|
№п/п
|
Название эллипсоида
|
Год
|
Полярное сжатие, а
|
Метод определения
параметров эллипсоида
|
|
1
|
Бесселя
|
1841
|
6 377 397
|
1:299,15
|
Градусные измерения
|
|
2
|
Кларка
|
1880
|
6 378 249
|
1:293,47
|
-//-//-
|
|
3
|
Гельмерта
|
1907
|
6 387 200
|
1:298,30
|
-//-//-
|
|
4
|
Красовского
|
1940
|
6 378 245
|
1:298,30
|
-//-//-
|
|
5
|
WGS-84
|
1984
|
6 378 137
|
1:298,257224
|
Спутниковые измерения
|
|
6
|
ПЗ-90
|
1990
|
6 378 136
|
1:298,257839
|
-//-//-
|
|
7
|
ПЗ-90.02
|
2007
|
6 378 137
|
1:298,257224
|
-//-//-
|
Как следует из приведённых в таблице 1.1 данных, независимые определения
параметров общеземного эллипсоида WGS-84 и ПЗ-90.02 полностью совпадают [1].
1.2
Общеземные системы координат
Ось вращения планеты пересекает поверхность эллипсоида в точках северного
(N) и южного (S) полюсов. Плоскость BFEB, проходящая через середину земной
оси NS (т.е. на равных расстояниях от
полюсов) и перпендикулярно к ней называется плоскостью экватора.
Рисунок 3 - Основные сечения эллипсоида вращения [1].
Сечения поверхности эллипсоида плоскостями, параллельными плоскости
экватора, называются параллелями (например, ADTA). Сечения поверхности эллипсоида
плоскостями, проходящими через точки полюса, называются меридианами -
плоскости NAESBTN, NDFSN на рисунке 3.
Таким образом, любой меридиан является геометрическим местом точек равных
долгот, а параллель - геометрическим местом равных широт.
Для определения положения произвольной точки земной поверхности
используются системы эллипсоидальных (географических или геодезических) и
пространственных прямоугольных (геоцентрических) координат. координат эллипсоид
высота земной
Система географических (астрономических) координат, которая
изображена на рисунке 4а, связана с отвесными линиями и определяет положение
точки на поверхности эллипсоида двумя величинами: широтой (φ)
и долготой (χ).
Географической
широтой φ называют угол, образованный отвесной линией с плоскостью
экватора; географической долготой χ называется двугранный угол между
плоскостью начального меридиана и меридиана, проходящего через данную точку.
Система геодезических координат, изображенная на рисунке 4б,
связана с нормалью к эллипсоиду и определят положение точки пространства тремя
величинами: геодезической широтой (В), геодезической долготой (L)и геодезической высотой (Н). Геодезической
широтой В называют угол между нормалью к поверхности эллипсоида в данной
точке и плоскостью геодезического экватора. Геодезической долготой L называют двугранный угол между
плоскостью начального геодезического меридиана и геодезического меридиана,
проходящего через данную точку. Геодезической высотой Н называют
расстояние от данной точки физической поверхности Земли до поверхности
эллипсоида по нормали к ней [1].
Рисунок 4 - Планетарные системы астрономических и геодезических координат
[1].
Все геодезические меридианы проходят через малую ось эллипсоида,
совпадающую с осью его вращения.
Астрономические (географические) широты и долготы могут быть измерены с
помощью соответствующих инструментов, в то время как геодезические могут быть
найдены только по результатам вычислений.
Широты В и φ отсчитываются от экватора к полюсам, измеряются от 0
до 90˚ и считаются положительными для северного полушария (имеют
обозначение с. ш.) и отрицательными для южного полушария (ю. ш.).
Долготы L и χ
изменяются от 0 до
±180˚ и отсчитываются от начального меридиана к востоку и западу.
Восточные долготы (в. д.) считаются положительными, а западные (з. д.) -
отрицательными.
Различия между геодезическими и астрономическими координатами объясняются
несовпадением отвесных линий с нормалями к поверхности эллипсоида. Среднее
квадратическое значение этого различия для равнинных районов составляет около5 ̋
, для горных районов 10-15 ̋ (где отдельные значения могут достигать 40 ̋
). При мелкомасштабном картографировании указанными различиями пренебрегают.
Система геодезических координат используется при обработке обширных
геодезических сетей, решения задач, связанных с передачей координат на
значительные расстояния, изучении фигуры и размеров Земли, составлении
топографических и географических карт. Эта система положена в основу разграфки
листов топографических карт, рамками которых служат параллели и меридианы.
Наряду с системой геодезических координат, в качестве единой для всего
эллипсоида используется система прямоугольных пространственных координат OXYZ , которые отражены на рисунке 4б. Ее начало О совпадает
с центром эллипсоида, ось OZ
совпадает с его малой осью, ось ОХ совпадает с пересечением плоскостей
геодезического меридиана и экватора, а ось OYдополняет систему до правой. В этой системе положение точки М
характеризуется координатами:
X = OM ̋ , Y = M’M” , Z= M’M.
Систему координат OXYZ
называют геоцентрической, если ее начало совмещено с центром общего
земного эллипсоида (центром масс Земли), а ось Z - с осью вращения Земли [1]. Связи геодезических и
геоцентрических координат имеют вид формулы 1.1:

(1.1)
При
решении обратной задачи геодезическую широту В находят методом последовательных
приближений, через геоцентрическую широту Ф (1.2):

(1.2)
В
первом приближении геодезическую высоту В вычисляют из выражения tgB =
tgФ / (1-е2) и уточняют в последующих
приближениях.
