Достатні умови керованості динамічної системи
Достатні умови
керованості динамічної системи
1. Сутність та математична постановка задач
пошуку достатніх умов повної керованості в лінійних стаціонарних динамічних
системах керування
.1 Лінійні стаціонарні математичні моделі
керування динамічними системами в теорії систем автоматичного регулювання
Теорія автоматичного керування (ТАУ) - це наукова
дисципліна, що вивчає процеси автоматичного керування об'єктами різної фізичної
природи. При цьому за допомогою математичних засобів виявляються властивості
систем автоматичного керування й розробляються рекомендації з їхнього
проектування [59].
Теорія лінійних стаціонарних систем - це розділ
теорії динамічних систем, що вивчає поводження й динамічні властивості лінійних
стаціонарних систем (ЛСС). Широко використовується в процесі керування
технічними системами, цифровій обробці сигналів і інших областей інженерної
справи [52].
Визначальними властивостями для будь-якої
лінійної стаціонарної системи є лінійність і стаціонарність [49]:
. Лінійність означає, що зв'язок між входом і
виходом системи задовольняє наступній властивості: якщо сигнал на вході системи
(вплив) -
(t) = A·x1(t) + B·x2(t)
(1.1.1)
тоді сигнал на виході системи (реакція) -
(t) = A·y1(t) + B·y2(t)
(1.1.2)
для будь-яких постійних A і B, де yi(t)
- вихід системи як реакція на вхідний сигнал (вплив) xi(t).
. Стаціонарність - означає, що вихідний сигнал
системи як реакція на будь-який заданий вхідний сигнал однаковий для будь-якого
моменту надходження вхідного сигналу (з точністю до часу запізнювання моменту
надходження вхідного сигналу). У більше вузькому змісті - при запізнюванні
вхідного сигналу за часом на деяку величину, вихідний сигнал буде запізнюватися
на ту ж саму величину.
Теорія ЛСС добре підходить для опису багатьох
систем, таких як лінійні управляємі динамічні об’єкти. Більшість ЛСС набагато
простіше аналізувати, чим нестаціонарні й нелінійні системи. Будь-яка система,
динаміка якої описується лінійним диференціальним рівнянням з постійними
коефіцієнтами, є лінійною стаціонарною системою.
В якості прикладів проаналізуємо управляємі об’єкти, стан
яких в кожний момент часу
характеризується набором величин
. Ці величини визначають як фазові
координати об’єкта. Управління об’єктом здійснюється за допомогою впливів
, які будемо визначати як параметри
керування об’єктом. Приймаємо, що зміна фазових координат у часі описується
системою звичайних лінійних диференційних рівнянь виду [40]:
(1.1.3)
де
- відомі нерепервні функції часу.
Система диференційних рівнянь (1.1.3) допускає векторно -
матричний запис у вигляді:
(1.1.4)
де позначення матриць наступне
;
;
;
;
.
Вектори
та
називаються фазовим вектором та вектором
параметрів керування об’єктом, відповідно.
Система диференційних рівнянь (1.1.3), або її
векторно-матрична форма (1.1.4), є математичною моделлю реального керуємого
фізичного об’єкту. В подальшому цю математичну модель будемо називати лінійним
керуємим динамічним об’єктом (ЛКДО).
При дослідженнях за допомогою спостережень
керована динамічна система ЛКДО, як правило, описується системою
диференціальних рівнянь (1.1.3), яку можна представити у вигляді [40]:
, (1.1.5)
а спостереження за ЛКДО можна записати так
(1.1.6)
Поняття керування можна розуміти расширенно, включаючи в
нього будь-які впливи на динамічну систему, у тому числі й зовнішній перешкоді q(t).
Шуми спостережень, як правило, входять аддитивно, тому замість (1.1.6) варто
записати
(1.1.7)
Задача оцінювання вектора стану (наближене визначення за
даними спостережень), тобто рішення системи рівнянь (1.1.7) відносно
навіть із залученням рівнянь динамічної
системи (1.1.5) не завжди має однозначне рішення.
Теоретичне обґрунтування критеріїв спостережуваності й
керованості є фундаментальною проблемою в теорії динамічних систем.
Перепишемо векторно-матричну форму (1.1.4) у вигляді (без
):
(1.1.8)
де А(t) - відома матриця динамічної системи розміру п*п,
В(t) - прямокутна вхідна матриця для сигналу управління розміру п х l.
Векторно-матричне рівняння (1.1.8) може бути розписане в
такий спосіб
(1.1.9)
де
- елементи матриць А і В. Якщо
ці коефіцієнти - постійні величини, то система називається стаціонарною
(інваріантної), у противному випадку - нестаціонарною [35].
Введемо позначення для оператора диференціювання
тоді диференціальне рівняння (1.1.9)
можна переписати так [35]:
(1.1.10)
Помножимо формально обидві частини рівності (1.1.10) на
обернену матрицю 
(1.1.11)
Отримане «рішення» системи диференціальних рівнянь не що
інше, як операторний запис цієї системи. Матрицю
можна назвати оператором лінійної системи стосовно вхідного
векторного сигналу
. Вихідною змінною динамічної системи
варто вважати вектор спостережень
, (1.1.12)
де H(t) - відома прямокутна матриця розміру (т х п),
яку можна вважати вихідною матрицею.
Визначимо зв'язок між вхідним сигналом (керуванням і)
і вихідним сигналом (спостереженням z) [35]:
(1.1.13)
Для стаціонарної системи вхідна й вихідна матриці мають
постійні елементи. Ігноруючи поки шуми спостережень (r(t)=0), для
стаціонарної системи буєм мати
. (1.1.14)
Матричний оператор виду
, (1.1.15)
який встановлює зв'язок між вхідним і вихідним сигналами,
називають передатною функцією [35].
Для подальшого формулювання підходу структурного аналіза
управляємих динамічних систем використаємо приклад математичні моделі трьох
систем і структурну схему, що представляє собою з'єднання цих систем. Необхідно
[43]:
- одержати модель результуючої
системи в просторі станів,
- досліджувати
спостережуваність і керованість трьох підсистем окремо, і загальної системи.
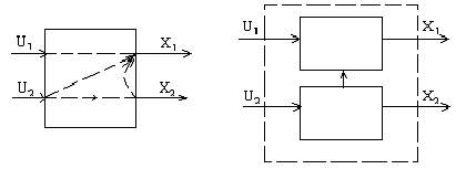
Багатомірні системи, на відміну від одномірних
мають кілька входів і кілька виходів.
Для опису таких систем використовуються три
набори параметрів (три вектори), див. рис. 1.1:
. вектор вхідних впливів (керувань) U;
. вектор змінних станів X;
. вектор вихідних параметрів Y.
Рис. 1.1. Схема прикладів досліджуємих
багатомірних систем [43]
Широке поширення, обумовлене розробленим
математичним апаратом, одержали лінійні моделі багатомірних систем у просторі
станів, які мають вигляд:
(1.1.16)
перше співвідношення називається рівнянням стану,
друге - рівнянням виходу.
Тут:= (x1, x2, …, xn)
- вектор змінних станів;= (u1, u2, …, ur) -
вектор керувань;= (y1, y2, …, ym) - вектор
вимірюваних параметрів;- час;(t), B(t), C(t) - матриці розмірності (n*n), (n*
r), (m* n) відповідно.
Передбачається, що відомо початкові стани x(t0)
= x0, де t0 - початковий момент часу.
Якщо структура матриць A(t), B(t), C(t) не
залежить від часу t, то система називається стаціонарною.
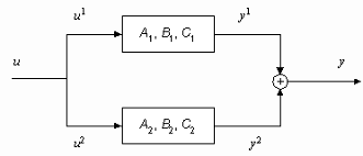
Розглянемо задачі з'єднання двох підсистем у
систему. При з'єднанні можливі три варіанти (рис. 1.2): паралельне (а),
послідовне (б) і у зворотному зв'язку (в). Передбачається, що обидві системи
описуються в просторі станів співвідношеннями [43]:
(1.1.17)
(1.1.18)
де x1, u1, y1 -
вектори станів, керувань, виходів першої системи, x2, u2,
y2 - другої.
Необхідно по відомих матрицях A1, B1,
C1 та A2, B2, C2 одержати матриці
A, B, C (рис. 1.2г).
Рис. 1.2. З'єднання двох систем [43]
. Паралельне з'єднання
Запишемо рівняння системи, з урахуванням особливостей
з'єднання, зазначених на рис. 1.2а.
(1.1.19)
звідси
(1.1.20)
Остаточно матриці паралельного з'єднання мають вигляд -
(1.1.21)
2. Послідовне з'єднання -
(1.1.22)
у матричному виді -
(1.1.23)
остаточно, маємо матриці послідовного з'єднання
(1.1.24)
(1.1.25)
у матричному виді -
(1.1.26)
Отже, остаточно, маємо матриці з'єднання зворотного зв’язку
(1.1.27)
1.2 Представлення систем диференційних рівнянь
управління в просторі станів
Чим більш складним є об’єкт, тим більша кількість
змінних характеризує його стан. Прийнято називати такий набір змінних вектором
стану об’єкта та записувати його у матричному вигляді [20]:
(1.2.1)
де
- мірний вектор стану об’єкта з проекціями
розмірність об’єкта (простору його
стану).
Проекції
приймаються як координати деякого
мірного простору, який позначають як простір станів об’єкту. В
просторі стану по аналогії з трьохмірним легко уявити собі перехід об’єкта в
новий стан як зміну його
мірних координат. Стан системи в момент
часу
визначає певний набір даних про
поводження системи на інтервалі часу
(зміна
- мірний вектору стану об’єкта з
проекціями
), це внутрішня характеристика системи,
значення якої в даний момент часу визначає поточне значення вектору вихідної
величини
- мірний вектор виходу об’єкта з
проекціями
в залежності від вхідного вектору
управління
- мірний вектор входу (вхідних сигналів
управління) об’єкта з проекціями
Представлення про стан системи пов'язується із широким
колом показників і характеристик, які визначають її функціонування і реакції на
різні зовнішні впливи. Стан системи - точно визначена умова чи властивість, яка
може бути пізнана, чи повторена знову. Звичайно при канонічному представленні
системи її стан визначається як найменший набір функцій, який необхідно задати
в даний момент часу, щоб можна було в рамках математичного опису системи
передбачити її поводження в будь-який майбутній момент часу.
