Расчет и проектирование элементов измерительных устройств
Курсовой проект
Расчет и проектирование элементов измерительных устройств
Введение
пружина
электромеханический жесткость
Упругие элементы
(пружины)
Пружины приборов разделяют на
плоские, материал которых испытывает деформации изгиба при работе; винновые
пружины растяжения - сжатия, проволока которых при деформации скручивается;
винтовые пружины кручения, по форме аналогичные винтовым пружинным растяжения -
сжатия, но, так же как и у плоских пружин, их проволока изгибается. Кроме этих
так называемых стержневых упругих элементов в приборах применяются упругие
оболочки в форме мембран, сильфонов и трубчатых пружин. На рис. 1 показаны
примеры стержневых пружин различных типов.
Рис. 1 Примеры стержневых пружин различных
типов
Измерительные пружины, которые
используются в качестве упругих измерительных преобразователей усилий и
моментов в линейные и угловые перемещения. На рис. 2, а показана спиральная
измерительная пружина магнитоэлектрического прибора.
Натяжные пружины - наиболее
распространенная группа пружин; натяжные пружины различных типов и конструкций
показаны на рис. 2, б.
Кинематические пружинные устройства,
к которым относят как непосредственно пружинные передаточные механизмы (рис. 2,
в), так и упругие опоры (рис. 2, г), упругие направляющие (рис. 2, д) и гибкие
связи (рис. 2, е). Достоинством этих элементов приборов является практически
полное отсутствие трения при перемещениях механизмов, однако они могут
использоваться лишь при ограниченных перемещениях.
Амортизаторы, предохраняющие приборы
и их элементы от перегрузок при ударах и вибрациях. Пружины амортизаторов чаще
всего выполняются в виде винтовых пружин растяжения - сжатия или кручения и
нередко работают совместно с другими упругими элементами, например резиновыми.
Примеры пружин-амортизаторов
показаны на рис. 2, ж
Пружинные двигатели, использующиеся
преимущественно в малогабаритных переносных, автономных приборах. Чаще всего их
выполняют в виде плоских спиральных пружин; в отдельных случаях используют
винтовые пружины кручения и винтовые пружины растяжения - сжатия.
Примеры пружинных двигателей даны на
рис. 2, з.
Пружинные фрикционные и храповые
муфты и тормоза (рис. 2, и). Для большинства конструкций таких пружин
подбирается материал, обладающий не только высокой упругостью, но и
сопротивляемостью истиранию.
Электроконтактные пружины по своему
функциональному назначению близки к натяжным пружинам, но иногда выделяются в
отдельную группу в связи с дополнительными требованиями к электропроводности материала,
стойкости к коррозии и в ряде случаев к истиранию. Примеры электроконтактных
пружин даны на рис. 2, к.
Материал упругих элементов должен
обладать высокими упругими и прочностными свойствами в работе, быть достаточно
пластичным при изготовлении, чтобы технологический процесс изготовления пружины
не был слишком сложным и дорогим. Для пружин измерительных преобразователей
особое значение имеет стабильность упругих свойств материала во времени
(отсутствие ползучести, последствия, гистерезиса, релаксации напряжений).
Существенные ограничения на выбор
материала налагают агрессивные свойства рабочей среды; пружины, работающие в
условиях агрессивных сред, изготовляют из коррозионностойких материалов.
Рис. 2 Виды пружин
Для материалов пружин
электроизмерительных приборов определяющими могут быть такие их свойства, как
электропроводность или магнитная проницаемость. В тех случаях, когда процесс
изготовления упругого элемента включает операции сварки или пайки, материал должен
обладать соответственно хорошей свариваемостью и легко паяться.
В зависимости от технологической
операции, придающей материалу упругие свойства, материалы упругих элементов
разделяют на две группы. К первой группе относятся материалы, которые, обладая
высокой пластичностью в отожженном состоянии, значительно повышают свои упругие
свойства в результате нагартовки, возникающей при изготовлении упругого
элемента. К таким материалам относятся латуни Л80, Л90, нейзильбер МНЦ15-20,
кремниево-марганцевая, оловянно-цинковая, оловянно-фосфорная бронзы, элинвар,
хромо-никелевая нержавеющая сталь 1Х18Н9Т и др. Необходимо отметить, что
пружины из этих материалов обладают относительно низкими упругими свойствами и
нестабильны во времени. Это объясняется наличием значительных остаточных
напряжений, возникающих в материале при изготовлении упругого элемента. Рабочие
температуры элементов из нагартовываемых цветных сплавов невысоки (до 100… …200о
С). Несмотря на эти недостатки, материалы первой группы получили достаточно
широкое применение, особенно для изготовления неответственных пружин. Так, для
изготовления винтовых и плоских пружин применяется углеродистая стальная
пружинная проволока, подвергаемая специально термообработке (патентированию) и
последующему сильному наклепу. В результате этого материал приобретает высокую
прочность и в то же время сохраняет пластичность, достаточную для дальнейшей
механической обработки. Пружины, изготовленные из такой проволоки, как правило,
не подвергаются дополнительной термообработке, кроме проводимого иногда
небольшого нагрева для снятия остаточных напряжений.
Ко второй группе принадлежат
материалы, повышающие свои упругие свойства в процессе термической обработки.
Это углеродистые стали У8Ф…У12А и легированные стали 65Г, 60С2А, 70С2ХА, Х05,
50ХФА, 4Х13 и др., получающие высокие упругие и прочностные свойства после
закалки изготовленных из них пружин.
Наилучшим сочетанием технологических
и эксплуатационных свойство по отношению к упругим элементам обладают
дисперсионно-твердеющие сплавы, например бериллиевая бронза, никель - титановая
бронза, марганцевый мельхиор и др. Высокая пластичность этих сплавов в
закаленном состоянии позволяет изготовлять из них упругие элементы практически
любой сложной формы. В процессе отпуска, который иногда называют старением или
облагораживанием, отформованный упруги элемент получает высокую упругость и
прочность. Рабочие температуры элементов из этих материалов могут достигать
300…350о С. Дисперисонно-твердеющие сплавы используются для
изготовления чувствительных элементов измерительных приборов.
Разнообразие требований к свойствам
упругого элемента не позволяет ограничиться рекомендацией небольшого числа
материалов, которые были одинаково пригодны для различных пружин и
измерительных упругих элементов. Число материалов, специально разработанных для
изготовления плоских и винтовых пружин, удовлетворяющих тем или иным
эксплуатационным условиям, весьма велико.
Выбор материала пружины
предопределяет расчетные значений модулей упругости при растяжении Е и сдвиге О
и прочностные характеристики 
В тех случаях, когда в
таблицах свойств материалов даются только величины 
величину 
, необходимую для
расчетов винтовых пружин растяжения - сжатия, подсчитывают по формуле 
.
Определение допускаемого
нормального [σ] или костельного [τ] напряжения может
быть сделано только после выбора величины коэффициента запаса 
. Значение коэффициента
запаса выбирают в зависимости от назначения пружины в механизме, условий
эксплуатации и свойств материала пружины в пределах 1,2…2,5 (для более
пластичных материалов 
=5…10. В этом случае
коэффициент запаса выбирается уже низ соображений прочности, а из необходимости
получить малый гистерезис характеристики пружины.
Пружины, работающие под
статической нагрузкой или при кратковременных усилиях, изменяющихся в небольшом
диапазоне, рассчитывают по коэффициенту запаса текучести. Пружины, работающие
при значительно и часто изменяющейся нагрузке, например пружины амортизаторов,
следует рассчитывать с учетом коэффициента запаса по выносливости; если в
справочной литературе величины предела выносливости нет, то в этом случае для определения
допускаемого напряжения используют значение предела текучести, несколько
увеличивая принимаемых коэффициент запаса.
Потенциометры
Потенциометрический
преобразователь (потенциометр) предназначен для получения электрического
сигнала, функционально зависящего от перемещения токосъемного элемента (движка
с контактами). Потенциометр представляет собой регулируемый делитель
напряжения, выполненный на основе резистивного элемента. При соответствующем
включении он может быть использован и как переменное сопротивление.
Электрическая схема
потенциометра показана на рис. 3. Входное напряжение U0 подводится к
точкам А и В потенциометра, а выходное Uвых снимается с точек А и С
(скользящий контакт).
Рис. 3 - Электрическая
схема потенциометра
Текущее сопротивление Rx
потенциометра связано с перемещением движка Ix зависимостью

