Разработка шагающего робота
Содержание
Введение
Глава 1. Анализ состояния проблемы
.1 Мониторинг окружающей среды
.2 Анализ шагающего вида движения
.3 Анализ техники ходьбы по количеству точек опоры шагающих
роботов
.4 Классификация шагающих роботов
.5 Обзор существующих конструкций
Выводы
к главе 1
Глава
2. Конструкторский раздел
2.1 Описание разрабатываемой конструкции
.2 Выбор профиля ноги робота
.3 Трёхмерная модель робота и его модулей
2.4
Тепловой расчет электродвигателя
2.5 Расчёт посадки с натягом
2.6
Расчёт и выбор подшипников
2.7 Геометрический
расчет реечной передачи
Вывод по главе 2
Глава 3. Система автоматического управления
.1 Функциональная схема устройства
.2 Задачи система автоматического управления
.3 Структурная схема САУ устройством
.4 Определение передаточных функций
.5 Моделирование системы автоматического управления
средствами Matlab
.5.1 Исследование непрерывной системы
.5.2 Настройка ПИД - регулятора
.5.3 Исследование системы на робастность
.5.4 Исследование системы с учетом нелинейности
.5.5 Исследование системы на устойчивость критерием Найквиста
.5.6 Определение запаса устойчивости
.5.7 Определение передаточных функций разомкнутой и замкнутой
системы
Глава 4. Цифровая САУ
.1 Моделирование цифровой системы
4.2 Исследование цифровой системы на устойчивость
4.3 Выбор электронных компонентов
.3.1 Плата
.3.2 Силовой модуль
.3.3 Датчик тока
.3.4 Энкодер
.3.5 Жидкокристаллический индикатор
4.3.6 Датчик температуры и влажности DHT11
4.3.7 Принципиальная схема разрабатываемой системы
Выводы к главе 4
Глава 5. Правила по охране труда на предприятиях и в
организациях машиностроения
.1 Общие требования
.2 Требования к производственным(технологическим) процессам
.3 Требования к производственным помещениям
.4 Требования к производственному оборудованию
.5 Требования к размещению производственного оборудования и
организации рабочих мест
.6 Режимы труда и отдыха
.7 Требования к профессиональному отборуи проверке знаний
правил
.8 Требования к применению средств защиты работающих
Заключение
Библиографический список
Введение
шагающий робот электродвигатель электронный
С развитием научно-технического прогресса, внедрением новых технологий в
различных областях производства, в том числе вредного и опасного, возникает
необходимость в мобильных устройствах специального назначения, способных
работать, например, в зоне высокой радиоактивности (при обслуживании ядерных
реакторов), при тушении лесных пожаров или в зонах стихийных бедствий.
Наиболее полно этим требованиям, скорее всего, будут отвечать шагающие
роботы
Шагающий способ представляет основной интерес для движения по заранее
неподготовленной местности с препятствиями. Помимо этого шагающий способ
передвижения обладает и большей проходимостью на пересеченной местности вплоть
до возможности передвигаться прыжками, преодолевать препятствия и т.п. При
шагающем способе меньше разрушается грунт. [2]
Целью данного проекта является разработка шагающего робота. Как
природная, так и техногенная среда содержит множество препятствий которые
трудно или невозможно преодолевать с помощью традиционных типов движения.
Наибольшую сложность представляют препятствия в виде ступенек. Преодолеть такие
препятствие становиться возможным благодаря конструкции шагающего робта.
Глава 1. Анализ состояния проблемы
.1 Мониторинг окружающей среды
Мониторингом окружающей среды называются регулярные, выполняемые по
заданной программе наблюдения природных сред, природных ресурсов, растительного
и животного мира, позволяющие выделить их состояния и происходящие в них
процессы под влиянием антропогенной деятельности.
Под экологическим мониторингом следует понимать организованный мониторинг
окружающей среды, при котором, во-первых, обеспечивается постоянная оценка
экологических условий среды обитания человека и биологических объектов
(растений, животных, микроорганизмов и т.д.), а также оценка состояния и
функциональной ценности экосистемы, во-вторых, создаются условия для
определения корректирующих действий в тех случаях, когда целевые показатели
экологических условий не достигаются.
В систему мониторинга должны входить следующие основные
процедуры:
1) Выделение (определение) объекта наблюдения;
) Обследование выделенного объекта наблюдения;
) Составление информационной модели для объекта наблюдения;
) Планирование наблюдений;
) Оценка состояния объекта наблюдения и идентификация его информационной
модели;
) Прогнозирование изменения состояния объекта наблюдения;
) Представление информации в удобной для использования форме и доведения
ее до потребителя.
Основные задачи экологического мониторинга:
1) Наблюдение за источником антропогенного воздействия;
) Наблюдение за фактором антропогенного воздействия;
) Наблюдение за состоянием природной среды под влиянием факторов
антропогенного воздействия и оценка прогнозируемого состояния природной среды.
При разработке проекта экологического мониторинга необходима следующая
информация:
источник поступления загрязняющих веществ в окружающую среду - выбросы
загрязняющих веществ в атмосферу промышленными, энергетическими, транспортными
и другими объектами;
сбросы сточных вод в водные объекты;
поверхностные смывы загрязняющих и биогенных в поверхностные воды суши и
моря;
внесение на земную поверхность и (или) в почвенный слой загрязняющих и
биогенных веществ вместе с удобрениями и ядохимикатами при сельскохозяйственной
деятельности;
места захоронения и складирования промышленных и коммунальных отходов;
техногенные аварии, приводящие к выбросу в атмосферу опасных веществ и
(или) разливу жидких загрязняющих и опасных веществ, и т.д.;
переносы загрязняющих веществ - процессы атмосферного переноса;
процессы переноса и миграции в водной среде;
процессы ландшафтно-геохимического перераспределения загрязняющих веществ
- миграция загрязняющих веществ по почвенному профилю до уровня грунтовых вод;
миграция загрязняющих веществ по ландшафтно-геохимическому сопряжению с
учетом геохимических барьеров и биохимических круговоротов. Композиционная
концепция и биологический подход в построении шагающих роботов.
1.2 Анализ шагающего вида движения
Можно заметить, что нет ничего более совершенного, чем природные системы.
Их адаптивная способность потрясает. Если касаться только шагающих систем, то
видно, что их мобильность значительно выше, чем у созданных человеком
транспортных средств.
Человек, совершенствуя природу на базе создания комбинированных шагающих
механизмов с другими типами движителей, способен создать более производительные
и высоко адаптивные транспортно-технологические машины.
Природа не создала колеса просто потому, что система рычагов более
приспособлена для передвижения по естественному грунту. Этому способствуют
свойства опорно-двигательного аппарата шагающего движителя: дискретность колеи
и наличие нерабочего пространства ног. Под дискретностью колеи понимают
прерывистость контакта движителя, в данном случае с поверхностью передвижения.
Под рабочим пространством ног понимается пространство, окружающее корпус, точки
которого достижимы для опорного элемента шагающего движителя. Эти свойства
шагающего движителя позволяют предполагать высокую опорную и профильную
проходимость для искусственных шагающих средств передвижения. Кроме сильно
пересеченной местности для обычного транспорта непроходимой является и среда,
приспособленная для обитания человека: здания с узкими проходами, резкими
поворотами, лестничными маршами.
Слепое копирование природных объектов без глубокого изучения их
поведения, как правило, не позволяло создать работоспособные конструкции,
которые можно было бы использовать в практике: например, лесная машина фирма
"Табержек", робот лаборатории транспортных систем АН СССР. Эти машины
не оправдали надежды конструкторов и не показали динамических качеств,
характерных для насекомых.
