Проектування системи автоматичного регулювання
Вступ
автоматичний керування датчик
підсилювач
Система керування - систематизований набір
засобів впливу на підконтрольний об'єкт для досягнення цим об'єктом певної
мети. Об'єктом системи керування можуть бути як технічні об'єкти так і люди.
Об'єкт системи керування може складатися з інших об'єктів, які можуть мати
постійну структуру взаємозв'язків.
Під системою автоматичного регулювання (САР)
розуміють сукупність об’єкта керування (робоча машина, механізм або
технологічний процес) та з’єднаних певним чином елементів, взаємодія яких
забезпечує розв’язання поставлених завдань керування.
Основними елементами САР являються:
· Об’єкт регулювання;
· Вимірюючий або чутливий елемент
(датчик);
· Керуючий елемент;
· Виконавчий елемент;
· Регулюючий орган.
Під впливом вхідних сигналів управління або
збурення, змінюються регульовані змінні. Мета ж регулювання полягає у
формуванні таких законів, при яких вихідні регульовані змінні мало відрізнялися
б від необхідних значень. Рішення даної задачі в багатьох випадках ускладнюється
наявністю випадкових збурень, перешкод. При цьому необхідно вибирати такий
закон регулювання, при якому сигнали управління проходили б через систему з
малими спотвореннями, а сигнали шуму практично не пропускалися.
Під математичною моделлю розуміють сукупність
рівнянь та обмежуючих умов, які в кількісній формі визначають залежність
керуємих величин від вхідних величин (клерувальних).

Якщо х=0, то рівняння перетвориться
на характеристичне рівняння системи виду:
При дослідженні САР широко
використовують математичний метод - перетворення Лапласа:
Передаточною функцією називають
відношення вихідної величини зображеної по Лапласу до вхідної величини
зображеної по Лапласу, при цьому вважають, що початкові умови нульові, а t >
0.
Типовими динамічними ланками
називають елементи автоматики, у яких існує певний математичний зв'язок між
вихідними і вхідними величинами.
Розрізняють такі типові динамічні
ланки:
· Підсилювальна;
· Інерційна;
· Коливальна;
· Інтегруюча;
· Диференційна;
· Інтегро-диференційна;
· Ланка запізнення.
Теорія автоматичного регулювання
пройшла значний шлях свого розвитку. На початковому етапі були створені методи
аналізу стійкості, якості і точності регулювання безперервних лінійних систем.
Потім отримали розвиток методи аналізу дискретних і дискретно-безперервних
систем. Можна відзначити, що способи розрахунку безперервних систем базуються на
частотних методах, а розрахунку дискретних і дискретно-безперервних на методах
z-перетворення.
Розрахункова частина
Звичайна лінійна система
автоматичного керування складається з задачника, необхідного для встановлення
потрібного значення регульованого параметра, датчика, що контролює дійсне
значення регульованого параметра, підсилювача (або підсилювачів), призначеного
для збільшення потужності сигналу неузгодженості, виконавчого механізму
(силового елемента), що впливає на регулюючий орган та об’єкта регулювання.
Дана система автоматичного керування
складається з задачника, датчика, виконавчого механізму та об’єкта регулювання.
На підставі заданої системи
автоматичного керування створюємо функціональну схему САР, зазначимо на ній
призначення окремих елементів і покажемо зв'язок між ними.
На підставі принципової схеми САР
складається її функціональна схема регулювання (Рис. 1).
По відомих вхідних і вихідних
величинах кожного елемента за довідником (3) визначаються вирази передаточних
функцій всіх елементів і складається структурна схема САР (Рис. 2)
На підставі даних, що приводяться у
завданні, підраховуються значення динамічних параметрів усіх ланок САР.
Рис. 1. Структурна схема замкненої
САР.
Рис. 2. Схема замкненої САР.
Рис. 3. Перехідна характеристика,
ЛАЧХ та ЛФЧХ замкнутої САР.
Рис. 4. Схема розімкненої САР.
Рис. 5. Перехідна характеристика,
ЛАЧХ та ЛФЧХ розімкненої САР.
