|
Вал
|
Частота
вращения n, об/мин
|
Угловая
скорость ω,
рад/с
|
Вращающий
момент Т, Н·м
|
Мощность
N, кВт
|
Передаточное
число U
|
|
Вал
электродвигателя
|
1410
|
147,6
|
27,1
|
4
|
|
|
Ведущий
вал
|
705
|
73,8
|
48,6
|
3,58
|
3,525
|
|
Выходной
вал редуктора
|
35,25
|
3,7
|
677
|
2,5
|
20
|
|
Выходной
вал привода
|
10
|
1,04
|
2298
|
2,39
|
2
|
2. Расчет цепной передачи
Исходные данные: Крутящий момент на
ведущем шкиву Т=27,1 Нм, частота вращения ведущей звездочки n=1410 мин
,
передаточное число цепной передачи u=2. Смазка -
центробежная, межосевое расстояние <30t,
регулировка- передвигающиеся опоры, передача расположена под углом 20º к горизонту.
Определение числа зубьев ведущей Z
и ведомой Z
звездочек.
Так как передаточное число равно 2,
то число зубьев ведомой звездочки принимаем равное 32.
Тогда число зубьев большой звездочки
равно
Z
=Z
×u (10)
Подставляя данные в формулу (10) получается
Z
= 32×2 = 64
Определение предварительного шага цепи.
При частоте вращения ведущей
звездочки n=1410 мин
, выбираем
предварительный шаг цепи t равным 12,7 мм (табл. 7.17).
При шаге цепи t=12,7 мм и
частоте вращения ведущей звездочки n=1410 мин
принимаем
допускаемое удельное давление в шарнирах цепи
= 35,0 МПа
Определение коэффициента эксплуатации.
Коэффициент эксплуатации К
равен
где К
- коэффициент нагрузки 1;
К
- коэффициент регулировки межосевого
расстояния 1;
К
- коэффициент, учитывающий межосевое
расстояние 1;
К
-коэффициент, положения передачи в
пространстве 1;
К
- коэффициент, учитывающий характер
смазывания 0,8;
К
- коэффициент, учитывающий режим
работы передачи 1,25.
Подставляем данные в (11) получается
К
=1×1×1×1×0,8×1,25=1
Определение расчетного шага цепи.
Мощность на ведущем шкиву:
Расчетный шаг определяют по формуле
Подставляем данные в (13) получаем
Цепь, ПР-12,7-1880-2:
Q
-
разрушающая нагрузка равная 18,2 кН;
S
- площадь
проекции опорной поверхности шарнира равна 50 мм2;
q - масса
одного метра цепи равна 0,75 кг/м.
Определение окружного усилия в цепи.
Окружное усилие, передаваемое цепью равно
А окружная скорость цепи определяется как
Подставляем данные в (15) получаем
Тогда подставляем данные в (14) и получаем
Определение удельного давления в шарнирах.
Удельное давление в шарнире равно
Подставляем данные в (16) получаем
Проверяем условие прочности по удельному
давлению
Подставляем данные в (17) получается 6,7< 35
Условие выполняется.
Проверка цепной передачи на долговечность.
Ресурс работы цепи равен
где 
- допускаемое увеличение шага цепи ;
- коэффициент смазки, который равен
где
- коэффициент, учитывающий способ
смазки, который равен 2,5.
Тогда подставляем данные в (19)
получается
- межосевое расстояние , выраженное
в шагах. (20)
Подставляем данные в (20) получается
Далее подставляем данные в (18)
получается
Что больше ожидаемого срока службы
Т=2000×2,5=5000 часов
Определение усилий в цепной передаче
и коэффициента запаса прочности.
Натяжение цепи от силы тяжести равно
где К
- коэффициент провисания равен 1,
а=40*12,7=500,8мм.
Подставляем данные в (21) и получаем
Ff=1×9,81×0,75×500,8×0,001= 3,7 H
Натяжение цепи от центробежных сил
при скорости цепи ≤12 м/с не учитывается.
Суммарное натяжение ведущей ветви
цепи равно
F∑вщ=Ff+Ft×к1 (22)
Подставляем данные в (22) получаем
F∑вщ=3,7+335×1,0=338,7 Н
Нагрузка, действующая на валы
Fв=1,2×Ft (23)
Подставляем данные в (23) получаем
Fв =338,7×1,2=406,4
Коэффициент запаса прочности равен
S= Q
/ F∑вщ
(24)
Подставляем данные в (24) получается
Должно выполняться условие
Где [s] -
допускаемый запас прочности , равный 10.
Подставляем данные в (25) получаем 53,7> 10
Условие выполняется.
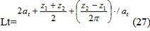
Геометрические параметры звездочек.
