Анализ механизма
Задача №1
Требуется выполнить:
1. Структурный анализ механизма.
.1. Начертить схему механизма в
масштабе для заданного углом
мгновенного
положения входного (ведущего) звена.
.2. Определить количество звеньев и
кинематических пар механизма, обозначить на схеме входное (ведущее) звено
цифрой 1 и стойку (неподвижное звено) цифрой 0 (кинематические пары обозначают
заглавными буквами);
.3. Определить степень подвижности W
механизма и выделить входящую в него структурную группу Ассура, указав класс,
порядок и вид группы.
. Кинематический анализ механизма в
положении, заданном углом
.
.1. Построить планы скоростей и
ускорений для всех указанных на схеме механизма точек. При расчете принять
= const.
.2. Определить величины и
направления угловых скоростей
и
ускорений
звеньев
(где i = 1, 2, 3… - порядковый номер звена). Направления угловых скоростей
указать на кинематической схеме механизма круговыми стрелками.
.3. При определении скоростей и
ускорений центров масс Sj звеньев принять, что центр массы звена расположен на середине его
длины. Центр массы ползуна принять совпадающим с центром шарнира.
Исходные данные:
Схема кривошипно-ползунного
механизма представлена на рис. 1.
Входное (ведущее) звено 1 (кривошип
АВ) вращается по часовой стрелке с угловой скоростью
= 30 рад/с (по условию
= const); угол мгновенного положения
= 135°; размеры звеньев:
= 0,08 м,
= 0,2 м;
= 0,24 м.
Рис. 1. Схема механизма
Решение задачи:
Проведем исследование
кривошипно-ползунного механизма (рис. 1.).
1. Структурный анализ механизма.
По исходным данным вычерчиваем схему
механизма в произвольно выбранном (но удобном для построения) масштабе.
Графическая часть структурного и кинематического анализа выполняем на одном
листе формата А3. С учетом того, что действительная длина входного звена
= 0,08 м, примем длину отрезка,
изображающего действительную величину звена АВ на чертеже равной 80 мм. Тогда расчетный масштаб построения схемы механизма определиться
как:
Размеры (в мм) остальных звеньев для
их вычерчивания на схеме механизма определяются соответственно:
Построение схемы механизма в
масштабе (т.е. плана механизма) начинается с выбора точки О - начала отсчета
системы координат X-Y.
Степень подвижности механизма
определяем по формуле Чебышева:
,
где n - число подвижных звеньев
механизма; рн - число низших кинематических пар; рв -
число высших кинематических пар.
Для данной схемы число подвижных
звеньев механизма n = 3 (кривошип АВ, шатун CВ, а также ползун, обозначенный как звено 2), число подвижных
соединений звеньев низшего класса рн = 4, число подвижных соединений
звеньев высшего класса рв = 0. Следовательно:
Это означает, что для работы
рассматриваемого механизма достаточно задать закон движения только одному звену
(в данном случае - звену 1, которое является входным, т.е. ведущим). При этом
законы движения остальных звеньев механизма будут вполне определенными и
однозначными.
Разложение механизма на группы Ассура
начинаем с наиболее простой и наиболее удаленной от ведущего звена группы. При
разложении механизма соблюдаем взаимное расположение звеньев. Простейшая группа
Ассура представляет собой сочетание двух звеньев и трех кинематических пар. Для
заданного механизма такую составляют звенья 2 и 3, а также три кинематические
пары: две вращательные (В, которую образуют звенья 1 и 2, и С, которую образуют
звенья 2 и 3) и одна поступательная С (звенья 3 и 0). Это группа является
группой Ассура 2 класса 2 порядка 2 вида.
Оставшаяся часть механизма (ведущее
звено АВ и вращательная кинематическая пара А (0 - 1)) имеет степень
подвижности W = 1 и относиться к механизмам 1 класса. Таким образом,
исследуемый механизм является механизмом 2 класса 2 порядка 2 вида.
. Кинематический анализ механизма
Кинематическое исследование
механизма ведется для каждой структурной группы в порядке их присоединения.
.1. Определение линейных и угловых
скоростей
) Найдем VВ - скорость точки В.
