Облік власного капіталу
Вступ
Будь-яке підприємство не може
розпочинати свою діяльність без втіленого у активах, інвестованого засновниками
стартового капіталу, який являє собою вартість майна підприємства. До його
складу входять різноманітні матеріальні, нематеріальні та фінансові ресурси -
носії права власності окремих суб'єктів, а також частки інвестованих коштів.
Тобто, саме власний капітал є гарантією організації бізнесу. На етапі, коли
підприємство ще не має зовнішньої заборгованості, розмір активів (майна)
дорівнює розміру власного капіталу.
У процесі здійснення підприємницької
діяльності, підприємство неминуче використовує залучені кошти, тобто утворює
борги. Боргові зобов'язання підтверджують права і вимоги кредиторів щодо
активів підприємства, тому розмір активів визначається як сума власного
капіталу і боргових зобов’язань.
Власний капітал - це частина в активах
підприємства, що залишається після вирахування його зобов'язань.
Сума власного капіталу - це
абстрактна вартість майна, яка не є його поточною чи реалізаційною вартістю, а
тому не відображає поточну вартість прав власників підприємства (фірми). На
суму власного капіталу суттєво впливає оцінка в бухгалтерському обліку активів
і кредиторської заборгованості, що була застосована при створенні підприємства,
хоча випадково вона може збігатись із сукупною ринковою вартістю акцій
підприємства чи з сумою, яку можна отримати від продажу чистих активів
частинами або підприємства в цілому.
Метою даної курсової роботи є відображення
власного капіталу підприємства в обліку, характеристика його основних
елементів, їх формування, визначення суті та функцій власного капіталу.
Актуальність обраної теми зумовлена визначальним
місцем власного капіталу у створенні та функціонуванні підприємства, його
особливим статусом “гаранту” організації бізнесу.
І. Теоретична частина «Облік власного капіталу»
капітал облік бізнес
Критерії визнання власного капіталу та його види
Майно підприємства зазвичай складається із різних
матеріальних, нематеріальних та фінансових ресурсів - носіїв прав власності
окремих суб’єктів.
Здійснюючи підприємницьку діяльність, будь-яке підприємство
неминуче використовує залучені у цю діяльність кошти, утворюючи борги. Боргові
зобов’язання підтверджують права і вимоги кредиторів щодо активів підприємства (А
= З + К) і мають вищий пріоритет порівняно з вимогами власників.
Тому власний капітал - це частина в активах
підприємства, що залишається після вирахування його зобов’язань
(К = А - З) [7;276].
Саме власний капітал є основою для
початку і продовження господарської діяльності будь-якого підприємства, саме
він є одним із найістотніших і найважливіших показників, оскільки виконує такі функції:
· самостійності і влади - розмір власного капіталу
визначає ступінь незалежності та впливу його власників на підприємство;
· відповідальності і захисту
прав кредиторів - відображений в балансі підприємства власний капітал є для зовнішніх
користувачів мірилом відносин відповідальності на підприємстві, а також
захистом кредиторів від втрати капіталу;
· довгострокового кредитування - перебуває в розпорядженні
підприємства необмежений час;
· фінансування ризику - власний капітал
використовується для фінансування ризикових інвестицій, на що можуть не
погодитись кредитори;
· кредитоспроможності - при наданні кредиту, за
інших рівних умов, перевага надається підприємствам з меншою кредиторською
заборгованістю і більшим власним капіталом;
· компенсації понесених збитків - тимчасові збитки мають
погашатись за рахунок власного капіталу;
· розподілу доходів і активів - частки окремих власників у
капіталі є основою при розподілі фінансового результату та майна при ліквідації
підприємства [13;178].
Підприємство, в першу чергу,
cтворюється з метою отримання прибутку від своєї діяльності і реалізувати цю
мету воно може лише за умови збереження свого капіталу.
Власний капітал утворюється двома шляхами:
1) внесенням власниками підприємства;
) накопичуванням суми доходу, що залишається на підприємстві.
За формами власний капітал поділяється на:
- інвестований ( сума простих та
привілейованих акцій за їх номінальною (оголошеною) вартістю, а також додатково
вкладений капітал, який також може бути поділений за джерелами утворення);
нерозподілений прибуток це частина
чистого прибутку, що не була розподілена між акціонерами).
За рівнем відповідальності власний капітал поділяється на:
- статутний капітал;
додатковий (нереєстрований) капітал, який складається з:
а) додатково вкладеного капіталу,
б) резервного капіталу,
в) нерозподіленого прибутку [12; 95].
З переходом на національні положення
(стандарти) бухгалтерського обліку у відповідному стандарті 2 «Баланс» визначено, що власний
капітал включає такі основні складові:
статутний капітал;
пайовий капітал;
додатковий вкладений капітал;
інший додатковий капітал;
резервний капітал;
нерозподілений прибуток (непокриті збитки) [3].
Власник, вкладаючи кошти в підприємство, очікує, що у
майбутньому вкладений ним капітал зросте. Отриманий підприємством прибуток і
означає приріст цього капіталу. Витрати, що збільшують собівартість (витрати
обігу), і витрати, що відносяться за рахунок прибутку підприємства, зменшують
нерозподілений прибуток.
Облік формування статутного капіталу
Статутний капітал, як визначено у П(С)БО-2
«Баланс» - зафіксована в установчих документах загальна вартість активів, які є
внеском власників (учасників) до капіталу підприємства. Статутний капітал
фіксують і реєструють в установчих документах, зокрема у договорі учасників і
статуті підприємства. Наступні зміни статутного капіталу можуть відбуватися
лише при умові зміни статуту і повідомлення про це органу, який його
зареєстрував [3].
Умови та мінімальний розмір статутного капіталу визначається
згідно з Законом України «Про господарські товариства».
В акціонерних товариствах статутний капітал на момент
створення не може бути менше суми еквівалентної 1250 мінімальним заробітним
платам, а ТзОВ - не менше суми, еквівалентної 100 мінімальним заробітним
платам.
Сума статутного капіталу ділиться на визначену кількість
акцій рівної номінальної вартості і несе відповідальність за зобов’язання
тільки майном товариства. Сума статутного капіталу, відображена у фінансовому
обліку і звітності, повинна дорівнювати загальній номінальній вартості
випущених акцій, вказаній в установчих документах.
Акції можуть бути:
- іменними;
на пред’явника;
простими;
привілейованими [9;163].
Усі акціонерні товариства повинні випускати прості акції,
яким надається право голосу. Власники привілейованих акцій не мають права брати
участь в управлінні АТ, якщо інше не передбачено його статутом. Власником
привілейованих акцій надається першочергове право під час сплати дивідендів і
розподілу активів у разі ліквідації товариства, тому сума простих акцій - це
залишковий капітал підприємства.
Бланки акцій обліковуються на
позабалансовому рахунку 08 «Бланки суворого обліку», за дебетом якого відображається
надходження бланків акцій власної емісії, а за кредитом - їх списання при
видачі акціонерам після повної сплати їх вартості.