Где R0 и l0
- соответственно общее сопротивление и полная рабочая длина потенциометра.
Тогда

В том случае, когда Rx=f(lx),
то Uвых=f(lx). Такие потенциометры получили название
функциональных. Функциональные потенциометры могут быть получены различными
путями. Наиболее распространенным является использование резистора с переменным
приращением сопротивления на единицу перемещения движка потенциометра (обмотка
с переменным шагом, переменная длина витка обмотки, применение для обмотки
провода с различным поперечным сечением, с токоподводящей пленкой переменного
поперечного сечения и т. П.). Другой путь заключается в использовании линейного
резистивного элемента с шунтированием отдельных его участков. И, наконец, можно
использовать линейный резистивный элемент, но перемещение движка потенциометра
функционально связать с аргументом (перемещением или углом поворота). Это
достигается применением кулачковых, механизмов или ходового винта с
неравномерным шагом.
Важной характеристикой
потенциометра является разрешающая способность. В проволочных потенциометрах
равномерное перемещение движка приводит к дискретному изменению Uвых
(рис. 4). Это объясняется тем, что движок потенциометра перемещается не по
длине провода, а переходит с одного витка на другой. Величина скачков
напряжения 
, характеризующая
разрешающую способность, обратно пропорциональна числу витков обмотки w:

Разрешающая способность
связана с витковой погрешностью 
проволочного
потенциометра, определяемой как наибольшее отклонение, вызванное дискретностью
изменения Uвых от теоретической характеристики. Величина этого
отклонения равна половине 
(рис. 4). Витковая
погрешность в процентах напряжения U0;

(2)
Выражение (2) получено в
предположении того, что движок одновременно касается только одного витка. На
самом же деле при переходе с одного витка на другой происходит закорачивание
двух соседних витков.
Рис. 4 - К пояснению
принципа действия потенциометра
Это приводит к
появлениию промежуточного скачка напряжения, величина которого зависит от
положения движка на потенциометре. В серединие обмотки величина промежуточного
скачка оказывается равной половине 
а это, в свою очередь,
формально приводит к двукратному уменьшению 
. Таким образом, 
по формуле (2)
представляет собой максимальное значение витковой погрешности потенциометра, и
она лишь условно принимается за постоянную для линейных потенциометров.
Общее сопротивление
потенциометра R0 зависит от геометрических размеров потенциометра и
параметров обмотки или покрытия (удельного электрического сопротивления ρ,
размеров поперечного сечения каркас и т.п.) Величина R0
ограничивается снизу допустимым нагревом потенциометра (а у проволочных
потенциометров также и точностью), а сверху - технологической возможностью
изготовления проводника с малыми размерами поперечного сечения, небольшим
сроком службы (тонкий проводник быстрее изнашивается) и низким удельным
сопротивлением проводника.
Рис. 5 - К расчету
погрешностей потенциометра
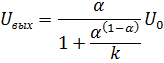
На характеристику
потенциометра оказывает влияние величина сопротивления нагрузки Rн.
Для линейного потенциометра выражение (1) справедливо только в случае
бесконечно большого сопротивления нагрузки.
При Rн
(рис.
5)
Где k=Rн/R0
и α=R2/R0.
Погрешность 
, обусловленная
нагрузкой, равная разности действительного передаточного коэффициента
потенциометра и передаточного коэффициента при Rн=
(он численно равен α):