Простір станів - у теорії керування один з основних методів
опису поводження динамічної системи. Рух системи в просторі станів відбиває
зміна її станів.
У просторі станів створюється модель динамічної
системи, що включає набір змінних входу, виходу й стану, зв'язаних між собою
диференціальними рівняннями першого порядку, які записуються в матричній формі.
На відміну від опису у вигляді передатної функції й інших методів частотної
області, простір станів дозволяє працювати не тільки з лінійними системами й
нульовими початковими умовами [15].
Однією з найбільш наочних та маючих системне
значення форм опису руху об’єкта управління є система диференціальних рівнянь
Коши в матричній формі [7]:
(1.2.2)
де
- мірний вектор стану об’єкта з проекціями
розмірність об’єкта (простору його
стану);
- мірний вектор входу (вхідних сигналів управління) об’єкта з
проекціями
- скалярний елемент, в якості якого розглядається час;
- мірний вектор збурюючих зовнішніх впливів на систему (вхідних
сигналів) об’єкта з проекціями
, де
- не залежить ні від
, ні від
.
Вектор - функція в правій частині рівняння Коши представляє
собою закони руху об’єкта (принципово важливо щоб кількість рівнянь
в рівнянні (1.2.3) співпадало з
розмірністю вектору стану Х) [7]:
(1.2.3)
Інтегральна форма рівнянь систем управління. Інтегральне
векторно-матричне рівняння безпосередньо витікає з рівняння Коши (1.2.2), якщо
його записати в формі безкінечно малого прирощення (диференціала) стану
(1.2.4)
Це дозволяє перейти до конечного стану
шляхом вирахування інтеграла за всю
історію процесу або на певному проміжку від попереднього стану
[7]:
;
(1.2.5)
Таким чином, на відміну від диференціальної форми (1.2.2)
інтегральна форма рівняння руху об’єкта (1.2.5) характеризує залежність його
поточного стану від передісторії процесу.
Керованість - одне з найважливіших властивостей системи
керування й об'єкта керування, що описує можливість перевести систему з одного
стану в ін.-ший. Одними з найважливіших задач теорії керування є дослідження
керованості й спостережуваності динамічних систем [5].
Стаціонарна лінійна система називається цілком
керованою, якщо вибором керуючого впливу u(t) на інтервалі часу [t0,
t1] можна перевести систему з будь-якого початкового стану х(t0)
у довільне заздалегідь заданий кінцевий стан х(t1).
Система називається повністю керованою, якщо все компоненти
її вектора станів керовані.
Стаціонарна лінійна система називається цілком
спостережуваною, якщо по реакції y(t1) на виході системи на
інтервалі часу [t0, t1] при заданому керуючому впливі
u(t) можна визначити початковий стан х(t0).
Одними із загальновизнаних методів визначення критеріїв
керованості та спостережуваності лінійних динамічних систем прийнято вважати
ранговий метод Р. Калмана [19].
. Критерій керованості лінійних систем.
Для лінійних систем існує критерій керованості в просторі
станів. Нехай поводження динамічної системи описується системою звичайних
диференціальних рівнянь Коши (1.2.2) у матричній формі
з матричним рівнянням спостереження
(виходу) у вигляді системи
(1.2.6)
де
- квадратна матриця («матриця системи»)
постійних коефіцієнтів стану розміром
при «векторі стану»
- розмірності
;
- прямоугольна матриця («матриця входу») постійних коефіцієнтів
функції входу управління розміром
при «векторі управління»
розмірності
.
- прямоугольна матриця («матриця керування») постійних
коефіцієнтів функції керування виходу розміром
при «векторі виходу»
розмірності
.
- прямоугольна матриця («наскрізна матриця оберненого зв’язку
керування») постійних коефіцієнтів функції керування виходу розміром
при «векторі управління»
розмірності
.
;
Для системи (1.2.6) можна скласти матрицю
керованості (контекація блоків додатків матриць):
(1.2.7)
Відповідно до критерію керованості, якщо ранг матриці
керованості
дорівнює
, система є повністю керованою.
(1.2.8)
. Критерій спостережуваності лінійних систем. Для того щоб
система (1.2.6) була цілком спостережуваною, необхідно й досить, щоб ранг
матриці спостережуваності
(транспонований вигляд контекації блоків
додатків матриць):
(1.2.9)
дорівнював розмірності вектора стану:MY = n.
(1.2.10)
У теорії керування спостережуваність є
властивістю системи, що показує, чи можна по виходу повністю відновити
інформацію про стани системи.
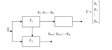
Розглянемо проблему керованості й спостережності
на якісному прикладі, запропонованому Дж. Медич (в роботі [34]).
Нехай динамічна система описується вектором стану Q,
вектором входів Xі, вектором виходів Y. Схема системи подана на рис. 1.2.1, де
Y - вектор, компонен-тами якого є перші k компоненти вектора стану [
].
Рис. 1.2.1. Схема системи, що не спостерігається,
але керована
Зі структури системи ясно, що значення інших компонентів
вектора стану [
] не можна визначити на основі наявних
відомостей про вихідний вектор Y, тому що ці перемінні не впливають на
компоненти [
] і не включені до складу вектора, Y, який
спостерігають. Отже, система не є тією, що спостерігається. Але якщо X впливає
на всі перемінні стани Q, система є керованою.
Аналогічно система, показана на рис. 1.2.2, буде тією, що
спостерігається, але не керована, тому що сигнал X впливає тільки на змінні [
], а на змінні [
] - ззовні впливати не можна.
Рис. 1.2. 2. Схема системи, що спостерігається,
але некерована
Враховуючи викладене, всі системи можна розділити
на такі чотири категорії: що спостерігаються і керовані; що спостерігаються але
некеровані; що не спостерігаються, але керовані; що не спостерігаються і
некеровані.
Поняття керованості й спостережності мають
принципове значення при дослідженні систем будь-якої природи. Неврахування
некерованості і неспостережності може привести до помилкових висновків.
.3 Огляд історії та сучасних математичних
підходів до вирішення проблем керованості та спостережуваності лінійних
динамічних систем керування
З самого початку розвитку теорії управління
багато уваги приділялось дослідженню лінійних керованих систем з постійними
коефіцієнтами. Лінійні управляємі системи з постійними коефіцієнтами звичайно
задаються системами лінійних диференціальних рівнянь виду [55]:
(1.3.1)
де
- квадратна матриця постійних
коефіцієнтів стану розміром
;
- прямоугольна матриця постійних коефіцієнтів функції управління
розміром
.
Клас лінійних керованих систем з постійними коефіцієнтами є
єдиний, для якого практично всі питання теорії управління піддаються загальному
аналізу в теорії керованості.
Множина всіх точок простору
, які можна перевести в точку 0 за час
називаються множиною 0-керованості
системи (1.3.1) за час
та позначається як
. Множина всіх точок простору
, в які можна перевести точку 0 за час
називаються множиною 0-досягаємості
системи (1.3.1) за час
та позначається як
.
Звичайно вони представляються інтегралами від багатозначних
відображень
(1.3.2)
Історично зформувався ряд загальних задач теорії
керованості та досяжності динамічних систем [56]:
1. Задача миттєвої 0-керованості.
При яких умовах множина
2. Задача повної керованості.
При яких умовах існує кінечний проміжок часу
, для якого множина
Якщо система (1.3.1) повністю керована,
то як вирахувати нижню грань (момент повної керованості)
моментів часу
, для яких
. Задача глобальної 0-керованості.
При яких умовах
. Задача локальної миттєвої 0-керованості.
При яких умовах множина
містить околицю точки
. Задача локальної 0-керованості.
При яких умовах існує такий момент часу
, що множина
включає околицю точки
Якщо система (1.3.1) локально 0-керована,
то як вирахувати момент локальної 0-керованості
(нижню грань моментів часу
, для яких
включає околицю точки 0)?
Всі перераховані задачі та їх аналоги для множин досяжності
є спеціалізація ми загальної проблеми опису еволюції множин керованості та
досяжності системи (1.3.1) при змінах параметра
в інтервалі
. Існує багато наукових робіт, в яких
досліджувались з різних сторін ці задачі. Виокремимо серед них найбільш
значимі.
. У 1958 році Р.В. Гамкрелідзе [8] у важливому випадку
систем виду (1.3.1), коли замість умови (
) виконується часткова умова (
):
(1.3.3)
. У 1959 році критерій повної керованості для систем виду
(1.3.1) з умовою (
) дав Л.С. Понтрягін [48].
. У 1961 році R.E. Kalman [71] навів багато прикладів
критеріям повної керованості системи виду (1.3.1) з
та поклав його в основу теорії
керованості та спостережуваності, після чого цей критерій отримав назву
критерію Калмана.
. В 1972 році D.F. Brammer [67] надав повні рішення задачі
локальної
-керованості систем виду (1.3.1) та довів критерій повної
керованості системи виду (1.3.1) з деякими множинами обмежень керованості.
. В 1978 році Ю.М. Семенов [54] отримав найбільш повне
розв’язання задачі глобальної 0-керованості, яке увійшло в кандидатську
дисертацію автора.
. В 1982 році R.M. Bianchini навів розв’язання задачі миттєвої
0-керованості в загальному випадку [68].
. В 1990 році Ю.М. Семенов довів теорему [55], в якій
описав межу множин керованості при
, наслідками якої є і критерій Калмана і теорема R.M. Bianchini.
