Электроснабжение цеха резинотехнических изделий
Введение
Электроснабжение является одной из составных частей
обеспечения народного хозяйства страны. Без электроснабжения в настоящее время
не обходится ни одна промышленность, город и т.д. Одной из задач
электроснабжения является обеспечение электроэнергией какого-либо объекта для
нормальной работы и жизнедеятельности.
В данном дипломном проекте произведен полный расчет системы
электроснабжения машиностроительного завода с учетом специфики его работы.
Цель работы: выбрать схему внешнего электроснабжения предприятия
на основе технико-экономических расчётов. Определить центр электрических
нагрузок с помощью задач оптимизации. Для этого необходимо определить расчётные
нагрузки предприятия, построить картограмму нагрузок, произвести расчёт и выбор
схемы внешнего электроснабжения.
1. Проектирование электроснабжения
машиностроительного завода
1.1 Исходные данные
Питание может быть осуществлено от подстанции энергосистемы
неограниченной мощности, на которой установлены два трёхобмоточных
трансформатора мощностью по 40 МВА, напряжением 115/37/6,3 кВ. Мощность к.з. на
стороне 115 кВ равна 1200 МВА. Трансформаторы работают раздельно. Расстояние от
энергосистемы до завода 4 км. Завод работает в 2 смены. Сведения об
электрических нагрузках по цехам завода приведены в таблице 1.1.
электроснабжение распределительный замыкание
резинотехнический
Таблица 1.1 Электрические нагрузки по цехам
|
№№ п/п
|
Наименование
|
Количество ЭП, n
|
Установленная
мощность, кВт
|
|
|
|
Одного ЭП, Рн
|
Σ Рн
|
|
1
|
Механический
цех №1
|
110
|
1-70
|
4200
|
|
2
|
Механосборочный
цех
|
120
|
1-90
|
3200
|
|
3
|
Цех обработки
цв. литья
|
33
|
10-175
|
720
|
|
4
|
Литейный цех
|
|
|
|
|
А) ДСП 12т;
|
4
|
По каталогу
|
|
Б) 0,4 кВ
|
80
|
1-85
|
3500
|
|
5
|
Компрессорная:
|
|
|
|
А) СД 6 кВ;
|
12
|
1-27
|
320
|
|
Б) 0,4 кВ
|
2
|
1250
|
2500
|
|
6
|
Блок
вспомогательных цехов
|
72
|
2-25
|
850
|
|
7
|
Склад металла
|
7
|
1-20
|
50
|
|
8
|
Административный
корпус
|
28
|
2-25
|
200
|
|
9
|
Столовая
|
24
|
1-42
|
220
|
|
10
|
Склад ГСМ
|
10
|
1-5
|
30
|
|
11
|
Склад
|
12
|
1-60
|
250
|
|
12
|
Насосная
станция
|
10
|
50-100
|
350
|
|
13
|
Сварочно-заготовительный
цех
|
52
|
2-70
|
1300
|
1.2 Расчет для механического цеха №1
Расчет осветительной нагрузки
Расчет для механического цеха №1
Рассчитываем установленную мощность освещения территории
Рассчитываем расчетную мощность осветительной нагрузки:
Где ρ0=0,002, Ксо=1, tgφ=0,5. Для освещения территории.
Аналогичный расчет проводим для остальных помещений,
полученные данные вносим в таблицу 1.2
1.3 Расчет электрических нагрузок 0,4 кВ
Рассчитываем силовую часть, средние нагрузки:
где Ки=0,25.
Находим nЭ:
Рассчитываем силовую часть, расчетные нагрузки:
Где КМ=1,11 находится из таблицы2.6
[1] в соответсвии с nЭ и КИ
Находим расчетный ток:
Аналогичный расчет проводим для остальных помещений,
полученные данные заносим в таблицу 1.3
Таблица 1.2. - Расчет осветительной нагрузки
|
№№ п/п
|
Наименование
производственного помещения
|
Размеры
помещения, длинна (м) × ширина
(м)
|
Площадь
помещения, м²
|
Удельная
осветительная нагрузка, ρ0, кВт/м²
|
Коэффициент
спроса, Кс
|
Установленная
мощность освещения, Руо, кВт
|
Расчетная
мощность осветительной нагрузки
|
cosφ/tgφ
|
|
|
|
|
|
|
|
Рро,
кВт
|
Qpo, квар
|
|
|
1
|
Механический
цех №1
|
75х156
|
11700
|
0,014
|
0,8
|
163,08
|
131,04
|
65,52
|
0,9/0,5
|
|
2
|
Механосборочный
цех
|
69х180+96х51
|
17316
|
0,014
|
0,8
|
242,42
|
193,94
|
96,97
|
0,9/0,5
|
|
3
|
Цех обработки
цв. литья
|
57x24
|
1368
|
0,014
|
0,8
|
19,15
|
15,32
|
7,66
|
0,9/0,5
|
|
4
|
Литейный цех
|
51x180
|
9180
|
0,014
|
0,8
|
128,52
|
102,82
|
51,41
|
0,9/0,5
|
|
5
|
Компрессорная:
|
24x27
|
648
|
0,013
|
0,7
|
8,42
|
5,89
|
0
|
1/0
|
|
6
|
Блок
вспомогательных цехов
|
171x15
|
2565
|
0,014
|
0,8
|
35,91
|
28,73
|
14,37
|
0,9/0,5
|
|
7
|
Склад металла
|
27x12
|
324
|
0,01
|
0,6
|
3,24
|
1,95
|
0
|
1/0
|
|
8
|
Административный
корпус
|
24x93
|
2232
|
0,02
|
0,9
|
44,64
|
40,18
|
20,09
|
0,9/0,5
|
|
9
|
Столовая
|
27x24
|
648
|
0,02
|
0,9
|
12,96
|
11,66
|
5,83
|
0,9/0,5
|
|
10
|
Склад ГСМ
|
30x18
|
540
|
0,01
|
0,6
|
5,4
|
3,24
|
0
|
1/0
|
|
11
|
Склад
|
51x15
|
765
|
0,01
|
0,6
|
7,65
|
4,59
|
0
|
1/0
|
|
12
|
Насосная
станция
|
18x15
|
270
|
0,013
|
0,7
|
3,51
|
2,457
|
0
|
1/0
|
|
13
|
Сварочно-заготовительный
цех
|
69x30
|
2070
|
0,014
|
0,8
|
28,98
|
23,18
|
11,59
|
0,9/0,5
|
|
14
|
Освещение
территории
|
265x278
|
24044
|
0,002
|
1
|
48,08
|
48,08
|
24,04
|
0,9/0,5
|
Таблица 1.3 Расчет Электрических нагрузок по цехам, U = 0,4 кВ
|
№
|
Наименование
|
Кол-во ЭП, n
|
Установленная
мощность, кВт
|
M
|
Ки
|
cosφ/tgφ
|
Средние
нагрузки
|
nэ
|
Км
|
Расчетные
нагрузки
|
Ip, A
|
|
|
|
Pн min - Pн max
|
Σ Pн
|
|
|
|
Рсм,
кВт
|
Qсм, квар
|
|
|
Рр,
кВт
|
Qp, квар
|
Sp, кВА
|
|
|
1
|
Механический цех
а) силовая
|
110
|
1-70
|
4200
|
>3
|
0.25
|
0.6/1.33
|
1050
|
1396.5
|
110
|
1.11
|
1165.5
|
1396.5
|
1818.96
|
2836.9
|
|
б)
осветительная
|
|
|
|
|
|
0.9/0.5
|
|
|
|
|
131.04
|
65.52
|
146.5
|
|
|
Итого
|
|
|
|
|
|
|
|
|
|
|
1296.5
|
1462.02
|
1965.46
|
|
|
2
|
Механосборочный
цех а) силовая
|
120
|
1-90
|
3200
|
>3
|
0.25
|
0.65/1.17
|
800
|
936
|
71
|
1.12
|
896
|
936
|
1295.73
|
2183.32
|
|
б)
осветительная
|
|
|
|
|
|
0.9/0.5
|
|
|
|
|
193.94
|
96.97
|
216.83
|
|
|
Итого
|
|
|
|
|
|
|
|
|
|
|
1089.94
|
1032.97
|
1512.56
|
|
|
3
|
Цех обработки
цветного литья а) силовая
|
33
|
10-175
|
720
|
>3
|
0.7
|
0.8/0.75
|
504
|
378
|
8
|
1.2
|
604.8
|
733.94
|
1084.07
|
|
б)
осветительная
|
|
|
|
|
|
0.9/0.5
|
|
|
|
|
15.32
|
7.66
|
17.13
|
|
|
Итого
|
|
|
|
|
|
|
|
|
|
|
620.12
|
423.46
|
751.07
|
|
|
4
|
Литейных цех а)
силовая
|
80
|
1-85
|
3500
|
>3
|
0.7
|
0.7/1.02
|
2450
|
2499
|
80
|
1.06
|
2597
|
2499
|
3604.08
|
5350.65
|
|
б)
осветительная
|
|
|
|
|
|
|
|
|
|
|
102.82
|
51.41
|
114.96
|
|
|
Продолжение