В этом ключе интересно рассмотреть композиционную концепцию построения
шагающих роботов, т.к. эта концепция сходна с физиологическими моделями
управления движением в живых организмах. Сходство это основано на исследованиях
российских ученых, проводимых в Институте проблем передачи информации. Поэтому
можно полагать, что композиционная концепция является биологическим подходом в
робототехнике.
В соответствии с этой концепцией низший уровень управления локомоционным
процессом может быть представлен как результат коллективной работы независимых
замкнутых систем автоматического регулирования (регуляторов). Какие-либо связи
между отдельными регуляторами (горизонтальные связи) отсутствуют. Иными
словами, шагающий робот как единый автомат может быть представлен композицией
некоторого количества элементарных, независимо функционирующих автоматов, а
локомоционный процесс результатом совместного действия этих автоматов. Каждый
автомат решает свою собственную задачу и таким путем вносит свой вклад в
формирование локомоционного процесса.
Каждый элементарный автомат представляет собой замкнутую систему
автоматического регулирования и управляет только одним суставом. В то же время
отдельный сустав в различных фазах цикла движения ноги может управляться
несколькими различными регуляторами. Одноименные суставы всех ног управляют
одним из параметров походки, например, длиной шага, высотой тела робота
относительно опорной поверхности или же скорость передвижения робота.
Управление всеми суставами робота осуществляется параллельно, что обеспечивает
высокий уровень распределенности системы управления.
Влияние на отдельный автомат действий остальных автоматов представляется
как возмущающее воздействие внешней среды. Цель автомата как регулятора состоит
в компенсации этих возмущений. Выходной сигнал сенсорной системы, который
используется в цепи обратной связи регулятора, содержит в себе также и
информацию о действиях других автоматов, так что отдельный автомат воспринимает
действия других автоматов посредством сенсорной системы, а не путем каких-либо
каналов связи между регуляторами. В этом случае внешняя среда отдельного
автомата состоит из остальных автоматов и внешней среды робота в целом.
Желаемые параметры походки робота задаются более высоким уровнем системы
управления и остаются постоянными в процессе ритмичной ходьбы. Такой подход к
проблеме шагающих роботов существенно упрощает управление локомоционным
процессом и делает его более наглядным.
Реализация предлагаемого подхода для построения шагающих роботов может
быть достигнута путем решения проблемы сенсорных систем для автоматов. Эта
проблема была решена путем применения наборов датчиков, объединенных в
сенсорную систему, способную измерять каждый параметр походки.
.3 Анализ техники ходьбы по количеству точек опоры шагающих роботов
Технику ходьбы шагающих роботов можно разделить по количеству точек опор
на две, четыре и шесть. Рассмотрим особенности каждого из них.
Идея прямохождения волнует воображение конструкторов и механиков. При
проектировании шагающих роботов, передвигающихся на двух конечностях,
исследователи вычленяют две основные проблемы. Во-первых, необходимо добиться,
чтобы во время движения аппарат мог какое-то время устойчиво находиться в
положении, когда его опорой является только одна конечность. При этом опора
должна иметь достаточную прочность, чтобы выдержать всю массу агрегата, а
приводы - достаточную мощность, чтобы обеспечивать поступательное движение. Второе
- это сложные алгоритмы движения, имитирующие движения человеческого тела даже
при обыкновенной ходьбе. Взаимосвязь между движениями отдельных частей
двуногого робота, обеспечивающая ему устойчивое движение не только по прямой
линии, но и в пространстве.
Обратив свое внимание на четвероногих животных, можно заметить, что при
движении они сохраняют равновесие почти исключительно за счет динамической
устойчивости. Условием устойчивого равновесия является требование, чтобы при
движении центр тяжести такого робота в любой момент находился в пределах
воображаемого треугольника, углами которого являются опорные в настоящий момент
конечности. Исходя из этого был разработан шагающий агрегат на четырех
конечностях, алгоритм движения которого был определен таким образом, чтобы при
его движении в любой момент времени в воздухе находилась только одна нога, а
корпус имел опору одновременно на три точки и сохранял при этом статическую
устойчивость.
Шестиногие шагающие роботы, по-видимому, являются самой многочисленной из
всех когда-либо и где-либо разработанных категорий механизмов, способных
перемещаться с помощью искусственных ног. Популярность этих роботов в
значительной степени обусловлена тем, что проблемы обеспечения статической
устойчивости движущихся шестиногих аппаратов решаются относительно просто по
сравнению с другими конструкциями. Одной из проблем, которой уделяется
существенное внимание при проектировании мобильных шагающих аппаратов, является
уменьшение необходимой мощности источников питания и сокращение затрат энергии.
Другими словами, необходимо повысить к.п.д. многоногих механизмов, т.е.
уменьшить потребляемую мощность и повысить полезную развиваемую мощность. В
самом деле, если учесть, что в общем случае каждая из n конечностей имеет
две-три степени подвижности и управление каждой из степеней сопряжено с
определенными затратами энергии, то очевидно, что сравнение шагающих и колесных
транспортных средств по к.п.д. будет далеко не в пользу первых. В связи с этим,
по-видимому, главная цель, к достижению которой должны стремиться исследователи
сегодня, заключается в создании экспериментальных шагающих аппаратов, способных
на практике продемонстрировать сочетание высоких функциональных возможностей с
достаточно большой развиваемой мощностью при малых затратах энергии
Моделью с шестью ногами мы сможем продемонстрировать знаменитую походку
"треножником", т е. с опорой на три ноги, которую используют
большинство существ. На следующих рисунках темный кружок означает, что нога
устойчиво поставлена на землю и поддерживает вес существа. Светлый кружок
означает, что нога поднята и находится в движении. На Рис 1.1 показано существо
в позиции "стояния". Все ноги опираются о землю. Из положения
"стояния" существо решает идти вперед.
Для того чтобы сделать шаг, оно поднимает три из своих ног (см. светлые
кружки на Рис1.2), опираясь своим весом на три оставшиеся ноги (темные кружки).
Заметьте, что ноги, поддерживающие вес (темные кружки), расположены в форме
треножника (треугольника). Такая позиция является устойчивой, и робот не может
упасть. На Рис1.3 показано, что три остальные ноги (светлые кружки) могут
двигаться и двигаются вперед. На Рис 1.4 показан перенос центра тяжести на
других три опоры (тёмные кружки) и движение вперёд свободных ног (белые
кружки).
1.4 Классификация шагающих роботов
Мобильные роботы подразделяются на колесные, летающие и шагающие.
Шагающие роботы в свою очередь подразделяются на двухногие , четырехногие
, шестиногие и многоногие.
В зависимости от назначения и решаемого класса задач, шагающие роботы
выделяют:
а) производственные шагающие роботы
б) исследовательские шагающие роботы.
Производственные роботы
Предназначены для выполнения тяжелой, монотонной, вредной и опасной
физической работы. Для таких роботов характерно наличие автоматических
исполнительных устройств (манипуляторы, имитирующие движения рук человека,
самоходные тележки с различными типами шасси и т. п.).
Производственные роботы делятся, в свою очередь на несколько
разновидностей:
· промышленные
· строительные
· сельскохозяйственные
· транспортные
· бытовые
· боевые
Промышленные роботы предназначены в основном для автоматизации всех видов
ручных и транспортных операций в различных отраслях промышленности.
Строительные роботы позволят автоматизировать огромное количество ручных
операций как вспомогательных, так и основных, органически присущих
строительному делу. Роботизация строительства сегодня весьма актуальна.
Сельскохозяйственные роботы предназначены для автоматизации трудоемких и
монотонных процессов в сельском хозяйстве. В настоящее время начинается
интенсивная разработка таких роботов, знаменующих начало роботизации
сельскохозяйственного производства.
Транспортные роботы предназначены для автоматизации управления различными
транспортными средствами. Это самоходные тележки, шагающие аппараты, автопилоты
и авторулевые.