Рассмотрим группу Ассура 2-3 и
определим линейные скорости точек этой группы. Первой такой точкой является
точка В, которая относительно точки А совершает вращательное движение. Вектор
скорости точки В направлен в сторону вращения
, перпендикулярен звену АВ.
2) Масштаб плана скоростей kv.
Из произвольно выбранной точки Рv (полюс плана скоростей - начало отсчета) откладываем
перпендикулярно звену АВ отрезок (Рvb) = 60 мм, который на схеме изображает величину вектора скорости
точки В (
).
3) Скорость точки C (VС).
На основании теоремы о сложении
скоростей в сложном движении точки С ее скорость VC будет определяться
векторами скорости точки В (VB) и скорости VCB (относительного вращательного движения точки С вокруг точки В).
Величина скорости VCB неизвестна т.к. не
задано значение угловой скорости звена 2
. Но известно, что вектор данной скорости направлен
перпендикулярно радиусу относительного перпендикулярно радиусу относительного
вращения (т.е. звену ВС). Точка С движется возвратно-поступательно вдоль оси ОX, поэтому полный вектор VC скорости точки С
направлен параллельно оси ОX.
VС = VВ + VСВ,
Из точки «b» плана скоростей проводим прямую
перпендикулярно звену ВС, а из полюса Рv - прямую, параллельно
оси ОX (т.е. параллельно направляющей). Их пересечение определяет
положение точки «с». Направление векторов скоростей осуществляется в
соответствии с векторным уравнением для точки С.
Значение скоростей VCB и VC (в м/с) определяют из
плана скоростей измерением отрезков (bc) и (Pvc) и умножением этих значений на величину масштаба скорости kv.
4) Угловая скорость звена 2
Для определения направления угловой
скорости
необходимо условно перенести в точку С механизма вектор скорости VCB, а точку В условно
закрепить. Тогда вектор VCB будет вращать точку С относительно В против часовой стрелки.
5) Скорость точки D (VD).
Положение точек «d.», «S1», «S2» и «S3» на плане скоростей определяется на основании свойства подобия
(скорости точек D и С при их вращении вокруг точки B соотносятся также, как и
аналогичные отрезки)
Отсюда:
Скорость точки D при ее вращении вокруг точки В:
От точки «b» на прямой (bc) откладываем отрезок (db) = 17,69 мм и соединяем
полученную точку «d» с полюсом РV. Вектор (РVd) графически изображает скорость
точки D механизма:
) Скорость точек центров тяжести S1, S2 и S3 звеньев (
,
,
)
Точки центров тяжести S1
и S2 звеньев расположены посередине длин соответствующих звеньев, а
центр тяжести S3 расположен в шарнире С (см. задание). Поэтому точки
«S1» и «S2» будут расположены на плане скоростей
посередине отрезков (PVb) и (cd), а скорость точки S3 будет равна скорости
точки С. Значения скоростей точек (в м/с) определяют из плана скоростей
измерением соответствующих отрезков и умножением этих значений на величину
масштаба скорости kV.
.2. Определение линейных и угловых
ускорений
) Ускорение точки В
Рассмотрим группу Ассура 2-3 и
определим линейные ускорения точек этой группы. Первой точкой является точка В.
В общем виде ускорение любой точки можно представить как векторную сумму
нормального
ускорения
и тангенциального
ускорений.
Абсолютная величина нормального
ускорения равна:
где
- угловая скорость звена (рад/с), Ri - радиус вращения
звена, м.
Вектор нормального ускорения
направлен вдоль радиуса от точки к центру ее вращения.
=
+
=
Направлено вдоль звена АВ от точки В
к точке А
Абсолютная величина тангенциального
ускорения равна:
=
,
где
- угловое ускорение звена.
Вектор тангенциального ускорения
направлен перпендикулярно нормальному ускорению (т.е. звену) в сторону углового
ускорения.
Т.к. угловая скорость
= const, то
= 0 и
B = 0.
