Специфика работы ТОО 'Газпромпроект'
Содержание
Введение
. Общая информация о базе практики. Специфика работ данной
организации
. Сбор материала по теме дипломного проекта
.1 Общая информация о нефтепроводах
.2 Методы увеличения пропускной способности
3. Расчётная часть
.1 Расчет длины лупинга и вставки
.2 Расчет числа ПС при увеличении производительности на 180%
. Экономическая часть
5. Техника безопасности при эксплуатации магистральных
трубопроводов
Заключение
Список литературы
Введение
Преддипломная практика - особый вид производственной практики, является
завершающим этапом подготовки специалистов.
Цель практики - закрепление знаний, полученных при изучении дисциплин
специализации, сбор фактического материала и сведений по конкретной теме
дипломного проектирования.
Основными целями преддипломной производственной практики являются:
приобретение навыков руководства рабочими коллективами и самостоятельного
решения инженерных вопросов на строительной площадке;
практическое освоение организационной, управленческой, коммерческой и
планово-экономической работы в отделах строительной организации;
сбор исходных материалов по выбранной и утвержденной теме дипломного
проекта.
Основными задачами практики являются:
применение полученных теоретических знаний непосредственно в практической
работе;
закрепление и расширение знаний в области технологии, организации,
управления и экономики строительства;
изучение факторов, влияющих на рост производительности труда и повышение
качества строительства;
получение необходимых сведений о работе строительного подразделения в
условиях проведения экономических реформ;
выполнение творческой работы.
1. Общая информация о базе практики. Специфика работ данной
организации
ТОО «Газпромпроект» является гарантом современного уровня
решений сложных научно-технических задач по комплексному проектированию
магистральных трубопроводов и нефтегазохранилищ.
Важной составляющей высокого потенциала ТОО «Газпромпроект» и
его главным достоянием является кадровый состав. Высококвалифицированные
специалисты создают интеллектуальную основу выполнения предприятием самых
сложных производственных задач.
Институт ведёт активный диалог со своими клиентами и
партнёрами. Регулярно проводятся мероприятия по продвижению наших услуг и
обмену опытом - выставки, конференции, круглые столы и открытые уроки с
участием ведущих компаний страны и зарубежья.
В новых экономических условиях институт не только не утратил
позиции одной из передовых научно-исследовательских и проектных компаний
страны, но и уверенно вошел в рыночные отношения.
Основные принципы, на которых построена деятельность ТОО
«Газпромпроект» :
• Конструктивное сотрудничество с Заказчиком, умение
оперативно реагировать на меняющуюся конъюнктуру, неуклонное выполнение
принятых обязательств, надёжный, качественный сервис.
• Высококвалифицированный интернациональный
научно-исследовательский и инженерный персонал, имеющий огромный опыт работы в
нефтегазовой отрасли по созданию сложнейших объектов.
• Знание и большой опыт в применении нормативов и
стандартов Республики Казахстан, ГОСТов, а также международных стандартов: ISO,
ASTM, API и т.п.
• Современное компьютерное и лабораторное оснащение,
включая программное обеспечение для осуществления научно-исследовательской и
проектной деятельности.
• Наличие возможности комплексного ведения научно-исследовательских
и проектных работ по всей номенклатуре освоения месторождений углеводородов.
• Планомерное повышение уровня квалификации
специалистов всех категорий, с использованием опыта и знаний мировых компаний.
• Соответствие разрабатываемых проектов требованиям
охраны недр, других объектов окружающей среды и промышленной безопасности.
2. Сбор материала по теме дипломного проекта
Целью преддипломной практики является
сбор материала по теме проекта, поэтому изначально мною совместно с моим
руководителем была поставлена задача - собрать сведения о магистрального нефтепровода, а также рассмотреть и
изучить основые способы по увеличению пропускной способности. Оформить
расчетную часть согласно исходных данных и рассмотреть основные мероприятия по ТБ, охране
труда и окружающей среды.
Нефтепровод Узень - Атырау - Самара - уникальный подогреваемый
магистральный нефтепровод. Начинается с месторождение Узень до Атырауского НПЗ,
которая дальше соединяется с Самарой или системой нефтепроводов Транснефти.
Нефтепровод специально подогревают печами для высокозастывающей нефти
Жетыбай-Узеньской группы месторождений.