В последнее время большие успехи достигнуты в создании бытовых роботов.
Они служат для автоматизации операций, связанных с бытом человека и с сферой
его обслуживания. Зачастую здесь требуются более гибкие и универсальные
системы, чем обычные автоматы. Эти роботы должны мыть посуду, стирать, натирать
полы,готовить пищу и т. п.
К бытовым роботам можно отнести и роботов-игрушек, которые способны
имитировать движения (а иногда и некоторые эмоции) живого существа.
Боевые (военные) роботы заменяют человека в боевых ситуациях для сохранения
человеческой жизни или для работы в условиях несовместимых с возможностями
человека в военных целях. В настоящее время существует несколько видов боевых
роботов. Это беспилотные или с дистанционным управлением авиационные, подводные
аппараты и надводные корабли, роботы-минеры, роботы-саперы, роботы-разведчики и
роботы-патрульные. Следует особо отметить, что сегодня боевые роботы
управляются человеком, однако есть попытки создать и полностью автономного
боевого робота, что вызывает многочисленные и жаркие споры.
Исследовательские
роботы
Исследовательские роботы служат для поиска, сбора, переработки и передачи
информации об исследуемых объектах. Объектами могут быть космос, поверхности
планет, подводное пространство, подземные полости (шахты, пещеры и т. п.),
Арктика и Антарктика, пустыни, зараженная местность и другие труднодоступные
для человека области.
.5 Обзор существующих конструкций
Создатели робота из Васедовского университета (Waseda University) в Токио
и японская робототехническая компания Tmsuk надеются, что однажды с помощью
созданного ими двуногого робота люди, пользующиеся инвалидными колясками,
смогут подниматься и спускаться по лестницам, а также переносить тяжелые вещи
по неровным поверхностям.
Робот с батарейным питанием под кодовым названием WL-16 (Рис.1.5) по сути
представляет собой алюминиевое кресло, закрепленное на двух группах
телескопических ног. Ноги заканчиваются плоскими плитами, которые выполняют
функцию ступнейиспользует 12 силовых приводов, которые помогают роботу
совершать движения вперед, назад, в стороны (обычная длина шага 30 см), при
этом он способен нести взрослого человека весом до 60 килограммов. Робот может
корректировать свою "осанку" и двигаться плавно, даже если человек в
кресле поворачивается или меняет свое положение. [2]
Рис.1.5 Внешний вид робота WL-16
На сегодняшний день одним из самых известных творений компании Boston
Dynamics, принимающей активное участие в создании робота Urban Hopper, является
робот BigDog.(Рис.1.6) Этот четвероногий робот предназначен для передвижения по
пересеченной местности, переноса тяжелых грузов и способен преодолевать
возвышенности и ямы. Робот собака предназначен для армии США - рабочее название
Big Dog. Длина робота BigDog - 0,91 метр, высота 0,76 метра, вес 110
килограммов. В настоящее время он способен передвигаться по труднопроходимой
местности со скоростью 6,4 км в час, перевозить 154 кг груза и подниматься на
35 градусную наклонную плоскость. BigDog приводится в движение двухтактным
одноцилиндровым двигателем от карта со скоростью вращения 9000 об/мин, из-за
чего слышен громкий звук мотора. В последующих версиях робота планируется
исправить этот демаскирующий недостаток. Мотор служит приводом для гидронасоса,
который в свою очередь питает гидродвигатели ног. В каждой из ног установлено
по 4 гидродвигателя (два для бедренного сустава, и по одному для коленного и
голеностопного суставов) общим числом 16. Каждый из гидродвигателей состоит из
гидроцилиндра, сервоклапана, а также датчиков положения и усилия
Рис.1.6 Внешний вид робота BigDog
Китайские инженеры из Института автоматики создали модель четырехногого робота
под названием FROG (Рис.1.7) (Four-legged Robot for Optimal Gait - четырехногий
робот для оптимальной ходьбы). FROG будет выступать в качестве основы для
создания роботизированной копии динозавров для музеев и выставок.
Строение робота
Длина FROG-I - 1150 мм, высота - 950 мм, а ширина - 700 мм. Вес модели -
55 кг.
Каждая нога имеет тазобедренное и коленное сочленение, приводимое в
движение постоянным током в 48 В напряжения и 18 А силы, поступающим по
электическим кабелям.
Рис.1.7 Внешний вид робота FROG
Разработанный в сверхсекретном агентстве DARPA (Агентство по
перспективным оборонным научно-исследовательским разработкам США) в
сотрудничестве с Boston Dynamycs, робот RHex стал кульминацией многолетних разработок (Рис.1.8).
Он может развивать скорость до 2 метров в секунду, ориентироваться на любой
местности, преодолевать практически любые ямы, бугры и болота. Этот гексапод
способен передвигаться на расстояние до 3,7 км без подзарядки. С помощью одного
электропривода постоянного тока напряжением 24В и мощностью 240 Вт. RHex имеет
герметичный корпус. Управляется робот оператором, предел досягаемости 600
метров. Есть видеокамера и GPS приемник. Очевидно, основной задачей робота
будет разведка. [3]
Рис.1.8 Внешний вид робота RHex
Шестиногий пауко-подобный, шагающий робот Hexapod Anubis (Рис.1.9) с
поддержкой роботехнического зрения.
Подвижность робота обеспечивает система 3DoF - 3 сервопривода на каждой конечности.
Причем надо отметить, что видеокамера Pan & Tilt тоже оснащена двумя
дополнительными приводами. В итоге робот получил 20 приводов.
Взаимодействие с роботом осуществляется по беспроводным каналам. На
частоте 2.4Гц по Bluetooth осуществляется прием-передача данных с
микроконтроллера. На частоте 1.2Гц посредством аналогового ресивера
осуществлется прием данных с беспроводной камеры с их последующей оциврокой USB
TV тюнером, либо через сетевую камеру Wi-Fi.
Видеоданные анализируются программой робототехнического зрения Roborealm
путем использования фильтров и алгоритмов. Возможно использование ручного
управления движением робота через виртуальный графический пульт. В данном
режиме имеется возможность выбирать разновидность походки, скорость движения,
высоту платформы, высоту поднятия ног от поверхности, наклоны во все стороны,
переносы платформы во все стороны без наклона, вращение платформы, вращение
камеры, вращение робота, двигение прямолинейно и боком, а также любая
комбинациия всего перечисленного.
Рис.1.9 Внешний вид робота Hexapod Anubis
Выводы к
главе 1
В ходе проведенного анализа существующих конструкций и способов движения
мобильных роботов можно сделать следующие выводы.
Одним из наиболее перспективных направлений развития мониторинга
окружающей среды является применение мобильных роботов, обеспечивающих большую
автоматизацию, надежность и оперативность процесса.
Среди всего широкого многообразия мобильных роботов для мониторинга
окружающей среды предпочтительнее использовать шагающие роботы, т.к. они
обладают рядом существенных преимуществ по сравнению с другими типами роботов
по критериям проходимости, несущей способности, маневренности и т.п.
В качестве прототипа целесообразно выбрать четырёхногую конструкцию
шагающего робота, поскольку она обладает большой устойчивостью и
быстроходностью.
Предлагаемое конструктивное решение выгодно отличает данный проект от
существующих аналогов и может найти свое применение в различных отраслях
народного хозяйства, в задачах, связанными с мониторингом окружающей среды:
сельское и лесное хозяйство, объекты гидросферы, технические объекты и т.п.
Глава 2.
Конструкторский раздел
.1 Описание разрабатываемой конструкции
На основе проведённого анализа техники ходьбы, анализа существующих
конструкций была выбрана четырёхногая компоновка робота, т.к. такая компоновка
робота более компактная, чем шесть ног, и намного проще чем с двумя ногами.
