|
Наименование групп электроприемников
|
|
|
|
, кВт
|
, кВар
|
, кВ∙А
|
, А
|
|
Металлорежущие станки
|
187,2
|
0,14
|
1
|
108,5
|
187,7
|
216,8
|
312,9
|
|
Вентиляторы
|
12
|
0,8
|
1
|
38,4
|
28,8
|
48,0
|
69,28
|
|
Крановые установки
|
9
|
0,1
|
2,27
|
33,6
|
28,16
|
43,8
|
63,2
|
|
Печи сопротивления
|
8
|
0,6
|
1,02
|
634,0
|
762,7
|
1100,86
|
Расчетные нагрузки освещения
выполнены газоразрядными лампами высокого давления (ДРП, ДРИ).
Расчетная активная нагрузка
освещения цеха:
где Ксо - коэффициент
спроса для освещения (Ксо = 0,95)
Кпра - коэффициент,
учитывающий потери в пускорегулирующей аппаратуре газоразрядных ламп (для ламп
типа ДРЛ и ДРИ Кпра = 1,1)
Pном о - установленная
мощность освещения
Расчетная реактивная нагрузка
освещения:
-
среднее значение коэффициента реактивной мощности для осветительной нагрузки (
)
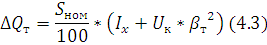
Определение расчетных нагрузок на
шинах до 1кВ трансформаторных подстанций (ТП)
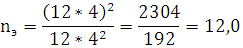
Определяем эффективное число
электроприемников по формуле:
= 25,56
=26
Определяем среднее значение
коэффициента использования для силовых электроприемников:
Определяем коэффициент расчетной
нагрузки по табл. П3:
Кр = 0,75
Расчетную активную нагрузку цеха на
шинах напряжением до 1 кВ ТП определим по формуле (1.1):
Расчетная реактивная нагрузка
определяется по выражению (1.3):
+0,6
1036
0,62) =
0,75
(180,439 + 45 + 14,532 + 285,696)= 470,6 квар
Полную расчетную мощность цеха
определим по формуле (1.5):
Определим расчетный ток нагрузки
цеха на шинах напряжением до 1 кВ ТП по формуле (1.6):
Суммарная расчетная нагрузка цеха на
шинах напряжением до 1 кВ ТП определяется по формулам:
2. Выбор типа и
номинальной мощности трансформатора подстанции напряжением 10/0,4 Кв и
определение мощности БНК
Номинальная мощность трансформатора
определяется по выражению:
где
- коэффициент загрузки трансформатора (
)
В цеховых трансформаторных
подстанциях рекомендуется применять масляные трансформаторы типа ТМГ11, ТМГ12 и
т.п. Сухие трансформаторы (типа ТСГЛ и т.п.) используются в системах
электроснабжения промышленных объектов при обосновании.
В таблице (Приложение А) приведены
технические характеристики силовых трансформаторов серии ТМГ. По данной
таблице, в которой приведены технические характеристики силовых трансформаторов
типа ТМГ, выбираем трансформатор соответствующий условию Sном ≥ 900 кВ×А. Желательно выбрать трансформатор типа ТМГ-12, так как они
являются более предпочтительными из-за того, что они энергосберегающие.
Следовательно, принимаем
Выбираем трансформатор типа ТМГ12 -
1000/10
Параметры трансформатора:
3. Определение мощности
батарей низковольтных конденсаторов и выбор типа конденсаторной установки
Наибольшее значение реактивной
мощности, которое можно передать через трансформатор из сети напряжением 10 кВ
в сеть напряжением до 1 кВ, при использовании масляных трансформаторов
определяется по следующей формуле:
где 1,1 - коэффициент, учитывающий
допустимую систематическую перегрузку трансформатора в течение одной смены при
коэффициенте энергоиспользования менее 0,9 и коэффициенте загрузки не более
0,9.
Суммарная расчетная мощность батарей
низковольтных конденсаторов (БНК) по критерию выбора минимального числа трансформаторов
по формуле (1.16):
, то компенсация
реактивной мощности не требуется, а в дальнейших расчетах следует принять
4. Расчет потерь активной
и реактивной мощности и годовых потерь электроэнергии в трансформаторе
Определим потери мощности энергии за
год в выбранном трансформаторе.