(3)
На рис. 4 показаны
зависимости 
=f(α) при
различных значениях k.
При рассмотрении рис.
2.4 видно, что 
тем больше, чем меньше
k.
Рис. 6 - К расчету
погрешностей потенциометра
При проектировании
величина сопротивления нагрузки Rн обычно бывает заданной. Следовательно,
для увеличения k необходимо выбирать как можно меньше R0. Однако
чрезмерное уменьшение R0, как было оказано раньше, нежелательно.
Для устранения влияния
нагрузки линейный потенциометр проектируют так, чтобы в ненагруженном состоянии
он имел функциональную характеристику, которая при работе с заданной нагрузкой
становится линейной, соответствующей выражению (1).
В некоторых случаях
более эффективным является использование не скорректированного под нагрузку
линейного потенциометра, подключаемого в цепь таким образом, чтобы уменьшить
влияние нагрузки. Погрешность от нагрузки может быть снижена последовательно
включенным с потенциометром добавочным сопротивлением Rд (рис. 7,
а). Компенсация влияние нагрузки осуществляется вследствие того, что последовательно
включенное сопротивление Rд ограничивает рабочий диапазон
потенциометра.
Рис. 7 - Компенсация
погрешностей потенциометра
Другая схема (рис. 7, б)
предусматривает использование шунта, одним концом соединенного с источником
питания, а другим - подсоединенным к обмотке потенциометра. Наиболее эффективно
подсоединение шунта к обмотке в точке, в которой α=0,74. Шунт
должен иметь сопротивление Rш=0,31Rн.
Максимальная мощность
рассеяния Pmax показывает собой величину мощности, которая может
рассеиваться потенциометром без ухудшения его характеристик (изменение R0
и т.п.). Выбор Pmax зависит от температуры среды, в которой работает
потенциометр. При высокой температуре среды мощность рассеяния должна быть
соответствующим образом снижена. Величина Pmax позволяет определить
значение максимально допустимого значения U0 max:
Различают номинальную и
действительную мощности рассеяния.
Под номинальной
мощностью рассеяния Pном подразумевают мощность рассеяния
потенциометра с сопротивление нагрузки Rн=
, т.е.

(4)
Мощность рассеяния с Rн
:

(5)
При Rн=R0
(k=1) P=0.25Pном. При Rн=0 (k=0) и движке замкнутом на
землю, P=0. Таким образом, действительная мощность рассеяния P определяется
схемой включения потенциометра и положением движка. Так, если потенциометр
включен с добавочным сопротивлением Rд(рис. 7, а), то:

