скважине без экрана по схеме обратного конуса (см.
рис. 2).
Используя прием решения, изложенный
в п.3.1, получаем следующие расчетные формулы:

(68)

(69)

(70)
Р0 - пластовое давление на контуре
питания в водоносной зоне;
ΔРизб - избыточное давление
над пластовым, создаваемое закачкой воды в нефтяную зону.
Из формулы (68) следует

(71)
Здесь α, Н, Е и Y
определяются по формулам (13)
2.3 Квазистационарный совместный напорный приток нефти
и воды к несовершенной скважине при наличии экрана по схеме обратного конуса
Схему обратного конуса целесообразно
применять в случае небольших толщин нефтенасыщенного пласта с подошвенной водой
или нефтяных оторочек нефтегазовых залежей (см. рис. 2). Используя двухзонную
схему притока к несовершенной скважине и метод производных пропорций, в
конечном счете получаем

(72)

(73)

(74)

(75)

(76)

(77)
Здесь 
- текущая величина относительного
фильтрационного потока на контуре скважины (см. рис. 2), которая связана с
величиной водонефтяного фактора Rв:

(78)
Решая совместно (72), (73) и (78),
находим

(79)
Зная изменения текущих параметров во
времени по формуле (79), определяем относительную величину фильтрационного
потока воды по высоте, затем по формуле (78) находим искомую величину Rв.
При отсутствии экрана в приведенных
формулах следует принять : Д= hв; rэ = Д - Zк. При достаточно высоких темпах
отбора величиной Zк на контуре питания (см. рис. 2) можно пренебречь,
следовательно, во всех формулах принять Zк = 0.
ЗАКЛЮЧЕНИЕ
На данном этапе научно-технического
прогресса в нефтегазодобывающей отрасли народного хозяйства актуальной
проблемой является усовершенствование и развитие методов гидродинамических
расчетов проектирования и контроля разработки нефтяных и нефтегазовых
месторождений с подошвенной водой. В частности, для Западной Сибири такая
проблема связана с обширным водонефтяными зонами, имеющими большие
геологические запасы нефти. Интенсивное обводнение добывающих скважин требует
решения ряда технологических задач, направленных на увеличение безводного
периода эксплуатации, ограничение притока воды к забою при совместном отборе
нефти и воды.
Проблема совместного притока двух
жидкостей к несовершенной скважине рассмотрена с позиций: гидравлической теории
безнапорного и теории напорного совместного притока. На основе указанных теорий
разработаны: практические методы расчета соотношения дебитов нефти и воды в
зависимости от гидравлических факторов; методика расчета воды через
слабопроницаемый экран при дренировании нефтяного пласта; алгоритм истощения
нефтяной залежи и алгоритм расчета основных показателей разработки; дан вывод
границы раздела «нефть-вода», позволяющей рассчитывать коэффициент извлечения
за безводный период и конечный коэффициент нефтеотдачи; разработана методика
эффективной эксплуатации скважин, дренирующих нефтяные пласты малой толщины, по
схеме обратного конуса с использованием непроницаемого экрана.
СПИСОК ИСПОЛЬЗУЕМОЙ ЛИТЕРАТУРЫ
1.
Глоговский М.М. Дебит скважин, несовершенных по степени вскрытия пласта. - Тр.
МНИ, 1951, вып. 11.
.
Чарный И.А. Приток к скважинам в месторождениях с подошвенной водой или газовой
шапкой. - Нефтяное хозяйство, 1952, № 10.
.
Карпычев В.А. О движении ВНК и обводнении скважин в пластах с подошвенной
водой. - Изв. АН СССР, ОТН, Механика и машиностроение, 1959, № 5.
.
Карпычев В.Л. К задаче о конусе подошвенной воды в неоднородном пласте. - ПМТФ
АН СССР, 1960, № 3.
.
Чарный И.А. О совместном притоке к скважинам двух жидкостей с различными
вязкостью и плотностью. - Инж. сб., 1950, т. VII.
.
Чарный И.А. Совместный приток нефти и подошвенной воды к несовершенной
скважине. - Изв. АН СССР, ОТН, 1955, № 2.
.
Иванов Н.Ф. К вопросу эксплуатации пластов с подошвенной водой. - Изв. КФ АН
СССР, сер. физ.-мат. и тех. наук, 1956, № 8. -С. 137-149.
.
Цыбульский Г.П., Теплов Ю.А. Экспериментальное исследование совместного притока
к скважине воды и нефти. - Изв. КФ АН СССР, сер. физ.-мат. и тех. наук, 1959, №
17.
.
Каптелинин Н.Д., Телков А.П. К теории совместного напорного притока двух
жидкостей к несовершенной скважине. - Тр. ТюмИИ, МТС «Вопросы разработки
нефтяных и газовых месторождений», 1982. - С. 70-76.
.
Каптелинин Н.Д., Телков А.П. Гидравлическая теория безнапорного совместного
притока двух жидкостей к несовершенной скважине. -Тр. ТюмИИ, МТС «Вопросы
разработки нефтяных и газовых месторождений», 1982. - С. 76-85.
.
Каптелинин Н.Д., Телков А.П. Теория совместного притока жидкостей и газа к
несовершенным скважинам в однородно-анизотропных нефтяных, газовых и
нефтегазовых залежах с подошвенной водой и ее практическое применение. - Азерб.
нефт. хоз-во, 1984, № 2 пласт. - С.35-38.
13.
Meyer H.I., Searcy D.E. Analagy Study of Water-Coning-Pet.Tech., April, 1956,
p. 328.
14.
Телков А.П., Стклянин Ю.И. Образование конусов воды при добыче нефти и газа. -
М:, Недра, 1965.
.
Телков А.П. Подземная гидрогазодинамика. Уфа,
Башиздат,
1974.
.
Lookeren J. Oil Production from Reservoirs with an Oil Layer Between Gas and
Bottom Water in the Same Sand. - J. Pet. Tech, March, 1965.
.
Meyer H.I., Garden A.O. Mechanics of Two Jmmiseible Fluids in Poraus Media. -
J. Applied Physics, V. 25, N 11. 1954, p. 1400-1406.
.
Karp I.C., Lowe D.K. Horisontal Barriers for Controlling Water Coning. - J.
Pet. Tech., Julay,
1962, p. 8.
.
Телков А.П., Грачев С.И. и др. Особенности разработки нефтегазовых
месторождений (ч.2).- Тюмень, ООО НИПИКБС - Т. 2001.- 482 с
.
Гутников А.И., Закиров И.С. Совместный приток газа и жидкости к скважине.
Геология, бурение и разработка газовых месторождений. -ЭИ ВНИИЭгазпрома, вып.
16, 1981. - С. 18-21.
.
Закиров И.С. Индикаторные линии при совместном притоке флюидов к скважине.
Разработка и эксплуатация газовых и морских нефтяных месторождений. - ЭИ
ВНИИЭгазпрома вып. 1, 1982. - С. 6-9.
.
Закиров И.С. Совместный приток газа, нефти и подошвенной воды к скважине. -
Нефтяное хозяйство, № 2, 1988. - С. 39-42.
.
Чернова В.В. Технологический режим работы скважин, дренирующих газонефтяной
пласт. - Газовое дело, 1971, № 4. - С. 21-24.
.
Телков А.П., Стклянин Ю.И. Расчет предельных безводных и безгазовых дебитов в
подгазовых нефтяных залежах с подошвенной водой. -
Тр.
МИНХ и ГП, 1963, вып. 42.