Расчет барабанной сушилки
Введение
В различных отраслях народного хозяйства широко
распространены процессы удаления жидкости (растворителей) с поверхности или из
внутренних слоев различных материалов. В качестве удерживаемых материалами
жидкостей могут быть вода, метанол, бензин, метаноло-ацетоновая смесь,
бензино-изопропиловая смесь и т. п. Среди существующих способов обезвоживания
материалов (сушка, отжатие, центрифугирование, фильтрование, отсасывание,
поглощение химическими реагентами и т. д.) особое место занимает тепловая сушка,
при которой удаление влаги из материала происходит в основном путем испарения.
Под сушкой понимают совокупность термических и
массообменных процессов у поверхности (внешняя задача) и внутри (внутренняя
задача) влажного материала, способствующих его обезвоживанию. Обезвоживание
материалов, в том числе и сушка, предназначается для улучшения их качества и
долговечности, например при сушке древесины, увеличения теплотворности при
сушке топлива, возможности длительного хранения при сушке пищевых продуктов и т.д.
Поэтому в ряде случаев сушка сопровождается структурно-механическими,
химическими, биохимическими, реологическими изменениями высушиваемого
материала.
Скорость протекания этих процессов, степень их
завершенности зависит не только от способа подвода теплоты к материалу, но и от
режима сушки.
Для оценки перспективности способа сушки влажные
материалы делят на шесть основных групп: истинные и коллоидные растворы,
эмульсии и суспензии; пастообразные материалы, не перекачиваемые насосом;
пылевидные, зернистые и кусковые материалы, обладающие сыпучестью во влажном
состоянии; тонкие гибкие материалы (ткани, пленка, бумага и т.п.); штучные
массивные по объему материалы и изделия (керамика, штучные строительные
материалы, изделия из древесины и т.п.); изделия, подвергающиеся сушке после
грунтования, окраски, склеивания и других поверхностных работ.
Задание
Произвести расчет и выполнить чертеж воздушной
барабанной сушилки для высушивания пшеницы с производительностью
=
5200 кг/ч = 1,44 кг/с по влажному материалу. Материал поступает в сушилку с
температурой
29
и
влажностью
= 22 %. Продукт
выходит с конечной влажностью
= 15 %. Аппарат
установлен в городе Ереван. Расчет произвести раздельно для летних и зимних
условий.
Объем и содержание проекта
. Технологический расчет установки.
. Расчет циклона и выбор вентилятора.
Пояснительная записка, кроме того, должна
содержать:
. Описание устройства, принцип действия и
назначение аппарата.
. Сравнение данной конструкции аппарата с
другими существующими конструкциями.
. Обоснование выбора материалов.
4. термический сушка барабанный
1. Теоретическая часть
.1 Сушка. Общие сведения
Сушка представляет собой тепловую обработку
материалов с целью удаления из них влаги путём испарения. Испарение влаги из
материала происходит при условии, когда окружающая среда не насыщена влагой и
способна воспринять водяные пары от поверхности материала. Следовательно, при
сушке необходимо, чтобы концентрация (парциальное давление) водяного пара
непосредственно у поверхности влажного материала (
)
была больше, чем концентрация водяных паров в окружающей газовой среде (
).
Интенсивность сушки будет тем выше, чем больше
разность парциальных давлений пара на поверхности материала и окружающей среды
и больше приток тепла к поверхности материала.
По технологическим требованиям производства
сушилка должна обеспечить заданную производительность, возможную гибкость
регулирования процесса и соблюдения оптимального режима сушки, чтобы получить
наилучшее качество сушимого материала при наименьших затратах. При этом большое
значение имеет равномерность сушки материалов или изделий по всему объёму
рабочего пространства сушил.
Применяемые в промышленности сушила можно
классифицировать по ряду конструктивных, технологических и других признаков. По
виду обрабатываемого материала они разделяются на сушила для сушки изделий и
сушки сыпучих кусковых материалов. По конструкции сушильного пространства -
туннельные, шахтные, барабанные, камерные. По способу подачи и перемещения
материала - распылительные, конвейерные, пневматические, размольно-сушильные.