таблицы 1.3
|
|
|
|
|
|
|
|
|
|
|
|
|
|
|
|
Итого
|
|
|
|
|
|
|
|
|
|
|
2699.8
|
2550.41
|
3707.04
|
|
|
5
|
компрессорная
а) силовая
|
12
|
1-27
|
320
|
>3
|
0.6
|
0.7/1.02
|
192
|
195.84
|
12
|
1.23
|
236.16
|
195.84
|
306.77
|
451.29
|
|
б)
осветительная
|
|
|
|
|
|
1/0
|
|
|
|
|
5.89
|
0
|
5.89
|
|
|
Итого
|
|
|
|
|
|
|
|
|
|
|
242.05
|
195.84
|
312.66
|
|
|
6
|
Блок
вспомогательных агрегатов а) силовая
|
72
|
2-25
|
850
|
>3
|
0.3
|
0.7/1.02
|
15
|
15.3
|
68
|
1.13
|
16.95
|
15.3
|
22.83
|
79.31
|
|
б)
осветительная
|
|
|
|
|
|
0.9/0.5
|
|
|
|
|
28.73
|
14.37
|
32.12
|
|
|
Итого
|
|
|
|
|
|
|
|
|
|
|
45.7
|
29.67
|
54.95
|
|
|
7
|
Склад металла
а) силовая
|
7
|
1-20
|
50
|
>3
|
0.25
|
0.6/1.33
|
12.5
|
16.63
|
5
|
2.2
|
27.5
|
18.3
|
33.03
|
|
|
б)
осветительная
|
|
|
|
|
|
1/0
|
|
|
|
|
1.95
|
0
|
1.95
|
|
|
Итого
|
|
|
|
|
|
|
|
|
|
|
29.45
|
18.3
|
34.98
|
50.48
|
|
8
|
Административный
корпус а) силовая
|
28
|
2-25
|
200
|
>3
|
0.4
|
0.7/1.02
|
204
|
208.08
|
16
|
1.28
|
261.12
|
208.08
|
262.63
|
545.52
|
|
б)
осветительная
|
|
|
|
|
|
0.9/0.5
|
|
|
|
|
40.18
|
20.09
|
44.92
|
|
|
Итого
|
|
|
|
|
|
|
|
|
|
|
301.3
|
228.17
|
377.94
|
|
|
9
|
столовая а)
силовая
|
24
|
1-42
|
220
|
>3
|
0.4
|
0.9/0.5
|
88
|
44
|
11
|
1.4
|
123.2
|
44
|
130.82
|
207.52
|
|
Продолжение
таблицы 1.3
|
|
|
|
|
|
|
|
|
|
|
|
|
|
|
|
б)
осветительная
|
|
|
|
|
|
0.9/0.5
|
|
|
|
|
11.66
|
5.83
|
12.95
|
|
|
Итого
|
|
|
|
|
|
|
|
|
|
|
134.86
|
49.83
|
143.77
|
|
|
10
|
Склад ГСМ а)
силовая
|
10
|
1-5
|
30
|
>3
|
0.25
|
0.6/1.33
|
7.5
|
9.97
|
10
|
1.7
|
12.75
|
9.97
|
16.18
|
27.2
|
|
б)
осветительная
|
|
|
|
|
|
1/0
|
|
|
|
|
3.24
|
0
|
3.24
|
|
|
Итого
|
|
|
|
|
|
|
|
|
|
|
15.99
|
9.97
|
18.84
|
|
|
11
|
Склад а) силовая
|
12
|
1-60
|
250
|
>3
|
0.3
|
0.8/0.75
|
75
|
56.25
|
8
|
1.72
|
129
|
61.88
|
143.07
|
213.13
|
|
б)
осветительная
|
|
|
|
|
|
1./0
|
|
|
|
|
4.59
|
0
|
4.59
|
|
|
Итого
|
|
|
|
|
|
|
|
|
|
|
133.59
|
61.88
|
147.66
|
|
|
12
|
Насосная
станция а) силовая
|
10
|
50-100
|
350
|
<3
|
0.6
|
0.7/1.02
|
210
|
214.2
|
10
|
1.26
|
264.6
|
214.2
|
340.43
|
494.92
|
|
б)
осветительная
|
|
|
|
|
|
1/0
|
|
|
|
|
2.46
|
0
|
2.46
|
|
|
Итого
|
|
|
|
|
|
|
|
|
|
|
267.06
|
214.2
|
342.89
|
|
|
13
|
Сварочно-заготовительный
цех а) силовая
|
52
|
2-70
|
1300
|
>3
|
0.4
|
0.6/1.33
|
520
|
691.6
|
37
|
1.15
|
598
|
691.6
|
914.28
|
1357.06
|
|
б)
осветительная
|
|
|
|
|
|
|
|
|
|
|
23.18
|
11.59
|
25.92
|
|
|
Итого
|
|
|
|
|
|
|
|
|
|
|
621.18
|
703.19
|
940.2
|
|
|
14
|
Освещение
территории а) силовая
|
|
|
|
|
|
|
|
|
|
|
|
|
|
|
|
б)
осветительная
|
|
|
|
|
|
|
|
|
|
|
48.08
|
24.04
|
57.75
|
|
|
Итого
|
|
|
|
|
|
|
|
|
|
|
|
|
|
|
|
Итого
|
|
|
|
|
|
|
|
|
|
|
7545,64
|
6300,76
|
9831,8
|
|
1.4 Выбор числа цеховых трансформаторов и
компенсация реактивной мощности на напряжение 0,4 кВ
Распределяем низковольтную нагрузку по цеховым ТП. Для этого
определяем мощности трансформаторов ТП:
Полученное число округляем в большую сторону и получаем количество
трансформаторов для ТП предприятия.
Далее делаем расчет батареи конденсаторов:
Выбираем трансформатор ТСЗЛ-1000-10/0,4 и конденсаторные батареи
УКЛН - 0,38-300-150 в количестве 10 шт.
Таблица 1.4 Паспортные данные трансформатора ТСЗЛ-1000-10/0,4
|
Тип
|
, кВА
|
обмоток, кВ
|
Потери, Вт
|
, %
|
, %
|
|
|
ВН
|
НН
|
ХХ
|
КЗ
|
|
|
|
ТСЗЛ-1000/10
|
1000
|
10
|
0,4
|
2000
|
10200
|
5,5
|
1,0
|
Таблица 1.5 Паспортные данные конденсаторной батареи УКЛН -
0,38-300-150
|
Тип
|
, кВ
|
, квар
|
Масса, кг
|
Габариты, мм
|
|
УКЛН -
0,38-300-150
|
0,38
|
300
|
612
|
1920х500х1800
|
Для завода выбираем шесть ТП
1.5 Делаем расчет для ТП1-ТП2
Делаем расчет для ТП1-ТП2:
Исходя из расположения помещений и их мощности выбираем
помещения для ТП1-ТП2:
Помещение №1
Помещение №9
Помещение №10
Помещение №13
На ТП устанавливаем три конденсаторные батареи типа УКЛН -
0,38-300-150
Подсчитываем полную мощность помещений, подходящих к ТП с
вычетом БК:
Далее находим КЗ для данной ТП. КЗ для
ТП должен лежать в пределах 0,75 - 0,85.
Аналогичный расчет проводим для остальных ТП, данные заносим
в таблицу 1.7.2
1.6 Определение потерь мощности в ЦТП
Далее проводим уточненный расчет мощности по промышленному
предприятию. Для этого рассчитываем потери в трансформаторах ТП:
Для ТП1-ТП2:
Для ТП3-ТП4:
Для ТП5-ТП6:
1.7 Определяем расчетные мощности СД. Для
проведения расчета
принимаем
, Кз=0,85.
Принимаем к установке СД типаСДН16-51-12У3
Определяем расчетные мощности ДСП. Для проведения расчета
принимаем
, Кз=0,7.
Определяем потери в трансформаторе ДСП:
Далее рассчитываем
:
Выбираем высоковольтные БК типа 2хУКЛ - 10,5-1350 У3 и 4хУКЛ
- 10,5-2700 У1.
Таблица 1.6 Паспортные данные высоковольтных БК
|
Тип
|
, кВ
|
, квар
|
|
УКЛ - 10,5-1350
У3
|
10,5
|
1350
|
|
УКЛ - 10,5-2700
У1
|
10,5
|
2700
|
Находим полную мощность, потребляемую данным предприятием:
Таблица 1.8 Распределение низковольтной нагрузки по цеховым
ТП
|
№ТП, Sн.тр., QНБК
|
№ цехов
|
РР0,4,
кВт
|
QР0,4, квар
|
SР0,4, кВА
|
Кз
|
|
ТП1-ТП2 ТП1
(2х1000), ТП2 (1х1000)
|
|
Sн.тр.=3х1000 кВА
|
1
|
1296.5
|
1462.02
|
|
|
|
9
|
134.86
|
49.83
|
|
|
|
10
|
15.99
|
9.97
|
|
|
|
13
|
621.18
|
703.19
|
|
|
|
освещение
|
48.08
|
24.04
|
|
|
|
QНБК=3х300 кВАр
|
|
|
-900
|
|
|
|
ИТОГО
|
|
2134.43
|
1349.05
|
2525.02
|
0.84
|
|
ТП3-ТП5 ТП3
(2х1000), ТП4 (2х1000), ТП5 (1х1000)
|
|
Sн.тр.=5х1000 кВА
|
3
|
620.12
|
423.48
|
|
|
|
4
|
2699.82
|
2550.41
|
|
|
|
5
|
242.05
|
195.84
|
|
|
|
8
|
301.3
|
228.17
|
|
|
|
QНБК=5х300 кВАр
|
|
|
-1500
|
|
|
|
ИТОГО
|
|
3863.29
|
1897.88
|
4304.29
|
0.86
|
|
ТП6 ТП6
(2х1000)
|
|
Sн.тр.=2х1000 кВА
|
2
|
1089.94
|
1032.92
|
|
|
|
11
|
133.59
|
61.88
|
|
|
|
7
|
29.45
|
18.3
|
|
|
|
6
|
45.7
|
29.67
|
|
|
|
12
|
267.06
|
214.2
|
|
|
|
QНБК=2х300 кВАр
|
|
|
-600
|
|
|
|
ИТОГО
|
|
1565.74
|
756.97
|
1739.12
|
0.85
|
Таблица 1.9 Уточненный расчет мощности по промышленному
предприятию.