Делительные диаметры звездочек равны
Подставляем данные отдельно для каждой звездочки
в (26) и получаем
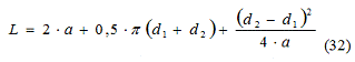
Рассчитываем длину цепи в шагах по формуле (27)
Подставляем данные в (27) получаем
Округляем L=130
мм
Выбор цепи.
Выбирается цепь ПР- 12,7-1820 - 2 ГОСТ 13568 -
75.
3. Расчет клиноременной передачи
Исходные данные: крутящий момент М=2298 Н×м,
передаточное число u=3,525;
частота вращения n=1410
об/мин. Работа в 2 смены, работа спокойная.
Выбор ремня: ремень Г, откуда d
p1 =355 мм
Диаметр большего шкива определяем по формуле
(28)
dр2 = d p1 ·U · (1-
) (28)
где
= 0,02 - коэффициент скольжения
кордтканевых ремней.
подставляя
данные в формулу (10) получается:р2=100·3,525· (1-0,02)=1226 мм
Принимается
dр2=1250 мм
Уточняем
значение передаточного отношения
подставляя данные в формулу (29) получается:
Окружная скорость ремня
подставляя данные в формулу (30) получается:
Предварительное межосевое расстояние аw:
аw
=k ·dр2 , (31)
где k-коэффициент
соотношения межосевого расстояния и диаметра
подставляя данные в формулу (31) получается:
aw
=0,95 ·1250= 1190 мм.
Расчетная длина ремня L
подставляя данные в формулу (33) получается:
Минимальное межосевое расстояние для удобства
монтажа и снятия ремней:
Угол обхвата на меньшем шкиве
a°1=180° - 60°(
dр2- dр1)/а (34)
подставляя данные в формулу (34) получается:
a°1=180° - 60°(
1250- 355)/1100=170°>[a]=169°
Коэффициент угла обхвата при a°1=150,
Сa@0,98
Коэффициент режима работы при указанной нагрузке
Ср=0,8
Поправочные коэффициенты:
CL=0,83
N0 =1,275 кВт
dTи=31
Допускаемая мощность на один ремень:
[N]=(N0*
Cа* CL+
dN4)* Ср ,кВт (35)
dNи = 0,0001 *
dTи * n1
= 0,0001 * 31*10= 0,31 кВт
подставляя данные в формулу(35) получается:
[N]=(1,275*0,98*0,83+0,31)*0,8=0,97
кВт
Расчетное число ремней:
z= N/[N]
(36)
Действительное число ремней:
z`=z/Cz
(37)
Мощность на ведущем шкиву: (38)
подставляя данные в формулу (36) , (37) и (38)
получается:
Сила начального натяжения одного клинового
ремня:
подставляем данные в формулу (39) получается:
Давление ремня на валы:
подставляем данные в формулу (40) получается:
Размеры обода шкивов:
b = 8,1; e = 15+0,3 мм;
f=24 мм
; h=20 мм;
r=2 мм;
h1=12 мм;
a1=36; a2=40
Наружные диаметры шкивов:
de1=dp1+2*b ; de2=dp2+2*b (41)
подставляем данные в формулу (41) получается:
de1=355+2*8,1=371,2
мм; de2=1250+2*8,1=1266,2
мм
Ширина обода шкивов:
M=(z`-1)*e+2*f
(42)
подставляем данные в формулу (42) получается:
M=(3-1)*24+2*124=96мм
4. Расчет червячной передачи
.1 Выбор материала
Материал, применяемый для червяка - Сталь 45,
твердостью HRC 45 - при
закалке. Материал, применяемый для венца червячного колеса, безоловянистая
бронза - БрО10Ф1. Предварительно принимаем скорость скольжения в зацеплении υs≈5
м/с, допускаемое контактное напряжение [sн]=168 МПа.
[s0F]=FFL×[s0F]¢
(43)
подставляя данные в формулу (43) получается:
[s0F]=0,543×45=24,4
МПа
.2 Проектировочный расчет
. Число заходов червяка, число зубьев червяка
Число заходов червяка определяется в зависимости
от передаточного числа. При u=20,
z1=2.
При этом число зубьев червяка
z2= u×
z1 (44.1)
z2=20×2=40
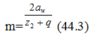
2. Межосевое расстояние и модуль
Предварительно принимаем коэффициент диаметра
червяка - q=10, коэффициент
нагрузки - К=1,2. Определяем межосевое расстояние
подставляя данные в формулу (44.2) получается:
. Определяем модуль червячного колеса:
подставляя данные в формулу (44.3) получается:
По ГОСТ 2144-76 [таблица 3], округляем до
ближайшего стандартных чисел, поэтому принимаем m=8.
Уточняем межосевое расстояние
подставляя данные в формулу (44.4) получается:
Что соответствует стандартному значению
межосевого расстоянию.
