Расчет и проектирование естественной вентиляции
ФЕДЕРАЛЬНОЕ
ГОСУДАРСТВЕННОЕ БЮДЖЕТНОЕ
ОБРАЗОВАТЕЛЬНОЕ
УЧРЕЖДЕНИЕ ВЫСШЕГО ПРОФЕССИОНАЛЬНОГО ОБРАЗОВАНИЯ
СИБИРСКАЯ
АВТОМОБИЛЬНО ДОРОЖНАЯ АКАДЕМИЯ (СибАДИ)
Кафедра
«Техносферная безопасность»
КУРСОВОЙ
ПРОЕКТ
По дисциплине
«Производственная санитария и гигиена труда»
На тему:
«Расчет и проектирование естественной вентиляции »
Выполнил: студент Токтарев Д.Е.
Руководитель: Гордеева С.А.
Проверил: Гордеева С.А.
Омск
Задание на курсовой проект
ДИСЦИПЛИНА «ПРОИЗВОДСТВЕННАЯ САНИТАРИЯ И ГИГИЕНА ТРУДА » вентиляция воздух вредный
трубопровод
РАССЧИТАТЬ:
количество удаляемого воздуха по массе выделяющихся вредных и
взрывоопасных веществ. Спроектировать естественную вентиляцию с помощью
дефлекторов для помещения насосного типа по транспорту бензина. Избыточное
давление в нагнетательном трубопроводе равно 1,2 МПа. Температура продукта 40 0С.
Суммарный объем продукта в трубопроводах и перекачивающего агрегата 2,5 м3
. Размеры помещения LxSxH = 10х6х4 м.
Расход воздуха Lw,z принимать равным 100 м3 /ч.
ПОЯСНИТЕЛЬНАЯ ЗАПИСКА
1. Введение________________________________________________
2. Виды вентиляции их и назначение __________________________
3. Вредные и взрывопожароопасные свойства транспортируемого продукта
(вредное действие на организм человека, ПДК, класс опасности, концентрационные
пределы распространения пламени, категория и группа взрывоопасной
смеси).___________
. Расчет массы выделяющегося в помещении газа (пара) через
неплотности оборудования.______
4. Расчет количества приточного воздуха по массе выделяющихся
вредных веществ и для обеспечения
взрывопожаробезопасности.___________________________
5. Проектирование системы вентиляции с естественным
побуждением___________
ГРАФИЧЕСКАЯ ЧАСТЬ
. Схема воздуховодов (в масштабе) на формате А3 (297* 420 мм)._________________________
Дата сдачи курсового проекта____________________________________
Оглавление
Введение
. Виды вентиляции их и
назначение
.1 Естественная
вентиляция
.2 Механическая
вентиляция
.3 Приточная и вытяжная
вентиляция
.4 Местная приточная вентиляция
.5 Местная вытяжная
вентиляция
.6 Общеобменная
вентиляция
.7 Общеобменная
приточная вентиляция
.8 Общеобменная вытяжная
вентиляция
. Вредные и
взрывопожароопасные свойства транспортируемого продукта
. Расчет массы
выделяющегося в помещение пара через неплотности оборудования.
. Проектирование
системы вентиляции с естественным побуждением
Заключение
Список используемой
литературы
Введение
Процессы промышленного производства сопровождаются загрязнением воздуха
помещений вредными веществами, а также избыточным теплом, выделяющимся при
работе механизмов, отопительных систем, источников света, от действия солнечной
радиации. Вредные примеси в рабочей зоне и избыточные тепловыделения оказывают
неблагоприятные воздействия на здоровье персонала. Одним из распространенных и
эффективных способов защиты от воздействия неблагоприятных факторов и
поддержания состава воздуха в пределах санитарно-гигиенических требований
является общеобменная вентиляция помещений.
Длительное нахождение в неблагоприятных условиях вызывает стресс в
организме, что может вызвать ухудшение самочувствия и подорвать здоровье. В
медицине есть такое понятие «гипертермия», при котором человеческий организм,
не находясь в состоянии болезни, повышает свою температуру до 38-39оС,
что характерно при больших физических нагрузках. А постоянное нахождение в
условиях повышенной влажности наносит ощутимый вред здоровью.
