Дослідження процесів 'витоку' інформації через побічні електромагнітні випромінювання (ПЕМВ) від комп'ютерної системи

  • Вид работы:
    Контрольная работа
  • Предмет:
    Информационное обеспечение, программирование
  • Язык:
    Украинский
    ,
    Формат файла:
    MS Word
    199,15 Кб
  • Опубликовано:
    2015-03-18
Вы можете узнать стоимость помощи в написании студенческой работы.
Помощь в написании работы, которую точно примут!

Дослідження процесів 'витоку' інформації через побічні електромагнітні випромінювання (ПЕМВ) від комп'ютерної системи

Міністерство освіти і науки України

Полтавський національний технічний університет

імені Юрія Кондратюка

Кафедра комп’ютерної інженерії








Розрахунково-графічна робота

з навчальної дисципліни

«Захист інформації в телекомунікаційних системах та мережах»

на тему:

«Дослідження процесів "витоку" інформації через побічні електромагнітні випромінювання (ПЕМВ) від комп'ютерної системи»

Виконав: студент 402-ТТ групи

Казидуб О.О

Варіант№3

Перевірив

Сомов С.В

Полтава 2013

ВСТУП

Можливість несанкціонованого (нелегального) отримання інформації від комп’ютерної системи (КС) шляхом перехоплення побічного електромагнітного випромінювання (ПЕМВ) була доведена ще в 50 - х роках.

Використання інформації перехопленою по побічному електромагнітному випромінюванню можливо лише тоді, коли вона не відрізняється від вихідної, або відрізняється, припустимо для заданих цілей. Отже, теоретично існує гранична можливість помилки (ГМП) перехоплених даних .

Мета перехоплення полягає в прийомі і наступному декодуванні прийнятого сигналу.

Якщо КС обробляє алфавітно-цифрову інформацію, то зв'язок між літерами визначається в контексті слів, що дозволяє відредагувати текст при помилковому прийомі окремих літер у словах.

При обробці графічної інформації зі збільшенням щільності точок на одиницю площі рисунку зв'язку між його окремими ділянками слабшають, тому ГМВП (гранична можливість виникнення помилки) зростає.

Основний витік даних за рахунок побічного електромагнітного випромінювання відбувається в моменти обміну даними між центральним процесором і периферією по послідовному і паралельному інтерфейсу.

Розмір граничної можливості помилки на вході приймача перехоплення залежить від рівня перехоплених сигналів і рівня перешкод навколишнього середовища, та відстані від КС до точки перехвату. Зі збільшенням відстані гранична можливість помилки зростає, і на деякій відстані досягає свого граничного значення.

Цю відстань називають радіусом зони витоку інформації ( РЗВІ ) .

ВАРІАНТ ЗАВДАННЯ ТА ВИХІДНІ ДАНІ

ВАРІАНТ 3

№ варіанта

Е, В/м

Н, А/м

, Ф/м

h1, м

h, м

I, А

f, Гц

Ri, м

h2, м

3

6

0,8

8

0,6

4,5


Розробити рекомендації, алгоритм і програму для захисту комп'ютерної системи від перехоплення інформації через побічні електромагнітні випромінювання:

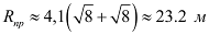
. Розрахувати радіус зони витоку інформації від КС відповідно до вихідних даних по варіанту.

. Розрахувати відстань прямої видимості за умови, що антени приймача і умовного передавача знаходяться на одній висоті від поверхні землі.

. Розрахувати коефіцієнт втрат при максимальній (радіус зони витоку інформації) відстані від умовного передавача.

. Розрахувати відстань прямої видимості, за умови, що антени приймача і умовного передавача знаходяться на різній висоті від поверхні землі.

. Розрахувати коефіцієнт втрат при відстані прямої видимості від умовного передавача.

. Вказати причини і сформулювати рекомендації щодо усунення можливості витоку інформації через побічні електромагнітні випромінювання.

1. РОЗРАХУНОК РАДІУСУ ВИТОКУ ІНФОРМАЦІЇ ВІД КС

У процесі роботи кожен елемент КС, в тому числі й з'єднання (інтерфейси), випромінюють в навколишній простір електромагнітну енергію у вигляді електромагнітних хвиль.

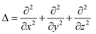
З рівнянь Максвелла випливає, що вектори напруженостей Е і Н змінного електромагнітного поля задовольняють хвильовому рівнянню виду:

                                                                                 (1)

де  - оператор Лапласа;

 - фазова швидкість [м/с].

Будь-яка функція, яка задовольняє системі рівнянь (1) описує хвилю.

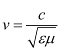
Фазова швидкість цієї хвилі визначається співвідношенням:

                                                                      (2)

де - швидкість світла [м/с];

- діелектрична постійна [Ф/м];

- магнітна постійна [Гн/м].

 і - діелектрична і магнітна проникність середовища; У вакуумі =1 і

=1 і швидкість електромагнітних хвиль збігається зі швидкістю світла.