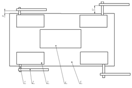
Схема разработанного робота представлена ниже на Рис. 2.1
Рис.2.1 Схема робота вид сверху
Робот состоит из корпуса 5, на котором закреплены приводы 3, на выходном
валу привода расположена втулка 1 , на которой закреплена с натягом лапа 2.
Питание робота осуществляется с помощью аккумулятора 4, длины L1 и L2 выбраны разными для того, чтобы лапы робота могли бы
двигаться асинхронно, не мешая друг другу.[1]
.2 Выбор профиля ноги робота
На основе проведённого анализа существующих конструкций была выбрана
форма ног выполненные в виде С-образных колёс, и закреплены со смещением оси
вращения - это позволяет увеличить проходимость робота по сравнения с круглым
профилем ног, и уменьшить момент сопротивления по сравнению с вытянутым
профилем ног.
Рис. 2.2 Чертёж ноги робота.
.3 Трёхмерная модель робота и его модулей
Рис.2.3. Внешний вид разрабатываемого робота
Рис.2.4. Внешний вид электродвигателя
Рис.2.5 Внешний вид аккумулятора
Рис.2.6 Внешний вид платы управления
Рис.2.7 Внешний вид силового модуля
Рис.2.8 Инкрементальный энкодер на подставке
Рис.2.9 Внешний вид подшипника
.4 Тепловой
расчет электродвигателя
- режим работы при периодическом изменении частоты вращения и нагрузки.
Соответствующие данному режиму работы диаграммы для двух различных значений
частоты вращения (10.46 и 6.28
) показаны на рис. 2.10
Рис. 2.10. График зависимости угловой скорости от времени.
Рассчитаем моменты для каждого участка работы двигателя:
Н∙м;
0.007 Н∙м;
Н∙м;
Н∙м.
Рис. 2.11. График зависимости момента от времени.
Найдём эквивалентный момент:
,
где - время одного цикла
Н∙м;
.07 Н∙м
0.33 Н∙м.
В нашем случае это равенство выполняется, следовательно, двигатель
подобран правильно.
.5 Расчёт посадки с натягом
Посадки с натягом в механизмах и машинах применяют для соединения деталей
и передачи крутящего момента. Прилагаемый к сопряжению крутящий момент должен
передаваться за счет сил трения, возникающих на сопрягаемых поверхностях
деталей под воздействием натяга. При выборе посадки для конкретного сопряжения
необходимо выдержать два условия:
.При наименьшем натяге должна обеспечиваться передача внешнего момента,
осевой силы или их совместного действия.
.При наибольшем натяге выбранная посадка не должна разрушать сопрягаемые
детали.[6]
Условия выбора посадки:
Величину наименьшего натяга
при условии, что сопрягаемые
поверхности идеально гладкие, рассчитывают по формуле приведенной ниже:
где p - удельное
эксплуатационное давление по поверхности контакта, Па;номинальный диаметр
соединения, м;
Е1, Е2 - модули упругости
соединяемых деталей
С1, С2 -коэффициент Ляме.
Определим наименьший расчетный
натяг
, предварительно определив коэффициенты Ляме:
= 2,4
где d1, d, D -
диаметры, мм;
и
-
коэффициенты Пуассона для сталь 40, принимается равным 0.3
Определим максимальный натяг
для данного сопряжения:
По стандарту ГОСТ25347-82 выберем
предпочтительную посадку d7
.6 Расчёт и
выбор подшипников
Т. к. на опоры валов действует радиальная нагрузка, то выбираем
радиальные шариковые подшипники. (рис.50).
Рис.50. Подшипник шариковый радиальный ГОСТ 7242-45.
Табл.1. Параметры подшипника
|
Параметр
|
60027
|
|
Внутренний диаметр d,
мм
|
8
|
|
Наружный диаметр D,мм
|
22
|
|
Ширина B,мм
|
7
|
|
Грузоподъемность Сr, Н
|
550
|
|
Грузоподъемность С0r, кН
|
1,53
|
Расчет подшипника ведем по динамической грузоподъемности, так как частота
вращения кольца подшипника более 1 об/мин. Условие работоспособности подшипника
имеет вид:
где
- расчетная динамическая грузоподъемность подшипника;
- частота вращения кольца подшипника
=100 об/мин;
- требуемая долговечность работы (примем
=14000ч);
p-
степенной показатель (для шарикоподшипников p=3,33);
C-
динамическая грузоподъемность подшипника;
,
где
и
- радиальная и осевая нагрузки;
Х и Y - безразмерные коэффициенты,
зависящие от типа подшипника и типа нагружения (X=0,43, Y=1);
V-
кинематический коэффициент (V=1,
так как вращается внутреннее кольцо);
- динамический коэффициент безопасности (
=1,1);
- температурный коэффициент (
=1, так как
).
Подставим все значения в основное уравнение:
Следовательно, принятый подшипник будет нормально работать в течение
принятого срока службы.
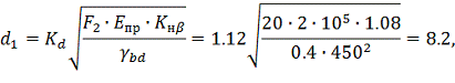
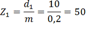
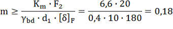
2.7 Геометрический расчет реечной передачи
Расчет геометрических параметров реечной передачи начинают с
определения делительного диаметра
шестерни. Исходными даннями для расчета передачи являються :F=20H на рейке , перемещение H=60мм и линейная скорость V=0.05 рейки. В случае делительный диаметр шестерни равен ,мм:
Делительный диаметр шестерни можно также найти из условия контактной
прочности зубьев,мм:
сила сопротивления на рейке,Н;
коэффициент,учитывающий неравномерность нагрузки по ширине
зуба;
коэффициент ширины зубчатого венца.
Определяем модуль зубьев из условия изгибной прочности зубьев:
Следовательно:
, где коэффициент
равен для прямозубых колес 6,6.
Находим число зубьев шестерни:
Для шестерни, нарезанной без смещения,диаметрокружшости вершин зубьев,мм:
Диаметр окружности впадин зубьев,мм:
Толщина зуба шестерни по делительной окружности ,мм, равная толщина зуба
рейки по средней прамой,мм:
Нормальный шаг зубьев шестерни и рейки , мм:
Минимальное число зубьев рейки:
Уточняют минимальную длину нарезанной части рейки:
Ширина зубчатого венца рейки,мм:
Ширина шестерни ,мм:
2.2.6
Вывод по главе 2
По итогам выполненной работы были получены следующие результаты:
1) Составлена схема устройства шагающего робота;
2) Произведен расчет основных узлов модуля шагающего робота;
3) Произведен расчет посатки с натягом;
4) Произв6еден расчет и выбор подшибника;
5) Произведен геометрический расчет реечной передачи.
Глава 3. Система автоматического управления
3.1 Функциональная схема устройства
Рис. 3.1. Функциональной схемы в виде блок-схемы
На функциональной схеме (рис.51) приняты следующие обозначения:
Pitanie
- выключатель питания установки;
START
- кнопка включения робота. При включённом состоянии осуществляется подача
питания на приводы и датчики, начинается обработка данных с аналоговых входов
микроконтроллера, ЖКИ переходит в режим отображения скорости перемещения
робота.
STOP -
кнопка выключения установки.
P - кнопка,
обеспечивающая реверс приводов.
D1
-Датчик тока.
D2 - Датчик наклона.
D3 -
цифровой датчик, регистрирующий угол поворота.
М1,М2,М3,М4,М5,М6,М7,М8 - приводы постоянного тока.
LCD -
жки дисплей.
Radio
- радио модуль позволяющий дистанционно управлять роботом.
3.2 Задачи система автоматического управления
В задачу системы управления шагающей машины входят: стабилизация в
процессе движения положения корпуса машины в пространстве на определенной
высоте от грунта независимо от рельефа местности;
обеспечение движения по определенному маршруту с обходом препятствий;
связанное управление ногами, реализующее определенную походку с
адаптацией к рельефу местности.