Существуют определенные нормы, регулирующие все основные показатели
микроклимата в помещениях с постоянным нахождением людей. И огромное значение
эти нормы уделяют качеству воздуха, заполняющему это помещение. Например,
согласно СанПиН 2.2.2.542-96 оптимальный микроклимат в служебных помещениях в
холодное время года должен иметь следующие показатели: температура воздуха
21-23оС, относительная влажность 40-60%, скорость движения воздуха
не более 0,1 м/с.
Эффективная вентиляция позволяет создать такие параметры атмосферы в
помещении, которые смогут обеспечить хорошее самочувствие, высокую
работоспособность или полноценный отдых в вентилируемом помещении.
В результате исследований ученых-гигиенистов установлено, что загрязнение
воздуха, избыток тепла и водяных паров плохо влияют на здоровье,
работоспособность и производительность труда.
Грамотно разработанная и проектированная система вентиляции способствует
улучшению самочувствия работников, а, следовательно, повышается
производительность труда. Статистика показывает, что системы вентиляции
производственных помещений повышают производительность труда на 4-10 процентов.
Данный курсовой проект посвящен исследованию систем естественной
вентиляции, а также в нем произведен расчет и проектирование системы вентиляции
с естественным побуждением.
1.
Виды вентиляции их и назначение
Вентиляция - это совокупность устройств и мероприятий для обеспечения
нормального воздухообмена в помещениях. Системы вентиляции поддерживают
допустимые метеорологические параметры в помещениях различного назначения.
Вентиляционные системы делят на несколько типов:
ü по способу циркуляции воздуха: естественные и принудительные
(механические);
ü по назначению: приточные и вытяжные
ü по зоне обслуживания: общеобменные и местные;
ü по конструкции: канальные и бесканальные.
Основное назначение вентиляции - это удаление загрязненного, нагретого,
влажного воздуха из помещения и подача чистого, свежего воздуха, в результате
чего создаются необходимые благоприятные условия воздушной среды.
Одна из главных задач, возникающих при устройстве вентиляции, -
определение воздухообмена, т.е. количество вентиляционного воздуха, необходимого
для обеспечения оптимального санитарно-гигиенического уровня воздушной среды
помещений.
Устройство и эксплуатация вентиляционных систем регламентируются
нормативными документами:
. СНиП 41-01-2003 «Отопление, вентиляция и кондиционирование»;
. ГОСТ 12.4.021-75 «ССБТ. Системы вентиляционные. Общие
требования».
Виды производственной вентиляции представлены на рис. 1.
Рис. 1. Виды производственной вентиляции
1.1 Естественная вентиляция
Воздухообмен при естественной вентиляции происходит в результате разности
температур воздуха в помещении и наружного воздуха, а также в результате
действия ветра.
Разность температур воздуха внутри (более высокая температура) и снаружи
помещения, а, следовательно, и разность плотностей вызывают поступление в
помещение холодного воздуха и вытеснение из него теплого. При действии ветра с
заветренной стороны здания создается разрежение, вследствие чего происходит
вытяжка теплого и загрязненного воздуха из помещения, с наветренной стороны
здания создается избыточное давление, и свежий воздух поступает в помещение на
смену вытягиваемому воздуху.
Естественная вентиляция производственных помещений может быть
неорганизованной и организованной.
При неорганизованной вентиляции поступление и удаление воздуха происходит
через неплотности и поры наружных ограждений (инфильтрация), через окна,
форточки, специальные проемы (проветривание).
Инфильтрация может быть значительной для жилых зданий и достигать
0,5-0,75 объема помещения в час, а для промышленных предприятий до 1-1,5 ч-1.
Создание оптимальной производственной среды
Организованная (поддающаяся регулировке) естественная вентиляция
производственных помещений осуществляется аэрацией и дефлекторами.
Аэрацией называется организованная естественная общеобменная вентиляция
помещений в результате поступления и удаления воздуха через открывающиеся
фрамуги окон (рис. 2). Воздухообмен в помещении регулируют различной степенью
открывания фрамуг (в зависимости от температуры наружного воздуха, скорости и направления
ветра).