Протяжённость нефтепровода Узень-Атырау-Самара составляет более 1380 км,
на территории Казахстана - 1232 км. Нефтепровод проходит по территории
Мангыстауской, Атырауской и Западно-Казахстанской областей Казахстана и
Самарской области России. Объём прокачиваемой нефти - 15,75 млн. тонн.
Максимальная пропускаемость нефтепровода - 30 млн тонн. нефти.
Проектировщик
Разработка проекта и рабочих документов была сделана Государственным
институтом «Южгипротрубопровод» (сейчас называется Институт транспорта нефти).
Владельцы
Владельцами нефтепровода являются казахстанская транспортная компания
КазТрансОйл до российской границы, на российской территории - российская транспортная
компания Транснефть.
Эксплуатирующие организации
Западный филиал ЗАО "КазТрансОйл" (по территории Казахстана)
ОАО "Приволжскнефтепровод" АК "Транснефть" (по территории
РФ)
Основная производственная деятельность ЗАО
"КазТрансОйл" заключается в обеспечении поддержания и эксплуатации
системы транспортировки нефти, а также определенных систем подачи воды в
Казахстане. По состоянию на 31 декабря 2000 года компанией эксплуатировалось 6
486 километров магистральных нефтепроводов, 39 нефтенасосных станций,
нефтехранилище объемом 1,2 млн куб. метров, 6 водоперекачивающих станций; 4
комплекса наливных эстакад (1 - в порту Актау); 2 комплекса сливных эстакад и 2
434 километров магистральных водопроводов. Всего в течение 2000 года ЗАО
"КазТрансОйл" осуществило транспортировку 27,8 млн тонн нефти и 34,7
млн кубометров воды.
Транспортировка нефти
Около 80% всей добытой в стране сырой нефти
транспортируется по сети трубопроводов компании. ЗАО "КазТрансОйл"
также владеет водоводом, с помощью которого снабжает водой населенные пункты,
расположенные в Атырауской и Мангистауской областях Казахстана, а также
нефтяные промыслы в Западном Казахстане.
Пунктами назначения при транспортировке нефти
являются: соединения с внешними трубопроводными системами (включая трубопровод
Атырау-Самара в Западном филиале и трубопровод Жанажол-Орск в Актюбинском
филиале); нефтеперерабатывающие заводы (НПЗ) - Атырауский (Западный филиал),
Павлодарский и Шымкентский (Восточный филиал); наливные железнодорожные
терминалы (эстакады) на насосных станциях в Атырау и Макате (Западный филиал),
которые используются для последующей транспортировки нефти за пределы
Казахстана и на Атырауский НПЗ; морской нефтеналивной терминал в морском порту
в городе Актау через насосную станцию в Актау для доставки нефти на танкеры
(Западный филиал).
Первый магистральный нефтепровод в Казахстане был
построен в 1935 году и соединил месторождения западного Казахстана с Орским
нефтеперерабатывающим заводом в России. В 1966 году был сооружен магистральный
нефтепровод для транспортировки нефти с месторождений
Узеня до порта Актау на Каспийском море, в 1969 году
был построен магистральный нефтепровод, соединивший месторождения Узеня с
Атырауским НПЗ. Первый нефтепровод "горячей нефти" - Узень-Атырау-
Самара общей протяженностью около 1 500 километров был
завершен в 1970 году и продолжает использоваться в качестве основной экспортной
магистрали, обеспечивающей выход казахстанской нефти на европейские рынки.
2.1 Общая информация о нефтепроводах
Нефтепроводом принято называть трубопровод,
предназначенный для перекачки нефти и нефтепродуктов (при перекачке
нефтепродукта иногда употребляют термин нефтепродуктопровод). В зависимости от
вида перекачиваемого нефтепродукта трубопровод называют также бензино-,
керосин-, мазутопроводом и т.д. По своему назначению нефте- и
нефтепродуктопроводы можно разделить на группы: промысловые, магистрального и
технологические. Промысловые - соединяющие скважины с различными объектами и
установками подготовки нефти на промыслах. Различают виды: выкидная линия
- промысловый нефтепровод от скважины до замерной установки (АГЗУ, ГЗУ).