Основные размеры червячного колеса и червяка
Таблица 4 - Основные размеры червячного колеса и
червяка
|
Наименование
показателя
|
Червяк
|
Червячное
колесо
|
|
Делительный
диаметр
|
d1=q×m=10×8=80 мм
|
d2=z2×m=40×8=320 мм
|
|
Диаметр
вершин
|
da1= d1+2m=80+2×8=96 мм
|
da2= d2+2m=320+2×8=336 мм
|
|
Диаметр
впадин
|
df1= d1-2,4m=80-2,4×8=60,8 мм
|
df2= d2-2,4m=320-2,4×8= =300,8
мм
|
|
Делительный
угол подъема
|
11°19¢
|
-
|
|
Длина
нарезаемой части шлифованного червяка
|
при
z1=2 b1≥(11+0,06×
z2)×m+25=
=(11+0,06×40)×8+25≈133 мм
|
|
|
Наибольший
диаметр червячного колеса
|
-
|
daM2≤ da2+6m/( z1+2)=348 =336+6×8/(2+2)=348 мм
|
|
Ширина
венца червячного колеса
|
-
|
при
z1=2 b2≤0,75×
da1=0,75×96≈
≈72мм
|
При z1=2
и q=10 делительный
угол подъема червяка g=11°19¢.
Окружная скорость скольжения
Уточняем окружную скорость
подставляя данные в формулу (45) получается:
Уточняем скорость скольжения
подставляя данные в формулу (46) получается:
4.3 Силовой расчет
Таблица 5 - Силовой расчет
|
Наименование
нагрузки
|
Червяк,
Н
|
Червячное
колесо, Н
|
|
Окружная
|
Ft1=2T1/d1=2×48,6/80=1215
|
Ft2=2T2/d2=2×677/320=4231
|
|
Радиальная
|
Fr1= Fr2=1539
|
Fr2= Ft2×tg(a)=4231,125×tg(20°)=1539
|
|
Осевая
|
Fa1= Ft2=4231
|
Fa2= Ft1=985
|
|
Где
a - угол
зацепления (равен 20°)
|
4.4 Проверочный расчет
При υs=3,06
м/сек коэффициент трения f¢=0,03
и приведенный угол трения r=3°09¢(табл.
4.4)
При данной скорости необходимо уточнить КПД
подставляя данные в формулу (47) получается:
При числе заходов червяка z1
и коэффициентe диаметра червяка q=10
коэффициент деформации червяка Q принимаем равным 86. Принимаем
х=1, при «редких спусках», нагрузка «спокойная», коэффициент динамичности Кv=1,1.
Найдем коэффициент, учитывающий динамическую
нагрузку, возникающий в зацеплении
Кb=1+(z2/Q)3×(1-х)
(48)
подставляя данные в формулу (48) получается:
Кb=1+(40/70)3×(1-0,6)=1,07
Определим коэффициент нагрузки, принимая
коэффициент, учитывающий динамическую нагрузку, возникающую в зацеплении Кυ=1,07,
при степени точности 9
К= Кb×
Кυ
(49)
подставляя данные в формулу (49) получается:
К=1,1×1,07=1,177
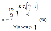
Определим контактное напряжение и сравним его с
допустимым
подставляя данные в формулу (50) и (51)
получается:
Условие прочности выполняется
Проверка прочности зубьев на изгиб
Определяем эквивалентное число зубьев
подставляя данные в формулу (52) получается:
В зависимости от эквивалентного числа зубьев zυ,
выбираем коэффициент формы зубьев YF=2,18
(табл. 4.5)
Проверка прочности зубьев
подставляя данные в формулу (53) получается:
Условие выполняется.
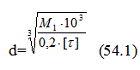
5. Предварительный расчёт валов
Предварительный расчёт валов:
Крутящие моменты в поперечных сечения валов:
На входном: М1= 48,6 Н·м
На выходном валу: М3=677 Н·м
Вал-червяк:
Диаметр входного конца вала d, мм по расчёту на
кручение, при допускаемом напряжении на кручение [τ]=12
МПа
определяется по формуле (54.1):
подставляя данные в формулу (54.1) получается:
Принимаем d=40 мм.
Диаметр мест под уплотнение:
упл=
d+(1…3) мм (54.2)
подставляя
данные в формулу (54.2) получается:упл=32+1=33мм
Принимаем
dупл=42 мм.
Диаметр
под подшипник:
подш=dупл+(1…4)мм(54.3)
подставляя
данные в формулу(54.3) ,получается:подш=33+2=35 мм
Принимаем
dподш=45 мм.
Диаметр
мест под ступицу:
ступ=dподш
+ (3…5)мм (54.4)
подставляя
данные в формулу(54.4) ,получается: dступ=50 мм
Выходной
вал:
При
[τ]=12
МПа
диаметр выходного вала определяется по формуле (54.1), подставляя данные в
формулу (54.1) получается:
Принимаем
d=75 мм.