У середовищі і > 1 і швидкість електромагнітних хвиль менше швидкості світла:

Можливість перехоплення електромагнітних хвиль пов'язана з тим, що вони переносять енергію.

Густина енергії ЕМХ дорівнює сумі об'ємних густин електричного і магнітного поля:


Якщо помножити густину енергії  на швидкість поширення ЕМХ в середовищі, то отримаємо модуль густини потоку енергії:

                            (4)

Так як вектори Е і Н взаємно перпендикулярні і утворюють з напрямком поширення хвилі правовинтову систему, то напрям вектора S збігається з напрямком переносу енергії і називається вектором Умова - Пойнтінга:

                                                                                         (5)

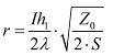
У результаті спільного рішення системи рівнянь (1) і (5) можна визначити енергію випромінювання джерела за формулою:

                                                                                     (6)

де I - струм [А];- розміри вібратора [м];- хвильовий опір у середовищі [Ом / квадрат];- радіус зони витоку [м];

довжина хвилі [м].

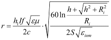
Для визначення радіуса зони витоку формулу (6) приведемо до виду:

                                                                                   (7)

Хвильовий опір можна визначити за формулою:

                                                                  (8)

де інт - діелектрична проникність інтерфейсу [Ф / м];- відстань від поверхні землі до місця розташування інтерфейсу [м];і - радіус інтерфейсу [м];

Довжина хвилі визначається за формулою:

                                                                                             (9)

де - швидкість поширення ЕМХ [м/с];- частота [Гц].

Швидкість поширення ЕМХ можна визначити з співвідношення:

                                                                                          (10)

де c - швидкість світла у вакуумі [м/с];

і - діелектрична і магнітна проникність середовища [Ф/м] і [Гн/м].

Підставивши (8, 9, 10) в (7) отримаємо:

                                                          (11)

де S з рівняння (4).

Дане рівняння дає можливість знайти радіус зони витоку інформації від КС

                 (12)

. РОЗРАХУНОК ВІДСТАНІ ПРЯМОЇ ВИДИМОСТІ ТА КОЕФІЦІЄНТА ВТРАТ

Визначаємо відстань прямої видимості та коефіцієнта втрат для умови, що антена приймача та передавача знаходиться на одній висоті.

Відстань прямої видимості за умови, що антени приймача і умовного передавача знаходяться на одній висоті від поверхні землі обчислюється за формулою:

                                                                            (13)

- відстань від поверхні землі до місця розташування інтерфейсу [м].

                                                                 (14)

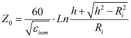
Коефіцієнт втрат визначається

                                                                    (15)

де  - відстань прямої видимості [м];

π = 3,1415926;

.

                                                     (16)

Визначаємо відстань прямої видимості та коефіцієнта втрат для умови, що антена приймача та передавача знаходиться на різній висоті.

                                                                           (17)

де h - висота передавальної антени умовного передавача [м];- висота приймальної антени приймача випромінювань [м].

                                                               (18)

Коефіцієнт втрат визначається:

                                                                    (19)

де  - відстань прямої видимості [м];

π = 3,1415926;

.

                                                     (20)

. РЕКОМЕНДАЦІЇ ПО УСУНЕННЮ МОЖЛИВОСТІ ВИТОКУ ІНФОРМАЦІЇ ЧЕРЕЗ ПОБІЧНІ ЕЛЕКТРОМАГНІТНІ ВИПРОМІНЮВАННЯ

Як може усунути звичайний користувач можливість витоку інформації через побічні електромагнітні випромінювання, для якого забезпечення конфіденційності інформації, так само важлива, як і для сертифікованого фахівця, обслуговуючого цілу організацію?

Не без оптимізму хочеться заявити, що засоби протидії побічним електромагнітним випромінюванням є, причому на будь-який смак. Що стосується звичайного користувача ПК, стурбованого витоком інформації, то тут перш за все слід звернути увагу на пасивні методи захисту. А саме: мається на увазі електромагнітне екранування пристроїв і приміщень, де розташований ПК. Ефективність екранування може забезпечити екран, виготовлений з одинарної мідної сітки з осередком 2,5 мм, або з тонколистової оцинкованої сталі товщиною 0,51 мм і більше. Екранувальні складові (листи сталі, фрагменти сітки) повинні мати щільний контакт по всьому периметру, що забезпечується електрозварюванням, або пайкою. Після екранування стін, слід зайнятися дверима, забезпечивши надійний контакт по всьому периметру з дверною рамою, що забезпечується застосуванням пружинної гребінки з фосфористої бронзи, або іншого відповідного матеріалу, укріпленого по всьому внутрішньому периметру дверної рами. З вікнами роблять так : їх затягують одним або двома шарами мідної сітки з вічком не більше 2х2 мм, причому відстань між шарами сітки має бути не менше 50 мм. Обидва шари повинні мати якісний контакт з прилеглими стінками приміщення за допомогою гребінки з фосфористої бронзи, або іншого відповідного матеріалу . Найголовніше - екран необхідно заземлити, для чого цілком підійде мережа центрального опалення...