Поскольку основное назначение шагающих машин - передвижение по сильно
пересеченной местности, управление ими обязательно должно быть адаптивным. В
системе управления при этом выделяют обычно следующие 3 уровня управления:
первый, нижний, уровень - управление приводами степеней подвижности ног;
второй уровень - построение походки, т.е. координации движений ног, со
стабилизацией при этом положения корпуса машины в пространстве;
третий уровень - формирование типа походки, направления и скорости
движения, исходя из заданного маршрута в целом[7].
Необходимо разработать систему автоматического управления приводом
поворота лап шагающего робота, отвечающую следующим характеристикам:
· Количество колебаний
;
· Время переходного процесса
с;
· Коэффициент перерегулирования при типовом воздействии в виде
единичного импульса
;
· Статическая ошибка
.
3.3 Структурная схема САУ устройством
На рис.3.2 приведена структурная схема системы автоматического управления
одним из приводов.
Рис. 3.2. Структурная схема управления приводом вертикального вращения.
На рисунке 52 приняты следующие обозначения:
Wус
(p) - передаточная функция усилителя;
Wдвигателя
(p) - передаточная функция двигателя;
Wредуктора (p) - передаточная функция редуктора;
Wос
(p) - передаточная функция обратной
связи;
Wвозм
возд(p) - передаточная функция возмущающего
воздействия.
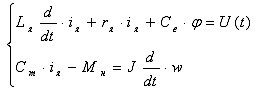
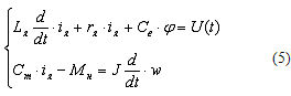
.4 Определение передаточных функций
Так как при фиксированном возбуждении двигатель имеет две степени
свободы, то необходимо иметь для него два исходных дифференциальных уравнения.
Первое уравнение может быть получено, если записать второй закон Кирхгофа для
цепи якоря; второе же представляет собой закон равновесия моментов на валу
двигателя.
Таким образом, работу привода можно описать следующими уравнениями:
В этих уравнениях
и
- индуктивность и сопротивление цепи
якоря;
и
, где
и
- коэффициенты пропорциональности, а
- поток возбуждения;
- приведенный к оси двигателя
суммарный момент инерции,
- угловая скорость, М - момент нагрузки, приведенный к валу
двигателя. [7]
Константы Се и Cm найдём по следующим формулам:
Запишем систему уравнений для пространства Лапласа: (5)
Выразим из второго уравнения системы (5) ток и подставим в первое:
Преобразуем выражение к виду:
Отсюда находим передаточную функцию:
и передаточную функцию по возмущающему воздействию:
Передаточная функция обратной связи:
Wос
(p) = 1. (10)
Передаточная функция редуктора
Wредуктора (p) = 1/50. (11)
.5 Моделирование системы автоматического управления средствами MATLAB
3.5.1 Исследование непрерывной системы
Проведём моделирование системы автоматического управления средствами
программного пакета MATLAB (рис.3.3).
Воспользуемся расширением данного программного продукта - средой моделирования Simulink[7].
Рис. 3.3. Модель системы автоматического управления в среде Simulink
Используя встроенные средства среды Simulink, получим график переходного процесса
системы, при воздействии на неё единичного ступенчатого сигнала (рис. 3.4).

Из графика можем определить следующие параметры система автоматического
управления:
· величина статической ошибки - 0%;
· время переходного процесса -4.2 с;
· колебательность отсутствует;
· коэффициент перерегулирования - 0%.
Исходя из этих данных, можно сделать вывод о том, что система
автоматического управления не соответствует техническому заданию и нуждается в
корректировке. В качестве корректирующего звена выберем ПИД
(пропорционально-интегрально-дифференциальный) регулятор.
.5.2 Настройка
ПИД - регулятора
Для настройки ПИД регулятора - определения значений пропорционального,
дифференциального и интегрального коэффициентов - воспользуемся встроенными средствами
среды Simulink.
Подбор коэффициентов будем осуществлять с помощью блока NCD OutPort. Включим его в схему, как показано на рисунке 3.5.
Рис. 3.5. Схема, собранная для настройки ПИД регулятора
Зададим настройки блока NCD OutPort и ПИД
регулятора PID Controller (рис. 56).
Рис. 3.6. Настройки блока NCD OutPort
Рис. 3.7. Настройки блока NCD OutPort
Рис. 3.8. Параметры ПИД регулятора PID Controller
В блоке NCD OutPort зададим ограничения для графика переходного процесса
(рис. 3.9).
Блок NCD OutPort производит автоматическую коррекцию параметров Kp, Ki и Kd.
Рис. 3.9. Настройка границ в блоке NCD OutPort
Значения коэффициентов, полученных оптимизацией в блоке NCD OutPort:
Kp
=0.5
Ki =
5.12
Kd = 0
После корректировки переходная функция удовлетворяет техническому заданию
(рис. 3.10).
Получены следующие характеристики:
Время переходного процесса - 0.2 с.
Количество колебаний - 0.
Коэффициент перерегулирования - 0.1%.
Статическая ошибка - 0.
Рис. 3.10. Реакция системы на единичное ступенчатое воздействие
.5.3 Исследование системы на
робастность
Робастность - это способность системы сохранять заданный запас
устойчивости при вариациях ее параметров, вызванных изменением нагрузки,
технологическим разбросом параметров и их старением, внешними воздействиями,
погрешностями вычислений и погрешностью модели объекта.
В качестве переменных величин возьмем постоянные K1 и K2 в
передаточной функции электродвигателя. Предположим, что они, изменяются в
диапазоне +/-20%. Данные коэффициенты учитывают варьирование характеристик
электродвигателя таких как индуктивность, момент инерции и т.д.
Настроим систему с помощью NCD-блока.
В нем зададим максимальное (+20%) и минимальное (-20%) значения коэффициентов
(рис. 61).
Рис. 3.11. Окно задания максимальных и минимальных значений
Характеристики переходного процесса при различных значениях К1 и К2
приведены на графиках (рис. 3.12 - 3.15).
Рис. 3.12. График переходного процесса при K1min, К2min
Рис. 3.13. График переходного процесса при K1max, К2max
Рис. 3.14. График переходного процесса при K1min, К2max
Рис. 3.15. График переходного процесса при K1max, К2min
Таблица 2. Характеристики переходного процесса при различных K1 и K2
|
Изменяемые параметры
|
Коэффициент
перерегулирования ( ,%)
|
Время установления (tпп,c)
|
|
|
0
|
0.241
|
|
|
0.572
|
0.228
|
|
|
0.574
|
0.228
|
|
|
0
|
0.241
|
При выбранном диапазоне значений постоянных двигателя система проявляет
себя как робастная.
.3.4 Исследование системы с учетом нелинейности
В механических системах любого вида присутствуют нелинейности: это люфты,
возмущающее воздействие, трение, проскальзывание, изменяющиеся характеристики
электродвигателя и другие, не очень удобные для проектирования факторы.
Исследуем поведение системы при нелинейности, связанной с люфтом в редукторе.
Рис. 3.16. Модель САУ для исследования системы с учетом нелинейности
Установим люфт в редукторе около 5 градусов.
Рис. 3.17. Настройки блока "Dead Zone", моделирующего люфт в редукторе
Рис. 3.18. График переходного процесса при люфте в редукторе
Исходя из полученных результатов, мы видим что наша система под действием
момента нагрузки и люфта в редукторе сохранила устойчивость, но мы можем
наблюдать, что появились перерегулирование и увеличилось время переходного
процесса.