Предназначен для транспортировки продукта добычи (нефти с попутной эмульсией и
газом) либо для транспортировки ремонтно-замерочного оборудования к устью
скважины (последний часто применим при разработке морских месторождений).
Протяженность выкидных линий зависит от плотности разработки месторождения - от
нескольких метров в пределах обваловки (куста) до нескольких километров - от
одиночных скважин. Использование выкидных линий позволяет учитывать объёмы
добычи скважины; нефтяные сборные коллекторы - (нефтегазосборный трубопровод)
промысловый нефтепровод от замерной установки (АГЗУ, ГЗУ) до центрального
пункта сбора, дожимной насосной станции, установки по подготовки нефти.
Магистральные (МН) - предназначенные для транспортировки товарной
нефти и нефтепродуктов (в том числе стабильного конденсата и бензина) из
районов их добычи (от промыслов) производства или хранения до мест потребления
(нефтебаз, перевалочных баз, пунктов налива в цистерны, нефтеналивных
терминалов, отдельных промышленных предприятий и НПЗ). Они характеризуются
высокой пропускной способностью, диаметром трубопровода от 219 до 1400 мм и
избыточным давлением от 1,2 до 10 Мпа. Технологические - предназначенные для
транспортировки в пределах промышленного предприятия или группы этих
предприятий различных веществ (сырья, полуфабрикатов, реагентов, а также
промежуточных или конечных продуктов, полученных или используемых в
технологическом процессе и др.), необходимых для ведения технологического
процесса или эксплуатации оборудования.
2.2 Методы увеличения пропускной способности
С необходимостью увеличения пропускной способности нефтепроводов
приходится сталкиваться как в процессе проектирования, так и при эксплуатации
их. Наращивание пропускной способности обусловлено стадийностью ввода в
эксплуатацию нефтепроводов. Большую роль оказывают так же изменения,
происходящие в направлении и мощности потоков нефти вследствие открытия новых
нефтяных месторождений, строительства новых промышленных объектов, городов и
т.п. В общем случае при увеличении пропускной способности системы начальное и
конечное давление могут изменяться. Это зависит от степени загруженности
действующей части системы, от характеристик установленного основного
оборудования, а также от того, потребуется или не потребуется расширение
действующих компрессорных станций (КС). Т.к. местоположение КС предопределено,
то расчет увеличения пропускной способности приходится проводить, как правило,
по каждому перегону между КС, и в последующем все параметры будут относиться к
одному перегону. Увеличить пропускную способность нефтепроводова можно
следующими основными способами: прокладка лупингов, укладка вставки, против
турбинного присадки, удвоение числа КС. Выбор того или иного способа зависит от
конкретных условий на участке нефтепроводова, а также от технико-экономического
обоснования.
При наращивании пропускной способности нефтепроводной системы путем
увеличения КС необходимо согласовать режимы работы смежных перегонов и КС. На
перегоне между КС можно дополнительно построить любое число КС. Исходя же из
технико-экономических расчетов, целесообразным оказывается, как правило, только
удвоение КС. Исключение составляет пусковой период, который разбивается на несколько
этапов. Начальным этапом является безкомпрессорная подача нефти по нефтепроводу
за счет пластового давления. Затем в несколько этапов вводятся в эксплуатацию
КС. Одновременно на различных этапах могут сооружаться параллельные нитки.
В процессе эксплуатации МТ часто возникает необходимость прокладки
лупинга (обводной линии). Согласно действующим нормам технологического
проектирования для пропуска планируемого грузопотока должно предусматриваться
сооружение одной нитки МТ с последующим развитием его пропускной способности за
счет увеличения числа станций или модернизации оборудования с целью увеличения
их производительности.
Проектирование МТ с учетом прокладки второй нитки (лупинга) допускается в
следующих случаях:
) Когда заданная пропускная способность не может быть обеспечена одной
ниткой из-за отсутствия труб большего диаметра и нецелесообразности освоения их
промышленностью.
2) Когда увеличение пропускной способности трубопроводов до пределов,
указанных задании на проектирование, намечается в сроки, превышающие 8 лет.
В настоящее время в эксплуатации находится большое количество
многониточных трубопроводов. Каждая последующая нитка системы подключается к
действующим трубопроводам по мере готовности. Таким образом, каждая часть
строящейся нитки может рассматриваться как лупинг.
