Сири з високою температурою обробки

  • Вид работы:
    Курсовая работа (т)
  • Предмет:
    Другое
  • Язык:
    Украинский
    ,
    Формат файла:
    MS Word
    198,79 Кб
  • Опубликовано:
    2015-05-02
Вы можете узнать стоимость помощи в написании студенческой работы.
Помощь в написании работы, которую точно примут!

Сири з високою температурою обробки

Вступ

Розпочалась історія сиру (за однією з легенд) на сході, тоді один аравійський купець взяв із собою в дорогу їжі та молока, але після спекотного для він побачив, що молоко в пляшці зіпсувалось, а на поверхні утворився білий осад. Скуштувавши його чоловік був здивований, адже продукт мав зовсім інший, приємний смак. Сир завжди був званим гостем на кожному столі, є записи в яких розповідається про продукт схожий на сир у Стародавньому Єгипті, Римі та Вавилоні. Кочові племена степів теж створожували молоко, для збереження продукту при пошуках нових незаселених земель, а коли вони зберігали молоко у шлунках корів та овець, то помітили, що сир мав зовсім інші смакові якості та зберігався довше.

Виготовлення сиру цілком залежало від географічного положення людей, та кліматичних умов. Так з’явились сири характерні для певної області чи держави:степний, голландський, чеддер, рокфорд, костромський, латвійський, пармезан і т.д.

Розквіт сироваріння припадає на епоху середньовіччя, де його вподобають монахи, та роблять серйозний внесок у розвиток технології сиру. Саме з тих пір вино і сир стають нерозлучні. Хоча на певний проміжок часу, у епоху Ренесансу сир стали вважати шкідливим для здоров’я, та це хибне твердження швидко зникло, і популярність сиру зросла. Тоді люди ще не знали про дію мікроорганізмів,ферментів кислот та температури на складні протеолітичні, ліполітичні та інші процеси, що відбуваються з молоком під час визрівання. Та зараз завдяки досягненням науки та техніки, більшість питань навколо сиру розв’язані, і це дає змогу виробляти сири будь-де та будь-коли; ми можемо отримувати молоко з вже заданими фізико-хімічними показниками, здійснювати обробку вихідної чи проміжної сировини отримуючи нові сорти.

1. Загальна характеристика сиру

Сир - це харчовий продукт, виготовлений з сиро придатного молока з використанням ферментів та молочнокислих бактерій.

Харчова цінність сиру визначається високим вмістом у ньому білка, молочного жиру, а також мінеральних солей і вітамінів в добре збалансованих співвідношеннях і легкозасвоюваній формі. У 100 г сиру міститься 20-30 г білка, 32-33 г жиру, близько 1 г кальцію, 0.8 г фосфору. У сирі міститься велика кількість вільних амінокислот, у тому числі всі незамінні. Важливою особливістю сиру як харчового продукту є його здатність до тривалого зберігання. Так вироблені за традиційною технологією сири швейцарський, радянський, голландський і ін. можуть зберігатися при мінусових температурах протягом декількох місяців. В основі виробництва сиру використовується ферментативно-мікробіологічний процес, перебіг якого залежить від фізико-хімічних властивостей молока, складу мікроорганізмів закваски, їх здатності розвиватися в молоці, в згустку і сирній масі, та умов технологічного процесу.

Якість сиру залежить в першу чергу від якості молока, з якого його виробляють. Вид сиру формується виключно під впливом ферментних систем мікроорганізмів, молочнокислих, пропіоновокислих і лужнотворюючих бактерій сирного слизу і мікроскопічних грибів.

Сир можна класифікувати за трьома показниками.

Перший-вміст води в знежиреному сирі. За цим показником сири поділяються на:

дуже тверді (вміст води в знежиреному сирі менше 51%)

тверді (49-56%),

напівтверді (54-63%),

напівм'які (61-69%),

м'які сири (більш ніж 67%).

По другому показнику-вміст жиру в сухій речовині сири поділяються на:

високожирні (більше 60%),

повножирної (45-60%),

напівжирні (25-45%),

низкожирной (10-25%) і знежирені (менше 10%).

Третім показником є характер дозрівання, за яким розрізняють:

Дозріваючі:

переважаючі з поверхні;

переважаючі зсередини;

дозрівають з цвіллю:

переважно на поверхні;

переважно всередині;

без дозрівання, або не дозріваючі.

Також одна із схем класифікації представляє усі сири у такому вигляді:

Тверді сири:

Група швейцарського сиру,

Група голландського сиру,

Група смоленського сиру,

Група чеддера.

М’які сири:

Група делікатесних сирів,

Група рок форда,

Група маденського сиру,

Група зарецького сиру,

Молочно - кислі сири.

М’які розсільні:

Група бринзи,

Група чанах,

Група сулу гуні,

Сир чечіл.

Перероблені:

Гордені сири,

Бурдючні сири,

Плавлені сири,

Вершкові сири,

Сири в керамічній тарі.

Існує і інша класифікація яку розробив З.Х. Дилонян [2], що поділяє сири беручі за основу якісний склад мікрофлори сиру під впливом якої він і набуває тієї чи іншої консистенції, фізико - хімічних показників та органолептики. За цією класифікацією сири поділяються на три групи: сичужні сири, молочнокислі сири та перероблені.

Сичужні сири.

Тверді сири.ири з високою температурою сирної маси.

Пресовані сири.

Самопресовані сири з чедеризацією та плавленням сирн. маси.

Сири з низькою температурою обробки сирної маси.

Пресовані сири.

Пресовані сири з повною або частковою чедеризацією сирної маси до формування.

Самопресовані сири з копченням сирої маси.

Безкоркові сири.

Самопресовані сири з дозріванням у розсольному середовищі.

Сири з чедеризацією сирної маси до формування.

Самопресовані сири що вживаються у свіжому вигляді.

Напівтверді сири(самопресуючі).

М’які сири.

Сири, що дозрівають під впливом сирного слизу молочнокислих та лужноутворюючих бактерій.

Сири, що дозрівають під впливом сирним слизом молочнокислих та лужноутворюючих бактерій та мікроскопічних грибів.

Сири, що дозрівають під впливом молочнокислих бактерій та мікроскопічних грибів.

Кисломолочні сири.

Свіжі сири.

Витримані сири.

Перероблені сири.

Плавлені.

Бурдючні, горшечні, у полімерній плівці.

Існує багато принципів класифікації сиру, які пропонують вітчизняні та заграничні вченні, у силу того, що важко одночасно відобразити широкий спектр параметрів та видів сиру, у силу різноманіття асортименту.

2. Характеристика та аналіз технології виробництва твердих сирів

Принципова технологічна схема виробництва сирів (Рис.2.1) включає в себе наступні етапи.

Підготовка молочної суміші: визначення сиропридатності молока, нормалізація за жирністю, введення дозрілого молока для створення певної кислотності, введення CaCl2 та азотистого калію.

Внесення закваски: активація та внесення у підготовлену молочну суміш спеціальних заквасок, з певними бактеріями.

Зсідання молока, розрізання згустку, постановка сирного зерна: процес вимішування який продовжується від моменту відділення сироватки, до другого нагрівання.

Друге нагрівання: в залежності від мікробіологічний процесів, що будуть відбуватися при дозріванні може бути низькою 38-42ОС і високою 48-58ОС, під час цього періоду збільшується склеюючи здатність сирної маси, тому її увесь час перемішують, щоб уникнути утворення грудочок сирного зерна.

Формування сирної маси: наливанням або з пласта.

Самопресування сиру: під дією власної ваги відбувається ущільнення внутрішніх шарів сиру.

Пресування: під дією спеціальних пресів, продовжується ущільнення структури сиру та відділення вологи.

Посол сиру: занурення у розсіл або обробка сухою сіллю, що суттєво впливає на колір, смак та консистенцію сиру, а також на процес визрівання сирного тіста, також збільшує строки зберігання продукту. Для соління використовують сіль дрібного помелу, не нижче першого ґатунку.

Рисунок 2.1 - Принципова технологічна схема виробництва сиру

Визрівання: процес, що супроводжується суттєвими фізико-хімічними та мікробіологічними змінами сиру, до набуття ним певних стадій готовності до реалізації.

Пакування та маркування сиру (сир можуть упаковувати у поліетиленові оболонки, або парафін, чи інші пакувальні матеріали)

2.1 Характеристика основної сировини

Основою для виробництва сиру є молоко від якості якого і залежать показники того чи іншого виду сиру. Тому на етапі прийомки молока слід приділити увагу на його сиро придатність. У молоці розрізняють істинні компоненти (ті що виділяються під час секреції молока), та не істинні (що потрапили у молоко із їжею або через повітря) які представлені антибіотиками, антисептиками, важкими металами, ізотопами радіонуклідів, пестицидами та іншими отруйними і небажаними домішками[3]. До складу молока входять ферменти: амілаза, пероксидаза, ліпаза, фосфатаза, ксантиноксидаза, та гормони: пролактин, окситоцин, андрогени, естрогени та ін.

У молоці 87-90% всієї маси займає вода, а на інші компоненти приходиться лише 10-13% (сухий залишок). Хімічний склад молока не є постійним, і залежить від сезону, харчування, місцевості, породи тварини, віку й місця утримування.

Вода молока. Молоко є диспергуючим середовищем і розчинником органічних та неорганічних речовин. Більшість води знаходиться у вільному стані (83-87%), менша частина у зв’язаному(3-3,5%).

Сухі речовини молока представлені білками, ліпідами, вуглеводами, мінеральними речовинами, ферментами, вітамінами та ін. Білки молока складають приблизно 2,6-3,6%. Їхня кількість та склад і фізико - хімічні властивості різноманітні (табл. 2.1).

Таблиця 2.1 - Характеристика молочного білку

Білок

Вміст у знежиреному молоці г/100мл

Молекулярна маса

Ізоєлектрична точка pHi

Казеїни

αs1-казеїн

1,2…1,5

≈23000

4,46…4,74

αs2-казеїн

0,3…0,4

≈25000

-

χ-казеїн

0,2…0,4

≈19000

5,45-5,77

β-казеїн

0,9…1,1

≈24000

4,83…5,07

Сироваткові білки

β-лактоглобулін

0,2…0,4

≈18000

5,1

α-лактоглобуліни

0,06…0,17

≈14000

4,2…4,5

альбуміни сироватки крові

0,04

≈66000

4,7…4,9

імуноглобуліни

0,04…0,09

150000…1000000

5,5…8,3

лактоферин

(2…35)*10-3

76500

-

Примітка: До білків слід також віднести ферменти та деякі гормони, а також білкові оболонки жирових кульок

Біологічні функції майже всіх білків молока добре вивчені, вони добре розщеплюються протеїназами організму людини навіть у нативному стані, тоді як зазвичай глобулярні білки набувають такої властивості тільки після денатурації. Казеїни є гарним джерелом магнію фосфору та кальцію, які знаходяться у співвідношеннях близьких для повного засвоєння організмом. Білки сироватки мають не менше значення. Імуноглобуліни є пасивними носіями імунітету, лактоферин та лізоцим є ферментами, та носять захисну функцію.