|
№№ТП, Sн.тр., QБК ТП
|
№№ цеха
|
n
|
Pн min - Pн max
|
Σ Pн
|
Ки
|
Средняя
мощность
|
nэ
|
Км
|
Расчетные
мощности
|
Кз
|
|
|
|
|
|
|
Рсм,
кВт
|
Qсм, квар
|
|
|
Рр,
кВт
|
Qp, квар
|
Sp, кВА
|
|
|
ТП1, ТП2
|
Sтр = 3х1000 кВА
|
|
Силовая
нагрузка
|
1
|
110
|
1-70
|
4200
|
|
1050
|
1396,5
|
|
|
|
|
|
|
|
9
|
24
|
1-42
|
220
|
|
88
|
44
|
|
|
|
|
|
|
|
10
|
10
|
1-5
|
20
|
|
7,5
|
9,97
|
|
|
|
|
|
|
|
13
|
52
|
2-70
|
1300
|
|
520
|
691,6
|
|
|
|
|
|
|
|
Итого силовая
|
|
196
|
|
5750
|
0,29
|
1665,5
|
2142,07
|
164
|
1,09
|
1815,4
|
2142,07
|
|
|
|
Итого осветит
|
|
|
|
|
|
|
|
|
|
169,12
|
82,94
|
|
|
|
БК 3х300 кВАр
|
|
|
|
|
|
|
|
|
|
|
-900
|
|
|
|
Освещение тер.
|
|
|
|
|
|
|
|
|
|
48,08
|
24,04
|
|
|
|
ИТОГО
|
|
|
|
|
|
|
|
|
|
2032,6
|
1349,05
|
2439,55
|
0,81
|
|
ТП3, ТП4, ТП5
|
Sтр = 5х1000 кВА
|
|
Силовая
нагрузка
|
3
|
33
|
10-175
|
720
|
|
504
|
378
|
|
|
|
|
|
|
|
4
|
80
|
1-85
|
3500
|
|
2450
|
2499
|
|
|
|
|
|
|
|
5
|
12
|
1-27
|
320
|
|
192
|
195,84
|
|
|
|
|
|
|
|
8
|
28
|
2-25
|
200
|
|
204
|
208,88
|
|
|
|
|
|
|
|
Итого силовая
|
|
153
|
|
4740
|
0,7
|
3350
|
3281,72
|
54
|
1,08
|
3618
|
3281,72
|
4884,6
|
|
|
Итого осветит
|
|
|
|
|
|
|
|
|
|
164,21
|
79,16
|
|
|
|
БК 5х300 кВАр
|
|
|
|
|
|
|
|
|
|
|
-1500
|
|
|
|
ИТОГО
|
|
|
|
|
|
|
|
|
|
3782,2
|
1860,88
|
4215,2
|
0,84
|
|
ТП6
|
Sтр = 2х1000 кВА
|
|
Силовая
нагрузка
|
2
|
120
|
1-90
|
3200
|
|
800
|
936
|
|
|
|
|
|
|
|
11
|
12
|
1-60
|
250
|
|
75
|
56,25
|
|
|
|
|
|
|
|
7
|
7
|
1-20
|
50
|
|
12,5
|
16,63
|
|
|
|
|
|
|
|
6
|
72
|
2-25
|
850
|
|
15
|
15,3
|
|
|
|
|
|
|
|
12
|
10
|
50-100
|
350
|
|
210
|
214,2
|
|
|
|
|
|
|
|
Итого силовая
|
|
221
|
|
4700
|
0,24
|
1112,5
|
1238,38
|
94
|
1,13
|
1257,13
|
1238,38
|
|
|
|
Итого осветит
|
|
|
|
|
|
|
|
|
|
231,67
|
111,34
|
|
|
|
БК 2х300 кВАр
|
|
|
|
|
|
|
|
|
|
|
-600
|
|
|
|
ИТОГО
|
|
|
|
|
|
|
|
|
|
1488,8
|
749,72
|
1666,9
|
0,83
|
|
ИТОГО по 0,4
кВ
|
|
7303,6
|
3959,65
|
8307,9
|
|
|
Потери в тр. ТП
|
|
94,06
|
499,29
|
508,07
|
|
|
ИТОГО по 10
кВ
|
|
|
|
|
|
|
Компрессорная
|
5
|
2
|
1250
|
2500
|
|
2125
|
-1062,5
|
|
|
|
Литейный цех
|
4
|
4
|
|
|
|
11900
|
12140,4
|
|
|
|
РТР ДСП
|
|
400
|
2000
|
|
|
|
QВБК
|
|
|
-13500
|
|
|
|
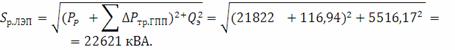
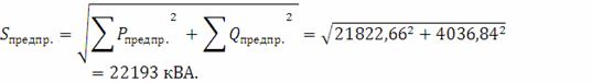
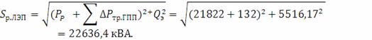
ИТОГО
|
|
21822,66
|
4036,84
|
22193
|
|
|
|
|
|
|
|
|
|
|
|
|
|
|
|
|
|
1.8 Сравнение вариантов внешнего электроснабжения
Питание может быть осуществлено от подстанции энергосистемы
на которой установлены два трёхобмоточных трансформатора мощностью по 40 МВА,
напряжением 115/37/10,5 кВ. Трансформаторы работают раздельно. Мощностьк.з. на
стороне 115 кВ равна 1200 МВА. Расстояние от энергосистемы до завода 4 км.
Завод работает в две смены. Для технико-экономического сравнения вариантов электроснабжения
завода рассмотрим три варианта:
1. I вариант - ЛЭП 115 кВ;
2. II вариант - ЛЭП 37 кВ;
3. III вариант - ЛЭП 10,5 кВ.
I вариант схемы электроснабжения
Рисунок 1.8.1 Первый вариант схемы электроснабжения
Выбираем электрооборудование по I варианту.
Полная расчетная мощность трансформатора ГПП:
где
- значение берется по таблице 5 название графы
«Итого по предприятию»;
- мощность энергосистемы.
Коэффициент загрузки трансформатора ГПП:
где
- номинальная мощность трансформатора ГПП.
Если коэффициент загрузки трансформатора получился равным
0,5, то дальнейший расчет не целесообразен.
Выбираем к установке два трансформатора ГПП марки
ТДН-16000/110, стоимостью 585 000 евро.
Таблица 1.8.1 Паспортные данные трансформатора ГПП
|
, МВА
|
, кВ
|
, кВ
|
, кВт
|
, кВт
|
, %
|
, %
|
|
16
|
115
|
10,5
|
18
|
85
|
10,5
|
0,7
|
Суммарные потери активной и реактивной мощности в
трансформаторе ГПП:
где
берем из паспортных данных выбранного
трансформатора ГПП.
Полная расчетная мощность в ЛЭП:
Расчётный ток в ЛЭП:
где
в зависимости от класса напряжения
Аварийный ток в ЛЭП:
Экономическое сечение провода:
где
экономическая плотность тока равна
.
По условию потерь на корону, минимальное сечение для линий
110 кВ равно 70 мм². Экономическое сечение
получилось равным 52 мм², однако минимальное
сечение для линий 110 кВ равно70 мм², следовательно выбираем
сечение 70 мм². Стоимость строительства одного километра
ВЛЭП с проводами марки АС-70 составляет 19460 евро.
Выбор провода осуществляется по следующим двум условиям:
,
Принимаем к установке провод марки АС-70 (
).
Потери в трансформаторе ГПП:
где
- время максимальных потерь,
,
выбираются в зависимости от сменности.
Потери в ЛЭП:
где
выбирают в зависимости от сечения, r0=0,4 ом/км для провода
АС-70/16.
- дано в исходных данных.
Рисунок 1.8.2 Схема КЗ
Базисный ток:
принимаем
=1000 МВА,
Реактивное сопротивление системы:
где
мощность к.з на стороне ВН трансформаторов
подстанции дана по заданию.
Ток короткого замыкания в точке К1:
Реактивное сопротивление линии
где
выбирают в зависимости от класса напряжения.
Ток короткого замыкания в точке К2:
Ударный ток:
где
ударный коэффициент равный 1,8.
К установке выбираем высоковольтный баковый элегазовый
выключатель фирмы ABB, марки 121РМ40-20В, стоимостью 119 300 евро.
Проверка по условиям выбора высоковольтных выключателей:
К установке выбираем разъединители трехполюсные фирмы АВВ NSA123/1600+2E с 2 комплектами
заземляющих ножей, стоимость 49 410 евро.
Проверка по условиям выбора разъединителей:
Выбор ограничителей перенапряжения (ОПН) производится по
напряжению. К установке выбираем ОПН фирмы АВВ PEXLIM на 110кВ стоимостью 21
690 евро.
евро равен 185 тенге.
Капитальные затраты на трансформатор ГПП:
где
- количество трансформаторов,
- стоимость трансформатора.
Капитальные затраты на ЛЭП:
где
- стоимость 1 км ЛЭП.
Капитальные затраты на выключатели:
где
- стоимость одного выключателя,
- количество выключателей.
Капитальные затраты на разъединители:
где
- стоимость одного разъединителя,
- количество разъединителей.
Капитальные затраты на ОПН
где
- стоимость одного ОПН,
- количество ОПН.
Суммарные капитальные затраты по первому варианту схемы
электроснабжения
II вариант схемы электроснабжения
Рисунок 1.8.3 Второй вариант схемы электроснабжения
Полная расчетная мощность трансформатора ГПП не меняется,
трансформатор ГПП выбирается по той же мощность только на другой класс
напряжения.
Выбираем к установке два трансформатора ГПП марки
ТД-16000/35, стоимостью 915 000 евро.
Таблица 1.8.3 Паспортные данные трансформатора ТД-16000/35
|
, МВА , кВ , кВ , кВт , кВт , % , %
|
|
|
|
|
|
|
|
16
|
38,5
|
10,5
|
16
|
105
|
8
|
0,6
|
Выбираем трансформатор системы
Выбираем к установке два трансформатора системы марки
ТРДН-40000/110, стоимостью 1 830 000 евро.