Для этого определим фактический
коэффициент загрузки трансформатора:
Расчет потерь активной мощности в
силовом двухобмоточном трансформаторе выполняется по выражению:
Расчет потерь реактивной мощности в
силовом двухобмоточном трансформаторе выполняется по выражению:

Годовые потери электрической энергии
в силовом трансформаторе рассчитываются по следующим выражениям
Величину Тmax принимаем в зависимости
от числа рабочих смен на предприятии, т.к. у нас односменное предприятие, то Тmax = 2000 ч
Время максимальных потерь,
определяется по таблице П6 в зависимости от времени использования максимальной
нагрузки
Потери активной мощности в
трансформаторе определим по следующему выражению:
-
годовое число часов включения трансформатора,
;
время
максимальных потерь, ч
Потери реактивной мощности в
трансформаторе определим по следующему выражению:
5. Выбор
электрооборудования ТП
Выберем электрооборудование
трансформаторной подстанции, на которой установлен один трансформатор типа
ТМГ12-1000/10
Расчетная нагрузка на шинах
подстанции:
Необходимо выбрать автоматический
выключатель в цепи силового трансформатора, измерительные трансформаторы тока в
цепи силового трансформатора, измерительный трансформатор тока в нейтрали
трансформатора и электроизмерительные приборы.
Рисунок 1 - Схема
электрических соединений ТП
Выбор автоматического
выключателя в цепи трансформатора
Автоматический
выключатель - это механический коммутационный аппарат, способный включать,
проводить и отключать токи при нормальном состоянии цепи, а также включать,
проводить в течение заданного времени и автоматически отключать токи в
указанном аномальном состоянии цепи, таких как токи короткого замыкания.
Автоматические выключатели предназначены для защиты электрических установок от
перегрузок и коротких замыканий, а также для нечастых включений и отключений
электрических цепей. Некоторые модели обеспечивают защиту от других аномальных
состояний, например, от недопустимого снижения напряжения.
В цепи трансформатора
установлен селективный автоматический выключатель типа ВА75 или ВА55. Автоматы
имеют полупроводниковый расцепитель. При выборе автоматического выключателя
сделаем следующее допущение:
где
- номинальный ток автоматического выключателя;
-
номинальный ток расцепителя
Выключатель допускает регулировку
номинального тока уставки 0,63;0,8;1,0
.
то по
справочной литературе выбираем ближайшее наибольшее значение
1600
где
- коэффициент допустимой загрузки трансформатора в послеаварийном
режиме
Таким образом выбираем
автоматический выключатель с
= 2500 А, так как
=1600
А не подходит по второму условию. Уставку по току срабатывания расцепителя в
зоне токов короткого замыкания выбирают из ряда 2; 3; 5 или 7 номинального тока
расцепителя
.
Выбираем автоматический
выключатель типа ВА-75 - 45 с
= 2500 А и
=
2000 А
Уставку по току
срабатывания расцепителя в зоне токов КЗ выбирают из ряда (2;3;5;…;7)
.
При отсутствии
паспортных данных для асинхронных двигателей с короткозамкнутым ротором можно
принять пусковой ток
.
Для печей сопротивления
номинальный ток определяется:
Принимаем кратность
токовой отсечки равной 2.
Выбор измерительных
трансформаторов тока
Для технического учета
электрической энергии класс точности трансформаторов должен быть не менее 1, не
ниже 0,5S.
Трансформаторы тока
допускают перегрузку на 20%.
Условия выбора
трансформатора тока:
1)
2)
1)
Выбираем ТТ типа ТНШЛ - 0,66 с
Класс точности
трансформатора тока равен 0,5 (погрешность 0,5%), следовательно, номинальный
первичный ток трансформатора ТА О должен быть равен
.
С учетом допустимой
перегрузки ТТ на 20% можно записать, что
, следовательно,

Принимаем ТТ типа ТНШЛ - 0,66 с
номинальным током 1000А
Выберем измерительные приборы. На
напряжении до 1 кВ в распределительном устройстве ТП предусматривается
установка следующих измерительных приборов:
· Вольтметр для измерения
межфазного напряжения;
· 3 амперметра для
измерения тока каждой фазы;
· Электрический
счетчик для учета активной и реактивной энергии.
6. Выбор сечения жил
кабеля напряжением 10кв, питающего цеховой трансформатор
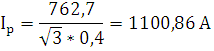
Для выбора сечения жил кабеля
необходимо определить расчетный ток линии напряжением 10 кВ.
Расчетная активная мощность
кабельной линии электропередачи определяется по формуле
где N- количество групп силовых
электроприемников, питающихся по линии в нормальном режиме (двигателей станков,
вентиляторов, крановых установок, печей сопротивления);
-
среднее значение коэффициента использования для электроприемников i-й группы;
-
суммарная номинальная мощность силовых электроприемников i-й группы.
Расчетная реактивная мощность линии
определяется по выражению:
где
- среднее значение коэффициента реактивной мощности i-й группы
силовых электроприёмников.
+
+0,6
1036
0,62
Далее определяем полную расчетную
мощность линии по выражению:
Расчетный ток линии определяется по
формуле
где
- номинальное напряжение
линии,
=10 кВ.
Сечение жил кабелей выбирается по
экономической плотности тока и проверяются по нагреву и термической стойкости
при КЗ.