Для одноконтурних систем
автоматичного регулювання, що аналізуються у курсовому проекті, усі динамічні
ланки з’єднанні послідовно. У цьому випадку передаточна функція САР у
розімкнутому стані (при обірваному зворотному зв’язку) знаходиться по формулі:
(1);
Тут передаточна функція регулятора:
(2);
Знаходимо передаточну функцію
регулятора:
(3);
Визначається передаточна функція САР
по каналу керуючого впливу в замкнутому стані:
(4);
Виходячи з заданого значення
статизма системи по каналах керування і збурення впливів, визначається
необхідний коефіцієнт підсилення САР, а по ньому знаходиться коефіцієнт
підсилення проміжного підсилювача.
Статизм системи по каналу керуючого
впливу визначається з рівняння:
(6);
а по каналу впливу збурення:
(7);
У цих рівняннях k - коефіцієнт
передачі розімкнутої САР. Він дорівнює добутку коефіцієнтів підсилення
(передачі) усіх динамічних ланок:
(8);
На підставі рівнянь (6) і (7)
визначаються необхідні значення коефіцієнта передачі САР і вибирається більше
значення, тобто k = 32,33.
З рівняння (8) знаходиться
коефіцієнт проміжного підсилювача kпп:
(9);
Методом "Д"-розбиття по
одному параметру необхідно визначити гранично допустиме значення коефіцієнта
підсилення САР. З цією метою знаменник виразу передаточної функції САР у
замкнутому стані прирівнюють до нуля:
(10);
де: Е(р) і D(p) - багаточлени
чисельника і знаменника передаточної функції розімкненої САР.
Рівняння (10) вирішують щодо
коефіцієнт підсилення, замість оператора р в нього підставляють
.
Виділяють дійсну і уявну частини виразу (дійсну частину утворюють парні ступені
,
а уявну - непарні). Задаючись різноманітними значеннями
у
межах від
до
необхідно
заштрихувати ліву сторону кривої. У області максимально штрихування вибирається
точка, що лежить на осі дійсних чисел, на максимальному віддаленні від початку
координат. Значення абсциси цієї точки буде дорівнювати гранично допустимому
коефіцієнту підсилення.
Для приведеної вище системи:
звідки:
підставляючи
одержимо:
отже:
Рис. 6. "Д"-розбиття
Зона стійкості системи знаходиться в
межах від 0 до 200 по вісі абсцис. Коефіцієнт К знаходиться в цій межі, отже
система стійка.
Перевіряємо стійкість по коефіцієнту
Рауса-Гурвіца:
Визначник більше 0, а отже система
стійка.
Після визначення коефіцієнта
підсилення проміжного підсилювача будуються логарифмічні амплітудно-частотні і
фазово-частотні характеристики ланок. Логарифмічна амплітудно-частотна
характеристика (ЛАЧХ) інерційної ланки описується рівнянням:
(11).
У області частот менше
,
де Т- постійна часу ланки, ЛАЧХ являє собою пряму рівнобіжну осі абсцис і
віддалену від неї на відстані
. При більших
частотах, ця характеристика має нахил -20дб/дек.
Рис. 7. ЛАЧХ виконавчого механізму
Рис. 8. ЛФЧХ виконавчого механізму
Рис. 9. ЛАЧХ органу регулювання
Рис. 10. ЛФЧХ органу регулювання
Рис. 11. ЛАЧХ датчика
Рис. 12. ЛФЧХ датчика
Будуються логарифмічні
амплітудно-частотні і фазово-частотні характеристики розімкнутої САР. Для
побудови ЛАЧХ системи необхідно скласти ЛАЧХ окремих ланок з урахуванням їхніх
знаків. Результуюча логарифмічна амплітудно-частотна характеристика буде
уявляти собою ламану лінію, відрізки якої мають різноманітний нахил 0 дб/дк;
-20 дб/дк; -60 дб/дк; +20 дб/дк і т.д.