Диаметр
мест под уплотнение:
упл=
d+(1…3) мм (55)
подставляя
данные в формулу (55) получается:упл=75+3=78 мм
Принимаем
dупл=78 мм.
Диаметр
под подшипник:
подш=dупл+(1…4)мм
(56)
подставляя
данные в формулу (56) получается:подш=78+2=80 мм
Принимаем
dподш=80 мм.
Диаметр
мест под ступицу:
dступ=dподш
+ (3…5) мм (57)
подставляя
данные в формулу (57) получается: dступ=85 мм
Таблица
6
|
Вал
|
d вх или dвых, мм
|
d упл, мм
|
d подш, мм
|
d ступ, мм
|
|
1
вал
|
40
|
42
|
45
|
50
|
|
2
вал
|
75
|
80
|
85
|
90
|
6. Расчет размеров червячных колес и корпуса
редуктора
Расчет размеров червячных колес.
Конструирование червячного колеса и способ
соединения венца с центром зависит от объема выпуска. При серийном и
мелкосерийном производстве и небольших размеров колес (daM2<300
мм) зубчатые венцы соединяются с центром посадки с натягом. При постоянном
направлении вращения червячного колеса на наружной поверхности центра
предусматривают бортик, на который направляют осевую силу. В соединениях с
относительно небольшим натягом в стык зубчатого венца и центра устанавливают
винты.
Острые кромки на венцах притупляют фасками, с
округлением до стандартных значений.
f≈0,5m
(58)
подставляя данные в формулу (58) получаем:
f≈0,5×8=4
округляя до стандартного значения, получаем f=4.
Ширину S
торцов венца принимаем
S≈2m
(59)
подставляя данные в формулу (59) получаем:
S≈2×8=16
мм
Ширину венца принимаем равной 16 мм.
S0≈ 1,25S
(60)
подставляя данные в формулу (60) получаем:
S0≈ 1,25×16=19,2
мм
Толщину диска определяем по формуле (7.4):
C=(1,2…1,3)S0
(61)
подставляя данные в формулу (61) получаем:
C=(1,2…1,3)×19,2=23,04
мм
b≈(0,3…0,5)b2
(61.1)
подставляя данные в формулу (67) получаем:
b≈
(0,3…0,5)*72=32 мм
h≈ (0,3…0,4)b
(62)
подставляя данные в формулу (62) получаем:
h≈ (0,3…0,4)×32=10
мм
Расчет размеров корпуса редуктора
Толщина стенки корпуса
d≈ 0,025aw+1…5
(63)
подставляя данные в формулу (63) получаем:
d≈ 0,025×200+1…5=10
мм
Толщина стенки крышки корпуса редуктора
d1≈ 0,02aw+1…5
(64)
подставляя данные в формулу (64) получаем:
d1≈ 0,02×200+1…5=9 мм
Толщина верхнего пояса корпуса редуктора
S≈1,5d
(65)
подставляя данные в формулу (65) получаем:
S≈1,5×10=15
мм
Толщина пояса крышки редуктора
S1≈1,5d1
(66)
подставляя данные в формулу (66) получаем:
S1≈1,5×9=14
мм
Толщина нижнего пояса корпуса редуктора
t≈(2…2,5)d
(67)
подставляя данные в формулу (67) получаем:
t≈(2…2,5)×10=22
мм
Толщина ребер жесткости корпуса редуктора
С≈0,85d (68)
подставляя данные в формулу (68) получаем:
С≈0,85×10=9 мм
Диаметр фундаментных болтов
dф≈(1,5…2,5)d
(69)
подставляя данные в формулу (69) получаем:
dф≈(1,5…2,5)×10=20мм
М20 ГОСТ 7798-70
Ширина нижнего пояса корпуса редуктора
К2≥2,1dф
(70)
подставляя данные в формулу (70) получаем:
К2≥2,1×20=42 мм
Диаметр болтов соединяющих корпус с крышкой
редуктора
dk≈(0,5…0,6)dф
(71)
подставляя данные в формулу (71) получаем:
dk≈(0,5…0,6)×20=10
мм
М10 ГОСТ 7798-70
Ширина пояса соединения корпуса и крышки
редуктора около подшипников
К≈3dk
(72)
подставляя данные в формулу (72) получаем:
К≈3×10=30 мм
Диаметр болтов, соединяющих крышку и корпус
редуктора около подшипников
dk.п.≈0,75dф
(73)
подставляя данные в формулу (73) получаем:
dk.п.≈0,75×20=12
мм
М12 ГОСТ 7798-70
Диаметр болтов для крепления крышек к редуктору
dп.≈(0,7…1,4)d
(74)
подставляя данные в формулу (74) получаем:
dп.≈(0,7…1,4)×10=12
мм
М12 ГОСТ 7798-70
Диаметр отжимных болтов можно принимать
ориентировочно из диапазона 8…16 мм. Примем диаметр болтов равный 12 мм.