Здавалось би, що в теорії керованості лінійних керуємих
систем з постійними коефіцієнтами більше не залишилось невирішених задач. Але,
серед вищенаведених вирішених задач для систем виду (1.3.1), залишилась
невирішеною в загальному випадку задача повної керованості, яка була важлива з
теоретичної точки зору. Залишились зовсім недослідженими задачі вирахування
момента локальної 0-керованості
(задача №5) та моменту повної керованості
(задача №2) для систем виду (1.3.1).
Належить також відмітити, що теорія керованості та
досяжності систем виду (1.3.1) складається на даний час з мало пов’язаних між
собою фрагментів та не має загальної форми, в якій доведення всіх теорем мають
чітко визначені загальні основи [7].
Для аналізу сучасного підходу до розв’язання проблеми
керованості та спостережуваності лінійних динамічних систем розглянемо систему
(1.2.6), проаналізовану в роботі [5] у вигляді (без функції
).
Позначимо через
розв’язок системи (1.2.6) при початковій умові
під дією керування
. Для системи типу (1.2.6) визначений
типовий ряд понять і визначень, які характеризують внутрішні властивості
динамічних систем. До таких властивостей можна віднести керованість,
спостережуваність, ідентифікуємість, функціональну відтворюваність, поточечну
відтворюваність і т.д. Наявність зазначених властивостей дозволяє одержувати
розв’язок задач, які висуває практика. У силу цього, внутрішні властивості
динамічних систем керування важливі для дослідження.
У роботах [5, 7, 19] було введене визначення терміну
«спостережуваність системи» (1.2.6).
Визначення 1. Система (1.2.6) називається спостережуваною,
якщо по відомій функції
на деякому проміжку
й з використанням рівнянь (1.2.6) можна
знайти вектор-функції
Теорема. Для спостережуваності стаціонарної системи (1.2.6)
необхідно й достатньо, щоб ранг матриці
дорівнював
[19,71], тобто
(1.3.4)
Доведення. Продиференцируємо
раз співвідношення (1.2.6)
(1.3.5)
де
прямокутна матриця розміром
.
Для існування розв’язка даної системи щодо вектора
досить, щоб ранг матриці
рівнявся 
. Але ранг цієї матриці дорівнює рангу сполученої матриці
. Теорема доведена.
Однак, при доведення і цієї теореми не були враховані
властивості алгебраїчних систем рівнянь із прямокутною матрицею. Для такого
роду систем справедлива наступна теорема.
Теорема Кронекера - Капеллі. Система
лінійних алгебраїчних рівнянь із
невідомими [5]
(1.3.6)
має рішення в тім і тільки в тому випадку, якщо ранг
матриці
й ранг розширеної матриці збігаються.
Зокрема [34]:
кількість головних змінних системи дорівнює рангу матриці
системи;.
спільна система буде визначена (її рішення єдине), якщо
ранг матриці системи дорівнює числу всіх її змінних.
Приклад 1. Розглянемо диференціальне рівняння руху,
наведене в роботі [34]:
(1.3.7)
(1.3.8)
Визначимо матрицю
в цьому випадку:
(1.3.9)
Визначимо ранг матриці
(1.3.9) з врахуванням наступних теоретичних викладень [53].
Нехай задана будь-яка матриця А с m рядків і n стовпців.
Рангом системи рядків (стовпців) матриці А називається максимальне число
лінійно незалежних рядків(стовпців). Кілька рядків (стовпців) називаються
лінійно-незалежними, якщо жодна з них не виражається лінійно через інші. Ранг
системи рядків завжди дорівнює рангу системи стовпців і це число називається
рангом матриці.
Ранг матриці - це найвищий з порядків мінорів цієї матриці,
відмінних від нуля. Ранг матриці дорівнює найбільшому числу лінійно незалежних
рядків (або стовпців) матриці. Звичайно ранг матриці A позначається rang A (rg
A) або rank A.
Якщо ранг матриці А дорівнює r, то це означає, що в матриці
А є відмінний від нуля мінор порядку r, але всякий мінор порядку, більшого чим
r, дорівнює нулю. Для обчислення рангу матриці застосуємо метод елементарних
перетворень. Елементарними називаються наступні перетворення матриці:
1) перестановка двох будь-яких рядків (або
стовпців),
) множення рядка (або стовпця) на відмінне від
нуля число,
) додаток до одного рядка (або стовпцю) іншого
рядка (або стовпця), помноженої на деяке число.
Дві матриці називаються еквівалентними, якщо одна з них
виходить із іншої за допомогою кінцевої множини елементарних перетворень.
Еквівалентні матриці не є, загалом кажучи, рівними, але їхні ранги рівні. Якщо
матриці А и В еквівалентні, то це записується так: A 
B:
а) Властивості
Теорема (про базисний мінор): Нехай r = rang A, M
- базисний мінор матриці A, тоді:
базисні рядки й базисні стовпці лінійно
незалежні;
будь-який рядок (стовпець) матриці A є лінійна
комбінація базисних рядків (стовпців).
б) Наслідки:
якщо ранг матриці дорівнює r, то будь-які p: де p
> r рядків або стовпців цієї матриці будуть лінійно залежні;
нехай r = rang A, тоді максимальна кількість
лінійно незалежних рядків (стовпців) цієї матриці дорівнює r.
Рис. 1.3.1. Приклад визначення ранга матриці в
(1.3.8) і її базового мінора методом елементарних перетворень в загальному
(нечисельному вигляді) за 3 кроки
Рис. 1.3.2. Визначення ранга матриці
(1.3.10) методом елементарних перетворень
в загальному (нечисельному вигляді) за 7 кроків перетворень
На рис. 1.3.2. наведені графоаналітичні результати
визначення ранга матриці
методом елементарних перетворень в
загальному (нечисельному вигляді) за 7 кроків перетворень (послідовна
перестановка строк та стовбців матриці). Як показує результат перестановок,
ранг матриці S6 за розміром базисного мінору (відмічений жовтим кольором)
дорівнює 6.
Таким чином, згідно результатів розрахунків, наведених на
рис. 1.3.2, ранг матриці
дорівнює rang =6, тобто в матриці
(1.3.10), яка має 6 строк та 12 стовп-ців існують тільки 6 незалежних стовпців,
які можна аналізувати окремо у вигляді вибірок квадратних матриць 6х6.
Вибираючи шість лінійно незалежних стовпців (2-й, 3-й,…
7-й), із системи (1.3.9), згідно розрахункам роботи [34], отримуємо:

(1.3.10)
Вибираючи інші шість лінійно незалежних стовпців (1-й, 2-й,
3-й, 4-й, 5-й, 7-й), із системи (1.3.9), згідно розрахункам роботи [34],
одержуємо:
(1.3.11)
Висновок: Система (1.2.6) спостерігається, якщо матриця
квадратна розміром
і якщо ранг її дорівнює
. Такий випадок можливий тільки, коли
матриця
має розмір
.
Якщо відмовитися від поняття «рангового критерію
спостережуваності», тоді можна сформулювати, що система (1.2.6) буде
спостережувана, якщо матриця
квадратна розміром
і неособлива.
Помітимо, що спосіб одержання невідомої вектор - функції
через вектор-функцію
і її похідні до
- го порядку (із системи (1.3.5)) є
спірним, тому що вектор-функції
отримана в результаті вимірів, тобто з похибками.
У роботах [32, 33, 34] було уведено поняття керованості
системи (1.2.6).
Визначення 2. Система (1.2.6) називається цілком керованою,
якщо для будь-яких
і будь-яких початковому й кінцевому
положеннях системи (1.2.6)
існує вектор-функція
при якій розв’язок рівнянь (1.2.6) задовольняє умові
(1.3.12)
Теорема. Для цілком керованості стаціонарної системи
(1.2.6) необхідно й досить, щоб ранг матриці
був дорівнює
[32, 33, 34, 4] тобто
(1.3.13)
Приклад. Для системи (1.3.7) матриця
представлена в вигляді (1.3.9). Перші
шість стовпців є лінійно незалежними, оскільки розрахований ранг матриці
(1.3.9) дорівнює 6. Однак, 1-й, 2-й, 2-й, 3-й, 4-й, 10-й і 11-й також є лінійно
незалежними.
Існують і інші набори лінійно незалежних стовпців. Кожний
набір лінійно незалежних векторів дає своє розв’язок задачі про керування. Якщо
такими векторами є перші шість стовпців, то існує керування, що забезпечує
задоволення умов
і
Якщо такі стовпці розташовуються іншими способом, то умови можуть
бути іншими, наприклад
і
Для перевірки матриці
не можна попередньо знати про те, які умови будуть виконані. Якщо
думати, що потрібно перевіряти тільки перші
стовпців на лінійну незалежність, тоді матриця
повинна бути квадратною. Наведені
міркування вказують на те, що загальновизнані матричні критерії повної
керованості й спостережуваності мають певні недоліки [34].
2. Аналіз достатніх умов
в сучасних критеріях повної керованості лінійних стаціонарних динамічних систем
автоматичного керування
2.1 Достатні умови в критеріях повної керованості
Е. Гільберта
Неперервні стаціонарні лінійні детерміновані системи в
кожний момент ча-су
можна описати за допомогою двох матричних
рівнянь [20]:
1) рівняння в просторі стану
, (2.1.1)
2) вихідне рівняння (рівняння спостереження або
вимірювання)
, (2.1.2)
де X(t) - вектор параметрів стану,
(t) = {X1(t), X2(t),…, Xn(t)};
(t) - вектор керуючих впливів,
(t) = {U1(t), U2(t),…, Um(t)};
(t) - вектор вихідних змінних,
(t) = {Y1(t), Y2(t),…, Yr(t)};
А, В, C - матриці постійних коефіцієнтів з розмірами
відповідно (n x n),
(n x m), (r x n);- матриця системи;
В-матриця зовнішнього керування системою;
С - матриця виходу системи.
Критерій Гільберта керованості та
спостережуємості систем (2.1.1 - 2.1.2) використовується для дослідження
керованості та спостережуємості лінійної системи, представленої в канонічному
вигляді [20].
Достоїнством критерію Гільберта в порівнянні з
іншими методами є більш повне відбиття фізичних властивостей досліджуваної
системи. Однак, застосування цього критерію обмежене тільки системами з різними
власними значеннями матриці коефіцієнтів.