В
геодезии широко используют нормальные сечения эллипсоида - кривые, полученные
пересечением его поверхности плоскостью, проходящей через нормаль к поверхности
в данной точке. Два из этих сечений, имеющие максимальную и минимальную
кривизну, называются главными нормальными сечениями, а радиусы их кривизны -
главными радиусами кривизны. Первое называется меридианным сечением PAESBTP, изображенного
на рисунке 3 , а второе, перпендикулярное к
нему, - нормальным сечением первого вертикала QAQ. Радиусы их
кривизны равны (1.3):

(1.3)
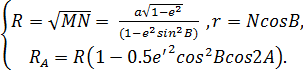
Кроме того, часто используют средний радиус кривизны R, радиус
кривизны параллели r и радиус
нормального сечения RA по направлению А (1.4).

(1.4)
В
общем случае нормали к поверхности эллипсоида в двух его точках не пересекаются
и не лежат в одной плоскости, а прямое и обратное нормальные сечения не
совпадают, что показано на рисунке 5. Кратчайшим расстоянием между этими
точками является геодезическая линия - кривая, во всех точках которой
соприкасающаяся плоскость проходит через нормаль к поверхности Земли. Заметим,
что геодезические линии на поверхности имеют то же значение, что и прямые линии
на плоскости. Угол Δ между взаимными нормальными сечениями невелик и
вычисляется по следующей приближенной формуле (1.5):

(1.5)
где
S - длина геодезической линии (расстояние между ее конечными точками);
Nm
- радиус кривизны первого
вертикала; Вт - широта; А - азимут нормального
сечения; р" = 206265. Нижний индекс «m» означает, что
соответствующая величина относится к средней точке.
Рисунок
5. - Нормальные сечения и геодезическая линия [1]
Угол
В между геодезической линией и прямым нормальным сечением, составляет 1/3
расхождения А. Поэтому при Вт = 45° и S = 100 км получим, что
А = 0",042 и В = 0",014. Поправки В учитываются только при обработке
высокоточных геодезических построений и решении задач на большие расстояния.
1.3
Системы картографических координат
При топографических съемках и землеустроительных работах рассмотренные
ранее планетарные координатные системы заменяются выбранной по тем или иным
правилам системой плоских прямоугольных координат, основным преимуществом
которой является существенное упрощение вычислительной обработки результатов
измерений за счет замены математического аппарата сферической тригонометрии
более простыми и наглядными формулами геометрии и тригонометрии на плоскости.
К важнейшим требованиям, учитываемым при выборе системы плоских
координат, относят сравнительную простоту учета искажений, возникающих при
изображении пространственного объекта на плоскости, и возможность проецирования
на эту плоскость больших участков поверхности эллипсоида без разрывов, при
заданной величине искажений. Существенным является и характер таких искажений,
причем наиболее выгодным, удобным считается такой способ отображения
(проецирования), когда при переносе углов с эллипсоида на плоскость их величины
не изменяются. Это достигается выбором такого математического аппарата
построения проекции, при котором значение масштаба изображения, изменяясь от
одной точки к другой, в каждой из них остается одинаковым по всем направлениям.
При этом сохраняется подобие бесконечно малых фигур при их переносе с эллипсоида
на плоскость и практическое постоянство масштаба отображения бесконечно малы по
площади участков. Картографические проекции, обладающие таким свойством,
называются конформными.
Теория конформного изображения одной поверхности на другой (в частности -
эллипсоида на плоскости) и его практического использования в геодезических
целях была разработана в 1820-1830 гг. К. Ф. Гауссом. Систематизации этих работ
и их публикации в немалой степени способствовал немецкий геодезист И. Г.
Крюгер, которым был разработан ряд вопросов теории и практики применения
плоских прямоугольных координат в геодезии. Поэтому система координат,
полученных на основе теории конформных преобразований Гаусса, принято называть
системой координат Гаусса-Крюгера. Эта система, принятая в России, странах СНГ
и ряде других государств, отвечает следующим условиям:
· изображение на плоскости является конформным;
· осевой меридиан и экватор в плоскости проекции изображаются прямыми
линиями и пересекаются под прямым углом;
· масштаб изображения осевого меридиана на плоскости проекции постоянен и
равен единице
· начало координат в плоскости проекции совпадает с точкой пересечения
осевого меридиана и экватора, которые и принимаются оси абсцисс и ординат.
Сущность конформного проецирования заключается в следующем.
Представим себе эллиптический цилиндр, который касается эллипсоида по
меридиану, называемому осевым, и математическим путем спроецируем на его
поверхность некоторый фрагмент эллипсоида (зону), заключенный между граничными
меридианами. Разрезав цилиндр вдоль образующей и развернув его поверхность в
плоскость, получим изображение зоны, на котором осевой меридиан и экватор
окажутся взаимно перпендикулярными.
При проецировании элементов эллипсоида на плоскость проекции с учетом
условия конформности масштаб изображения точек изменяется в зависимости от их
удалений от осевого меридиана[1].
1.4
Системы плоских прямоугольных координат
В практике при выполнении топографо-геодезических и земельно-кадастровых
работ используют несколько координатных систем: 3-градусные и 6-градусные
системы 1942 года (СК-42), 1963 года (СК-63), а так же местные системы:
некоторые работы требуют применения широко распространенной на западе UTM, а в недалеком будущем произошел
переход к системе координат 1995 года [1].