М12 ГОСТ 7798-70
Диаметр болтов для крепления крышки смотрового
отверстия dk.с.≈6…10
мм. Примем диаметр болтов равным 8 мм.
М8 ГОСТ 7798-70
Диаметр резьбы пробки
dп.р.≥(1,6…2,2)d
(75)
подставляя данные в формулу (75) получаем:
dп.р.≥(1,6…2,2)×10=16
мм
Длины выходных концов l1
и l2 валов
определяется из соотношения l≈(1,5…2)dв,
а затем уточняют, исходя из длин ступиц деталей, насаживаемых на эти концы
l1≈(1,5…2)dв1
(76)
l2≈(1,5…2)dв2
(77)
подставляя данные в формулу (76) и (77)
получаем:
l1≈(1,5…2)×40=70
мм
l2≈(1,5…2)75=120 мм
7. Расчет шпоночных соединений
Шпоночные соединения применяются для передачи
крутящего момента. В данном курсовом проекте применяются призматические шпонки
со скругленными торцами. Размеры сечений шпонок, пазов, и длины даются по ГОСТ
23360 - 78. Материал шпонок - сталь 45 нормализованная.
Основным расчетом для призматических шпонок
является условный расчет на смятие в предположении равномерного распределения
давления по поверхности контакта боковых граней шпонки с валом и ступицей.
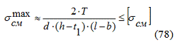
Условие прочности шпонки на смятие
Допускаемые напряжения смятия
МПа.
Входной вал. d=45 мм; b*h=12*8; t1=6мм; длина
шпонки
; момент на
валу N=47,6 Н×м
подставляя данные в (78) получается:
что меньше
.
Выходной вал.
d=75 мм;
мм;
9 мм; длина
шпонок l=110 мм;
момент на выходном валу Т=677 Н∙м.
Допускаемые напряжения смятия
МПа.
подставляя данные в формулу (78) получается:
что меньше
.
Колесо.
Допускаемые напряжения смятия
МПа.
d=90 мм;
;
9 мм; длина
шпонок l=70 мм;
момент на выходном валу Т=918,677 в формулу (78) получается:
что меньше
.
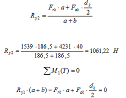
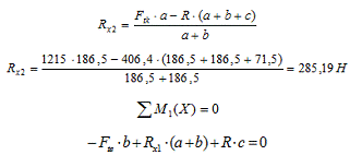
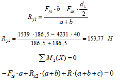
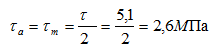
Дано: Ftk=1215;
Frk=1539 Н, Fak=4231
Н, Мкр=65,5 Н×м Q=406,4
Н,
а = b
=186,5 мм,
с=71,5 мм.
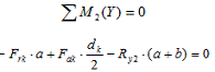
Определение реакций опор
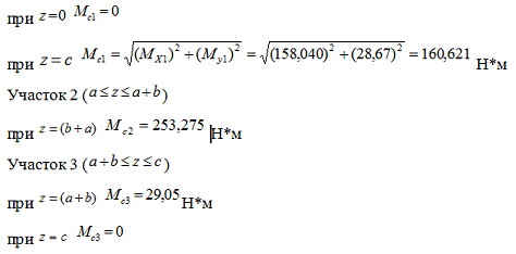
Тогда:
Построение эпюры МХ
Построение эпюры МY
Построение эпюры суммарного изгибающего момента
Участок 1 (
)
8. Расчет опасных сечений
Решение:
временное сопротивление разрыву
;
- предел выносливости при
симметричном цикле напряжений изгиб
;
предел выносливости при симметричном
цикле напряжений кручения
(таблица
11.3.1 );
коэффициенты чувствительности
материала к асимметрии цикла напряжений соответственно при изгибе и кручении
и
;
Находим (интерполированием)
эффективные коэффициенты концентрации напряжений при изгибе и кручении
и
при изгибе
;
среднее
напряжение цикла;
Масштабные коэффициенты
;
.
Эффективные коэффициенты
концентрации напряжений для данного сечения вала при отсутствии
технологического упрочнения:
Для нереверсивной работы:
Амплитуда номинальных напряжений
изгиба:
Номинальные напряжения кручения:
Амплитуда и среднее значение
номинальных напряжений кручения:
Запас прочности для нормальных
напряжений по формуле:
Запас прочности для касательных
напряжений по формуле:
Общий запас прочности в сечении:
Условия запаса прочности выполняются.