(6)
Где 
.
Номинальная мощность
рассеяния потенциометров, как правило, находится в пределах 0,1…10Вт.
Наиболее важными
механическими характеристиками потенциометра являются допустимая скорость перемещения
движка и рабочий вращающий момент.
Допустимая скорость
перемещения движка потенциометра определяется в основном возможностью отрыва
контактов от обмотки при так называемой критической скорости его движения. При
критической скорости контакты входят в резонанс и начинают «подпрыгивать».
Величина критической скорости зависит от конструкции движка и контактов,
шероховатости поверхности резистивного элемента и величины контактного усилия.
При увеличении контактного усилия и снижении степени шероховатости поверхности
величина критической скорости возрастает.
Скорость перемещения
движка оказывает влияние и на срок службы потенциометра, так как при больших
скоростях перемещения повышается механический износ резистивного элемента и
контактов. Практика показывает, что частота вращения движка потенциометра не
должны превышать 1,7…2,5 Гц.
Рабочий вращающий момент
потенциометра (момент трогания) - это момент, который необходимо приложить к
оси, с которой связан движок, для ее поворота. Величина этого момент зависит от
величины момента трения в оси движка. Наиболее важна эта характеристика тогда,
когда вращение оси потенциометра осуществляется чувствительными элементами
датчика. В этом случае рабочий вращающий момент потенциометра частично
определяет точность всего датчика.
В проволочных
потенциометрах общего назначения момент трогания лежит в пределах (0,5…3,6)*10-2
Нм.
Резистивный элемент
проволочного потенциометра представляет собой проволоку, намотанную на каркас.
Каркасы, используемые
для изготовления потенциометров, подразделяются на кольцевые (рис. 8, а),
пластинчатые (рис. 8, б), стержневые (рис. 8, е), дуговые (рис. 8, г) и
многооборотные (рис. 8, д).
Потенциометры с
кольцевыми каркасами используются либо для ограниченного поворота движка на
300…3580 (перемещение движка в этом случае ограничивается упорами),
либо для кругового движения с периодическим повторением одной и той же функции.
Дуговые потенциометры применяются для углов поворота движка на 40…900,
а пластинчатые для углов поворота 15…400 (с большой длиной
щеткодержателя) или для поступательного перемещения движка. Стержневые
потенциометры используются только для поступательного перемещения движка.
Рис. 8 - Конструкции
потенциометров
Неметаллические
материалы используют для изготовления каркасов потенциометров невысокой
точности, так как точность размеров каркасов получается не выше 3…4-го классов.
Использование
неметаллических материалов позволяет ввиду их высоких изоляционных качеств
отказаться от создания специальных изоляционных пленок на поверхности каркасов.
У металлических каркасов
такая пленка может быть получена либо нанесением слоя лака, либо при помощи
анодирования, в результате чего на поверхности каркаса образуется анодная
изоляционная пленка, которую затем пропитывают лаком. Первый способ имеет
недостаток заключающийся в том, что лаковая пленка представляет собой не только
электро, но и теплоизоляционный слой между обмоткой и каркасом. Это сводит на
нет одно из главных достоинств использования металлов для изготовления
потенциометров - улучшение теплового режима потенциометра. Кроме того,
получение тонких лаковых пленок постоянной толщины является сложной
технологической задачей. При втором способе осуществляется пропитка анодной
пленки лаком, а не нанесение лака на поверхность каркаса. После пропитки
размеры каркаса практически не изменяются. Пробивное напряжение анодной пленки
после пропитки ее лаком колеблется от 400 до 2400В в зависимости от времени
анодирования (0,5…2,5 ч). Получающаяся электроизоляцонная пленка обладает
лучшей теплопроводностью, чем лаковая. Анодные и лаковые пленки, обладающие
высокими изоляционными качествам, могут быть получены только на весьма гладких
поверхностях. Поэтому шероховатость каркаса до процесса создания пленки должна
быть не ниже 9…10-го классов.
Металлические каркасы
помимо высокой теплопроводности выгодно отличаются от неметаллических
возможностью получения сложной конфигурации каркаса с высокой точностью
размеров. Поэтому для высокоточных потенциометров и используют металлические
каркасы, несмотря на трудности создания электроизоляции между каркасом и
обмоткой. Металлические каркасы выполняют с допусками 0,01…0,05 мм на
номинальные значения в 0,3…3,0 мм толщины и ширины пластичных потенциометров и
0,01…0,03 мм на диаметры стержней стержневых потенциометров при номинальном их
значении 2…10 мм. Из потенциометров при номинальном из значении 2…10 мм. Из
технологических соображений толщину каркаса рекомендуется брать b>4d, где b
- толщина каркаса, d - диаметр проволоки обмотки, а радиусы закругления на
углах не менее 2d. При использовании каркаса прямоугольного сечения высота
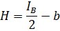
каркас H рассчитывается по формуле:
Где IB длинна
одного витка проволоки.
К материалу проволоки
для обмотки предъявляют следующие требования: высокое удельное сопротивление,
малых температурных коэффициент электрического сопротивления, высокая
коррозионная стойкость, высокие прочность и износостойкость. В табл. 1
приведены сведения о наиболее распространенных материалах для обмоточной
проволоки.
Константан отличается
большим постоянством сопротивления при изменении температуры. При нагреве на
поверхности константана образуется окисная пленка, обладающая
электроизоляционными свойствами. В ряде конструкций это позволяет производить
плотную намотку (виток к витку без изоляции), если напряжение между витками не
превышает 1 В. С другой стороны, окисная пленка требует применения больших
контактных усилий. Обычно константан используется для потенциометров средней
точности. Манганин имеет свойства примерно такие же как и константан. Нихром
имеет большое удельное сопротивлении, но отличается непостоянством его при
изменении температуры, устойчив к окислению на воздухе при высоких температурах.
У нихрома есть еще один недостаток - он плохо паяется. Сплавы на основе
платины, золота и палладия используются для изготовления обмотки высокоточных
потенциометров. Они антикоррозионны. Наиболее широко используется сплав ПДС-40.
Его удельное сопротивление такое же, как у константана, и в то же время он
позволяет получить небольшое контактное сопротивлении при малых контактных
усилиях.
Для намотки
потенциометров используют проволоку диметров 0,03…0,3 мм. Из манганина,
обладающего хорошей пластичностью выпускается так же проволока диметром 0,02 и
0,025 мм.
В случае, если обмотка
выполняется из неизолированной проволоки, намотка должна осуществляться с