По схеме движения материала и сушильного агента - противоточные, прямоточные, с
рециркуляцией и другие.
Для сушки мелкокусковых, сыпучих материалов и
порошков применяются различные конструкции сушилки непрерывного действия, например
барабанные, пневматические и распылительные.
Барабанные сушилки получили распространение в
промышленности для сушки сыпучих и мелкокусковых материалов размером кусков до
50 мм. Барабан сушила имеет длину 4
30
м и диаметр 0,1
3,2 м, установлен
под углом 4
60
к горизонту и вращается со скоростью 0,5
8
об/мин.
Движение материалов и топочных газов внутри
сушила может быть прямоточным и противоточным. Последнее обуславливается рядом
факторов. Если требуется глубокое высушивание материала или когда материал не
выдерживает высокой температуры в первый период сушки и может быть нагрет до более
высокой температуры в конце сушки, схема движения может быть противоточной.
Противоток применяется при сушке песка, известняка и др. Однако в большинстве
случаев находит применение прямоточная схема движения. Прямоток обеспечивает
меньшее пыление и унос; влажные и пластичные материалы легче отдают начальную
влагу и быстро приобретают необходимую сыпучесть. Сушка пшеницы производится в
сушильных барабанах при прямотоке. При этом допускается высокая начальная
температура газов, входящих в барабан (до 900
),
но материал при сушке сильно не нагревается. Обычно при температуре отходящих
из барабана газов 110-120
материал выходит с
температурой 70
800
.
Скорость движения газов в барабане не превышает 2,5
3
м/с во избежание чрезмерного пылеуноса.
Внутренняя полость барабана в целях улучшения
процессов теплообмена и сушки заполняется различными насадками или разделяется
на ячейки. При сушке крупнокусковых материалов, склонных к налипанию внутри, на
стенках барабана устанавливают продольные лопасти (подъемно-лопастная система).
При сушке мелкокусковых материалов по всему сечению барабана устанавливают
полки, обеспечивающие надежное перемешивание материала (распределительная
система). Для очень мелкого материала, склонного к пылению, применят закрытую
ячейковую систему внутренних устройств, в которой материал только
переваливается при вращении барабана при небольшой высоте падения. Ячейки не
сообщаются между собой.
Для отопления барабанной сушилки можно
использовать любой вид топлива, который сжигается в топке, расположенной со
стороны входа дымовых газов в барабан. Продукты горения топлива смешиваются с
холодным воздухом в смесительной камере для получения требуемой температуры.
Отработанные газы удаляются из разгрузочной камеры при помощи вентилятора,
предварительно пройдя циклон для очистки от пыли.
Основные преимущества барабанного сушила: возможности
использования для сушки дымовых газов с достаточно высокой температурой (700
8000
)
без перегрева материала, что обеспечивает хорошую экономичность сушки; можно
сушить материалы, содержащие куски размером до 250 мм, и материалы, не
обладающие сыпучими свойствами (флотоконцентраты, шламы и др.).
К недостаткам барабанного сушила можно отнести:
довольно большие габариты, обусловленные объемом испаряемой влаги в 1 м3
их рабочего объема; значительную массу сушила (4
5
т на 1 т испаряемой влаги в 1 ч) и большую массу (до 25 % рабочего объема)
материала, постоянно находящегося в сушилке во время ее работы; налипание
влажного материала на внутренние устройства сушильного барабана, что
значительно снижает эффективность ее работы; возможное просыпание сырого
материала через горячий конец барабана, что удается ликвидировать увеличением
шага разгонной спирали и уменьшением подачи материала в сушилку.
Удаление влаги из твердых и пастообразных
материалов удешевляет их транспортировку и придает им определенные свойства, а
также уменьшению коррозии аппаратуры. Влагу можно удалять механическим
способом: отжим, центрифугирование, отстаивание. Однако этими способами влага
удаляется частично, более тщательное удаление влаги осуществляется путём
тепловой сушки: испарение влаги, удаление паров.