9. Уточненный расчет подшипников
Подшипники качения - это опоры вращающихся или
качающихся деталей, использующие элементы качения (шарики или ролики) и
работающие на основе трения. Подшипники качения часто подвергаются совместному
действию радиальной и осевой нагрузок; нагрузка может быть постоянной,
переменной или сопровождаться ударами; вращаться может внутреннее или наружное
кольцо; температура может быть нормальной, повышенной или пониженной. Все эти
факторы влияют на работоспособность подшипников и должны учитываться при выборе
нагрузке.
Подберем подшипник для вала червяка
Дано:
d = 45 мм - диаметр
цапфы вала
n = 705 об/мин -
частота вращения подшипников
Rs1= 861,2 Н -
радиальные силы, действующие на подшипники
Rs2= 1098,9 Н
(см. уточненный расчет валов)
FА = 4231 Н - осевая
сила, действующая на вал (см. расчет червячной передачи)
- при вращении внутреннего кольца
подшипника.
- коэффициент безопасности при
необходимом ресурсе работы (машины для двухсменной работы с неполной
нагрузкой);
Найдем ресурс работы подшипника
= 0,48
= 0,3
= 5 -
расчетный срок службы, лет
Подставляя значения в формулу (79)
получим
- температурный коэффициент [таблица
12.1.4];
- при вероятности безотказной
работы подшипников S = 0,9 [таблица 12.1.1]
- при обычных условиях хранения
[таблица 12.1.2]
р = 3 - показатель степени
. Задаемся шарикоподшипником
радиально-упорным однорядным средней серии 46310
диаметр подшипника, мм d = 45
наружный диаметр подшипника, ммD = 100
высота подшипника, ммВ = 25
динамическая грузоподъёмность, HС = 61400
статическая грузоподъёмность, НС0
=37000
номинальный угол контактаa = 26
. Определяем минимальные осевые силы
для первого и второго подшипников:
Принимаем для a = 26
Найдем из формулы (80) для первого
подшипника осевую составляющую от радиальной нагрузки:
Найдем из формулы (80) для второго
подшипника осевую составляющую от радиальной нагрузки
. Определяем осевые реакции в
опорах.
Принимаем, что
, тогда из
условия равновесия:
Подставляя значения в формулу (81)
получим
>
- значит осевые силы найдены
правильно
. Определяем эквивалентную нагрузку.
Расчет ведем по второму подшипнику, как наиболее нагружен.
Для однорядных подшипников
Подставляя значения в формулу (82)
получим
Условие выполнено коэффициент осевой
динамической нагрузки:
5. Определяем эквивалентную динамическую
радиальную нагрузку на втором подшипнике
Подставляя значения в формулу (83) получим
Определяем ресурс работы принятого
подшипника
Подставляя значения в формулу (84)
получим
Подставляя значения в формулу (85)
получим
Подшипник проходит по ресурсу.
10. Выбор смазки и смазочных материалов
Смазывание червячных зацеплений и подшипников
уменьшают потери на трение, предотвращает повышенный износ и нагрев деталей, а
так же предохраняет детали то коррозии. Снижение потерь на трение обеспечивает
повышение КПД редуктора.
По способу подвода смазочного материала к
зацеплению различают картерное и циркуляционное смазывание.
Картерное смазывание осуществляется окунанием
червяка в масло, заливаемое внутрь корпуса. Червяк погружают в масло на высоту
витка, но не выше центра нижнего тела качения подшипника. Если условия
нормальной работы подшипников не позволяет погрузить червяк в масло, то
применяют брызговики, забрасывающие масло на червячное колесо.
Для смазывания подшипников применяют пластичные
и жидкие нефтяные смазочные материалы. Жидкое масло является основным смазочным
материалом - оно имеет низкий коэффициент внутреннего трения, легко поступает к
месту смазки, оказывает охлаждающее действие.
В редукторах применяют следующие виды смазки:
погружением подшипника в масляную ванну; фитилем; разбрызгиванием (картерная)
под давлением (циркуляционная); масляным туманом (распылением).
На практике применяют смазывание подшипника тем
же маслом, что и детали передач.
Масло, налитое в корпус, периодически меняют,
для чего в корпусе предусмотрено отверстие, закрываемое пробкой с
цилиндрической резьбой, под которую поставлена уплотняющая прокладка, т.к. эта
резьба не создает надежного уплотнения.
Для наблюдения за уровнем масла установлен
жезловой маслоуказатель. Чтобы избежать просачивания масла через уплотнения и
стыки, внутреннюю полость корпуса сообщают с внешней средой установкой отдушины
(в крышке смотрового отверстия).
Необходимый объем заливаемого масла для
червячного редуктора
(из условия 1 л на
1 кВт передаваемой мощности).
Выбор масла
Определяем кинематическую вязкость в зависимости
от контактного напряжения (sн=168 МПа) и скорости
скольжения (υs=3,06
м/с), принимаем равной 20×10-6 м2/с.
В зависимости от кинематической вязкости
выбираем масло - индустриальное И-30А.