При створенні ВАТ акції розповсюджуються шляхом відкритої
передплати на них, а ЗАТ лише між власниками (учасниками) підприємства.
Для обліку статутного капіталу Планом рахунків №
291передбачено пасивний рахунок 40 «Власний капітал», який призначений
для обліку та узагальнення інформації про стан та рух статутного капіталу
підприємства. Зa кредитом рахунку 40 відображається збільшення зареєстрованого
i пaйового капіталу, a тaкож надходження внесків дo оголошеного, але щe не
зареєстрованого статутного капіталу, зa дебетом - йогo зменшення (вилучення)
[5].
Синтетичний облік статутного капіталу ведеться за формами власності, за
видами акцій.
Аналітичний облік ведеться за кожним засновником (учасником)
підприємства.
При оголошенні передплати на акції за їх номінальною вартістю
провадиться запис на формування статутного капіталу:
Д-т 46 «Неоплачений капітал»;
К-т 40 «Статутний капітал».
Розрахунки власників (учасників) за підписані акції можуть
здійснюватись:
1) грошовими коштами в національній
та іноземній валюті:
Д-т 30 «Каса», 31 «Рахунки в банках»
К-т 46 «Неоплачений капітал»;
2) шляхом передачі майна (за
справедливою вартістю):
а) матеріальними цінностям:
Д-т 20 «Виробничі запаси»
Д-т 22 «Малоцінні та швидкозношувані предмети»
Д-т 28 «Товари»
К-т 46 «Неоплачений капітал»;
б) основними засобами та іншими необоротними активами:
Д-т 10 «Інші необоротні матеріальні активи»
Д-т 11 «Основні засоби»
К-т 46 «Неоплачений капітал»;
в) нематеріальними активами:
Д-т 12 «Нематеріальні активи»
К-т 46 «Неоплачений капітал»;
г) об’єктами незавершеного
будівництва:
Д-т 151 «Капітальне будівництво»
К-т 46 «Неоплачений капітал»;
3) цінними паперами інших
підприємств:
Д-т 14 «Довгострокові фінансові інвестиції»
К-т 46 «Неоплачений капітал» [14;371].
Збільшення або зменшення статутного капіталу може
здій-снюватися в установленому порядку та після внесення відповідних змін в
установчі документи підприємства.
Акціонерне товариство може змінювати розмір статутного
капіталу згідно з рішенням зборів акціонерів. Збільшення статутного капіталу
акціонерного товариства не більше ніж на 1/3 може бути здійснено за рішенням
правління за умови, що таке передбачено статутом. Збільшувати статутний капітал
товариство має право, якщо всі раніше випущені акції повністю сплачені за
вартістю не нижче номінальної.
Збільшення статутного капіталу може
здійснюватись шляхом:
- випуску нових акцій;
обміну облігацій на акції;
збільшення номінальної вартості акцій.
При збільшенні кількості акцій
встановленої номінальної вартості підписка на додатково випущені акції
провадиться у тому ж порядку, що і на акції першої емісії, а статутний капітал
збільшується за рахунок:
1) додаткових внесків учасників:
Д-т 46 «Неоплачений капітал»
К-т 40 «Статутний капітал»
і в подальшому:
Д-т 30 «Каса»
Д-т 31 «Рахунки в банках»
К-т 46 «Неоплачений капітал»;
) індексації основних засобів:
Д-т 423 «Дооцінка активів»
К-т 40 «Статутний капітал»;
) реінвестування прибутку:
Д-т 441 «Прибуток нерозподілений»
К-т 40 «Статутний капітал»;
) реінвестування нарахованих дивідендів:
Д-т 671 «Розрахунки за нарахованими дивідендами»
К-т 40 «Статутний капітал».
При збільшенні статутного капіталу за рахунок обміну облігацій
АТ на його ж акції операція відображається записами:
Д-т 52 «Довгострокові зобов’язання за облігаціями»
К-т 40 «Статутний капітал»;
або за рахунок чистого доходу підприємства:
Д-т 443 «Прибуток, використаний у звітному періоді»
К-т 40 «Статутний капітал»;
Зменшення статутного капіталу може здійснюватися шляхом:
- зменшення номінальної вартості акцій;
зменшення кількості акцій існуючої номінальної вартості
шляхом викупу їх у власників з метою анулювання.
Зменшення статутного капіталу за рахунок зменшення
номінальної вартості акцій відображається в обліку:
Д-т 40 «Статутний капітал»
К-т 672 «Розрахунки за іншими виплатами»
Таке зменшення має бути компенсоване акціонерам:
Д-т 672 «Розрахунки за іншими виплатами».
К-т 30 «Каса»
К-т 31 «Рахунки в банках».
Зменшення кількості акцій існуючої номінальної вартості
шляхом викупу їх у власників відображається в обліку шляхом використання
рахунка 45 «Вилучений капітал» записом:
Д-т 451 «Вилучені акції»
К-т 30 «Каса»
К-т 31 «Рахунки в банках».
Анулювання викуплених акцій відображається записами:
Д-т 40 «Статутний капітал»
К-т 451 «Вилучені акції» - на суму номінальної вартості
викуплених акцій та
Д-т 421 «Емісійний дохід»
К-т 451 «Вилучені акції» - на суму, що перевищує номінальну
вартість викуплених акцій.
У фінансовій
звітності суми неоплаченого капіталу (сальдо рахунка 46 «Неоплачений капітал»)
та вилученого капіталу (сальдо рахунка 45 «Вилучений капітал») наводяться у
дужках і підлягають вирахуванню під час визначення підсумку власного капіталу
[5].
Пайовий капітал відображає суму пайових внесків членів спілок та
інших підприємств, що передбачена установчими документами, і означає, що це сукупність коштів фізичних і юридичних
осіб, добровільно розміщених у товаристві для здійснення його
господарсько-фінансової діяльності.
Облік пайового капіталу здійснюється на рахунку 41
«Пайовий капітал». Цей рахунок застосовується тими підприємствами, у яких
частина власного капіталу формується у вигляді пайових внесків (членів
можливого товариства, колективного сільськогосподарського підприємства,
житлово-будівельного кооперативу, кредитної спілки, інвестиційних фондів тощо)
і призначений для обліку і узагальнення інформації про суми пайових внесків.
За кредитом рахунка відображається збільшення пайового
капіталу, за дебетом - зменшення.
Аналітичний облік сум пайового капіталу ведеться за видами
капіталу та щодо кожного члена товариства [9;326].
Облік додаткового капіталу
У балансі сума додаткового капіталу
розкривається двома статтями:
Додатково оплачений капітал.
Інший додатковий капітал.
Додатково оплачений (вкладений) капітал - це сума, на яку вартість
реалізації випущених акцій перевищує їхню номінальну вартість від первинної
емісії. Це створює емісійний дохід.