Процесс тепловой сушки может быть естественным и
искусственным. Естественная сушка применяется редко. По физической сущности
сушка является сложным диффузионным процессом. Его скорость определяется
скоростью диффузии влаги из глубинных частей материала к поверхности, а затем в
окружающую среду. Удаление влаги при сушке включает не только перенос
материала, но и перенос тепла, таким образом является теплообменным и
массообменным процессами. По способу подвода тепла к высушиваемому материалу
сушку делят:
1) Контактная - путём передачи тепла от
теплоносителя к материалу через разделительную стенку;
2) Конвективная - путём непосредственного
соприкосновения высушиваемого материала с сушильным агентом. В качестве
которого используют: подогретый воздух, топочные газы либо топочные газы с
воздухом;
) Радиационная - путём передачи тепла
инфракрасным излучением;
) Диэлектрическая - в поле токов высокой
частоты;
) Сублимационная - в замороженном
состоянии в вакууме.
Высушиваемый материал при любом методе сушки
находится в контакте с влажным воздухом или газом. При конвективной сушке
влажному воздуху отводится основная роль. Поэтому необходимо чётко представлять
какими параметрами описывается воздух.
1.2 Барабанная сушилка
Конструкция барабанной сушилки представлена на
рисунке 3.2.1. Барабанная сушилка имеет цилиндрический барабан, установленный с
наклоном к горизонту на 4
60
и
опирающийся с помощью бандажей 2 на ролики 3. Барабан приводится во вращение
электродвигателем через зубчатую передачу 4 и редуктор. Число оборотов барабана
обычно не превышает 5-8 об/мин; положение его в осевом направлении фиксируется
упорными роликами 5. Материал подается в барабан питателем 6, предварительно
подсушивается, перемешиваясь лопастями 7 приемно-винтовой насадки, а затем
поступает на внутреннюю насадку, расположенную вдоль почти всей длины барабана.
Насадка обеспечивает равномерное распределение и хорошее перемешивание
материала по сечению барабана, а также его тесное соприкосновение при
пересыпании с сушильным агентом - топочными газами.
Рисунок 3.2.1
Барабанная
сушилка: 1 - барабан; 2 - бандажи; 3 - опорные ролики; 4 - передача; 5 -
опорно-упорные ролики; 6 - питатель; 7 - лопасти; 8 - вентилятор; 9 - циклон;
10 - разгрузочная камера; 11 - разгрузочное устройство
Газы и материал особенно часто движутся
прямотоком, что помогает избежать перегрева материала, так как в этом случае
наиболее горячие газы соприкасаются с материалом, имеющим наибольшую влажность.
Чтобы избежать усиленного уноса пыли с газами последние просасываются через
барабан вентилятором 8 со средней скоростью, не превышающей 2- 3 м/сек. Перед
выбросом в атмосферу отработанные газы очищаются от пыли в циклоне 9. На концах
барабана часто устанавливают уплотнительные устройства (например, лабиринтные),
затрудняющие утечку сушильного агента.
У разгрузочного конца барабана имеется подпорное
устройство в виде сплошного кольца или кольца, образованного кольцеобразно
расположенными поворотными лопатками (в виде жалюзи). Назначение этого кольца -
поддерживать определенную степень заполнения барабана материалом; как правило,
степень заполнения не превышает 20 %. Время пребывания обычно регулируется
скоростью вращения барабана и реже - изменением угла его наклона. Высушенный
материал удаляется из камеры 10 через разгрузочное устройство 11, с помощью
которого герметизируется камера 10 и предотвращается поступление в нее воздуха
извне. Подсосы воздуха привели бы к бесполезному увеличению производительности
и энергии, потребляемой вентилятором 8.
Устройство внутренней насадки барабана зависит
от размера кусков и свойств высушиваемого материала.
Подъемно-лопастная насадка используется для
сушки крупнокусковых и склонных к налипанию материалов, а секторная насадка -
для малосыпучих и крупнокусковых материалов с большой плотностью. Для
мелкокусковых, сильно сыпучих материалов широко применяются распределительные
насадки. Сушка тонкоизмельченных, пылящих материалов производится в барабанах,
имеющих перевалочную насадку с закрытыми ячейками. Иногда используют
комбинированные насадки, например подъемно-лопастную (в передней части аппарата
и распределительную. Типы насадок представлены на рисунке 3.2.2.