зазором между витками, чтобы устранить возможность замыкания соседних витков.
При применении проволоки с изоляцией намотка может осуществляться без зазора.
Это повышает разрешающую способность. Крепление обмотки на каркасе может быть
осуществлено двумя способами. При первом каркас до намотки покрывается клейким
составом и намотка производится на не засохший слой состава. При намотке состав
вытесняется между витками, связывая их между собой. При другом способе клейкий
состав наносится на предварительно намотанную обмотку. После затвердевания
состава осуществляется зачистка контактной дорожки. Зачистка может осуществляться
как механическими способами с использованием абразивных материалов, так и
химическими и ультразвуковыми способами.
При конструировании
потенциометра особое внимание следует; обращать на конструктивное выполнение
выводов от обмотки. Наиболее часто для подсоединения выводного провода к
обмотке используются пайка и сварка.
В тех случаях, когда
требуется вывод от промежуточных точек потенциометра, рекомендуется такая
последовательность его получения. В требуемом месте оттягивают виток обмотки и
под нее пропускают конденсаторную бумагу. Этот виток зачищают, после чего под
витком пропускают зачищенный расплющенный конец выводного провода. Он огибается
вокруг оттянутого витка и припаивается к нему (рис. 9). Место пайки покрывается
лаком и закрывается бумагой на клее БФ-4.
Рис. 9 - К пояснению
принципа изготовления потенциометра
Электромагнитные
механизмы
Под электромагнитным
механизмом (ЭММ) понимают любое устройство, работа которого основана на
взаимодействии ферромагнитного подвижного элемента с магнитным полем,
создаваемым намагничивающей обмоткой. ЭММ состоит из двух основных узлов:
электромагнита (ЭМ) и исполнительного механизма (исполнительного органа,
механизма нагрузки). ЭММ по существу является преобразователем электромагнитной
энергии ЭМ в механическую энергию исполнительного механизма. Работа в ЭММ
совершается электромагнитными силами. Типичным примером ЭММ является
электромагнитное реле, в котором роль исполнительного механизма играет узел
контактных пружин.
Благодаря своим богатым
функциональным возможностям ЭММ в настоящее время нашли широкое применение
вообще и в особенности в приборных устройствах. Они отличаются не только
большим разнообразием выполняемых функций, но и в еще большей степени разнообразием
конструктивных решений. Это различного рода ЭММ для управления электрическими
цепями, применяемые в электроавтоматике, телеметрии, телефонии: реле -
коммутационные, токовые, напряжения, обратного тока;
шаговые переключатели,
контакторы, электромагнитные выключатели, магнитные пускатели и т.д.
Характерными механизмами электроприводов и устройств управления являются
электромагнитные муфты, служащие для включения и отключения приводимого
механизма, его реверса, а также для регулирования скорости и ограничения
момента. ЭММ используются в качестве приводов для управления различными
клапанами, вентилями, задвижками, золотниками (электромагнитные краны,
электропневмо-клапаны и т.д.), для создания удерживающей или тормозящей силы
(подъемные электромагниты, электромагнитные замки, тормозы и т.п.) в силовых
вибраторах. Интересным является применение ЭММ в магнитных подвесах, вибраторах
устройств питания и усиления электрических сигналов, в качестве регуляторов
электрических величин, так называемых электромагнитных пропорциональных
управляющих элементов систем автоматического управления.
Особенности приборных
ЭММ заключаются в следующем. Во-первых, приборные ЭММ - маломощные механизмы.
Во-вторых, к ним часто предъявляют высокие требования в отношении динамических
характеристик (быстродействия). В-третьих, это преимущественно ЭММ постоянного
тока. ЭММ постоянного тока в сравнении с ЭММ переменного тока имеют значительно
меньшую потребляемую мощность, массу и габариты и способны развивать большие
тяговые усилия. Даже в тех приборных устройствах, в которых имеется лишь
питающая сеть переменного тока, выгоднее установить специальный выпрямитель,
чем использовать ЭММ переменного тока. Такой выпрямитель легко может быть
реализован на полупроводниковых 3 элементах, учитывая, что ЭММ приборных
устройств являются мало - «| мощными. И, наконец, в-четвертых, приборные ЭММ
нередко отличаются особыми тяговыми характеристиками, что объясняется
особенностями их применения.
Наибольшую трудность при
создании ЭММ представляет расчет и проектирование наиболее сложного и
специфического узла ЭММ - его электромагнита.
Учитывая вышесказанное,
рассмотрим лишь ЭМ, причем только постоянного тока.
Характеристики
магнитного поля, элементы магнитной цепи и основные части ЭМ.
Магнитные поля представляют обычно с
помощью так называемых картин или спектров поля, полученных, например,
ориентированным расположением в нем железных опилок. Вид картин поля, а также
силы, действующие в нем, позволяют ассоциировать магнитное поле с некоторым
«застывшим» потоком жидкости. Говоря о движении жидкостей, вводят понятия
потока, который определяется количеством жидкости, протекающей через некоторую
поверхность 5, нормальную к направлению движения жидкости, в единицу времени, а
также плотности этого потока, которая равна потоку, проходящему через единичную
площадку. Для характеристики магнитного поля вводят аналогичные понятия потока
Ф(Вб) и его интенсивности или плотности В (Т). В соответствии с определением
= Ф/S
В качестве основных величин
магнитного поля чаще всего принимают индукцию В и магнитную постоянную µ0
(Г/м) или абсолютную магнитную проницаемость µ. (Г/м), причем индукция
рассматривается как величина, характеризующая силовые возможности поля.1
Для удобства выполнения расчетов в дополнение к основным величинам В и цо
формально вводят вспомогательную величину -' напряженность поля Н (А/м), не
давая ей физического толкования:
Н = В/µ
При расчете ЭМ с магнитной цепью из
магнитно-мягких материалов порядок величины Н - сотни А/м, а В-от сотых долей
до 1,5…2 Т.
На рис. 10 изображен простейший ЭМ,
состоящий из двух основных элементов: одной или нескольких обмоток и магнитной
цепи. Обмотка служит для создания необходимого магнитного потока, а магнитная
цепь - для его проведения. Магнитная цепь - это совокупность всех элементов,
через которые замыкается магнитный поток. Она содержит воздушные зазоры и
магнитопровод, т.е. часть магнитной цепи, выполненную из ферромагнитных
материалов. В свою очередь магнитопровод состоит из сердечника / (одного или
нескольких), на который насаживается обмотка 2 подвижного элемента - якоря 4 и
ярма 5 - участка магнитопровода, соединяющего якорь и сердечник или сердечники
между собой. Заметим также, что отдельные части магнитопровода /(исключая