1.4.1
Система координат 1942 года
Система координат 1942 года (СК-42) была введена Постановлением Совета
Министров СССР в 1946 году, одновременно с введением на территории страны
единой системы геодезических координат. Ее параметры были установлены в 1942
году по результатам совместного уравнивания звеньев триангуляции 1-го класса,
образующих 87 полигонов (4733 пунктов), покрывающих территорию Европейской
части и распространяющихся далее на восток и на юг в виде цепочки полигонов по
территории Средней Азии и Юга Сибири. В дальнейшем, по мере развития сетей
триангуляции и полигонометрии, Государственная геодезическая сеть (ГГС)
уравнивалась отдельными блоками. На границе блоков результаты предыдущего
уравнивания принимались абсолютно точными. Таким образом, государственная
геодезическая сеть распространялась в виде системы «нанизанных» один на другой
полигонов 1-го класса, что должно было неизбежно привести к деформации
геодезической сети на границе блоков, рядов 1-го класса и заполняющей сети 2
класса.
К началу 80-х годов, когда были завершены работы по развитию
геодезической сети на территории всего СССР, а геодезическая служба страны
получила на вооружение мощную вычислительную технику, стало возможным решение
задачи уравнивания всей Государственной геодезической сети как единого
геодезического построения. Эта задача была решена в 1991 году общим
уравниванием Астрономо-геодезической сети (АГС) в количестве более 164 тысяч
пунктов.
Результаты уравнивания подтвердили наличие значительных деформаций ГГС в
СК-42, которая оказалась неоднородной по точности. При этом выявлены
существенные региональные деформации, достигающие 20-30 км, и локальные
деформации границах блоков, рядов 1 класса и сплошных сетей 2-го класса,
которые в отдельных случаях достигали 10 и более метров.
Исследования подтвердили наличия существенных деформаций Государственной
геодезической сети Республики Беларусь. Как показало сравнение координат 30-ти
пунктов СК-42 и СК-95, их расхождения достигали 2,0 м по оси абсцисс и 1,5 по
оси ординат. При этом наиболее существенные искажения, достигающие 2-4 м,
выявлены на территории Припятского нефтегазоносного региона и связываются с
локальными геодинамическими явлениями [1].
1.4.2
Система координат 1963 года
В период ядерного противостояния рубежа
1950-60-х годов, для того, чтобы "запутать врагов" и не дать сведений
для точного прицеливания баллистических и крылатых ракет, в СССР была придумана
и массово внедрена в практику специальная искаженная система координат СК-63. С
тех пор научились определять точные координаты из космоса, коммерчески доступна
и относительно недорога точно привязанная съемка с разрешением 0.6 м, а мы,
официально отменив СК-63 (но, не открыв параметры искажений), продолжаем
"путаться" с проекцией СК-63. Дело в том, что существуют и продолжают
использоваться огромные фонды крупномасштабных карт в этой системе, кроме того,
земельный кадастр многих регионов сделан в этой системе и многие данные, такие
как границы лесов, например, требуются именно в этой системе.
Система координат СК-63 была отменена
Постановлением ЦК КПСС и СМ СССР от 25 марта 1987 года, однако разрешено
использование созданных в ней топографо- геодезических и картографических
материалов и данных, но без создания в этой системе новых материалов и данных.
Совместное решение Роскартографии и Роскомзема, утвержденное 25 анваря 1993
года устанавливает порядок обеспечения координатами геодезических пунктов в
системе координат СК-42 организаций Роскомзема. Использование координат
геодезических пунктов в условной системе координат 1963 года разрешено в
порядке исключения, для завершения начатых работ в этой системе координат на
конкретных участках территории. По математической сущности это та же система
Гаусса-Крюгера. только номенклатура базовых карт масштаба 1 : 100 000 построена
по-другому. Страна была разбита на частично перекрывающиеся области
неправильной формы размером в несколько регионов, которым присвоены буквенные
обозначения. Эти области отмечены на специальных бланковых картах. В пределах
области карты пронумерованы двумя цифрами - № горизонтального ряда (нумерация
идет снизу вверх) и № вертикальной колонки (нумерация идет слева направо),
которые и записываются в номенклатурный номер после буквы, что и составляет
номенклатуру 1 : 100 000 карт. Для карт производных масштабов далее следует
остальная часть номенклатурного номера, которая строится также, как в СК-42.
Топографические карты СК-63 легко отличить от карт СК-42: на их полях нет
никаких надписей, кроме номеров смежных листов. Номенклатурный номер на карте
может выглядеть так: Р-47- 083-Бв1.
Проекция топографических карт масштаба 1 :
10 000 в СК-63 использует 3-градусные зоны вместо стандартных 6-градусных.
Соответственно искусственный сдвиг начала координат на запад имеет величину 250
000 м . Номер зоны определяется по второму числу номенклатуры, зоны
отсчитываются локально слева направо в пределах буквенной области, осевые
меридианы зон сдвинуты на запад на полградуса. Кроме них в каждой области
имеются индивидуальные искажения: осевой меридиан сдвинут относительно базового
сдвига на полградуса еще на несколько угловых минут на запад или восток, такой
же случайный сдвиг на несколько минут есть и по широте, и, наконец, начало
отсчета координат сдвинуто относительно экватора еще на несколько километров
(обычно больше 10 км , также переменная величина). Из-за всех этих искажений,
не зная их точных величин, воспроизвести систему СК-63 не удается [4].