=
= 0
Следовательно, ускорение
B для точки В определится
величиной нормального ускорения
nB:
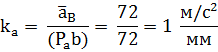
=
nB = 72
2) Масштаб плана ускорения ka
Из произвольной точки Pa (полюса плана
ускорения начала отсчета) откладываем параллельно звену АВ отрезок (Pab) = 72 мм, который в масштабе ka изображает величину ускорения точки В:
3) Ускорение точки C
C
Общее ускорение точки С складывается
из ускорения точки В и ускорения точки С при ее вращении вокруг точки В. Ускорение точки С при ее вращении вокруг точки В (
CB) может быть разложено
на нормальное
и
тангенциальное
ускорения, которые определяются согласно выражениям, приведенным
выражениям
CB;
.
Полученные уравнения решаем
графоаналитическим методом.
Нормальное ускорение точки С при ее
вращении вокруг точки В
CB:
=
направлено параллельно ВС от точки С
к точке В.
Отрезок (bn2) = 15,6 мм, представляющий в масштабе ka вектор ускорения
, откладываем от точки «b» плана ускорений в направлении от точки С к точке В механизма.
Тангенциальное ускорение точки С при
ее вращение вокруг точки В
остается
неизвестной. Известно лишь, что
перпендикулярно
ВС.
Значения ускорений (м/с2)
определяем из плана ускорений измерением соответствующих отрезков и умножением
этих значений на величину масштаба плана ускорений
.
)
Определяем
угловое ускорение звена 2
Для определения направления вектора
углового ускорения
необходимо
условно перенести вектор тангенциального ускорения
в точку С механизма, а точку В-условно закрепить.
Тогда искомый вектор будет вращать точку С относительно точки В против часовой
стрелки.
5) Определим ускорение центров
тяжести звеньев (S1, S2 и S3) и точки D.
Положение центров тяжести звеньев S1, S2 и S3, а также точки D определяется на основании свойств планов
скоростей и ускорений.
От точки «b» на прямой (bc) отложить отрезок (db) = 10,2 мм. Соединить полученную точку «d» с полюсом плана ускорений Ра.
Значения ускорений точек S1, S2 и S3 и D (м/с2) определяем из плана ускорений измерением
соответствующих отрезков и умножением этих значений на величину масштаба плана
ускорений
.
Вектор (
d) изображает в масштабе ускорение
точки D механизма (
):
Вектор (
) изображает в масштабе ускорение точки
механизма (
):
Вектор (
) изображает в масштабе ускорение точки
механизма (
):
Ускорение точки
равно ускорению точки С, так как центр тяжести
расположен в шарнире С:
Задача №2
На рис. 2 представлена схема
тормозного устройства, состоящего из тормозного барабана 1, тормозных колодок
2, тормозной ленты 3 и рычага 4.
Рис. 2. Расчетная схема тормозного
устройства
кинематический звено тормозной
заклепка
Требуется:
Рассчитать наибольшее тормозное
усилие Р в тормозном устройстве и подобрать размеры поперечного сечения
тормозной ленты (h×t, мм), а также количество заклепок на ней. Величина допустимых
напряжений среза заклепок
[
] = 140
МПа, напряжений смятия [
] = 320
МПа, напряжений на разрыв ленты
[
]=160МПа. Диаметр заклепки принять равным d = 8 мм, коэффициент трения
тормозной колодки о барабан f = 0,30…0,35.
Исходные данные к
расчёту:
Величина тормозного момента T = 2000 H·м; диаметра тормозного барабана D=0,2 м. Размеры рычага: а = 0,3 м; b = 1 м. Размеры плеч тормоза: 11=0,15
м; 12=0,15 м.
Решение задачи:
Необходимую реакцию Η тормозной колодки на
барабан определяем по зависимости:
где Т - тормозной момент на
барабане, Н·м; f - коэффициент трения тормозной колодки о барабан (принимаем
равным 0,32); D - диаметр тормозного барабана, м.
Силу натяжения тормозной ленты S и
реакцию R тяги рычажной системы определяем при рассмотрении расчётной схемы
(рис. 3), составленной на основе расчётной схемы тормозного устройства.
Рис. 3. Расчетная схема
Составим уравнение моментов
относительно опоры А (см. рис. 3):
Отсюда:
Составим уравнение моментов
относительно опоры В (см. рис 3):
Отсюда:
Для определения необходимого
тормозного усилия Р составим уравнение моментов приводного рычага (см. рис. 2):
Отсюда:
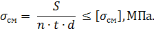
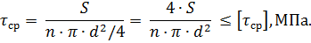
Возникающие в заклепочном соединении
напряжения среза
определим
по условию прочности:
где А - площадь поперечного сечения
одной заклепки (
2);
d - диаметр заклепки, мм (по заданию величина диаметра заклепки
известна).