Основной материал для изготовления барабанов
сушилок, загрузочных и разгрузочных камер - углеродистые стали. В технически
обоснованных случаях дополнительное изготовление барабанов, разгрузочных и
разгрузочных камер частично или полностью из жаростойких сталей специальных
марок.
Барабанные вакуумные сушилки работают, как
правило, периодически и их применяют для сушки термочувствительных материалов
от воды и органических растворителей, а также для сушки токсичных материалов. В
зависимости от свойств материала и требований к готовой продукции применяют
сушилки среднего или глубокого вакуума. Вакуумные барабанные сушилки применяют
в основном в производстве полимерных материалов.
Рисунок 3.2.2 - Типы насадок барабанных сушилок:
а - подъемно лопастная; б - секторная; в, г - распределительная; д - перевалочная.
Тепловой и температурный режимы работы
барабанных сушил неизменны во времени. Температура и влажность высушиваемого
материала при этом меняются по длине барабана по мере продвижения материала от
загрузочного к разгрузочному концу сушила: температура растет, а влажность
уменьшается.
Температура и влагосодержание сушильного агента
(в качестве которого обычно используется смесь дымовых газов и воздуха) также
соответственно изменяются по длине сушильного барабана: температура падает, а
влагосодержание растет за счет перехода влаги из материала в сушильный агент.
Передача тепла к поверхности высушиваемого материала с учетом сравнительно
низкого температурного уровня (не выше 700
8000
)
осуществляется в основном конвекцией в некоторой мере излучением. В этих
сушилах протекает обычно проточный режим теплообмена. Однако лимитирующим
звеном процесса сушки в этих установках является замедленная тепло- и массопередача
внутри слоя пшеницы. Поэтому с целью интенсификации процесса сушки
конструктивно предусматривается разрыхление и перегребание слоя пшеницы
специальными лопатками на стенах барабана.
1.3 Материалы, применяемые для
изготовления сушилки
При выборе и создании аппаратуры необходимо
учитывать такие важные факторы, как тепловая нагрузка аппарата, температурные
условия процесса, физико-механические параметры рабочих сред, условия сушки,
характер гидравлических соединений, вид материала и его коррозийную стойкость,
простота устройства и компактность, расположение аппарата, взаимное направление
движения рабочих сред, возможность очистки поверхности сушки от загрязнений,
расход металла на единицу переданной теплоты и другие технико-экономические
показатели.
Экономическое использование качественных
материалов, высокий уровень технологии изготовления и полное использование всех
достижений теплопередачи дают возможность выбора и создания рациональных
теплообменных аппаратов, удовлетворяющих всех перечисленным требованиям.
Химические продукты в той или иной мере всегда
вызывают коррозию материала аппарата, поэтому для изготовления их применяются
различные металлы (железо, чугун, алюминий) и их сплавы. Наибольшее применение
находят стали. Благодаря способности изменять свои свойства в зависимости от
состава, возможности термической и механической обработки стали с низким
содержанием углерода хорошо штампуются, но плохо обрабатывают резанием.
Добавки других металлов - легирующих элементов -
улучшают качество сталей и придают им особые свойства, например, хром улучшает
механические свойства, износостойкость и коррозионную стойкость; никель
повышает прочность, пластичность; кремний увеличивает жаростойкость.
Легирующие элементы обозначаются буквами: Х -
хром, Н - никель, М - молибден, Г - марганец, С - кремний, Т - титан, Д - медь,
Ю - алюминий и т.д.
Стали обыкновенного качества применяют для
изготовления аппаратов, работающих под избыточным давлением до 6 Па при
температурах
30°С
до +425°С.
Для более жестких условий применяют углеродистые стали улучшенного качества -
марок 15К и 20К.
Для повышения термостойкости и прочности
применяют низколегированные стали 10Г2С1, 16ГС, 30Х, 40Х, что позволяет
использовать аппараты при температурах от
70°С
до +550°С.
Для повышения кислотостойкости и жаропрочности
аппаратов их изготавливают из хромоникелевых сталей марок 08Х18Н10Т, 12Х18Н9Т.
Для очень агрессивных сред применяются
высоколегированные стали, например 06ХН28МДТ.