1.4.3 Система координат 1995 года
Результаты уравнивания Государственной геодезической сети 1991 года
показали, что дальнейшее использование СК-42 не могло обеспечивать возрастающее
требования к точности решению геодезических задач. Необходима была новая
геодезическая сеть с высокой и практически однородной точностью координат на
всей территории страны. Решение этой задачи оказалось возможным только с
использованием всего комплекса имеющихся в то время высокоточных геодезических
данных.
Для повышения достоверности результатов общего уравнивания АГС 1991 года
и точности взаимного положения пунктов ГГС на больших расстояниях было принято
решение о совместном уравнивании 164000 пунктов АГС и всех имеющихся на тот
момент высокоточных спутниковых данных. Эти данные включали 26 пунктов
Космической геодезической сети (КГС), 134 пункта Доплеровской геодезической
сети (ДГС) и 35 пунктов гравиметрической сети (ГС). Результаты завершенного в
1995 году совместного уравнивания перечисленных построений положили основу
системы геодезических координат 1995 года (СК-95).
Координаты пунктов Государственной геодезической сети в СК-95 однородны по
точности (табл.1.2), что подтверждается результатами спутниковых определений.
Таблица 1.2
Погрешность взаимного положения пунктов [1].
|
Средняя квадратическое
погрешность взаимного положения пунктов СК-95
|
Значение погрешности, м.
|
|
Смежных
|
0,02-0,05
|
|
Удалённых на 200-300 км
|
0,20-0,30
|
|
Удаленных на 500 км и более
|
0,50-0,80
|
При установлении СК-95 были сохранены параметры эллипсоида Красовского, и
лишь несколько изменены параметры ориентирования эллипсоида в теле Земли. Это
позволило минимизировать расхождения координат точек в СК-42 и СК-95 таким
образом, что оказалось возможным полностью сохранить изданные ранее
топографические карты масштаба 1:10 000 на территорию Европейской части России,
Средней Азии и юга Сибири.
Поскольку для СК-95, как и для СК -42, остаются справедливыми одни и те
же формулы, то переход к СК-95 связан только с подготовкой и переизданием
каталогов координат и высот пунктов государственной геодезической сети страны.
Систему координат поддерживают 72 пункта Фундаментальной астрономо-геодезической
сети (ФАГС) и Высокоточной геодезической сети (ВГС), в том числе на территории
Республики Беларусь 1 пункт ФАГС и 9 пунктов ВГС. Система надежно связана с
мировой геоцентрической системой ITRF (International Terrestrial Reference Frame), что обеспечивает возможность ее дальнейшей
модернизации.
Система координат 1995 года введена Постановлением Правительства
Российской Федерации от 28 июля 2000 года взамен СК-42.
В республике Беларусь, в соответствии с Указом Президента Республики
Беларусь, СК-95 вводится с 1 января 2010 года, после завершения работ по
модернизации государственной геодезической сети страны. Соответствующие
подготовительные работы выполняются по плану, утвержденному правительством
республики и включающему:
· Обследование и восстановление пунктов государственной геодезической сети
1-4 классов;
· Создание в республике спутниковой геодезической сети (СГС-1);
· Определение координат пунктов ФАГС и ВГС на эпоху введения СК-95 и
перевычисление координат пунктов государственной геодезической сети из
действующей СК-42 в устанавливаемую СК-95;
· Создание и тиражирование каталогов координат и высот государственной
геодезической сети в СК-95;
· Разработку средств и методов установления связи СК-95 с европейскими и
мировыми системами координат;
· Перевычисление ключей связи местных координатных систем с СК-95.
Этим планом, кроме того, предусматриваются выполнение гравиметрических
работ, построение карты высот квазигеоида, определены меры по установлению на
территории республики государственной системы высот и др.
Вводимая на территории Беларуси СК-95 основывается на точных спутниковых GPS-измерений, результатах уравнивания
сети и будет отличаться от СК-95 России.
Аналогичные по характеру работы ранее выполнены соответствующими службами
Украины и завершены вводом в действие национальной системы координат УСК-2000.
Имеются основания полагать, что по этому же пути пойдут и другие страны
СНГ. [1]
Подведомственными Государственному комитету по
имуществу Республики Беларусь предприятиями выполнены работы по построению
современной государственной геодезической сети (ГГС). Координаты пунктов ГГС на
всю территорию республики определены в государственной системе геодезических
координат 1995 года (СК-95).
Координаты пунктов ГГС на всю территорию республики
определены в государственной системе геодезических координат 1995 года (СК-95).
Систему геодезических координат СК-95 на территории Республики Беларусь
реализуют пункты, в зависимости от точности их определения, подразделяющиеся на
классы:
· Фундаментальная
астрономо-геодезическая сеть (ФАГС);
· Высокоточная геодезическая сеть
(ВГС);
· Спутниковая геодезическая сеть 1
класса (СГС-1);
· Геодезическая сеть сгущения (ГСС).
Координаты пунктов ФАГС, ВГС и СГС-1 определены
спутниковыми методами в Международной земной референцной системе координат
(International Terrestrial Reference System) в реализации 2005 года
(International Terrestrial Reference Frame 2005), а затем по параметрам
перехода, полученным в результате выполнения научно-исследовательских и опытно-конструкторских
работ, преобразованы в CК-95.
Координаты пунктов ГСС получены путем уравнивания
существующих традиционных измерений, выполненных с помощью теодолитов,
светодальномеров и др., с использованием в качестве исходных пунктов ФАГС, ВГС
и СГС-1.