С учетом вышеприведенных формул,
получаем:
Тогда необходимое количество
заклепок η будет равно:
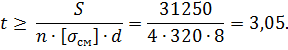
Количество заклепок n округляем до целого четного числа n = 6.
Используя условие прочности заклепок
на смятие, определяем минимальную толщину тормозной ленты t:
Откуда получим:
Толщину тормозной ленты t округляем до целого числа, t = 3 мм.
Из условия прочности тормозной ленты
на разрыв (в сечении с наибольшим количеством заклепок) определяем ширину
тормозной ленты h:
где n3 - количество заклепок в поперечном сечении ленты. Принимаем два
ряда заклепок. Тогда: n3 = n/2 = 6/2 = 3.
Ширину тормозной ленты h округляем до целого числа, h = 90 мм.
Задача №3
На рис. 4 представлена схема электромеханического привода, состоящего из
электродвигателя, ременной передачи и одноступенчатого цилиндрического редуктора.
Рис. 4.
Смеха привода
Требуется:
1. Выполнить расчет и
разработать компоновочный эскиз редуктора.
. Определить кинематические
параметры привода.
. Определить межосевое
расстояние редуктора.
. Определить геометрические
параметры зубчатой передачи.
. Определить силы,
действующие в зубчатом зацеплении.
. Выполнить предварительный
расчет валов.
. Подобрать подшипники
качения.
. Разработать и выполнить
компоновочный эскиз редуктора.
Исходные данные к
расчету:
Мощность на выходном валу привода Рвых
= 1,3 кВт; частота вращения вала привода nвых = 250 об/мин; передаточное число редуктора Uр = 4; угол наклона зуба β = 8 град.
Примечание: зубчатые колеса
изготавливаются из стали 40XН, для которой допустимые контактные напряжения [σн]=450 МПа, твердость по методу Бринелля НВ=280.
Решение задачи:
1. Привод состоит из
электродвигателя, ременной передачи и редуктора. Электродвигатель соединяется с
входным валом редуктора с помощью ременной передачи, состоящей из ведущего 1 и
ведомого 2 шкивов. Вращение от шкива 1 к шкиву 2 передается при помощи ремня.
От шкива 2 вращение через зубчатую передачу (состоящую из шестерни 3 и
зубчатого колеса 4) передается выходному валу.
. Определение кинематических
параметров привода
.1. Подбор стандартного
электродвигателя
Входная мощность Рвх на
валу электродвигателя, которая обеспечивает заданную мощность на выходном валу
привода Рвых, определяется с учетом потерь в элементах привода из
формулы общего коэффициента полезного действия (КПД):
Общий КПД заданного привода ηобщ определяем по формуле:
ηобщ = ηрп · ηзп · ηkподш
где ηрп - КПД ременной передачи, ηзп - КПД зубчатой передачи, ηподш - КПД одной пары подшипников. Для клиноременной передачи рекомендуется
η
= 0,95…0,96; для зубчатой цилиндрической передачи η = 0,97…0,98; КПД одной
пары подшипников η = 0,99…0,995; k - число пар подшипников.
В соответствии с вышеизложенными
рекомендациями, принимаем КПД
ηрм = 0,95, ηзп = 0,98, ηподш = 0,99. Анализируя конструкцию заданного привода (рис. 4),
приходим к выводу, что в данной конструкции 2 пары подшипников (т.е. k = 2) Тогда:
ηобщ = 0,95 · 0,98 · 0,992 =
0,912.
Входная (требуемая) мощность
электродвигателя:
По найденному значению Рвх
подбираем стандартный электродвигатель. При выборе электродвигателя должно быть
выполнено условие Рвх > Р
вх. С учетом этого условия принимаем электродвигатель 4А80А2У3 с номинальной мощностью Рвх = 1,5 кВт и
асинхронным числом оборотов вала электродвигателя ηвх = 2850 об/мин.