Выбираем конструкционный материал, стойкий к
нагреванию, - сталь В Ст 3 сп ГОСТ 380-71.
Скорость коррозии её менее 0,1мм/год (точечная
коррозия).
2. Расчетная часть
.1 Технологический расчет
В начале расчета определяем по таблице 1 приложения
1 параметры воздуха города Ереван для летних и зимних условий.
Январь:
¾ средняя температура воздуха
5,8
;
¾ относительная влажность воздуха
89%;
Июль:
¾ средняя температура воздуха
25
;
Определяем влагу
, кг/с, удаляемую в
процессе сушки, по формуле
На I-dдиаграмме
(рис.4.1) строим теоретический процесс сушки для зимних условий и находим
недостающие параметры воздуха.
Точка А:
¾ влагосодержание
0,0025
кг/кг;
¾ энтальпия
=
2000 Дж;
Точка В:
¾ влагосодержание
0,0025
кг/кг;
¾ энтальпия
=
128000 Дж;
Точка
:
¾ влагосодержание
0,027
кг/кг;
¾ энтальпия
=
128000 Дж.
На I-d
диаграмме (рис.4.2) строим теоретический процесс сушки для летних условий и
находим недостающие параметры воздуха.
Точка А:
¾ влагосодержание
0,011
кг/кг;
¾ энтальпия
=
53000Дж;
Точка В:
¾ влагосодержание
0,011
кг/кг;
¾ энтальпия
=
150000 Дж;
Точка
:
¾ влагосодержание
0,036
кг/кг;
¾ энтальпия
=
150000 Дж.
Определяем удельные тепловые потери на нагрев
материала
, Дж/кг, по формуле
где
количество
высушенного материала, кг/с;
удельная
теплоемкость высушенного материала, Дж/(кг
К);
максимальная
температура нагрева материала,
.
где
удельная
теплоемкость воды,
4180 Дж/(кг
К);
удельная
теплоемкость абсолютно сухого материала,
1650 Дж/(кг
К).
Рисунок 4.2 - I-dдиаграмма
теоретического и действительного процесса сушки для зимних условий
Удельные тепловые потери в окружающую среду
, Дж/кг находим по
формуле
Для зимних условий:
где
удельный
расход тепла в теоретической сушилке, Дж/кг.
Для летних условий:
Строим действительный процесс сушки на I-dдиаграмме
(рис.4.1) для зимних условий. Положение линии BC(рис.4.1),
изображающей процесс сушки в реальной сушильной установке, определяется по
формуле
где
внутренний
баланс сушильной камеры, Дж/кг.
Через произвольную точку e
на линии BC проводим
линию eF параллельно
оси 0x
и линии eE параллельно
оси 0y. Линию eF
измеряем в мм (eF=
30 мм). Длину отрезка eE
определяем по формуле
где
отношение
масштабов диаграммы.
где
число
единиц энтальпии на 1 мм диаграммы, Дж/кг;
число единиц влагосодержания
на 1 мм диаграммы, кг/кг.
Рисунок 4.2 - I-dдиаграмма
теоретического и действительного процесса сушки для летних условий
Так как
, отрезок eE
откладываем вниз от точки e. Через точки B
и E проводим линию,
характеризующую реальный процесс сушки, до пересечения с линией температуры на
выходе из сушильной камеры
.
Так как
, отрезок eE
откладываем вниз от точки e. Через точки B
и E проводим линию,
характеризующую реальный процесс сушки, до пересечения с линией температуры на
выходе из сушильной камеры
.
Удельный расход воздуха
, кг/кг определяем
по формуле
где
влагосодержание
на выходе из сушильной камеры (точка C, рис.4.1),
0,023
кг/кг.
Определяем полный расход воздуха
, кг/с по формуле

где
энтальпия
воздуха на выходе из сушильной камеры (точка C, рис.4.1),
118000
Дж.
Полный расход тепла
, Вт определяем по
формуле 4.1.8.4.1.
Определяем удельный расход воздуха и тепла для
летних условий.