Таблица 1.8.4 Паспортные данные трансформатора системы
ТДТН-40000/110
|
, МВА
|
, кВ
|
, кВ
|
, кВ
|
, кВт
|
, кВт
|
, %
|
, %
|
, %
|
, %
|
|
40
|
115
|
38,5
|
10,5
|
39
|
200
|
10,5
|
6,5
|
17,5
|
0,6
|
Суммарные потери активной и реактивной мощности в
трансформаторе ГПП:
где
берем из паспортных данных выбранного
трансформатора ГПП.
Полная расчетная мощность в ЛЭП:
Расчётный ток в ЛЭП:
где
в зависимости от класса напряжения.
Аварийный ток в ЛЭП:
Экономическое сечение провода:
где
экономическая плотность тока равна
.
Экономическое сечение получилось равным 161 мм², следовательно выбираем сечение 150 мм². Стоимость одного километра провода
АС-150/24 составляет 21890 евро.
Выбор провода осуществляется по следующим двум условиям:
,
Принимаем к установке провод марки АС-150/24 (
).
Потери в трансформаторе ГПП:
где
- время максимальных потерь,
, ч.
выбираются в зависимости от сменности.
Потери в ЛЭП:
где
выбирают в зависимости от сечения, для
провода сечением 150 мм² r0 = 0.192 ом/км,
- дано в исходных данных.
Рисунок 1.8.4 Схема КЗ
Базисный ток
где
в зависимости от шины берем
,
принимаем 1000 МВА.
Реактивное сопротивление системы:
где
мощность к.з на стороне ВН
трансформаторов подстанции дана по заданию.
Реактивное сопротивление трансформатора системы:
Ток короткого замыкания в точке К1:
Реактивное сопротивление линии:
где
выбирают в зависимости от класса
напряжения.
Ток короткого замыкания в точке К2:
Ударный ток:
где
ударный коэффициент равный 1,8.
К установке выбираем высоковольтные элегазовые баковые выключатели
с одной дугогасящей камерой на фазу (В4, В5, В6, В7) фирмы ABB, марки 38РМ³1-12, стоимостью 60 000 евро.
Проверка по условиям выбора высоковольтных выключателей:
Выбираем секционный вакуумный выключатель с моторно-пружинным
приводом(В8), фирмы АВВ, марки 38РМ³1-12, по расчетному току, стоимостью 60
000 евро.
Проверка по условиям выбора высоковольтных выключателей:
Аварийный ток системы:
Выбираем элегазовые баковые выключатели с одной дугогасящей
камерой на фазу (В1, В2, В3) фирмы АВВ, марки 38РМ³1-12, стоимостью 60 000 евро.
Проверка по условиям выбора высоковольтных выключателей:
К установке выбираем разъединители трехполюсные фирмы АВВ NSA123/1600+1E с 1 комплектами заземляющих ножей, стоимость 117 510 евро.
Проверка по условиям выбора разъединителей
38
Выбор ограничителей перенапряжения (ОПН) производится по
напряжению. К установке выбираем ОПН фирмы АВВ, марки PEXLIM, стоимостью 6 000 евро.
евро равен 185 тенге.
Капитальные затраты на трансформатор ГПП:
где
- количество трансформаторов,
- стоимость трансформатора.
Капитальные затраты на ЛЭП:
где
- стоимость 1 км ЛЭП.
Капитальные затраты на выключатели:
где
- стоимость одного выключателя,
- количество выключателей.
Капитальные затраты на разъединители:
где
- стоимость одного разъединителя,
- количество разъединителей.
Капитальные затраты на ОПН
где
- стоимость одного ОПН,
- количество ОПН.
Долевое участие трансформатора системы:
Капитальные затраты на трансформатор системы:
Долевое участие выключателей В1 и В2
Капитальные затраты на выключатели В1 и В2:
Долевое участие выключателя В3:
Капитальные затраты на выключатель В3:
Суммарные капитальные затраты по второму варианту схемы:
III вариант схемы электроснабжения
Рисунок 1.8.5 Третий вариант схемы электроснабжения
Выбираем трансформатор системы. Оставляем такой же
трансформатор системы как в расчете варианта II.
Выбираем к установке два трансформатора системы марки
ТДТН-40000/110, стоимостью 1 830 000 евро.
Таблица 1.8.5 Паспортные данные трансформатора системы
ТДТН-40000/110
|
, МВА
|
, кВ
|
, кВ
|
, кВ
|
, кВт
|
, кВт
|
, %
|
, %
|
, %
|
, %
|
|
40
|
115
|
38,5
|
10,5
|
39
|
200
|
10,5
|
6,5
|
17,5
|
0,6
|
|
|
|
|
|
|
|
|
|
|
|
Полная расчетная мощность в ЛЭП:
Расчётный ток в ЛЭП:
где
в зависимости от класса напряжения.
Аварийный ток в ЛЭП:
Экономическое сечение провода:
мм²,
где
экономическая плотность тока равна
.
Экономическое сечение получилось равным 569,1 мм², следовательно выбираем 5 провода сечением 120 мм². Стоимость одного километра провода АС-120/19 на класс напряжения
10 кВ составляет 2500 евро.
Выбор провода осуществляется по следующим двум условиям:
,
Принимаем к установке провод марки 5хАС-120/19 (
).
Потери в ЛЭП
т.к. потери в ЛЭП составляют более 106 кВт, такой
вариант не приемлем. Дальнейший расчет не целесообразен.
Таблица 1.8.6 сравнение вариантов электроснабжения
|
N варианта
|
U, кВ
|
∑К, тенге
|
|
1
|
110
|
386146000
|
|
2
|
35
|
630207790,6
|
|
3
|
10
|
-
|
Следовательно, выбираем как наиболее выгодный вариант питания
от ЛЭП 110кВ.
1.9 Выбор оборудования и расчет токов короткого
замыкания U>1кВ
Расчет токов короткого замыкания Iкз (U= 10кВ) с учетом подпитки
от СД
Рисунок 1.9 Схема замещения электроснабжения ГПП
Sб=1000 МВА;

1.10 Расчет тока подпитки от СД
В цехе
установлено 2 синхронных двигателя со следующими характеристиками: Рн=1250 кВт, Uн= 10 кВ, х»d= 0,2%
Выбираем кабель к СД:
а) по экономической плотности тока:
б)
по минимальному сечению:
Принимаем кабель марки ААШв-10 - (3х50), Iдоп=130А
Тогда ток от двигателей будет равен:
Суммарный ток КЗ в точке К-3 на шинах 110кВ с учетом подпитки от
двигателей компрессорной будет равен:
S Iкз = I/к-3 + ISкз СД=7,32+0,536=7,856
кА.
Ударный ток в точке К-3: iуд3=Куд
.
1.11 Выбор оборудования
Sр.завода =22621, кВА;
Iав=2´Iр.зав =2´621,9=1243,8А.
Выбираем выключатель типа ВB/TEL - 10 - 20/1600 У2.
Секционный выключатель
Принимаем выключатель типа ВB/TEL - 10 - 12,5/630 У2.
Таблица 1.11.1 Исходные данные выключателей
|
Вводные
выключатели
|
Секционный
выключатель
|
|
Расчетные
|
Паспортные
|
Расчетные
|
Паспортные
|
|
Uн, кВ
|
10,5
|
10,5
|
10,5
|
10,5
|
|
Iн, А
|
1243,8
|
1600
|
621,9
|
630
|
|
Iотк, кА
|
7,856
|
12,5
|
7,856
|
12,5
|
Выбор выключателей отходящих линий:
Магистраль ГПП - (ТП1-ТП2):
Выбираем выключатель типа ВB/TEL - 10-12,5.630У2
Таблица 1.11.2
|
Паспортные
данные
|
Расчетные данные
|
|
Uн= 10,5 кВ Iн = 630A Iоткл= 12,5 кА Iскв= 32кА I2*t =(Iоткл)2×4=4096 кА2 ×с
|
U= 10,5 кВ Iав=
140А Iкз= 7,856кА Iуд= 19,99кА B=(Iкз)2×0,12= 7,4кА2×с
|
|
Привод
электромагнитный
|
Магистраль ГПП - (ТП3-ТП4):
Выбираем выключатель типа ВB/TEL - 10-12,5.630У2
Таблица 1.11.3
|
Паспортные
данные
|
Расчетные
данные
|
|
Uн= 10,5 кВ Iн = 630A Iоткл= 12,5 кА Iскв= 32кА I2*t =(Iоткл)2×4=4096 кА2 ×с
|
|
Привод
электромагнитный
|
Магистраль ГПП - (ТП5-ТП6):
Выбираем выключатель типа ВB/TEL - 10-12,5.630У2
Таблица 1.11.4
|
Паспортные
данные
|
Расчетные
данные
|
|
Uн= 10,5 кВ Iн = 630A Iоткл= 12,5 кА Iскв= 32кА I2*t =(Iоткл)2×4=4096 кА2 ×с
|
U= 10,5 кВ Iав=
96,53А Iкз= 7,856кА Iуд= 19,99кА B=(Iкз)2×0,12= 7,4кА2×с
|
|
Привод
электромагнитный
|
Магистраль ГПП-СД:
Выбираем выключатель типа ВB/TEL - 10-12,5.630У2
Таблица 1.11.5
|
Паспортные
данные
|
Расчетные
данные
|
|
Uн= 10,5 кВ Iн = 630A Iоткл= 12,5 кА Iскв= 32кА I2*t =(Iоткл)2×4=4096кА2 ×с
|
U= 10,5 кВ Iр=
64,9 А Iкз= 7,856кА Iуд= 19,99кА B=(Iкз)2×0,12= 7,4кА2×с
|
|
Привод
электромагнитный
|
Магистраль ГПП-ВБК:
Выбираем выключатель типа ВB/TEL - 10-12,5.630У2
Таблица 1.11.6
|
Паспортные
данные
|
Расчетные
данные
|
|
Uн= 10,5 кВ Iн = 630A Iоткл= 12,5 кА Iскв= 32кА I2*t =(Iоткл)2×4=4096кА2 ×с
|
U= 10,5 кВ Iр=
74,23 А Iкз= 7,856кА Iуд= 19,99кА B=(Iкз)2×0,12= 7,4кА2×с
|
|
Привод
электромагнитный
|
Печи ДСП
Выбираем кабель 3хААШв (1х120) Iдоп = 220А
Выбираем выключатель BB-TEL-10-12,5/630У2
из [17]
Таблица 1.11.7
|
Паспортные
данные
|
Расчетные
данные
|
|
Uн= 10,5 кВ Iн = 630A Iоткл= 12,5 кА Iскв= 32кА I2*t =(Iоткл)2×4=4096 кА2 ×с
|
U= 10,5 кВ Iр=
175,27А Iкз= 7,856кА Iуд= 19,99кА B=(Iкз)2×0,12= 7,4кА2×с
|
|
Привод
электромагнитный
|
Выбор трансформаторов тока
Трансформаторы
тока выбираются по следующим условиям:
по напряжению установки: Uном
тт
Uном уст-ки;
по току: Iном тт
Iрасч;
по электродинамической стойкости: Кдин
;
по вторичной нагрузки: Sн2
Sнагр расч;
. по термической стойкости: Ктс=
;
а) Выбор трансформаторов тока на вводе и секционном выключателе.