. 2. Определение передаточных чисел
элементов привода
Передаточное число привода можно
определить из соотношения:
Общее передаточное число привода
представляет собой также произведение передаточного числа ременной передачи Uрем и цилиндрического редуктора Uр (т.е. Uпр = Uрем · Uр). Отсюда:
Значение передаточного числа
ременной передачи ориентировочно должно находится в пределах Uрем = 1,5…3, условие выполняется.
2. 3. Определение частот вращения
валов привода
Частоты вращения определяются с
учетом рассчитанных передаточных чисел привода.
Частота вращения первого (ведущего)
вала привода (вала электродвигателя) n1 = nвх = 2850 об/мин.
Частота вращения второго вала
привода (входного вала редуктора):
Частота вращения третьего вала
привода (выходного вала редуктора):
2. 4. Определение мощностей,
передаваемых каждым валом привода
Мощности определяются с учетом
значений КПД всех элементов привода. Мощность, передаваемая первым (ведущим)
валом привода (валом электродвигателя) РІ = Р
вх = 1,43 кВт.
Мощность, передаваемая вторым валом
привода:
РІІ = РІ ·
12 ·
подш = 1,43 · 0,95 · 0,99 =
1,34 кВт.
Мощность, передаваемая третьим валом
привода:
РІІІ = РІІ · η34 ·
подш = 1,34 · 0,98 · 0,99 = 1,3 кВт.
2.5. Определение
вращающихся моментов, передаваемых валами привода
Вращающие моменты, передаваемые
каждым валом привода, определяются с учетом мощности Р (кВт) и частоты вращения
вала n (об/мин) рассчитываемого вала по зависимости:
В соответствии с данной формулой,
для первого вала привода:
Для второго вала привода (входного
вала редуктора):
Для третьего вала привода (выходного
вала редуктора):
3. Определение межосевого расстояния
редуктора
Для расчета межосевого расстояния
используется формула:
где U = Uр - передаточное число зубчатой передачи; Т2 = ТІІІ
- вращающий момент на ведомом на ведомом валу зубчатой передачи, Н·м; [
] - допускаемое контактное напряжение для материала колеса, МПа; КМ
- коэффициент, зависящий от вида передачи (для прямозубых колес КМ =
10000, для косозубых колес величина КМ = 8500); КН -
коэффициент учета неравномерности распределения нагрузки по ширине зубчатого
колеса (КН = 1,1…1,15); коэффициент ширины колеса
= 0,25.. 0,4; КНа - коэффициент
учета распределения нагрузки между зубьями (для прямозубых колес величина КНа
= 1, для косозубых КНа = 1,05-1,1).
С учетом этих рекомендаций и
полученных ранее значений, имеем
Т2 = ТІІІ =
49,6 Н·м (в соответствии с табл. 1); [
] = 450 МПа (по условию);
U = Up= 4 (по условию); КМ
- 8500 (по условию зубчатые колеса косозубые). Принимаем значения
= 0,25, КНа - 1,1, КН = 1,1.
Тогда:
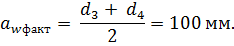
Вычисленное межосевое расстояние
следует округлить до стандартного ближайшего значения. При этом значения
межосевого расстояния из первого ряда являются более предпочтительными.
На основании данного приложения и
расчетов принимаем
= 100 мм
4. Определение геометрических
параметров зубчатой передачи
Основным параметром передачи
является модуль зацепления m, величина которого выбирается из стандартного ряда. При этом
значения модуля из первого ряда являются более предпочтительными.
Модуль зацепления назначают из
интервала m = (0,01…0,02) ·
, мм.
С учетом данной зависимости получаем
m = 1…2 мм.
Принимаем стандартный модуль m = 1,4 мм.
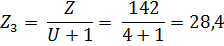
Вычисляем суммарное число зубьев Z шестерни и колеса с учетом
заданного угла наклона зубьев
по формуле:
Принимаем Z = 142 (округляем до
целого) и находим действительное значение угла:
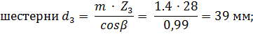
Число зубьев шестерни
Принимаем Z3 = 28
(округляем до целого).
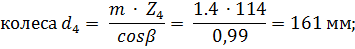
Число зубьев колеса Z4 =
Z - Z3 = 142-28 = 114.