Сечения жил кабелей, мм2,
по экономической плотности тока определяются по выражению:
где
- экономическая плотность тока, которая принимается по таблице П7
в зависимости от времени использования максимальной нагрузки Тмах,
вида изоляции и материала проводника жил.
Принимаем кабель с алюминиевыми
жилами и с бумажно - пропитанной изоляцией.
По таблице П7 при Тmax = 2000 ч и для кабелей с алюминиевыми жилами и с бумажно -
пропитанной изоляцией
А/мм2.
Полученное значение округлим до
ближайшего стандартного значения
.
Принимаем кабель марки ААШв - 3
50 - 10
Для выбранного сечения
трехжильного кабеля при прокладке в воздухе по таблице П8 определяется
длительный допустимый ток по нагреву
.
При питании ТП с одним
трансформатором по радиальной линии сечение жил кабеля по нагреву проверяется
по допустимому нагреву максимальным расчетным током 
по условию:
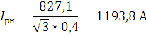
В качестве максимального
расчетного тока принимается номинальный ток трансформатора на напряжении
=
10 кВ, определяемый по формуле:
,следовательно,
выбранное по экономической плотности тока сечение жил кабеля проходит по
допустимому нагреву.
В инженерных расчетах минимально
допустимое сечение кабелей по термической стойкости при КЗ определяется по выражению:
где
- тепловой импульс от тока КЗ, А2∙с;
-
расчетный коэффициент, принимаемый для кабелей с алюминиевыми жилами и бумажной
пропитанной изоляцией равным 100 А∙с-0,5 /мм2.
Результирующий тепловой импульс от
тока КЗ:
где
- действующее значение тока КЗ в начале линии, А;
-
время отключения КЗ,
с
-
постоянная времени затухания апериодической составляющей тока КЗ постоянная
времени затухания апериодической составляющей тока КЗ,
с.
Принимаем для линии кабель ААШв - 3
.
7. Определение потерь
мощности и годовых потерь электроэнергии в кабельной линии напряжением 10 кВ
Расчет потерь активной мощности
(кВт) в трехфазной линии электропередачи производится по формуле:
где R- активное сопротивление линии, Ом,
определяемое по выражению:
где
- удельное (погонное) активное сопротивление проводника, Ом/км;
-
длина линии, км (
)
Удельное активное сопротивление
кабельной линии выбираем по таблице П9(приложение З) в зависимости от сечения
жилы кабелей и материала проводника:
Найдем активное сопротивление линии
по формуле (7.2):
Рассчитаем потери активной мощности
в трехфазной линии по формуле (7.1):
Потери реактивной мощности в линии
электропередачи рассчитываются по выражению:

где
- удельное реактивное сопротивление, Ом/км.
Удельное реактивное сопротивление
кабельной линии выбираем по таблице П9 (приложение З) в зависимости от сечения
жилы кабелей и материала проводника:
Найдем реактивное сопротивление
линии по формуле (7.4)
Потери реактивной мощности в линии
электропередачи определяются по формуле (7.3):
Потери активной электроэнергии в
линии электропередачи за год определяются по формуле:
8. Расчет годового
расхода электроэнергии и построение энергетической диаграммы
При проектировании систем
электроснабжения, составлении электрических балансов, прогнозировании электропотребления,
а также в тех случаях, когда учет электроэнергии с помощью измерительных
приборов технически не осуществим или экономически не оправдан, расход
электроэнергии определяется расчетным путем. В зависимости от цели, расход
электроэнергии наиболее часто подсчитывается за год, реже - за месяц или
наиболее загруженную смену.
Годовой расход электроэнергии группы
однотипных силовых электроприемников (двигателей станков, вентиляторов и т.п.)
определяется по выражению:
где
- коэффициент энергоиспользования (сменности по
энергоиспользованию);
-
суммарная номинальная мощность электроприемников группы, кВт;
-
среднее значение коэффициента использования для данной группы
электроприемников;
-
годовое число часов работы предприятия, ч.
Величина
для односменного предприятия равна 2250 ч в год.
Рассчитаем годовой расход
электроэнергии электродвигателями станков по формуле (8.1):
Рассчитаем годовой расход
электроэнергии крановыми установками по формуле (8.1):
Рассчитаем годовой расход
электроэнергии электротехнологическими установками по формуле (8.1):
Рассчитаем годовой расход
электроэнергии вентиляторами по формуле (8.1):
Расход электроэнергии на освещение:
где
- годовое число использования максимальной нагрузки для
внутреннего освещения (750ч - для односменных).
Расход электроэнергии цеха в целом
включает в себя суммарное электропотребление силовых и осветительных
приемников, а также потери в цеховых сетях напряжением до 1кВ и БНК.