Ліпіди. Ліпіди молока в основному складаються з тригліцеридів (молочного жиру) і жироподібних речовин (фосфоліпідів, стреридів і ін.), що входять до складу оболонок. Молочний жир є енергетично цінним компонентом молока, крім того, він обумовлює певний смак і консистенцію молочних продуктів (сиру).

Молочний жир. Вміст жиру в молоці (молочного жиру) коливається від 2,7 до 4,5% (для молока корів). Основні компоненти жиру молока - ацилгліцериди (гліцериди), складають до маси жиру близько 98,5%. Вміст супроводжуючих жирам речовин (омилюваних і неомилюваних ліпідів або природних домішок) в ньому не великий і звичайно дорівнює менше 2%. Вони входять до складу ліпопротеїдних оболонок кульок жиру і частково пов'язані з білками молочної плазми.

Вуглеводи. Основним вуглеводом молока є лактоза. Моносахариди (глюкоза і галактоза) присутні в ньому в меншій кількості, олігосахариди - у вигляді слідів. Після видалення з молока жиру і білка залишається молочна сироватка, яка представляє собою істинний розчин лактози, а також водорозчинних вітамінів і мінеральних солей (в молоці частина лактози зв’язана з іншими вуглеводами і білками). Вміст лактози в молоці досить постійно і складає 4,5...5,2%. Він залежить від індивідуальних особливостей та фізіологічного стану тварин. Так, при зараженні корів маститом різко знижується концентрація лактози в молоці. Лактоза знаходиться головним чином у вигляді двох гідратних α і β-форм. Форми лактози розрізняються просторовим розташуванням ОН-груп по відношенню до першого атома вуглецю глюкози. β-Лактоза солодше α-лактози, володіє більшою розчинністю, кристалізується з розчинів при 
 температурі вище 93,5 °С. Із фізичних властивостей лактози найбільш важливими є розчинність і здатність до кристалізації. У пересичених розчинах молока лактоза легко кристалізується, утворюючи характерні кристали завдовжки 10...20 мкм, і більш великі (100... 150 нм) у сироватці. При температурі нижче 93,5 ° С вона виділяється з однією молекулою кристалізаційної         води в α-гідратній формі; при температурі вище 93,5 'С в безводній 
β-формі. Ферментативний гідроліз і глибокий розпад (бродіння) лактози проходять в молоці і сирній масі під впливом ферментів молочнокислих бактерій. Основним продуктом зброджування лактози є молочна кислота. Молочнокисле бродіння лактози - основний процес при виробництві сирів.

Макроелементи. Основними макроелементами є кальцій, фосфор, магній, калій, натрій і хлор. Вони знаходяться в молоці в більшості у вигляді солей фосфорної і лимонної кислот. Кальцій, магній і фосфор - це найбільш важливі макроелементи молока, які знаходяться в ньому в легкозасвоюваній формі і в добре збалансованих співвідношеннях. Вони мають виключно важливе фізіологічне і біохімічне значення для тварин і людини, особливо для новонароджених. Їх сполуки також грають велику роль в процесах переробки молока. Вміст кальцію коливається від 100 до 140 мг на 100 см3 молока. Воно залежить від раціонів годівлі, породи тварин, стадії лактації та пори року. Близько 22% всього кальцію міцно пов'язане з казеїном, остання кількість (78%) складають солі: фосфати - у вигляді Са3(Р04)2, СаНР04, Са(Н2Р04)2 і інших більш складних солей; цитрати - у вигляді 
 Саз(С6Н507)2, Са(С6Н607). Кальцій присутній в молоці в основному в колоїдній формі (30% - у вигляді колоїдного фосфату кальцію і близько 40% - у вигляді казеїнат-кальцій фосфатного комплексу). На частку істинного розчину приходиться близько 30% всього кальцію, з якого тільки 7... 10% іонізовано, що становить 7... 11,5 мг/см3. Співвідношення цих форм кальцію відіграє важливу роль у підтриманні певної міри дисперсності, гідратації білкових частинок, проходженні сичужного згортання, а також їх стабілізації при тепловій обробці. Нормальною концентрацією кальцію вважається величина рівна 120 мг/см3, якщо вона зменшується до 80 мг/см3, молоко стає «сичужнов’ялим» (при його концентрації понад 160 мг/см3 молоко легко згортається при підвищенні температури). Оптимальним вмістом кальцію в молоці для сироваріння вважається 125... 130 мг/см3. Кількість магнію в молоці становить 12... 14 мг%. Склад солей магнію аналогічний складу солей кальцію, але на частку солей, що знаходяться у вигляді істинного розчину, припадає 65... 70% магнію. Решта магнію входить до складу колоїдного фосфату магнію, а також пов'язана з казеїном. Солі калію і натрію містяться у вигляді істинного розчину - у вигляді добре дисоціюючих хлоридів, фосфатів і цитратів. Вони мають більше фізіологічне значення - створюють нормальний осмотичний тиск крові та молока, а також входять до складу буферних систем.

Мікроелементи. До мікроелементів, складовим в сумі 0,1% всіх 
 мінеральних речовин, належать: залізо (Ре), мідь (Сі), цинк (2п), марганець (Мп), кобальт (Со), йод (I), молібден (Мо), фтор (Р), алюміній(А1), кремній (Si), селен (Se), олово (Sn), хром (Сг), свинець (РЬ) тощо. Мікроелементи молока умовно можна поділити на «природні», тобто надійшли в молоко з клітин молочної залози корови, і «внесені», тобто потрапили в молоко з поверхні тари і обладнання.[3] Більшість мікроелементів мають величезне фізіологічне значення для новонародженого теляти і обумовлюють в значній мірі харчову і біологічну цінність молока для людини. Вони забезпечують побудову та активність життєво важливих ферментів, вітамінів і гормонів. Молочнокислі бактерії, що входять до складу бактеріальних заквасок, чутливі до вмісту деяких мікроелементів в молоці (Fe, Мn, Co та ін). Однак забруднення молока міддю, залізом, оловом, цинком і особливо свинцем, ртуттю, кадмієм та миш'яком становить загрозу для здоров’я людини. Тому їх вміст у молоці обмежений гранично допустимими рівнями.

Ферменти. В молоці є нативні (істинні) ферменти, потрапляють в нього з секреторних клітин молочної залози або безпосередньо переходять з крові. Із молока, отриманого від здорових тварин при нормальних умовах їх утримання, виділено понад 20 нативних ферментів різних класів (оксидоредуктаз, трансфераз, гідролаз, ліаз і ін.). Крім нативних ферментів в молоці містяться численні мікробні ферменти, синтезовані мікрофлорою, що потрапляє в молоко з повітря і інших джерел у процесі отримання, зберігання і транспортування, а також у складі бактеріальних заквасок[3]. Ферменти, що зустрічаються в молоці і молочних продуктах, мають велике практичне значення. Так, деякі ферменти можуть викликати глибокі зміни складових частин молока під час зберігання з появою різних вад смаку і запаху. Розпад ліпідів, білків, зброджування вуглеводів при виробництві сирів відбувається під дією цілого ряду ліполітичних, протеолітичних, окисно-відновних та інших ферментів.

Вітаміни. У молоці містяться практично всі вітаміни, необхідні для нормального розвитку новонародженого в перші тижні і подальшої його життєдіяльності. Більшість вітамінів надходить в організм тварини з кормом і синтезується мікрофлорою. Вміст вітамінів у сирому молоці залежить від кормових раціонів, пори року, фізіологічного стану, породи та індивідуальних особливостей тварини. При цьому залежність вмісту вітамінів від складу кормів більшою мірою характерна для жиророзчинних вітамінів, ніж для водорозчинних. Останні можуть синтезуватися мікрофлорою рубця корови. Вміст деяких вітамінів в молоці змінюється при його транспортуванні, зберіганні і тепловій обробці.

В сирах виявляється велика частина присутніх у молоці жиророзчинних вітамінів і значна кількість водорозчинних вітамінів (останні у великій кількості залишаються в сироватці).

На (рис.2.2) зображена технологічна схема підготовки молока до виробництва сиру.

Рисунок 2.2

2.2 Технологія виробництва твердих сирів з високою температурою обробки сирної маси

У групу сирів з високою температурою обробки сирної маси входять: радянський, швейцарський, швейцарський блоковий, алтайський, кубанський, український, карпатський, бійський, гірський, московський, бурштиновий та інші. Основними чинниками, що визначають видові ознаки сирів цієї групи, є наступні:

• застосування бактеріальних заквасок, що складаються з мезофільних (для окремих видів) і термофільних молочнокислих стрептококів і молочнокислих паличок;

• застосування чистих культур пропіоновокислих бактерій і активне 
 пропіоновокисле бродіння при дозріванні сирів;

• температура другого нагрівання 47... 58 ° С в залежності від виду сиру 
 і здатності зерна до зневоднення;

• знижена після пресування вологість сиру (38... 42%);

• певний рівень рН (активної кислотності) сирної маси на кожному етапі дозрівання:

5,50... 5,80 - в сирі після пресування,

5,30... 5,35 - в тридобовий,

5,50... 5,70 - в зрілому.

• знижений вміст в сирах кухонної солі (1,2... 1,8%);

• застосування в процесі дозрівання декількох температурних режимів:10... 12 °С; 17... 18 °С; 22... 25 оС.

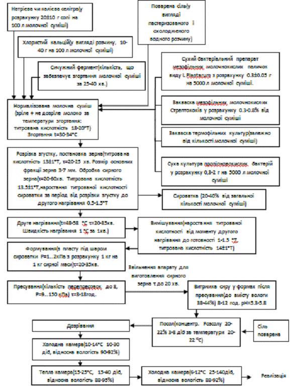
Загальна технологія виробництва сирів із високою температурою обробки сирної маси представлена на технологічній схемі, що наведена нижче (Рис.2.3) яка характеризує узагальнений регламент технологічних параметрів виробництва.

Рисунок 2.3 - Принципова технологічна схема виробництва сирів з високою температурою сирної маси

Таблиця 2.2 - Технологічні параметри виробництва сиру

Підготовка суміші

Доза нітрату калію або натрію(г/100кг.) що вноситься при необхідності

20±10

Кислотність суміші перед згортанням титрована активна

19±1 6.55±0.05

Згортання молока, отримання згустку, постановка і обробка зерна

Тривалість розрізки згустку та постановки зерна(хв.)

20±5

Швидкість наростання температури (оС/хв.)