Преимуществом аэрации является то, что большие объемы воздуха (до
нескольких миллионов кубических метров в час) подаются в производственное
помещение и удаляются из него без затрат механической энергии. Система аэрации
значительно дешевле механических систем вентиляции. Она является эффективным
средством борьбы с избытками явного тепла в горячих цехах: прокатных, литейных,
кузнечных. К недостаткам аэрации следует отнести существенное снижение
эффективности в летнее время, когда повышается температура наружного воздуха,
особенно в безветренную погоду. Кроме того, приточный воздух поступает в
помещение без предварительной очистки и подогрева, а удаляемый не очищается от
выбросов и загрязняет наружный атмосферный воздух.
Канальная естественная вытяжная вентиляция без организованного притока
воздуха широко применяется в жилых и административных зданиях (рис. 3). Для
использования кинетической энергии ветра в целях усиления вытяжки в системах
естественной вентиляции на устье вытяжных шахт устанавливают специальные
насадки - дефлекторы. Наибольшее распространение получили дефлекторы типа ЦАГИ
(рис. 4). Дефлектор представляет собой цилиндрическую обечайку, укрепленную над
вытяжной трубой, заканчивающимся плавным расширением - диффузором. Дефлекторы
устанавливают в местах, хорошо обдуваемых ветром.
1.2 Механическая вентиляция
Механические системы вентиляции работают на базе вентиляционного оборудования
и различных приборов, позволяющих перемещать воздух на значительные дистанции.
Их работа может требовать весьма значительных затрат электроэнергии.
Однако существенным плюсом механических вентиляционных систем является
то, что они могут подавать и удалять воздух в необходимом количестве автономно,
независимо от условий окружающей среды. При необходимости воздух можно
подвергать обработке (очистке, нагреву, охлаждению).
Тип вентиляции, оптимально подходящей к конкретному помещению,
определяется еще на стадии проектирования, исходя из санитарно-гигиенических
условий, а также на основании экономических и технических соображений.
1.3 Приточная и вытяжная вентиляция
Для подачи свежего воздуха в помещения взамен удаленного используют
приточную вентиляцию. В необходимых случаях приточный воздух подвергается
предварительной обработке.
Системы вытяжной вентиляции удаляют отработанный воздух из помещений. В
состав вытяжки, как правило, входят вентиляционные решетки и вытяжные
вентиляторы, а также воздуховоды, формирующие сеть вентиляционных каналов, по
которым происходит удаление воздуха наружу.
На практике, приточные и вытяжные вентиляционные системы используются в
паре. При этом их производительность должна быть сбалансирована с учетом
возможности поступления воздуха в смежные помещения. Также встречается только
приточная система вентиляции в помещении, или только вытяжная.
Приточная и вытяжная системы могут быть организованы и на рабочем месте
(местная) и для всего помещения (общеобменная).
1.4 Местная приточная вентиляция
Системы местного притока делятся на воздушные души и воздушные оазисы.
Задача воздушного душа - подавать чистый воздух к рабочим местам, а также
снижать температуру воздуха в зоне притока. Воздушные оазисы - это участки
помещений, изолированные перегородками, куда подается воздух с пониженной
температурой.
В качестве местной приточной вентиляции также используются воздушные
завесы, которые создают как бы воздушные перегородки или изменяют направление
потоков воздуха.
Местная вентиляция требует значительно меньше затрат, чем общеобменная. В
производственных помещениях часто применяют смешанный тип вентиляции -
общеобменную для устранения вредных выделений во всем помещении, и местную
вентиляционную систему для обслуживания рабочих мест.
1.5 Местная
вытяжная вентиляция
Вентиляционные системы данного типа применяются для удаления вредных
выделений из локальных зон помещения, когда их распространения по всей площади
можно избежать. В производственных помещениях местная вытяжная вентиляция обеспечивает
улавливание и отвод вредных веществ (газов, пыли, дыма и т.д.) с помощью
отсосов (укрытий в виде шкафов, зонтов, бортовых отсосов, завес).
Местные вытяжные системы вентиляции весьма эффективны, так как позволяют
удалять вредные вещества непосредственно с места образования, не допуская их
распространения по всему помещению.
