Ипотечное кредитование объектов недвижимости

  • Вид работы:
    Дипломная (ВКР)
  • Предмет:
    Банковское дело
  • Язык:
    Русский
    ,
    Формат файла:
    MS Word
    113,72 Кб
  • Опубликовано:
    2015-06-15
Вы можете узнать стоимость помощи в написании студенческой работы.
Помощь в написании работы, которую точно примут!

Ипотечное кредитование объектов недвижимости

Комитет общего и профессионального образования Ленинградской области

Автономное образовательное учреждение

высшего профессионального образования

ЛЕНИНГРАДСКИЙ ГОСУДАРСТВЕННЫЙ УНИВЕРСИТЕТ

ИМЕНИ. А.С. ПУШКИНА

Лужский институт (филиал)

Отделение среднего профессионального образования






Дипломная работа

Ипотечное кредитование объектов недвижимости

Выполнила: Зуева Любовь Витальевна

Группа 34 «А»

Специальность:120714 «Земельно-имущественные отношения

Руководитель: Щегольков Димитрий Александрович.






Луга 2014г.

Введение

В современной рыночной экономике роль ипотечного жилищного кредитования приобретает первостепенное значение. Проблема недостаточной обеспеченности жильем остается острейшей социальной проблемой в России. Современная государственная политика, наряду с прежней ориентацией на нужды социально незащищенных групп населения расставляет новые акценты, концентрируя усилия и средства на направлениях, обеспечивающих решение жилищных проблем большей части работающего населения, располагающего средними доходом, накоплениями и имеющими жилье в собственности в результате бесплатной приватизации. Основным способом решения жилищной проблемы этой части населения должно стать долгосрочное ипотечное кредитование. Создание системы ипотечного кредитования позволит не только ускорить решение важнейшей социальной проблемы улучшения жилищных условий населения, но и через активизацию жилищного строительства оказать положительное влияние на макроэкономическую ситуацию в стране в целом. Несмотря на создание благоприятных условий для функционирования ипотечной системы (отчисления в бюджет, разработка и принятие законодательных актов), на пути развития российской ипотечной системы возникают препятствия, которые необходимо преодолевать. Существующая макроэкономическая ситуация, характеризующаяся слабым развитием кредитной системы, низкими доходами и, соответственно, недостаточным платежеспособным спросом граждан на жилье, а также практически отсутствие накоплений, вызвали необходимость поиска рациональных путей решения этих задач на уровне властей субъектов Федерации, местного самоуправления, компаний (в частности, строительных).Таким образом обостряется проблема долгосрочного кредитования граждан с целью приобретения ими жилья. Об актуальности этой проблемы говорит, в частности, тот факт, что российские регионы начали реализовывать свои собственные ипотечные программы, каждая из которых строится по местным стандартам и различным схемам. При этом региональные структуры, не обладая достаточным опытом, испытывают острую необходимость в методической и практической помощи при развитии рынка ипотечного кредитования. Существенной проблемой внедрения ипотечного кредитования остается внедрение программы по классической схеме без учета местных правовых, экономических, социальных и других условий и особенностей регионов. Этим обуславливается актуальность темы работы, необходимость ее исследования.

Цели данной дипломной работы:

.        Изучить теорию по теме «Ипотечное кредитование объектов недвижимости».

.        Практически рассчитать платежи по ипотеке различными способами.

.        Проанализировать ситуацию в сфере ипотечного кредитования в Луге и Лужском районе.

Задачами данной дипломной работы являются:

.        Изучение теоретической базы по теме дипломной работы, раскрытие темы.

.        Практический расчет ипотеки.

.        Анализ статистики ипотечного кредитования в Луге и Лужском районе.

.        Выявление положительных тенденций в данном виде кредитования, проблем и путей их решения в Луге и Лужском районе.

Объектом исследования данной дипломной работы является непосредственно ипотечное кредитование недвижимости, предметом - ипотечное кредитование объектов недвижимости непосредственно в Луге и Лужском районе.

Структура дипломной работы:

.        Введение. В нем раскрывается актуальность темы работы, её цели и задачи, структура.

.        Первая глава. Теоретическая часть, рассматривается сущность и понятие темы, ее законодательное регулирование.

.        Вторая глава. Практическая часть, включает в себя практические и аналитические аспекты темы.

.        Заключение. Является выводом из рассмотренного и изученного в работе.

.        Список литературы. Список используемых источников.

.        Приложения. Служат примером для наиболее подробного раскрытия темы.

Глава 1. Ипотечное кредитование объектов недвижимости в РФ

Впервые термин «ипотека» возник в Греции в конце VII - начале VI веков до н. э. Именно принадлежащей заёмщику землей древние греки обозначали, что тот является должником перед кредитором. На границе земельного участка заёмщика обязательно ставился столб с надписью, гласившей, что эта земля обеспечивает долг. Такой столб и называли «ипотекой», что означало «подпорка». В России ипотечное кредитование прижилось лишь в XVIII веке в результате появления частной собственности на землю. В период правления императрицы Елизаветы Петровны были открыты первые дворянские банки в Москве и Санкт-Петербурге. А позже, с начала 70-х годов XIX века в стране действовало уже 11 акционерных ипотечных банков самых различных направленностей: земельные банки, сельские банки, кредитные товарищества и так далее. Однако согласно российскому законодательству XIX века на одной территории не могли действовать одновременно более двух земельных банков. В результате появления ипотечного (земельного) кредитования крестьяне смогли выкупать помещичью землю. Ссуды выдавались на 30, а то и на 40 лет. В XX веке после октябрьского переворота ипотечные банки в России были полностью ликвидированы. Последующие десятилетия ипотека в России переживала глубокий кризис. Ипотечных программ в СССР не было, так как жилая недвижимость была исключительно в государственной собственности. Её возрождение пришлось на вторую половину 90-х годов, когда появилась приватизация жилой недвижимости и произошла полная реорганизация банковской структуры и был принят закон «Об ипотеке (залоге недвижимости)».

В рыночных условиях хозяйствования банковский кредит - один из основных источников заемных средств. Потребительский кредит может быть использован, когда для покупки объектов недвижимости не хватает небольшой суммы. Законодательство Российской Федерации предусматривает выдачу кредитов под различные виды обеспечения. Важнейшие из них: залог имущества и имущественных прав, гарантии и поручительства третьих лиц, страхование кредитного риска, переуступка в пользу банка требований и счетов заемщика, предоставление «связанных» кредитов. Финансирование объектов недвижимости за счет только заемного капитала в большей степени относится к специальным видам финансирования (строительные кредиты, различные виды муниципального финансирования), которые требуют особых технологий финансирования, кредитования и страхования. При этом сама заемная форма может иметь сложную структуру, состоящую из ряда кредитов и займов. Финансирование приобретения населением жилья с помощью только заемных средств также осуществляется довольно редко и требует дополнительного страхования или иного (дополнительного) обеспечения. Залог объектов недвижимости с целью получения денежной ссуды - ипотечного кредита (кредита под закладную) - называется ипотекой. С юридической точки зрения ипотека состоит в обременении имущественных прав собственности на объекты недвижимости при их залоге. C экономической точки зрения ипотека - рыночный инструмент оборота имущественных прав на объекты недвижимости, позволяющий привлекать дополнительные финансовые средства для реализации любых проектов. Особенности региональной экономики и возможности привлечения бюджетных ресурсов в регионах определили появление различных схем ипотечного жилищного кредитования. Сейчас ипотека в России - это возможность приобрести жилье за 10-30% первоначального взноса от стоимости квартиры сроком в среднем на 10-15 лет.

.1      Сущность и понятие ипотечного кредитования объектов недвижимости в РФ

Ипотечное кредитование - долгосрочный кредит, предоставляемый юридическому или физическому лицу банками под залог недвижимости: земли производственных и жилых зданий, помещений, сооружений.

Объекты и субъекты ипотечного кредитования.

Объектами ипотеки могут быть объекты недвижимости, права на которые зарегистрированы в установленном законом порядке:

·        предприятия как единые имущественные комплексы, используемые в предпринимательской деятельности;

·        здания и сооружения (используемые в предпринимательской деятельности) с одновременной ипотекой по тому же договору земельных участков, на которых они находятся, либо частей этих участков, функционально обеспечивающих эти здания и сооружения;

·        жилые дома, квартиры и их части;

·        гостиницы, дома отдыха, дачи, садовые домики;

·        воздушные и морские суда, суда внутреннего плавания и космические объекты;

·        незавершенные строительством объекты недвижимости, материалы и оборудование;

·        участки недр, обособленные водные объекты;

·        леса, многолетние насаждения;

·        земельные участки, находящиеся в собственности граждан, их объединений, юридических лиц и предоставленные для садоводства, животноводства, индивидуального жилищного, дачного и гаражного строительства; приусадебные земельные участки личного подсобного хозяйства и земельные участки, занятые зданиями, строениями или сооружениями, в размере, необходимом для хозяйственного обслуживания.

На рынке ипотечных кредитов действуют четыре основных субъекта: заемщик, кредитор, инвестор и правительство.

Заемщики (залогодатели) - физические и юридические лица, обратившиеся за получением кредита и получившие его. Заемщики добровольно предоставляют уже имеющееся у них в собственности и (или) приобретаемое на средства кредита жилье в залог (табл.1).

Таблица 1. «Классификация обслуживания долга заемщиком».

Финансовое состояние заемщика (класс).

Обслуживание долга заемщиком (группа).


Хорошее

Слабое

Неудовлетворительное

А

Стандартная

Под контролем

Субстандартная

Б

Стандартная

Субстандартная

Субстандартная

В

Субстандартная

Субстандартная

Сомнительная

Г

Сомнительная

Сомнительная

Безнадежная

Д

Сомнительная

Безнадежная

Безнадежная


Кредиторы - это банки (кредитные организации) и иные юридические лица, предоставляющие заемщикам в установленном законом порядке ипотечные кредиты.

Инвесторами являются юридические и физические лица, приобретающие ценные бумаги, обеспеченные ипотечными кредитами, имитируемые кредиторами или операторами вторичного рынка. К ним относятся инвестиционные фонды, страховые компании, паевые инвестиционные фонды.

Правительство создает условия для надежного функционирования системы ипотечного кредитования, осуществляет надзор за деятельностью кредиторов, содействует некоторым группам населения в приобретении жилья.

Принципы ипотечного кредитования объектов недвижимости - это гласность, конкретность, доверие. Под гласностью понимается доступность информации о нахождении в залоге имущества для всех заинтересованных лиц. Конкретность в данном случае - имущество, переданное в залог должно по своим характеристикам (и в частности по функциональному назначению) точно совпадать с данными, которые оно имеет в качестве объекта государственной регистрации. Доверие при ипотечном кредитовании - стоимость и ликвидность имущества гарантирует возврат долга. Требования залогодержателя выполняются под гарантии оговоренного имущества залогодателя. Залогодержатель имеет право получить на тех же началах удовлетворение из страхового возмещения за утрату или повреждение заложенного имущества независимо от того, в чью пользу оно застраховано, если только утрата или повреждение не произошли по причинам, за которые залогодержатель отвечает.