.3.5 Исследование системы на устойчивость критерием Найквиста
Критерий Найквиста: Для того, чтобы система в замкнутом состоянии была
устойчивой, необходимо и достаточно, чтобы при изменении ω от -
до +
годограф разомкнутой системы W(iω) (АФЧХ) не охватывал точку с
координатами (-1; 0j) [3]. АФЧХ
разомкнутой системы показана на рис. 3.19.
Рис. 3.19. График АФЧХ разомкнутой САУ с учетом ПИД-регулятора
Полученный график АФЧХ позволяет сделать вывод об устойчивости САУ в
соответствии с частотным критерием Найквиста.
5.3.6
Определение запаса устойчивости
Запас устойчивости по амплитуде − это величина ЛАЧХ разомкнутой
системы на частоте, при которой ЛФЧХ имеет значение -180 град.
Запас устойчивости по фазе - это разность между значением ЛФЧХ и
значением -1800 на частоте, при которой значение ЛАЧХ равно 0 дБ.
Диаграммы Боде, по которым определяется запас устойчивости, изображены на
рисунке 3.20.
Рис. 3.20. ЛАЧХ и ЛФЧХ скорректированной разомкнутой системы
По полученным графикам определим запас устойчивости по фазе.
Система будет устойчива, если ее график ЛАЧХ пересекает ось частот
быстрее, чем график ЛФЧХ пересечет линию
.
Запас устойчивости по фазе равен 168о. Запас устойчивости по
амплитуде ∞.
.3.7 Определение передаточных функций разомкнутой и замкнутой системы
Определим передаточную функцию разомкнутой системы:
Определим передаточную функцию замкнутой системы:
Характеристическое уравнение замкнутой системы имеет вид:
Выводы к главе 3
По итогам выполненной работы были получены следующие результаты:
1) Составлены функциональная и структурная
схемы системы управления шагающего
роботом;
2) Составлены передаточные функции, описывающие аналоговую
систему автоматического управления, проведено моделирование системы
автоматического управления в программном пакете Matlab;
) Составлены передаточные функции, описывающие
цифровую систему автоматического управления, проведено моделирование цифровой
системы автоматического управления и сравнение с аналоговой системой в
программном математическом пакете Matlab;
Глава 4. Цифровая САУ
4.1 Моделирование цифровой системы
Для исследования ЦСАУ необходимо провести z-преобразование передаточной функции непрерывной системы. Для
этого воспользуемся средствами математического пакета VisSim (рис. 4.1).
Рис. 4.1. Переход в Z-пространство
средствами VisSim
Смоделируем схему цифровой и замкнутую системы автоматического управления
в Simulink (рис. 4.2).
Рис. 4.2. Структурная схема цифровой и замкнутой системы
Сравнение передаточных функций замкнутой системы по S- и Z-преобразованиям
Рис. 4.3. Переходный процесс замкнутой и цифровой системы
Две передаточные функции замкнутой системы имеют незначительное
расхождение.
.2 Исследование цифровой системы на устойчивость
Как известно, непрерывная система устойчива, если все корни ее
характеристического уравнения лежат в левой полуплоскости. При исследовании
дискретных систем вместо р используется новая переменная z =
. Конформное преобразование z =
отображает левую полуплоскость
плоскости р в область, ограниченную окружностью единичного радиуса на плоскости
z, при этом мнимая ось отражается в саму эту окружность [7]. Следовательно, для
того чтобы системы была устойчива необходимо и достаточно, чтобы корни
характеристического уравнения лежали внутри единичной окружности. Следовательно, для того чтобы системы была устойчива
необходимо и достаточно, чтобы корни характеристического уравнения лежали
внутри единичной окружности.
Рис. 4.4. Проверка устойчивости ЦСАУ
Как видно из рис. 4.4, все корни характеристического уравнения лежат
внутри единичной окружности, следовательно, проектируемая цифровая система
устойчива.
.3 Выбор электронных компонентов
Рассматривая функциональную схему устройства (рис. 51), можно сделать
вывод о количестве необходимых компонентов для реализации цифровой САУ.
Представим список необходимых компонентов:
) Плата Управления;
) Силовой модуль;
) датчики (3 типа);
) ЖКИ - дисплей;
) Радио модуль.
4.3.1 Плата
Для проектируемой ЦСАУ рационально использовать Arduino Mega построена на
микроконтроллере ATmega1280 (техническое описание). Платформа содержит 54
цифровых входа/выходов (14 из которых могут использоваться как выходы ШИМ), 16
аналоговых входов,4 последовательных порта UART, кварцевый генератор 16 МГц,
разъем USB, силовой разъем, разъем ICSP и кнопку перезагрузки. Для работы
необходимо подключить платформу к компьютеру посредством кабеля USB или подать
питание при помощи адаптера AC/DC, или аккумуляторной батареей. Arduino Mega совместима
со всеми платами расширения, разработанными для платформ Duemilanove или
Diecimila.
Таблица 1. Краткие характеристики
|
Микроконтроллер
|
ATmega1280
|
|
Рабочее напряжение
|
5В
|
|
Входное напряжение
(рекомендуемое)
|
7-12В
|
|
Входное напряжение
(предельное)
|
6-20В
|
|
Цифровые Входы/Выходы
|
54 (14 из которых могут
использоваться как выходы ШИМ)
|
|
Аналоговые входы
|
16
|
|
Постоянный ток через
вход/выход
|
40 mA
|
|
Постоянный ток для вывода
3.3 В
|
50 mA
|
|
Флеш-память
|
128 KB (4 используются для
загрузчика)
|
|
ОЗУ
|
8 KB
|
|
Энергонезависимая память
|
4 KB
|
|
Тактовая частота
|
16 MHz
|
Рис. 4.5. Рис. Внешний вид контроллера
.3.2 Силовой модуль.
Будем использовать Motor drive
- силовой модуль управления двигателями.
Таблица 2. Краткие характеристики
|
Напряжение питания на
приводы
|
4,5-12В
|
|
Напряжения сигналом
управления
|
5В
|
|
Количество силовых каналов
|
4
|
|
Выходной ток
|
До 4А
|
Рис. 4.6. силовой модуль Motor drive.
4.4.3 Датчик
тока
Используем датчик тока
ACS714 Sensor Carrier -30 to +30A
Рис.
4.7. Датчик тока ACS714 Sensor Carrier -30 to +30A
Таблица 3. Краткие характеристики
|
Размер
|
20х17мм
|
|
Кратковременная перегрузка
|
До 5
|
|
Выходной сигнал
|
Аналоговый, 66мВ/А
|
|
Сопротивление проводников
платы
|
1,2Ом
|
|
Диапазон рабочих температур
|
-30…+50
|
4.4.4 Энкодер
Будем использовать инкрементальный энкодер E30S4-3000-6-L-5 компании - AUTONICS (рис. 4.8).
Рис. 4.8. Инкрементальный энкодер E30S4-3000-6-L-5.
Таблица 4. Краткие характеристики
|
Бренд
|
AUTONICS
|
|
VDC,В
|
6
|
|
Диаметр оси
|
4мм
|
|
Количество импульсов на
оборот
|
1024
|
|
Рабочая температура
|
-30…+70
|
|
Степень защиты
|
IP50
|
|
Кабель
|
2м диам.
|
|
Масса
|
80гр
|
.4.5 Жидкокристаллический индикатор
Выбрали LCD дисплей WH1602B-YYK-CTK
Рис.4.9. LCD дисплей WH1602B-YYK
Таблица 5. Краткие характеристики
|
Тип
|
знакосинтезирующий
(текстовый)
|
|
Количество символов
|
2 строки по 16 символов
|
|
Шрифт
|
латинский и кириллический
|
|
Подсветка
|
: светодиодная,
желто-зеленая
|
|
Габариты (мм)
|
80x36x14
|
|
Область вывода (мм)
|
56×11
|
|
Напряжение питания (В):
|
6
|
|
Интерфейс:
|
HD44780 совместимый
|
4.4.6 Датчик температуры и влажности DHT11
Cенсор
DHT11 для измерения температуры и относительной влажности окружающего воздуха -
отлично откалиброванный, стабильный и энергоэффективный датчик. Датчик
подключается к управляющей электронике через 2 провода.