Інший додатковий капітал - це суми дооцінки необоротних активів підприємства, вартість активів безоплатно
отриманих підприємством від інших юридичних або фізичних осіб та інші
види додаткового капіталу.
Для обліку додаткового капіталу призначений у Плані рахунків
пасивний рахунок 42 «Додатковий капітал», за кредитом якого відображається збільшення додаткового капіталу,
за дебетом - зменшення [5].
Рахунок 42 «Додатковий капітал» має такі субрахунки: 421
«Емісійний дохід», 422 «Інший вкладений капітал», 423 «Дооцінка активів», 424
«Безоплатно одержані необоротні активи», 425 «Інший додатковий капітал» .
На суму різниці (перевищення) між номінальною і вартістю
реалізації випущених акцій в обліку відображається запис:
Д-т 46 «Неоплачений капітал», К-т 421 «Емісійний дохід».
Ця сума не підлягає жодному використанню або розподілу, крім
випадків реалізації (анулювання) акцій за ціною нижче номінальної вартості:
Д-т 421 «Емісійний дохід», К-т 451 «Вилучені акції».
У разі дооцінки необоротних активів, які здійснюються за рішенням урядових органів, а також у випадках,
передбачених стандартами бухгалтерського обліку, робиться запис:
Д-т 10 «Основні засоби»/ Д-т 11 «Інші необоротні матеріальні
активи»
К-т 423 «Дооцінка активів».
У разі безоплатно одержаних необоротних активів, отриманих
від інших юридичних або фізичних осіб:
Д-т 10 «Основні засоби»
Д-т 11 «Інші необоротні матеріальні активи»
Д-т 12 «Нематеріальні активи»
К-т 424 «Безоплатно одержані необоротні активи» [8;358].
Облік резервного капіталу
Резервний капітал - сума резервів, створених відповідно до чинного
законодавства або установчих документів за рахунок нерозподіленого прибутку
підприємства. Резервний капітал створюється у розмірі, встановленому
установчими документами, але не менше 25% статутного капіталу. Розмір щорічних
відрахувань на поновлення резервного капіталу передбачається установчими
документами, здійснюється за рахунок чистого прибутку та не може бути меншим 5%
його загальної вартості [11;316].
Для обліку резервного капіталу у Плані рахунків призначений
пасивний рахунок 43 «Резервний капітал». За кредитом рахунка
відображається створення резервів, за дебетом - їх використання. Сальдо цього
рахунка кредитове і відображає залишок резервів на кінець звітного періоду [5].
Аналітичний облік резервного капіталу ведеться за його видами,
джерелами їх утворення та напрямком використання.
Здійснення відрахувань від прибутку на створення (поповнення)
резервного капіталу відображається в обліку записом:
Д-т 44 «Нерозподілені прибутки (непокриті збитки)», К-т 43
«Резервний капітал».
Резервний капітал призначений для покриття непередбачених
витрат, збитків на сплату боргів підприємства в разі його ліквідації. Залишки
невикористаних коштів резервного капіталу переходять на наступний звітний
період.
Використання коштів резервного капіталу на покриття втрат
внаслідок надзвичайних ситуацій:
Д-т 43 «Резервний капітал»
К-т 10 «Основні засоби» / К-т 15 «Капітальні інвестиції» /
К-т 20 «Виробничі запаси» / К-т 26 «Готова продукція» / К-т 14, 35 «Фінансові
інвестиції» / К-т 30 «Каса».
Покриття витрат підприємства з усунення наслідків надзвичайних
ситуацій:
Д-т 43 «Резервний капітал»
К-т 66 «Розрахунки по заробітній платі»,
К-т 65 «Розрахунки за страхуванням»,
К-т 23 «Виробництво».
Направлені кошти резервного капіталу на покриття збитків
звітного періоду:
Д-т 43 «Резервний капітал», К-т 44 «Нерозподілені прибутки
(непокриті збитки)».
Використання коштів резервного капіталу на виплату дивідендів
засновникам:
Д-т 43 «Резервний капітал»
К-т 67 «Розрахунки з учасниками» [8;327].
Облік нерозподіленого прибутку (непокритих збитків)
Нерозподілений прибуток
(непокритий збиток) є складовою частиною власного капіталу, що
залишається у підприємства після виплати доходів власникам та формування
резервного капіталу.
Для обліку нерозподіленого прибутку (непокритих збитків) у
Плані рахунків призначений рахунок 44 «Нерозподілені прибутки (непокриті
збитки)». На цьому рахунку ведуть облік нерозподіленого прибутку та
непокритих збитків, а також суми прибутку поточного та минулого року, що
використаний у звітному році [5].
Рахунок 44 «Нерозподілені прибутки (непокриті збитки)» має
такі субрахунки: 441 «Прибуток нерозподілений», 442 «Непокриті збитки», 443
«Прибуток, використаний у звітному періоді».
Фінансовий результат діяльності підприємства визначається на
підставі рахунка 79 «Фінансові результати». Під час визначення прибутку
складається запис:
Д-т 79 «Фінансові результати», К-т 441 «Прибуток
нерозподілений»
при визначенні непокритого збитку:
Д-т 442 «Непокриті збитки», К-т 79 «Фінансові результати».
Сума непокритого збитку наводиться у дужках та вираховується
під час визначення підсумку власного капіталу. Списання збитку здійснюється за
рахунок відповідних джерел: нерозподіленого прибутку, резервного, пайового чи
додаткового капіталу і відтворюються записами:
Д-т 441 «Нерозподілені прибутки»
Д-т 42 «Додатковий капітал»
Д-т 43 «Резервний капітал»
К-т 442 «Непокриті збитки».
Використання
прибутку на сплату дивідендів або для створення резервного капіталу протягом
звітного періоду відображається за дебетом субрахунка 443 «Прибуток,
використаний у звітному періоді» в кореспонденції з рахунками 67 «Розрахунки з
учасниками» при нарахуванні дивідендів і відображається записом:
Д-т 443 «Прибуток, використаний у звітному періоді»
К-т 67 «Розрахунки з учасниками»,
або з рахунком 43 «Резервний капітал» у
разі створення резервного капіталу.
У кінці року сальдо субрахунка 443 списується за рахунок
нерозподіленого прибутку записом:
Д-т 441 «Нерозподілений прибуток»
К-т 443 «Прибуток, використаний у звітному періоді».
Таким чином сума нерозподіленого прибутку поточного року розраховується
як сума нерозподіленого прибутку за попередній рік і сума чистого прибутку за
поточний рік. Від цієї суми вираховуються суми нарахованих дивідендів за
поточний рік і суми внесків на поповнення резервного капіталу (якщо такі
здійснюються).
НПn = НПn - 1
+ ЧПn - Дn - РКn,
де НПn - 1 - нерозподілений
прибуток за попередній рік;
ЧПn - чистий прибуток за поточний рік;
Дn - сума нарахованих дивідендів за
поточний рік;
РКn - сума внесків на поповнення резервного
капіталу за поточний рік;
n - поточний рік;
n - 1 - попередній рік [8;345].