Потери электроэнергии в
конденсаторных установках отсутствуют, т.к.
Потери в цеховых сетях до 1 кВ
принимаются в размере 0,5…1,5% от суммарного расхода
электроэнергии силовыми и осветительными электроприемниками цеха.
= 978513,75
Суммарные потери электроэнергии в
системе электроснабжение:
Cуммарное потребление электроэнергии определим по следующей
формуле:
= 2087348,75
Энергетическая диаграмма (приложение
К) дает графическое отображение расходов электроэнергии в% на электропривод
станков, вентиляцию, электротехнологию, освещение, крановыми установками, а
также суммарных потерь электроэнергии в кабельной линии, трансформаторе,
цеховых сетях и БНК.
9. Определение
показателей электрического хозяйства цеха
Электрическое хозяйство -
совокупность генерирующих, преобразующих и передающих установок, с помощью
которых осуществляется снабжение предприятия электроэнергией и использование ее
в процессе производства.
Системный анализ электрического
хозяйства промышленного предприятия может быть выполнен с помощью ряда
электрических показателей, которые являются своего рода электрическим паспортом
предприятия.
К основным показателям
электрического хозяйства относятся следующие:
) суммарное потребление
электроэнергии
2) максимальная (расчетная) нагрузка
3) установленная мощность
электроприемников
где
- номинальная мощность i - ого силового электроприемника;
n - количество силовых электроприемников;
-
установленная мощность освещения;
+ 42 = 2045 кВт
) коэффициент спроса
5) количество установленных
электродвигателей
6) суммарная мощность
электродвигателей
где
- номинальная мощность i - ого электродвигателя

8) среднегодовая потребляемая
мощность цеха
9) среднегодовой коэффициент
использования
10) коэффициент заполнения годового
графика нагрузки
) коэффициент максимума

) коэффициент технологической
нагрузки
13) стоимость потребленной энергии
где
- средний тариф на электроэнергию, определяемый по следующей
формуле:
где a и b - основная и дополнительная ставки
действующего тарифа на электроэнергию, определяемые по следующим формулам:
Рассчитаем средний тариф на
электроэнергию по формуле (9.11):
Определим стоимость потребленной
энергии используя формулу (9.10):
Заключение
В данной курсовой работе произведен
расчет электроснабжения цеха промышленного предприятия, целью которого является
выбор типа и номинальной мощности трансформатора подстанции напряжением 10/0,4
кВ, выбор типа конденсаторной установки, электрооборудования ТП, сечения жил
кабелей напряжением 10 кВ, позволяющих обеспечить необходимую надежность
электропитания и бесперебойной работы цеха.
В ходе выполнения работы произведен
расчет электрических нагрузок групп электроприемников и на шинах напряжением до
1 кВ ТП цеха по коэффициенту расчетной нагрузки, расчет компенсации реактивной
мощности, а также расчет потерь активной и реактивной мощности и годовых потерь
электроэнергии в трансформаторе, годового расхода электроэнергии. Также
определили показатели электрического хозяйства цеха, На основе произведенных
расчетов можно сделать вывод, что выбран наиболее оптимальный и рациональный
вариант электроснабжения цеха промышленного предприятия.
Список использованных
источников
1. Конюхова Е.А. Электроснабжение объектов: учеб. пособие. - М.:
Издательский центр «Академия», 2009. - 320 с.
2. Коновалова Л.Л., Рожкова Л.Д. Электроснабжение
промышленных предприятий и установок: учеб. пособие. - М.: Энергоатомиздат.
1989. - 528 с.
3. Радкевич В.Н. Проектирование
систем электроснабжения: учеб. пособие. - Минск: НПООО «ПИОН», 2001.-292 с.
4. Ус А.Г., Евминов Л.И.
Электроснабжение промышленных предприятий и гражданских зданий: учеб. пособие.
- Минск: НПООО «Пион», 2002.- 457 с.
5. Козловская В.Б., Радкевич В.Н., Сацукевич В.Н. Электрическое
освещение: учебник.- Минск: Техноперспектива, 2012. - 543 с.
6. Справочник по проектированию электрических сетей и
электрооборудования / Под ред. Ю.Г. Барыбина, Л.Е. Федорова, М.Г. Зименкова,
А.Г. Смирнова. - М.: Энерготомиздат, 1991. - 464 с.
. Королев О.П., Радкевич В.Н., Сацукевич В.Н.
Электроснабжение промышленных предприятий: Учебно-методическое пособие по
курсовому и дипломному проектированию. - Минск.: БГПА, 1998.-140 с.
. Прима В.М., Прокопенко Л.В. Электроснабжение промышленных
предприятий: учебно-методическое пособие к практическим занятиям для студентов
спец. 1-43 01 03 «электроснабжение». - Минск: БНТУ, 2004. - 80 с.