3. Расчётная часть
.1 Расчет длины лупинга и вставки
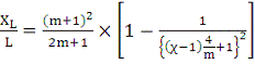
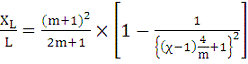
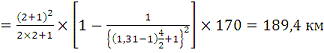
Длина лупинга определяется по формуле:

; [1] (1),
L -
длина трубопровода, км;
m -
число ниток МТ;

- эффективность лупинга;
Эффективность лупинга 
для двухниточного трубопровода:

; [7] (14),
где 
,
Из формулы [1] (1):
XL
Вывод: согласно расчету, длина прокладываемого лупинга составляет 189,4
км.
3.2 Расчет числа ПС при увеличении производительности на 180%
К расчету принимаю дополнительные параметры:
Начальное давление Pн=5,5
МПа;
Конечное давление Pк=4,2
МПа;
Коэффициент гидравлического сопротивления λ=0,03.
Зависимость увеличения числа ПС от производительности трубопровода:

, [1] (2),
где Q1 - производительность трубопровода
К1 - количество станций
Рн - начальное давление
Рк - конечное давление
L -
длина трубопровода
Dвн -
внутренний диаметр трубопровода

- коэффициент гидравлического сопротивления
Из формулы [1] (2):
;
Производительность станции при увеличении на 180%:
Q2=570,78×1,8=1027,4 
.
При этом количество станций:
;
Вывод: в первом варианте количество станций выбрано с запасом, поэтому
при увеличении производительности оно не изменится.
нефтепровод лупинг расход транспорт
4. Экономическая часть
Исходные данные:
Участок: Узень(УКПГ -16) - Атырау (ОГПЗ);
Производительность газопровода до изменений -
Производительность газопровода после изменений -
Протяженность участка - 683км;
Рабочее давление - 8,0 МПа;
Длина лупинга - 55 км.
Основными технико - экономическими показателями транспорта нефти
являются:
капитальные вложения;
эксплуатационные расходы.
Все эти показатели находятся в тесной связи и зависимости, представляя
таким образом единую систему, которая дает возможность комплексно и всесторонне
охарактеризовать уровень эффективности принятого решения.
Определение капитальных вложений
Капитальные затраты на сооружение магистрального нефтепровода включают
затраты на сооружение части газопровода, строительство вспомогательного
оборудования.
, (2.1)
где:
-
капитальные вложения на строительство 1 км. магистрального нефтепровода , млн.
тг.;
L - длина
газопровода, км.
млн. тг.
, (2.2)
где:
- длина
лупинга, км.
млн. тг.
Суммарные
капитальные вложения на сооружение нефтепровода и лупинга определяется
следующим образом:
; (2.3)
млн. тг.
Эксплуатационные
расходы
Годовые
эксплуатационные расходы определяются по следующим экономическим показателям:
заработная
плата;
отчисления
на соцстрахование;
амортизационные
отчисления;
затраты
на текущий ремонт;
потери
газа при транспортировке.
Фонд
заработной платы
Основным
документом, нормирующим труд в системе магистрального транспорта нефти,
являются отраслевые нормативы численности на обслуживание различного рода
сооружений магистрального газопровода.
Общая
численность работников по линейной части:
; (2.4)
чел.
Лупинг:
7 чел.
Общая
численность:
, (2.5)
чел.
Фонд
заработной платы включает в себя основную и дополнительную заработную плату.
В
состав основной заработной платы входят: плата начисленная за проработанное
время по утвержденным тарифным ставкам и окладам; все виды премий из фонда
заработной платы, доплата за работу в сверхурочное время, праздничные дни и
т.д.
В
состав дополнительной заработной платы включается: оплата отпусков, оплата
рабочего времени, затраченного на выполнение государственных обязанностей.
Основная
заработная плата:
, (2.6)
где:
-
среднемесячная заработная плата, тг;
- общая
численность работников, чел.
Зарплата
определена в соответствии с эксплуатацией объекта и предусмотренными штатами и
составляет в текущих ценах 60000 тенге на человека в месяц.
млн. тг.
млн. тг.
млн. тг.
, (2.7)
млн. тг.
Дополнительная
заработная плата составляет 20% от основной:
, (2.8)
млн.тг.