сердечник и якорь) в различных типах ЭМ в зависимости от особенностей их
конструктивного выполнения могут называться по-разному: основанием, скобой,
стойкой, фланцем и т.п. При рассмотрении электромагнитных муфт неподвижные и
подвижные части их магнитопровода называют соответственно неподвижными и подвижными
полумуфтами.
Рис. 10 - Электромагнит
Воздушный зазор, за счет запасенной
магнитной энергии которого совершается работа ЭМ, называется основным или
рабочим и обозначается 6. Остальные воздушные зазоры, образованные в местах
сочленения отдельных элементов магнитопровода, называются нерабочими или
паразитными. Так, паразитными являются зазоры между сердечником и ярмом, между
якорем и ярмом, зазоры, обусловленные толщиной гальванических покрытий в местах
сопряжения деталей магнитопровода, и т.д. Поверхности, обращенные к рабочему
зазору, называются полюсами.
Иногда к концу сердечника,
обращенному к рабочему воздушному зазору, присоединяется полюсный наконечник 3,
который благодаря большему, чем у сердечника, сечению, облегчает проведение
магнитного потока через зазор.
Рис. 11 - Магнитный поток
Часть полного магнитного потока Ф,
создаваемого обмоткой, которая проходит через рабочий воздушный зазор 8,
называется рабочим магнитным потоком Фа- В основном именно этот поток
обусловливает механические силы, под действием которых совершается перемещение
якоря. Часть потока Ф, которая не замыкается через рабочий воздушный зазор,
называется потоком рассеяния или утечки Фу (рис. 11). В рабочем
магнитном потоке Ф& различают две части: торцовый поток Фт и
поток выпучивания, или краевой поток, Фк(рис. 11).
Величина рабочего потока Ф6
зависит от конфигурации магнитной цепи, взаимного расположения ее элементов,
степени ее насыщения, а также величины воздушных зазоров. Чем больше воздушные
зазоры и чем выше насыщение магнитной цепи, тем меньше Ф6 и
соответственно больше потоки рассеяния Ф5. Разумеется, при движении
якоря ЭММ, т.е. при изменении 5, потоки Фб и Фу соответствующим
образом также изменяются.
1. Расчет механического
элемента
Исходные данные:
минимальная сила сжатия Fmin = 16 Н;
максимальная сила сжатия Fmax = 28Н;
минимальных ход свободного конца λmin = 3,1 мм;
максимальный ход свободного кон6ца λmax = 8,8 мм;
материал пружины - стальная
пружинная проволока;
модуль сдвига материала G = 8,1.104
МПа;
величина допустимого касательного
напряжения материала [τ] = 500 МПа.
1.1 Расчет требуемой
жесткости упругого элемента
Требуемая жесткость упругого
элемента рассчитывается по формуле (1.1):
1.2 Расчет среднего
диаметра пружины и числа рабочих витков
Назначаются индексы пружин. Так как
специальные требования отсутствуют, то выбираем индексы средних назначений:
Расчет коэффициента
увеличения напряжения у внутренней стороны витка 
производится по формуле
(1.2):
Расчетное значение
диаметра проволоки определяется по формуле (1.3):
В соответствии с ГОСТ
9380 выбираются стандартные диаметры пружинной проволоки:
Средний диаметр
рассчитывается по формуле (1.4):
Расчет числа рабочих
витков производится по формуле (1.5):
1.3 Расчет наружного
диаметра пружины
Расчет наружного
диаметра пружины производится по формуле (1.6):
1.4 Расчет пружины в
свободном состоянии
Высота пружины в
свободном состоянии рассчитывается по формуле (1.7):
где 
- число конечных
витков. Так как повышенные требования к точности пружин отсутствуют, то
принимается 
ξ - коэффициент,
определяющий зазор между витками в момент наибольшего сжатия пружины,
принимается ξ = 1,3.
1.5 Построение
габаритных характеристик
Габаритные
характеристики равнопрочных пружин одинаковой жесткости приведены на рисунке
1.1, по оси абсцисс отложены наружные диаметры, а по оси ординат в том же
масштабе - длины пружин.
Рисунок 1.1. Габаритные
характеристики
1.6 Предварительный
выбор варианта
Производится расчет
соотношения высоты пружин в свободном состоянии и наружного диаметра по формуле
(1.8):
Так как для всех
вариантов отношение высоты пружины к ее наружному диаметру не превышает 10, а
количество рабочих витков не превышает 30, то все выбранные варианты являются
приемлемыми.
1.7 Определение веса и
массы пружин
Вес пружин определяется
по приближенной формуле (1.9):
где 
кг/м3 -
плотность стальной пружинной проволоки.
Масса пружин вычисляется
по формуле (1.10):
где g = 9,81 - ускорение свободного падения.
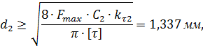
1.8 Проверка пружин на
жесткость и максимальное касательное напряжение
Формула (1.11) -
уравнение жесткости.
Максимальное касательное
напряжение рассчитывается по формуле (1.12):
Так как касательные
напряжения всех вариантов меньше допустимого значения, то эти варианты
пригодны.
1.9 Проверка пружин на
устойчивость и выбор способа закрепления
Для выполнения расчета на
устойчивость необходимо рассчитать соотношение высоты пружин в свободном
состоянии и среднего диаметра по формуле (1.13):
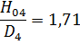
Потеря устойчивости пружины,
выражающаяся в изгибе оси пружины, наступает при критическом значении
перемещения λкр. Критическое
перемещение пружины из круглой проволоки определяется по формуле (1.14) или по
графику на рисунке 1.2.
Рисунок 1.2 - критическое
перемещение пружины
При ν=2
предельное отношение λкр/Н0 = 1,31.
Так как отношение Н0/D для вариантов 1, 2, 3, 4 превышает 1,31, то данные пружины
потеряют устойчивость при λ = λкр.
Значение λкр для вариантов 1 и 2 не превышает λmax, данное крепление для этого варианта не подходит. Для вариантов 3
и 4 данное крепление подходит.
При ν=1
предельное отношение λкр/Н0 = 2,62.
Так как отношение Н0/D для вариантов 4, 5 не превышает 2,62, то данные пружины будут
устойчивы при любых λ.
Значение λкр для вариантов 1 и 2 не превышает λmax, данное крепление для этого варианта не подходит. Для варианта 3
данное крепление подходит.
При ν=0,7
предельное отношение λкр/Н0 = 3,74.
Так как отношение Н0/D для вариантов 3, 4, 5 не превышает 3,74, то данные пружины будут
устойчивы при любых λ.
Значение λкр для варианта 1 не превышает λmax, данное крепление для этого варианта не подходит. Для варианта 2
крепление подходит.
При ν=0,5
предельное отношение λкр/Н0 = 5,24.
Так как отношение Н0/D для вариантов 2, 3, 4, 5 не превышает 5,24, то данные пружины
будут устойчивы при любых λ.
Значение λкр для варианта 1 не превышает λmax, данное крепление для этого варианта не подходит.
Таблица 1.1 - результаты проверки
пружин на устойчивость
|
Тип крепления
|
Вариант
|
|
1
|
2
|
3
|
4
|
5
|
|
ν=2
|
-
|
-
|
-
|
-
|
+
|
|
ν=1
|
-
|
-
|
-
|
+
|
+
|
|
ν=0,7
|
-
|
-
|
+
|
+
|
+
|
|
ν=0,5
|
-
|
+
|
+
|
+
|
+
|
1.10 Расчет нелинейности
статической характеристики (добротность пружины)
По формуле (1.15) рассчитывается
относительное перемещение конца пружины:

123
По формуле (1.16)
рассчитывается шаг навивки витков нагруженной пружины:
Угол подъема винтовой
линии определяется по формуле (1.17):
В соответствии с
графиками, представленными на рисунке 1.3, определяем, что нелинейность
статической характеристики не превышает 1%.
Рисунок 1.3 -
определение нелинейности статической характеристики.
1.11 Итоговая таблица
расчетов
|
Параметр
|
|
Номер варианта
|
|
|
1
|
2
|
3
|
4
|
5
|
|
С
|
6
|
8
|
10
|
12
|
14
|
|
|
1,238
|
1,172
|
1,135
|
1,111
|
1,094
|
|
d,
мм
|
1,059
|
1,337
|
1,619
|
2,185
|
|
|
1,1
|
1,3
|
1,6
|
1,9
|
2,2
|
|
D,
мм
|
6,6
|
10,4
|
16
|
22,8
|
30,8
|
|
|
7,7
|
11,7
|
17,6
|
24,7
|
33
|
|
|
41
|
22
|
14
|
10
|
7
|
|
|
70,73
|
49,88
|
42,72
|
39,2
|
35,42
|
|
|
9,2
|
4,3
|
2,4
|
1,6
|
1,1
|
|
Q,
Н
|
|
|
13,38
|
|
28,66
|
|
m,
гр
|
0,56
|
0,86
|
1,36
|
2,09
|
2,92
|
|
k
|
1,25
|
1,16
|
1,15
|
1,11
|
1,15
|
|
 , МПа437395316263225
|
|
|
|
|
|
|
|
10,71
|
4,79
|
2,67
|
1,74
|
1,15
|
|
|
0,01
|
0,012
|
0,0121
|
0,0123
|
0,0129
|
|
t,
мм
|
1,6
|
2,09
|
2,7
|
3,35
|
4,11
|
|
|
4,41
|
3,66
|
3,07
|
2,67
|
2,43
|
|
|
|
|
|
|
|
2. Расчет
электромеханического элемента
Исходные данные:
схема включения - рисунок 2.1
сопротивление обмотки датчика R0 = 1,35 КОм;
минимальное сопротивление нагрузки Rн = 10 КОм;
напряжение питания U0 = 12 В;
длина намоточной части потенциометра
l0 =39 мм;
температура окружающей среды -50…+600
С;
необходимо, чтобы сила поджатия
щетки была минимальна.
Рисунок 2.1 - схема включения
потенциометра
2.1 Определение
погрешности, обусловленной нагрузкой
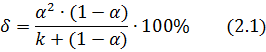
Требуемая жесткость упругого
элемента рассчитывается по формуле (2.1):
где 
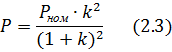
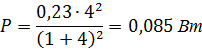
2.2 Определение
номинальной и действительной мощностей
Номинальная мощность
определяется по формуле (2.2):
Действительная мощность
определяется по формуле (2.3):
2.3 Выбор материала
Исходя из условий
эксплуатации и требований к потенциометру, в качестве материала проволоки
выбираем сплав ПДС-40, в качестве материала каркаса - сплав АМГ. При этом
допустимая плотность тока - j
= 50 А/мм2.
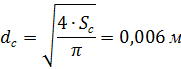
2.4 Определение диаметра
проволоки
Диаметр проволоки
определяется по формуле (2.4):
Принимаем dст
= 0,02 мм. При этом диаметр стандартной проволоки с изоляцией dизол
= 0,045 мм.
2.5 Определение числа
витков и шага намотки
Шаг намотки определяется
по формуле (2.5):
Число витков
определяется из выражения (2.6):
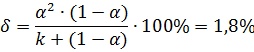
2.6 Определение витковой
погрешности
Витковая погрешность
определяется по формуле (2.7):
2.7 Определение длины
обмоточного провода
Длина обмоточного
провода рассчитывается по формуле (2.8):
где 
- удельное
электрическое сопротивление сплава ПДС-40 при температуре 200С.
2.8 Определение средней
длины одного витка
Средняя длина витка lср
рассчитывается по формуле (2.9):
2.9 Расчет параметров
каркаса
Габаритный эскиз каркаса
представлен на рисунке 2.2.
Рисунок 2.2 - габаритный
эскиз потенциометра
Ширина потенциометра
определяется из неравенства (2.10):
Высота потенциометра
определяется из выражения (2.11):
Принимаем H = 1,3 мм.
3. Расчет
электромагнитного элемента
Исходные данные:
механизм используется в
обычном реле управления постоянного тока с продолжительным режимом работы;
минимальное напряжение
питания U = 27В;
максимальная температура
окружающей среды tc
= +350С;
допустимое превышение
температуры катушки tдоп
= +500С;
тип механизма -
клапанный (однокатушечный с одним сердечником и внешним притягивающимся
якорем);
сердечник имеет полюсный
наконечник и круглое сечение;
катушка каркасная;
характеристика
противодействующей силы упругого элемента задана в виде графика Fм
= f(δ) (δ - воздушный зазор между полюсным наконечником и якорем):
Рисунок 3.1 -
характеристика противодействующей силы
3.1 Расчет значения
тяговой силы и воздушного зазора
Определение значения
воздушного зазора производится по формуле (3.1):
Определение критического
значения тяговой силы производится по формуле (3.2):
Определение значения
тяговой силы производится по формуле (3.3):
где коэффициент запаса
по силе 
- для обычных реле
управления.
3.2 Выбор оптимальной
конструктивной формы
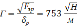
Расчет оптимальной
конструктивной формы производится по формуле (3.4):
Рассчитанная величина Г
входит в необходимый диапазон (630…63000
) для однокатушечного ЭМ
с одним сердечником и внешним притягиваемым якорем, следовательно данный тип ЭМ
является оптимальным с точки зрения минимума массы.
3.3 Выбор магнитного
материала магнитопровода
Для заданных условий
наиболее подходящим материалом является электротехническая сталь Э.
3.4 Выбор магнитных
характеристик ЭМ
Требуемые магнитные
характеристики: Вδ,
Вc max, σ.
Для заданного типа
электромагнитного механизма (кривая 1 для механизмов с внешним притягивающим
якорем) и полученной величины конструктивного фактора Г по графику
зависимости Вδ =f (Г) - рисунок 3.2, определяем индукцию в рабочем зазоре. Индукция в
зазоре при отпущенном якоре:
Рисунок 3.2 - график
зависимости Вδ =f (Г)
Вδ
=f
(Г)
Вδ
= 0,2 Тл.
Величину максимальной
индукции в сердечнике при притянутом якоре Вmax для магнитопровода из стали марки Э
(кривая 1) определяем по графику зависимости Вmax=f
(Н) - рисунок 3.3:
Рисунок 3.3 - кривые
намагничивания для наиболее распространенных магнито-мягких материалов.
Примем Вс max =f (Н)
Вс max = 1,5 Тл.
Предварительную величину
коэффициента рассеивания σ рекомендовано брать в диапазоне (1,5…2,5). Примем σ
= 1,5.
3.5 Определение основных
размеров и параметров ЭМ
Определение площади
полюсного наконечника производится по формуле (3.5):
Определение площади
сечения сердечника производится по формуле (3.6):
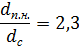
3.6 Определение диаметра
сечения сердечника и диаметра полюсного наконечника производится по формуле
(3.7)
В существующих
конструкциях ЭМ диаметр полюсного наконечника превышает диаметр сечения
сердечника в 1,1…2 раза:
Отношение диаметров
удовлетворяет рекомендации.
Определение основных
размеров ярма.
Пусть сечение ярма
квадратное, тогда толщина ярма будет равна:
Принимаем 
= 7 мм.
Определение площади
сечения якоря производится по формуле (3.8):
Определение требуемой
МДС производится по формуле (3.9):
Определение площади
сечения обмотки производится по формуле (3.10):
где 
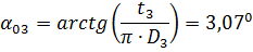
Определяем длину и
высоту обмотки.
Для заданного ЭММ 
Так как 
Из этого выражения
выводится формула для расчета 
(3.12):
Рассчитаем 
по формуле (3.11):
3.7 Определение высоты
полюсного наконечника
Определение высоты
полюсного наконечника производится по формуле (3.13):
3.8 Выбор и определение
параметров обмотки провода
Выбор материала
проволоки.
Материалом проволоки
выбираем медь, так как у этого материала относительно высокая проводимость,
также присутствует такой фактор, как дешевизна. Удельное сопротивление меди 
Температурный
коэффициент сопротивления 
Определение удельного
сопротивления провода производится по формуле (3.14):