11. Тепловой расчет редуктора
При работе редуктора потери мощности, вызванные
трением в зацеплении и в подшипниках, перемещением и разбрызгиванием масла,
приводят к нагреву деталей редуктора и масла. При нагревании вязкость масла
резко падает, что приводит к нарушению режима смазывания. Нормальная работа
редуктора будет обеспечена, если температура масла не превысит допускаемой.
При установившемся режиме работы редуктора все
выделяющееся тепло отдается через его стенки окружающему воздуху; этому
соответствует определенный перепад температур между маслом и окружающим
воздухом. Условие работы редуктора без перегрева
где tм
- температура масла, °С;
tо - температура
окружающего воздуха, °С (принимают обычно tо=20
°С);
Рч - подводимая мощность, Вт;
h - КПД редуктора;
kt -
коэффициент теплопередачи [kt≈12¸18
Вт/(м2×°С)];
А - площадь теплоотдающей поверхности корпуса
редуктора, м2;
[tмах]=100¸120
°С.
Подставляя данные в формулу (86) получим
Что больше допускаемого значения перепада
температур при нижнем расположении червяка.tm≥[tmax]
Для уменьшения tм
следует, соответственно, поставить вентилятор на вал червяка снаружи корпуса и
рёбра жёсткости вдоль оси вращения колеса.
Заключение
Курсовой проект по механике является первой
самостоятельной конструкторской работой студента. При выполнении его
закрепляются знания по курсу "Механика", развивается умение
использовать для практических приложений сведения из ранее изученных дисциплин,
приобретаются навыки работы со справочной литературой, государственными и
отраслевыми стандартами.
Объектом курсового проекта являются механические
передачи для преобразования вращательного движения, а также вращательного в
поступательное. Наиболее распространенными объектами в курсовом проекте
являются передачи цилиндрические, конические, червячные и передачи гибкой
связью. Такой выбор связан с большой распространенностью и важностью их в
современной технике. В данном проекте был рассмотрен редуктор. Здесь имеются
зубчатые колеса, валы, подшипники, корпусные детали, уплотнительные устройства
и т.д. При проектировании редуктора нашли практическое приложение такие
важнейшие сведения из курса, как расчеты на контактную изгибную прочность,
кинематические расчеты, выбор материалов, масел, посадок и т.д.
Таким образом, курсовое проектирование по
"Механике" является важным этапом обучения.
электродвигатель редуктор подшипник
колесо
Библиография
1) Анурьев В.И. Справочник
конструктора-машиностроителя. В 3-х т. - М.: Машиностроение, 1982.
) Власов В.А. Расчёт валов на
прочность. Методические указания к курсовому и дипломному проектированию. -
ВятГТУ, Киров, 1998.
) Дунаев П.Ф., Леликов О.П.
«Конструирование узлов и деталей машин». - М.: Машиностроение, 2003.
) Мельчаков М.А. «Примеры расчётов
деталей машин». - ВятГУ, Киров, 2011.
) Устюгов И.И. Детали машин. - М.:
Высшая школа, 1981.
) Чернавский С.А. Курсовое
проектирование деталей машин - М.: Машиностроение, 1987.
Приложение А
Расчет вала червячного колеса.
Эпюры изгибающих и крутящего моментов на
выходном валу.
Для расчета подшипников: На левый подшипник
действует сила Rs1=3273,61 Н. На правый подшипник действует сила Rs2=2176,73 Н
Для расчета опасных сечений:
Вид опасного сечения - галтель
Исходные данные:
|
Крутящий
момент в опасном сечении T
|
677
Н·м
|
|
Изгибающий
момент на выходном валу Мs
|
272,019
Н·м
|
|
Наименьший
диаметр вала d
|
75
мм
|
|
Реверсивность
вала:
|
не
реверсивный
|
|
Наличие
технологического упрочнения:
|
нет
|
Материал:
|
Материал:
|
таблица
1
|
Сталь
45
|
|
Диаметр
заготовки d
|
таблица
1
|
<=300
мм.