Облік неоплаченого та вилученого капіталу
В обліку формування та змін статутного капіталу
використовуються активні, регулюючі, контактні рахунки 46 «Неоплачений капітал»
та 45 «Вилучений капітал».
Рахунок 46 «Неоплачений капітал» призначений для узагальнення
інформації про зміни у складі неоплаченого капіталу підприємства. За дебетом
рахунка відображається заборгованість засновників (учасників): за внесками до
статутного капіталу підприємства, а також номінальна вартість розміщених
неоплачених акцій. За кредитом - погашення заборгованості за внесками до
статутного капіталу і номінальна вартість сплачених акцій. Аналітичний облік
неоплаченого капіталу ведеться за видами розміщених неоплачених акцій і кожному
засновнику (учаснику) підприємства [5].
Після здійснення усіх внесків учасниками сальдо на рахунку 46
не залишається.
Рахунок 45 «Вилучений капітал» призначений для обліку
вилученого капіталу, який має бути повернутий у разі викупу власних акцій у
акціонерів з метою їх перепродажу або анулювання, а також у разі зменшення
номінальної вартості акцій.
Ці акції повинні
бути реалізовані або анульовані у строк не більше одного року. Протягом цього
періоду розподіл прибутку, а також голосування і визначення кворуму на загальних
зборах акціонерів провадиться без урахування придбаних АТ власних акцій.
За дебетом цього рахунка відображаються суми вкладів, що
повертаються учаснику товариства, вартість викуплених у акціонерів власних
акцій за покупною ціною, за кредитом - вартість анульованих або перепроданих
акцій. Дебетове сальдо цього рахунка являє собою вартість викуплених власних
акцій на кінець звітного періоду (перелік операцій вже був наведений в
попередніх складових частинах цього розділу) [11;402].
Розділ ІІ. Практична частина
Залишки на рахунках бухгалтерського обліку транспортного
підприємства на початок жовтня 2014р.(грн.)
Таблиця 2.1
|
№ з/п
|
Найменування
засобів і джерел їх утворення
|
№21
|
Код рядка
|
|
1
|
Будинки та споруди
|
545 010
|
103
|
|
2
|
Транспортні засоби
|
170 100
|
105
|
|
3
|
Інструменти,
прилади, інвентар
|
10 900
|
106
|
|
4
|
Знос основних
засобів
|
382 840
|
131
|
|
5
|
Сировина і
матеріали
|
320
|
201
|
|
6
|
Паливо
|
5 500
|
203
|
|
7
|
Запасні частини
|
19 010
|
207
|
|
8
|
Малоцінні та
швидкозношувані предмети
|
1 690
|
22
|
|
9
|
Каса в національній
валюті
|
500
|
301
|
|
10
|
Поточні рахунки в
національній валюті
|
160 090
|
311
|
|
11
|
Розрахунки з
вітчизняними покупцями
|
21 600
|
361
|
|
12
|
Статутний капітал
|
445 660
|
401
|
|
13
|
Прибуток
нерозподілений
|
17610
|
441
|
|
14
|
Розрахунки з
вітчизняними постачальниками
|
35190
|
631
|
|
15
|
Розрахунки за
податками
|
|
641
|
|
16
|
ПДВ
|
25610
|
641.1
|
|
17
|
Податок на прибуток
|
8180
|
641.2
|
|
18
|
Податок на доходи
фізичних осіб
|
1690
|
641.3
|
|
19
|
Розрахунки за
єдиним соціальним внеском
|
15700
|
657
|
|
20
|
Розрахунки за
заробітною платою
|
2240
|
661
|
Баланс (Звіт про фінансовий стан) на 1 жовтня 2014р.
|
Форма № 1
|
Код за ДКУД
|
1801001
|
|
Актив
|
Код рядка
|
На початок звітного
періоду
|
На кінець звітного
періоду
|
|
1
|
2
|
3
|
4
|
|
I. Необоротні
активи Нематеріальні активи
|
1000
|
|
|
|
первісна вартість
|
1001
|
|
|
|
накопичена
амортизація
|
1002
|
|
|
|
Незавершені
капітальні інвестиції
|
1005
|
|
|
|
Основні засоби
|
1010
|
343170
|
|
|
первісна вартість
|
1011
|
726010
|
|
|
знос
|
1012
|
(382840)
|
|
|
Інвестиційна
нерухомість
|
1015
|
|
|
|
Довгострокові
біологічні активи
|
1020
|
|
|
|
Довгострокові
фінансові інвестиції: які обліковуються за методом участі в капіталі інших
підприємств
|
1030
|
|
|
|
інші фінансові
інвестиції
|
1035
|
|
|
|
Довгострокова
дебіторська заборгованість
|
1040
|
|
|
|
Відстрочені
податкові активи
|
1045
|
|
|
|
Інші необоротні
активи
|
1090
|
|
|
|
Усього за розділом
I
|
1095
|
343170
|
|
|
II. Оборотні
активи Запаси
|
1100
|
26520
|
|
|
Поточні біологічні
активи
|
1110
|
1125
|
21600
|
|
|
Дебіторська
заборгованість за розрахунками: за виданими авансами
|
1130
|
|
|
|
з бюджетом
|
1135
|
|
|
|
у тому числі з
податку на прибуток
|
1136
|
|
|
|
Інша поточна
дебіторська заборгованість
|
1155
|
|
|
|
Поточні фінансові
інвестиції
|
1160
|
|
|
|
Гроші та їх
еквіваленти
|
1165
|
160590
|
|
|
Витрати майбутніх
періодів
|
1170
|
|
|
|
Інші оборотні
активи
|
1190
|
|
|
|
Усього за розділом
II
|
1195
|
208710
|
|
|
III. Необоротні
активи, утримувані для продажу, та групи вибуття
|
1200
|
|
|
|
Баланс
|
1300
|
551880
|
|
|
Пасив
|
Код рядка
|
|
|
|
I. Власний капітал
Зареєстрований (пайовий) капітал
|
1400
|
445660
|
|
|
Капітал у дооцінках
|
1405
|
|
|
|
Додатковий капітал
|
1410
|
|
|
|
Резервний капітал
|
1415
|
|
|
|
Нерозподілений
прибуток (непокритий збиток)
|
1420
|
17610
|
|
|
Неоплачений капітал
|
1425
|
|
|
|
Вилучений капітал
|
1430
|
|
|
|
Усього за розділом
I
|
1495
|
|
|
|
II. Довгострокові
зобов’язання і забезпечення Відстрочені податкові зобов’язання
|
1500
|
|
|
|
Довгострокові
кредити банків
|
1510
|
|
|
|
Інші довгострокові
зобов’язання
|
1515
|
|
|
|
Довгострокові
забезпечення
|
1520
|
|
|
|
Цільове
фінансування
|
1525
|
|
|
|
Усього за розділом
II
|
1595
|
|
|
|
IІІ. Поточні
зобов’язання і забезпечення Короткострокові кредити банків
|
1600
|
|
|
|
Поточна
кредиторська заборгованість за: довгостроковими зобов’язаннями
|
1610
|
|
|
|
товари, роботи,
послуги
|
1615
|
35190
|
|
|
розрахунками з
бюджетом
|
1620
|
27300
|
|
|
у тому числі з
податку на прибуток
|
1621
|
8180
|
|
|
розрахунками зі
страхування
|
1625
|
15700
|
|
|
розрахунками з
оплати праці
|
1630
|
2240
|
|
|
Поточні забезпечення
|
1660
|
|
|
|
Доходи майбутніх
періодів
|
1665
|
|
|
|
Інші поточні
зобов’язання
|
1690
|
|
|
|
Усього за розділом
IІІ
|
1695
|
88610
|
|
|
ІV. Зобов’язання,
пов’язані з необоротними активами, утримуваними для продажу, та групами
вибуття
|
1700
|
|
|
|
Баланс
|
1900
|
551880
|
|
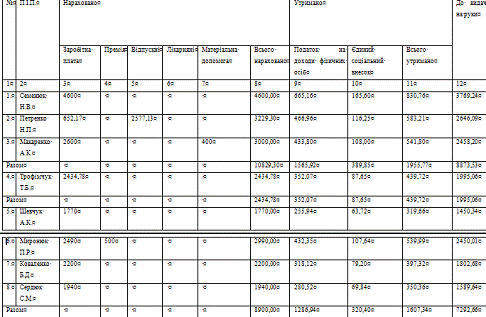
Розрахунки по заробітній платі:
Адміністративний персонал:
.Директор Семенюк Н.В. з окладом 4 600 грн.