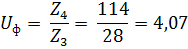
Фактическое передаточное число
редуктора
Отличие Up от Uф:
(что меньше допустимого ± 5%).
Определяем диаметры зубчатых колес.
Диаметры делительных окружностей:
Фактическое межосевое расстояние
совпадает
с
= 100 мм.
Принимаем окончательно: m = 1,4 мм, Z3
= 28, Z4 = 114.
Диаметры вершин зубьев:
шестерни
колеса
Диаметры впадин зубьев:
шестерни
колеса
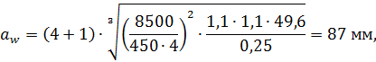
Рабочая ширина зубчатого венца b4 определяется по принятому коэффициенту
= 0,25. Из выражения
= b4/aw находим:
b4 =
мм.
Принимаем ширину зубчатого венца b4 = 25 мм.
Для того чтобы обеспечить передачу
вращающего момента с шестерни на колесо, ширину шестерни назначают на 2..5 мм больше ширины колеса. Таким образом, примем ширину шестерни b3 = 25 + 5 = 30 мм.
5. Определение
сил, действующих в зубчатом зацеплении
В косозубом зацеплении двух зубчатых
колес (рис. 5) зубья шестерни воздействуют на зубья колеса равнодействующей
силой Fn, которая раскладывается на силу F (направленную перпендикулярно линии
зуба) и радиальную силу Fr (направленную от зуба к центру зубчатого
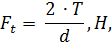
колеса). Сила F в свою очередь раскладывается на окружную силу Ft и осевую силу Fa (направленную
вдоль оси вращения зубчатого колеса).
Рис. 5.
Схема сил в зубчатом зацеплении.
Окружная сила определяется по
зависимости:

диаметр зубчатого колеса, мм.
Радиальная сила определяется по
зависимости:
где
= 20° (угол зацепления).
Осевая сила Fa определяется по
зависимости:
С учетом вышеизложенного, приняв Т =
ТІІІ = 49,6 ·103 (вращающий момент на зубчатом колесе, Н
·мм) и d = d4 = 161 (делительный диаметр зубчатого колеса, мм),
величина окружной силы Ft будет равна:
Радиальная сила равна:
Осевая сила равна:
6. Выполнение предварительного
расчета валов
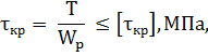
Основным критерием работоспособности
валов является условие их прочности:
где
- напряжение, возникающее при кручении вала, МПа; [
]
- допускаемое напряжение при кручении, МПа; Т - вращающий момент,
передаваемый валом, Н ·мм; Wp - полярный момент сопротивления
круглого сечения, мм3.
Полярный момент сопротивления
определяется по зависимости:
где d - диаметр вала, мм.
Поскольку в предварительных расчетах
изгиб вала не учитывается, то расчет ведут по пониженным допускаемым
напряжениям, которые выбирают из интервала [
] = 25…30 МПа. Принимаем к расчету [
] = 25 МПа.
Из приведенных зависимостей
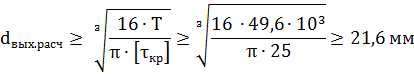
определяем диаметры выходных концов валов редуктора:
Для входного вала редуктора (момент
Т = ТІІ = 12,8 · 103 Н·мм):
Для выходного вала редуктора (момент
Т = ТІІІ = 49,6 · 103 Н·мм):
С учетом полученных значений примем
диаметры выходных концов валов, руководствуясь нормальным рядом линейных
размеров.
Принимаем диаметр входного конца
вала редуктора
16 мм (
>
). Диаметры остальных частей вала (кроме диаметров шестерни d3,
da3 и df3) принимаются по
конструктивным соображениям (рис. 6), при этом
разница между диаметрами обычно составляет 3…5 мм
(иногда больше).
Рис. 6.
Входной вал
Диаметр вала под подшипником dп
должен делиться на 5. Диаметр вала для упора dуп должен быть больше
dп.
С учетом этого, принимаем диаметр
входного вала под подшипником dп вх = 20 мм, диаметр вала для упора dуп = 24 мм.