Схема 1. «Принципы банковского кредитования»:


Процесс ипотечного жилищного кредитования состоит из шести этапов.

.        Предварительная квалификация (одобрение) заемщика. Заемщик должен получить всю необходимую информацию о кредиторе, об условиях предоставления кредита, о своих правах и обязанностях при заключении кредитной сделки. Кредитор, в свою очередь, оценивает возможность потенциального заемщика возвратить кредит и делает предварительную оценку возможности предоставления кредита данному заемщику.

.        Сбор и проверка информации о заемщике. На этом этапе происходит сбор и подтверждение (в том числе с помощью информации из официальных источников) данных, которые предоставил заемщик, а также сбор других необходимых сведений о трудовой занятости заемщика, источниках и размерах его доходов, наличии или отсутствии других финансовых обязательств. Все эти сведения необходимы банку для того, чтобы верно оценить платежеспособность и кредитоспособность заемщика.

.        Заполнение заявления-анкеты на кредит. Заявление является документом, в котором собраны все подтвержденные данные о платежеспособности заемщика, цели кредита, предмете залога, иных активах заемщика, его кредитной истории, семейном положении и другие сведения, на основе анализа которых вырабатываются решения о возможности предоставления кредита заемщику.

.        Оценка кредитором вероятности погашения ипотечного кредита (процедура андеррайтинга). Специалисты банка анализируют полученные о заемщике сведения, оценивают возможные риски и определяют основные параметры кредита, при которых риски, которые берут на себя кредитор и заемщик, заключая кредитный договор, минимальны. Определяются максимально доступная сумма жилищного кредита с учетом доходов заемщика, необходимые суммы собственных средств, которыми должен располагать заемщик к моменту заключения кредитной сделки (сумма первоначального взноса, расходы на заключение и оформление необходимых договоров и другие возможные расходы). Заемщик вправе подобрать себе жилье как до обращения к кредитору, так и после. В первом случае кредитор оценивает жилье с точки зрения обеспечения возвратности кредита, а также рассчитывает сумму кредита исходя из доходов заемщика, вносимого первоначального взноса и стоимости жилья. Во втором случае потенциальный заемщик, уже зная сумму кредита, рассчитанную кредитором, может подобрать подходящее по стоимости жилье и заключить с его продавцом сделку купли-продажи при условии, что кредитор будет согласен рассматривать приобретаемое жилье в качестве подходящего обеспечения кредита. Особое внимание уделяется правильной оценке предмета ипотеки. В результате процедуры андеррайтинга кредитор принимает решение о выдаче кредита заемщику или дает мотивированный отказ. При положительном решении кредитор рассчитывает сумму кредита и формулирует другие важные условия его выдачи (срок, процентную ставку, порядок погашения).

.        Заключение кредитной сделки. На данном этапе происходит заключение договора купли-продажи квартиры между заемщиком и продавцом жилья, заключение кредитного договора между заемщиком и кредитором, а также приобретение жилья заемщиком и передача его в залог кредитору по договору об ипотеке или по закону. В случае положительного решения кредитор заключает с заемщиком кредитный договор, договор ипотеки, а заемщик вносит на свой банковский счет собственные денежные средства, которые он планирует использовать для оплаты первоначального взноса. На этом же этапе происходит заключение договоров страхования предмета ипотеки, жизни заемщика, а также, по возможности, прав собственника на приобретаемое жилое помещение.

.        Обслуживание ипотечного кредита. На данном этапе кредитор принимает платежи от заемщика, ведет бухгалтерские записи о погашении основной задолженности и процентов, осуществляет все необходимые действия по обслуживанию выданного ипотечного кредита, выявляет и своевременно устраняет возможные проблемы, связанные с погашением кредита.

В случае выполнения обязательств по кредитному договору кредит считается погашенным, а ипотека прекращается, о чем делается соответствующая запись в государственном реестре. В случае невыполнения заемщиком и залогодателем условий кредитного договора или договора об ипотеке кредитор обращает взыскание на заложенное жилье в судебном или внесудебном порядке. Предмет ипотеки реализуется, а полученные средства идут на погашение долга кредитору (основной суммы долга, процентов, штрафов, пеней и т.д.), из них же осуществляются расходы на процедуру обращения взыскания и продажу предмета ипотеки. Оставшиеся средства получает заемщик.

.2 Законодательная база ипотечного кредитования объектов недвижимости в РФ.

Главными кодифицированными документами в Российской Федерации являются Гражданский и Налоговый кодексы, где рассматриваются отдельные, наиболее общие моменты. Если рассматривать уровень законодательных документов федерального и специального назначения, то главным законом, регулирующим механизм ипотеки, является Федеральный закон № 102-ФЗ «Об ипотеке (залоге недвижимости)» от 16.07.98. Данный закон определяет основания возникновения ипотеки и её регулирование:

«1. По договору о залоге недвижимого имущества (договору об ипотеке) одна сторона - залогодержатель, являющийся кредитором по обязательству, обеспеченному ипотекой, имеет право получить удовлетворение своих денежных требований к должнику по этому обязательству из стоимости заложенного недвижимого имущества другой стороны - залогодателя преимущественно перед другими кредиторами залогодателя, за изъятиями, установленными федеральным законом. Залогодателем может быть сам должник по обязательству, обеспеченному ипотекой, или лицо, не участвующее в этом обязательстве (третье лицо). Имущество, на которое установлена ипотека, остается у залогодателя в его владении и пользовании.

. К залогу недвижимого имущества, возникающему на основании федерального закона при наступлении указанных в нем обстоятельств (далее - ипотека в силу закона), соответственно применяются правила о залоге, возникающем в силу договора об ипотеке, если федеральным законом не установлено иное.(в ред. Федерального закона от 11.02.2002 N 18-ФЗ)(см. текст в предыдущей редакции)»

Примечание: в свою очередь, Гражданский кодекс РФ, 23 главой «Обеспечение исполнения обязательств» подробно описывает правила залога имущества.

Так же закон об ипотеке определяет требования, обеспечиваемые ипотекой. Речь идет о том, что ипотека обеспечивает уплату залогодержателю основную сумму долга по договору, выплате процентов и других причитающихся залогодержателю выплат.

Так же стоит отметить прописанное в законе право отдавать имущество в залог по договору об ипотеке:

«1. Ипотека может быть установлена на указанное в статье 5 настоящего Федерального закона имущество, которое принадлежит залогодателю на праве собственности или на праве хозяйственного ведения.

. Не допускается ипотека имущества, изъятого из оборота, имущества, на которое в соответствии с федеральным законом не может быть обращено взыскание, а также имущества, в отношении которого в установленном федеральным законом порядке предусмотрена обязательная приватизация либо приватизация которого запрещена.

. Если предметом ипотеки является имущество, на отчуждение которого требуется согласие или разрешение другого лица или органа, такое же согласие или разрешение необходимо для ипотеки этого имущества.»

Договор об ипотеке составляется в соответствии с общими правилами Гражданского кодекса и подлежит государственной регистрации.

Стоит рассмотреть залог и закладную. Правовое регулирование залога отражено в следующем ряде документов: это закон РСФСР «О залоге» (1992 г.); ГК РФ, гл. 23, § 3 «Залог»; закон РФ от 16.07.1998 г. № 102-ФЗ «Об ипотеке (о залоге недвижимости)». Нормы закона РФ «О залоге» применяются к залогу объектов недвижимости (ипотеке) в той мере, в которой они не противоречат федеральному закону «Об ипотеке».

Залог - самый предпочтительный способ обеспечения обязательств, так как удовлетворение требований кредитора, обеспеченных залогом, не зависит от финансового положения должника, с которым связана возможность выплат, и успешной деятельности поручителя, которая в данном случае не влияет на выполнение им обязательств должника перед кредитором . Залог - это важнейший инструмент в правовом регулировании рыночных отношений, он служит гарантией удовлетворения требований кредиторов за счет имущества должника; наличие такого имущества составляет отличительную черту залога. Здесь кредитор руководствуется принципом «верю не лицу, а вещи», то есть имеет место реальный, а не личный кредит. Поэтому залогодателем может быть как сам должник, так и действующее в его интересах третье лицо (поручитель). Залог обладает характерным свойством вещных прав - правом следования: право следует за вещью. Где и в чьей бы собственности ни находился предмет залога, он будет предметом залога до прекращения основного обязательства должника перед кредитором. В таком случае вещь либо иное имущество, переданное в залог, обременено залогом. Кредитор сохраняет залоговое право даже в том случае, если заложенное имущество отчуждается собственником в пользу третьих лиц. Однако залог не дает права собственности , владения или пользования на заложенное имущество после нарушения должником своих обязательств, а продолжает служить средством удовлетворения основного требования кредитора из стоимости заложенного имущества.

Закладная - юридический документ о закладе (залоге) объекта недвижимости, который удостоверяет отдачу объекта в обеспечение обязательств под кредит . Обязательными лицами по закладной являются должник по обеспеченному ипотекой обязательству и залогодатель. Закладная оформляется залогодателем, а если он является третьим лицом - также и должником по обеспеченному обязательству. Закладная выдается первоначальному залогодержателю после государственной регистрации. Закладная является производным обязательством договора об ипотеке: если этот договор признан недействительным, то и закладная недействительна. При передаче договора об ипотеке третьему лицу закладная также передается этому лицу. Это означает, что закладная «лежит» на объекте недвижимости, а не на должнике, то есть любой покупатель объекта недвижимости получает вместе с ним и обязательство по закладной, в противном случае сделка будет признана ничтожной.

Залогодержатель может передать свои права по договору об ипотеке другому лицу, которое становится залогодержателем по тому же договору. Уступка прав по договору об ипотеке, означающая и уступку прав по обеспеченному ипотечному обязательству, должна быть нотариально удостоверена и зарегистрирована в установленном законом порядке. Залогодержатель может передать права по закладной только лишь путем совершения на ней передаточной надписи в пользу другого лица (владельца закладной) и передачи закладной этому лицу. В передаточной надписи должно быть указано полное имя (наименование) лица, которому передаются права. Передаточные надписи, не содержащие такого указания, считаются ничтожными.