Координаты пунктов ГГС в СК-95 помещены в составленных
РУП "Белаэрокосмогеодезия" и переданных на хранение в Госкаргеоцентр
каталогам координат. Каталоги составлены по листам карты масштаба 1:200 000.
Координаты пунктов ФАГС, ВГС и СГС-1 в ITRF-2005 помещены в соответствующих
каталогах координат.
Согласно указу Президента Республики Беларусь №200 от
23 апреля 2007 г. Государственный комитет по имуществу Республики Беларусь
поручил Госкартгеоцентру с 1 января 2010 года для выполнения геодезических и
картографических работ государственного назначения в установленном порядке
предоставлять в пользование, а подчиненным Госкомимуществу государственным
специализированным предприятиям - использовать координаты пунктов
государственной геодезической сети Республики Беларусь, определенные в СК-95
[3].
1.5
Система координат проекции UTM
Проекция UTM (Universal Transverse Mercator), часто называемая проекцией
Гаусса-Боага, широко применяется в работах по дистанционному зондированию, при
построении баз данных природных ресурсов и др. Она является конформной и
предполагает деление поверхности эллипсоида на 6-градусные зоны по долготе и
8-градусные ряды по широте (за исключением самого северного, который составляет
12 градусов).
В отличие от проекции Гаусса, в проекции UTM проецирование выполняется не на касательный цилиндр,
а на секущий (рис. 5).

При этом масштаб изображения осевого меридиана в проекции UTM принят равным 0,99960 (вместо
единицы в проекции Гаусса-Крюгера) . Два меридиана, по которым цилиндр
пересекает поверхность эллипсоида, имеют масштаб изображения, равный единице, и
на экваторе удалены от осевого меридиана на 200 км. В национальных системах
координат масштаб изображения осевого меридиана и положение секущих меридианов
могут принимать иные, более удобные для территории значения [1].
Глава 2.
Местные системы координат
Геодезические сети на застроенных территориях предназначены для обеспечения
крупномасштабного картографирования, при котором контуры местности и элементы
инфраструктуры показывается с минимальными искажениями. Кроме того принятая для
создания таких планов система координат должна оставаться стабильной (в отличие
от государственной системы, которая может периодически переуравниваться). Эти
цели достигаются применением специально установленной плоской прямоугольной
системы координат, связанной с государственной системой некоторыми параметрами,
а также, при необходимости, проецированием измерений на средний уровень
территории.
Такая система координат называется местной системой координат
(МСК), под которой понимается система координат, устанавливаемая в отношении
ограниченной территории, начало отсчета и ориентировка осей которой смещены по
отношению к началу отсчета и ориентировке осей координат государственной
геодезической сети.
Общий порядок установления МСК определяется нормативными документами
правительственного уровня (например в Республике Беларусь эти вопросы
регулируются постановлениями Совета Министров), а техническая сторона вопроса
сводится к выбору исходной системы, метода ее создания и ключей связи с
государственными системами. При этом, поскольку местная система координат
всегда является плоской и прямоугольной, ее установление может быть выполнено
методами аналитической геометрии или путем картографических преобразований.
Местные системы координат устанавливаются
при создании на территориях населенных пунктов или промышленных объектов
геодезических сетей сгущения или специальных геодезических сетей, которые
являются геодезической основой для производства геодезических и
картографических работ при инженерных изысканиях, строительстве и эксплуатации
зданий и сооружений, землеустройстве, создании и ведении кадастров и выполнении
других специальных работ [2].
При установлении местной системы координат
обязательным требованием является обеспечение взаимосвязи этой местной системы
координат с государственной системой координат с использованием параметров
перехода (ключа).
При установлении местной системы координат
должны быть соблюдены некоторые условия, как например:
· исходными геодезическими
пунктами для установления местной системы координат должны быть пункты
государственной геодезической сети в количестве не менее 2, координаты которых
в установленном порядке предоставляются исполнителю государственной
специализированной организацией, уполномоченной Госкомимуществом на
формирование, ведение и хранение государственного картографо-геодезического
фонда (далее - уполномоченная организация);
· при установлении местной
системы координат применяют проекцию Гаусса-Крюгера с произвольным осевым
меридианом, проходящим по центральной части территории, для которой
устанавливается местная система координат, или вблизи от нее, с таким расчетом,
чтобы поправки за редуцирование геодезических измерений на поверхность
относимости были пренебрегаемо малы;
· за высоту поверхности
относимости принимают среднюю высоту территории, для которой устанавливается
местная система координат, или уровень моря (высота точки начала отсчета
государственной системы высот);
· преобразования координат
из государственной системы геодезических координат в местную систему координат
и наоборот производятся с обязательным контролем [2].
2.1
Местные системы координат Республики Беларусь
Работы по созданию местных систем координат в Республике Беларусь начаты
еще в довоенный период и выполнялись, в основном, специалистами РУП Белгеодезия
(предприятия № 5, западного АГП) и Треста инженерно-строительных изысканий
(ТИСИЗа, БелТИСИЗа).
Согласно хранящемуся в Госкартгеоцентре Каталогу МСК, содержащему
первоначально установленные ключи, местные системы координат созданы в 256
населенных пунктах: данные об их числе и образующих системах представлены в
таблице 2.1, где цифры в скобках после наименования системы обозначают
«3-градусная» или «6-градусная».