Данные и температуры, и влажности поставляются по сигнальному проводу в
виде цифрового сигнала. Это позволяет передавать данные на расстояние до 20 м.
Сенсор работает по i2c протоколу.
Рис. 4.10 Внешний вид датчик температуры и влажности DHT11
Таблица.6 Технические характеристики
|
Напряжение питания
|
5 В
|
|
Диапазон температур
|
0 - 50 °С
|
|
Погрешность температуры
|
±2 °С
|
|
Диапазон влажности
|
20 - 90%
|
|
Погрешность влажности
|
±5%
|
.4.7 Принципиальная схема разрабатываемой системы
С учетом выбранных компонентов спроектируем управляющую плату. Ее
принципиальная схема представлена на рис. 34.
Рис. 4.10. Принципиальная схема управляющей платы.
Список компонентов:
М1,М2,М3,М4,М5,М6,М7,М8 - приводы постоянного тока.- контроллер
Arduino1280, D3 - драйвер двигателя Motor Drive
D4-D11 - энкодер
E30S4-3000-6-L-5
D12 - радио модуль
D13 -
датчик температуры и влажности DHT11
D14 -
ЖКИ-дисплей
Выводы к главе 4
По итогам выполненной работы были получены следующие результаты:
) Произведено моделирование цифровой системы
2) Произведен подбор электронных компонентов для
реализации системы управления шагающего робота;
) Составлена принципиальная схема системы управления шагающего робота.
Глава 5. Правила по охране труда на предприятиях и в организациях
машиностроения
Правила разработаны на основе действующего законодательства, стандартов
системы безопасности труда, строительных норм и правил, санитарных правил и
норм и других нормативных правовых актов по охране и безопасности труда с
использованием отраслевых стандартов, правил и положений машиностроительных
отраслей.
Правила содержат основные требования по охране и безопасности труда на
предприятии и распространяются на предприятия, учреждения и организации
машиностроительного профиля всех форм собственности, сфер хозяйственной
деятельности и организационно-правовых форм.
.1 Общие требования
1. Правила по охране труда на предприятиях и в организациях
машиностроения распространяются на все объединения, предприятия, организации и
производства машиностроительного профиля.
2. Все организации, включая проектные, конструкторские,
научно-исследовательские и другие, обязаны выполнять (предусматривать в
проектах) требования по охране труда.
3. На основе Правил с учетом конкретных условий в организации должны
быть разработаны и, после консультаций с профсоюзными органами, утверждены в
соответствии с перечнем инструкции по охране труда для работников по профессиям
и видам работ.
4. Инструкции по охране труда должны быть выданы работникам на руки
или вывешены на рабочих местах, или организовано их хранение в определенных и
доступных местах, известных работникам.
. Пересмотр инструкций должен производиться не реже одного раза в
пять лет и в случаях изменения технологии, оборудования, инструментов и др.,
для работ с повышенной опасностью - не реже одного раза в три года.
. У каждого руководителя структурного подразделения, начальника
участка, мастера, прораба, начальника лаборатории и др. должен быть в наличии
комплект действующих инструкций для работников по всем профессиям и видам
работ, входящих в сферу его производственной деятельности.
. Организация контроля за выполнением инструкций по охране труда
для работников в организации возлагается на работодателя, контроль за их
выполнением - непосредственно на руководителей структурных подразделений
(служб).
8. Выполнение требований инструкций следует проверять при
осуществлении всех видов контроля.
В цехах механической обработки вредными производственными факторами
являются: повышенная запыленность и загазованность воздуха рабочей зоны
(особенно при обработке латуни, бронзы, меди, серого чугуна, текстолита и др.),
высокий уровень шума и вибрации, недостаточная освещенность и др., при этом:
- При обработке пластмасс образуется сложная смесь паров, газов
и аэрозолей с выделением формальдегида, хлористого водорода, сернистого газа,
окиси и двуокиси углерода, бутилена, толуола, этилена, стирола, дибутилфталата,
цианистого водорода, аммиака и др.;
- В воздух рабочей зоны выделяются также аэрозоли масел и
смазочно-охлаждающих жидкостей;
- К психофизиологическим вредным производственным факторам
относятся физические перегрузки при работах с крупногабаритными тяжелыми
деталями, монотонность труда, перенапряжение зрения и др.
- Величина динамической работы, совершаемой в течение каждого
часа рабочей смены, не должна превышать: с рабочей поверхности 1750 кгм, с пола
- 875 кгм.
- Контакты со смазочно-охлаждающими жидкостями могут вызвать
поражения кожного покрова кистей рук, в связи с чем необходимо применение
дерматологических защитных средств.
Сварочные работы сопровождаются рядом вредных производственных факторов:
пыль, газ, световое излучение, высокая температура, тепловое и ультрафиолетовое
излучение, при этом:
- Открытое газовое пламя и дуга, струя плазмы, брызги жидкого
металла и шлака при сварке и резке создают опасность ожогов и повышают опасность
возникновения пожаров и взрывов;
- Некоторые виды сварки сопровождаются шумом, значительно
превышающим допустимые уровни. Уровень шума на рабочем месте оператора
плазменного напыления достигает 120-130 дБ;
- Яркость электрической дуги более чем в 1000 раз превышает
допустимую норму для глаза;
- Газосварщики, газорезчики, электросварщики должны быть
обеспечены средствами индивидуальной защиты (костюм хлопчатобумажный с
огнестойкой пропиткой или костюм брезентовый, ботинки кожаные, рукавицы
брезентовые, перчатки диэлектрические для электросварщиков, маска сварочная,
очки защитные).
9. Общие санитарно-гигиенические требования к воздуху рабочей зоны
(температура, влажность, скорость движения воздуха, содержание вредных веществ)
определяются ГОСТ 12.1.005.
10. Содержание вредных веществ в воздухе рабочей зоны должно
контролироваться в соответствии с методическими указаниями Минздрава СССР от
26.09.85 № 3936-85 и не должно превышать установленных предельно допустимых
концентраций (ПДК).
. Зоны с уровнем звука выше 85 дБА должны быть обозначены знаками
безопасности. Работающие в этой зоне должны быть обеспечены средствами
индивидуальной защиты органов слуха;
. Предельно допустимые значения напряженности и плотности потока
энергии электромагнитного поля на рабочем месте персонала, обслуживающего
установки, излучающие энергию электромагнитного поля, а также методы контроля,
основные способы и средства защиты, определяются ГОСТ 12.1.006.
. При работах с объектами (машинами, оборудованием, ручным
пневматическим инструментом и др.), генерирующими вибрацию, должна применяться
система профилактических мер и мероприятий, направленных на предупреждение
неблагоприятного воздействия вибрации на организм человека, основными из
которых являются:
- санитарно-гигиеническое нормирование предельно допустимых
уровней вибрации;
- использование механизированного инструмента и оборудования,
отвечающего требованиям санитарных норм;
- внедрение прогрессивных технологий, исключающих воздействие
производственной вибрации на работающих.
14. Производственные процессы не должны загрязнять окружающую среду
(воздух, почву, водоемы) выбросами и отходами вредных веществ. Должно
обеспечиваться своевременное удаление и обезвреживание отходов производства.