Сер.денна ЗП= Пос.окл./к-ть роб днів
Сер.денна ЗП = 4600/23=236,13 грн.
ЄСВ =ЗП * 3,6%=4600*0,036=165,6 грн.
ПДФО = (ЗП-ЄСВ)*15%
ПДФО=(4600-165,6)*0,15=665,16 грн.
До видачі: 4600-665,16-165,6=3769,24 грн.
.Головний бухгалтер Петренко Н.П. з окладом 3000 грн. був у
відпустці 24 календарні дні з 1.10.14р.
ЗП=(3000/23)*5=652,17 грн.
Відпускні =(38120/355)*24=2577,13 грн.
ЄСВ із ЗП = 652,17*3,6%=23,48 грн.
ЄСВ із відпускних = 2577,13*3,6%=92,78 грн.
ПДФО = (2577,13+652,17-23,48-92,78)* 15%=583,21 грн.
До видачі: 2577,13+652,17-583,22=2646,08 грн.
.Логіст Макаренко А.К. з окладом 2600 грн., 400 грн. цільової
матеріальної допомоги, відпрацював усі робочі дні жовтня.
ЗП = 2600+400=3000 грн.
ЄСВ із ЗП = 3000*3,6%=108 грн.
ПДФО із ЗП = (3000-108)*15%=433,8 грн.
До видачі: 2600+400-435,96-93,6=2458.2 грн.
Загальновиробничий персонал:
4. Механік Трофімчук Т.Б. з окладом 2800 грн. відпрацював 20
робочих днів жовтня
Сер.денна ЗП = 2800/23=121,24 грн.
Нарахована ЗП = 121,24*20=2434,78 грн.
ЄСВ = 2434,78*3,6%=87,65 грн.
ПДФО = (2434,78-87,65)*0,15=352,07 грн.
До видачі: 2434,78-87,65-352,07=1995,06 грн.
Працівники що беруть безпосередню участь у наданні послуг:
5. Водій Шевчук А.К. нарахована ЗП 1770 грн.
ЄСВ = 1770*3,6%=63,72 грн.
ПДФО = (1770-63,72)*15%=255,92 грн.
До видачі: 1770-63,72-255,92=1450,36 грн.
. Водій Миронюк П.Р. нарахована ЗП 2490 грн., і премія 500
грн.
ЄСВ = (2490+500)*3,6%=107,64 грн.
ПДФО = (2990-107,64)*15%=432,35 грн.
До видачі: 2990-107,64-432,35=2435,01 грн.
. Водій Коваленко Б.Д. нарахована ЗП 2200 грн.
ЄСВ = 2200*3,6%=79,2 грн.
ПДФО = (2200-79,2)*15%=318,12 грн.
До видачі: 2200-318,12-79,2=1802,68 грн.
. Водій Сердюк С.М. нарахована ЗП 1940 грн.
ЄСВ = 1940*3,6=69,84 грн.
ПДФО = (1940-69,84)*15%=280,52 грн.
До видачі: 1940-69,84-280,52=1589,64 грн.
Таблиця 2.2. Розрахунково-платіжна
відомість за жовтень 2014 року
Журнал реєстрації господарських операцій за жовтень 2014 р.
Таблиця 2.3
|
№ з/п
|
Первинний документ
|
Зміст операції
|
Кореспонденція
рахунків
|
Сума, грн.
|
|
|
|
Дебет
|
Кредит
|
|
|
1
|
2
|
3
|
4
|
5
|
|
|
1
|
прибутковий ордер
|
Отримано від
постачальника на склад запасні частини, у т.ч. ПДВ
|
207
|
631
|
5050
|
|
податкова накладна
|
Нараховано
податковий кредит з ПДВ
|
641.1
|
631
|
1010
|
|
2
|
акт
|
Списані запасні
частини для ремонту автомобілів
|
23
|
207
|
11 380
|
|
3
|
рахунок
|
Нараховано за
послуги зв’язку, у т.ч. ПДВ
|
92
|
685
|
300
|
|
податкова накладна
|
Нараховано
податковий кредит з ПДВ
|
641.1
|
685
|
60
|
|
4
|
прибутковий ордер
|
Отримано від
постачальника на склад бензин, у т.ч. ПДВ
|
203
|
631
|
15250
|
|
податкова накладна
|
Нараховано
податковий кредит з ПДВ
|
641.1
|
631
|
3050
|
|
5
|
картка обліку витрачання
палива
|
Списано вартість
використаного бензину за нормами
|
23
|
203
|
20 960
|
|
6
|
виписка з рахунку
|
Отримано на
поточний рахунок в банку короткостроковий кредит для придбання мікроавтобуса
|
311
|
601
|
200 000
|
|
7
|
акт
|
Придбано новий
мікроавтобус у постачальника, у т.ч. ПДВ (об’єм циліндрів двигуна - 3 900 см
куб.)