Таблица 1.11.8 таблица приборов
|
Прибор
|
Тип
|
А, ВА
|
В, ВА
|
С, ВА
|
|
A
|
Э-350
|
0,5
|
0,5
|
0,5
|
|
Wh
|
FBU
11200
|
2,5
|
2,5
|
2,5
|
|
Varh
|
OD
4165
|
2,5
|
2,5
|
2,5
|
|
W
|
DBB13200
|
0,5
|
-
|
0,5
|
|
Var
|
OD4110
|
0,5
|
-
|
0,5
|
|
Итого
|
|
6,5
|
5,5
|
6,5
|
Примем трансформатор токаТВ10-1У2: Iн= 1500 А; Uн= 10,5 кВ; Sн = 20М ВА.
Таблица 1.11.9
|
Расчетные
величины
|
По каталогу
|
|
Uн= 10,5 кВ
|
Uн= 10,5 кВ
|
|
Iав= 1243А
|
Iн= 1500 А
|
|
iуд= 19,99кА
|
Iдин= 52 кА
|
|
S2 р= 10,4 ВА
|
S2 н= 20 ВА
|
Рассчитаем вторичную нагрузку трансформаторов тока.
Сопротивление вторичной нагрузки состоит из сопротивления
приборов, соединительных проводов и переходного сопротивления контактов:
R2=Rприб+Rпров+Rк-тов
Сопротивление приборов определяется по формуле:
где Sприб. - мощность, потребляемая приборами;
I2 -
вторичный номинальный ток прибора.
Допустимое сопротивление проводов:
принимаем провод АКР ТВ; F=2,5 мм²;
S2=R2·
=0,416·52=10,5 ВА;
Где R2=Rприб+Rпров+Rк-тов=0,26+0,056+0,1=0,416 Ом
Выбираем трансформатор тока на секционном выключателе шин ГПП: Iр= 300 А; ТПЛК-10УЗ: Iн= 300 А; Uн= 10,5 кВ.
Таблица 1.11.10
|
Прибор
|
Тип
|
А, ВА
|
В, ВА
|
С, ВА
|
|
Aмперметр
|
Э-350
|
0,5
|
0,5
|
0,5
|
|
Итого
|
|
0,5
|
0,5
|
0,5
|
Таблица 1.11.11
|
Расчетные
величины
|
По каталогу
|
|
Uн= 10,5 кВ
|
Uн= 10,5 кВ
|
|
Iав= 621,9 А
|
Iн= 800 А
|
|
iуд= 19,99 кА
|
Iдин= 52 кА
|
|
S2 р= 4,4 ВА
|
S2 н= 10ВА
|
0,4-0,02-0,1=0,28 Ом;
принимаем провод АКР ТВ; F=2,5 мм²;
S2=R2
=0,0,17652=4,4 ВА;
R2=
0,02+0,056+0,1=0,176 Ом.
б) Выбираем трансформатор тока на линии ГПП - (ТП1-ТП2); ГПП -
(ТП3-ТП4); ГПП - (ТП5-ТП6); ГПП-СД; ГПП-ВБК.
Таблица 1.11.12
|
Прибор
|
Тип
|
А, ВА
|
В, ВА
|
С, ВА
|
|
Амперметр
|
Э-350
|
0,5
|
0,5
|
0,5
|
|
Wh
|
FBU 11200
|
2,5
|
2,5
|
2,5
|
|
Varh
|
OD 4165
|
2,5
|
2,5
|
2,5
|
|
Итого
|
|
5,5
|
5,5
|
5,5
|

0,4-0,22-0,1=0,08 Ом;
принимаем кабель АКРТВ; F=2,5 мм²;
S2=R2·
=0,376·52=9,4 ВА;
R2=
0,22+0,056+0,1=0,376 Ом.
Трансформатор тока на линии ГПП - (ТП1-ТП2): Iав=140 А; примем трансформатор тока ТПЛК-10УЗ: Iн= 300 А; Uн= 10,5 кВ; Sн = 10 ВА.
Таблица 1.11.13
|
Расчетные
величины
|
По каталогу
|
|
Uн= 10,5 кВ
|
Uн= 10,5 кВ
|
|
Iав= 140 А
|
Iн= 300 А
|
|
iуд= 19,99кА
|
Iдин= 52кА
|
|
S2 р= 9,4 ВА
|
S2 н= 10 ВА
|
Трансформатор тока на линии ГПП - (ТП3-ТП4): Iав=239,15А; примем
трансформатор тока ТПЛК-10УЗ: Iн= 300 А; Uн= 10,5 кВ; Sн = 10 ВА.
Таблица 1.11.14
|
Расчетные
величиныПо каталогу
|
|
|
Uн= 10,5 кВ
|
Uн= 10,5 кВ
|
|
Iав= 239,15А
|
Iн= 300 А
|
|
iуд= 19,99кА
|
Iдин= 52кА
|
|
S2 р= 9,4 ВА
|
S2 н= 10 ВА
|
Трансформатор тока на линии ГПП - (ТП5-ТП6): Iав=96,53А; примем
трансформатор тока ТПЛК-10УЗ: Iн= 300 А; Uн= 10,5 кВ; Sн = 10 ВА.
Таблица 1.11.15
|
Расчетные
величиныПо каталогу
|
|
|
Uн= 10,5 кВ
|
Uн= 10,5 кВ
|
|
Iав= 96,53 А
|
Iн= 300 А
|
|
iуд= 19,99кА
|
Iдин= 52кА
|
|
S2 р= 9,4 ВА
|
S2 н= 10 ВА
|
Трансформаторов тока на СД: Iр= 64,9А; примем
трансформатор тока ТПЛК-10УЗ: Iн= 100 А; Uн= 10,5 кВ; Sн = 10 ВА.
Таблица 1.11.16
|
Расчетные
величины
|
По каталогу
|
|
Uн= 10,5 кВ
|
Uн= 10,5 кВ
|
|
Iр= 64,9 А
|
Iн= 100 А
|
|
iуд= 19,99кА
|
Iдин= 52кА
|
|
S2 р=4,9 ВА
|
S2 н=10ВА
|
Трансформаторов тока на ВБК: Iр= 72,23 А; примем
трансформатор тока ТПЛК-10УЗ: Iн= 300 А; Uн= 10,5 кВ; Sн = 10 ВА.
Таблица 1.11.17
|
Расчетные
величиныПо каталогу
|
|
|
Uн= 10,5 кВ
|
Uн= 10,5 кВ
|
|
Iр= 72,23А
|
Iн= 300 А
|
|
iуд= 19,99 кА
|
Iдин= 52кА
|
|
S2 р=4,9 ВА
|
S2 н=10ВА
|
Трансформаторов тока на ВБК ДСП 4х2700: Iр= 175,27 А; примем
трансформатор тока ТПЛК-10УЗ: Iн= 300 А; Uн= 10,5 кВ; Sн = 10 ВА.
Таблица 1.11.18
|
Расчетные
величиныПо каталогу
|
|
|
Uн= 10,5 кВ
|
Uн= 10,5 кВ
|
|
Iр= 175,27 А
|
Iн= 300 А
|
|
iуд= 19,99 кА
|
Iдин= 52кА
|
|
S2 р=4,9 ВА
|
S2 н=10ВА
|
Выбор трансформаторов напряжения
Трансформаторы напряжения выбираются по следующим условиям:
1. по напряжению установки: Uном
Uуст;
. по вторичной нагрузки: Sном²
S2расч;
. по классу точности
. по конструкции и схеме соединения
Таблица 1.11.19
|
Прибор
|
Тип
|
, ВА
|
Число обм.
|
|
Число приб.
|
, Вт
|
, вар
|
|
V
|
Э-350
|
2
|
2
|
1
|
2
|
8
|
-
|
|
Wh
|
FBU 11200
|
1,5
|
2
|
1
|
1
|
3
|
-
|
|
Varh
|
OD 4165
|
1,5
|
2
|
1
|
1
|
3
|
-
|
|
W
|
DBB13200
|
3
|
2
|
0,38
|
8
|
48
|
116,64
|
|
Var
|
OD4110
|
3
|
2
|
0,38
|
8
|
48
|
116,64
|
|
ИТОГО
|
|
|
|
|
|
110
|
233,28
|
Расчетная вторичная нагрузка:
Выбираем ТН - НТМК-10-У3. Класс точности 3 для номинальной
мощности 500 ВА.