(3.14)

Определение среднего
радиуса витка производится по формуле (3.15):

(3.15)
где 

м
Определение средней
длины одного витка производится по формуле (3.16):

(3.16)
Определение площади
поперечного сечения металла обмоточного провода производится по формуле (3.17):
Определение диаметра
поперечного сечения металла обмоточного провода производится по формуле (3.18):
В соответствии с ГОСТ
2773-69 определяем тип провода и номинальный размер.
Так как максимальная
температура провода 850С, то выбираем провод марки ПЭЛ, класс
нагревостойкости которого равен 1050С.
Номинальный диаметр по
меди, мм (0.10…0.19), толщина изоляции 0.02 мм.

принимаем равным 0.1
мм.
Пересчитывание для
диаметра выпускаемого промышленностью площади обмоточного провода производится
по формуле (3.19):

(3.19)
Определение числа витков
производится по формуле (3.20):
где коэффициент
обмоточного пространства 
.
Рисунок 3.4 -
Коэффициент заполнения обмоточного пространства.
Определение
электрического сопротивления обмотки при рабочей температуре производится по
формуле (3.21):

(3.21)
Определение
максимального потребляемого тока производится по формуле (3.22):

(3.22)
Определение создаваемого
обмоткой МДС производится по формуле (3.23):

(3.23)
Так как создаваемая
обмоткой МДС больше требуемой МДС, то обмотка обеспечивает необходимую
магнитную силу.
Определение максимальной
потребляемой обмоткой мощности производится по формуле (3.24):

(3.24)
Определение превышения
температуры рассчитанной обмотки производится по формуле (3.25):
где коэффициент
теплоотдачи катушки 
Т.к. τ
≤ t00n,
то катушка не будет перегреваться
3.9 Расчет оставшихся
размеров, необходимых для эскиза
Пусть якорь имеет
прямоугольное сечение, тогда

(3.26)
Определение длинны якоря
производится по формуле (3.27):

(3.27)
Определение высоты якоря
производится по формуле (3.26):
Заключение
В курсовом проекте произведен расчет
и проектирование трех элементов: механического элемента (винтовая пружина
растяжения-сжатия), электромеханического элемента (потенциометрический датчик
линейных перемещений) и электромагнитного элемента (силовая часть
электромагнитного реле).
В ходе выполнения курсового проекта
мной были усвоены основные методики расчета трех вышеперечисленных элементов.
Библиографический список
1. Анурьев В.И. Справочник конструктора-машиностроителя. В 3 т.
- М.; Машиностроение, 2001.
2. Лебеденко И.С., Тархов Н.С., Методические указания по
вопросам нормоконтроля. - Тула: ТулГУ, 2001. - 43 с.
. Нуберг Г.П. Измерительные преобразователи неэлектрических
величин / Г.П. Нуберг. - Л.: Энергия, 1970. - 360 с.
. Тищенко О.Ф. Элементы приборных устройств: курсовое
проектирование; учебное пособие для вузов. В 2-х ч. Ч. 1. Расчеты / О.Ф.
Тищенко [и др.]; под ред. О.Ф. Тищенко. - М.: Высшая школа, 1978. - 328 с.
. Тищенко О.Ф. Элементы приборных устройств: курсовое
проектирование; учебное пособие для вузов. В 2-х ч. Ч. 2. Расчеты / О.Ф.
Тищенко [и др.]; под ред. О.Ф. Тищенко. - М.: Высшая школа, 1978. - 328 с.
. Федотов А.В. Расчет и проектирование индукционных
измерительных устройств / А.В. Федотов. - М.: Машиностроение, 1979. - 176 с.