|
152
|
631
|
270 000
|
|
податкова накладна
|
Нараховано
податковий кредит з ПДВ
|
641.1
|
631
|
54000
|
|
8
|
реєстраційний
документ
|
Нараховано збір за
першу реєстрацію транспортного засобу
|
152
|
641
|
1839
|
|
9
|
виписка з поточного
рахунку
|
Перераховано з
поточного рахунку збір за першу реєстрацію транспортного засобу до бюджету
|
641
|
311
|
1839
|
|
10
|
довідка- рахунок
|
Відображені
витрати, пов’язані з реєстрацією транспортного засобу в ДАІ
|
152
|
685
|
250
|
|
11
|
виписка з поточного
рахунку
|
Оплачено з
поточного рахунку витрати, пов’язані з реєстрацією транспортного засобу в ДАІ
|
685
|
311
|
250
|
|
12
|
акт про введення
|
Введено в
експлуатацію транспортний засіб
|
105
|
152
|
272 089
|
|
13
|
виписка з поточного
рахунку
|
Перераховано
постачальнику оплату за запасні частини з поточного рахунку
|
631
|
311
|
17 060
|
|
14
|
виписка з поточного
рахунку
|
Перераховано
постачальнику за бензин з поточного рахунку
|
631
|
311
|
31 050
|
|
15
|
видатковий касовий
ордер
|
Видано кошти з каси
в підзвіт директору
|
372
|
301
|
1 000
|
|
16
|
акт про надання
послуг
|
Надані транспортні
послуги згідно з виставленими рахунками замовникам, у т.ч. ПДВ
|
361
|
702
|
156 690
|
|
податкова накладна
|
Відображено
податкове зобов’язання з ПДВ
|
702
|
641.1
|
26115
|
|
17
|
розрахунок
бухгалтерії
|
Затверджено звіт
про використання коштів, наданих на відрядження або під звіт, директору
|
92
|
372
|
20
|
|
18
|
прибутковий касовий
ордер
|
Повернуто
директором невикористані підзвітні суми в касу підприємства
|
301
|
372
|
980
|
|
19
|
акт передачі МШП
|
Списано МШП на
експлуатацію транспорту
|
23
|
22
|
880
|
|
20
|
виписка з поточного
рахунку
|
Перераховано з
поточного рахунку суму ПДВ за попередній період
|
641.1
|
311
|
25610
|
|
21
|
виписка з поточного
рахунку
|
Перераховано з
поточного рахунку суму єдиного соціального внеску за попередній період
|
651
|
311
|
15700
|
|
22
|
виписка з поточного
рахунку
|
Перераховано з
поточного рахунку суму податку на прибуток за попередній період
|
641.2
|
311
|
8180
|
|
23
|
виписка з поточного
рахунку
|
Перераховано з
поточного рахунку суму податку на доходи фізичних осіб за попередній період
|
641.3
|
311
|
1690
|
|
24
|
виписка з поточного
рахунку
|
Отримані від
замовника грошові кошти за надані транспортні послуги
|
311
|
361
|
163 740
|
|
25
|
виписка з поточного
рахунку
|
Оплачено
постачальнику за надійшовший мікроавтобус з поточного рахунку
|
631
|
311
|
324 000
|
|
26
|
виписка з поточного
рахунку
|
Нараховані відсотки
за отриманий короткостроковий кредит (в розрахунку 25% річних) за поточний
місяць
|
95
|
684
|
4166,67
|
|
27
|
виписка з поточного
рахунку
|
Сплачені банку
нараховані відсотки за кредит
|
684
|
311
|
4166,67
|
|
28
|
відомість
нарахування амортизації
|
Нарахована
амортизація по основних засобах: - що беруть безпосередню участь в наданні
транспортних послуг; - адміністративного призначення
|
23 92
|
131 131
|
24 320 5 060
|
|
29
|
рахунок
|
92
|
685
|
110
|
|
30.
|
розрахунково-платіжна
відомість
|
Нараховано
заробітну плату та інші виплати (премію, відпускні, лікарняні за рахунок
коштів підприємства, цільову матеріальну допомогу): - адміністративному
персоналу; - загальновиробничому персоналу; - працівникам, що беруть
безпосередню участь в наданні транспортних послуг
|
92 91 23
|
661 661 661
|
10829,3 2434,78
8900
|
|
31
|
розрахунково-платіжна
відомість
|
Нараховано єдиний
соціальний внесок на фонд оплати праці (33 клас професійного ризику
виробництва - ставка 37,66%): - адміністративному персоналу; -
загальновиробничому персоналу; - працівникам, що беруть безпосередню участь в
наданні транспортних послуг
|
92 91 23
|
651 651 651
|
4078,31 916,94
3351,74
|
|
32
|
розрахунково-платіжна
відомість
|
Відображено
утримання: - єдиного соціального внеску; - податку на доходи фізичних осіб.
|
661 661
|
651 641.3
|
797,91 3204,93
|
|
33
|
прибутковий касовий
ордер
|
Надійшли кошти в
касу з поточного рахунку для виплати заробітної плати та на інші виплати
|
301
|
311
|
20 000
|
|
34
|
видатковий касовий
ордер
|
Виплачена
нарахована заробітна плата працівникам з каси підприємства
|
661
|
301
|
18 161,25
|
|
35
|
розрахунок
бухгалтерії
|
Списано на
виробничі витрати загальновиробничі витрати
|
23
|
91
|
3 351,74
|
|
36
|
розрахунок
бухгалтерії
|
Списані фактичні
витрати на експлуатацію транспорту
|
902
|
23
|
48 823,46
|
|
37
|
розрахунок
бухгалтерії
|
Списано на
фінансові результати: - дохід від реалізації послуг; - собівартість
реалізованих послуг; - адміністративні витрати; - фінансові витрати
|
702 79 79 79
|
79 902 92 95
|
130 575 48 823,46
20 397,62
|
|
38
|
довідка бухгалтерії
|
Нараховано податок
на прибуток за даними податкового обліку
|
98
|
641.2
|
6 500
|
|
39
|
розрахунок
бухгалтерії
|
Сума нарахованого
податку на прибуток віднесена на фінансові результати
|
79
|
98
|
6 500
|
|
40
|
розрахунок
бухгалтерії
|
Відображено
закриття 79 рахунку з формуванням нерозподіленого прибутку
|
79
|
441
|
50687,25
|
Відкриваємо рахунки синтетичного обліку
Оборотна відомість за синтетичними рахунками
Таблиця 2.3
|
№ рахунку
(субрахунку)
|
Назва рахунку
(субрахунку)
|
Сальдо на 1.10.2014
р.
|
Обороти за жовтень
|
Сальдо на
31.10.2014 р.