Таблица 1.11.20
|
Uн т= 10,5 кВ
|
Uн т= 10,5 кВ
|
|
Sн 2= 257,91 кВА
|
Sр 2= 300 ВА
|
|
Схема
соединения обмоток
|
Выбор выключателей нагрузки
ТП1,2 Iр= 69,44А ТП3,4 Iр= 119,575 А ТП5,6 Iр= 48,265 А;
Для трансформаторов выключатель
ВНПу-10/400-10ЗпУЗ
Таблица 1.11.21
|
Расчетные
|
Паспортные
|
|
Uн= 10,5 кВ
|
Uн= 10,5 кВ
|
|
Iрасч= 119,575 А
|
Iн=400А
|
|
Iк= 7,856кА
|
Iотк= 10 кА
|
Выбор силовых кабелей отходящих линий
Выбор кабелей производится по следующим условиям:
по экономической плотности тока:
1.
по
минимальному сечению Fmin =a·Iкз·Ötп;
по условию нагрева рабочим током Iдоп каб
Iр;
по аварийному режиму Iдоп
ав
Iав;
по потере напряжения DUдоп
DUрас.
Выбираем кабель ГПП-ТП1-ТП2:
а) по экономической плотности тока:
Fэ = Iр /jэк = 64,99/1,4=49,6 мм²,
jэк=1,4
- для Тм= 3000-5000 ч.
Принимаем кабель марки ААШв-10 - (3х50); Iдоп= 180 А;
б) проверим выбранный кабель по термической стойкости к Iкз, найдем минимальное сечение кабеля по
Iкз: Fmin=α·Iкз·
, мм²;
принимаем окончательно кабель ААШв-10 - (3х70); Iдоп= 130 А;
С учетом поправочного коэффициента Кпопр, зависящего от
количества кабелей проложенных в одной траншее Кпопр=0,8 (4 кабеля в
траншее):
Iр/Кпопр
=64,99/ 0,8=86,8А, (130А>86,8А).
Условия выполняются, тогда окончательно принимаем кабель марки
ААШВ-10 - (3х50), с Iдоп=130А.
Все расчетные данные выбора остальных кабелей занесены в таблицу
1.11.22 Кабельный журнал.
Выбор шин ГПП
Сечение шин выбирают по длительно допустимому току и экономической
целесообразности. Проверку шин производят на электродинамическую и термическую
стойкость к токам КЗ.
Выбираем твердотянутые алюминиевые шины прямоугольного сечения
марки АТ-80х6; Iдоп=1625 А (одна полоса на фазу), Iав=1243,8
А;
а) Iдоп≥Iав;
б) проверка по термической стойкости к Iкз
Fmin=α·Iкз·
мм²<Fn;
в) проверка по динамической стойкости к·iудкз≥σдоп=700 кгс/см²:
W=0,167·b·h2=0,167·1·6=1,003 см³
Где L=80 см-расстояние между изоляторами;
а=100 см-расстояние между фазами;
b=1 см-толщина одной полосы;
h=6 см-ширина (высота) шины.
Из условия видно, что шины динамически устойчивы
Выбор изоляторов
Жесткие шины крепятся на опорных изоляторах, выбор которых
производится по следующим условиям:
по номинальному напряжению: Uном³Uуст;
по допустимой нагрузке: Fдоп≥Fрасч.
Где Fрасч. - сила, действующая на изолятор;
Fдоп - допустимая нагрузка на головку изолятора, Fдоп = 0,6·Fразруш.;
Выбираем изолятор типа ОНШ-10-500У1, Fразруш=500
кгс.
Fдоп= 0,6·Fразруш= 0,6 500=300 кгс. (>55,37 кгс), условие выполняется
Таблица 1.11.21 Кабельный журнал
|
Наименование
участка
|
Sр, кВА
|
Кол-во кабелей
в траншее
|
Нагрузка
|
По
экономической плотности тока, мм²
|
По допустимой
нагрузке, мм²
|
По току
короткого замыкания, мм²
|
Выбранный
кабель
|
Iдоп,
A
|
|
|
|
Iр,
A
|
Iав,
A
|
jэ
|
Fэ
|
Кп
|
Iдоп
|
Iк, A
|
S
|
|
|
|
ГПП-ТП1-ТП2
|
3611,28
|
4
|
64,99
|
138,88
|
1,4
|
46,4
|
0,8
|
81,2
|
7856
|
70
|
ААШВ-10 -
(3х70)
|
95
|
|
ГПП-ТП3-ТП5
|
4349,4
|
4
|
119,58
|
239,15
|
1,4
|
85,4
|
0,8
|
149,5
|
7856
|
70
|
ААШВ-10 - (3 70)155
|
|
|
ГПП-ТП6
|
1755,6
|
4
|
48,27
|
96,53
|
1,4
|
34,47
|
0,8
|
60,33
|
7856
|
70
|
ААШВ-10 -
(3х70)
|
80
|
|
ГПП-ДСП
|
12320
|
4
|
338,72
|
-
|
1,4
|
241,9
|
0,9
|
376
|
7856
|
70
|
ААШВ-10 - (3 120)220
|
|
|
ГПП-ВБКДСП
|
4х2700
|
4
|
338,72
|
-
|
1,4
|
241,9
|
0,9
|
376
|
7856
|
70
|
ААШВ-10 - (3 120)220
|
|
|
ГПП-СД
|
1388,88
|
2
|
64,9
|
-
|
1,4
|
46,35
|
0,8
|
81,13
|
7856
|
70
|
ААШВ-10 -
(3х70)
|
95
|
|
ГПП-ВБК
|
2х1350
|
2
|
74,2
|
-
|
1,4
|
53
|
1
|
74,2
|
-
|
70
|
ААШВ-10 - (3 70)80
|
|
2. Модернизация цеха РТИ
Каждое производство ведет за собой износ оборудования. В
связи с этим в цеху требуется замена проводки и заодно коммутационных
аппаратов, а также переход от системы TN-C к системе TN-S. Это необходимо для установки УЗО и модернизации системы
проводки цеха. Исходные данные для электроприемников представлены в таблицах
2.1 и 2.2.
Для цеха резинотехнических изделий промышленного предприятия,
план которого приведен ниже, произвести перечисленные мероприятия и расчеты с
выбором схем и электрооборудования электрической сети.
Наметить узлы питания электроприёмников (силовые шкафы,
распределительные шинопроводы)
Определить силовые нагрузки по узлам питания, осветительную
нагрузку и расчетную нагрузку по цеху в целом методом коэффициентов
использования и максимума.
Выбрать схему питающей и распределительной сетей цеха.
Выбрать число и мощность трансформаторов, место расположения
цеховой подстанции.
Определить сечение и марку проводов, кабелей и шин сети цеха.
Произвести выбор электрической аппаратуры и рассчитать токи
плавких вставок предохранителей и уставок расцепителей автоматов.
Начертить на плане силовую электрическую сеть цеха.
Начертить схему силовой питающей и распределительной сетей
цеха с указанием сечения проводов, кабелей, параметров отключающей и защитной
аппаратуры и электроприемников.
2.1 Исходные данные
Таблица 2.1 Электрические нагрузки цеха
|
№ по плану
|
Наименование
оборудования
|
Установленная
мощность, кВт
|
|
|
|
|
1, 2, 3, 4,5
|
Штамповочный
пресс
|
26,2
|
|
6,7,15,16
|
Градирня
|
10
|
|
9,8
|
Вентилятор
|
45
|
|
10
|
Пресс
|
42
|
|
11
|
ЭПС
|
16
|
|
12
|
Пресс
|
30
|
|
13
|
Пресс горячего
литья
|
55
|
|
14
|
Пресс
|
4
|
Таблица 2.2 Коэффициенты электроприемников
|
№ по плану
|
Ки
|
cosφ
|
|
1, 2, 3, 4,5
|
0,3
|
0,65
|
|
6,7,15,16
|
0,12
|
0,5
|
|
9,8
|
0,3
|
0,65
|
|
10
|
0,3
|
0,65
|
|
11
|
0,15
|
0,6
|
|
12
|
0,3
|
0,65
|
|
13
|
0,12
|
0,5
|
|
14
|
0,7
|
0,8
|
.2 Расчет нагрузок электроприемников
Расчет нагрузок для группы электроприемников проводится по
методу упорядоченных диаграмм. [1]
Далее описан упрощенный метод упорядоченных диаграм
Число m определяется по формуле
(2.1)
где
- номинальные активные мощности
наибольшего и наименьшего электроприемников.
Средняя активная нагрузка за наиболее нагруженную смену
(2.2)
Средняя реактивная нагрузка за наиболее нагруженную смену
(2.3)
Для определения итоговой нагрузки узла питания необходимо
определить средневзвешенное значение коэффициента использования
(2.4)
Эффектное число электроприемников
(2.5)
Максимальная активная получасовая нагрузка от силовых
электроприемников узла
(2.6)
Максимальная реактивная получасовая нагрузка от силовых
электроприемников узла
при
при
Максимальная полная нагрузка расчетного узла питания
(2.7)
Расчетный максимальный ток определяется из формулы
(2.8)
Все расчеты производятся с помощью специальной программы,
разработанной на кафедре ЭПП. Расчет производится с помощью метода
упорядоченных диаграмм.
Интерфейс программы приведен ниже
Рисунок 2.1 Интерфейс программы расчета электрических нагрузок
Рисунок 2.2 Программа расчета электрических нагрузок
Все расчеты заносятся в таблицу 2.3.