Принимаем диаметр выходного конца
вала редуктора dвых = 22 мм (dвых >
dвых расч). Диаметры остальных частей вала принимаются по
конструктивным соображениям (рис. 7).
Рис. 7.
Выходной вал
На основании вышеизложенных
соображений, принимаем диаметр выходного вала под подшипником dп вых
= 25 мм, диаметр вала под зубчатым колесом dзуб кол = 30 мм, диаметр вала для упора зубчатого
колеса dуп = 36 мм.
7. Подбор подшипников качения
Валы редуктора устанавливают в
подшипники. Различают подшипники скольжения и качения. В редукторах чаще всего
используются подшипники качения, которые состоят из наружного и внутреннего
колец, тел качения и сепаратора (детали, служащей для удержания тел качения на
определенном расстоянии друг от друга).
К основным геометрическим параметрам
подшипника относятся: диаметры внутреннего d и наружного D колец, а также
ширину подшипника В. Каждый подшипник имеет условное обозначение.
В редукторе, скомпонованном из
прямозубых зубчатых передач, применяют радиальные шариковые подшипники. В
редукторе, скомпонованном из косозубых зубчатых передач, применяют
радиально-упорные шариковые подшипники.
В рассматриваемом примере редуктор
скомпонован из прямозубых зубчатых передач. Поэтому для опор валов применяем
радиальные шариковые подшипники.
С учетом определенного ранее
диаметра входного вала под подшипником
dп вх = 20 мм принимаем подшипники 6204 (для которых диаметр внутреннего кольца
d = 20 мм, наружного кольца D = 47 мм, ширина В = 14 мм.
С учетом определенного ранее
диаметра выходного вала под подшипником dп вых = 25 мм принимаем подшипники 6205 (для которых диаметр внутреннего
кольца d = 35
мм, наружного кольца D = 52 мм, ширина В = 15 мм.
8. Разработка компоновочного
эскиза редуктора
Компоновочный эскиз выполняется на
базе имеющихся к настоящему моменту данных: межосевого расстояния aw, диаметров шестерни и
колеса (d3, daз, df3, d4, da4, df4), ширины шестерни b3 и зубчатого колеса b4, диаметров всех частей входного и выходного валов, а также
размеров подшипников. Целью компоновочного эскиза является проработка
конструкции и размещения деталей редуктора.
Компоновочный эскиз выполняем на
одном листе формата А3.
Компоновочный эскиз выполняется в
масштабе 1:1. Построение начинается с осевых линий валов, отстоящих друг oт
друга на расстоянии aw. Затем прочерчиваются контуры шестерни и
колес по известным диаметрам и ширине.
Далее прочерчивается внутренний
контур корпуса редуктора. При этом расстояние
= 8… 12 мм обеспечивает зазор между торцами
колес и внутренним контуром корпуса редуктора.
Далее прочерчиваются контуры
подшипников. При этом для входного вала принимают размеры dп вх = 20 мм Dп вх = 47 мм, = D, В = 14 мм. Для выходного вала принимают размеры dп вых = 25 мм Dп вых = 52 мм, В = 15 мм.
После подшипников прочерчивается
наружный контур корпуса редуктора. При этом принимается расстояние
1 = 5…10 мм.
Завершающим этапом является
вычерчивание длин концов валов (длина
(1,5…1,6)·d, где d - диаметр выходного конца вала, мм). С учетом
этого, принимаем длину выходного конца входного вала
(принимаем
длину
= 24 мм), выходного конца выходного вала
(принимаем длину
= 30 мм)
Список литературы
1. Джамая В.В. Прикладная
механика: учебник для студентов высших учебных заведений. - М.: Дрофа, 2004.
. Скойбеда А.Т. Прикладная механика: учебник для студентов высших учебных
заведений. - Минск: Выш. шк., 1997.
. Иванов М.Н., Финогенов В.А. Детали машин: учебник для вузов. 8-е издание. - М.: Выс. шк., 2004.
. Дунаев П.Ф., Леликов О.П. Конструирование и деталей машин:
учебное пособие для технических специальностей вузов. 8-е издание. - М.: Издательский центр «Академия», 2004.
. Саргсян А.Е. Сопротивление
материалов, теории упругости и пластичности. - М.: Выс. шк., 2000.