1

Температура води, що вноситься при другому нагрівання

50±10

Титрована кислотність сироватки,оТ не вище: після розрізки згустку перед другим нагріванням у кінці обробки зерна

13.0±1 13.5±1 14.0±1

Активна кислотність сироватки рН Після розрізки згустку Перед другим нагріванням У кінці обробки зерна

6.45±0.1 6.4±0.1 6.35±0.1


Загальні технологічні параметри виробництва сирів з високою температурою обробки сирної маси представлені в (табл.2.2)

При виявленні небажаної для сироваріння мікрофлори в молоці застосовують кілька способів боротьби з нею. При зараженні молока газоутворюючими мікробами (бактеріями групи кишкової палички) хороші результати виходять при внесенні до нього хімічно чистої калієвої або натрієвої селітри (нітрату калію або натрію), яка попереджає спучування сиру, що викликається кишковими паличками. Сутність дії селітри полягає в тому, що кишкові палички (належать до факультативних анаеробів) при наявності в середовищі молекулярного кисню О2 викликають повне окиснення молочного цукру до діоксиду вуглецю і води, а за відсутності кисню вони розщеплюють деякі вуглеводи та інші сполуки. При цьому утворюються молочна, янтарна і оцтова кислоти, а також етиловий спирт, діоксид вуглецю і водень. Селітру додають у вигляді розчину перед заквашуванням молока в кількості до 30 г на 100 кг молока. Розчин селітри перед вживанням необхідно прокип'ятити, для виключення попадання в молоко сторонньої мікрофлори. Для визначення необхідності внесення селітри рекомендується паралельно з бродильною пробою проводити пробу на наявність в молоці маслянокислих бактерій, які дуже небезпечні для сироваріння, особливо при виробленні великих сирів, так як викликають спучування і можуть призвести до утворення рваного згустку зі значними виділенням сироватки. При наявності шкідливої мікрофлори, а іноді і в профілактичних цілях, в суміш перед згортанням вносять водний розчин нітрату калію або натрію. З профілактичними цілями при виробництві сирів з високою температурою другого нагрівання також використовують закваски зі штамами Lactobacillus plantarum, що надають антагоністичну дію на збудників маслянокислого бродіння в сирі.

Основні технологічні операції вироблення сирів з високою температурою сирної маси, їх мета і сутність викладені в (табл. 2.3)

Таблиця.2.3 - Аналіз процесу виготовлення сиру

№№

Технологічна операція

Ціль

Сутність операцій

11

Підготовка молока

Підготовка молока до виробництва сиру

Нормалізація за жирністю, у урахуванням вмісту білка, введення нітратів, та хлориду кальцію

2

Згортання молока

Отримання згустку

Згортання білків молока сичужним ферментом

33

Розрізка згустку

Отримання сирного зерна

Механічна розрізка згустку лірами(ручна) на стовбці 2х2см

44

Постановка зерна

Отримання сирного зерна однакового розміру для подальшої обробки з утворенням мінімальної кількості сирного пилу

Розрізання та дроблення згустку на шматочки 3…7см.

55

Вимішування сирного зерна

Розвиток у сирному зерні молочнокислого процесу, набування зерном специфічної сухості та твердості

Вимішування сирної маси мішалками зі швидкістю достатньою для не злипання сирних зерен та їх осадження на дно

66

Друге нагрівання

Подальше зневоднення сирного зерна

При повільному зневодненні температуру підвищують(зменшують)

77

Вимішування сирного зерна

Набування сирним зерном потрібної пружності, міцності та клейкості

Вимішування сирної маси мішалками зі швидкістю достатньою для не злипання сирних зерен та їх осадження на дно

88

Формування сирної маси

відділення сирного зерна від сироватки і утворення з нього монолітних індивідуальних сирних головок або блоків

Подача сирного зерна, витриманого з сіллю, спеціальними насосами, до вібраційних сит, для відділення сироватки, звідки сирну масу направляють у форми попередньо вимощені серп’янкою.

99

Пресування

Видалення залишків сироватки, замикання поверхні головки сиру

Ущільнення структури за рахунок пресування сиру

110

Посол

Формування органолептичних показників, регулювання біохімічних процесів у сирному тісті

Занурення сирних головок у розсіл або проведення посолу у сирному зерні чи тісті.

111

Підготовка до нанесення покриття та дозрівання

Зменшення бактеріального обсіменіння, та відбір неприродного до пакування сиру

Мийка, обсушка, обробка фунгіцидними препаратами

112

Покриття головок сиру

Пригнічення аеробної мікрофлори на поверхні кірки

Створення умов для анаеробних процесів дозрівання сиру

113

Визрівання

Формування органолептичних показників

Витримка сиру у спеціальних приміщеннях за певних температурних режимів

114

Упаковка сиру

Попередження забруднення та мікробіологічної порчі

Упаковка головок та нанесення на них характеристик виробу

3. Підготовка молока до вироблення сиру

.1 Резервування молока

Резервування молока полягає в зберіганні його при температурі від 2 до 6 ° С не більше 24 годин після доїння, очищення і охолодження. Для цієї мети в місцях резервування повинні бути встановлені резервуари, сепаратори - молоко очищувачі, охолоджувачі. Резервування молока забезпечує ритмічність виробництва, дозволяє здійснювати доставку молока в певний час, організувати правильну переробку його на заводі.

Дозрівання молока

Оптимальним режимом дозрівання молока для сироваріння є витримка його при температурі 10 ± 2 ОС протягом 12 ± 2 годин. У процесі дозрівання змінюються фізико-хімічні та технологічні властивості молока (збільшується кількість розчинних азотистих речовин, знижується окислювально-відновний потенціал і т.д.). Все це робить позитивний вплив на сичужне згортання молока, розвиток мікробіологічних і біохімічних процесів і його якість.

Теплова обробка молока

Від механічних домішок молоко очищають у відцентрових молокоочистниках. Найбільший ефект в сепараторах спостерігається при обробці підігрітого до 35-40 °С молока. Теплову обробку молока проводять для знищення технічно шкідливої для сироваріння і патогенної мікрофлори, вірусів і бактеріофагів а також для очищення його соматичних клітин. Оптимальним режимом пастеризації молока в сироваріння є нагрівання його до температури від 90 до 92 °С з витримкою від 20 до 25 ° С. Молоко пастеризують безпосередньо перед переробкою на сир.

Нормалізація молока

Для отримання стандартних по масовій частці жиру сирів, молоко необхідно нормалізувати, тобто встановити в молочній суміші для вироблення сиру певну масову частку жиру. Нормалізацію молока проводять у потоці за допомогою сепаратора-нормалізатора. Після заповнення сировиготовлювачів в молоці ще раз перевіряють масову частку жиру і остаточно регулюють її, додаючи пастеризоване знежирене молоко або вершки.

3.2 Підготовка молока до згортання

Внесення в молоко хлористого кальцію

При пастеризації молока частина солей кальцію переходить з розчинного в нерозчинний стан. Це супроводжується погіршенням сичужний згортання молока і отриманням більш в'ялого, нетривкого згустку. Для усунення цих недоліків у молоко додають розчин хлористого кальцію з розрахунку від 10 до 40г безводної солі на 100 кг молока. Для приготування розчину хлористого кальцію використовують воду з температурою 85 ± 5 °С з розрахунку 1,5 м3 на 1 кг солі. Перед застосуванням розчину дають відстоятися, після чого він повинен бути прозорим і безбарвним. Використовувати хлористий кальцій у вигляді сухої солі або свіжо виготовленого не відстояв розчину, забороняється. Зберігають готовий розчин у закритому скляному, керамічному або з нержавіючої сталі посуді. Суху сіль хлористого кальцію через її велику волого поглинаючу здатність зберігають на заводі в герметично закритій тарі.

Внесення в молоко калію або натрію азотнокислого

Для придушення розвитку шкідливої газоутворюючих мікрофлори (бактерій групи кишкових паличок і маслянокислих бактерій) у разі необхідності в молоко допускається вносити розчин калію або натрію азотнокислого з розрахунку 20 ± 10 г солі на 100 кг молока. Для приготування розчину калію або натрію азотнокислого використовують воду з температурою 85 ± 5 ° С з розрахунку 1дм3 на 150 ± 50 г солі. Допускається внесення в молоко калію або натрію азотнокислого у вигляді сухої солі. Для цього потрібне кількість солі поміщають в двох-тришаровий марлевий мішечок, який прив'язують до мішалці або на патрубок під струмінь подається молока.

Застосування бактеріальних заквасок

Необхідним елементом виробництва сирів є молочнокислі бактерії, що вносяться в молоко для вироблення сиру у вигляді спеціально підібраних і підготовлених комбінацій. Молочнокислі бактерії виконують в сирі наступні функції:

перетворять основні компоненти молока (лактозу, жир) в сполуки, що обумовлюють смакові і ароматичні властивості сиру, його поживну та біологічну цінність;

активізують дію молокозсідальних ферментів і стимулюють синерезис сичугового згустку;

беруть участь у формуванні малюнка сиру та його консистенції; створюють несприятливі умови для розвитку сторонньої мікрофлори Для згортання молока використовують мезофільні молочнокислі палички          (L. plantarum, L. casei), що мають специфічну антогоністичну дію на маслянокислі бактерії, колібактерії патогенну мікрофлору. При виробництва сирів з високою температурою другого нагрівання, необхідним компонентом заквасок є молочнокислі бактерії (Str. thermophilus, L. helveticum, L. lactis). У формуванні смаку та аромату, малюнку сиру цієї групи приймають участь пропіоновокислі бактерії. Їх також додають до скалу заквасок цієї групи. Бактеріальні закваски до використання зберігають у холодильнику (в морозильній камері або під морозильною камерою), не допускаючи різких перепадів температури. Термін придатності сухих заквасок при температурі не вище 5 ° С - від 3 до 4 місяців.

Згортання молока

Кількість молокозсідального препарату, необхідного для згортання молока, має бути мінімальним, але забезпечувати отримання згустку в заданий час (30-35 хв). Якщо показання приладу для сичужної проби молока свідчить про зниження здатності молока до згортання, то потрібно збільшити в допустимих межах дозу хлористого кальцію і бактеріальної закваски, підвищити температуру згортання, збільшити дозу молокозсідальної препарату при цьому не рекомендується. Молокозгортуючий препарат вносять у молоко у вигляді розчину, приготованого за 25 хв до використання. Потрібну кількість ферментного препарату розчиняють в пастеризованої і охолодженою до температури 34 ° С воді з розрахунку 2,5 г препарату на 100 мл воли. Суміш готують на згортання 100 л натурального молока. Після внесення молокозсідального препарату молоко ретельно перемішують протягом 6 хв. і потім залишають у спокої до утворення згустку. Тривалість згортання молока при виробленні твердих сичужних сирів повинна становити 30 хв. Готовність згустку визначають загальноприйнятим способом на злам. Він повинен давати на зламі досить гострі краї з виділенням прозорої сироватки зеленувато-жовтого кольору. Надто ніжний або занадто щільний згусток однаково не бажані для різання. У тому і іншому випадку утруднюється постановка однорідного за розмірами зерна, при цьому утворюється багато сирної пилу (дуже дрібних частинок згустку), що знижує вихід сиру і негативно відбивається на його якості.