Критерій вимагає попереднього приведення рівнянь
системи до канонічної форми. Ця форма зручна тим, що в ній відсутній
взаємозв'язок між змінними стану. Канонічні перетворення полягають у наступному.
В матричній формі однородна система
диференціальних рівнянь типу (2.1.1) має вигляд
(2.1.3)
Згідно методу Ейлера загальне рішення
системи (2.1.3) в матричній формі
записується як [20]:
(2.1.4)
де
- фундаментальна матриця системи;
- вектор початкових умов системи в момент
.
Фундаментальну матрицю системи можна отримати з наступного
виразу:
(2.1.5)
де
- модальна матриця системи;
- діагональна матриця власних значень матриці
розміром (
):
(2.1.6)
Застосуємо в матричному рівнянні стану (2.1.1) лінійне
перетворення до змінної
:
, (2.1.7)
Матрицею перетворення є модальна матриця системи
. З рівняння (2.1.7) отримуємо:
, (2.1.8)
Аналогічно перетворюємо змінну
:
, (2.1.9)
Перетворений вектор стану
є лінійною комбінацією
компонентів вектору
. З врахуванням перетворень (2.1.8-2.1.9) рівняння (2.1.1)
перетворюється наступним чином
(2.1.10)
Поділимо ліву та праву частини рівняння (2.10) на матрицю
(2.1.11)
Визначаємо:
;
(2.1.12)
та отримуємо рівняння стану (2.1.1) у канонічному вигляді:
(2.1.13)
В нових координатах матриця системи
перетворюється до діагональної або
жорданової форми. На її головній діагоналі стоять власні значення матриці
.
Аналогічним чином виконуємо канонічне перетворення рівняння
виходу (2.1.2):
(2.1.14)
де перетворені матриці
,
. (2.1.15)
При проведенні перетворень слід приділити увагу наступним
зауваженням [20]:
) вищенаведені перетворення можливі тільки в тому випадку,
коли існує обернена матриця
, а власні значення
матриці
відрізняються одне від одного;
) жодна перетворена змінна не може вважатись як змінна
стану, якщо вона є лінійною комбінацією інших змінних стану;
) матриця
та перетворена матриця
мають однакові власні значення
.
Перетворене матричне рівняння стану (2.1.13) можна записати
в скалярному вигляді системи
скалярних рівнянь [20]:
; (
), (2.1.16)
де
- власні значення матриці
,
-
- та строка матриці
.
Як видно з виразу (2.1.16), система буде керованою, коли
всі змінні
залежать від вхідного впливу. Це
визначає, що змінні стану
не містять вільних (некерованих)
компонентів. Таким чином, достатньою умовою повної керованості є відсутність
нульової строки в матриці
, тобто всі строки
повинні бути ненульовими
векторами-строками.
Відповідно, система буде повністю спостережуваною по
критерію Гільберта, якщо жоден з стовпців матриці
не є нульовим.
.2 Достатні умови в критеріях повної
керованості Р. Калмана (1961)
Об'єкт (2.1.1) називають повністю керованим, якщо його
можна за допомогою деякого обмеженого керуючого впливу U(t) перевести протягом
кінцевого інтервалу часу tк (
) з будь-якого початкового стану X(t0)=X0 у
будь-який кінцевий стан X(tк)=Xк [20].
Для здійснення такого переведення об'єкта необхідно, але не
достатньо, щоб кожна зі змінних стану Xi (i=1,…, n) залежала хоча б
від однієї зі складових Uj (j=1,…, m) вектора керувань U(t).
Критерій керованості та спостережуємості Р.Е. Калмана
заснований на поліноміальному розкладанні матриці
при інтегральній формі представлення
лінійної стаціонарної системи в просторі станів (див. формулу 1.3.2).
Застосування цього критерію не обмежене системами з різними
власними значеннями матриці
. Беззаперечною перевагою цього критерію є відсутність розрахунків
власних значень матриці
, власних векторів, а також відсутність
наступного перетворення рівнянь стану, що дає суттєве скорочення обсягу
розрахунків.
Нехай матриці А и В постійні. Уведемо так звану
матрицю керованості [20]
, (2.2.1)
яка складається зі стовпців матриці В и добутків
матриць
,
,…,
і має розмірність (n *
nm).
Для оцінки керованості, що здійснюється на основі критерію
Р. Калмана [71], для повної керованості лінійного стаціонарного об'єкта (2.1.1)
необхідно й достатньо, щоб виконувалася умова, коли ранг матриці керованості
дорівнює розмірності n простору станів
об'єкта
, тобто якщо [20]:
(2.2.2)
Необхідна й достатня умова (2.2.2) означає, що матриця
керованості
повинна містити n лінійно незалежних
стовпців.
Усього зазначена матриця містить n блоків по m стовпців
кожний. З будь-яких n стовпців можна скласти визначник матриці розмірності
. Загальна кількість таких визначників
визначається по формулі числа сполучень:
Якщо хоча б один з визначників не дорівнює нулю, то умова
(2.2.2) виконується й, отже, об'єкт повністю управляємий [20].
В окремому випадку, коли m=1, перевірка виконання умови
(2.2.2) зводиться до обчислення єдиного визначника
,
де b - є матриця-стовпець, що повинен бути відмінний від
нуля.
При заздалегідь відомому ранзі матриці B, рівному
, критерій (2.2.2) спрощується й приймає вид
(2.2.3)
У цьому випадку розмірність матричних блоків зберігається,
але їхня кількість скорочується на величину (
), що значно спрощує застосування критерію.
Якщо матриця А об'єкта (2.1.1) має канонічну діагональну
форму:
,
, (2.2.4)
то доцільно використовувати ще більш простий критерій Е.
Гільберта [20], відповідно до якого для повної керованості такого об'єкта
необхідно й досить, щоб матриця В не містила нульових рядків. Наприклад, для
в системі (2.1.1):
(2.2.5)
при
, тому що визначник Вандермонда
.
Якщо матриця A об'єкта (2.1.1) має канонічну жорданову
форму:
, (2.2.6)
то для повної керованості такого об'єкта необхідно й
достатньо, щоб останній рядок матриці B був ненульовою. Наприклад, для
в системі (2.1.1):
(2.2.7)
при
.
Нарешті, якщо модель об'єкта (2.1.1) представлена в
нормальній формі, то такий об'єкт повністю управляємий при будь-яких чисельних
значеннях його параметрів. Наприклад, для
в системі (2.1.1):
(2.2.8)
при
та
Керованість по виходу. Цей термін фізично означає
можливість переводу виходу об'єкта з будь-якого стану Y(t0) = Y0
у будь-який інший стан Y(tк) = Yк за кінцевий час tк
шляхом додавання впливу припустимого керування.
Критерій повної керованості по виходу в самому загальному
випадку має вигляд
(2.2.9)
де
- число вихідних змінних об'єкта (або
число рядків матриці C). Для виконання умови (2.2.9) необхідно (але
недостатньо), щоб матриця
була повного рангу, тобто rang C =
.
Спостережуваність об'єкта. Цей термін фізично означає
можливість визначення початкового стану об'єкта X0 за результатами
спостережень за його виходом Y(t) на кінцевому інтервалі
.
Відповідно до критерію Р. Калмана для повної
спостережуваності об'єкта необхідно й досить, щоб виконувалася умова
(2.2.10)
де т - символ операції транспонування матриць.
Оскільки при транспонуванні ранг матриць не змінюється, то при відомому ранзі
матриці С, рівному r, подібно (2.2.3), замість (2.2.10) можна користуватися
виразом
(2.2.11)
Якщо матриця А має канонічну діагональну форму, то
відповідно до критерію Е. Гільберта для повної спостережуваності об'єкта
необхідно й досить, щоб матриця С не містила нульових стовпців. Наприклад, для
в системі (2.1.1):

тоді згідно (2.2.10) знаходимо
(2.2.12)
при
.
Якщо ж матриця А має канонічну жорданову форму, то для
повної спостережуваності об'єкта необхідно й досить, щоб перший стовпець
матриці С був ненульовим. Наприклад, для
в системі (2.1.1):

(2.2.13)
при
.
Звідси очевидно, що повна спостережуваність по Калману є
лише необхідною, але недостатньою, умовою практичної спостережуваності [34].
З іншого боку, повна практична спостережуваність,
що означає можливість безпосереднього виміру всіх змінних стану об'єкта, є
достатньою, але аж ніяк не обов'язковою, умовою повної спостережуваності по
Калману. Дійсно, якщо всі змінні стани доступні безпосередньому виміру, то
матриця спостережуваності має діагональний вигляд: С = CT = diag(c11,
c12, …, cnn), де cii - коефіцієнти передачі
вимірювальних пристроїв. При цьому rang CT =n, тому умова (2.2.10)
завжди виконується незалежно від виду матриці А.
На прикладі досліджуємо за допомогою критерія Калмана
керованість об'єкта (рис. 2.1.1), описуваного рівняннями (
) [30]:
, (2.2.14)
(2.2.15)
або в матричній формі:
, (2.2.16)
де
;
.
Рис. 2.1.1. Приклад структури об'єкта керування [30]
Знайдемо матрицю керованості
= [B*AB].
,
.
Припускаючи, що
, маємо ранг матриці
, тобто не дорівнює нулю (визначник
другого порядку). Отже, об'єкт цілком управляємий за критерієм Калмана.
Нехай b=0. У цьому випадку (рис. 2.1.2) математичний опис
об'єкта керування буде наступним
,
.
Рис. 2.1.2. Об'єкт керування [30]
Матриця керованості
в
цьому випадку має ранг
і об'єкт не цілком управляємий. Він
управляємий тільки по координаті X1.
Таким чином, згідно критеріїв Калмана - Гільберта
необхідною й достатньою умовою повної керованості системи є вимога, щоб матриця
керованості
містила n лінійно незалежних стовпців
(Гільберт), що еквівалентне вимозі, щоб ранг матриці керованості
дорівнював розмірності n простору станів
об'єкта (Калман).