Удельный расход воздуха
, кг/кг определяем
по формуле 4.1.8.1, где
0,032 кг/кг (точка
C, рис.4.2)
Определяем полный расход воздуха
, кг/с по формуле
Удельный расход тепла
, Дж/кг определяем
по формуле, учитывая, что
энтальпия воздуха
на выходе из сушильной камеры (точка C, рис.4.1),
142000
Дж.
Полный расход тепла
, Вт определяем по
формуле 4.1.8.4.1.
Определяем основные размеры барабана для зимних
условий.
Диаметр барабана
, м определяем по
формуле
где
секундный
объем воздуха на выходе из сушилки, м3/с;
допустимая
скорость воздуха на выходе из сушилки,
2,5
м/с (таблица 2,
приложение 1).
где
удельный
объем воздуха на выходе из сушилки,
0,988
м3/кг ( таблица 2,
приложение 1).
Для окончательного выбора диаметра барабана
рекомендуется пользоваться следующими нормалями:
1;
1,2; 1,4; 1,6; 1,8; 2. Принимаем
1,8
м. Определяем длину барабана по формуле
где
объем
барабана, м3;
площадь сечения
барабана, м3.
где
напряжение
объема барабана по влаге,
20 кг/(м3
(таблица 2, приложение 1).
По нормалям отношение
должно
находиться в пределах 3,5
7,0.
Условие выполнено.
Уточняем скорость воздуха
, м/с по формуле
Скорость воздуха не должна превышать
максимальную величину, указанную в таблице 2 приложения 1.
.
Условие выполнено.
Определяем основные размеры барабана для летних
условий.
Диаметр барабана
, м определяем по
формуле, предварительно рассчитав по формуле секундный объем воздуха на выходе
из сушилки
, м3/с, учитывая, что
м3/кг.
Принимаем
1,8
м.
Определяем длину барабана по формуле 4, предварительно
рассчитав по формуле объем барабана
и
по формуле площадь сечения барабана
.
Определяем отношение
.
Условие выполнено.
Уточняем скорость воздуха
, м/с по формуле
Определяем продолжительность сушки
, с для зимних
условий по формуле
где
средняя
насыпная плотность материала,
кг/м3(таблица
2, приложения 1);
степень заполнения
барабана,
0,15 (таблица 2,
приложения 1);
- средняя масса
материала, проходящего через барабан, кг/с.
Принимаем 1800 с
Продолжительность сушки
, сдля летних
условий согласно формуле составит 1800 с.
Определяем число оборотов барабана
, об/мин для зимних
условий по формуле 4
где
коэффициент,
зависящий от диаметра и конструкции барабана,
0,46
(таблица 2, приложения 1);
угол наклона
барабана,
3 град (таблица
2,приложения 1).

2.2 Расчет циклона
Основные размеры циклона определяем по формулам
где
ширина
входного патрубка, м;
диаметр циклона,
м.
где
высота
входного патрубка, м.
где
наружный
диаметр выхлопной трубы, м.
где
высота
цилиндрической части, м.
где
высота
конической части, м.
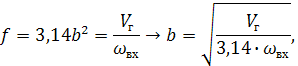
Из формулы площади сечения входного патрубка
выразим его ширину
, м.
где
действительный
секундный объем газа, поступающий в циклон при заданной температуре, м3/с;
скорость газа во
входном патрубке циклона, принимаем
м/с.
Тогда согласно формулам 4.2.1.2
4.2.1.6:
Определяем теоретическую скорость осаждения
частиц в циклоне
, м/с по формуле
где
поперечный
размер частицы,
5
10-4
м;
плотность
улавливаемых частиц,
750 кг/м3
плотность газовой
среды,
1,08
кг/м3 (согласно формуле
окружная скорость
газа в циклоне,
14
20
м/с;
кинематическая
вязкость газа,
18,46 м2/с.
Для проверки теоретической скорости осаждения
частиц воспользуемся условием
Условие выполнено. Выполняем уточненные расчеты
основных размеров циклона. Внутренний диаметр выхлопной трубы
, м определяем по
формуле
где
скорость
газа в выхлопной трубе,
7
9
м/с.
Наружный диаметр выхлопной трубы
, м определяем по
формуле
где
толщина
стенки выхлопной трубы,
0,0015 м.