3.3 Розрізання згустку і постановка зерна

Мета обробки сичугового згустку (різка. дроблення, друге нагрівання, обсушування) - видалити зайву сироватку з сирної маси, досягти оптимальної вологості та оптимальної активної кислотності. Готовий згусток ріжуть спеціальними ножами на кубики розміром (8-10) мм або ріжуть і дроблять на зерно до розмірів (7 ± 1) мм. Титрована кислотність сироватки після розрізання повинна бути в межах від 13 ° Т до 14 ° Т. Розрізку згустку і постановку зерна проводять протягом 15-20 хв. Різку згустку і постановку зерна виробляють повільно обережно, не допускаючи утворення дрібних частинок білка, так починається сирної пилу. Після постановки зерна видаляють 20-30% сироватки і приступають до вимішування (15 хв).

Відбір сироватки.

У процесі постановки зерна, коли виділиться достатня кількість сироватки, вимішування припиняють, очищають стінки ванни від залишився приліпший згустку і видаляють частину сироватки: для сирів з високою температурою другого нагрівання - 15 ± 5% від початкового кількості перероблюваної молока. Перед другим нагріванням допускається видалення ще деякої частини сироватки (від початкового кількості молока): 15 ± 5% - для сирів з високою температурою другого нагрівання. Допускається проводити відбір сироватки в один прийом. У цьому випадку його проводять через 15 ± 5 хв обов'язкового вимішування після постановки зерна.

Вимішування зерна.

Зерно вимішують до певної міри пружності, кінець вимішування визначають за ступенем ущільнення зерна і наростання титрованої кислотності сироватки. Загальна тривалість процесу від початку розрізання до другого нагрівання складає в середньому для сирів з високою температурою другого нагрівання - 60 ± 10 хв. Зерно, добре підготовлене до другого нагрівання, характеризується пружністю, втратою первісної клейкості. Злегка стисле в грудку, вона продавлюється між пальцями. При нормальному перебігу молочнокислого процесу при вимішування зерна наростання кислотності сироватки становить 1 ± 0,5 ° Т для сирів з високою температурою другого нагрівання. При накопиченні молочної кислоти, окрім зниження електричного заряду білків, відбувається втрата кальцію з казеїнових міцел. Втрата кальцію надає значний вплив на консистенцію сиру. При недостатньому відщепленні кальцію сир може придбати занадто зв'язну тверду консистенцію, а при значному відбувається зайве зниження в'язкості сирної маси.

Друге нагрівання.

Друге нагрівання проводиться з метою подальшого зневоднення сирного зерна. Температура і тривалість другого нагрівання роблять значний вплив на мікробіологічні та біохімічні процеси в сирі, а отже, на формування органолептичних показників готового продукту. Для окремих видів сирів установлениі наступні температури другого нагрівання, ° С:

для радянського - 52-55;

гірського - 48-52;

алтайського - 50-54;

бійського - 50-52.

Тривалість другого нагрівання для сирів з високою температурою другого нагрівання становить 25 ± 5 хв. Під час другого нагрівання не рекомендується проводити відбір сироватки. Після другого нагрівання продовжують вимішування сирного зерна до готовності. В кінці вимішування зерно повинно бути пружним і в міру клейким. При цьому кислотність сироватки в кінці вимішування для сирів з високою температурою обробки сирої маси не повинна перевищувати 14 ° Т. Готове сирне зерно при стисненні в руці має склеюватися в моноліт, який при розтиранні між долонями розпадається на окремі зерна. Для попередження зайвого розвитку молочнокислого процесу в сирі на початку другого нагрівання в суміш зерна з сироваткою вносять 3-15% питної води. В процесі обробки, другого нагрівання і обсушування зерна 2-3 рази визначають кислотність сироватки, яка повинна збільшитися за цей час на 1 -2,5 ° Т. Частковий підсіл в зерні проводять під час другого нагрівання або відразу після закінчення другого нагрівання, для чого в суміш зерна з сироваткою вносять поварену сіль «Екстра» з розрахунку 300-400 г на 100 кг молока.

3.4 Формування сирної маси

Формування сиру - це сукупність технологічних операцій, спрямованих на відділення сирного зерна від сироватки і утворення з нього монолітних індивідуальних сирних головок або блоків з необхідної формою, розміром і масою. Застосовують в основному три основі способи формування сиру: з пласту, насипом, наливом. Після 20 хв. витримки з сіллю зерно насосом (з сирних ванн) подають на вібраційне сито (лоток) для видалення сироватки. З бункера вібратора зерно надходить безпосередньо у встановлені на транспорті сирні форми, попередньо вистелені вологою чистою серп’янкою або міткалем. У формах зерно ущільнюють, серп’янку розправляють, натягують, кінці її акуратно поміщають на поверхні сиру. Форми з ущільненим зерном переміщують до пресів. Вібраційне сито повинно знаходитися в пресувального приміщенні близько пресів, а сирне зерно подають до них насосом. Застосування насосів і вібратора забезпечує проточність виробництва. При цьому прискориться відділення сироватки від терну без пониження його температури і без затримки розвитку молочнокислого процесу. Формування сирного зерна насипом сприяє утворенню характерного для цього виду сиру пустотного, нерівномірного, незграбного і щілистого малюнка. Порожнечі, що залишилися між зернами, після видалення сироватки заповнюються повітрям, а в подальшому газом, що викликає утворення вічок різних розмірів і форми.

Пресування сирної маси

Після формування зазвичай сири пресують, або відбувається їх самопресування під вагою верхніх шарів. Пресування і самопресування необхідно для подальшого закріплення форми сиру, щільного з'єднання зерен в суцільний моноліт, для видалення механічно захопленої сироватки та створення щільної замкнутої поверхні. Наповнені зерном форми залишають на протязі 30-60 хвилин для самопресування маси. Після закінчення даного часу сир ставлять під прес. Тиск протягом першої години пресування має становити 10кПа. Після закінчення години сир перепресовують, віджимаючи серп’янку, і маркують цифрами, поміщаючи їх в центрі верхнього полотна сиру (дата вироблення), потім у форму поміщають металевий диск і знову ставлять під прес. Так як тиск діє в основному на нижні шари, то верхні шари залишаються мало ущільненими. Тому сири необхідно перепрессовувати і перевертати. Тривалість пресування сиру становить від 2 до 7 годин при поступовому підвищенні тиску від 10кПа до 35 кПа. Тривалість процесу самопресування і пресування сиру визначається, перш за все, досягненням активної кислотності в сирі після пресування в межах від 5,2 - 5,3 рН. Відпресований сир повинен мати добре замкнуту поверхню. Оптимальна масова частка вологи в сирі після пресування 44-45%.

3.5 Посол сиру

Мета посолу сиру надання йому відповідного смаку і збереження продукту від швидкого перезрівання і псування. Сіль є до деякої міри регулятором розвитку молочнокислих, пропіоновокислих та інших бактерій, що беруть участь у дозріванні сирів. Частковий посол сирної маси в процесі другого нагрівання підвищує гідрофільність зерна і вміст вологи в сирній масі на 2-3%, яка утримується на наступних стадіях обробки. Посол сиру в насиченому розсолі призводить до втрат вологи в сирах з низькою температурою другого нагрівання і усушка становить до 4-5% до первісного вазі сиру. Сіль впливає на розвиток бактерій в сирній масі і може вплинути на процес дозрівання сиру. Відпресований сир поміщають в розсіл концентрацією від 18 до 24% і до осаджують на протязі (2-4) діб, щоб вміст солі в зрілому сирі становило 1,5 ± 0,5%. Температура розсолу (8-12) °С. Додатковий посол в ропі сприятливо впливає на ущільнення поверхневого шару і сприяє якнайшвидшому утворенню скоринки сиру, а також знижує температуру сирної маси, що оберігає сир від деформації при його подальшій витримці в сиро сховищі на дозріванні. Сир розміщують в басейнах на спеціальних етажерках. При відсутності посолочних етажер сир розміщують в басейнах в 1-2 ряди і через добу перевертають. Верхнє полотно сиру, виступаюче з розсолу, накривають вологою тканиною, щоб запобігти появі тріщин на кірці. У процесі посолу сиру і подальшого догляду за ними в сиро сховищі не можна допускати пошкодження кірки сирів, так як при появі навіть незначних тріщин та інших пошкоджень починає розвиватися підкіркова цвіль, а отже, зниження якості сиру. Перед зануренням в розсіл, необхідно ретельно оглянути поверхню сиру і при виявленні незамкнутих пір (недопресування), порушення цілісності, при наявності тріщин та інших пошкоджень загорнути сир в серветку і знову помістити під прес на 2-3години. При необхідності для кращої пресування сиру рекомендується поверхню його нагрівати, занурюючи його на 2-3хв у воду з температурою 75-80 °С. Повний посол сирної маси розсолом у ванні в зерні здійснюється за наступною схемою. Перед посолом видаляють з ванни сироватку, залишаючи їй близько 40% від загального обсягу ванни. Сіль вносять у вигляді концентрованого попередньо пастеризованого до 85-90 ° С і охолодженого розсолу з розрахунку 1-1,2 кг на центнер суміші та забезпечення утримання солі в зрілому сирі в межах (1.5 ± 0.5)%. В подальшому після посолу сир обсушують 2-3 доби в сиро сховищі при температурі 8-12 ° С і відносній вологості повітря від 90% до 95%. Щоб не допустити деформації, його періодично перевертають. Після обсушування сир упаковують в плівку і перемішають для дозрівання в камери з температурою 10-15 ° С відносною вологістю повітря 85-90%. Дозрівання протікає 30 діб з дня виготовлення. При підсолі сиру сіль накопичується спочатку тільки в периферійних шарах сиру і поступово проникає в центр. Концентрацію і якість розсолу необхідно ретельно контролювати. Для визначення концентрації достатньо знайти щільність розсолу за допомогою ареометра. У міру використання розсолу його кислотність підвищується внаслідок виділення з сиру сироватки. Одночасно він збагачується молочним цукром, солями і в невеликій мірі білками. Підвищена кислотність розсолу негативно діє на утворення кірки (вона стає менш міцною), тому необхідно час від часу знижувати кислотність розсолу, додаючи крейда чи вапно. Концентрація розсолу починає зменшуватися з моменту занурення в нього свіжих сирів, це пояснюється тим, що під впливом різниці концентрацій солі в розсолі і сирної вологи, з свіжих сирів виділяється велика кількість сироватки, яка знижує концентрацію розсолу, особливо верхніх шарів. Температура солильних приміщень і самого розсолу повинна бути в межах 8-12 С. відносна вологість повітря 92-96%.