.3 Схемы ипотечного кредитования объектов недвижимости

В настоящее время выделяется две схемы ипотечного кредитования:

Двухуровневая («американская модель»), опирается на вторичный рынок закладных. Модель заключается в следующем. Банк выдает ипотечный кредит заемщику, в обмен на обязательство в течение определенного срока ежемесячно переводить в банк фиксированный платёж. Это обязательство заемщика обеспечено залогом приобретаемого им жилья. Банк продает кредит одному из агентств ипотечного кредитования, передавая при этом и обязательства по его обеспечению. Агентства сразу же возмещают банку выплаченные заемщику средства и взамен просят переводить получаемые от него ежемесячные выплаты за вычетом прибыли (маржи) банка в агентство. Величину ежемесячных выплат, то есть ставку, по которой агентство обязуется покупать ипотечные кредиты, устанавливает само агентство на основании требований инвесторов к доходности соответствующих финансовых инструментов. Ипотечные агентства после покупки некоторого количества ипотечных кредитов у коммерческих банков, собирают их в пулы и создают на основе каждого новую ценную бумагу, источником выплат, по которой являются платежи заемщиков. Эти выплаты гарантированы не залогом недвижимости, а агентством (как юридическим лицом). Агентства реализуют ипотечные ценные бумаги на фондовом рынке и затем также выступают как посредники, передавая инвестору, купившему ценную бумагу, выплаты агентству от банка за вычетом своей маржи (прибыли). В США ставки по ипотечным ценным бумагам лишь незначительно выше ставок по государственным ценным бумагам, что объясняется уверенностью инвесторов в том, что в случае массового дефолта заемщиков государство окажет необходимую финансовую помощь ипотечным агентствам для погашения ими своих обязательств. Поддержка государства дает возможность рассматривать ценные бумаги ипотечных агентств как практически без рисковые и позволяет вкладываться в них самым консервативным инвесторам, таким, как, пенсионные фонды, а следовательно, обеспечивает переток в ипотечные кредиты самых дешевых на рынке ресурсов.

В России такая модель применяется на вторичном рынке ипотеки.

Одноуровневая («немецкая модель»). Это независимая сбалансированная модель ипотеки, базирующаяся на сберегательно-ссудном принципе функционирования по типу немецких «частных стройсберкасс», таких как Bausparkasse, французских Livret Epargne Logement, американских Savings & Loans. Здесь вкладчик получает возможность накопить необходимый взнос на покупку квартиры (например, в размере 50 % ее стоимости) в течение длительного периода, а затем получить ипотечный кредит на покупку (строительство) заранее выбранной им квартиры. Строительная сберегательная касса, являясь замкнутой финансовой структурой, начинает свою деятельность с формирования уставного капитала и имеет на его основе свой собственный источник средств, также включая квартирный фонд, для выдачи кредитов. Все имеющиеся средства кассы (собственные и привлеченные) используются только для осуществления уставной деятельности, то есть на финансирование строительства жилья и выдачу ипотечных кредитов на покупку уже построенных квартир.

В России такая модель применяется на первичном рынке ипотеки, так называемая «долёвка» и жилищно - накопительные кооперативы, которые жестко регулируются законом.

В условиях перехода России к рыночным отношениям возникла необходимость формирования псевдоипотечных схем, которые были инициированы «Корпорация Жилищная Инициатива», «Сбербанк России» и «Росгосстрах». Эти программы предусматривают несколько схем:

.        «Форвард - Кредит Инвест» - коммерческие застройщики строят жилые дома для состоятельных клиентов и коммерческих структур. Предметом залога является сам строительный объект.

.        «Ретрокредитинвест» - схема для желающих улучшить жилищные условия. Залогом является уже имеющаяся квартира.

.        « Фьючер - Инвест» - это схема для граждан, не желающих закладывать свою собственность: квартира продаётся с аукциона с условием отсрочки выселения, бывший собственник жилья самостоятельно вкладывает в строительство объекта на свой финансовый риск, или же собственник жилья поручает продажу старого жилья и строительство нового инвестору-застройщику.

.        «Комбинвест» - комбинированная схема инвестирования через систему жилстройсбережений и долевого инвестирования.

Следует обратить внимание на то, что схемы ипотечного кредитования на первичном и вторичном рынке применяются по - разному. Ипотечный рынок представляет собой взаимосвязанную систему, состоящую из рынка ипотечных кредитов (первичного ипотечного рынка), рынка ипотечных ценных бумаг(вторичный ипотечный рынка) и рынка недвижимости.

Рынок ипотечных кредитов (первичный ипотечный рынок) охватывает сферу деятельности кредитора и заемщика, между которыми в силу заключения договора возникают обязательства. Участниками первичного рынка выступают граждане и ипотечные банки, ипотечные компании и другие учреждения, предоставляющие кредиты под залог недвижимости. Если кредитором является банк, то для него важна возможность возобновления кредитных ресурсов, которые он может выдавать в виде новых долгосрочных ипотечных кредитов очередным заемщикам , для решения этой задачи организуется вторичный ипотечный рынок. Первичный ипотечный рынок охватывает всю совокупность деятельности залогодержателей (кредиторов) и залогодателей (заемщиков), вступающих в соответствующие правовые отношения.

Рынок ипотечных ценных бумаг (вторичный ипотечный рынок) - на этом рынке осуществляется продажа закладных по уже предоставленным ипотечным кредитам. Организация, предоставившая кредит под залог объектов недвижимости, выпускает ценные бумаги, обеспеченные закладными, с целью продать их другим инвесторам. На вторичном ипотечном рынке происходит формирование совокупного кредитного портфеля ипотечной системы за счет изменения прав по обязательствам и договорам об ипотеке (закладных) в обезличенные ценные бумаги и размещения их среди долгосрочных инвесторов. На вторичном рынке ипотека рассматривается как закладная, удостоверяющая права залогодержателя на объект недвижимости, и свободно обращается на ипотечном рынке. Вторичный ипотечный рынок является связующим звеном между заемщиками и кредиторами на первичном ипотечном рынке, обеспечивая накопление денежных средств и направляя финансовые потоки в ипотечные кредиты.

Рынок ипотечных ценных бумаг, в свою очередь, также делится на первичный и вторичный. На первичном рынке осуществляется начальное распределение ипотечных ценных бумаг среди кредиторов. Экономическая сторона появления закладных, обеспеченных объектом недвижимости, связана с созданием условий предоставления значительному числу инвесторов возможности получения относительно дешевых и долгосрочных кредитов под залог ипотечных ценных бумаг и имеющихся у них имущественных прав на недвижимость. Особенностями таких ценных бумаг следует считать превращение в легкореализуемую (денежную) форму имущественных прав на недвижимость залогодателя и возможность их использования в качестве залога под ипотечный кредит.

Агентство по ипотечному жилищному кредитованию (АИЖК) создано в 1997 г. Работает следующим образом: агентство получает государственные гарантии, под которые выпускает облигации. Затем бумаги размещаются среди инвесторов. На вырученные средства АИЖК через свои представительства выкупает закладные у банков. На регионы приходится 60% ипотечных кредитов, выданных с участием АИЖК (см. приложение 1).

Вторичный рынок ипотечных ценных бумаг - это рынок, на котором происходит оборот ипотечных ценных бумаг. Вторичный рынок не увеличивает стоимости привлеченных финансовых ресурсов, но создает механизм их быстрой реализации и спрос на ипотечные ценные бумаги. Побуждение операций на вторичном рынке ипотечных ценных бумаг предполагает такие операции кредиторов, как выдача поручительств за заемщиков по переуступаемым кредитам и доверительное управление правами требования по ипотечным кредитам.

Глава 2. Практическая часть

.1      Виды и расчет платежей по ипотечному кредиту объектов недвижимости

Существует несколько технологий ипотечного кредитования, которые различаются порядком начисления платежей по процентам и возврату кредита:

.        Постоянный ипотечный кредит, предусматривающий ежемесячные равновеликие выплаты, которые включают платежи по погашению долга и процентам (аннуитет).

.        Кредит с фиксированным платежом, предусматривающий ежемесячные равновеликие платежи в счет погашения суммы кредита и проценты на оставшуюся сумму долга (пружинный ипотечный кредит).

.        Кредит с переменной ставкой процента, платеж изменяется в зависимости от ситуации на финансовом рынке.

.        Кредиты с «шаровым платежом», при которых основная нагрузка выплат по кредиту предусматриваются в последние месяцы кредитования.

.        Кредиты с нарастающим платежом, предусматривают постепенное возрастание суммы ежемесячных платежей к концу срока кредитования.

Ипотечный банк занимается предоставлением ипотечного кредита, перепродажей ипотечных ценных бумаг и оказанием услуг, связанных с данной деятельностью. Ипотечный банк впервые возник в Западной Европе в XIII веке. Особое развитие этот вид банка получил в Германии, где первый ипотечный банк был создан в 1770 году в Силезии. Это был государственный ипотечный банк, который осуществлял финансовую поддержку в основном крупных коммерческих хозяйств. Банки в Германии выдавали ипотечные кредиты промышленным компаниям, под недвижимость, а также для нужд сельским производителям. Средства для предоставления кредитов ипотечный банк получает от продажи закладных листов. Это надежные, приносящие твердые проценты долговые обязательства банка по отношению к держателям. Выпускаемые закладные листы обеспечиваются предоставляемыми банком и гарантированными ипотеками или ипотечными долгами ссудами. Ипотечные банки имеют в экономике двойное значение: как социальные институты, обеспечивающие долгосрочные земельные кредиты, и как эмитенты закладных листов, являющихся наиболее защищенным средством вложения капитала и приносящих проценты. Ипотечные банки являются посредником между вложением капитала и реальным кредитом. Капитал держателя закладных листов обеспечивается не одним объектом, а совокупностью всех объектов банка, гарантирующих его займы. Таким образом, происходит рассеивание риска. В отличие от частного лица, которое предоставляет заем под один объект, банк имеет возможность назначать очень низкие ставки погашения, так как средства, поступающие от многочисленных кредитополучателей, могут быть использованы для новых кредитов. Ипотечные банки предоставляют также займы различным коммунальным общественным структурам. В этом случае заем обеспечивается не ипотеками, а средствами, получаемыми за счет налогов. Источником средств для коммунальных займов являются выпускаемые банком Коммунальные (Общественные) закладные листы. Они отличаются от обычных закладных листов лишь способом гарантирования. Виды деятельности, которыми могут заниматься ипотечные банки наряду с основной, включают также вложение средств в ценные бумаги под определенные проценты, выдачу ссуд под залог ценных бумаг, а также некоторые финансовые услуги. Ипотечному банку запрещена побочная деятельность, связанная с риском. Например, банк может приобретать участки у своих должников только с целью предотвращения убытков, строительства административных зданий для своих нужд или жилья для своих сотрудников; спекуляцией земельными участками банку запрещено заниматься. Законодательные ограничения в интересах держателей закладных листов делают ипотечные банки специальными институтами, а не универсальными банками. Свою деятельность ипотечные банки осуществляют на основе залогового права (см.прил.2).

Гражданин РФ может рассчитать суммы платежей по требуемой сумме кредита воспользовавшись так называемым «кредитным калькулятором» (см.прил.3).

.Расчёт выплат ипотечного кредитования по технологии постоянного ипотечного кредита (аннуитета).

Формула для расчета аннуитетных платежей:

Аннуитетный платеж = Сумма кредита *

Где:- количество месяцев, в которые платится ипотека.- процентная ставка по займу в месяц.