Однако и они не могут решить всех задач - например, удаления выделений,
рассредоточенных на значительной площади или в объеме. В таком случае
используют общеобменные типы вентиляционных систем.
1.6 Общеобменная
вентиляция
Общеобменная вентиляция предназначена для обеспечения воздухообмена во
всем помещении или в его значительной части. Общеобменные вытяжные системы
равномерно удаляют воздух из всего помещения, а приточные системы подают чистый
воздух, распределяя его по всей площади.
1.7 Общеобменная
приточная вентиляция
Система устраивается для ассимиляции избыточного тепла и влаги,
разбавления вредных концентраций паров и газов, которые не были удалены местной
или общеобменной вытяжной вентиляцией. Она также обеспечивает соблюдение
расчетных санитарно-гигиенических норм и свободное дыхание в рабочей зоне.
При недостатке тепла приточную вентиляцию общеобменного типа организуют с
механическим побуждением и подогревом приточного воздуха.
1.8 Общеобменная
вытяжная вентиляция
Самым простым типом вытяжной общеобменной вентиляции является вентилятор
(как правило, осевой), расположенный в окне или в отверстии стены. Он удаляет
воздух из ближайшей к нему зоны, осуществляя общий воздухообмен.
В промышленных зданиях редко удается обойтись одной вентиляционной
системой (местной или общеобменной) из-за разнородных вредных выделений и
различных условий их поступления в помещение. В таких случаях оптимальным
вариантом является устройство общеобменной вытяжной системы вентиляции.
В определенных случаях могут использоваться естественные системы на
основе аэрации наряду с механической вентиляцией.
2. Вредные и взрывопожароопасные свойства
транспортируемого продукта
Бензины - сложная смесь легких ароматических, нафтеновых и парафиновых
углеводородов с числом атомов углерода (С) от 4…5 до 10 и средней молярной
массой ≈ 100 ат. ед. массы. Бензин - легколетучая, легковоспламеняющаяся
слегка желтая жидкость с температурой вспышки - минус 20…40 оС и
застывания - ниже минус 60 оС. Абсолютная плотность бензинов
колеблется в пределах 690…750 кг/м3.
В случае отравления, вызванном вдыханием небольших концентраций паров
бензина, наблюдаются симптомы, похожие на алкогольную интоксикацию: психическое
возбуждение, эйфория, головокружение, тошнота, слабость, рвота, покраснение
кожных покровов, учащение пульса. В тяжелых случаях могут наблюдаться
галлюцинации, обморочные состояния, судороги, повышенная температура.
Хроническое отравление бензином выражается в повышенной
раздражительности, головокружении, поражении печени и ослаблении сердечной
деятельности.
При попадании бензина внутрь появляются обильная и повторная рвота,
головная боль, боли в животе, жидкий стул. Иногда отмечаются увеличение печени
и ее болезненность, желтушность склер.
Отравление бензином встречается довольно часто. Бензин хорошо всасывается
через кожу, через дыхательные пути, через желудок и слизистые оболочки.
Особенно опасен для здоровья этилированный бензин, содержащий тетраэтилсвинец.
Если длительно вдыхать пары бензина при его испарении в закрытом
помещении без вентиляции, то можно потерять сознание, появляются тонические и
клонические судороги, гемипарезы.
При вдыхании жидкого бензина появляются боли в груди, кровянистая
мокрота, одышка, температура, резкая слабость, посинение губ, кончиков пальцев,
слизистых оболочек, развивается бензиновая токсическая пневмония.
При хроническом отравлении парами бензина пострадавшего беспокоит
слабость, адинамия, дрожь в руках, головные боли, раздражительность, ощущение
неустойчивости.
Легкие отравления бензином проходят довольно быстро, за 2-3 дня,
хронические интоксикации нуждаются в более длительном лечении.
По ГОСТ 12.1.005 предельно допустимые концентрации (ПДК):
|
ПДК в воздухе рабочей зоны
|
100 мг/м3
|
|
Максимальная разовая концентрация в атмосферном воздухе
|
5 мг/м3
|
|
Среднесуточная концентрация в атмосферном воздухе
|
1,5 мг/м3
|
|
Класс опасности
|
4
|
|
НКПРП/ВКПРП
|
1/8 %
|
Расчет массы выделяющегося в помещение пара через неплотности оборудования.