3.6 Дозрівання сиру

Сутність дозрівання сиру полягає в тому, що в період витримки його сирна маса під дією сичужного ферменту, ферментів, виділених молочнокислими бактеріями, піддається глибоким біохімічним перетворенням, яке обумовлює появу в сирі специфічного смаку та аромату, структури, кольору, малюнка. При дозріванні сиру змінюються колоїдно-хімічні та фізичні властивості складових частин сирної маси: білка, жиру, вуглеводів, мінеральних солей і т. д. Найбільшим змінам піддаються білки, молочний цукор і лимонна кислота. У процесі дозрівання частина нерозчинного білка свіжого сиру під впливом бактеріальних ферментів розщеплюється на пептони, пептиди, амінокислоти та інші розчинні речовини, що додають смак сиру. Смак і запах сиру обумовлюється розпадом білків (казеїну), молочного цукру та інших складових частин (молочнокислого кальцію, лимонної кислоти тощо) і накопиченням в сирній масі розчинних і летких речовин - амінокислот, жирних кислот, пропіонової, молочної, оцтової кислоти, аміаку, ефіру та інших речовин. Після посолу сир переміщають у відділення сиро сховища з температурою 8-12 ° С, відносною вологістю повітря 90-95%, де він обсушується від двох до трьох діб. У цей час ретельно стежать за тим, щоб у приміщенні не було протягів або посиленої вентиляції, щоб не допустити зайвого обсихання поверхневого шару сиру і появи на його шкірці дрібних тріщин, що призводять в подальшому до розвитку підкіркової плісняви. У камерах обсушування сиру не можна допускати обсіменіння спорами цвілі, що веде до розвитку цвілі на поверхні сиру і в підкірковому шарі. У приміщеннях повинен бути чотириразовий обмін повітря з механічною та біологічною фільтрації, що запобігає розвитку цвілі. Температуру у них необхідно підтримувати тільки подаючи в камери за допомогою кондиціонерів попередньо осушене повітря.

Охолодження сиро сховищ за допомогою батарей не бажано, бо при цьому підвищується вологість повітря, що негативно впливає на якість сиру. У міру появи на сирах цвілі або слизу їх миють у теплій воді при температурі 35 ° С.Через 2-3 доби сир упаковують у полімерну плівку. Перед упаковкою сир ретельно обмивають суспензією сорбінової кислоти. В охолоджений, відстояний розсіл додають сорбінову кислоту з розрахунку 80г на 1л розсолу. При дозріванні сирів в плівці значно знижуються витрати праці по догляду і скорочуються втрати продукту. Тому сир, який підлягає дозріванню в полімерних плівках рекомендується виробляти із зниженою на 2,0% масовою часткою вологи після пресування в порівнянні з сирами, що дозрівають без плівки. Сир, що підлягає упаковці, повинен мати суху, чисту поверхню без цвілі і слизу та без будь-яких пошкоджень. Для запобігання конденсації вологи на поверхні сирів температура в пакувальному приміщенні не повинна перевищувати температуру в камерах дозрівання сиру. Якщо упаковку проводять при кімнатній температурі, то сири попередньо витримують в пакувальному приміщенні на протязі (2 ± 0,5) годин, упаковку сиру в пакети з полімерної плівки проводять на спеціальних вакуум-пакувальних машинах різних конструкцій відповідно до інструкції з їх експлуатації. При упаковці сиру під вакуумом, з пакету повинно бути повністю видалено повітря і забезпечена його герметизація шляхом термозварювання або затиснення металевих кліпс. При використанні пакетів з повіденової плівки після упаковки сиру проводять термообробку плівки - упакований сир занурюють у гарячу воду з температурою 80-85 ° С. Під впливом високої температури плівка дає усадку і щільно прилягає до поверхні сиру. Для приведення термообробки пакетів з сиром рекомендується використовувати спеціальні пристрої або пристосування, що виключають можливість пошкодження пакета. Упаковка вважається задовільною, якщо плівка щільно облягає сир, між нею і поверхнею сиру не утворюється видимого повітряного простору та при легкому натисканні під кутом 30 до поверхні сиру плівка не рухається. Не допускається перевірка якості упаковки шляхом відтягування плівки від поверхні сиру щоб уникнути розриву пакету. Упакований в полімерну плівку сир дозріває в камері з температурою (10-15) °С, і відносною вологістю повітря (85-90)% протягом 30 діб з дня вироблення. Під час дозрівання упакованих сирів стежать за тим, щоб вчасно виявити порушення герметизації пакетів, що супроводжується розвитком на сирах поверхневої мікрофлори. Такі сири відразу ж повинні бути піддані мийки, тепловій обробці і після обсушування їх повторно упаковують в плівку.

3.7 Зберігання сирів

Зберігання сирів здійснюється при температурі від -4 до 0 ° С і відносній вологості повітря 85-90 % або при температурі від 0-8 ° С і відносній вологості повітря 80-85 %. Якість сиру перевіряється не рідше, ніж один раз на 30 діб. За результатами цих перевірок виносять рішення про можливість подальшого зберігання сирів без зниження їх бальної оцінки. Сири повинні зберігатися на стелажах або упакованими в тару, покладену штабелями на рейках. Між складеними штабелями залишають прохід шириною 0,5 м, причому торці тари з маркуванням на них повинні бути звернені до проходу. Зберігання сиру спільно з рибою, копченостями, фруктами, овочами та іншими харчовими продуктами зі специфічним запахом в одній камері не допускається. Терміни зберігання і придатності сиру слід відраховувати від дати видачі посвідчення про якість. Сир зберігається три місяці при температурі (0-8) ° С і чотири з половиною місяці і при температурі (-4-0) ° С

Сортування

Сири, які досягли кондиційної зрілості (термін дозрівання обчислюється з дня вироблення), перед відправкою з заводу попередньо розсортовують по датам виробітку, номерам варок і оцінюють за якістю. Сортування зрілого сиру виробляють за зовнішнім виглядом, за результатами простукування і органолептичної оцінки проби сиру, взятої щупом. Сортування, огляд та оцінку якості сиру проводить технолог підприємства, що відправляє сир. Органолептична оцінка сиру проводиться при температурі продукту (18 +2) ° С у відповідності з вимогами нормативної документації на даний вид сиру

Маркування

На кожній головці або бруску сиру повинні бути зазначені: дата вироблення (число, місяць), номер варіння сиру (цифри розташовуються в центрі верхнього полотна головки або бруска сиру) шляхом опресування в тісто сиру казеїнових або пластмасових цифр або відбитка металевих цифр, дозволених до застосування органами Держсанепідемнагляду. На одну з торцевих сторін тари з сиром незмивною фарбою за допомогою трафарету або шляхом наклеювання етикетки наносять маркування з позначеннями:

найменування сиру,

найменування підприємства-виробника, складу сиру;

масової частки жиру в сухій речовині у відсотках;

номери варіння і дати вироблення;

маси нетто;

маси брутто;

кількість пакувальних одиниць в ящику;

умов зберігання;

терміну придатності;

інформації про сертифікацію;

позначення цих технічних умов, харчової та енергетичної цінності продукту;

маніпуляційний знак "Берегти від нагрівання»

3.8 Упаковка

Сир відвантажують з підприємства-виробника в пакувальному вигляді. Зрілі сири повинні бути упаковані в дощаті ящики. Для реалізації сиру всередині області, краю або республіки, в яких вони вироблені, і для іногородніх перевезень допускається пакування сирів в картонні ящики, що відповідають вимогам нормативної документації. Сири, відібрані для упаковки, зважують, в супровідній документації записують масу тари, масу нетто, брутто і кількість сирів. Перед пакуванням сиру в дерев'яну тару його загортають в обгортковий папір, пергамент. У кожний ящик поміщають сири одного найменування, сорту, однієї дати вироблення і одного номера варіння. Допускається пакування сирів різних дат вироблення в один ящик з маркуванням «збірний». Тара для упаковки сирів повинна бути чистою, що не має сторонніх запахів, впливають па якість продукції. Вологість деревини повинна бути не більше 20%, цвіль на дощечках і планках не допускається. Стороння червоточина і смоляні кишеньки допускаються тільки на зовнішній стороні тари.

Маса нетто та допустимі відхили для пакувальної одиниці зазначені у (табл. 3.1).

Таблиця 3.1 - Маса нетто та допустимі відхили для пакувальної одиниці

Номінальне значення кількості в паковальній одиниці, г

Значення границі допустимого відхилення від номінального значення


%

г

Від 15 до 50 включ.

9,0%

-

Понад 50 до 100 включ.

-

4,5

» 100 » 200 »

4,5

-

» 200 » 300 »

-

9,0

» 300 » 500 »

3,0

-

» 500 » 1000 »

-

15,0

» 1000 » 5000 »

1,5

-

4. Моделювання технологічної схеми виробництва сирів з високою температурою обробки сирної маси

Параметричне моделювання (параметризація) - моделювання (проектування) з використанням параметрів елементів моделі і співвідношень між цими параметрами. Параметризація дозволяє за короткий час «програти» (за допомогою зміни параметрів або геометричних співвідношень) різні конструктивні схеми і уникнути принципових помилок.

Чорний ящик - термін, що використовується в точних науках (зокрема, системотехніці, кібернетиці та фізики) для позначення системи, механізм роботи якої дуже складний, невідомий або неважливий в рамках даної задачі. Такі системи зазвичай мають певний «вхід» для введення інформації і «вихід» для відображення результатів роботи. Стан виходів зазвичай функціонально залежить від стану входів і т.д.

Чорний ящик процесу згортання молока (рис. 4.1) дає можливість охарактеризувати дану технологічну операцію з боку впливу певних параметрів на цеп процес.

Така параметрична модель показує:

вплив вхідних параметрів, таких як: активна та титрована кислотність, хімічний склад молока, його сиро придатність та мікробіологічна забрудненість на хід процесу згортання молочної суміші та отримання згустку;

вплив керованих параметрів, саме від яких залежить якість вихідного продукту, таких як тривалість процесу згортання, його температурний режим та характер дії ферментних препаратів;

вплив не керованих параметрів, таких як вид худоби і мінеральний склад молока.

Оперуючи даними параметрами, ми можемо вести процес згортання молока, або будь-який інший процес, знаючи всі важелі контролю відповідно так, щоб задовольнити вихідні параметри параметричної моделі. Тобто, підготувавши молоко до згортання, а саме визначивши його сиро придатність, вміст жирів та білків, титровану та активну кислотність, додавши селітру для знешкодження патогенної мікрофлори молока, ми можемо приступати до виконання самого процесу згортання.

Процес згортання підготовленої молочної суміші керується такими параметрами як його тривалість, температура згортання та активність і характер дії ферментів бактеріальної закваски. Але не можливо (досить складно та не рентабельно) впливати на некеровані параметри згортання молока: вид худобі (сир з коров’ячого молока чи молока кози буде відрізнятися) і мінеральний склад молока (існують специфічні види сирів, що виготовляють тільки влітку, адже у цей час молоко найбільш насичене мінеральними речовинами та вітамінами, які у свою чергу грають ключову роль при виготовлення сиру).

На «виході» з параметрично моделі контролюються титрована та активна кислотність сироватки, як не прямий показник якості проведення процесу та пружність згустку. За цими параметрами можна говорити про правильність або не правильність проведення процесу згортання молока.


