В случае если указана годовая ставка, нужно поделить ее на 12.

Допустим годовая ставка, 12 процентов, тогда:= 0.12/12 = 0.01

Для примера, займ со следующими параметрами:

Сумма - 1 миллион рублей;

Ставка - 12 %;

Срок - 60 месяцев;

Дата первого платежа - 1 сентября 2011.

Таблица 2. «График платежей по ипотечному кредиту аннуитетным способом».

Дата платежа.

Сумма платежа.

Основной долг.

Начисленные проценты.

Остаток долга.

Досрочное погашение.


1334827,36

1000000

334827,36

1000000

0

1.

01.09.12

22244.25

12052.67

10191.98

987947.33


2.

01.10.12

22244.25

12500.31

9744.14

975447.02


3.

01.11.12

22244.25

12302.91

9941.54

963114.12


4.

01.12.12

22244.25

12744.94

9499.50

950399.17


5.

01.01.13

22244.25

12559.04

9685.41

937840.13


6.

01.02.13

22244.25

12712.30

9532.15

925127.83


7.

01.03.13

22244.25

13448.15

8796.3

911679.68


8.

01.04.13

22244.25

12978.2

9266.25

898701.49


9.

01.05.13

22244.25

13404.76

8839.69

885296.72


10.

01.06.13

22244.25

13246.35

8998.1

872050.37


11.

01.07.13

22244.25

13666.9

8577.54

858383.46


12.

01.08.13

22244.25

13519.89

8724.55

844865.48


13.

01.09.13

22244.25

13657.31

8587.14

831206.27


14.

01.10.13

22244.25

14068.65

8175.8

818137.62


15.

01.11.13

22244.25

13939.11

8305.33

803198.5



Примечание: так как расчет ведется по технологии постоянного ипотечного кредита (аннуитетные платежи), то для примера график приведен не до окончания срока кредитования.

Если рассматривать расчет графика платежей аннуитетного займа, то кроме формулы аннуитетного платежа есть формулы расчета процентов ежемесячного платежа и формулы расчета суммы в погашение основного долга. Рассмотрим эти формулы:

Аннуитетный платеж = Погашение ОД + Проценты

Где:

Погашение ОД - сумма в погашение тела займа

Проценты - сумма процентов по ссуде за месяц.

Расчет процентов по кредиту.

Где сумма ОД - сумма основного долга на дату расчета.

Ставка - процентная ставка в текущем периоде. Если было изменение процентной ставки, берется новая ставка. Число дней между датами - разность в днях между датами “Дата текущего платежа” и дата предыдущего платежа. Число дней в году - целое число дней в текущем году. Если мы считаем процентный платеж к примеру с 22 декабря 2011 по 22 января 2012 то формула процентов имеет вид:

 

То есть нужно посчитать отдельно проценты за декабрь и за январь в зависимости от числа дней в году. В нашем примере при первом платеже это делать не нужно.

Рассчитаем первый платеж в уплату процентов по указанному выше займу за сентябрь месяц (разница между датами 31 день). Как видно сумма ОД на первый месяц составляет 1 млн. рублей. Подставим даты, ставки и число дней в году. Итого в счет уплаты процентов должно пойти 10191.78. Произведем расчет суммы в погашение тела займа: 22244.45 - 10191.78 = 12052.67 Теперь рассчитаем сумму основного долга после оплаты первого взноса по ипотеке: 1000000 - 12052.67 = 987947.33Далее проценты будут начисляться на данную сумму. Так можно посчитать график для всех платежей.

.Расчет платежей по «пружинному» ипотечному кредиту.

Пружинный кредит предполагает фиксированные равновеликие платежи в погашение основного долга. Проценты в этом случае рассчитываются от остаточной суммы основного долга, которая постоянно уменьшается.

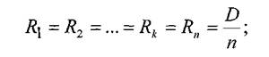
Размер платежей по основному долгу постоянен и рассчитывается по формуле:


Где:

n - общее число платежей по погашению кредита (количество периодов);

D - сумма ипотечного кредита.

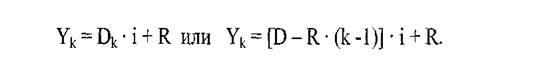
Остаток основного долга k-ом периоде вычисляется по формуле:


где к - номер периода, к=1,..., n.

Величина процентного платежа для к -того расчетного периода (Iк) рассчитывается по формуле:


где i - ставка процента по кредиту, %.

Величина общего платежа в к-ом периоде (Yk) рассчитывается по формулам:


По указанным формулам произведем расчеты графика погашения платежей по данному виду кредита.

Таблица 3.«Расчет графика погашения пружинного ипотечного кредита».

Года

Остаток основного долга

Процентный платеж за год

Платеж по погашению основного долга

Общий платеж за год

1

852,0

110,8

85,2

196,0

2

766,8

99,7

85,2

184,9

3

681,6

88,6

85,2

173,8

4

596,4

77,5

85,2

162,7

5

511,2

66,5

85,2

151,7

6

426,0

55,4

85,2

140,6

7

340,8

44,3

85,2

129,5

8

255,6

33,2

85,2

118,4

9

170,4

22,2

85,2

107,4

10

85,2

11,1

85,2

96,3

Всего

0,0

609,2

852,0

1461,2


Диаграмма 1:«Динамика и структура погашения пружинного ипотечного кредита»


. Расчет ипотечного кредита с переменной ставкой процента.

Кредит с переменной процентной ставкой (adjustable rate mortgage, ARM). Это наиболее приемлемый кредитный инструмент для стран, экономика которых отличается умеренно высокой и волотильной инфляцией. В основе данного инструмента лежит пересмотр процентной ставки в зависимости от изменения ситуации на финансовом рынке, т.е. в соответствии с изменением стоимости привлекаемых кредитором ресурсов. По таким кредитам банк устанавливает пониженную процентную ставку, но перекладывает риск ее изменения на заемщика в результате для банка уменьшается риск процентной ставки, а для заемщиков увеличивается доступность кредита. Изначально расчеты платежей по кредиту проводятся по формуле стандартного аннуитетного ипотечного кредита. Полученный таким образом платеж действует в течение периода до пересмотра процентной ставки. Затем аналогичный расчет, учитывающий новую процентную ставку и остаток основного долга, делается на весь оставшийся срок кредита, и так далее для каждого периода кредита, характеризующегося новой (измененной) ставкой процента.

При использовании данного кредитного инструмента важно обосновать подход к выбору показателя (базы), на основе которого меняется процентная ставка по кредиту. В качестве таких показателей могут быть использованы: доходность государственных ценных бумаг, ставки по межбанковским кредитам, ставка LIBOR (Лондонская межбанковская ставка предложения кредитных ресурсов в долларах США), средний процент по депозитным сертификатам коммерческих банков, официально устанавливаемый уровень инфляции и т.д. Это должен быть показатель, который в наибольшей степени характеризует стоимость ресурсов, за счет которых предоставляются ипотечные кредиты, официально устанавливаемый и публикуемый, регулярно меняющийся с учетом ситуации на финансовом рынке. Процент по таким кредитам обычно устанавливается на уровне, определяемом по следующей формуле: базовый показатель плюс установленная банком надбавка.

Применение кредита с переменной процентной ставкой сопряжено с рядом проблем:

•      не все индексы процентной ставки верно отражают реальную стоимость ресурсов;

•      частый пересмотр процентной ставки делает кредит менее привлекательным для заемщика, сужая тем самым круг потенциальных потребителей ипотечных кредитов;

•      изменения платежей по кредиту могут быть несопоставимы с денежными доходами заемщика, что увеличивает кредитный риск;

•      данный кредитный инструмент достаточно сложен, так как требуется обосновывать для заемщика необходимость пересмотра процентной ставки и ее нового уровня.

При использовании кредита с переменной процентной ставкой первоначальный процент по нему, как правило, устанавливается на 1,5?2 процентных пункта ниже, чем по кредитам с фиксированной процентной ставкой, поскольку, с одной стороны, для банка снижается риск процентной ставки, а с другой присутствует элемент неопределенности для заемщика.

Чтобы повысить для заемщиков привлекательность ипотечных кредитов с переменной процентной ставкой, иногда применяется механизм регулирования процентной ставки. Суть регулирования заключается в установлении ограничений на максимальный уровень процентной ставки (interest rate cap). При этом возможен подход, при котором одновременно определяется максимально допустимое увеличение процента в течение одного года и максимальный предел увеличения процента за весь кредитный период (к примеру, 2 процентных пункта за год и 5 процентных пунктов за весь кредитный срок). Разновидностью кредита с переменной процентной ставкой является канадский «ролловер» (Canadian rollover mortgage), в соответствии с которым через заранее установленные временные интервалы (к примеру, пять лет) кредит переоформляется на новый, с измененной процентной ставкой (в сторону повышения или понижения - в зависимости от существующих в этот период рыночных процентных ставок по аналогичным кредитам). При использовании кредита с переменной процентной ставкой риск процентной ставки, как уже отмечалось, в значительной степени переносится на заемщика. Для банка повышается кредитный риск (при возможном росте процента и частом пересмотре процентных ставок). Кредитный риск несколько смягчается путем установления ограничений на максимальное увеличение процента, а также на периодичность пересмотра процента (например, один раз в 6 месяцев, квартал, год). Вероятность неплатежа может возрасти вследствие того, что рост процентной ставки будет несоразмерен росту доходов заемщика. В связи с этим банки, использующие кредитный инструмент с переменной процентной ставкой, уделяют серьезное внимание анализу соотношения уровня процентной ставки и кредитного риска. В то же время, при возможном снижении уровня процентных ставок на рынке, такой кредит более выгоден заемщику, чем кредит с фиксированной процентной ставкой, особенно при ограничениях (штрафах) на досрочное погашение кредита. Для кредитора в этом случае также снижаются риски досрочного погашения. Этот кредитный инструмент сочетает в себе лучшие черты ипотеки с переменной и фиксированной процентными ставками. В общем виде, суть его сводится к тому, что кредитный договор предоставляет заемщику возможность на определенных условиях преобразовать (конвертировать) кредит с переменной процентной ставкой в кредит с фиксированным процентом.