3. Основні можливості
пакетів комп’ютерних калькуляторів для аналізу систем диференційних рівнянь
лінійних стаціонарних математичних моделей керування
В якості програмно - інструментальних засобів
виконання матричних операцій при реалізації алгоритмів визначення критеріїв
керованості, викладених в розділі 2 дипломної роботи, застосовані наступні:
. Російськомовний програмно-графічний калькулятор
Microsoft Mathematics 4.0, в якому можливо виконати наступні операції з
матрицями [80]:
а) задати довільну маску
строк та стовпців вводимої матриці;
б) виконати операції підсумовування довільного числа матриць;
в) виконати операції додавання довільного числа матриць;
г) виконати операції зведення матриці у довільну степінь;
д) виконати операцію розрахування визначника матриці;
е) виконати операцію транспонування та розрахунку оберненої
матриці.
Всі результати операцій виводяться в зрозумілому та
наочному вигляді.
Так, на рис. 3.1 наведений скріншот інтерфейса екрана ПЕОМ
при виконанні операції введення квадратної матриці
(7х7) та зведення її в 3 степінь в
калькуляторі Microsoft Mathematics 4.0, наступне транспонування матриці
. На рис. 3.2 - при виконанні операції
розрахунку визначника попередньо розрахованої транспонованої матриці
. На рис. 3.3. - оберненої матриці
. Калькулятор Microsoft Mathematics 4.0
працює з дійсними числами 1019 та при 18 знаках до коми та 13 знаках
після коми.
Рис. 3.1. Приклад введення квадратної матриці (7х7) та
зведення її в 3 степінь в калькуляторі Microsoft Mathematics 4.0, наступне
транспонування матриці
Рис. 3.2. Приклад введення квадратної матриці (7х7) та
зведення її в 3 степінь в калькуляторі Microsoft Mathematics 4.0, наступне
транспонування матриці
та наступний розрахунок визначника
матриці
Рис. 3.3. Приклад введення квадратної матриці (7х7) та
зведення її в 3 степінь в калькуляторі Microsoft Mathematics 4.0, наступне
транспонування матриці
та наступний розрахунок оберненої матриці
. Російськомовний спеціалізований матричний онлайн
Інтернет-калькулятор #"662488.files/image281.gif"> матриці.
Рис. 3.4. Приклад введення квадратної матриці (5х5) з
дійсними числами від 0,001 до 99999 (обмеження кількості вводимих знаків - 5)
та розрахунок визначника введеної матриці (точність - 23 числа після коми)
Рис. 3.5. Приклад введення квадратної матриці (5х5) з
дійсними числами від 0,001 до 66666 (обмеження кількості вводимих знаків - 5)
та розрахунок характеристичного рівняння введеної матриці
Основним недоліком наведеного Інтернет - калькулятора є
обмеження розміру матриць та неможливість проведення ланцюгових операцій
(відсутність запам’ятовування результату), тобто кожну матрицю для кожної
операції знов необхідно вводити вручну.
Однак, основними перевагами відносно можливостей
калькулятора Microsoft Mathematics 4.0 є:
наявність операції розрахування рангу матриці (важливо для
розрахунку критерія Калмана);
наявність операції характеристичного рівняння матриці
(важливо для розрахунку критерія Гільберта), однак при цьому власні числа
матриці не розраховуються (недолік), що потребує залучення калькулятора
Microsoft Mathematics 4.0 для рішення (пошуку коренів) характеристичного
полінома.
. Російськомовний спеціалізований матричний онлайн Інтернет-калькулятор
#"662488.files/image284.gif">
Рис. 3.6. Приклад введення квадратної матриці (13x13) з
дійсними числами від 0,00001 до 9999999 (обмеження кількості вводимих знаків та
коми -23) та розрахунок рангу введеної матриці в Інтернет - «Matrix calculator»
Як показують результати, наведені на рис. 3.7, однією з
проблем є розрахунок перетворення матриці до канонічного (діагонального) виду
навіть при її розмірі 3х3 з цілими числами до 100.
Рис. 3.7. Приклад введення квадратної матриці (3x3) з
цілими числами до 100 та проведення операцій (розрахунок визначника, розрахунок
рангу введеної матриці, транспонування матриці, розрахунок оберненої матриці,
приведення матриці до канонічного діагонального виду) Інтернет - «Matrix
calculator»
Так, на рис. 3.8 наведений приклад матриці 2х2 для якої
система розраховує перетворення до діагонального виду з розрахунком
діагональної матриці з власними числами, але при додаванні до членів матриці
десятичних знаків - система не може провести розрахунок. Причиною, як показано
на рис. 3.9, є відсутність раціональних коренів характеристичного рівняння
матриці.
Рис. 3.8. Приклад введення квадратної матриці (2x2) з
цілими та дробними числами до 10 та проведення операції приведення матриці до
канонічного діагонального виду) Інтернет - «Matrix calculator»
Рис. 3.9. Приклад введення квадратної матриці (2x2) з
цілими та дробними числами до 10 та проведення операції розрахунку власних
чисел матриці для приведення до канонічного діагонального виду Інтернет -
«Matrix calculator»
4. Програмний комплекс для ПЕОМ - пакет MATLAB 7.11 [81].
Пакет MATLAB 7.11 є найбільш застосовуємим математичним
інструментом для матричних розрахунків, виконує всі вище проаналізовані
операції з матрицями, необхідні для розрахунків критеріїв Гільберта та Калмана.
Основним недоліком пакета MATLAB 7.11 є ненаочна форма
контролю введених матриць та представлення результатів роботи з ними. Окрім
цього, для використання пакету MATLAB 7.11 користувачу необхідно знати основні
функції матричних операцій у вигляді специфічних ідентифікаторів з параметрами,
тобто наочний калькуляторний метод вводу операцій - відсутній. Одночасно пакет
MATLAB 7.11 працює тільки з англомовним інтерфейсом.
Основні функції «Лінійної алгебри» для операцій з
матрицями:
а) SYM - введення матриці по строкам;
б) DET - розрахунок визначника матриці;
в) POLY - розрахунок характеристичного полінома
матриці;
г) DIAG - формування або витяг діагоналей
матриці;
д) RANK - розрахунок рангу матриці;
е) INV - розрахунок оберненої матриці;
ж) EIG - розрахунок власних значень та власних
векторів матриці;
з) JORDAN - перетворення до канонічної форма
Жордана символьної матриці.
На рис. 3.10 наведений скріншот операцій в пакеті
MATLAB 7.11:
- введення матриці
;
розрахунок власних значень матриці з
характеристичного полінома (EIG);
побудова матриці Жордана, на головній діагоналі
якої розташовані власні значення матриці
.
Рис. 3.10. Розрахунки характеристик матриці з
застосуванням пакету MATLAB 7.11 (цілочисельна матриця)
На рис. 3.11 наведений скріншот операцій в пакеті
MATLAB 7.11:
- введення матриці
;
розрахунок її визначника (DET);
розрахунок власних значень матриці з
характеристичного полінома (EIG);
розрахунок рангу матриці (RANK);
розрахунок оберненої матриці.
Аналіз результатів, наведених на рис. 3.11,
показує, що всі операції з матрицею виконані, але наочність результатів дуже
низька і потребує спеціальних досліджень для запису результатів розрахунків в
математичному вигляді (враховуючи, що введений десятинний дріб система
перетворює в спеціальну форму арифметичного дробу).
Рис. 3.11. Розрахунки характеристик матриці з
застосуванням пакету MATLAB 7.11 (дійсні числа максимального діапазону)
Рис. 3.12. Розрахунки характеристик матриці з
застосуванням пакету MATLAB 7.11 (дійсні числа діапазону до 1*1032)
Як показує аналіз результатів, наведених на рис.
3.12, пакет MATLAB 7.11 працює з дійсними числами - членами матриць від 5,555
до 1*1032, а результат розрахунку визначника матриці = 2,5…*1056/7,5…*1022.
Особливостями пакету MATLAB є наявність в ньому
спеціалізованого програмного блоку Control System Toolbox для дослідження
спостережуваності і керованості динамічних систем [42].
В Control System Toolbox пакета MATLAB є тип
даних, що визначає динамічну систему в просторі станів. Синтаксис команди, що
створює безперервну LTI (Linear Time Invariant) - систему у вигляді ss-об'єкта
c одним входом і одним виходом:(A, B, C, D)
У цю функцію як параметри передаються матриці
рівнянь станів і виходів виду
у зв'язку з тим, що розглядається модель виду
(2.1.1), те матриця динаміки D буде нульовою.
Для виконання роботи можуть застосовуватися
команди, наведені в табл. 3.1.
Таблиця 3.1. Деякі команди Control System Toolbox
[42]
|
Синтаксис
|
Опис
|
|
ctrb
(LTI-Об'єкт>) ctrb (A, B)
|
Формування
матриці керованості
|
|
obsv
(< LTI-Об'єкт>) obsv (A, C)
|
Формування
матриці спостережуваності
|
|
parallel
(<LTI1>,<LTI2>)
|
Паралельне
з'єднання
|
|
series
(<LTI1>,<LTI2>)
|
Послідовне
з'єднання
|
|
feedback
(<LTI1>,<LTI2>)
|
З'єднання
зворотним зв'язком
|
|
append
(<LTI1>, …, <LTIN>)
|
Об'єднання
систем
|
|
connect
(<sys>,<Con>,<in>,<out>)
|
Установлення
зв'язків у з'єднанні
|
Для одержання результатів обчислення матриць, що
характеризують систему за структурною схемою, скористаємося останніми двома
командами.
Функція append створює об'єкт sys, що представляє
собою об'єднання всіх підсистем. При цьому перший вхідний сигнал першої системи
стає входом номер 1, другий вхідний сигнал першої системи - номер 2, і т.д. далі
йдуть входи другої системи, і т.д.; аналогічно визначаються й виходи.