Рисунок 4.1 - Параметрична модель «Чорний ящик» процесу згортання молока

5. Визначення вимог якості до готового продукту

На даний момент існує система ISO (скорочення від International Organization for Standardization - Міжнародна організація по стандартизації) - світова Федерація національних органів по стандартизації, що об’єднує майже 100 країн-учасників. З 2004 року Україна також входить до ISO. Основним завданням ISO, створеної у 1946 році, є підтримка розробки міжнародних стандартів, тестування та сертифікації, спрямованих на розвиток міжнародної торгівлі якісними продуктами та послугами.

На території України діє ДСТУ (Державні стандарти України) - стандарти, розроблені відповідно до чинного законодавства України, що встановлюють для загального і багаторазового застосування правила, загальні принципи або характеристики, які стосуються діяльності чи її результатів, з метою досягнення оптимального ступеня впорядкованості, розроблені на основі консенсусу та затверджені уповноваженим органом.

5.1 Технічні вимоги

Основні показники і характеристики

Сири повинні відповідати вимогам стандарту ДСТУ 6003:2008[27]. Виробляють їх згідно з технологічною інструкцією, затвердженою у встановленому порядку, з дотриманням вимог державних санітарних правил для молокопереробних підприємств згідно з ДСП 4.4.4.011[23], під державним ветеринарно-санітарним контролем та наглядом.

За органолептичними показниками сири повинні відповідати вимогам, наведеним у (табл. 5.1).

Таблиця 5.1 - Органолептичні показники

Назва показника

Характеристика

Зовнішній вигляд

Поверхня чиста, рівна, без механічних ушкоджень, сторонніх нашарувань і товстого поверхневого шару, покрита захисним покривом, який щільно прилягає до поверхні сиру

Смак і запах

Специфічний сирний, без сторонніх присмаків і запахів. Дозволено наявність присмаку пастеризації

Консистенція

Тісто пластичне, ніжне однорідне, злегка крихке

Рисунок на розрізі

Вічка круглої, овальної чи довільної форми. Дозволено відсутність рисунка, наявність невеликих пустот

Колір

Однорідний за всією масою, від білого до жовтого

Форма головки сиру

Бруски, циліндри, сфери тощо


За фізико-хімічними показниками сири повинні відповідати вимогам, наведеним у (табл. 5.2)

Таблиця 5.2 - Фізико-хімічні показники

Назва показника

Норма

Методи контролю

Масова частка жиру в сухій речовині, %, не менше ніж

40

Згідно з ГОСТ 5867

Масова частка вологи, %, не більше ніж

47

Згідно з ГОСТ 3626

Масова частка кухонної солі, %, не більше ніж

3

Згідно з ГОСТ 3627

Показник твердості,%

Від 51 до 60

Відповідно до 11.7

Масова частка b-каротину, мг/кг (у перерахунку на каротин), не більше ніж

6

Відповідно до 11.8

Масова частка екстракту аннато, мг/кг, не більше ніж

15

Відповідно до 11.8


За мікробіологічними показниками якості сири повинні відповідати вимогам МБВ № 5061[24] та наведеним у (табл.5.3).

Таблиця 5.3 - Мікробіологічні показники

Назва показника

Норма

Метод контролю

Бактерії групи кишкових паличок (коліформи) в 0,01 г Сиру

Не дозволено

Згідно з ГОСТ 9225 або ДСТУ IDF 73A

Патогенні мікроорганізми, а також бактерії роду Salmonella, в 25 г сиру

Не дозволено

Згідно з 12.6 або ДСТУ IDF 93A

Staphylococcus aureus, КУО, в 1 г сиру, не більше ніж

5*102

Згідно з ГОСТ 30347, ГОСТ 10444.2

Listeria monocytogenes, в 25 г

Не дозволено

Згідно з ДСТУ ISO 11290-1, ДСТУ ISO 11290-2


Вміст токсичних елементів у сирах не повинен перевищувати рівнів, наведених у (табл. 5.4)

Таблиця 5.4 - Гранично допустимі рівні вмісту токсичних елементів у міліграмах на кілограм сиру

Назва токсичного елемента

Гранично допустимі норми

Метод контролювання

Свинець

0,30

Згідно з ГОСТ 26932

Кадмій

0,20

Згідно з ГОСТ 26933

Миш’як

0,20

Згідно з ГОСТ 26930

Ртуть

0,02

Згідно з ГОСТ 26927


Нормативна документація, що регламентує вимоги основної сировини та допоміжних матеріалів зазначена у (табл. 5.5).

Таблиця 5.5 - Вимоги до сировини та матеріалів

Сировина та допоміжні матеріали

Нормативні документація

молоко коров’яче незбиране не нижче першого ґатунку

ДСТУ 3662

молоко знежирене та вершки, отримані з молока коров’ячого

ДСТУ 3662

молоко знежирене і вершки сухі

ДСТУ 4273

ферментні препарати

ДСТУ 4457

пепсин харчовий яловичий

ДСТУ 4459

кальцію хлорид зневоднений не нижче 1 сорту

ГОСТ 450

сіль кухонну виварну не нижче І сорту, без добавок, розсипну; для соління в зерні - не нижче сорту «Екстра»

ДСТУ 3583

калій азотнокислий

ГОСТ 4217

натрій азотнокислий

ГОСТ 4168

селітру калієву марок А, Б, В

ГОСТ 19790

вода питна

ГОСТ 2874


Сировина та матеріали за показниками безпеки повинні відповідати вимогам, установленим МБВ № 5061[25].

Сировина та матеріали за вмістом залишкових кількостей радіонуклідів повинна відповідати вимогам ДГН 6.6.1.1-130 [26].

5.2 Пороки сиру

Пороки смаку і запаху

Кислий смак властивий молодим недозрілий сирів і з'являється внаслідок низької температури в сиро сховища або недостатньої їх витримки. Невиражені або слабко виражені смак і запах сири набувають при надмірно сухою обробці і витримці в приміщеннях з недостатньою вологістю, а також при зайвому розведенні сироватки водою. В останньому випадку зменшується кількість молочного цукру, а разом з ним і молочної кислоти, необхідної для утворення в процесі подальшого бродіння ряду речовин (жирних летючих кислот, ефірів), що додають гострий смак сиру. У багатьох випадках ці пороки зникають до кінця дозрівання сиру. У початковій стадії дозрівання сирів під впливом ферментів утворюються первинні продукти розпаду білка (альбулози і пептони), які надають молодому сиру гіркий смак. Цей порок спостерігається при сильному зараженні молока специфічними коками, що виділяють фермент, близький до сичужного. У цьому випадку молоко необхідно пастеризувати, щоб вбити мікроорганізми. Нарешті гіркота може бути викликана кухонною сіллю з великим вмістом магнезіальних солей. Пороком вважається різко виражений запах аміаку. Тверді сири не повинні мати такого запаху. Однак при підвищеній кислотності і температурі, на поверхні твердих сирів з'являється слиз, який виділяє так багато аміаку, що він заглушає запах інших летких речовин. Боротьба з цим пороком - суворе дотримання технології вироблення сирів і відповідне санітарно-гігієнічний стан підвалів.

Салистий смак з'являється при маслянокислому бродінні сиру, а також в результаті дії світла і повітря на жир безкоркових сирів, особливо м'яких. Єдина міра боротьби з цим пороком - зниження температури підвалу, в якому відбувається дозрівання сиру.

Прогірклий смак зустрічається здебільшого у м'яких сирів, що дозрівають за участю мікроскопічних грибів і мікроорганізмів сирної слизу, і з'являється при розщепленні жиру під дією цієї мікрофлори. Щоб оберегти сир від цього пороку, необхідно завчасно направити його на плавлення або ж знизити температуру в підвалі до 4-6 ОС.

Різкі запахи кормів переходять в молоко, а з нього і в сир. До таких кормів відносять: цибуля, часник, полин і інш. Присмак можуть надати також зіпсовані силос і картопля, низькоякісні барда і жом. Боротьба з цими вадами полягає в знищенні бур'янів на луках і пасовищах, у заготівлі високоякісних кормів і належному їх зберіганні.

Затхлі смак і запах з'являються в твердих сирах при зараженні їх поверхні аеробної мікрофлорою, зокрема слизом. Внаслідок високої протеолітичної активності мікрофлори слизу утворюється велика кількість аміаку, який, проникаючи в сир, додає затхлий смак і запах продукту. Цей порок виникає також внаслідок розвитку газоутворюючих мікрофлори. Затхлі смак і запах з'являються при поганому догляді за сиром, підвищеної вологості повітря, високому вмісті вологи в сирі, при пересолити, який сприяє розвитку слизу.

Вади консистенції

Надмірна зрілість молока і сильне зневоднення сирної маси викликають крошливість тіста. Сири з такого молока погано дозрівають і бувають низької якості. Уникнути виникнення цієї вади можна застосовуючи молоко хорошої якості. Самокол (колюче тісто). Основна причина такого пороку-слабка зв'язаність сирного тіста. Самокол спостерігається на другій стадії дозрівання і переважно в швейцарському і радянському сирах. У виникненні цього пороку грає роль надмірна кислотність молока, неправильна обробка сирної маси, а також різкі коливання температури при перенесенні сирів з теплою камери в холодну. Основним заходом в боротьби з самоколом є ретельна сортування молока по кислотності і швидка переробка його. Можна в якійсь мірі зменшити самокол, якщо при другому нагріванні додати до молока 10-20% води. Свищ зустрічається переважно в голландському сирі (круглому) і має вигляд тріщин, що утворюються всередині головки. Свищ є наслідком як сильного газоутворення, так і неправильної обробки сирної маси. При цьому спостерігається слабка зв'язність маси через надмірну кислотності молока; додавання води перед другим нагріванням, що супроводжується зменшенням концентрації молочної кислоти, дещо збільшує зв'язність маси. Однак найефективнішим засобом в боротьбі зі свищем є висока якість молока і правильна переробка його.

Причиною сирного тіста, що мажеться, може бути вміст сироватки в сирній масі і висока температура в підвалі, де протікало дозрівання. У багатьох м'яких сирів тісто, що мажеться не є пороком. Тверда, гумиста консистенція утворюється при надмірно в'язкому тесті.

Причини пороку: нестача молочної кислоти, утворення міцної строми, а також надмірне зневоднення сирної маси.