Условия, предусмотренные данным кредитным инструментом, как правило, следующие. При заключении кредитного договора и на первой стадии кредитного периода действует переменная процентная ставка. Она может быть более привлекательной для заемщика, поскольку, как было сказано ранее, уровень процента по кредитам с переменной процентной ставкой при выдаче кредита обычно на 1,5-2 процентных пункта ниже, чем по кредитам с фиксированной ставкой. Кроме того, привлекательность этой ипотеки еще и в том, что при оценке платежеспособности заемщика требуемый совокупный семейный доход может быть меньше (поскольку платежи по кредиту будут меньше за счет пониженной - по сравнению с фиксированной процентной ставки). На второй стадии кредитного периода допускается конвертация ипотеки с переменной процентной ставкой в кредит с фиксированной процентной ставкой. Для заемщика это представляет интерес, если рыночные процентные ставки по кредитам повышаются и, соответственно, растет процент по кредитам с переменной процентной ставкой. Если рыночные процентные ставки понижаются, то переменная процентная ставка выгоднее. В это время, наоборот, заемщики стараются рефинансировать ипотеки с фиксированной более высокой процентной ставкой и взять кредит либо с переменной процентной ставкой, либо с новой более низкой фиксированной ставкой процента. По правилам, применяемым в США, конвертация разрешена в определенный период, к примеру начиная с 13-го месяца кредитного срока и кончая 16-м месяцем. При конвертации заемщик должен уплатить банку фиксированную сумму, например $ 250-500. Следует отметить, что заемщик обычно имеет право рефинансировать кредит с переменной процентной ставкой и получить новый, с фиксированным процентом (и наоборот). Это становится особенно актуальным, если процентные ставки начинают расти. Но цена такого рефинансирования для заемщика достаточно высока и обычно составляет 2-4% баланса кредита. Иногда кредитный договор не допускает рефинансирования ипотечного кредита (по крайней мере, на определенный период после выдачи). В то же время конвертируемые ипотеки обычно стоят на 0,25 - 0,5 процентного пункта дороже, чем обычные кредиты с переменной процентной ставкой. Следовательно, заемщик должен оценить, какой тип кредита ему выгоднее брать, учитывая тенденции на финансовом рынке.

. Расчет кредита с переменной ставкой процента

Осуществляются периодические фиксированные платежи в счет погашения основной суммы долга и выплаты процентов на оставшуюся часть долга.

Разновидность: несколько лет только процентные платежи, а потом равные платежи в счет долга и проценты на непогашенный остаток кредита. Процентная ставка меняется в соответствии с изменением финансовой ситуации на рынке, корректируется по установленным в договоре индексам. Применяется для заемщиков, рассчитывающих на рост доходов, в том числе, для предпринимателей (в начальный период финансовые ресурсы не отвлекаются из бизнеса). Особенность метода - первый взнос минимальный, затем взносы растут с постоянным темпом, а на определенном этапе начинаются равновеликие платежи по схеме самоамортизирующегося кредита. Кредитор непосредственно участвует в инвестировании: он одновременно получает и платежи по кредиту, и определенную часть регулярного дохода и (или) часть от суммы увеличения стоимости собственности. Право собственности на объект переходит к инвестору, кредитор только получает право на часть денежного потока, связанного с качеством функционирования собственности. Дополнительный доход, получаемый кредитором, называется “крикер”. В обмен на его получение кредитор снижает ставку за пользование денежными средствами. При этом кредитор имеет приоритетное право на получение своей части дохода от собственности, а заемщик получает более льготные условия кредитования. По условиям предоставления кредита кредитор должен получать 15% от суммы ежегодного операционного дохода сверх $10000. Это финансовое соглашение, согласно которому кредитор периодически выплачивает заемщику заранее оговоренные суммы в зависимости от стоимости недвижимости, которая является обеспечением кредита. Такие кредиты позволяют пополнить доходы пенсионерам, которые владеют собственностью. Пожилой человек получает пожизненную ренту в обмен на постепенную утрату прав на собственную квартиру. Предполагаемый временной период может быть ожидаемым оставшимся сроком жизни собственника (который постепенно становится пользователем) или же периодом, определенным контрактом. Предусматривается возможность продажи недвижимости, являющейся залоговым обеспечением кредита, еще не погашенного на момент продажи собственности. Обязательства по кредиту в этом случае принимает на себя покупатель. При отсутствии достаточного количества денежных средств на оплату сделки покупатель может взять новый кредит по рыночной ставке.

Пример.

Сумма - 40000 долларов;

Срок - 4 года;

Процент - 10 %.

Таблица 4. «Условия примера».

4. Расчет ипотечного кредита с «шаровым платежом».

В этом случае предусматривается выплата большей части или всей суммы кредита, т.е. «шаровой» платеж в конце срока кредитования.

Разновидности методов кредитования с «шаровым» платежом:

·        отсутствие процентных выплат до конца срока кредита, по окончании срока выплачивается вся сумма кредита и начисленный сложный процент, например, кредиты под освоение земли;

·        выплата в течение кредитного периода только процентов, в конце срока погашение задолженности «шаровым» платежом;

частичная амортизация с итоговым «шаровым» платежом.

Схемы кредитования с «шаровым» платежом применяются при финансировании нового строительства и проектов по освоению земли.

Пример:

Сумма кредита 5 000 000 рублей;

Ставка 12% годовых;

Срок кредита 4 года.

1.      Кредит без ежемесячных платежей. В данном случае, проценты начисляются на основной долг ежемесячно, но оплачиваются только в конце срока кредитования вместе с суммой основного долга. Конечно, не платить по кредиту в течение всего срока может быть приятно, но долговая нагрузка в конце периода кредитования может оказаться чрезмерно высокой, ведь надо выплатить не только всю сумму кредита, но и проценты, которые начислялись каждый месяц на всю сумму долга.

Таблица 5. «Подробное описание структуры платежа».


1й год

2й год

3й год

4й год

Остаток основного долга

5 000 000

5 000 000

5 000 000

5 000 000

Проценты начисленные

600 000

600 000

600 000

600 000

Проценты уплаченные

0

0

0

2 400 000


2.      За период кредитования будет начислено и уплачено 2 400 000 рублей процентов.

3.      Кредит, по которому уплата процентов производится каждый месяц. В этом случае общая сумма начисленных процентов будет точно такой же, как и в предыдущем, однако долговая нагрузка в конце периода будет значительно ниже, т.к. проценты уже выплачены.

Таблица 5.1. «Подробное описание структуры платежа».


1й год

2й год

3й год

4й год

Остаток основного долга

5 000 000

5 000 000

5 000 000

5 000 000

Проценты начисленные

600 000

600 000

600 000

600 000

Проценты уплаченные

600 000

600 000

600 000

600 000


4.      Кредит, по которому ежемесячно выплачиваются проценты и какая-то часть основного долга, а в конце срока оставшаяся крупная сумма. Такой график погашения наиболее выгоден как минимум по двум причинам: во-первых, итоговая сумма процентов будет меньше, чем в предыдущих случаях (т.к. проценты начисляются на остаток основного долга, а он у нас ежемесячно понемногу сокращается), во-вторых, долговая нагрузка в конце периода кредитования будет значительно ниже.

Таблица 5.2. «Подробное описание структуры платежа».


1й год

2й год

3й год

4й год

Остаток основного долга

5 000 000

4 700 000

4 400 000

4 100 000

Проценты начисленные

600 000

564 000

528 000

492 000

Проценты уплаченные

600 000

564 000

528 000

492 000


5.      При таком методе выплаты кредита сумма процентов будет составлять 2 184 000 рублей, что на 216 000 рублей меньше, чем в двух предыдущих случаях.

Главным положительным качеством кредитов с «шаровым» погашением является небольшая сумма ежемесячных выплат. Выплачивать в конце крупный платеж имеет смысл, если , например, приобретается недвижимость для дальнейшей ее перепродажи и ожидается, что когда подойдет срок окончательного платежа, она будет иметь гораздо более высокую цену, чем при покупке.

Отрицательных же сторон у кредитов с «шаровым» платежом гораздо больше:

·              слишком высокая долговая нагрузка в конце периода;

·              высокий риск отсутствия средств в необходимом объеме в конце периода;

·              переплата по процентам;

·              более жесткие требования банков к заемщикам и менее выгодные условия кредитования.

Надо отметить, что банкам применение такого способа оплаты повышает риски невозврата кредита, что в ряде случаев нивелирует выгоду от более высоких процентных доходов.

. Расчет ипотечного кредита с нарастающим платежом.

Применяется для заемщиков, рассчитывающих на рост доходов. Особенности такого метода кредитования:

·        минимальный первый взнос, затем взносы увеличиваются с постоянным темпом;

·        на определенном этапе начинаются равновеликие платежи по схеме самоамортизирующегося кредита.

При кредитовании с ростом платежей задается последовательность размеров платежей с увеличением взносов через равные интервалы времени, размер последнего взноса определяется по сумме остатка задолженности по кредиту. Такие схемы финансирования удобны для предпринимателей: в начальный период финансовые ресурсы не отвлекаются из бизнеса, который может интенсивно развиваться.

Рефинансирование ипотечного кредитования.

Рефинансирование ипотеки напоминает получение первого кредита, но со многими облегчающими жизнь исключениями. В частности, отсутствует продавец, и документы на него вроде справок из диспансеров собирать не надо (хотя новый банк может их потребовать от своего потенциального клиента). Но документы на заемщика и на квартиру собираются в полном объеме (примерный список приведен в разделе про покупку квартиры). Так как требуется новая оценка недвижимости, то оценщику понадобятся документы на квартиру. Тут есть нюанс. Кадастровый паспорт и отдельная экспликация действуют один год, а технический паспорт - пять лет. Если тех. паспорт еще годен, то надо попросить оценщика использовать его (в тех. паспорте должен быть и поэтажный план, и экспликация), тогда не придется тратить еще две недели на изготовление в кадастровой палате нового кадастрового паспорта с экспликацией. Если старая страховая не в списке партнеров нового банка, заключается договор с новой страховой. Единственный новый документ, что потребуется - справка из старого банка, составленная в свободной форме, где должны быть указаны реквизиты для перечисления средств в счет погашения кредита, размер оставшегося основного долга и перечень просроченных платежей. Последнего быть не должно. Если по какой-то причине хотя бы один платеж был просрочен, новый банк гарантировано поинтересуется причиной (а может сразу откажет). Естественно, для продолжения отношений с новым кредитором необходимо, чтобы причина была уважительной: техническая невозможность оплаты (проблемы в проведении платежей старым банком), задержка платежа сторонними организациями (например, внезапное выпадение дня оплаты на выходной день) и так далее. Во время одобрения заемщика и квартиры (этот процесс почти идентичен получению изначальной ипотеки) надо выяснить, каким образом будет выполняться перечисление средств из банка Б в банк А и на каких условиях. Оптимальный вариант - после совершения сделки банк Б, делает перевод в банк А, полностью погашая основной долг. Заемщику после сделки дается определенный срок на регистрацию прекращения обременения по ипотеке банка А и регистрации нового обременения банка Б. В этом случае для банка А все выглядит, как полное досрочное погашение, а значит действуют все положения закона об ипотеке, касающиеся ПДП: банк А не может помешать процессу досрочного погашения, должен принять платеж в день его прихода на счет заемщика, старая страховая обязана вернуть неиспользованную часть страховой премии (правда, за вычетом каких-то там расходов на операции с документами согласно внутреннему тарифу). После получения средств банком А он обязан незамедлительно выдать закладную с отметкой об исполнении обязательств в полном объеме. Далее заемщику необходимо обратиться в рег. палату и снять регистрационную запись о старой ипотеке и зарегистрировать новую ипотеку. Новая ипотека в данном случае будет в силу договора, а значит облагается гос. пошлиной в 1000 руб. Но так как заявителя в данном случае два: заемщик и новый банк, то каждый из них должен заплатить в бюджет по 500 рублей и предоставить об этом квитанции. В законе не сказано, можно ли подавать документы на прекращение обременения и регистрацию нового обременения одновременно. Общее время на оформление всех операций с недвижимостью равно максимальному времени по самой долгой операции. После получения документов в банк Б необходимо передать зарегистрированную закладную (но надо уточнить требования конкретного банка). Обычно ее получает представитель банка, но бывает и так, что это доверяют сделать заемщику.