, (2.9)
млн. тг.
млн.тг.
,
(2.10)
млн. тг.
Фонд
заработной платы:
,
(2.11)
млн. тг.
млн. тг.
До
изменений:
Таблица
№1
|
Средняя з/п
1 работника
|
Зср
|
тг./мес.
|
60000
|
|
Численность обслуж.перс-ла
|
N
|
Чел
|
56
|
|
Кол-во раб.врем.
|
Т
|
Мес.
|
12
|
|
Основной фонд з/п
|
Зосн
|
млн. тг.
|
40,320
|
|
Дополнит. Фонд з/п
|
Здоп
|
млн. тг.
|
8,064
|
|
з/п основн. и дополнит.
|
З
|
млн. тг.
|
48,383
|
После изменений;
Таблица №2
|
Средняя з/п
1 работника
|
Зср
|
тг./мес.
|
60000
|
|
Численность обслуж.перс-ла
|
N
|
Чел
|
63
|
Т
|
Мес.
|
12
|
|
Основной фонд з/п
|
Зосн
|
млн. тг.
|
45,360
|
|
Дополнит. Фонд з/п
|
Здоп
|
млн. тг.
|
9,072
|
|
з/п основн. и дополнит.
|
З
|
млн. тг.
|
54,432
|
Отчисления на социальное страхование.
пенсионный фонд 10 %;
профсоюзные взносы 1 %.
В сумме составляют 11 % от всего Фз.пл.;
Зсоц.страх.общ.доизм = 5,322 млн. тг.
Зсоц.страх.общ.послеизм = 5,987 млн. тг.
Затраты на электроэнергию определяются по двухставочному тарифу как сумма
оплаты за установленную мощность основного оборудования и расхода на
потребляемую электроэнергию.
Стоимость электроэнергии за 1 КВт/ч составляет 5,7 тг.
Стоимость электроэнергии
Таблица
|
Линейная часть
|
Лупинг
|
|
Затраты на электрич.
энергию (млн. тг.)
|
9,0
|
20,0
|
5. Техника безопасности при эксплуатации магистральных
трубопроводов
Предприятия, эксплуатирующие МГ, должны контролировать состояние
трубопроводов, в том числе: безопасное техническое состояние нефтепровода,
линий связи, линий электропередачи и других линейных узлов и сооружений;
появление утечек нефти; ведение работ в охранной зоне; нарушение
опознавательных знаков закрепления трассы; выявление неразрешенных работ,
проводимых в охранной зоне МГ и в полосе, ограниченной нормативными разрывами
до населенных пунктов, дорог, зданий, сооружений; изменения в охранной зоне,
прошедшие после предыдущего осмотра.
На МГ предприятием должен быть заведен специальный паспорт, составленный
в двух экземплярах. К экземплярам паспорта должна быть приложена его
исполнительная схема, с нанесенными трубопроводными деталями и указанием типа и
марок сталей труб, установленной арматуры. Один экземпляр паспорта должны
хранить в ПО, другой - у ответственного за эксплуатацию нефтепровода,
назначенного приказом по предприятию.
Ответственным за общее и безопасное состояние МГ является начальник
ЛПУМГ. Кроме начальника ЛПУМГ, приказом должны быть назначены специальные ИТР,
ответственные за техническое состояние и безопасную эксплуатацию определенного
участка МГ.
На трассе МГ и отводах должны быть установлены: железобетонные столбики,
высотой 1,5-2 м на прямых участках в пределах видимости через 300-500 м и на
углах поворота МГ с указанным на них километражем МГ и фактической глубиной
заложения труб; для закрепления трассы МГ можно использовать также
контрольно-измерительные колонки катодной защиты; при прохождении вдоль МГ
воздушных линий связи возможно закрепление трассы нефтепровода с использованием
опор связи, с указанием на них километража, глубины заложения ГП и расстояния
от оси опоры до МГ. Знаки закрепления трассы МГ (километровые и катодные
столбики) должны быть окрашены в оранжевый цвет; знаки границ трассы МГ между
ЛПУМГ и участками, обслуживаемыми отдельными линейными обходчиками; сигнальные
знаки по обеим сторонам охранной зоны на подводных переходах (дюкерах) в
соответствии с требованиями Устава внутреннего водного транспорта на расстоянии
100 м от оси МГ и подводного кабеля связи; дорожные знаки в местах пересечения
МГ с автомобильными дорогами всех категорий по согласованию с органами
Госавтоинспекции, запрещающие остановку транспорта на расстояниях от оси МГ.