У функції connect - параметр <Con> визначає
матрицю зв'язків за структурною схемою. Матриця формується за наступним
правилом: кожний рядок являє собою один вхід системи sys, перший елемент -
номер входу (відповідно до порядку в команді append), потім ідуть номера
виходів, які підсумуються й подаються на розглянутий вхід. Параметри
<in>, <out> - рядки з номерів входів і виходів з'єднання, що є
зовнішніми.
Наприклад, для послідовного з'єднання двох систем
(рис. 3.13):= ss (A1, B1, C1, D1)= ss (A2, B2, C2, D2)=append (sys1,
sys2)=connect (sys, [2 1], [1], [2])
У цьому випадку на вхід другої системи (загальний
вхід номер 2), надходить вихід першої (загальний вихід номер 1); вхід першої системи
(номер один) і вихід другої системи (номер два) є зовнішніми.
Послідовність виконання практичних розрахунків
наступна:
1. Ознайомитися з основними елементами
теорії.
2. Привести всі системи у варіанті у форму
(2.1.1).
. Запустити систему MATLAB.
. Створити три ss-об'єкти, відповідно до
заданого варіанта.
. Визначити керованість і наблюдаемость
кожної системи.
. У відповідності зі структурною схемою
одержати матриці A, B, C з'єднання.
. Визначити керованість і
спостережуваність з'єднання.
Методичний приклад [42].
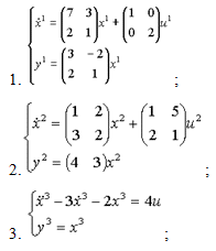
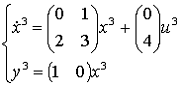
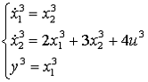
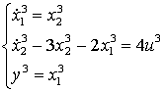
Дано три лінійні стаціонарні системи:
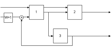
і є структурна схема з'єднання систем:
Рис. 3.13. Тестовий варіант завдання
. Приведемо систему трьох динамічних ланцюгів до
виду (2.1.1), для цього введемо змінні
;
і, підставляючи їх у вихідні рівняння, одержимо -
;
;
.
2. Створимо матриці 3-х систем рівнянь та
перевіримо їх ранги (для наочності покажемо результат операцій в пакеті MAPLE
11, в який створений перехід із пакету MATLAB 7.11):
>
> A1:= <<7,2>|<3,1>>;
> Rank(A1);
> B1:= <<1,0>|<0,2>>;
> Rank(B1);
> C1:= <<3,2>|<-2,1>>;
> Rank(C1);
> A2:= <<1,3>|<2,2>>;
> Rank(A2);
> B2:= <<1,2>|<5,1>>;
> Rank(B2);
> C2:= <<4>|<3>>;
> Rank(C2);
> A3:= <<0,2>|<1,3>>;
> Rank(A3);
> B3:= <<0,4>>;
> Rank(B3);
> C3:= <<1>|<0>>;
> Rank(C3);
. Досліджуємо спостережуваність і керованість
кожної системи, для чого побудуємо відповідні матриці й порахуємо їхні ранги
(функція пакету MATLAB).
Видно, що у всіх випадках ранги матриць
керованості й спостережуваності збігаються з розмірностями простору станів (у
кожній окремій системі в просторі станів 2 змінних - x та y, а також керуючий
вплив u).
Пакет MATLAB дозволяє провести дослідження
керованості не тільки окремих ланцюгів динамічної системи, але і дослідження
спостережуваності і керованості з'єднання окремих підсистем в інтегровану
динамічну систему.
Одержимо систему, обумовлену з'єднанням. Для
коректного використання функції connect уведемо додаткову систему, передатна
функція якої дорівнює 1 (рис 3.15.).
Рис. 3.15. Еквівалентна схема
>> s4 = tf(1)function: 1
>> sys=append (s1, s2, s3, s4);
>> Q=[2 -4 5; 3 1 0; 4 2 0; 5 2 0];
>> in=[1 5];
>> out=[3 4];
>> s_com=connect (sys, Q, in, out);
Звертаючись до даних об'єкта, можна одержати
матриці А, В, С:
>> A=s_com.A;
>> B=s_com.B;
>> C=s_com.C;
Обчислимо ранги матриць спостережуваності й
керованості підсумкової системи (в системі 6 змінних x1, x2,
x3 та y1, y2, y3):
>> rank (ctrb(A, B))= 6
>> rank (obsv(A, C))= 6
Результати показують, що кількість змінних
параметрів зведеної системи =6, що дорівнює рангу матриці зведеної системи =6,
тобто система керована й спостережувана.
. Програмний комплекс для ПЕОМ - пакет MAPLE 11
[82].
Пакет MAPLE 11 виконує всі види матричних
операцій, які передбачені попереднім пакетом MATLAB 7.11, тобто операції
необхідні для розрахунків критеріїв Гільберта та Калмана. Але одночасно
програмні блоки пакету MAPLE 11 дозволяють формувати стрічкові матриці, які
застосовуються для розрахунку критеріїв Місріханова.
Крім того, основною перевагою пакету MAPLE 11 над
пакетом MATLAB 7.11 є наочність представлення результатів розрахунків в
стандартній математичній системі запису матриць.
Безсумнівно, що унікальною можливістю системи
Maple, як і інших систем комп'ютерної алгебри, є можливість рішення задач
лінійної алгебри в символьному (формульному, аналітичному) виді. Пакет рішення
задач лінійної алгебри linalg є одним із самих великих і потужних пакетів в
області рішення задач лінійної алгебри. Для підключення пакету використовується
команда:
> with(linalg);
Найбільш уживані функції матричних операцій
пакета linalg, які використовуються практично при розрахунках критеріїв
керованості та спостережуваності динамічних лінійних систем наступні:
• augment - поєднує дві або більше матриці по
горизонталі;
• band - створює стрічкову матрицю;
• BlockDiagonal - створює блок-діагональну
матрицю;
• blockmatrix - створює блок-матрицю;
• charmat - створює характеристичну матрицю
(charmat (M, v) матриця, що обчислюється як v E-М);
• charpoly - повертає характеристичний поліном
матриці;
• companion - обчислює супровідну матрицю,
асоційовану з поліномом;
• cond - обчислює число обумовленості матриці
(cond(M) є величина norm(M)∙norm (M-l));
• definite - тест на позитивну (негативну)
визначеність матриці;
• diag - створює блок-діагональну матрицю;
• eigenvals - обчислює власні значення матриці;
• eigenvects - обчислює власні вектори матриці;
• hilbert - створює матрицю Гільберта;
• iszero - перевіряє чи є матриця нуль-матрицею;
• JordanBlock - повертає блок-матрицю Жордана;
• leastsqrs - рішення рівнянь по методу найменших
квадратів;
• linsolve - рішення лінійних рівнянь;
• minpoly - обчислює мінімальний поліном матриці;
• multiply - перемножування матриць або матриці й
вектора;
• ratform - обчислює раціональну канонічну форму;
• rref - реалізує перетворення Гаусса-Жордана
матриці;
Операції зі структурою окремого вектора V і
матриці М:
• minor (M, i, j) - повертає мінор матриці М для
елемента з індексами i і j;
Основні векторні й матричні операції:
• concat (M1, M2) - повертає об'єднану матрицю з
горизонтальним злиттям матриць М1 і М2;
• matadd (A, B) і evalm (A+B) - повертає суму
матриць А и В;
• multiply (A, B) і evalm (A&*B) - повертає
добуток матриць А и В;
• adjoint(M) або adj(M) - повертає приєднану
матрицю, таку, що M adj(M) дає діагональну матрицю, визначник якої є det(M);
• charpoly (M, lambda) - повертає
характеристичний поліном матриці М щодо заданої змінної lambda;
• det(M) - повертає детермінант (визначник)
матриці М;
• Eigenvals (M, vector) - інертна форма функції,
що повертає власні значення матриці М и (при вказівці необов'язкового параметра
vector) відповідні їм власні вектори;
• jordan(M) - повертає матрицю М у формі Жордана;
• rank(M) - повертає ранг матриці М;
• transpose(M) - повертає транспоновану матрицю
М;
• inverse(M) або evalm (1/M) - повертає матрицю,
зворотну до М;
У нових реалізаціях систем Maple була зроблена
ставка на використання давно апробованих швидких алгоритмів лінійної алгебри,
запропонованих твор-цями Number Algorithm Group (NAG). Ці алгоритми здавна
застосовуються на великих ЕОМ і суперкомп'ютерах, забезпечуючи прискорення
чисельних матричних операцій від декількох разів до декількох десятків разів.
Їхнє застосування забезпечує ефективне використання систем символьної
математики в рішенні задач, що зводяться до задач лінійної алгебри.
В Maple 9.5 - 11 використання алгоритмів NAG
реалізується пакетом LinearAlgebra. Для його завантаження використовуються
наступні команди (файл NAG):
> restart; with(LinearAlgebra):
> infolevel[LinearAlgebra]:=1;
В дипломному проекті при застосуванні пакету
Maple 11 застосовувались наступні матричні операції:
а) введення матриці
> A:=matrix([[4,0,5], [0,1, - 6], [3,0,4]]);
б) Визначники й мінори. Ранг і слід матриці.
Визначник матриці А обчислюється командою det(A).
Команда minor (A, i, j) повертає матрицю, отриману з вихідної матриці А
викреслюванням i-ой рядка й j-го стовпця. Ранг матриці А обчислюється командою
rank(A). Слід матриці А, дорівнює сумі її діагональних елементів, обчислюється
командою trace(A).
в) Зворотна й транспонована матриці.
Зворотну матрицю А-1 для невирожденої
матриці А, можна обчислити двома командами:
evalm (1/A);
inverse(A).
Транспоновану матрицю Аt можна
обчислити командою transpose(A).
г) Власні числа й власні вектори матриці.
Для знаходження власних значень матриці А використовується
команда eigenvalues(A). Для знаходження власних векторів матриці А
використовується команда eigenvectors(A). У результаті виконання цієї команди
будуть отримані власні числа, їхня кратність і відповідні власні вектори.