.2      Анализ развития и практики ипотечного кредитования объектов недвижимости в Луге и Лужском районе

Ставки по ипотеке в Ленинградской области находятся в диапазоне 6.19 - 20.00 % годовых по рублевым кредитам и 5.98 - 14.10 % годовых по валютным кредитам. Минимальный первоначальный взнос по ипотеке в Ленинградской области составляет 0 %. Срок ипотечного кредитования в Ленинградской области может достигать 35 лет.

В Луге в настоящее время действуют следующие банки: «Сбербанк России», «Хоум кредит энд финанс банк», «Росгосстрах банк», «Россельхозбанк», «Рускобанк», «Восточный экспресс банк», «Пойдём!», «Открытие». Самым масштабным по количеству филиалов, и самым востребованным, является «Сбербанк России», количество отделений насчитывает пять отделений в Луге и восемь по Лужскому району. Вторым по популярности у населения является «Россельхозбанк». Если «Сбербанк России» по большей части привлекает граждан своей надежностью и многолетней работой в Луге (долгое время «Сбербанк России» являлся единственным в Луге банком, оказывающим полный спектр банковских услуг), и отчасти выгодными кредитными программами и системой вкладов, то «Россельхозбанк» заполучил популярность более гибкими кредитами, как потребительскими, так и ипотечными. Но все же, ввиду того, что население предпочитает обращаться к более популярному и привычному для них «Сбербанку России», «Россельхозбанк» на второй позиции по количеству клиентов.

Для анализа целесообразней взять два наиболее популярных в ипотечном кредитовании в Луге банка: «Сбербанк России» и «Россельхозбанк».

. Ипотека в «Россельхозбанке».

Ключевые преимущества:

·        Отсутствие комиссий по кредиту.

·        Возможность выбора схемы погашения кредита (аннуитетная / дифференцированная).

·        Досрочное погашение кредита без ограничений.

·        Возможность подтверждения дохода по форме банка.

·        Специальные условия кредитования для молодых семей.

·        Специальные условия кредитования при использовании материнского (семейного) капитала.

Кредит предоставляется на:

·        приобретение квартиры;

·        приобретение жилого дома с земельным участком (в том числе таунхауса);

·        оплату цены договора участия в долевом строительстве;

·        строительство жилого дома;

·        приобретение земельного участка с целью последующего строительства на нем жилого дома;

·        приобретение незавершенного строительством объекта недвижимости с земельным участком и завершение его строительства;

·        приобретение земельного участка.

Процентные ставки годовых в рублях РФ.

. Размер первоначального взноса - от 15 до 30 процентов (включительно).

А) Срок кредита до 60 месяцев (включительно) - 12,90 %.

Б) Срок кредита от 60 до 120 месяцев (включительно) - 13,50 %.

В) Срок кредита от 120 до 180 месяцев (включительно) - 14,00%.

Г) Срок кредита от 180 до 300 месяцев (включительно) - 14,50%.

. Размер первоначального взноса свыше 30 и до 50% (включительно.)

А) Срок кредита до 60 месяцев (включительно) - 12.40%.

Б) Срок кредита от 60 до 120 месяцев (включительно) - 13,00%.

В) Срок кредита от 120 до 180 месяцев (включительно) - 13,50%.

Г) Срок кредита от 180 до 300 месяцев (включительно) - 14,00%.

. Размер первоначального взноса свыше 50% (включительно).

А) Срок кредита до 60 месяцев (включительно) - 11,90%.

Б) Срок кредита от 60 до 120 месяцев (включительно) - 12,50%.

В) Срок кредита от 120 до 180 месяцев (включительно) - 13,00%.

Г) Срок кредита от 180 до 300 месяцев (включительно) - 13,50%.

Как видно из вышеуказанных данных - чем больше первоначальный взнос, тем меньше процент годовых. Но чем больше срок кредитования, тем процент годовых выше.

Надбавки и скидки к процентным ставкам (суммируются, если применимо) :

. + 3,50 % в случае отказа заемщика и/или солидарных заемщиков, доход которых был учтен при расчете суммы кредита, осуществить страхование жизни и здоровья либо несоблюдении ими принятого на себя обязательства по обеспечению непрерывного страхования жизни и здоровья в течение всего срока действия кредитного договора

. + 0,50% в период строительства объекта залога, до предоставления документов о регистрации ипотеки объекта залога в пользу Банка (применимо только для целевого использования - «оплата цены договора участия в долевом строительстве»).

. -1,00% для работников предприятий, являющихся участниками «зарплатного проекта» ОАО «Россельхозбанк» или работников ОАО «Россельхозбанк» (кроме кредитов в долларах США и евро).

Процентные ставки в долларах США и евро: от 10% годовых.

Условия кредитования.

Валюта кредита:         Рубли РФ / Доллары США / Евро.

Минимальная сумма кредита        : 100 000 рублей (3000 долларов США или 2500 евро).

Максимальная сумма кредита: до 20 000 000 рублей (600 000 долларов США или 500 000 евро)1,но не более 85% от стоимости приобретаемого/строящегося объекта недвижимости.

Срок кредита: до 25 лет

Комиссия за выдачу кредита:        не взимается.

Обеспечение по кредиту: залог приобретенного (построенного) за счет кредитных средств Банка жилого помещения/ жилого дома и земельного участка под ним/земельного участка; при приобретении объектов недвижимости на первичном рынке (по договору участия в долевом строительстве) на период до оформления ипотеки в пользу Банка - залог имущественных прав (требований) по договору участия в долевом строительстве.

Страхование: обязательное страхование - принимаемое Банком в залог имущество (за исключением земельных участков и незавершенных строительством объектов недвижимости), добровольное страхование жизни и здоровья Заемщика/Созаемщиков (не является обязательным условием предоставления кредита и остается на усмотрение Заемщика/ Созаемщиков).

Привлечение созаемщиков: в качестве созаемщиков по кредиту могут выступать физические лица в количестве не более 3-х человек, в том числе не состоящие в родственной связи с заемщиком. Супруг(а) Заемщика в обязательном порядке привлекается в качестве созаемщика по кредиту.

Требования к заемщику.

Возраст: от 21 до 65 лет (включительно) при условии, что срок возврата кредита по Кредитному договору (Договору об открытии кредитной линии) наступает до исполнения Заемщику 65 лет.

Гражданство: Российская Федерация.

Стаж работы: не менее 6 месяцев на последнем (текущем) месте работы и не менее 1 года общего стажа за последние 5 лет.

Регистрация: на территории РФ.

Необходимые к предоставлению документы:

·        Заявление - анкета Заемщика/Созаемщика/Поручителя/Залогодателя.

·        Паспорт гражданина РФ (Заемщика/Созаемщика/Поручителя/Залогодателя) или документ, его заменяющий (удостоверение личности для лиц, которые проходят военную службу; паспорт моряка (удостоверение личности моряка).

·        Для мужчин в возрасте до 27 лет (включ.) - военный билет или удостоверение граждан, подлежащих первичной постановке на воинский учет (приписное свидетельство).

·        Документы, подтверждающие финансовое состояние и трудовую занятость Заемщика/Созаемщика/Поручителя/Залогодателя.

·        Документы по предоставляемому обеспечению (в соответствии с требованиями Банка).

·        Документы по объекту недвижимости.

Перечень требуемых документов может быть изменен по усмотрению Банка.

Условия получения и обслуживания кредита.

·        Срок рассмотрения кредитной заявки - до 10 рабочих дней с момента предоставления полного пакета документов.

·        Порядок предоставления кредита - единовременно (в полной сумме в соответствии с заключаемым кредитным договором); путем открытия кредитной линии (в случае кредитования на строительство жилого дома, приобретение земельного участка с целью последующего строительства на нем жилого дома, приобретение незавершенного строительством объекта недвижимости (с земельным участком) и завершение его строительства).

·        Порядок погашения кредита - ежемесячно дифференцированными / аннуитетными платежами (по выбору Заемщика).

·        Условия досрочного погашения - осуществляется в дату ежемесячного платежа, установленную графиком платежей, без комиссий.

Специальные программы ипотечного жилищного кредитования.

·        Молодая семья. Молодая семья - семья, в которой возраст хотя бы одного из супругов не превышает 35 лет. Размер первоначального взноса: от 10% стоимости объекта недвижимости. Возможность воспользоваться отсрочкой по уплате основного долга:

А) на период строительства объекта недвижимости, но не более чем на 3 года;

Б) при рождении ребенка (детей) в период действия Кредитного договора/Договора об открытии кредитной линии с даты рождения до достижения им/ими возраста 3-х лет ;

В) отсрочка платежа по основному долгу может предоставляться только 1 раз.

Материнский капитал.

Дополнительные требования к Заемщику:

·        один из Заемщиков/Залогодателей должен являться распорядителем средств материнского (семейного) капитала.

Размер первоначального взноса от 0% стоимости приобретаемого/строящегося объекта недвижимости (при условии, что сумма материнского (семейного) капитала соответствует или превышает сумму минимального требуемого первоначального взноса, установленного по программе «Ипотечное жилищное кредитование»/«Ипотечное жилищное кредитование для молодых семей») .

Дополнительный комплект документов, предоставляемых для получения кредита по программе «Материнский капитал»:

·        государственный сертификат на МСК;

·        справка из пенсионного фонда РФ об остатке средств Материнского капитала, со сроком выдачи, не превышающим 1 месяца до момента подачи документов в Банк.

. Ипотечное кредитование в «Сбербанке России».

«Сбербанк России» предоставляет ипотечный кредит по следующим программам:

.        Приобретение готового жилья.

.        Приобретение строящегося жилья.

.        Строительство жилого дома.

.        Загородная недвижимость.

.        Гараж.

.        Ипотека плюс материнский капитал.

.        Военная ипотека.

Таблица 6. «Процентные ставки в рублях РФ в Сбербанке России».

Первоначальный взнос

Срок кредита


до 10 лет (включительно.)

от 10 до 20 лет (включительно.)

от 20 до 30 лет (включительно.)

от 50%

12,00%

12,25%

12,50%

от 30 до 50%

12,25%

12,50%

12,75%

от 15 до 30%

12,50%

12,75%

13,00%


Условия кредитования.