|
|
Твердость
HB
|
таблица
1
|
200…220
|
|
Предел
прочности σв
|
таблица
1
|
785
МПа
|
|
Предел
выносливости гладкого образца при симметричном цикле изменения напряжений
изгиба σ-1
|
таблица
1
|
383
МПа
|
|
Предел
выносливости гладкого образца при симметричном цикле изменения напряжений
кручения τ-1
|
таблица
1
|
226
МПа
|
Расчет:
|
Параметр
|
Формула
|
Значение
|
|
Коэффициент
чувствительности материала к асимметрии цикла напряжений при изгибе ψσ
|
страница
5
|
0,1
|
|
Коэффициент
чувствительности материала к асимметрии цикла напряжений при кручении ψτ
|
страница
5
|
0,05
|
|
Масштабный
фактор εσ
|
таблица
4
|
0,75
|
|
Масштабный
фактор ετ
|
таблица
4
|
0,73
|
|
Отношение
высоты ступицы h к радиусу скругления r, и отношение r к d - диаметру вала
|
выбор
пользователя
|
1
0.01
|
|
Эффективный
коэффициент концентраций напряжений Kσ
|
таблица
2
|
1,45
|
|
Эффективный
коэффициент концентраций напряжений Kτ
|
таблица
2
|
1,3
|
|
Эффективные
коэффициенты концентрации напряжений в зависимости от шероховатости
поверхности Kσn
и
Kτn
|
таблица
5
|
1,1
|
|
Эффективный
коэффициент концентрации напряжений для детали Kσd
|
Kσd=(Kσ+Kσn
-1)/εσ
|
2,06
|
|
Эффективный
коэффициент концентрации напряжений для детали Kτd
|
Kτd=(Kτ+Kτn
-1)/ετ
|
1,91
|
|
Осевой
момент сопротивления W0
|
W0=π·d3/32
|
41417,48
мм3
|
|
Осевой
момент сопротивления Wp
|
Wp=π·d3/16
|
82834,96
мм3
|
|
Амплитуда
номинальных напряжений изгиба σA
|
σA=σ=Mизг сум·103/(0,1·d3)
|
6,56
МПа
|
|
Амплитуда
номинальных напряжений изгиба τA
|
τA=τ=Tкр·103/(0,4·d3)
|
8,17
МПа
|
|
Коэффициент
запаса прочности для нормальных напряжений nσ
|
nσ=σ-1/(Kσd·σA+ψσ·σm)
|
28,3
|
|
Коэффициент
запаса прочности для касательных напряжений nτ
|
nτ=τ-1/(Kτd·τA+ψτ·τm)
|
28,21
|
|
Общий
коэффициент запаса прочности n
|
19,97
|
|
Приложение Б
Расчет подшипника при действии радиальной и осевой
нагрузки
Исходные данные:
|
Наименование
|
Источник
|
Величина
|
|
Радиальная
нагрузка действующая на левом подшипнике Rs1
|
|
3273,61
Н
|
|
Радиальная
нагрузка действующая на правом подшипнике Rs2
|
|
2176,73
Н
|
|
Осевая
нагрузка Fa
|
|
1215
Н
|
|
Частота
вращения n
|
|
35,25
об/мин-1
|
|
Необходимый
ресурс работы Lh
|
|
4500
ч
|
|
Коэффициент
вращения V
|
|
1
|
|
Температурный
коэффициент Кт
|
таблица
12.2.6
|
1
|
|
Коэффициент
безопасности Кб
|
таблица
12.2.5
|
1,2
|
|
Коэффициент
надеждности а1
|
таблица
12.2.1
|
1
|
|
Обобщенный
коэффициент совместного влияния качества металла и условий эксплуатации а2,3
|
таблица
12.2.2
|
0,75
|
Подшипник:
|
Номер
подшипника
|
7317A
|
|
Тип
подшипника
|
Конический
|
|
Серия
подшипника
|
средняя
|
|
Внутренний
диаметр подшипника d
|
85
мм
|
|
Наружний
диаметр подшипника D
|
180
мм
|
|
Монтажная
высота Т
|
44,5
мм
|
|
Показатель
степени β
|
3,33
|
|
Угол
контакта α
|
12°57'10''
|
|
Динамическая
грузоподъемность Cr
|
286000
Н
|
|
Статическая
грузоподъемность C0r
|
216000000
Н
|
Расчеты:
|
Наименование
|
Источник
|
Левый
подшипник
|
Правый
подшипник
|
|
Коэффициент
минимальной осевой нагрузки е'
|
таблица
12.2.3
|
0,286
|
0,286
|
|
Осевая
составляющая радиальной нагрузки S
|
S=е'·Rs
|
936,25246
H
|
622,54478
H
|
|
Эквивалентная
осевая сила FA
|
таблица
12.2.4
|
936,25246
H
|
936,25246
H
|
|
Коэффициент
минимальной осевой нагрузки е
|
таблица
12.2.3
|
0,345
|
|
Коэффициент
радиальной динамической нагрузки X
|
таблица
12.2.3
|
1
|
0,4
|
|
Коэффициент
осевой динамической нагрузки Y
|
таблица
12.2.3
|
0
|
1,739
|
|
Эквивалентная
нагрузка Pэ
|
Pэ=(X·V·Rs·+Y·FA)·Kб·Kт
|
3928,33
H
|
5534,06
H
|
|
Ресурс
работы L
|
L=a1·a2,
3·(Cr/Pэ)β
|
1191372,67
|
380560,83
|
|
Ресурс
работы Lh
|
Lh=106·L/(60·n)
|
563296770,69
|
179934198,58
|