Рис. 13. ЛАЧХ виконавчого механізму,
органу регулювання, датчика та загальна
Рис. 14. ЛФЧХ виконавчого механізму,
органу регулювання, датчика та загальна
На підставі ЛАЧХ та ЛФЧХ розімкнутої
системи проводиться перевірка САР на усталеність. З цією метою знаходять
частоту ω, при
якій ЛФЧХ перетинає пряму рівнобіжну осі абсцис і віддалену від неї на кут 180°
(-π). Якщо частота зрізу ωзр,
тобто та частота, при якій ЛАЧХ системи перетинає вісь абсцис, виявиться менше ω180,
то
система автоматичного регулювання в замкнутому стані буде стійкою. Якщо ж ωзр>
ω180,
то
САР буде нестійка. Про усталеність САР по логарифмічним характеристикам
розімкнутої САР можна судити і інакше. Якщо частоті ω180
відповідає
позитивне значення ординат ЛАЧХ - система нестійка.
В даному випадку САР стійка, бо ЛАЧХ
системи перетинає вісь абсцис раніше, ніж ЛФЧХ перетинає пряму -180°.
Тривалість перехідного процесу (час
регулювання) підраховується на підставі нерівності:
(12).
Звідси,
Величина перегулювання визначається
запасом усталеності по фазі. Значення останнього залежить від величини кута
при
частоті зрізу. Вважають, що прийнятним є перегулювання при величині кута зрізу
,
що лежить в межах від 20° до 60°.
Перехідний процес САР протікає
достатньо сприятливо в тому випадку, коли нахил результуючої ЛАЧХ при частоті
зрізу дорівнює -20дб/дк. Якщо вихідна ЛАЧХ має нахил середньої частотної
частини -40дб/дк або -60дб/дк, то необхідно зробити корекцію системи. В даному
випадку корекція не потрібна.
Корекція САР може бути здійснена
двома шляхами - ввімкненням коригувальної ланки послідовно в ланцюг регулювання
або у вигляді зворотного зв’язку, що охоплює одну або декілька ланок. У
курсовому проекті я буду використовувати послідовну корекцію. Для знаходження
типу коригувальної ланки необхідно побудувати бажану і початкову ЛАЧХ системи і
відняти від першої другу. По різниці ЛАЧХ визначається тип коригувальної ланки
і знаходяться її параметри.
Бажана ЛАЧХ будується у такий
спосіб:
а) виходячи з припустимого розміру
перерегулювання ψ і
необхідної тривалості перехідного процесу tп.п. визначається частота зрізу ωзр.
Скоригованої ЛАЧХ:
(13);
тут К0 - коефіцієнт, значення якого
визначається припустимим перерегулюванням. Розмір К0 визначається з графіка,
приведеного на рис. 15.
Рис. 15. Графік для визначення
коефіцієнта К0 за допустимим перерегулюванням
К0=2,2.
б) через точку з координатами L(ω)
= 0 і ω = ωзр..
Проводиться пряма з нахилом -20 дб/дк. Ця пряма являє собою середньо частотну
частину скоригованої ЛАЧХ. Середньо частотна частина повинна розташовуватися в
інтервалі частот, що сполучають, ωзр1
і ωзр2. розмір ωзр1
вибирається з умови, щоб Θ(ωзр1)
> 40°. Частота ωзр2
вибирається з умови L(ωзр2)
= L2 визначається з графіка (рис. 16), у залежності від припустимого розміру
перерегулювання.
Рис. 16. Графік для вибору величини
L2(ω) по припустимому
перерегулюванню
З кінця середньо частотної ЛАЧХ, при
частоті ωзр1
проводиться пряма з нахилом -40 дб/дк або -60 дб/дк, до перетину її з
низькочастотною ділянкою ЛАЧХ (вихідної системи). Через точку (L2;
ωзр2) проводиться вправо пряма з нахилом -40
дб/дк або -60 дб/дк. Ця пряма є високочастотною частиною ЛЧХ скоригованої
(бажаної) системи. Нахил ЛАЧХ у цій області частот (із метою спрощення виду
коригувальної ланки) доцільно приймати таким же як і у вихідної САР.
Визначається логарифмічно
амплітудно-частотна характеристика коригувального пристрою на підставі
рівняння:
(14).