Таблица 2.1
Местные системы координат на территории Республики Беларусь
|
№
|
Область
|
Всего МСК
|
Образующая система
|
|
|
|
СК-42(6)
|
СК-42(3)
|
СК-63
|
Спецзона*
|
ОРП**
|
|
1
|
Брестская
|
39
|
12
|
11
|
12
|
-
|
4
|
|
2
|
Витебская
|
60
|
9
|
20
|
19
|
|
11
|
|
3
|
Гомельская
|
35
|
5
|
16
|
6
|
1
|
8
|
|
4
|
Гродненская
|
35
|
10
|
12
|
10
|
-
|
3
|
|
5
|
Минская
|
55
|
28
|
2
|
10
|
-
|
8
|
|
6
|
Могилевская
|
41
|
8
|
13
|
12
|
8
|
|
Итого по РБ
|
265
|
72
|
94
|
69
|
8
|
42
|
* Создана специальная координатная зона.
** Ориентирование МСК выполнено по ориентирному пункту.
Анализ приведенных данных показывает, что:
· подавляющее большинство местных координатных систем (63,5%) создано в
3-градусной координатной зоне или со специально установленным осевым
меридианом, и, следовательно, характеризуется весьма незначительными
погрешностями, вызванными способом проецирования;
· значительное число систем (42 населенных пункта или 15% всех МСК)
установлено с использованием ориентирного пункта, т.е. без явного указания
координатной зоны образующей системы - ее осевого меридиана и протяженности по
долготе (3˚,6˚).
Следствием преимущественного использования при установлении МСК
ортогональных преобразований является сохранение в ней искажений, обусловленных
влиянием метода построения образующей координатной системы. Правда, эти
искажения минимальны, так как выбиралась та образующая система, осевой меридиан
которой ближе к центру территории.
Нужно отметить, что на территории республики активно, особенно с
созданием в 1947 году топографо-геодезического предприятия, продолжались работы
по сгущению государственной геодезической сети, восстановлению отдельных
пунктов взамен уничтоженных, переносу их с одного счета на другое и пр., что
приводило к изменению геометрии сети и нарушению ее целостности. Поэтому указанные
работы в необходимых случаях сопровождались уточнением ключей связи местных
систем координат и государственной системой. Однако уточненные значения
параметров преобразования, из-за отсутствия четкой системы мониторинга МСК, не
доводились до потребителей, которые в этих условиях либо использовали
первоначально установленные и не соответствующие действительности ключи
Каталога МСК, либо определяли их самостоятельно. Обе ситуации не позволяют
создать качественные электронные базы данных, в том числе и имеющий юридическую
значимость Единый регистр недвижимого имущества Республики Беларусь.
В настоящее время РУП «Белаэрокосмогеодезия» полностью
подготовила Государственную систему геодезических координат 1995 года (СК-95) к
использованию.
Глава 3.
Системы высот
Превышения между точками земной поверхности, полученные геометрическим
нивелированием, строго говоря, зависят от пути нивелирования. Причиной этого
является непараллельность уровенных поверхностей между собой, что обусловлено
распределением плотности внутри Земли, ее формой и др. В зависимости от способа
учета этой непараллельности различают высоты геодезические, ортометрические и
нормальные (рис. 6).
Рисунок 6 - Геодезические, ортометрические и нормальные высоты [1]
Ортометрическая высота точки земной поверхности отсчитывается
относительно поверхности геоида (отрезок M' M (рис. 6)), а для ее определения
требуется наличие значения силы тяжести на отрезке M’ M, что практически
недостижимо. Ортометрическая система высот используется в США, Канаде,
Австралии, Бельгии, Дании, Финляндии, Ирландии, Италии, Нидерландах,
Португалии, Испании, Швейцарии, Турции, Японии и некоторых других странах.
Нормальная высота точки земной поверхности отсчитывается относительно
поверхности квазигеоида (отрезок M”M, рис.6), поверхность которого с
помощью соответствующего математического аппарата определяется вполне
однозначно относительно эллипсоида и геоида. Такая система принята в России,
странах СНГ и некоторых европейских странах (Швеции, Германии, Франции и др.).
Поверхность квазигеоида, строго говоря, не является уровенной поверхностью
гравитационного потенциала, однако ее можно определить по результатам измерений
на физической поверхности Земли.
Геодезическая высота (H)
связана с нормальной (Hγ) и ортометрической (Hg) высотами следующей зависимостью
(3.1):

(3.1)
где

, 
-
превышения квазигеоида и геоида над эллипсоидом (аномалии высот).
По
современным данным, высоты геоида над общим земным эллипсоидомменяются в
пределах от -107 до 87 м., среднее квадратическое значение высоты геоида в
целом по земному шару составляет примерно 30 м.
Поверхности
геоида и квазигеоида на территории Мирового океана между собой совпадают; в
равнинных районах расстояние между ними составляет несколько сантиметров, в а
высокогорных районах могут достигать 2,0-2,5 м.
Отсчет
высот во всем мире выполняется относительно уровнемерных постов, в которых
средний многолетний уровень моря отождествляется с поверхностью геоида.
Несовпадение средних уровней морей вызывает различия в разных странах систем
отсчета высот, что должно учитываться при уравнивании планетарных геодезических
построений.