Для определения количества газов, прорывающихся в помещение через
неплотности аппаратуры и трубопроводов, работающих под давлением, существует
единственная приближенная формула Н. Н. Репина [1, с.17]:
где K - коэффициент запаса, принимаемый от
1 до 2, в зависимости от токсичности газов и состояния аппаратуры (будем
рассматривать наиболее неблагоприятные условия эксплуатации, следовательно, K = 1);
C -
коэффициент, зависящий от давления газов ( в нашем случае он принимает значение
C = 0.2 );
V -
внутренний объем аппаратуры и коммуникаций, находящихся под давлением, в м3;
M -
молекулярный вес газа или пара (Mбензина
= 98,2 кг/кмоль
[2]);
T -
абсолютная температура продукта (
).
Таким образом,
.
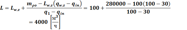
Определяем количество приточного воздуха по массе выделяющихся вредных
веществ по формуле [3]:
где Lw,z - расход воздуха, удаляемого из обслуживаемой или
рабочей зоны помещения системами местных отсосов, и на технологические нужды, м3/ч;
mpo - количество каждого из вредных или взрывоопасных веществ,
поступающих в воздух помещения, мг/ч, mpo =G
qw.z., q1 - концентрация вредного или взрывоопасного вещества в
воздухе, удаляемом соответственно из обслуживаемой или рабочей зоны помещения и
за ее пределами, мг/м3,
qi.n. -
концентрация вредного или взрывоопасного вещества в воздухе, подаваемом в
помещение, мг/м3.
При расчете можно принять qw.z., q1 ≤ ПДК, qi.n. ≤ 0,3ПДК (ПДК бензина равна 100 мг/м3 [4]).
. Проектирование системы вентиляции с естественным побуждением
Расчетные температуры наружного воздуха принятые для проектирования:
. Расчетная температура наружного воздуха для проектирования
вентиляции в холодный период года - минус 24 °С [6], тогда
;
2. Расчетная температура внутреннего воздуха в блоке +10 °С, тогда
(
;
3. Минимальная из средних скоростей ветра за июль v = 3,7 м/с [6].
Приемные отверстия, для удаления воздуха системой вентиляции из нижней
зоны, размещается на уровне 0,3 м от пола до низа отверстий.
Воздуховоды высятся выше кровли на 1,0 м. Воздуховоды выполняются из
тонколистовой оцинкованной стали по ГОСТ 14918-80.
Включение периодической вентиляции предусматривается автоматически от
газоанализатора при достижении концентраций горючих веществ в воздухе
помещения, превышающих 1 порог загазованности газовоздушной смеси, и от кнопки,
установленной перед входной дверью, за 10 минут до входа обслуживающего
персонала в помещение. Приток воздуха в помещение естественный через жалюзийную
решетку с утепленным клапаном.
Воздухообмен при естественной вентиляции происходит в результате разности
температур воздуха в помещении и наружного воздуха, а также в результате
действия ветра.
Расчет естественной вентиляции заключается в определении площадей
вентиляционных проемов здания и включает следующие этапы [5]:
где h - расстояние между центрами нижнего и верхнего проемов, м. В нашем
случае h = 4,5 м;
- плотность наружного и внутреннего воздуха, кг/м3.
.1. Определение скорости движения воздуха v в холодный период года:
.2. Воздухообмен в теплый период года будет происходить не за счет
разности температур воздуха в помещении и наружного воздуха, а в результате
действия ветра v = 3,7 м/с [6].
. Определение площади (м2) нижних вентиляционных
проемов:
где
- коэффициент расхода, зависящий от конструкции створок
нижних проемов и угла их открытия (
).
Минимальная площадь нижнего вентиляционного проема должна обеспечивать
необходимый воздухообмен. Так как в холодный период года при проектировании
вентиляции с естественным побуждением допускается принимать неорганизованный
приток наружного воздуха с кратностью не более K = 1 ч-1 [7], то
. Регулировать количество
поступающего воздуха внутрь помещения следует углом открытия створок нижних
вентиляционных проемов. Так как мы приняли для расчетов среднюю температуру
холодного периода, то и значение коэффициента
также необходимо принять среднее, т.