15. Основными средствами обезвреживания выбросов на предприятии
являются газоочистные и водоочистные сооружения, за эффективностью работы
которых должен быть установлен контроль;
. Радикальным направлением в работах по охране окружающей
природной среды является переход на экологически безопасные, безотходные
технологии, замкнутые системы водоснабжения, утилизацию и обезвреживание
отходов производства;
. Государственному контролю подлежат выбросы, для которых
установлены предельно допустимые (ПДВ) или временно согласованные (ВСВ)
величины;
. Содержание вредных веществ в воздухе на рабочем месте не должно
превышать ПДК;
. Концентрации вредных веществ в воздушных выбросах в атмосферу не
должны превышать норм, установленных ГОСТ 12.1.005 и СП 245;
. Для очистки стоков литейных цехов должны применяться механические
(отстаивание, фильтрование), химические (нейтрализация, коагуляция) и
физико-химические методы.
. Очистка газов, отходящих от плавильного оборудования (вагранок,
электросталеплавильных печей и др.) должна производиться с применением
агрегатов: сухой искрогаситель (эффективность очистки 0,4-0,5), мокрый
искрогаситель (эффективность очистки 0,6-0,7), сухой циклон (эффективность
очистки 0,8-0,85), рукавный фильтр (эффективность очистки 0,98);
. Очистка сточных вод кузнечно-прессового производства должна
производиться в отстойниках и маслоуловителях с последующей нейтрализацией.
. Очистка газовых выбросов от шахтных печей, горнов и др. должна
производиться с применением рукавных фильтров и абсорберов;
. Обезвреживание сточных вод термических производств, в которых
могут находиться цианистые соединения и др. ядовитые вещества, должно
производиться щелочью и хлорсодержащими компонентами, перекисью водорода,
марганцовокислым калием до рН сточных вод в пределах 10,5-11,0 с последующим
отстоем в отстойниках.
. Очистка газовых выбросов от термического оборудования должна
производиться с применением встроенных в основное оборудование аспирационных
систем;
. Защита атмосферы от вредных выделений гальванических цехов
осуществляется очисткой вентиляционных выбросов.
. Очистку сточных вод от химически вредных растворимых и
взвешенных веществ рекомендуется осуществлять с обеспечением возврата воды и
ценных продуктов в производство;
. Защита воздушной среды от вредных выбросов окрасочных
производств должна производиться очисткой вентиляционного воздуха в
гидрофильтрах, в установках каталитического дожигания компонентов летучей
фракции лакокрасочных материалов и др.
. Очистка сточных вод от лакокрасочных материалов должна
производиться отстаиванием с последующей коагуляцией и доочисткой напорной
флотацией;
. При сварочных работах выделяется большое количество токсичных
веществ. Вытяжная вентиляция постоянных рабочих мест (сварочных постов) должна
иметь систему пылеулавливания и нейтрализации загрязнений.
. Производственные процессы должны быть пожаро- и
взрывобезопасными.
Основными средствами пожаротушения в литейных цехах являются:
- модельное, шихтовое отделения - вода, химическая пена,
водяной пар;
- формовочное, стержневое отделения - распыленная вода,
химическая пена;
- участки точного литья - водяной пар;
- участки сушки форм и стержней - углекислый газ;
- плавильные участки - порошковые сухие огнетушители, сухой
песок, флюсы;
- для тушения небольших очагов возгорания легковоспламеняющихся
и горючих жидкостей - войлочные кошмы и покрывала.
.2 Требования к производственным (технологическим)
процессам
1. Технологические процессы должны соответствовать требованиям ГОСТ
12.3.002 и предусматривать:
- Устранение непосредственного контакта работающих с исходными
материалами, заготовками, полуфабрикатами, готовой продукцией и отходами
производства, оказывающими вредное воздействие, а также своевременное их
удаление и обезвреживание;
- Замену технологических процессов и операций, связанных с
возникновением опасных и вредных производственных факторов процессами и
операциями, при которых указанные факторы отсутствуют или имеют меньшую
интенсивность;
- Комплексную механизацию и автоматизацию, дистанционное
управление операциями и процессами при наличии опасных и вредных производственных
факторов;
- Герметизацию оборудования;
- Рациональную организацию и безопасные методы и приемы труда,
а также организацию отдыха работающих;
- Применение средств коллективной защиты работающих от
воздействия вредных и опасных производственных факторов;
- Систему контроля и управления технологическими процессами,
обеспечивающую защиту работающих и аварийное отключение производственного
оборудования;
- Своевременное получение информации о возникновении опасных
ситуаций на отдельных технологических операциях.
2. При разработке и организации технологических процессов необходимо
обеспечить:
- Доведение до минимальных выделений в воздух помещений, в
атмосферу и в сточные воды вредных веществ, а также выделений тепла и влаги в
производственные помещения;
- Отсутствие или минимальные уровни шума, вибрации,
ультразвука, электромагнитных волн радиочастот, статического электричества и
ионизирующих излучений;
- Снижение физических нагрузок, напряжения внимания и
предупреждение утомления работающих.
- Технологические процессы, при которых применяются или
образуются вещества 1-го или 2-го классов опасности, должны проводиться
непрерывным, замкнутым циклом при применении комплексной автоматизации с
максимальным исключением ручных операций.
- Технологические процессы должны выполняться только на том
оборудовании, которое указано в технологической документации, и по
технологическим режимам в пределах допустимых параметров оборудования без его
перегрузок.
- При работе оборудования необходимо обеспечить нахождение
работников за ограждением, если последнее предусмотрено конструкцией
оборудования, проектной или технологической документацией.
- При транспортировке и складировании сырья и материалов должны
применяться способы, максимально устраняющие ручные операции, опасность
травмирования, физические перенапряжения, непосредственный контакт работающего
с вредными веществами, загрязнение воздушной среды рабочей зоны и территории
предприятия
- В механосборочных производствах должны применяться средства
индивидуальной защиты согласно ГОСТ 12.4.011.
3. В современных технологиях широкое применение находят опасные и
сильнодействующие ядовитые вещества (аммиак, хлор, синильная, азотная, серная,
соляная и др. кислоты, бромистый метил, фосген, фтористый водород, сернистый
ангидрид, бензол, сероуглерод и др.). При этом необходимо учитывать, что многие
опасные вещества в соединении с воздухом образуют взрывчатые смеси. Большой
потенциальной опасностью на предприятии обладают и объекты газового хозяйства.
Поэтому:
- В организации должны быть проработаны ситуации возможных
аварийных случаев с оформлением их в виде планов локализации и ликвидации
возможных аварийных ситуаций;
- При обнаружении аварийной ситуации необходимо немедленно
сообщить непосредственному руководителю; оповестить окружающих голосом,
включением звуковой, световой сигнализации; сообщить дежурному диспетчеру по
телефону; принять меры к предупреждению об опасности на месте или в зоне
обнаруженной аварийной ситуации; проверить наличие людей в опасной зоне и
принять меры к их выводу из этой зоны;
- В зависимости от масштаба и оценки возможных последствий
организация обязана об опасной аварийной ситуации сообщить органам местной
власти, штабу гражданской обороны, вышестоящей хозяйственной организации,
пожарной охране и организовать оповещение об опасности сиреной или прерывистыми
гудками;
.3 Требования к производственным помещениям
1. Территория предприятия и размещение зданий и сооружений на ней
должны соответствовать требованиям Санитарных норм проектирования промышленных
предприятий и противопожарным нормам проектирования зданий и сооружений с
учетом технологических особенностей производства.
2. Здания и сооружения с технологическими процессами, являющимися
источниками выделения в окружающую среду вредных и неприятно пахнущих веществ,
а также с источниками повышенных уровней шума, вибрации, ультразвука,
электромагнитных волн радиочастот, статического электричества и ионизирующих
излучений, следует отделять от жилой застройки санитарно-защитными зонами и
разрывами и размещать на территории предприятия с подветренной стороны для
ветров преобладающего направления по отношению к жилой застройке и к другим
производственным зданиям.
.