Современные
технологии и состояние технических средств снимают остроту вопроса относительно
эффективности использования ортометрических и нормальных высот, поскольку в
настоящее время находят применение цифровые модели планетарного геоида
(квазигеоида), создаваемые по результатам анализа возмущений (уклонений от
расчетных) орбит искусственных спутников Земли и данных наземных
гравиметрических измерений. Так, в настоящее время на основе спутниковых
наблюдений разработано несколько моделей геопотенциала, например, GRIM5
(Gravity Field Model),
П32002/360 (2002 г., Россия), EGM96 (Earth Gravitational Model,
1996 г.) и другие, причем модель геопотенциала EGM96
рекомендована Международной службой вращения Земли для обработки
астрометрических и геодезических наблюдений. Точность определения с помощью
превышений геоида (квазигеоида) над эллипсоидом характеризуется средней
квадратической погрешностью порядка 0,3 м. Такие модели широко используются
программным обеспечением спутниковых приемников, обрабатывающими комплексами и
цифровыми фотограмметрическими системами (например, PHOTOMOD).
Имеются
проекты, реализация которых позволит определить гравитационные аномалии с
пространственным разрешением 100 км. и относительной ошибки порядка 10-8,
при этом высоты геоида (квазигеоида), как ожидается, могут быть найдены с
ошибкой не более 1 см [5].
3.1
Основные национальные системы высот
Благодаря тому, что планетарные геодезические системы координат имеют три
оси координат, кроме широты и долготы требуется третья координата, а так как
поверхность Земли рельефна и объемна, существует система высот. Не существует
какой-то определенной планетарной системы высот. Обычно они национальны, т.е.
на одну или несколько близко расположенных государств. Основные из них
представлены ниже:
· Normalhöhennull
(нем. Normalhöhennull)
Система высот используемая в Германии с 1992 года. Отсчет
высот ведется от отметки на церкви святого Александра в Валленхорсте
· National Geodetic Vertical Datum of
1929 (англ. National Geodetic Vertical Datum of 1929)
Система высот используемая в США и Канаде. Отсчет высот
ведется по наблюдаемому в 1929 году уровню высоты моря в 26 точках
североамериканского континента(21 в США 5 в Канаде) В 1983 году была
пересчитана по новому множеству точек и измерению в них среднего уровня моря.
Новая система высот получила название стандарта NAD83.
· European Terrestrial Reference System
1989 (итал. European Terrestrial Reference System 1989)
Система высот используемая в Италии и ряде других европейских
стран. Отсчет ведется по уровню высот Евразийской литосферной плиты.По
Марсельскому футштоку ведут замер уровня Средиземного моря.
· Amsterdam Ordnance Datum (англ.
Amsterdam Ordnance Datum)
Система высот принятая с 1879 в Нидерландах. 0 уровень высот
- отметка в центре Амстердама на высоте 9 футов 5 дюймов над уровнем моря. Эта
система высот послужила основой для Normalnull (англ. Normalnull) и
используются до сих пор.По Амстердамскому футштоку вычисляются высоты и глубины
Западной Европы [5].
3.2 Недостатки использующихся систем высот
Балтийская система высот, зафиксировавшая в определенный год
на нулевой отметке, положение Кронштатского футштока не отражает изменение
высоты этого Футштока в связи с опусканием или поднятием литосферной плиты под
Кронштадтом.84 зафиксировала центр масс Земли с точностью в 2 см[1], что
является довольно грубым измерением. Однако это не так страшно если учесть что
все точки земной поверхности будут смещены относительно центра масс Земли на
одну и ту же величину. Таким образом взаимных искажений координат пунктов в
локальных геодезических сетях не произойдет.
(ПЗ-90) Параметры Земли 1990 года - государственная
геоцентрическая система координат, использующаяся в целях геодезического
обеспечения орбитальных полётов и решения навигационных задач (в частности, для
обеспечения работы глобальной навигационной спутниковой системы ГЛОНАСС) [5].
3.3
Балтийская система высот в Республике Беларусь
Система высот используемая в России с 1977 года по
сегодняшний день. Отсчет высот ведется от нуля Кронштадтского футштока.
Используется в России и ряде других стран СНГ. В России футшточную службу
организовал Пётр I. Первый футшток появился в Петербурге в 1703 году. Замеры
уровня моря были необходимы для молодого российского флота, - от уровня моря
зависело плавание по мелководью Финского залива и устью Невы, а также
строительство оборонительных сооружений на острове. На материке, на
железнодорожной станции Ораниенбаум находится метка № 173. Результаты
нивелировок, проводящиеся с 1880 года, показывают практическую неизменность
высотного положения нуля Кронштадтского футштока который изображен на рисунке 7 .
Рисунок 7 - Кронштадтский футшток [6]
Необходимость замера уровня моря существовала очень давно. За нуль
принимали уровень моря относительно суши за длительный период наблюдений. По
Амстердамскому футштоку вычисляются высоты и глубины Западной Европы. По
Марсельскому футштоку ведут замер уровня Средиземного моря.
В России футшточную службу организовал Пётр I. Первый футшток появился в
Петербурге в 1703 году, а в 1707 году - появилась футшточная служба на о.
Котлин. Замеры уровня моря были необходимы для молодого российского флота, - от
уровня моря зависело плавание по мелководью Финского залива и устью Невы, а
также строительство оборонительных сооружений на острове.
В 1825-1839 годах русский гидрограф М. Ф. Рейнеке вывел средний уровень
моря для нескольких мест Финского залива и заметил, что нули футштоков в этих
точках располагались выше среднего уровня. Он предложил совместить средний
уровень моря с нулями футштоков. В 1840 году на граните были выбиты
горизонтальные метки. Это нововведение позволяло производить наблюдения за
уровнем моря от одной нулевой отметки.
Для контроля положения нуля футштока используют специальные реперы -
метки на твёрдой поверхности суши. Основной репер Кронштадтского футштока -
горизонтальная высечка буквы «П» в слове «Польза» на памятнике П. К. Пахтусову.