Але перетворивши затишну квартиру в бункер, все одно не убезпечите себе від небажаних побічних електромагнітних випромінювань. Вся справа в тому, що в процесі роботи ПК, крім « звичайних» наведень, виникають квазістатичні магнітні й електричні поля, які досить швидко зменшуються з відстанню, але такі поля здатні викликати наведення в проводах, що виходять з житлового приміщення (телефонні кабелі і електричні кабелі та ін.) Чи є вихід ? Звичайно ж , є. Для усунення проблем подібного роду рекомендується провести екранування всіх кабелів, що виходять із закритого приміщення - цим кроком ви зведете до мінімуму можливість перехоплення не тільки побічних електромагнітних випромінювань ПК, а й інших наведень, що послаблюють інформаційну безпеку. Що ж до активних засобів протидії, то тут, звичайно ж, хочеться згадати про генератори шумів в діапазоні, відповідному побічним електромагнітним випромінюванням. В якості прикладу можна навести такі пристрої:

). Мережевий генератор шуму NGS призначений для придушення підслуховуючих пристроїв і систем передачі даних, що використовують у якості носія мережу 220 В. NGS забезпечує генерацію шуму з гауссівською щільністю ймовірності миттєвих значень в діапазоні частотного спектра від 300 Гц до 7 МГц. У найбільш часто використовуваному діапазоні частот від 50 до 500 КГц генератор забезпечує максимальний рівень спектральної щільності потужності шумового сигналу. До країв діапазону рівень спектральної щільності потужності плавно знижується. Перешкода подається в мережу 220 В по шнуру живлення. Виріб не створює перешкод пристроям побутової електроніки.

). Купол 4М, крім завдань протидії технічним засобам розвідки, може використовуватися для блокування каналів дистанційного управління радіокерованих вибухових пристроїв. Прилад складається з 4-х випромінювальних модулів, що забезпечують рівномірну амплітудно - частотну характеристику в діапазоні найбільш ймовірного застосування технічних засобів розвідки і диверсійно-терористичних пристроїв. У ближній зоні випромінювання прилад забезпечує блокування роботи стільникових телефонів і підслуховуючих пристроїв, що працюють із застосуванням каналів систем мобільного зв'язку (GSM , AMPS , DAMPS , CDMA) .

Можливості пристрою :

чотири незалежних генератора, що забезпечують рівномірний спектр випромінювання в діапазоні 50-2000 МГц;

можливість автономної роботи від вбудованих акумуляторів;

висока вихідна потужність, що дозволяє використовувати прилад для блокування радіо детонаторів;

вбудований блок живлення для роботи від мережі живлення 220 В;

індикація стану акумуляторних батарей.

). Генератори радіошуму серії « ШТОРА » призначені для захисту від витоку інформації за рахунок побічних електромагнітних випромінювань і наведень, що виникають при роботі електронних засобів обробки зберігання і передачі інформації, а також для запобігання несанкціонованого перехоплення інформації за допомогою малопотужних радіопередавачів.

інформація комп'ютерний перехоплення

ВИСНОВОК

При вирішенні завдань забезпечення інформаційної безпеки корпоративної мережі слід враховувати всі напрямки захисту інформації. У КС повинні бути виділені внутрішні зони безпеки, сегменти, або окремі технічні засоби (комп'ютери, сервери), для яких необхідно забезпечити високий рівень захищеності, в тому числі і від витоку каналами побічних електромагнітних випромінювань. При створенні комплексу технічного захисту інформації в КС доцільно використовувати методи пасивного захисту, засновані на застосуванні технічних засобів, що відповідають стандартам, або при необхідності сертифікованих засобів. При цьому обладнання, що включається в мережу повинно проходити додаткове тестування. Пропонований комплекс заходів дозволяє з мінімальними витратами створити збалансовану підсистему захисту інформації від побічних електромагнітних випромінювань в КС.

СПИСОК ВИКОРИСТАНОЇ ЛІТЕРАТУРИ

1. Хоффман Л.Дж. Современные методы защиты информации/Пер. с англ. М.С.Казарова и М.К.Размахнина под ред. В.А.Герасименко. - М.: Сов.радио, 1980. - 260 с.

. Голубев В.В., Дубров П.А., Павлов Г.А. Защита информации. В журн.: Вычислительная техника и ее применение, № 9. - М.: Знание, 1990. -

С. 3-33.

. Зегжда Д. П., Ивашко А. М. Как построить защищенную информационную систему. - СПб: НПО “Мир и семья - 95”, 1997. - 312 с.

Похожие работы на - Дослідження процесів 'витоку' інформації через побічні електромагнітні випромінювання (ПЕМВ) від комп'ютерної системи

 

Не нашли материал для своей работы?
Поможем написать уникальную работу
Без плагиата!
Без нейросетей!