·        Валюта кредита - рубли РФ

·        Мин. сумма кредита - 45 000 рублей.

·        Макс. сумма кредита - Не должна превышать меньшую из величин:

% договорной стоимости кредитуемого жилого помещения;

% оценочной стоимости кредитуемого или иного оформляемого в залог жилого помещения.

·        Срок кредита - до 30 лет.

·        Первоначальный взнос - от 15%.

·        Комиссия за выдачу кредита - отсутствует.

·        Обеспечение по кредиту:

Залог кредитуемого или иного жилого помещения. На период до оформления в залог кредитуемого жилого помещения необходимо предоставить иные формы обеспечения, при этом оформление залога имущества на данный срок не обязательно (поручительство физических лиц, залог иного жилого помещения). В случае оформления в обеспечение по кредиту залога жилого дома, расположенного на земельном участке, требуется одновременное оформление залога этого земельного участка.

·        Страхование - обязательное страхование передаваемого в залог имущества (за исключением земельного участка) от рисков утраты/гибели, повреждения в пользу Банка на весь срок действия кредитного договора.

Требования к заемщикам:

·        Возраст - не менее 21 года.

·        Возраст на момент возврата кредита - 75 лет.

·        Стаж работы - не менее шести месяцев на текущем месте работы и не менее одного года общего стажа за последние 5 лет.

·        Привлечение созаемщиков - созаемщиками по кредиту может выступать не более трех физических лиц , доход которых учитывается при расчете максимального размера кредита. Супруг(а) титульного созаемщика является созаемщиком в обязательном порядке вне зависимости от ее (его) платежеспособности и возраста.

Для рассмотрения кредитной заявки необходимы:

·        Основные документы:

Без подтверждения доходов и трудовой занятости:

Заявление-анкета заемщика ;

паспорт заемщика с отметкой о регистрации;

второй документ, подтверждающий личность (на выбор):

·        водительское удостоверение;

·        удостоверение личности военнослужащего;

·        удостоверение личности сотрудника федеральных органов власти;

·        военный билет;

·        загранпаспорт;

·        страховое свидетельство обязательного пенсионного страхования.

При подтверждении доходов и трудовой занятости:

·        Заявление-анкета заемщика/созаемщика ;

·        паспорт заемщика/созаемщика с отметкой о регистрации;

·        документ, подтверждающий регистрацию по месту пребывания (при наличии временной регистрации);

·        документы, подтверждающие финансовое состояние и трудовую занятость заемщика/созаемщика .

Если в качестве обеспечения по кредиту оформляется залог иного объекта недвижимости:

·        Документы по предоставляемому залогу.

Документы, которые могут быть предоставлены после одобрения кредитной заявки:

·        Документы по кредитуемому жилому помещению (могут быть предоставлены в течение 120 календарных дней с даты принятия решения Банком о выдаче кредита);

·        Документы, подтверждающие наличие первоначального взноса.

Перечень требуемых документов может быть изменен по усмотрению Банка.

Условия предоставления и обслуживание кредита.

·        Кредит предоставляется гражданам РФ в отделениях Сбербанка России:

по месту регистрации заемщика/одного из созаемщиков;

по месту нахождения кредитуемого объекта недвижимости;

по месту аккредитации компании -работодателя заемщика/созаемщика.

·        Срок рассмотрения кредитной заявки - в течение 2 - 5 рабочих дней со дня предоставления полного пакета документов.

·        Порядок предоставления кредита - единовременно.

·        Порядок погашения кредита - ежемесячными аннуитетными (равными) платежами.

·        Условия досрочного погашения - осуществляется в платежные даты, установленные графиком платежей, без комиссий и ограничения минимальной части досрочно возвращаемого кредита.

·        Неустойка за несвоевременное погашение кредита - 0,5 процентов от суммы просроченного платежа за каждый день просрочки с даты, следующей за датой наступления исполнения обязательства, установленной кредитным договором, по дату погашения просроченной задолженности (включительно).

Специальные ипотечные программы:

·        Ипотека плюс материнский капитал.

Преимущество - льготные условия для молодых семей.

Особые условия:

Жилое помещение, приобретаемое с использованием кредитных средств Банка, должно быть оформлено в собственность заемщика / общую долевую собственность супругов и его / их детей (по желанию);

Клиенты, не получающие заработную плату на счет, открытый в Сбербанке, при оформлении заявки на кредит должны предоставить документы, документы, подтверждающие финансовое состояние и трудовую занятость заемщика/созаемщика/поручителя;

В течение 6 месяцев с даты выдачи кредита необходимо обратиться в отделение Пенсионного фонда Российской Федерации для перечисления средств (части средств) материнского (семейного) капитала в счет погашения задолженности по кредиту.

Помимо необходимого пакета документов для получения кредита по программе «Приобретение готового жилья» или «Приобретение строящегося жилья» дополнительно предоставляются: государственный сертификат на материнский (семейный) капитал и документ (справка, уведомление и т.п.) из территориального органа Пенсионного фонда РФ об остатке средств материнского капитала.

·        Военная ипотека.

Преимущества:

·        Пониженная процентная ставка;

·        Возможность приобретения квартиры, комнаты, жилого дома с землей или таун-хауса на вторичном рынке;

·        Получение кредита без подтверждения платежеспособности;

·        Отсутствие комиссий по кредиту;

·        Страхование жизни и здоровья заемщика не обязательно;

Кредит предоставляется военнослужащим участникам накопительно-ипотечной системы, имеющим право на получение целевого жилищного займа на основании Федерального закона «О накопительно-ипотечной системе жилищного обеспечения военнослужащих» №117-ФЗ от 20.08.2004г.

Теперь следует провести сравнение. Критерии: количество ипотечных программ, процентная ставка и срок кредитования, обслуживание кредита и требования к заемщику.

. Количество ипотечных программ:

а) «Сбербанк России» - 7, включая две специальных.

б) «Россельхозбанк» - 7, включая две специальных.

Примечание: В «Россельхозбанке» акцент по ипотечным программам ставится на жилье для молодых семей, а «Сбербанк России» предоставляет лишь одну подобную программу. Зато «Сбербанк России» предоставляет ипотеку военным на более чем льготных условиях ( процент годовых от 9,5%), но как показал опрос населения, обществу гораздо важнее программы для молодых семей, потому как военнослужащие имеют достаточное количество льгот (в том числе и жилищных, например возможность бесплатного получения жилья), нежели молодые семьи.

.Срок кредитования, средняя процентная ставка:

а) «Сбербанк России» ( срок кредитования до 30 лет) - при первоначальном платеже от 15 до 30% включительно - 12,75%; при первоначальном взносе от 30 до 50% включительно - 12,5%;при первоначальном взносе свыше 50% - 12,75%.

б) «Россельхозбанк» (срок кредитования до 25 лет) - при первоначальном платеже от 15 до 30% включительно -13,725% ; при первоначальном взносе от 30 до 50% включительно - 13,225% ;при первоначальном взносе свыше 50% - 12,725%.

Примечание: разница в средних процентных ставках в анализируемых банках объясняется отчасти разницей в общих сроках кредитования. Так как в «Россельхозбанке» общий срок кредитования меньше, следовательно больше процент годовых (обуславливается более плотным обслуживанием кредита).

. Обслуживание кредита и требования к заемщику

ипотечный кредит заемщик процент

Минимальная сумма по кредиту в «Россельхозбанке» составляет 100000 рублей, в «Сбербанке» - 45000. Этот критерий не стоит принимать во внимание, так как обе суммы чрезвычайно малы относительно средним суммам ипотечного кредита. Но стоит отметить, что максимальная сумма кредита в «Россельхозбанке» составляет до 20000000 рублей, а в «Сбербанке» - 85% договорной стоимости кредитуемого жилого помещения либо 85% оценочной стоимости кредитуемого или иного оформляемого в залог жилого помещения. В данном случае выигрывает «Сбербанк», так как его условия по максимальной сумме кредита более гибкие и позволяют рассчитать сумму ипотеки с наибольшей точностью. Условия страхования идентичны в обоих банках, но «Россельхозбанк» , на усмотрение заемщика, рекомендует вдобавок к общему страхованию имущества еще и страхование жизни и здоровья самого заемщика. У «Сбербанка» в условиях обслуживания этот дополнительный пункт не оговаривается. «Сбербанк России» ограничивает возраст заемщика на момент возврата кредита 75 годами, в то время как «Россельхозбанк» требует, чтобы на момент последней выплаты по кредитному договору, возраст заемщика не должен превышать 65 лет. По большому счету, этот критерий не является ни недостатком, ни преимуществом, потому как (следует из статистических данных) средний возраст на момент подписания кредитного договора составляет 25 лет, на момент последней выплаты - до 55 лет по области в целом. Оба банка укладываются в эти рамки. Больше различий в требованиях у анализируемых банков нет.

Вывод из анализа: «Сбербанк России» и «Россельхозбанк» мало отличаются друг от друга в области ипотеки. Основная разница в том, что «Россельхозбанк» - банк, направленный на поддержку сельского хозяйства, и программы ипотечного кредитования в нем мало чем отличаютсч от стандартных. «Сбербанк России» - банк, наиболее развитый в социальном направлении. Но разница в процентах годовых все равно невелика. Поэтому, как говорилось в начале подраздела, «Сбербанк России» привлекает клиентов по большей части своей популярностью, многолетней работой в Луге и надежностью, в то время как к «Россельхозбанку» такого доверия еще не сформировалось, но не потому, что это ненадежный банк, а лишь в связи с человеческим фактором.

Заключение

Проанализировав становление и развитие ипотечных отношений в России, можно сделать выводы, что актуальность данной темы в настоящее время не вызывает сомнения. Необходимость улучшения жилищных условий граждан в целях повышения их личного благосостояния, повышение роли жилищного сектора в экономике, приоритетность данного направления признаются всеми и подтверждаются как собственным накопленным опытом, так и опытом, приобретенным на базе изучения зарубежных стран. Во всем мире ипотечное кредитование давно уже стало классической сферой банковской деятельности. В развитых странах на этот вид кредитования приходится около 1/3 совокупных активов кредитных организаций. В настоящее время проблема ипотечного кредитования становится важной среди населения. В связи с этим появляется огромное количество публикаций мнений специалистов, объясняющих потенциальным заемщикам о характере подобного кредита. Ипотечное кредитование получило широкое распространение в мировой банковской практике. В развитых странах сложились целые системы ипотечного кредитования, представленные агентствами по торговле недвижимостью, банками и другими кредитными институтами, осуществляющими кредитование, страховыми компаниями, кредитными агентствами, поставляющими информацию о кредитоспособности клиентов, а также компаниями, специализирующимися на изъятии заложенного имущества в случае неплатежа по ссуде

Существует правовая основа ипотечного кредитования. Ипотека может быть установлена в обеспечение обязательств, предусмотренных ст.2 Федерального Закона "Об ипотеке". По кредитному договору, в соответствии с гражданским законодательством РФ, банк или иная кредитная организация (кредитор) обязуются предоставить денежные средства (кредит) заемщику в размере и на условиях, предусмотренных договором, а заемщик обязуется возвратить полученную денежную сумму и уплатить проценты за нее (ст.819 ГК РФ). К отношениям по кредитному договору применяются правила, предусмотренные п.1 гл.42 ГК РФ о договоре займа при условии, что иное не предусмотрено специальными нормами о кредите (п.2 гл.42 ГК РФ) и не вытекает из существа кредитного договора На протяжении некоторого времени большинство банков активно снижали процентные ставки по ипотечным кредитам, и сегодня они достигли своего исторического минимума. По данным ЦБ РФ, средневзвешенная ставка по жилищным кредитам в рублях сейчас составляет 12%, в иностранной валюте - 9,4%. В крупных российских городах, регионах и отдельных коммерческих банках начали разрабатываться и реализовываться различные жилищные программы, опирающиеся на действующую правовую базу в области ипотеки. Однако опыт реализации этих программ показывает, что рынок ипотечных кредитов развивается медленно. Все эти проблемы безусловно должны быть разрешены в ближайшее время. Прежде всего, должна быть разработана федеральная программа развития ипотечного кредитования в России. Необходимо завершить создание целостной законодательной базы, связанной со сделками в жилищной сфере, и соответственно обеспечить реализацию принятых законов на территории Российской Федерации.