Для обеспечения нормальных условий эксплуатации и исключения возможности
повреждения магистральных нефтепроводов (при любом виде прокладки)
устанавливается охранная зона в виде участка земли, ограниченного условными
линиями, проходящими в 50 м от оси трубопровода с каждой стороны (на землях
сельскохозяйственного назначения охранная зона ограничивается условными
линиями, проходящими в 25 м от оси трубопровода с каждой стороны).
В охранных зонах МГ без письменного согласия руководства ЛПУМГ
запрещается: возводить любые постройки и сооружения; высаживать деревья и
кустарники всех видов, складировать корма, удобрения и материалы, скирдовать
сено и солому, располагать коновязи, содержать скот, устраивать водопои,
выделять рыбопромышленные участки, осуществлять добычу рыбы, водных животных и
растений, колоть и заготавливать лед; сооружать переезды через трассы
нефтепроводов; устраивать стоянки автомобильного транспорта, тракторов и
механизмов; размещать коллективные сады и огороды; проводить мелиоративные
земляные работы, сооружать оросительные и осушительные системы; проводить
всякого рода горные, строительные, монтажные и взрывные работы, планировку
грунта.
В охранных зонах запрещается проводить всякого рода действия, которые
могут нарушить нормальную эксплуатацию нефтепровод или повредить их, в
частности: перемещать, засыпать или ломать опознавательные и сигнальные знаки,
контрольно-измерительные пункты; открывать люки, калитки и двери
необслуживаемых усилительных пунктов кабельной связи, ограждений узлов линейной
арматуры, станций катодной и дренажной защиты, открывать и закрывать краны,
выключать или включать средства связи, энергоснабжения и телемеханики; устраивать
всякого рода свалки, выливать растворы кислот, солей и щелочей; разрушать
берегоукрепительные сооружения, водопропускные устройства, земляные и иные
сооружения (устройства), предохраняющие нефтепроводы от разрушения; бросать
якоря, проходить с отданными якорями, цепями, лотами, волокушами и тралами,
проводить дноуглубительные и землечерпательные работы; размещать открытые или
закрытые источники огня.
Заключение
Преддипломную практику я проходил в ТОО «Газпромпроект». Цель
прохождения практики заключалась в сборе материала, что должно быть
испольпользовано при разработке и выполнения дипломного проекта, тема которого
является «Увеличение пропускной сособности на участке магистрального
нефтепровода Узень-Атырау-Самара». За время практики я собрал и изучил весь
необходимый материал длч дальнейшего выполнения проекта. С руководителем
сделали необходимые расчеты, которые будут применены в выполнения графической
части.
Изучил правило и требования выполнения капитального ремонта.
Ознакомилась с вопросами о внедрении производстве новых технологии и
технологических процессов, направленных на совершенствование и развития
материальной базой предприятия, конструкция машин и оборудования с точки зрения
эксплотации и ремонта магистрального нефтепровода.
Расмотрел вопросы по выполнению требовании безопасности и
создании здоровых условия труда и дисциплинированного выполнения правил
внутреннего распорядка предприятия и за его пределами.
Список используемой литературы
1. Бунчук В.А Транспорт и хранение нефти, нефтепродуктов и
газа. - М.: Недра, 1977.
2. Техника и технология транспорта и хранения нефти и газа /
Под ред. В.Ф. Новоселова. - М.: Недра, 1992.
. Транспорт и хранение нефти и газа / Под ред. Н.Н
Константинова. - М.: Недра, 1975.
. Трубопроводный транспорт нефти и газа / Под общ. ред. проф.
В.А. Юфина. - М.: Недра, 1978.
. Алиев Р.А. и др. Трубопроводный транспорт нефти и газа /
Р.А. Алиев, В.Д. Белоусов, А.Г. Немудров. - М.: Недра, 1988.
. Новоселов В.Ф., Гольянов А.И., Муфтахов Е.М. Типовые
расчеты при проектировании и эксплуатации газопроводов. Учебное пособие. М.,
Недра, 1982.