Превышения репера над нулём футштока, по замерам в течение десятилетий,
подтвердили устойчивость метки Рейнеке 1840 года.
На материке, в Ораниенбауме, находится метка № 173. Она расположена на
здании железнодорожной станции «Ораниенбаум», и с ней также, периодически,
проводятся нивелировки. Результаты нивелировок, проводящиеся с 1880 года,
показывают практическую неизменность высотного положения нуля Кронштадтского
футштока.
В 1871-1904 годах астроном В. Е. Фус из астрономической обсерватории в
Кронштадте осуществил нивелирную связь нуля Кронштадтского футштока с марками
на материке. В. Е. Фусу принадлежит большая заслуга в решении вопроса об
основном нуле высот России.
В 1886 году астроном-геодезист Ф. Ф. Витрам на месте нулевой метки вделал
в камень медную пластину с горизонтальной чертой, которая и представляет нуль
Кронштадтского футштока.
В 1898 году в деревянной будке был установлен мареограф - прибор,
постоянно регистрирующий уровень воды в колодце относительно нуля футштока.
Чуть позже мареограф перенесли в небольшой павильон с глубоким колодцем.
Самописец мареографа беспристрастно фиксирует колебания моря, отмечая и отливы,
и наводнения.
В 1913 году заведующий инструментальной камерой Кронштадтского порта Х.
Ф. Тонберг установил новую пластину с горизонтальной чертой, которая и служит
до настоящего времени исходным пунктом всей нивелирной сети России.
От нуля Кронштадтского футштока на всей территории России производятся
измерения глубин и высот. Географические карты равняются на Кронштадтскую точку
отсчёта. Даже космические орбиты ведут отсчёт от небольшой черты медной
таблички, прикреплённой к устою Синего моста через Обводной канал в Кронштадте.
Постановлением от 12 июля 1999 года № 1065 Совет Министров постановил,
что во исполнение Закона Республики Беларусь «О геодезической и
картографической деятельности» требуется установление балтийской системы высот
1977 года. Тем же постановлением был установлен референц-эллипсоид
Ф.Н.Красовского (параметры: большая полуось - 6378245,00 метра, малая полуось - 6356863,019 метра, полярное сжатие -
1:298,3) для вычисления геодезических координат [6] .
Заключение
Решение множества разнообразных научных и прикладных задач с последующим
картографированием земной поверхности предопределяет ввод геодезических систем
координат: общеземных - планетарных и местных - локальных для отдельных
территорий и государств.
Общеземная координатная система используется для решения глобальных задач:
изучения фигуры Земли, внешнего гравитационного поля, изменения во времени
движения полюсов Земли, неравномерности ее вращения, управления полетами
летательных аппаратов (в т.ч. космических). В этой связи создали модель планеты
Земля - трехосный эллипсоид вращения, имеющий размеры, массу, угловую скорость
и др. параметры, весьма близкие к реальности. Их называют фундаментальными.
В настоящее время при выполнении топографо-геодезических и
земельно-кадастровых работ используют СК-95, а ранее использовали 3-х и 6-ти
градусные СК-42, СК-63, а так же местные системы координат: некоторые работы
требуют применения широко распространенной на западе UTM.
В Республике Беларусь существует множество местных систем координат.
Всего их около 256 по всей Беларуси. Они основываются на основной действующей в
стране системе координат и создаются для упрощения вычислительных и
строительных работ.
Кроме систем координат существуют еще и системы высот. Не существует
одной мировой системы высот, они специфичны для разных районов суши. Так
сделано для того, чтобы упростить расчеты. В каждом из районов существует
место, обозначенное «0 м. над уровнем моря». Для Республики Беларусь, как и для
всех стран СНГ и Прибалтики таким местом является Кронштадтский футшток,
находящийся в Санкт-Петербурге , под Синим мостом обводного канала, идущего в
Финский залив.
Список
использованных источников
1. Координатное обеспечение топографо-геодезических и
земельно-кадастровых работ / А. С. Назаров. - Минск: Учеб. Центр подготовки,
повышения квалификации и переподготовке кадров землеустроительной и
картографо-геодезической службы. 2008. - 83 с.
2. Постановление
Совета Министров Республики Беларусь от 19 мая 2007 г. № 644 об утверждении
положения о порядке введения Государственной системы геодезических координат,
высот, гравиметрических измерений и установления масштабного ряда
государственных топографических карт и планов на территории Республики
Беларусь.
3. РУП БелАэрокосмогеодезия.
Государственная система геодезических координат 1995 года (ск-95) готова к
использованию. - 2011. - Режим доступа: http://www.geo.by/ru/news/2-the-state-system-of-geodetic-coordinates-1995-sk95-ready-to-use - Дата доступа: 15.03.2013
. Лесные Информационные
Системы. Система координат СК-63. - 2006. - Режим доступа:
http://www.lesis.ru/doc/_toc3_1_4_0.html - Дата доступа: 14.03.2013.
. Национальные системы высот в
геодезии. - 2007. - Режим доступа:
http://ru.wikipedia.org/wiki/Национальные_системы_высот_в_геодезии.html - Дата доступа: 17.03.2013
. История Кронштадского
футштока. - 2005. - Режим доступа:
http://turbina.ru/guide/Kronshtadt-Rossiya-88156/Zametki/O-Kronshtadtskom-futshtoke-67899/photo1756951/
- Дата доступа: 18.03.2013