Віднімаючи з ординат бажаної ЛАЧХ
ординати вихідної ЛАЧХ (визначених при тих самих частотах) визначають значення
ЛАЧХ коригувальної ланки при цих же частотах і будують характеристику. По виду
останньої визначають тип коригувальної ланки і її передаточну функцію W(p).
По виду моєї ЛАЧХ коригувального
пристрою визначили, що достатньо однієї коригувальної інтегро-диференційної
ланки з передаточною функцією у такому вигляді:
(15)
Визначаємо постійні часу і
коефіцієнт передачі, а по ним підраховуються розміри опорів і ємностей
коригувального пристрою.
Коефіцієнт передачі:
Постійні часу:
В коректуючої ланки переважають
інтегральні властивості (Т1 < T2).
Принципіальна електрична схема
інтегро-диференційної ланки приведена на рис. 17:
Рис. 17. Принципова електрична схема
інтегро-диференційної ланки.
- передаточна
функція інтегродиференційної ланки.
Приймаємо:
. Тоді:
,
а
.
Рис. 18. ЛАЧХ коректуючої ланки
Рис. 19. ЛФЧХ коректуючої ланки
Намічаємо місце вмикання коректуючої
ланки:
Рис. 20. Структурна схема
скоректованої розімкнутої САР.
Рис. 21. Перехідний процес, ЛАЧХ та
ЛФЧХ скоректованої розімкнутої САР.
Рис. 22. Структурна схема
скоректованої замкнутої САР.
Рис. 23. Перехідний процес, ЛАЧХ та
ЛФЧХ скоректованої замкнутої САР.
Визначається передаточна функція
скоригованої САР у розімкнутому стані.
(16)
Визначається передаточна функція
скоригованої САР у замкнутому стані.
(17)
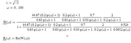
Визначається частотна функція W(jω)
скоригованої
САР у замкнутому стані.
Рис. 24. ДЧХ системи.
Рис. 25. Розбиття ДЧХ системи на
трапеції.
Площа, укладена між кривою Rз(ω)
і осями координат подається у вигляді алгебраїчної суми декількох типових
трапецій. В даному випадку їх три: ABEK, ABD, OMEK.
Для всіх елементарних трапецій
знаходяться значення ω0, ω1 і
коефіцієнт нахилу
|
Rз
|
ω0
|
ω1
|
К
|
|
2,5
|
33
|
8
|
0,24
|
|
-0,1
|
8
|
0
|
0
|
|
-0,45
|
110
|
33
|
0,3
|
Знаходимо значення h-функцій для
визначених значень щодо часу τ.
Перемножуючи значення h(τ)
на
значення Rз(0) знаходять значення ординат перехідного процесу.
(18)
Визначають дійсні інтервали часу
перехідного процесу.
(19).
|
ABEK
|
ABD
|
OMEK
|
|
τ
|
hr
|
t
|
y(t)
|
hr
|
t
|
y(t)
|
τ
|
hr
|
t
|
y(t)
|
|
0
|
0
|
0
|
0
|
0
|
0
|
0
|
0
|
0
|
0
|
0
|
0
|
|
1
|
0,386
|
0,030303
|
0,965
|
1
|
0,31
|
0,125
|
-0,031
|
1
|
0,301
|
0,009091
|
-0,13545
|
|
2,5
|
0,833
|
0,075758
|
2,0825
|
2,5
|
0,674
|
0,3125
|
-0,0674
|
2,5
|
0,862
|
0,022727
|
-0,3879
|
|
4
|
1,039
|
0,121212
|
2,5975
|
4
|
0,857
|
0,5
|
-0,0857
|
4
|
1,06
|
0,036364
|
-0,477
|
|
5
|
1,057
|
0,151515
|
2,6425
|
5
|
0,896
|
0,625
|
-0,0896
|
5
|
1,087
|
0,045455
|
-0,48915
|
|
5,5
|
1,067
|
0,166667
|
5,5
|
0,9
|
0,6875
|
-0,09
|
5,5
|
1,083
|
0,05
