Расчет привода и редуктора
Содержание
Введение
. Кинематический и силовой расчет
привода
.1 Выбор электродвигателя
.2 Определение передаточного числа
привода
.3 Определение основных параметров
валов
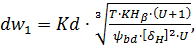
. Расчет зубчатой передачи
.1 Выбор материала зубчатых колес и
вида термообработки
.2 Определение допускаемых
напряжений
.3 Предварительный выбор угла
наклона зубьев
.4 Выбор коэффициента ширины
зубчатых колес
.5 Проектировочный расчет на
контактную выносливость
.6. Проверочный расчет зубчатой
передачи
. Эскизная компоновка редуктора
. Расчет валов
.1 Расчет валов на статическую
прочность
.2. Расчет вала на выносливость
. Выбор шпонки
. Выбор подшипников качения
. Выбор смазочных материалов и
системы смазки
Заключение
Список используемых источников
Введение
Целью курсовой работы является закрепление
знаний и вычислительных навыков, полученных студентами-судомеханиками при
изучении теоретического курса лекций по дисциплине детали машин, а также при
выполнении практических и лабораторных работ по этой дисциплине.
Редуктор - механизм, передающий и преобразующий
крутящий момент, с одной или более механическими передачами.
Обычно редуктором называют устройство,
преобразующее высокую угловую скорость вращения входного вала в более низкую на
выходном валу, повышая при этом вращающий момент.
.Кинематический и силовой расчет привода
.1 Выбор электродвигателя
Определение требуемой мощности электродвигателя
, (1)
где ŋпр - КПД привода.
ŋпр= ŋзп·ŋпк·ŋпк·ŋм
,
(2)
где ŋзп = 0.98 - КПД зубчатой
передачи,
ŋпк = 0.995 - КПД подшипников
качения,
ŋм = 0.98 - КПД муфты.
ŋпр= 0.98·0.9952·0.98=0.95,
Наиболее предпочтительным для приводов общего
назначения являются двигатели с числом оборотов 1000 об/мин и 1500 об/мин.
Выбор двигателя производится по ГОСТ 19523-81.
Выбираем двигатель 4А112МА6У3, мощностью 3.0 кВт.
.2 Определение передаточного числа привода
, (3)
где nэ
- число оборотов электродвигателя.
nпр
- число оборотов привода.
Число оборотов привода определим из формулы:
, (4)
где ω
= 19 - угловая скорость.
= 181.53 об./мин.,
Определяем передаточное число привода при
использовании двигателя 1500 об/мин:
И при использовании двигателя 1000 об/мин:
Поскольку для одноступенчатых косозубых
редукторов Uпр ≤
5.2, поэтому отдаем предпочтение второму варианту.
Принимаем Uпр=5.6.
1.3 Определение основных параметров валов
Таблица 1. Основные параметры валов
|
N
вала
|
Мощность, кВт
|
Частота вращения, об./мин.
|
Крутящий момент, Н·м
|
|
1
|
P1=Pэ=3.0
|
1= 2
=
960
|
T1=
=
29.9
|
|
2
|
P2=
P1·ŋпк·ŋм
=2.9
|
2= 1=
960
|
T2= =
29.2
|
|
3
|
P3=P2·ŋзп·ŋпк=2.86
|

|
. Расчет зубчатой передачи
.1 Выбор материала зубчатых колес и вида
термообработки
привод вал редуктор прочность
Для обеспечения длительной работы зубчатых
передач, разность средних твердостей колеса и шестерни должна составлять 20…50
НВ.
Колесо:
Материал - сталь 45;
Вид термообработки - нормализация;
Твердость - 200 НВ;
Предел прочности(δВ)
- 570 МПа;
Предел текучести(δТ)
- 290 МПа.
Шестерня:
Материал - сталь 45;
Вид термообработки - улучшение;
Твердость - 220 НВ;
Предел прочности(δВ)
- 730 МПа;
Предел текучести(δТ)
- 390 МПа.
.2 Определение допускаемых напряжений
Допускаемые напряжения для шестерни и колеса
определятся как:
, (5)
где
=
2HB + 70 - предел
контактной поверхности зубьев,
SH
=
1.1 - коэффициент безопасности,
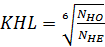
KHL -
коэффициент долговечности.
, (6)
где NHO
= 10·106 - базовое число циклов перемены напряжения,
NHE
= NΣ
- эквивалентное число циклов перемены напряжения.
NΣ
= 24·Ксут·365·Кгод·L. (7)
где L=
10 - срок службы.
Допускаемые напряжения для шестерни:
Для колеса:
В качестве допускаемого контактного напряжения,
примем условное допускаемое напряжение:
(8)
Допускаемое напряжение зубьев определится как:
(9)
где
=
1.8 НВ - предел выносливости зубьев при изгибе,
= 1.75 -
коэффициент безопасности,
KFL -
коэффициент долговечности.
где
=
6(для косозубых колес) - показатель степени,
= 4·106,
= NΣ.
Допускаемое напряжение зубьев шестерни:
Для колеса:
2.3 Предварительный выбор угла наклона зубьев
Угол наклона β, выбирается
из диапазона от 8 до 18°.
Для предварительных расчетов принимаем β
= 10°
2.4 Выбор коэффициента ширины зубчатых колес
Коэффициент ширины зубчатых колес ψbd,
выбирается из диапазона от 0.8 до 1.4.
где bw
- ширина венца,
dw - начальная
окружность.
Принимаем ψbd
=
1.
2.5 Проектировочный расчет на контактную
выносливость
Предварительное значение начального диаметра
шестерни:
(10)
где
-
вспомогательный коэффициент,
- коэффициент,
учитывающий неравномерность распределения нагрузки по ширине венца,
- крутящий момент
второго вала.