Таблица 2.3 Расчет нагрузок по цеху
|
№№ по плану
|
Наименование
узлов питание и групп ЭП
|
n
|
Установленная
мощность, кВт
|
m
|
Ки
|
cosφ/tgφ
|
Средние
мощности
|
Определение
|
nэ
|
Kм
|
Максимальная
расчетная нагрузка
|
Iр, А
|
|
|
|
одного ЭП
|
Сум-марная
|
|
|
|
Рсм, кВт
|
Qсм, квар
|
n1
|
Pn1
|
P*
|
n*
|
nэ*
|
|
|
Pм, кВт
|
Qм, квар
|
Sм, кВА
|
|
|
1
|
2
|
3
|
4
|
5
|
6
|
7
|
8
|
9
|
10
|
11
|
12
|
13
|
14
|
15
|
16
|
17
|
18
|
19
|
20
|
21
|
|
ШРА-1
|
|
|
|
|
|
|
|
|
|
|
|
|
|
|
|
|
|
|
|
|
6
|
Градирня
|
1
|
10
|
10
|
|
0,3
|
0,65/1,17
|
3
|
3,5
|
|
|
|
|
|
|
|
6,56
|
7,22
|
9,75
|
14,07
|
|
7
|
Градирня
|
1
|
10
|
10
|
|
0,3
|
0,65/1,17
|
3
|
3,5
|
|
|
|
|
|
|
|
6,56
|
7,22
|
9,75
|
14,07
|
|
8
|
Вентилятор
|
1
|
5
|
5
|
|
0,3
|
0,65/1,17
|
1,5
|
1,76
|
|
|
|
|
|
|
|
3,28
|
3,61
|
4,88
|
7,04
|
|
9
|
Вентилятор
|
1
|
5
|
5
|
|
0,3
|
0,65/1,17
|
1,5
|
1,76
|
|
|
|
|
|
|
|
3,28
|
3,61
|
4,88
|
7,04
|
|
10
|
Пресс
|
1
|
42
|
42
|
|
0,3
|
0,65/1,17
|
14
|
16,38
|
|
|
|
|
|
|
|
30,6
|
35,84
|
47,14
|
68,04
|
|
Итого по ШРА-1
|
5
|
|
72
|
>3
|
0,37
|
|
23
|
26,9
|
|
|
|
|
|
4
|
1,87
|
50,31
|
55,34
|
74,8
|
110,3
|
|
ШР-1
|
|
|
|
|
|
|
|
|
|
|
|
|
|
|
|
|
|
|
|
|
14
|
Штамповочный
пресс
|
1
|
26,2
|
26,2
|
0,65/1,17
|
7,86
|
8,65
|
|
|
|
|
|
|
|
15,7
|
17,3
|
23,36
|
33,72
|
|
19
|
Штамповочный
пресс
|
1
|
26,2
|
26,2
|
|
|
0,65/1,17
|
7,86
|
8,65
|
|
|
|
|
|
|
|
15,7
|
17,3
|
23,36
|
33,72
|
|
10
|
Штамповочный
пресс
|
1
|
26,2
|
26,2
|
|
|
0,65/1,17
|
7,86
|
8,65
|
|
|
|
|
|
|
|
15,7
|
17,3
|
23,36
|
33,72
|
|
12
|
Штамповочный
пресс
|
1
|
26,2
|
26,2
|
|
|
0,65/1,17
|
7,86
|
8,65
|
|
|
|
|
|
|
|
15,7
|
17,3
|
23,36
|
33,72
|
|
23
|
Штамповочный
пресс
|
1
|
26,2
|
26,2
|
|
|
0,65/1,17
|
7,86
|
8,65
|
|
|
|
|
|
|
|
15,7
|
17,3
|
23,36
|
33,72
|
|
Итого по ШР-2
|
15
|
|
131
|
>3
|
0,34
|
|
39,3
|
43,25
|
|
|
|
|
|
5
|
2
|
78,5
|
86,5
|
116,8
|
168,6
|
|
ШР-2
|
|
|
|
|
|
|
|
|
|
|
|
|
|
|
|
|
|
|
|
|
11
|
ЭПС
|
1
|
16
|
16
|
|
0,15
|
0,6/1,33
|
2,4
|
3,2
|
|
|
|
|
|
|
|
5,14
|
5,65
|
7,64
|
11,02
|
|
12
|
Пресс
|
1
|
30
|
30
|
|
0,3
|
0,65/1,17
|
9
|
10,53
|
|
|
|
|
|
|
|
19,26
|
21,19
|
28,6
|
41,3
|
|
13
|
Пресс горяч.
Литья
|
1
|
55
|
55
|
|
0,3
|
0,65/1,17
|
16,5
|
19,3
|
|
|
|
|
|
|
|
35,31
|
38,84
|
52,5
|
75,8
|
|
14
|
Пресс
|
1
|
4
|
4
|
|
0,12
|
0,5/1,73
|
0,48
|
0,83
|
|
|
|
|
|
|
|
1,03
|
1,13
|
1,13
|
1,63
|
|
15
|
Градирня
|
1
|
10
|
10
|
|
0,12
|
0,5/1,73
|
1,2
|
2,07
|
|
|
|
|
|
|
|
2,57
|
2,23
|
3,43
|
4,94
|
|
16
|
Градирня
|
1
|
10
|
10
|
|
0,12
|
0,5/1,73
|
1,2
|
2,07
|
|
|
|
|
|
|
|
2,57
|
2,23
|
3,43
|
4,94
|
|
Итого по ШРА-3
|
6
|
|
105
|
>3
|
0.3
|
|
30,78
|
38
|
|
|
|
|
|
4
|
2,14
|
65,88
|
71,37
|
96,7
|
139,6
|
|
|
|
|
|
|
|
|
|
|
|
|
|
|
|
|
|
|
|
|
|
|
2.3 Выбор оборудования
Выбор автоматических выключателей
(2.9)
(2.10)
(2.11)
(2.12)
(2.13)
(2.14)
Автоматические выключатели выбраны согласно [18], силовые автоматы
выбраны согласно [19]
Кабели от силовых пунктов и приемников, подключенных к ТП
прокладываем в траншее, по 1. Поправочный коэффициент будет равен 1
Выбор автоматических выключателей приведен в таблице 2.4. Выключатели выбраны для
каждого агрегата отдельно.
Таблица 2.4 Выбор защитного оборудования
|
ЭП
|
Расчетный ток
|
Автоматический
выключатель
|
|
Тип аппарата
защиты
|
Кз
|
Токовая наг-ка
провода
|
Марка и сечение
провода
|
|
Iдлит (Iном)
|
Iкр
(Iпуск)
|
Iном. ав.
|
Iрасц ном
|
Уставка мгн.
срабатывания
|
|
|
|
Кз*Iз
|
Iдоп
пров
|
|
|
|
|
|
|
Кратн.ср.
расц
|
Iср расц
|
|
|
|
|
|
|
|
ШР-1
|
|
6
|
48,11
|
70,35
|
63
|
100
|
6
|
600
|
|
ABB-SH200L63C
|
1
|
63
|
60
|
АПВ-3 (1´10)+(1´6)
|
|
7
|
48,11
|
70,35
|
63
|
100
|
6
|
600
|
|
ABB-SH200L63C
|
1
|
63
|
60
|
АПВ-3 (1´10)+(1´6)
|
|
8
|
24,65
|
35,2
|
32
|
100
|
6
|
600
|
|
ABB-SH200L32C
|
1
|
32
|
35
|
АПВ - (4х2,5)
|
|
9
|
24,65
|
35,2
|
32
|
100
|
6
|
600
|
|
ABB-SH200L32C
|
1
|
32
|
35
|
АПВ - (4х2,5)
|
|
10
|
202,9
|
340,2
|
250
|
250
|
2
|
500
|
|
ABB-TmaxT1P
|
1
|
250
|
210
|
АПВ-3 (1´70)+(1´50)
|
|
От ТП к ШРА - 1
|
348,4
|
688
|
800
|
400
|
10
|
4000
|
|
ABB-TmaxT6
|
1
|
400
|
400
|
ААШв-1 - (3´95)+(1´70)
|
|
ШР-2
|
|
1
|
58,18
|
168,6
|
63
|
100
|
6
|
600
|
|
ABB-SH200L63C
|
1
|
63
|
80
|
АПВ-3 (1´16)+(1´10)
|
|
2
|
58,18
|
168,6
|
63
|
100
|
6
|
600
|
|
ABB-SH200L63C
|
1
|
63
|
80
|
АПВ-3 (1´16)+(1´10)
|
|
3
|
58,18
|
168,6
|
63
|
100
|
6
|
600
|
|
ABB-SH200L63C
|
1
|
63
|
80
|
АПВ-3 (1´16)+(1´10)
|
|
4
|
58,18
|
168,6
|
63
|
100
|
6
|
600
|
|
ABB-SH200L63C
|
1
|
63
|
80
|
АПВ-3 (1´16)+(1´10)
|
|
5
|
58,18
|
168,6
|
63
|
100
|
6
|
600
|
|
ABB-SH200L63C
|
1
|
63
|
80
|
АПВ-3 (1´16)+(1´10)
|
|
От ТП к ШРА-2
|
290,9
|
459.5
|
400
|
630
|
10
|
4000
|
|
ABB-TmaxT6
|
1
|
400
|
400
|
ААШв-1 - (3´95)+(1´70)
|
|
|
|
|
|
|
|
ШРА-1
|
|
|
|
|
|
|
|
|
11
|
38,5
|
44,08
|
40
|
100
|
6
|
600
|
|
ABB-SH200L40C
|
1
|
40
|
42
|
АПВ-3 (1´6)+(1´4)
|
|
12
|
66,62
|
80
|
100
|
5
|
400
|
|
ABB-SH201L80C
|
1
|
80
|
80
|
АПВ-3 (1´16)+(1´10)
|
|
13
|
122,1
|
262,5
|
125
|
125
|
5
|
625
|
|
ABB-SH201L125C
|
1
|
125
|
125
|
АПВ-3 (1´35)+(1х25)
|
|
14
|
11,55
|
9,78
|
16
|
63
|
6
|
378
|
|
ABB-SH200L16C
|
1
|
16
|
25
|
АПВ-4 (1´2,5)
|
|
15
|
28,87
|
29,64
|
32
|
63
|
6
|
378
|
|
ABB-SH200L32C
|
1
|
32
|
35
|
АПВ-4 (1´4)
|
|
16
|
28,87
|
29,64
|
32
|
63
|
6
|
378
|
|
ABB-SH200L32C
|
1
|
32
|
35
|
АПВ-4 (1´4)
|
|
От ТП к ШР-1
|
296.51
|
559
|
400
|
630
|
10
|
4000
|
|
ABB-TmaxT5
|
1
|
1000
|
340
|
ААШв-1 - (3´70)+(1´50)
|
|
|
|
|
|
|
|
|
|
|
|
|
|
|
|
|
|
|
|
|
|
|
|
|
|
|
|
|
|
|
Таблица 2.5. Коэффициенты пуска и пусковые токи ЭП
|
№ по плану
|
Наименование
оборудования
|
РН,
кВт
|
Iр
|
КП
|
Iпуск
|
Iпуск/α
|
1,25хIпуск
|
|
1, 2, 3, 4,5
|
Штамповочный
пресс
|
26,2
|
33,72
|
5
|
168,6
|
105,38
|
210,75
|
|
6,7,15,16
|
Градирня
|
10
|
14,07
|
5
|
70,35
|
43,97
|
87,94
|
|
9,8
|
Вентилятор
|
45
|
7,04
|
5
|
35,2
|
22
|
44
|
|
10
|
Пресс
|
42
|
68,04
|
5
|
340,2
|
212,63
|
425,25
|
|
11
|
ЭПС
|
16
|
11,02
|
4
|
44,08
|
22,04
|
55,1
|
|
12
|
Пресс
|
30
|
41,3
|
5
|
206,5
|
129,06
|
258,13
|
|
13
|
Пресс горячего
литья
|
55
|
75,8
|
3
|
227,4
|
142,13
|
284,25
|
|
14
|
Пресс
|
4
|
1,63
|
5
|
8,15
|
3,26
|
10,19
|
2.4 Выбор силового распределительного шкафа и
шинопровода
Выбор силового распределительного шкафа и шинопровода
представлен в таблице 2.6.