|
-0,48735
|
|
6
|
1,054
|
0,181818
|
2,635
|
6
|
0,903
|
0,75
|
-0,0903
|
6
|
1,085
|
0,054545
|
-0,48825
|
|
8,5
|
1,022
|
0,257576
|
2,555
|
8,5
|
0,918
|
1,0625
|
-0,0918
|
6,5
|
1,05
|
0,059091
|
-0,4725
|
|
9
|
1,025
|
0,272727
|
2,5625
|
9
|
0,924
|
1,125
|
-0,0924
|
9
|
1,018
|
0,081818
|
-0,4581
|
|
10,5
|
1,028
|
0,318182
|
2,57
|
10,5
|
0,946
|
1,3125
|
-0,0946
|
10
|
1,019
|
0,090909
|
-0,45855
|
|
11
|
1,025
|
0,333333
|
2,5625
|
11
|
0,947
|
1,375
|
-0,0947
|
10,5
|
1,017
|
0,095455
|
-0,45765
|
|
13,5
|
1
|
2,5
|
13,5
|
0,95
|
1,6875
|
-0,095
|
13,5
|
0,99
|
0,122727
|
-0,4455
|
|
18
|
0,995
|
0,545455
|
2,4875
|
18
|
0,966
|
2,25
|
-0,0966
|
14
|
0,998
|
0,127273
|
-0,4491
|
|
20,5
|
0,991
|
0,621212
|
2,4775
|
20,5
|
0,968
|
2,5625
|
-0,0968
|
14,5
|
0,987
|
0,131818
|
-0,44415
|
|
21
|
0,992
|
0,636364
|
2,48
|
21
|
0,968
|
2,625
|
-0,0968
|
18
|
0,995
|
0,163636
|
-0,44775
|
|
23,5
|
0,998
|
0,712121
|
2,495
|
23,5
|
0,975
|
2,9375
|
-0,0975
|
25
|
1,005
|
0,227273
|
-0,45225
|
|
26
|
0,996
|
0,787879
|
2,49
|
26
|
0,975
|
3,25
|
-0,0975
|
26
|
1,004
|
0,236364
|
-0,4518
|
На підставі рівнянь (18) і (19)
будують криві перехідних процесів для кожної із типових трапецій.
Рис. 26. Перехідний процес трапеції
ABEK.
Рис. 27. Перехідний процес трапеції
ABD.
Рис. 28. Перехідний процес трапеції
OMEK.
Рис. 29. Перехідні процеси всіх
трапецій та сумарний перехідний процес.
По кривій перехідного процесу
графічно необхідно визначити показники якості процесу регулювання.
1) Перегулювання:
- по завданню 30%.
2) Коливальність: відсутня.
3) Час регулювання: 0,32с - по
завданню 0,40с.
) Абсолютна похибка:
5) Запас по фазі: 60°.
6) Запас по амплітуді: 40 дБ.
Висновок
В ході даної курсової роботи ми
досягли, шляхом додавання двух інтегро-диференційних ланок та однієї
підсилювальної ланки, стійкої системи автоматичного регулювання з такими
показниками якості:
1) Перегулювання: 15,79% - по
завданню 30%.
2) Коливальність: відсутня.
) Час регулювання: 0,32с - по
завданню 0,40 с.
) Абсолютна похибка: 9,5%.
) Запас по фазі: 60°.
) Запас по амплітуді: 40 дБ.
Таким чином, отримана система цілком
задовольняє вимоги, які представлені у курсовому проекті.
Список використаної літератури
1. Ужеловський
В.О., Бровченко К.А., Ужеловський А.В. Методичні вказівки до виконання
курсового проекту по дисципліні "Теорія автоматичного керування" для
студентів спеціальності 6.050202. - м. Дніпропетровськ: ПДАБА, 2010р. - 53 с.
2. Герман-Галкін
С.Г. Комп’ютерне моделювання напівпровідникових систем в MATLAB 6.0. Навчальний
посібник - СПб: Корона принт., 2001 р. - 320 с.
. Єгоров
К.В. Основи теорії регулювання. М.: Енергія, 1967 р. - 648с.
. Клюєв
А.С. автоматичне регулювання. М.: Енергія, 1973.