Нормальный модуль зубьев:
(11)
Межосевое расстояние передачи:
(12)
Для обеспечения технологичности корпусов
межосевое расстояние передачи принимаем равным большему значению:
Суммарное число зубьев:
(13)
Число зубьев шестерни:
(14)
Число зубьев колеса:
(15)
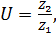
Фактическое значение передаточного отношения:
(16)
Действительный угол наклона зубьев:
(17)
Начальный диаметр шестерни:
(18)
Начальный диаметр колеса:
(19)
Проверка межосевого расстояния:
(20)
Диметры делительных окружностей:
(21)
(22)
Диаметры вершин зубьев:
(23)
(24)
Диаметр впадин:
(25)
(26)
Рабочая ширина зубчатого венца:
(27)
(28)
Определение окружной скорости зубчатых колес:
(29)
где
-
количество оборотов.
Выбор степени точности зубчатых колес:
Выбираем степень точности равную 8.
2.6. Проверочный расчет зубчатой передачи
Расчет на контактную выносливость:
(30)
где
-
коэффициент учитывающий форму зуба,
- коэффициент
учитывающий материал,
- коэффициент
учитывающий длину линии зацепления (
),
- удельная,
расчетная окружная сила.
(31)
где
,
- коэффициент
учитывающий нагрузку по ширине венца,
- коэффициент
учитывающий динамическую нагрузку.
(32)
где
-
удельная, окружная динамическая сила,
- удельная
расчетная окружная сила.
.
.
3. Эскизная компоновка редуктора
Предварительный расчет вала, предварительное
определение диаметра вала:
(33)
Толщина стенки редуктора:
(34)
Толщина стенки должна быть не менее 7 мм.
Расстояние от торца зубчатого колеса до
внутренней стенки корпуса редуктора:
(35)
Расстояние от вершины зубьев до внутренней
стенки корпуса редуктора:
(36)
Длина ступицы зубчатого колеса:
(37)
Длина ступицы должна быть не менее ширины венца.
Ширина подшипника качения:
(38)
Окружная сила:
(39)
Радиальная сила:
(40)
Осевая сила:
(41)
4. Расчет валов
4.1 Расчет валов на статическую прочность
Расчет вала колеса:
Эпюра вала представлена на рисунке 1.
Рисунок 1. Эпюра вала.
Горизонтальна плоскость:
(42)
Преобразуем уравнение (42):
Вертикальная плоскость:
(43)
(44)
(45)
Преобразуем уравнение (45):
Максимальный изгибающий момент:
(46)
Приведенный момент в опасном сечении:
(47)
Выбора материала:
Выбираем сталь 45. Термическая обработка -
улучшение. HB - 220.
Диаметр в опасном сечении:
(48)
где
-
допускаемое напряжение.
Поскольку в опасном сечении присутствует
шпоночный паз, то расчетное значение увеличивают на 5%, затем окончательно
округляем до нормального значения стандартного ряда.
Диаметр цапфы:
(49)
Диаметр цапфы должен быть больше (или равен)
20мм. и кратный 5.
Таблица 2. Размеры шпоночного соединения.
|
Сечение шпонки
|
Фаска
|
Глубина паза
|
Длина
|
|
b
|
h
|
|
Вал
|
Ступица
|
|
|
10
|
8
|
0.4-0.6
|
5
|
3.3
|
22-110
|
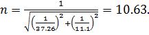
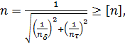
4.2 Расчет вала на выносливость
Общий коэффициент запаса усталостной прочности:
(50)
где
-
запас прочности по нормальным напряжениям изгиба,
- запас прочности
по костельным напряжения от кручения.
(51)
где
-
предел выносливости материала при изгибе,
- эффективный
коэффициент концентрации напряжений,
- масштабный
фактор,
- амплитуда
колебаний цикла при изгибе,
- коэффициент
приведения несимметричного цикла к равно опасному симметричному,
- напряжение,
вызванное растягивающей (сжимающей) силой.
(52)
(53)
где
-
момент сопротивления.
(54)
где
- глубина
шпоночного паза в валу.
(55)
(56)
где
-
коэффициент концентрации напряжений,
(57)
(58)
(59)
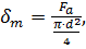
5. Выбор шпонки
Дополнительное напряжение на смятие:
Требуема длина шпонки:
(60)
Напряжение смятия:
(61)
6. Выбор подшипников качения
(62)
7. Выбор смазочных материалов и системы смазки
Объем масляной ванны определяется по формуле:
(63)
где
-
мощность двигателя.
Марка масла:
Заключение
Были проведены расчеты необходимые для
проектирования одноступенчатого цилиндрического редуктора.
В кинематическом расчете редуктора были
определены требуемая мощность электродвигателя, принят электродвигатель.
Определены основные параметры редуктора .
Были проведены расчеты зубчатых передач
редуктора на прочность, в результате которых определены геометрические
параметры данных зубчатых передач, основные габаритные размеры.
Были выполнены, также, конструкторские расчеты
зубчатых колес, корпуса редуктора, проведен выбор смазки.
На основании выполненных расчетов разработан
проектный чертеж конструкции редуктора.
Список используемых источников
1.
Курсовое проектирование деталей машин [Текст] : учеб. пособие / С.А. Чернавский
[и др.]. - 3-е изд., перераб. и доп. - М. : Инфра-М, 2012. - 413 с.
.
Конструирование узлов и деталей машин [Текст] : учеб. пособие / П.Ф. Дунаве,
О.П. Леликов. - 12-е изд., стереотип. - М. : Академия, 2009. - 496 с.
.Детали
машин [Текст] : Учебник для вузов / М.Н. Иванов; Под ред. В.А. Финогенова. -
9-е изд., испр. - М. : Высш. шк., 2005. - 408 с.