Диаметр циклона
, м определяем по
формуле
Определяем высоту цилиндрической части циклона
, м по формуле
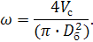
2.3 Расчет вентилятора
Фиктивную скорость воздуха в аппарата
м/с
определяем по формуле
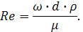
Определяем критерий Рейнольдса по формуле
4.3.1.2:
Общий коэффициент сопротивления
определяется
по формуле
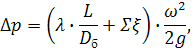
Перепад давлений, обусловленный сушильной
установкой,
, Па, определяется по формуле
где
сумма
коэффициентов местных сопротивлений,
5
15.
Мощность, потребляемая вентилятором, N, кВт, определяется
по формуле

КПД передачи,
0,95
1.
Исходя из данных таблицы 3 (приложения 1),
выбираем насос марки ВЦ14-46-5К-02 и электродвигатель А02-61-4.
Заключение
Сушильные установки должны иметь тепловую
изоляцию, обеспечивающую минимальные технологические потери теплоты.
При установке сушилок на открытом воздухе
теплоизоляция должна быть влагостойкой с гидроизоляционным покрытием.
В сушильных установках, в которых происходит
пропаривание материала или изделий, ограждающие конструкции должны покрываться слоем
гидроизоляции.
В сушилках с принудительной циркуляцией воздуха
должны устанавливаться ребристые или гладкотрубные подогреватели или
пластинчатые калориферы. Для лучшего обеспечения стока конденсата пластинчатые
калориферы должны устанавливаться вертикально.
Для обеспечения равномерного распределения
воздуха в сушильной камере должны устанавливаться направляющие экраны, решетки
и другие устройства. Сушилка материалов в камерных сушилках с неполными
габаритами штабеля по высоте запрещается
При сушке порошкообразных или дробленых
материалов удаляемый из сушилки воздух должен очищаться путем устройства
пылеосадочных камер, сухих или мокрых циклонов, мультициклонов, матерчатых
фильтров. В этих сушилках должна применяться рециркуляция воздуха.
При испытаниях сушилки должны определяться
часовой расход и параметры греющего теплоносителя, температура и влажность
сушильного воздуха в разных точках камеры, коэффициент теплопередачи
нагревательных поверхностей, производительность вентиляторов и частота вращения
электродвигателей (в сушилках с принудительной циркуляцией воздуха.
В данном курсовом проекте был произведен расчет
барабанной сушилки, описан ее принцип действия, спроектирован чертеж.
Список
использованных источников
. Плановский
А.Н. Процессы и аппараты химической технологии/ Под ред.Плановский А.Н., Рамм
В.М., Каган С.З.- изд.5-ое - М.: Химия,1968.- 850с.
. Павлов
К.Ф., Романков П.Г., Носков А.А. Примеры и задачи по курсу процессов и
аппаратов химической технологии. Учеб. пособие для вузов / Под ред. П.Г.
Романкова,К.Ф. Павлов, А.А. Носков.- 10-е изд., перераб. и доп. - Л.: Химия,
1987. - 576с.
. Касаткин
А.Г. Оновные процессы и аппараты химической технологии М.:Химия 1971 - 780 с.
. Дынтерский
Ю.И. Процессы и аппараты химической технологии: учебник.- Ч.2: Массообменные
процессы и аппараты. - М: Химия, 1992.-382с.
Приложение
Таблица 1 -Средняя температура и относительная
влажность атмосферного воздуха в г.Ереван
|
,
|
,
%
|
|
Январь
|
-5,8
|
89
|
|
Июль
|
25,0
|
50
|
Таблица 2 - Параметры сушки и характеристика
различных материалов
Таблица 3 - Технические характеристики центробежных
вентиляторов
|
Марка
|
Q, м3/с
|
n, с-1
|
Электродвигатель
|
|
|
|
тип
|
N, кВт
|
|
|
В-Ц14-46-5К-02
|
3,67
|
24,1
|
А02-61-4
|
13
|
0,88
|
|
В-Ц14-46-8К-02
|
5,28
|
16,15
|
А02-71-6
|
17
|
0,9
|
|
В-Ц14-46-8К-02
|
7,78
|
16
|
А02-72-6
|
22
|
0,9
|
1.