Вади малюнка

Сітчастий малюнок з'являється в свіжому сирі на початку дозрівання, якщо відбувається сильне газоутворення в результаті обсіменіння молока бактеріями групи кишкової палички. Газ (суміш вуглекислоти і водню) швидко насичує тісто і, виділяючись, утворює частий і дрібний малюнок. Надалі «вічка» не збільшуються, оскільки життєдіяльність бактерій групи кишкової палички швидко припиняється завдяки збільшенню кислотності сирної маси. Губчастий малюнок з'являється в сирі 1,5-2 місячного віку в результаті маслянокисле бродіння. Порок зустрічається переважно у великих сирах, і, як правило, йому передує сітчастий малюнок. Сир з губчастим малюнком часто буває недосоленим, з солодкуватим смаком. Якщо сир з губчастим малюнком довго залишається в підвалі, то він може осісти, і тоді утворюються щілини. Пустотний малюнок зустрічається здебільшого в сирах, формованих наливом і насипом, як наслідок нещільного розташування зерен. В інших сирах порок з'являється при порушенні цілісності збираного пласта або при додаванні до сформованої масі обсушених сирних зерен. Під час газоутворення порожнечі, наявні в сирній масі, кілька розширюються, вбираючи гази, що виділилися, і утворюють пустотний малюнок. Порожнечі можуть розподілити в сирній масі рівномірно і групами. В останньому випадку загальні порожнини з неправильними обрисами перетворюються на рвані оченята. У самопрессуючихся сирів пустотний малюнок не є пороком.

Вади кірки сиру

Товста кірка зустрічається у твердих сирів дозріваючих при низькій температурі. Вона утворюється також при недостатній кількості молочної кислоти і солі в сирній масі, занадто частого миття сирів в теплій воді і витримці їх після миття у відносно сухому приміщенні (вологість нижче 80-85%). Товста кірка добре захищає сир від зовнішніх впливів, але небажана, оскільки зменшує їстівну частину сиру. Слабка слизова кірка зустрічається у сирів з підвищеним вмістом молочної кислоти або солі або того й іншого разом. Утворюється вона при неправильній обробці сирної маси у ванні, або при занадто розвиненому молочнокислому процесі і пересолюванні. Тріщини на кірці утворяться при недостатньо в'язкому тесті, особливо при переробці кислого молока. При великій кількості дрібних тріщин порок носить назву «географічна карта». Тріщини з'являються і при сильному вспучуванні сиру, коли його об’єм збільшується настільки, що призводить до розриву кірки. У великих сирах тріщини утворюються часто при маслянокислому бродінні. Вони можуть бути також наслідком неправильного догляду за кіркою. Рак кірки викликається гнильними бактеріями, що розвиваються на поверхні сиру при надмірній нейтралізації молочної кислоти продуктами життєдіяльності лужноутворюючих бактерій сирної слизу в результаті неправильного і необережного догляду за кіркою. Спочатку на шкірці з'являються плями-впадини, які надалі розростаються і зливаються у великі виразки. У цих місцях кірка стає рихлою і погано пахне. Пошкоджені місця на сирі треба зішкребти і протерти сіллю. Однак такий сир зберігати не можна, необхідно його негайно реалізувати або переробити в плавлений. Підкіркова цвіль зустрічається в сирах, що мають на кірці тріщини. А.Н. Корольов, який вивчав цей порок, з'ясував, що він з'являється за наявності в сирі порожнин, сполучених із зовнішнім повітрям. Такі порожнини утворюються при пресуванні дуже сухого пружного зерна, особливо в холодному приміщенні.

Вади, що викликаються гризунами та комахами

З гризунів особливо сильно ушкоджують сир миші та щури. Проти гризунів слід вести боротьбу дератизацією. З комах вражають сир кліщі (Акар) і личинки мух. Для попередження виникнення цих вад необхідно поліпшити санітарно-гігієнічні умови в сирних підвалах і часто робити дезінфекцію приміщень.

6. Шляхи удосконалення технологічного процесу

твердий сир виготовлення технологія

На даний момент в Україні та світі спостерігаються тенденції до досягнення підприємствами безперервності процесу виробництва, а також виготовлення сирів не залежно від пори року, що може впливати на якість молока, а відповідно й на сир. Тому у сучасному сироварінні вже активно використовують такі інноваційні рішення як застосування рідких ферментних препаратів, яке дає кращі результати ніж сухий фермент, і не має побічних ефектів, та у зв’язку з сировинною проблемою, яка виражається саме у нестачі якісної сировини, нові більш «м’які» умови виробництва та відновлення сухого молока, що дозволяють не зважаючи на сезонність, виробляти сири із високими показниками якості продукту.

6.1 Використання рідких сичужних ферментів

Технології виробництва молокозгортуючих препаратів на основі сичужного ферменту і яловичого пепсину використовуються вже багато десятиліть. Ці технології базуються на знаннях більш ніж півстолітньої давності. Широке проникнення на вітчизняний ринок зарубіжних препаратів в останні роки підкреслило нашу відсталість у біотехнології ферментів. Імпортні препарати мають високу молокозсідальної активністю і позбавлені такого недоліку, як велику кількість домішок, у тому числі і нерозчинних, що провокують появу гіркоти в сирах. Не витримавши конкуренції, зникли з ринку багато великих виробників ферментів. Решта невеликих підприємств не забезпечують потреби сироробний галузі, втом числі і унаслідок низької ефективності виробництва. Проблемою сичужних ферментів (химозин, пепсин) перестав займатися ВНДІ м'ясної промисловості. У той же час досягнення сучасної ензимології можуть забезпечити значний ресурс для модернізації технології, підвищення виходу активного ферменту і його якості, скорочення трудових, часових і енергетичних витрат.

Виходячи з інтересів сироваріння, вдосконаленням технології виробництва сичужного ферменту зайнявся ВНДІ маслоробства і сироваріння. Для підвищення ефективності виробництва, перш за все, потрібно знизити втрати активного ферменту. Найперспективніший ресурсозберігаючий шлях - виключити сушку препарату, так як втрати при сушінні можуть становити майже половину від екстрагувальної активності. Крім того, сушка сама по собі здорожує виробництво, робить його енергоємним, потребує додаткового обладнання. Рідкі молокозсідальної препарати все ширше виробляються закордоном та потрапляють на наш ринок. Такі ферментні препарати легщі в застосування(не потрібно звадувати масу сухого ферменту, та розводити його у попередньо пастеризованій воді), а також іх використовують на автоматизованих лініях. Виробництво рідких ферментів також вирішить проблему скидання багатьох тон солі у вигляді розчинів під час висушування препаратів.

Таблиця 6.1 - Переваги виробництва та використання рідкого молокозсідального ферменту

При виробництві

При використанні

Знижена енергоємність Скорочення виробничого циклу майже вдвічі Більш просте обладнання Зниження витрат кислот Зниження скидання відходів

Не потрібно брати наважку Не потрібна вода для розведення Суттєве зниження алергічності Зручність використання в автоматизованих лініях


Практиків сироварів може переймати питання застосування рідкого сичужного ферменту(РСФ, з причин більш низької активності препарату: яка варіює у межах 10-60 тис. ум. од. у 1 мл. Рідкий фермент з невисокою активність можна одразу вносити до підготовленого молока, а РСФ з високою молокозсідальною активність потрібно розводити водою. Для розрахунку дозування ферменту в залежності його активності, кислотності, сиро придатності молока та інших факторів можна використовувати кружку ВНДІМС[8]

При класичному визначенні витрат ферменту береться наважка з активністю ферменту 100 тис. ум. од/г рівна 2,5 г у якій міститься 250 тис. ум. од. Цю наважку розчиняють у 100 мл води, таким чином у 1 мл розчину міститься 2500 ум. од. В кружку вносять 10 мл. Цього розчину, що в сумі дає 25 тис. ум. од. Відмітка на шкалі кружки 2,5 відповідає використанню 2,5 г сухого ферменту на 100 кг молока.

Це співвідношення слід від корегувати для РСФ. По-перше потрібно перерахувати кількість ферменту (мл) для самої кружки ВНДІМС, по-друге, перевести показники кружки у витрати РСФ на 100 л молока.

Припустимо, що активність РСФ 15 тис. ум. од/мл. Розраховуємо таку кількість РСФ в якій міститься 250 тис. ум. од.,як і у 2,5 г сухого ферменту з активність 100 тис. ум. од., що необхідний для розчинення в 100 мл. для проби (кружки ВНДІМС):2,5*100000/15000=16,7 мл проби. Ці 16,7 мл розчиняємо у воді та доводимо до позначки 100 мл. У кружку ВНДІМС вносимо 10 мл приготовленого розчину. Відмітка на кружці 2,5 буде відповідати витратам 16,7 мл на 100 л молока.

Таблиця 6.2 - Кількість РСФ

Задекларована активність РСФ ум. од/мл

Кількість РСФ для розчинення в 100 мл (кружки ВНДІМС). мл

Вносять в кружку

Показники кружки ВНДІМС

Кількість РСФ для внесення в ванну 100 кг молока, мл

Кількість РСФ для внесення на 1 т молока,мл

15000

16,7

10

1

6,7

66,7

15000

16,7

10

1.25

8.3

83,3

15000

16,7

10

1,5

10,0

100,0

15000

16,7

10

1,75

11.7

116,7

15000

16.7

10

2

13.3

133,3

15000

16.7

10

2,25

15,0

150,0

15000

16.7

10

2.5

16.7

166,7

15000

16,7

10

2.75

18,3

183,3

15000

16,7

10

3

20,0

200,0


В Україні застосування рідких молокозсідальних ферментів не доже розповсюджено, на ринку в основному присутні сухі ферментні препарати, що потребують активації, розведення, очищення і т.д.

Необхідність переходу на рідкий сичужний фермент очевидна, адже він дає змогу не тільки полегшити процес підготовки препарату до внесення, але й дає можливість вести непереривне виробництво продукту.

Сиропридатні властивості сухого молока

Сухе молоко являє собою дрібний сухий порошок білого кольору з легким кремовим відтінком, зі смаком і запахом свіжого пастеризованого молока. Виробляється методом видалення води з знежиреного або нормалізованого, чи цільного коров'ячого молока, або молокопродуктів і призначене для безпосереднього використання в їжу і промислової переробки.У сухому молоці міститься до 35% білка, при цьому в ньому присутній повний набір замінних і незамінних для організму амінокислот, вітамін А, групи В і D, близько 50% вуглеводів (переважно лактоза), жири, мікро-і макроелементи, особливо кальцій (до 1,5%) і калій.

Сиропридатність сухого молока залежить не тільки від режимів відновлення сухого препарату, а й від режимів його виготовлення. Адже високі температури, які діють на молоко при виготовленні сухого молока чинять негативний вплив на білки молока, і вони втрачають свою нативність, стаючи при цьому не пригідними у сироварінні: денатурані β-лактоальбуміни взаємодіючи з κ-казеїном, що знаходиться на поверхні міцел кальцій казеїнатфосфатного комплексу, «закривається» від сичужного ферменту, у результаті отримуємо погану якість згустку та відділення сироватки від нього під час синерезису.

Існують спеціальні «щадні» методи сушки молока, які проводять при 70-75ОС без витримки. Це дозволяє знизити кількість денатурованих білків, та підвищити сиро придатність сухого молока. Закордоном існує «Індекс неденатурованості сироваткових білків» (WPNI) в 1 г молока(мг/г).

Цей показник характеризує температуру обробки молока та її тривалість. За низької температури обробки молока WPNI=6 мг/г, за середньо температурної обробки 1,5<WPNI<4,5 мг/г, за високої температури WPNI<1,5.