е.
:
Проверим способность обеспечения необходимого воздухообмена при данной
площади нижнего вентиляционного проема в теплый период года:
Данное значение
находится в допустимых пределах (
), следовательно, площадь нижнего
вентиляционного проема
способно обеспечить воздухообмен
в холодный и теплый периоды года.
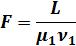
Эффективность работы дефлектора зависит от силы ветра и высоты его
установки над коньком крыши. При ориентировочном подборе дефлекторов определяют
диаметр подводящего патрубка D (в м) и соответствующие ему конструктивные
размеры:
Где
- производительность дефлектора, м3/ч;
- скорость воздуха в патрубке, равная половине скорости
ветра, м/с.
Таким образом, имеем, что система естественной вытяжной вентиляции без
организованного притока воздуха из одного нижнего вентиляционного проема
площадью
и дефлектора с диаметром подводящего
патрубка D1 = 0,21 м и высотой 1 м над уровнем крыши, будет
обеспечивать кратность воздухообмена Кест = 1 ч-1, при
необходимой кратности:
Следовательно, для достижения санитарных норм в помещении насосной
перекачки топлива, кратность воздухообмена, обеспечиваемая вентиляцией с
механическим побуждением, должна быть не менее 15,7 ч-1.
В теплый период года, когда нет необходимости в подогреве приточного
воздуха, целесообразно увеличить кратность воздухообмена, обеспечиваемую
системой вентиляции с естественным побуждением. Сделать это можно за счет
монтажа дополнительных нижних вентиляционных проемов и, соответственно,
дефлектора.
Определяем площадь дополнительных нижних вентиляционных проемов:
Таким образом, в данном помещении необходимо спроектировать дополнительно
два нижнего вентиляционного проема, площадью не менее 0,35 м2.
Рассчитаем диаметр дополнительного дефлектора, при котором будет
обеспечиваться требуемая кратность воздухообмена:
Диаметр патрубков дефлекторов обычно равен 0,2-1,0 м, следовательно,
находится в пределах допустимых норм
[5].
Заключение
Таким образом, в помещение насосной станции по перекачке бензина с
габаритными размерами 10х6х4 м через неплотности аппаратуры и трубопроводы
выделяется 0,28 кг/ч паров бензина. Для обеспечения санитарно-гигиенических
норм, необходимо спроектировать систему вентиляции смешанного вида,
обеспечивающую воздухообмен кратностью 16, 7 ч-1. Необходимую
кратность воздухообмена способна обеспечить система из местной вытяжной,
естественной общеобменной и механической общеобменной вентиляций.
Местная вытяжная вентиляция обеспечит удаление вредных паров бензина из
локальных зон их образования с расходом воздуха 100 м3/ч.
Система вытяжной вентиляции с естественным побуждением (см. Приложение)
обеспечит:
. Неорганизованный приток наружного воздуха с кратностью K = 1 ч-1 в холодный период
года;
. Неорганизованный приток наружного воздуха с кратностью K = 16,7 ч-1 в теплый
период года.
Механическая общеобменная вентиляция обеспечит воздухообмен с кратностью
не менее K = 15,7 ч-1 в холодный
период года, а также предусматривается автоматическое включение периодической
вентиляции от газоанализатора при достижении концентраций паров бензина в
воздухе помещения, превышающих 1 порог загазованности газовоздушной смеси.
Список используемой литературы
. Молчанов
Б. С. Проектирование промышленной вентиляции. - Ленинград: Стройиздат.
Ленинградское отделение, 1970. - 228 с.
. Пособие
по применению НПБ 105-95.
. СНиП
41-01-2003 Отопление, вентиляция и кондиционирование.
. ГОСТ
12.1.005-88.
. Резчиков
Е.А., Ткаченко Ю.Л., Рязанцева А.В. Безопасность жизнедеятельности: учебное
пособие / Под общ. ред. Резчикова Е.А. - М.: МГИУ, 2011. - 416 с.
. СНиП
23-01-99*
. СН
245-71
8.