Таблица 2.6 Выбор силового распределительного шкафа и
шинопроводов
|
Тип
|
Iр,
А
|
Iном,
А
|
Обозначение
силового распределительного шкафа и шинопровода
|
iамп,
кА
|
rуд,
Ом/км
|
xуд,
Ом/км
|
zп.ф-о,
Ом/км
|
|
ШРА-1
|
348,4
|
400
|
ШРА73ВУ3
|
15
|
0,21
|
0,21
|
0,9
|
|
ШРА-2
|
290,9
|
400
|
ШРА73ВУ3
|
25
|
0,15
|
0,17
|
0,65
|
|
ШР-1
|
296,5
|
400
|
ШР11-73-702
|
25
|
0,15
|
0,17
|
0,65
|
|
ТП
|
935,8
|
1000
|
ШМА4
|
100
|
0,0297
|
0,0143
|
0,0872
|
2.5 Расчет токов кз
Для проверки выбранных защитных аппаратов по условию
отключения тока КЗ используется программа расчета токов КЗ в сетях до 1000В,
разработанной на кафедре ЭПП, интерфейс, которой показан рисунке 2.2, а
расчетная схема на рисунке 2.3.
Рисунок 2.3 вводные данные и полученные результаты
Рисунок 2.4 Расчетная схема электроснабжения
электродвигателей участка цеха
Расчет токов короткого замыкания вручную
После выбора автоматов необходимо убедиться, расцепитель
автомата надежно защищают участок сети, на котором они установлены. В качестве
примера для расчета принимается наиболее удаленный от шин ТП ЭП. Расчетные
точки для определения токов к.з. приведены на рисунке 2.4.
Рисунок 5.4 схема расчетных точек
ТП - трансформаторная подстанция; А1, А2, А3 - защитные
аппараты; КЛ - кабельная линия; АПВ - провод для питания ЭП; СП - силовой
пункт; ЭП - электроприемник; К1 - точка к.з. на шинах ТП: К2 - точка к.з. на
шинах узла питания; К3 - точка к.з. на зажимах электроприемника.
Составляется схема замещения (рисунок 2) и находятся
трехфазные, двухфазные и однофазные токи короткого замыкания для заданных
точек.
Выбираем трансформатор - ТСЗ-630-10/0,4: Sном=630 кВА; активное
сопротивление Rтр=3,4 мОм; индуктивное сопротивление Хтр=13,5 мОм.
Выключатель АВВ-ТмахТ6: Rавт.1=0,14 мОм; Xавт.1=0,08 мОм; Rкв=0,07 мОм.
Шина: rш=0,167 мОм/м; хш=0,06 мОм/м; Rш= rш*l=0,167*6=1,002 мОм; Хш=
хш*l=0,36
мОм.
где l - длина шины 6 м.
Выключатель АВВ-ТмахТ5: Rавт.2=0,14 мОм; Xавт.2=0,1 мОм; Rкв=0,08 мОм.
Кабель ААШв-1 - (3х50)+(1х35): rкаб=0,625 мОм/м; хкаб=0,0625
мОм/м;

где l - длина кабеля 16 м.
Шинопровод ШРА73ВУЗ: Rшра=0,15 мОм; Хшра=0,17 мОм.

Выключатель АВВ-ТмахТ3Р: Rавт.3=2,15 мОм; Xавт.3=1,2
мОм; Rкв=0,5 мОм.
Провод АПВ-3 (1х16)+(1х10): Rпров=1,95
мОм; Хпров=0,0675 мОм.

Ток трехфазного к.з. определяется из выражения
(2.14)
где Uн -
номинальное напряжение сети 0,4 кВ;
полное сопротивление сети, мОм.
R1=Rтр+Rавт.1+Rкв+ Rш=3,4+0,14+0,07+1,002=4,612
мОм.
Х1=Хтр+Хавт.1+
Хш=13,5+0,08+0,36=13,94 мОм.
Рисунок 2.5 Схема замещения
R2=R1+Rавт.2+Rкв+Rкаб+Rшра=4,612+0,24+10+0,495+0,08=15,427
мОм.
Х2=Х1+Хавт.2+
Хкаб+Хшра=13,94+0,1+1+0,0561=15,09мОм.
R3=R2+Rавт.3+Rкв+Rпров=15,427+2,15+0,5+0,117=18,194мОм.
Х3=Х2+Хавт.3+
Хпров=15,09+1,2+0,00405=16,29мОм.
В точке К1 ток трехфазного к.з.
где
В точке К2 ток трехфазного к.з.
где
В точке К3 ток трехфазного к.з.
где
Ток двухфазного к.з. определяется из выражения
В точке К1 ток двухфазного к.з.
В точке К2 ток двухфазного к.з.
В точке К3 ток двухфазного к.з.
Ток однофазного к.з. определяется из выражения
где Uф - фазное
напряжение сети 220 В;
Zтр -
сопротивление трансформатора, Ом.
- полное
сопротивление петли фаза-нуль провода линии, Ом:
Zшра.п.ф.0=0,65 Ом/км; Zпров.п.ф.0(АПВ)=8,6
Ом/км; Zкаб.п.ф.0=0,36 Ом/км;
Zш.п.ф.0=0,086 Ом/км.
В точке К1 ток однофазного к.з.
В точке К2 ток однофазного к.з.
В точке К3 ток однофазного к.з.
Кратность тока однофазного к.з. в
наиболее удаленной точке сети должна быть
I(1)к.мин.≥1,25IM
Выключатель АВВ-Тмах6: 4970≥1,25·1600
Выключатель АВВ-Тмах5: 4970≥1,25·1000
Выключатель АВВ-SH200L63C: 4970≥1,25·63
Следовательно выбранные выключатели
при однофазном к.з. надежно защищают сеть.
Таким образом видно, что погрешность
составила всего лишь 3,4%.
Заключение
В данной дипломной работе были рассмотрены
вопросы по расчету нагрузок цеха, нагрузок на ГПП, произведены расчеты токов
короткого замыкания, выбрано современное коммутационное оборудование компании
АВВ, а также батареи конденсаторов низквольтные и высоковольтные. Выбрано
наиболее эффективное электроснабжение машиностроительного завода.
Кроме того рассмотрен вопрос о
модернизации цеха, проверены уставки автоматов и надежность отключения.
Подсчитана кратность токов и найдена погрешность в расчетах.
Список использованной литературы
1
Справочник по проектированию электроснабжения Барыбин Ю.Г. - М.: Энерго, 2009
ПУЭ.
7-е изд. - М.: Изд-во НЦ ЭНАС, 2004. -160 с.
Охрана
труда. Правила технической эксплуатации электроустановок потребителей. - М.:
ИНФРА-М, 2003.
Справочное
пособие. - СПб: НОУ ДПО «УМИТЦ «Электро Сервис», 2010
Продукция
АВВ за 2012 год. - М:АВВ. 2012 -185с
СНиП
12-01-2004
БЖД
С. В. Белов, А. В. Ильницкая; 2-е издание; М.: Высшая школа, 1999 г.
БЖД
С. В. Белов, А. В. Ильницкая: 7-е издание; М.: Высшая школа, 2007 г.
Чернобровов
Н.В. Релейная защита энергетических систем: - М.: Энергоатомиздат, 2003.
Каталог
продукции международной группы компаний «световые технологии»
11
Неклепаев Б.Н., Крючков И.П. Выбор электрооборудования, Москва, «Издательство
НЦ ЭНАС», 2002 г.
12Казарновский
Д.М., Тареев Б.М. Испытание электроизоляционных материалов и изделий 2010
13
Князевский Б.А., Липкин Б.Ю. Электроснабжение промышленных предприятий.
Учебник. 2-е изд. - М.: Высшая школа, 1979.
Лапицкий
В.И. Организация и планирование энергетики - М. Высшая школа, 1979 г.
Экология
и безопасность жизнедеятельности. Под редакцией доктора физ.-мат. наук,
чл.-корр. РЭА, профессора Л.А. Муравья. Издательство Юнитидан, 2000
Индексы
цен в строительстве. Выпуск 55. - М.: КО-ИНВЕСТ, 2006
http://velto.ru/tavrida.htm
http://www.uzo.abb-electro.ru
http://www.sac.abb-electro.ru/
Ополева
Г.Н. Схемы подстанций электроснабжения: Справочник: Учебное пособие. - М.:
ФОРУМ ИНФА, 2006