Залежність пружності молочних драглів та візуальна оцінка сухого молока, залежно від WPNI представлені у таблицях 6.3 та 6.4

Таблиця 6.3 - Характеристика сухого молока

WPNI (мг/г)

Пружність(Па)

Гель-точка(хв.)

6,1

74±6

18

4,5

43±4

20

2,7

10,3±3

35


Таблиця 6.4 - Характеристика сухого молока

WPNI

Кількість сироватки

Візуальна оцінка


мл

%

згусток

Сироватка

2,7

131,0±2,5

66,8±1,3

дряблий, край розрізу тупий

Білувата, мутнувата

4,5

146,0±2,6

73,0±1,3

»

»

6,1

166,2±3,4

83,0±1,7

щільний, край розрізу гострий

Світло-зеленувата, прозора


Тож можна сказати, що використовуючи спеціальні режими виготовлення та розведення сухого молока, можна досягти відповідності високим стандартам якості продукції, та контролювати безперервність процесу виробництва на підприємстві, не залежно від пори року та інших обставин.

Режими відновлення сухого молока

Під час відновлення сухого молока відбувається набухання білків, усунення водянистого смаку, а також досягаються його необхідна в'язкість і щільність. Білки відновленого молока коагулюють повільніше, ніж у натурального, утворюється менш щільний згусток з уповільненим синерезисом. Одна з причин слабкого згустку зміна сольового складу знежиреного молока з-за температурного впливу під час технологічних операцій при виробництві сухого знежиреного молока: пастеризації, згущення і сушіння [8].

Міцели казеїну знаходиться в підвішеному стані у водній фазі молока, основні розчинені речовини - мінеральні та лактоза. Найбільший практичний інтерес представляють солі кальцію. У вигляді солей в свіжому сирому молоці знаходиться 75 - 78% кальцію, з якого 67% - міцелярного кальцій, а 33% - кальцій водної фази (розчинений кальцій). Під час дозрівання частка розчинного кальцію підвищується. Відомо, що зростання температури, рН, концентрації іонізованого кальцію, сприяє підвищенню вмісту в казеїновій міцели кальцію і фосфату (міцелярного кальцію), а потім і збільшення її розмірів. У зв'язку з цим в сухому молоці частка міцелярного кальцію вище розчинної [8].

Таким чином, для одержання сиру високої якості необхідно визначити режими процесу відновлення сухого знежиреного швидкорозчинного молока (СЗШМ), щоб воно було придатне для використання, наприклад при виробленні сирів з чеддерізацією і термомеханічної обробкою сирної маси. Отримана сирна маса повинна мати властивість витягуватись у тонкі нитки.

Для цього потрібне досягти достатнього вмісту розчинного кальцію у відновленому молоці. Масову долю розчинного кальцію можна збільшити за рахунок менших температур відновлення суміші, збільшенням кислотності, додаванням хлористого натрію, чи іншого агенту здатного до утворення високомолекулярних структур.

Технологічні розрахунки

Вихідні данні для розрахунків наведені у (табл.6.1)

Таблиця 6.5 - Фізико - хімічні показники молока

Масова доля жиру у молоці, %

Масова доля білку, %

Масова доля жиру у зрілому сирі, %

Кількість молока, кг

3,2

3,30

45

10000


Розрахунки у виробництві натурального сиру виробляються в такий спосіб. Визначається масова частка жиру в нормалізованої суміші за наступною формулою:


де:Б - масова частка білка в молоці, визначається за таблицями, в залежності від масової частки жиру в молоці,%;

Жчзс - масова частка жиру в зрілому сирі,%

К - коефіцієнт, що враховує ступінь використання жиру і казеїну, його значення приймається залежно від масової частки жиру в сирі: для 30% - 2,07; для 40% -1,87; для 45% -1,98.

Далі визначають масу вершків

Мсл=[Мм*(Жм-Жо)/(Жсл-Жо)]*[(100-П)/100]

де: Мм - маса молока

Жм - жирність молока

Жо - 0,05

Жсл - жирність вершків

П - втрати

Мсл=[10000*(3,2-0,05)/(30-0,05)]*[(100-0,21)/100]=1051,75*0,998=1049,65

Висновок

Сир є високо цінним харчовим продуктом, що містить велику кількість легкозасвоюваних повноцінних білків, молочного жиру, різних солей і вітамінів. Для кожного виду сиру властиві свої технологічні особливості, які в кінцевому підсумку і визначають специфіку готового продукту.

Сири з високою температурою обробки сирної маси мають свої тонкощі виробництва. Для цих сирів особливістю технологічного процесу є застосування ступеневого температурного режиму дозрівання (10-12, 17-18 і 22-25 ° С).

У закваски для таких сирів зазвичай включають мезофільні молочнокислі палички (L. Plantarum, Л. Casei), що володіють специфічним антагоністичною дією на маслянокислі бактерії, колібактерії, патогенну мікрофлору.

Температура другого нагрівання в залежності від виду сиру і здатності зерна до зневоднення коливається від 47 до 58 ° С. Тривалість другого нагрівання для сирів з високою температурою обробки сирної маси становить 25 ± 5 хв.

На процес згортання молока при виробництві сиру чинять вплив не тільки ферментні препарати, а також і умови проведення. Дотримання температурного режиму та часу згортання суттєво впливає на майбутній продукт.

Для одержання сиру високої якості необхідно знати режими процесу відновлення сухого знежиреного швидкорозчинного молока (СЗШМ), так як це дає змогу вести непереривний процес виробництва продукту.

Контроль якості сирів з високою температурою обробки сирної маси здійснюється за ДСТУ 6003: 2008[22].

Перелік посилань

1.      Гудков А.В. Сыроделие: технологические, физико-химические и биохимические аспекты / С.А. Гудков. // Москва ДеЛи принт. - 2004.─804с.

.        Твердохлеб Г.В. Технология молока и молочних продуктов. / Диланян З. Х. Чекулаева Л.В. Шиллер Г.Г. // Агропромиздат - 1991 - 463 с.

.        Кузнецов В.В Справочник технолога молочной пропышленности. Технология и рецептуры. / Кузнецов В.В., Шилер Г.Г. // СПб: ГИОРД.─2003. - 512 с.

.        Из истории сыроделия.[Електронний ресурс]. ─ Режим доступу: < http://сыроделие.рф/?p=4502>.

.        Культури прямого внесення. Нові можливості [Електронний ресурс]. ─ Режим доступу: < http://www.milkbranch.ru/magazine/archive/>

.        Крусь Г.Н. Технология молока и молочных продуктов. / Крусь Г. Н.//Агропромиздт, 2004. - 455С.

.        Диланян З.Х. Технология молока и молочных продуктов / Г.В. Твердохлеб, З.Х. Диланян, Л.В. Чекулаев, Г.Г. Шиллер.// Москва Агрохимиздат. ─ 1991. - 463с.

.        Гаврилов Г.Б. Режимы восстановления сухого молока / Сыроделие и маслоделие. ─ 2011. ─№2. ─ С. 34-41.

.        ДСТУ 2212:2003. Молочна промисловiсть. Виробництво молока та кисломолочних продуктiв. Термiни та визначення понять. - К.: Держспоживстандарт України; Державний комітет стандартизації метрології і сертифікації України. 2008. - 19 с.

.        ДСТУ 3147-95. Коди та кодування інформації. Штрихове кодування. Маркування об’єктів ідентифікації. Формат та розташування штрихкодових позначок EAN на тарі та пакованні товарної продукції. Загальні вимоги. - Введ 01.01.1996. - К.: Держспоживстандарт України; наук. - ред. відділ ДП «УкрНДНЦ», 1996. - 51 с.

.        ДСТУ 3583-97. Сіль кухонна. Загальні технічні умови. - К.: Держспоживстандарт України; Державний комітет стандартизації метрології і сертифікації України. 2008. - 60 с.

.        ДСТУ 3662-97. Молоко коров’яче незбиране. Вимоги при закупівлі. - К. Держспоживстандарт України; Державний комітет стандартизації метрології і сертифікації України. 2007. -13 с.

.        ДСТУ 4273-2003. Молоко та вершки сухі. Загальні технічні умови закупівлі. - К. Держспоживстандарт України; Державний комітет стандартизації метрології і сертифікації України.2008. - 17 с.

.        ДСТУ 4420:2005. Молочна промисловість. Виробництво сиру. Введ 01.07.2006.- К. Держспоживстандарт України; Державний комітет стандартизації метрології і сертифікації України 2006. -19 с.

.        ДСТУ 4457:2005. Ферментні препарати. Загальні технічні умови. - К. Держспоживстандарт України; Державний комітет стандартизації метрології і сертифікації України. 2006. -19 с.

.        ДСТУ 4834:2007. Молоко та молочні продукти. Правила приймання, методи відбирання та готування проб до контролювання. - К. Держспоживстандарт України; Державний комітет стандартизації метрології і сертифікації України. 2006. -19 с.

.        ДСТУ IDF 73А-2003. Молоко та молочні продукти. Підрахунок кількості коліформ. Метод підрахунку колоній і метод визначення найімовірнішого числа за температури 30 оС (IDF 73A:1985, IDT). - К. Держспоживстандарт України; Державний комітет стандартизації метрології і сертифікації України.2005. -19 с.

.        ДСТУ IDF 93А-2003. Молоко та молочні продукти. Визначення Salmonella (IDF 93А:1985, IDT). - К. Держспоживстандарт України; Державний комітет стандартизації метрології і сертифікації України. 2005. -21 с.

.        ДСТУ ІSО 707-2002. Молоко та молочні продукти. Настанови з відбирання проб. - К. Держспоживстандарт України; Державний комітет стандартизації метрології і сертифікації України 2003. -36 с.

.        ДСП 4.4.4-011-98. Державні санітарні правила для молокопереробних підприємств.

.        МБТиСН № 5061-89. Медико-биологические требования и санитарные нормы качества продовольственного сырья и пищевых продуктов (Медико-біологічні вимоги та санітарні норми якості продовольчої сировини та харчових продуктів), // Міністерством охорони здо-ров’я СРСР 01.08.89 р.

.        ДСП 4.4.4.011-98. Державні санітарні правила для молокопереробних підпрємств, затверджені Міністерством охорони здоров’я України 11.09.1998, № 4.4.4.011.

.        ДГН 6.6.1.1-130-2006. Допустимі рівні вмісту радіонуклідів 137Cs і 90Sr у продуктах харчування та питній воді, № 256 від 03.05.2006, зареєстровано в Міністерстві юстиції України 17.07.2006 р, за № 845/12719.

.        ДСТУ 6003:2008. Сири тверді. Загальні технічні умови. - К.: Держспоживстандарт України; Технологічний інститут молока та м’яса (ТІММ) УААН, Міністерство аграрної політики, 2008. - 22 с.

Похожие работы на - Сири з високою температурою обробки

 

Не нашли материал для своей работы?
Поможем написать уникальную работу
Без плагиата!
Без нейросетей!