Таким образом, для развития ипотечного кредитования в России должна быть создана соответствующая инфраструктура с необходимым правовым обеспечением, так как это позволит сделать значительный шаг вперед в решении жилищной проблемы. Создание и развитие ипотечного кредитования поможет не только улучшить жилищные условия граждан, но и будет способствовать созданию устойчивой банковской системы.

Список литературы

·        Научная литература.

.        Гражданский Кодекс РФ. Часть I от 30.11.1994 г. № 51-ФЗ (с изм. внесенными в ред. ФЗ от 11.02.2013). - М.: СПС "Консультант".

.        Федеральный закон " Об ипотеке (залоге недвижимости)" от 16.07.98, № 102- ФЗ;

.        Федеральный закон РФ "Об ипотечных ценных бумагах" от 11.11.03, №152-ФЗ;

.        Федеральный закон от 21 июля 1997 г. №122-ФЗ "О государственной регистрации прав на недвижимое имущество и сделок с ним" (в ред. ФЗ от 07.05.2013). - М.: СПС "Консультант", 2013.

.        Жилищный Кодекс РФ. от 29.12.2004 № 188-ФЗ. - М.: СПС "Консуль-тант".

.        Закон РФ "О залоге" от 25.05.92 № 2872-1 с изменениями и дополнениями;

.        Постановление Правительства РФ от 11.01.2003 № 28 "О мерах по развитию системы ипотечного жилищного кредитования в РФ" с изменениями и дополнениями;

.        Аббасов Т.О. Ипотечное жилищное кредитование: понятие и место в системе финансового права // Банковское право. 2011. - № 4.

.        Анциферова Е.И. Проблемы развития ипотечного жилищного кредитования в России // Международный журнал экспериментального образования.2011.-№8.

.        Бублик Ю.Н. Нормативно-правовое регулирование ипотечного кредитования // Экономика устойчивого развития. 2011. - № 6.

.        Власов A.B. Гражданско-правовое регулирование ипотечного кредитования в жилищной сфере Российской Федерации // Образование и право.2011.-№6.

.        Галиева Г.М. Ипотечное кредитование в России: проблемы и пути решения // Экономика и управление: научно-практический журнал. 2010. - №6.

.        Горемыкин, В.А. Ипотечное кредитование: учебник /В.А. Горемыкин. - М.: МГИУ, 2007. - 368с.

.        Головин Ю.В. Банки и банковские услуги в России. - М.: Финансы и статистика, 1999;

.        Доронкин М.А., Самиев П.А. Ипотечное кредитование в России // Аудитор.2010.-№7.

.        Иноземцева Е.Ю., Янов В.В. Организация ипотечного жилищного кредитования: практика США // - 2010. Т. 1. - Часть I.

.        Левина Л.И., Мазунов A.A. Перспективы развития системы ипотечного кредитования // Банковское дело. 2011. - № 10

.        Лопес В.Л.Ж. Модели ипотечного кредитования в зарубежных странах // Наука и экономика. 2011. - № 2.

.        Мигулин П.П.Русский государственный кредит 1889;

.        Панин М.А. Законодательные основы жилищного ипотечного кредитования // Закон и право. 2009. - № 6.;

.        Белоглазова Г.Н., Кроливецкая Л.П. Банковское дело: учебник для вузов. - СПб.: Питер, 2010. - 400с.

.        Белоглазова Г.Н., Кроливецкая Л.П. Банковское дело, 2008г;

.        Комиссарова М.В. Существенные условия договора потребительского кредита // Банковское дело. - 2010. - №1.

.        Киреев И.И. Создание в США специализированных органов системы ипотечного кредитования // Вестник Российского университета дружбы народов. Серия: Юридические науки. 2011. - № 3.

.        Кроливецкая Л.П. Банковское дело в вопросах и ответах: Учебное пособие. - М.: Эксмо, 2010. - 208с.

.        Кроливецкая Л.П., Тихомирова Е.В. Банковское дело: кредитная деятельность коммерческих банков. - М.: КноРус, 2009. - 280с.

.        Ковалев П.П. Банковский риск-менеджмент. - М.: Финансы и статистика, 2009. - 304с.

.        Калянана Л. Ипотека в ожидании третьего пути.//Эксперт.- 1999г.-№ 16;

.        Лаврушин О.И., Афанасьева О.Н., Корниенко С.Л. Банковское дело: современная система кредитования: Учебное пособие. - М.: КноРус, 2011. - 264с.

.        Лукьянов A.B. Анализ рынка ипотечного кредитования // Деньги и кредит. 2010. - № 8.

.        Лепехин И.А. Теоретические проблемы ипотеки и ипотечного кредитования в современной России // Право и государство: теория и практика. 2009. - Т. 51. - № 3. - С. 40-42.

.        Лаврушина О.И. Банковское дело. Экспресс-курс / Под ред. - М.: КНОРУС, 2007. - 344с.

.        Лазарова Л.Б. Жилищный и ипотечный рынки. Научное издание. СПб.: изд-во СПбГУ, 2006. 456 с.

.        Мухамедгалиева O.E. Анализ рынка ипотечного кредитования в России // Управление экономическими системами: электронный научный журнал. 2011. - № 26.

.        Мутовин С.И., Вишняков Н.В. Развитие ипотечного кредитования в России. М.: МАКС Пресс, 2005. - 116 с.

.        Недостоева Ю.И. Ипотечное кредитование как форма решения жилищных проблем // Экономические и гуманитарные науки. -2009. №3 (209)

.        Потапова Т.А. Особенности ипотечного кредитования в России // Проблемы экономики. 2011. - № 6.

.        Панин М.А. Законодательные основы жилищного ипотечного кредитования // Закон и право. 2009. - № 6. - С. 110-111.

.        Павлова И.В. Зарубежный опыт ипотечного жилищного кредитования и его использование в России // Банковское кредитование. - 2006. - № 4.

.        Рыкова, И. Н. Будущее ипотеки и рынок обеспеченных облигаций в России / И. Н. Рыкова //Финансы и кредит. - 2009. - № 1. - C. 2-12.

.        Скрипичников Д.В. Правовое обеспечение ипотечного кредитования в России // Этап: экономическая теория, анализ, практика. 2010. - № 5.

.        Семибратова О.И. Банковское дело. - ИЦ Академия, 2010. - 224с.

.        Савинова В.А. Ипотечное кредитование как основа решения жилищных проблем населения: Монография.- СПб.: Изд-во СПб ГУЭФ, 2008. 150 с

.        Турбина Н.М., Баранова И.В. Современные проблемы ипотечного кредитования в России и пути их решения // Социально-экономические явления и процессы. 2009. - № 3.

.        Фролов Н.Е. Современное состояние ипотечного рынка: задачи, проблемы, перспективы // Деньги и кредит. 2007.- № 8.

.        Чернецов С.А. Деньги, кредит, банки: Учебное пособие. - М.: Магистр, 2011. - 494с.

.        Шевчук В.А. Финансы и кредит. - М.: Риор, 2008. - 288с.

.        Янин О.Е. Финансы, денежное обращение и кредит. - М.: Академия, 2009. - 192с

·        Интернет-источники.

.        ОАО «АК БАРС» Банк [Электронный ресурс]: - Официальный сайт ОАО «АК БАРС» Банк, - Режим доступа: http://www.akbars.ru

.        Агентство ипотечного жилищного кредитования [Электронный ресурс]: - Отчет Агенства ипотечного жилищного кредитования: рынок ипотеки, итоги 2008. - Официальный сайт Агентства ипотечного жилищного кредитования, 2009. - Режим доступа: htpp://www.ahml.ru

.        Агентство ипотечного жилищного кредитования [Электронный ресурс]: - стандарты процедур выдачи, рефинансирования и сопровождение ипотечных кредитов (займов) - Официальный сайт Агентства ипотечного жилищного кредитования, 2009. - Режим доступа: htpp://www.ahml.ru

.        Аналитический центр ипотечного кредитования и секьюритизации «Русипотека» [Электронный ресурс]: - Ипотечное кредитование и секьюритизация в России - Официальный сайт Аналитического центра ипотечного кредитования и секьюритизации «Русипотека», 2009. - Режим доступа: htpp://www.rusipoteka.ru

.        РБК.Кредит [Электронный ресурс]: Насколько доступна ипотека за рубежом. - Режим доступа: http:www.credit.rbc.ru.

.        РБК.Кредит [Электронный ресурс]: Самые ипотечные банки в 2009 году. - Режим доступа: http:www.credit.rbc.ru.

.        Федеральная служба государственной статистики [Электронный ресурс]: - Средние цены на первичном и вторичном рынке жилья в России - Официальный сайт Федеральной службы государственной статистики, 2009. - Режим доступа: htpp://www.gks.ru

.        Центральный банк РФ [Электронный ресурс]: - О текущих тенденциях в сфере ипотечного жилищного кредитования и развитии механизмов рефинансирования ипотечных жилищных кредитов - Официальный сайт Центрального банка РФ, 2009. - Режим доступа: http://www.cbr.ru

.        Центральный банк РФ [Электронный ресурс]: - Состав участников рынка жилищного (ипотечного жилищного) кредитования - Официальный сайт Центрального банка РФ, 2009. - Режим доступа: http://www.cbr.ru

.        http://www.ahml.ru/inv.shtml?path=inv081231-2.html

.        http://www.ahml.ru/

.        http://www.rusipoteka.ru/

Похожие работы на - Ипотечное кредитование объектов недвижимости

 

Не нашли материал для своей работы?
Поможем написать уникальную работу
Без плагиата!
Без нейросетей!