|
|
|
Дебет
|
Кредит
|
Дебет
|
Кредит
|
Дебет
|
Кредит
|
|
103
|
Будинки та споруди
|
545010
|
|
|
|
545010
|
|
|
105
|
Транспортні засоби
|
170100
|
|
272089
|
|
442189
|
|
|
106
|
Інструменти.прилади
та інструменти
|
10900
|
|
|
|
10900
|
|
|
131
|
Знос основних
засобів
|
|
382840
|
|
29380
|
|
412220
|
|
152
|
Придбання(виготовлення)основних
засобів
|
|
|
272089
|
272089
|
0
|
|
|
201
|
Сировина й
матеріали
|
320
|
|
|
|
320
|
|
|
203
|
Паливо
|
5500
|
|
15250
|
20960
|
|
210
|
|
207
|
Запасні частини
|
19010
|
|
5050
|
11380
|
12680
|
|
|
22
|
Малоцінні та
швидкозношувані предмети
|
1690
|
|
|
880
|
810
|
|
|
23
|
Виробництво
|
|
|
73143,46
|
48823,46
|
24320
|
|
|
301
|
Каса в
національний валюті
|
500
|
|
20980
|
19161,25
|
2318,75
|
|
|
311
|
Поточні рахунки в
національній валюті
|
160090
|
|
363740
|
449545,7
|
74284,3
|
|
|
361
|
Розрахунки з
вітчизняними покупцями
|
21600
|
|
156690
|
163740
|
14550
|
|
|
372
|
Розрхунки з
підзвітними особами
|
|
|
1000
|
1000
|
0
|
|
|
401
|
Статутний капітал
|
|
445660
|
|
|
|
445660
|
|
441
|
Прибуток
нерозподілений
|
|
17610
|
|
50687,25
|
|
68297,25
|
|
601
|
Короткострокові
кредити банків у національній валюті
|
|
|
|
200000
|
|
200000
|
|
631
|
Розрахунки з
вітчизняними постачальниками
|
|
35190
|
372110
|
348360
|
|
11440
|
|
641
|
Розрахунки за
податками ї платежами
|
|
|
1839
|
1839
|
|
0
|
|
641.1
|
Розрахунки за
податками
|
|
25610
|
83730
|
26115
|
32005
|
|
|
641.2
|
Розрахунки за
податками
|
|
8180
|
8180
|
6500
|
|
6500
|
|
641.3
|
Розрахунки за
податками
|
|
1690
|
1690
|
3204,9
|
|
3204,9
|
|
651
|
За пенсійним
забезпеченням
|
|
15700
|
15700
|
9144,9
|
|
9144,9
|
|
661
|
Розрахунки за
заробітною платою
|
|
2240
|
22164,09
|
22164,09
|
|
2240
|
|
684
|
Розрахунки за
нарахованими відсотками
|
|
|
4166,67
|
4166,67
|
|
0
|
|
685
|
Розрахунки з
іншими кредиторами
|
|
|
250
|
720
|
|
470
|
|
702
|
Дохід від
реалізації товарів
|
|
|
156690
|
156690
|
|
0
|
|
79
|
Фінансові
результати
|
|
|
130575
|
130575
|
|
0
|
|
902
|
Собівартість
реалізованих товарів
|
|
|
48823,46
|
48823,46
|
0
|
|
|
91
|
Загальновиробничівитрати
|
|
|
3351,72
|
3351,72
|
0
|
|
|
92
|
Адміністративні
витрати
|
|
|
20397,62
|
20397,62
|
0
|
|
|
93
|
Витрати на збут
|
|
|
|
|
0
|
|
|
95
|
Фінансові витрати
|
|
|
4166,67
|
4166,67
|
|
|
98
|
Податок на
прибуток
|
|
|
6500
|
6500
|
0
|
|
|
Всього
|
934720
|
934720
|
2060366
|
2060366
|
1159387
|
1159387
|
Баланс на кінець місяця на 31 жовтня 2014 р.
|
Форма № 1
|
Код за ДКУД
|
1801001
|
|
Актив
|
Код рядка
|
На початок звітного
періоду
|
На кінець звітного
періоду
|
|
1
|
2
|
3
|
4
|
|
I. Необоротні
активи Нематеріальні активи
|
1000
|
|
|
|
первісна вартість
|
1001
|
|
|
|
накопичена
амортизація
|
1002
|
|
|
|
Незавершені
капітальні інвестиції
|
1005
|
|
|
|
Основні засоби
|
1010
|
|
585879
|
|
первісна вартість
|
1011
|
|
998099
|
|
знос
|
1012
|
|
(412220)
|
|
Інвестиційна
нерухомість
|
1015
|
|
|
|
Довгострокові
біологічні активи
|
1020
|
|
|
|
Довгострокові
фінансові інвестиції: які обліковуються за методом участі в капіталі інших
підприємств
|
1030
|
|
|
|
інші фінансові
інвестиції
|
1035
|
|
|
|
Довгострокова
дебіторська заборгованість
|
1040
|
|
|
|
Відстрочені
податкові активи
|
1045
|
|
|
|
Інші необоротні
активи
|
1090
|
|
|
|
Усього за розділом
I
|
1095
|
|
585879
|
|
II. Оборотні
активи Запаси
|
1100
|
|
13810
|
|
Поточні біологічні
активи
|
1110
|
|
|
|
Дебіторська
заборгованість за продукцію, товари, роботи, послуги
|
1125
|
|
38870
|
|
Дебіторська
заборгованість за розрахунками: за виданими авансами
|
1130
|
|
|
|
з бюджетом
|
1135
|
|
32005
|
|
у тому числі з
податку на прибуток
|
1136
|
|
|
|
Інша поточна
дебіторська заборгованість
|
1155
|
|
|
|
Поточні фінансові
інвестиції
|
1160
|
|
|
|
Гроші та їх
еквіваленти
|
1165
|
|
76603,05
|
|
Витрати майбутніх
періодів
|
1170
|
|
|
|
Інші оборотні
активи
|
1190
|
|
|
|
Усього за розділом
II
|
1195
|
|
161288,05
|
|
III. Необоротні
активи, утримувані для продажу, та групи вибуття
|
1200
|
|
|
|
Баланс
|
1300
|
|
747167,05
|
|
Пасив
|
Код рядка
|
|
|
|
I. Власний капітал
Зареєстрований (пайовий) капітал
|
1400
|
|
445660
|
|
Капітал у дооцінках
|
1405
|
|
|
|
Додатковий капітал
|
1410
|
|
|
|
Резервний капітал
|
1415
|
|
|
|
Нерозподілений
прибуток (непокритий збиток)
|
1420
|
|
68297,25
|
|
Неоплачений капітал
|
1425
|
|
|
|
Вилучений капітал
|
1430
|
|
|
|
Усього за розділом
I
|
1495
|
|
513957,25
|
|
II. Довгострокові
зобов’язання і забезпечення Відстрочені податкові зобов’язання
|
1500
|
|
|
|
Довгострокові
кредити банків
|
1510
|
|
|
|
Інші довгострокові
зобов’язання
|
1515
|
|
|
|
Довгострокові
забезпечення
|
1520
|
|
|
|
Цільове
фінансування
|
1525
|
|
|
|
Усього за розділом
II
|
1595
|
|
|
|
IІІ. Поточні
зобов’язання і забезпечення Короткострокові кредити банків
|
1600
|
|
200000
|
|
Поточна
кредиторська заборгованість за: довгостроковими зобов’язаннями
|
1610
|
|
|
|
товари, роботи,
послуги
|
1615
|
|
12120
|
|
розрахунками з
бюджетом
|
1620
|
|
9704,9
|
|
у тому числі з
податку на прибуток
|
1621
|
|
|
|
розрахунками зі
страхування
|
1625
|
|
9144.9
|
|
розрахунками з
оплати праці
|
1630
|
|
2240
|
|
Поточні
забезпечення
|
1660
|
|
|
|
Доходи майбутніх
періодів
|
1665
|
|
|
|
Інші поточні зобов’язання
|
1690
|
|
|
|
Усього за розділом
IІІ
|
1695
|
|
233209,8
|
|
ІV. Зобов’язання,
пов’язані з необоротними активами, утримуваними для продажу, та групами
вибуття
|
1700
|
|
|
|
Баланс
|
1900
|
|
747167,05
|
Висновки
Отже, джерелами формування активів підприємства є власні та
позикові кошти. В момент створення підприємства його стартовий капітал
втілюється в активах, інвестованих засновниками (учасниками), і представляє
собою вартість майна підприємства. Здійснюючи підприємницьку діяльність,
підприємство також використовує залучені кошти, в результаті чого виникають
борги. Боргові зобов'язання підтверджують права і вимоги кредиторів щодо
активів підприємства (А = З + К) і мають вищий пріоритет порівняно з вимогами
власників. Тому власний капітал підприємства визначається як різниця між
вартістю його майна і борговими зобов'язаннями: К = А - З.