д) Розрахунок характеристичного і мінімального
багаточленів матриці.
Для обчислення характеристичного багаточлена
матриці A використовується команда
charpoly (A, lambda). Мінімальний багаточлен матриці А можна знайти за
допомогою команди minpoly (A, lambda).
е) Канонічні й спеціальні види матриці.
Привести матрицю А до канонічної форми Жордана можна
командою jordan(A). Якщо необхідно знати матрицю, що здійснює подобу між
заданою матрицею А и її жордановой формою J, то варто набрати jordan (A, ‘P’).
Матриця P у цьому випадку шукана й задовольняє умові:
.
Рис. 3. 16. Приклад розрахунку ранга проблемної
матриці Місріханова (підрозділ 2.3 - формули (2.3.11-2.3.14)) в пакеті MAPLE 11
Висновки
Проведене згідно завданню на дипломний проект
узагальнення сутності та математичної постановки задач пошуку умов повної
керованості в лінійних стаціонарних динамічних системах керування довело, що:
. Задача пошуку умов керованості виконується з
застосуванням представлення руху динамічної системи в багатовимірному просторі
станів керування, в якому створюється модель динамічної системи, яка включає
набір змінних входу, виходу й стану, зв'язаних між собою диференціальними
рівняннями першого порядку в матричній формі;
. Стаціонарна лінійна система називається цілком
керованою, якщо вибором керуючого впливу u(t) на інтервалі часу [t0,
t1] можна перевести систему з будь-якого початкового стану х(t0)
у довільний заздалегідь заданий кінцевий стан х(t1). Система
називається повністю керованою, якщо все компоненти її вектора станів керовані;
. Клас лінійних керованих систем з постійними
коефіцієнтами (стаціонарні лінійні динамічні системи) є єдиний, для якого
практично всі питання теорії управління піддаються загальному аналізу в теорії
керованості;
. Основні проблеми дослідження критеріїв
часткової та повної керованості лінійних стаціонарних динамічних систем були
викладені в роботах математиків Е.Гільберта (1958), Р.В. Гамкрелідзе (1958),
Л.С. Потрягіна (1959), Р. Калмана (1961), Н.Н. Красовського (1968), Д. Браммера
(1972), Ю.М. Семенова (1978, 1990), Р. Біанчіні (1982).
. Нова хвиля досліджень критеріїв керованості
лінійних стаціонарних динамічних систем відродилась у 2003-2005 рр. у роботах
М. Місріханова, В. Рябченка та О. Бударгіна при дослідженні великих MIMO -
систем динамічного керування зведеними енергосистемами Росії, в результаті чого
був обґрунтований підхід до впровадження стрічкових критеріїв керованості,
обумовлених використанням перетворених матриць керування з застосуванням
апарату «лівих» та «правих» дільників нуля матриці керування найвищого рангу.
В аналітичній частині дипломного проекту були
досліджені основні визначення, теореми та практичні алгоритми розрахунків
критеріїв повної керованості стаціонарних лінійних динамічних систем наступних
авторів:
. Критерій відсутності «нульових» строк в
канонізованій матриці керування динамічної системи Е. Гільберта (1958);
. Критерій рангу матриці керованості динамічної
системи Р. Калмана (1961);
. Критерій рангу стрічкової матриці керованості
динамічної системи М. Місріханова (2005).
В проектній частині диплома в якості
програмно-інструментальних засобів виконання матричних операцій при реалізації
алгоритмів визначення критеріїв керованості застосовані наступні:
. Російськомовний програмно-графічний калькулятор
Microsoft Mathema-tics 4.0;
. Російськомовний спеціалізований матричний
онлайн Інтернет-калькулятор http://www.matcabi.net/matrix_d.php («Кабінет
математики онлайн»);
. Російськомовний спеціалізований матричний
онлайн Інтернет-калькулятор http://matrixcalc.org/ («Matrix calculator»);
4. Англомовний професійний програмний комплекс
для математичних розрахунків на ПЕОМ - пакет MATLAB 7.11;
. Англомовний професійний програмний комплекс для
математичних розрахунків на ПЕОМ - пакет MAPLE 11.
Список джерел
1. Абденова Г.А. К проблеме анализа характеристик моделей
систем в форме пространства состояний / Г.А. Абденова // Сборник научных трудов
НГТУ. - 2010. - №3 (61) - С. 3-10
. Александрова А.Т. Оптимальні та адаптивні системи: Навч.
посібник для вузів / А.Т. Александрова. - М.: Енергоатомізвид, 1987. - 256 с.
. Андриевский Б.Р. Избранные главы теории автоматического
управления с примерами на языке MATLAB / Б.Р. Андриевский, А.Л. Фрадков. -
СПб.: Наука, 1999. - 274 с.
4. Бедрій Я.І.
Безпека життєдіяльності. Навчальний посібник / Я.І. Бедрій. - Київ: Кондор,
2009. - 286 с.
5. Бублик В.Н. Основы теории управления /В.Н. Бублик, Н.Ф.
Кириченко. - К.: «Вища школа», 1975. - 328 с.
. Бударгин О.М. «Новые эффективные критерии управляемости и
наблю-даемости для систем большой размерности»/ О.М. Бударгин, М.Ш. Мисриханов,
В.Н. Рябченко // Проблемы управления, 2012, №1. - С. 21-25
. Воронов А.А. Устойчивость, управляемость, наблюдаемость / А.А.
Воронов. - М.: Наука, 1989. - 336 с.
. Гамкрелидзе Р.В. Теория оптимальности по быстродействию
процессов в линейных системах / Р.В. Гамкрелидзе. // Известия АН СССР (сер.
мат.). - 1958. Т.22, вып. 4. - С. 449 - 474
. Гроп Д. Методы идентификации систем / Д. Гроп. - М.: Мир, 1979.
- 304 с.
10. Державні будівельні норми України, «Захисні
заходи електробезпеки в електроустановках будинків і споруд» (ДБН
В.2.5-27-2006) // Введені Наказом Міністерства будівництва, архітектури та
житлово-комунального господарства України від 29 березня 2006 р. №97 з 1 жовтня
2006 р., 2006. - [Електронний документ] - режим доступу:
http://www.mebius.ua/files/normativy /1004621.doc
. Державні будівельні норми України СHиП
2.09.02-85 « Производствен-ные здания» // Наказом Держбуду України від 21.10.
2004 року №195 набуття чинності встановлено з 1 квітня 2005 року - [Електронний
документ] - режим доступу: http://info-build.com.ua/normativ/detail.php?
ID=40964
. Державні будівельні норми України ДБН
В.2.2-28:2010 «Будинки і споруди. Будинки адміністративного та побутового
призначення» - [Електронний документ] - режим доступу:
http://dbn.at.ua/load/normativy/dbn/1-1-0-806
13. Державні будівельні норми «Пожежна безпека об'єктів
будівництва», затверджені наказом Держбуду України від 03.12.2002 №88 (ДБН В.1.1.7-2002)
- [Електронний документ] - режим доступу:
http://document.ua/zahist-vid-pozhezhi.-pozhezhna-bezpeka-obektiv-budivnictva-nor300.html
14. Державні
санітарні правила і норми. ДСанПіН 3.3.2-007-98. Гігієнічні вимоги до
організації роботи з візуальними дісплейними терміналами
електронно-обчислювальних машин // Наказ Міністерства охорони здоров’я України
від 10.12.1998 - [Електронний документ] - режим доступу:
http://www.budinfo.org.ua/ doc/1809115.jsp
15. Деруссо П. Пространство состояний в теории управления/ П.
Деруссо, Р. Рой, С. Клоуз. - М.: Наука, 1970. -620 с.
. Жидецький В.Ц. Основи охорони праці: Підручник. - 4-те вид.,
пере-роб. і доп. Затверджено МОН / В.Ц. Жидецький. - Київ, Знання, 2010. - 375
с.
. Закон України «Про охорону праці» від 14 жовтня 1992 року
N2694-XII // Із змінами і доповненнями, внесеними Законами України станом на
№3458-VI від 02.06.2011 - [Електронний документ].-режим доступу: -
http://zakon1.rada.gov. ua/ laws/show/2694-12
. Зыбин Е.Ю. «Рекурсивные тесты на управляемость и наблюдаемость
больших динамических систем» / Е.Ю. Зыбин, М.Ш. Мисриханов, В.Н. Рябченко -
Автоматика и телемеханика, 2006, №5. - С. 119-132
. Калман Р. Очерки по математической теории систем / Р. Калман, П.
Фалб, М. Арбиб. - М.: Мир, 1971. - 400 с.
. Кац М.Д. Математические основы теории управления: учебное
пособие для практической и самостоятельной работы / М.Д. Кац. - Томск: Изд-во
Томского политехнического университета, 2010. - 107 с.
. Квакернаак Х. Линейные оптимальне системы управления / Х.
Квакернаак, Р. Сиван. - М.: Мир, 1977 - 246 с.
. Ким Д.П. Сборник задач по теории автоматического управления.
Линейные системы / Д.П. Ким, Н.Д. Дмитриева. - М.: Физматлит, 2007. - 166 с.
. Ким Д.П. Теория автоматического управления. Линейные системы. Т.
1 / Д.П. Ким. - М.: Физматлит, 2003. - 288 с.
. Ким Д.П. Теория автоматического управления. Т. 2. Многомерные,
нелинейные, оптимальные и адаптивные системы: Учеб. Пособие / Д.П. Ким. - М.:
ФИЗМАТЛИТ, 2004. - 464 с.
25. Кирсанов В.В. Оптимальные системы управления: Часть I / В.В.
Кир-санов, Г.С. Щербина, А.П. Егоров. - Днепропетровск, НМетАУ, 2005. - 85 с.
. Кирсанов В.В. Оптимальные системы управления: Часть II / В.В.
Кирса-нов, Г.С. Щербина, А.П. Егоров. - Днепропетровск, НМетАУ, 2007. - 106 с.