Власний капітал - це загальна вартість засобів підприємства, які
належать йому на правах власності і використовуються ним для формування його
активів. Такі активи формуються за рахунок інвестованого в НИХ власного
капіталу і представляють собою чисті активи підприємства.
До власного капіталу відносяться: статутний капітал, пайовий капітал,
додатковий вкладений капітал, інший додатковий капітал, резервний капітал,
нерозподілений прибуток (непокритий збиток), неоплачений капітал, вилучений
капітал.
Для обліку власного капіталу передбачені наступні рахунки: 40 "Статутний
капітал", 41 "Пайовий капітал", 42 "Додатковий
капітал", 43 "Резервний капітал", 44 "Нерозподілені
прибутки (непокриті збитки)", 45 "Вилучений капітал", 46
"Неоплачений капітал".
Рахунки 42, 43, і 44 призначені для обліку власного капіталу,
який створюється в процесі господарської діяльності підприємства, але не є
Статутним капіталом. Цей капітал належить власникам і направляється на
задоволення потреб господарюючого суб'єкту, проте він не закріплений по частках
за кожним з учасників.
Рахунки 40, 41, 45 і 46 використовують для формування
стартового капіталу підприємства. В залежності від організаційної форми
підприємства це може бути статутний або пайовий капітал.
Складання Звіту про власний капітал регламентується П(С)БО 5
"Звіт про власний капітал". В цьому звіті відображаються всі зміни,
які відбулися з власним капіталом за звітний період, в розрізі елементів
(статей) власного капіталу. Цей звіт поєднується з іншими формами звітності.
В основі побудови Звіту про власний капітал лежить балансовий
метод, тобто для кожного елементу підрахунок здійснюється наступним чином:
сальдо на початок звітного періоду плюс (мінус) зміни за звітний період
дорівнює сальдо на кінець звітного періоду. Результати останньої графи і
останнього рядка співпадають.
Ведення рахунків бухгалтерського обліку класу 4 "Власний
капітал і забезпечення зобов'язань" дозволяє переносити залишки по
зазначених статтях прямо в баланс підприємства.
Список використаної літратури
1. Про бухгалтерський облік та фінансову звітність в
Україні : Закон України від 16.07.1999 № 996-XIV / [Електронний ресурс] // Режим
доступу:
. Положення про документальне забезпечення записів у
бухгалтерському обліку: наказ Міністерства фінансів України від 24.05.95р. № 88
/ [Електронний ресурс] // Режим доступу: http://zakon.rada.gov.ua
3. Положення (стандарт) бухгалтерського обліку № 1-25,
затверджені наказом Міністерства фінансів України./ [Електронний ресурс] // Режим
доступу: http://zakon.rada.gov.ua
4. План рахунків бухгалтерського обліку активів,
капіталу, зобов’язань і господарських операцій підприємств і організацій :
наказ Міністерства фінансів України від 30.11.1999 за № 291 / [Електронний
ресурс] // Режим доступу: http://zakon.rada.gov.ua
. Інструкція про застосування Плану рахунків
бухгалтерського обліку активів, капіталу, зобов’язань і господарських операцій
підприємств і організацій : наказ Міністерства фінансів України від 30.11.1999
р. №291 / [Електронний ресурс]// Режим доступу:
http://zakon.rada.gov.ua
. Методичні рекомендації щодо заповнення форм
фінансової звітності : наказ Міністерства фінансів України від 28 березня 2013
року № 433 / [Електронний ресурс]// Режим доступу: http://zakon.rada.gov.ua
7. Білуха М.Т. Теорія бухгалтерського
обліку. - К.: АСК, 2000. - 690с.
8. Бутинець Ф.Ф. Теорія бухгалтерського обліку:
Підручник для студентів вузів спеціальності «Облік і аудит»». - Житомир: ЖІТУ,
2000. - 640 с.
9. Верхоглядова Н.І. Бухгалтерський фінансовий облік:
теорія та практика : [навчально-практичний посібник] / Н.І. Верхоглядова, В.П.
Шило, С.Б. Ільїна. - К.: Центр учбової літератури, 2010. -536 с.
.Грабова Н.В. Теорія бухгалтерського обліку: Навч.
посіб. / За ред. М. В. Кужельного. - 5-те вид., перероб. і доп. - К.: АСК,
2008. - 420с.
11. Сопко В.В. Бухгалтерський облік: Навч. посібник. -
К.: КНЕУ, 2000. - 578 с.
12. Теоретичні основи бухгалтерського обліку: Підруч.
для вузів / М. С Пуш-кар, Г.П. Журавель, Ю.Я. Литвин, В.Т. Мельник. - 2-ге
вид., перероб. і доп. - Тернопіль: Вид-во ТАНГ, 2008. - 280с.
. Теорія бухгалтерського обліку / В.Б. Захожай, К.С.
Базилевич, Г.Ф. Ше-пітко, С.В. Присяжнюк. - К: Вид-во ЄУФІМБ, 2009. - 340с.
14.Ткаченко Н.М. Бухгалтерський фінансовий облік на
підприємствах України: Підручник для студентів економічних спеціальностей вищих
навчальних закладів. - К.: А.С.К., 2001. - 784 с.