27. Конспект лекцій з дисципліни «Основи теорії систем і
управління» (для студентів 3 курсу всіх форм навчання напряму підготовки
6.070101 «Транспортні технології») / Авт.: Доля В.К., Прасоленко О.В. - Харків:
ХНАМГ, 2009. - 86 с.
. Конспект лекцій з курсу «Теорія автоматичного керування» (для
студентів 3 курсу денної і 4 курсу заочної форм навчання спеціальності 6.090603
«Електротехнічні системи електроспоживання») / Авт.: Абраменко І.Г., Абрамен-ко
Д.І. - Харків: ХНАМГ, 2008. - 178 с.
. Корнеев Н.В. Теория автоматического управления с практикумом:
учеб. пособие для студ. высш. учеб. заведений / Н.В. Корнеев, Ю.С. Кустарев,
Ю.Я Морговский. - М.: Издательский центр «Академия», 2008. - 224 с.
30. Краснопрошина А.А. Современный анализ систем управления с
применением MATLAB/Simulink, Control System: Учеб. Пособие / А.А.
Краснопрошина, Н.Б. Репникова, А.А. Ильченко. - К.: Корнейчук, 1999. - 144 с.
. Красовский Н.Н. Теория управления движением / Н.Н. Красовский. -
М.: Издательство «Наука», Главная редакция физико-математической литературы,
1968. - 476 с.
32. Математические основы теории автоматического управления / В.А.
Иванов, В.С. Медведев, Б.К. Чемоданов, А.С. Ющенко; Под ред. Б.К. Чемоданова
М.: Изд-во МГТУ им. Н.Э. Баумана, Т.1, 2006. 552 с. Т.2, 2008. - 616 с. Т. 2,
2008. - 616 с.
. Меньшиков Ю.Л. Идентификация моделей внешних воздействий / Ю.Л.
Меньшиков, Ю.В. Поляков. - Днепропетровск, Вид-во «Наука та освіта», 2009. -
188 с.
. Меньшиков Ю.Л. О критериях управляемости, наблюдаемости и
функциональной воспроизводимости для некоторых классов систем управления //
Ю.Л. Меньшиков. - Днепропетровский національный университет, 2012 (в печати)
. Методы классической и современной теории автоматического
управ-ления: Учебник в 5-и тт.; 2-е изд., перераб. и доп. Т1: Математические
модели, динамические характеристики и анализ систем автоматического управления
/ под ред. К.А. Пупкова и Н.Д. Егупова. - М.: Издательство МГТУ им. Н.Э.
Баумана, 2004. - 656 с.
. Методы классической и современной теории автоматического
управ-ления: Учебник в 5-и тт.; 2-е изд., перераб. и доп. Т2: Статистическая
динамика и идентификация систем автоматического управления / под ред. К.А.
Пупкова и Н.Д. Егупова. - М.: Издательство МГТУ им. Н.Э. Баумана, 2004. - 646
с.
. Методы классической и современной теории автоматического
управ-ления: Учебник в 5-и тт.; 2-е изд., перераб. и доп. Т5: Методы
современной теории систем автоматического управления / под ред. К.А. Пупкова и
Н.Д. Егупова. - М.: Издательство МГТУ им. Н.Э. Баумана, 2004. - 784 с.
. Мирошник И.В. Теория автоматического управления. Линейные
системы / И.В. Мирошник. - М.: СПб.: Питер, 2005. - 336 с.
. Мисриханов М.Ш. Ленточные критерии управляемости и
наблюдае-мости линейных динамических систем/ М.Ш. Мисриханов // Автоматика и
телемеханика, 2005, №12. - С. 93-104
. Митришкин Ю.В. Линейные модели управляемых динамических систем.
Часть 1. Уравнения «вход-выход» и «вход-состояние-выход» / Ю.В. Митришкин. -
М.: Изд-во МГТУ им. Н.Э. Баумана, 2008. - 222 с.
. НАПБ Б.03.002-2007 Норми визначення категорій приміщень,
будинків та зовнішніх установок за вибухопожеженою та пожежною небезпекою
(взамен ОНТП -86) // Наказ МНС України №833 від 03.12.2007 - [Електронний
документ] - режим доступу:
http://document.ua/normi-viznachennja-kategorii-primishen-budinkiv-ta-zovnishni-nor7322.html
. Никульчев Е.В. Пособие «Control System Toolbox» Описание
динами-ческих систем в пространстве состояний // Всероссийская научная
конференция «Проектирование научных и инженерных приложений в среде MATLAB»
(май 2011 г.)) - http://matlab.exponenta.ru/mltb/default.php
. Никульчев Е.В. Практикум по теории управления в среде MATLAB:
Учебное пособие. / Е.В. Никульчев. - М.: МГАПИ, 2002. - 88 с.
. НПАОП 0.00-1.28-10 Правила охорони праці під час експлуатації
електронно-обчислювальних машин // Наказ Державного комітету України з
промислової безпеки, охорони праці та гірничого нагляду від 26.03.2010 №65 -
[Електронний документ] - режим доступу: http://document.ua/pravila-ohoroni-praci-pid-chas-ekspluataciyi-elektronno-obch-nor17970.html
. Основи охорони праці: Підручник. 21 ге видання, доповнене та
пере-роблене. / К.Н. Ткачук, М.О. Халімовський, В.В. Зацарний, Д.В. Зеркалов,
Р.В. Сабарно, О. І. Полукаров, В.С. Коз’яков, Л.О. Мітюк. За ред. К.Н. Ткачука
і М.О. Халімовського. - К.: Основа, 2006 - 448 с.
. Панасик О.А. Критерии полной управляемости и полной достижимости
линейных стационарных алгебро-дифференциальных систем / О.А. Панасик // Весн.
Гродзенскага дзярж. ун-та. Сер. 2, Матэматыка. Фiзiка. Iнфарматыка, вылiчальная
тэхнiка i упрауленне. Бiялогiя., 2008. №1 (64). - С. 16 - 22
47. Піскунова
Л.Е. Безпека життєдіяльності // Л.Е. Піскунова, В.А. При-липко, Т.О. Зубок. -
К.: Академія, 2012. - 224 с.
48. Понтрягин Л.С. Оптимальные процессы регулирования / Л.С.
Понтря-гин. - УМН. - 1959. - Т.14, №1. - С. 3-20
49. Попов Е.П. Теория линейных систем автоматического
регулирования и управления: учеб. пособие для втузов / Е.П. Попов. - 2-е изд.,
перераб. и доп. - М.: Наука. 1989. - 345 с.
50. Правила безпечної експлуатації електроустановок споживачів,
затверджені наказом Міністерства енергетики та вугільної промисловості від
13.02.2012 №91 - [Електронний документ] - режим доступу:
http://safety-rtc.com/view_post.php? id=76
51. Правила пожежної безпеки в Україні (наказ МНС України від
19.10.2004 №126) // (Із змінами, внесеними згідно з Наказом Міністерства
надзвичайних ситуацій №537 від 24.02.2012) - [Електронний документ] - режим
доступу: http://zakon2.rada.gov.ua/laws/show/z1410-04
52. Пузанов В.П. Лекции по курсу «Теория линейных систем
автома-тического управления и регулирования» / В.П. Пузанов. - Московский
государственный технический университет им. Н.Э. Баумана, 2004. - 97 с.
. Сборник задач по теории автоматического регулирования и
управления / Под ред. В.А. Бесекерского. 5-е изд., перераб. и доп.-М.: Наука,
1978. - 510 с.
. Семенов Ю.М. О строении множества почти мгновенной
нуль-дости-жимости / Ю.М. Семенов // Дифференциальные уравнения. - 1990. - Т.
26, №6. - С. 989 - 997
. Семенов Ю.М. Введение в теорию достижимости линейных систем /
Ю.М. Семенов. - Чебоксары: Изд-во Чуваш. ун-та, 2006. - 252 c.
56. Семенов Ю.М. Об одном критерии полной управляемости
неавтоном-ных линейных систем / Ю.М. Семенов // Дифференциальные уравнения. -
2011. - Т. 47, №11. - С. 1646-1652
57. СНіП 2.04.05-91 «Опалення, вентиляція та кондиціонування» //
Рішення Мінбуду України від 13.05.2005 №26 «Про проект Зміни №4 СНиП 2.04.05-91
«Опалення, вентиляція та кондиціювання» - - [Електронний документ] - режим
доступу: http://www.budinfo.org.ua/doc/1811315.jsp
58. Справочник по теории автоматического управления / Под ред.
А.А. Красовского. - М., Наука, 1987. - 711 с.
59. Теория автоматического управления: Учебник для вузов. В 2-х ч.
Ч. 1. Теория линейных систем автоматического управления / Н.А. Бабаков, А.А.
Воронов, А.А. Воронова и др.; Под ред. А.А. Воронова. М.: Высш. шк., 1986. -
368 с.
60. Тимченко В.Л. Дослідження керованості лінійних нестаціонарних
систем / В.Л. Тимченко // Наукові праці, Випуск 93, Том 106 «Комп’ютерні
технології», 2009. - С. 159 -166
. Тыртышников Е.Е. Матричный анализ и линейная алгебра / Е.Е.
Тыртышников. - М.: Физматлит, 2007. - 478 с.
. Ушаков А.В. Математические основы теории систем: элементы теории
и практикум./ А.В. Ушаков, В.В. Хабалов, Н.А. Дударенко; Под ред. А.В. Ушакова.
- СПб: СПбГУИТМО, 2007. - 174 с.
. Фельзер М.С. Обчислення керованості для лінійних стаціонарних
систем /М.С. Фельзер // Електроніка та системи управління, 2011, №2 (28) - С.
36-38
64. Філіпс Ч. Системи управління зі зворотним зв’язком / Ч.Філіпс,
Р. Харбор. - М.: Лабораторія базових знань, 2001. - 616 с.
65. Цыпкин Я.З. Основы теории автоматических систем / Я.З. Цыпкин.
- М.: Наука, 1977. -560 с.
керованість рівняння гільберт математичний