Оценка инвестиционной привлекательности региона (на материалах администрации Советского района г. Гомеля)
Министерство
образования Республики Беларусь
Учреждение образования
«Гомельский государственный
университет имени Франциска Скорины»
(Заочный) Экономический факультет
Кафедра экономики и управления
Дипломная работа
Оценка инвестиционной привлекательности
региона (на материалах администрации Советского района г. Гомеля)
Исполнитель
студент группы ГУ-61
О.А. Калачева
Научный руководитель
к.э.н, доцент В.С. Селицкий
Гомель 2013
СОДЕРЖАНИЕ
ВВЕДЕНИЕ
. ТЕОРЕТИЧЕСКИЕ АСПЕКТЫ ИНВЕСТИЦИОННОЙ ПРИВЛЕКАТЕЛЬНОСТИ
РЕГИОНА
.1 Сущность, факторы и подходы к определению инвестиционной
привлекательности региона
.2 Показатели, используемые для оценки инвестиционной
привлекательности региона
.3 Международный опыт
. КОМПЛЕКСНАЯ ОЦЕНКА ИНВЕСТИЦИОННОЙ ПРИВЛЕКАТЕЛЬНОСТИ
АДМИНИСТРАЦИИ СОВЕТСКОГО РАЙОНА г. ГОМЕЛЯ
.1 Социально-экономическая характеристика администрации
Советского района г. Гомеля
.1.1 Роль льготных условий осуществления инвестиционной
деятельности в социально-экономическом развитии региона
.1.2 Отдельные результаты социально-экономического развития
Гомельской области
.2 Оценка текущей инвестиционной привлекательности Гомельской
области
.3 Сравнительная характеристика инвестиционной
привлекательности регионов Республики Беларусь
. НАПРАВЛЕНИЯ ПОВЫШЕНИЯ ИНВЕСТИЦИОННОЙ ПРИВЛЕКАТЕЛЬНОСТИ
ГОМЕЛЬСКОЙ ОБЛАСТИ
ЗАКЛЮЧЕНИЕ
СПИСОК ИСПОЛЬЗОВАННЫХ ИСТОЧНИКОВ
ВВЕДЕНИЕ
Механизм инвестирования - основное условие непрерывности производства,
являющегося фундаментом экономики, поэтому потребность в инвестиционных ресурсах
имеется постоянно.
Создание благоприятного, стабильного инвестиционного климата в экономике
Республики Беларусь является объективной необходимостью, поскольку структурная
перестройка национальной экономики требует значительных капитальных вложений. В
условиях недостатка средств государственного бюджета и ограниченных
возможностей банковской системы привлечение иных источников становится особенно
актуальным.
Высокая инвестиционная привлекательность как Республики Беларусь в целом,
так и каждого ее региона является ключевым фактором повышения
конкурентоспособности, обеспечения высоких и устойчивых темпов экономического
роста.
Целью данной работы является анализ инвестиционной
привлекательности Гомельской области и разработка предложений по ее
совершенствованию.
Задачи курсовой работы:
рассмотреть сущность и особенности инвестиционной
деятельности в Республике Беларусь, ее назначение, способы и источники;
изучить особенности региона и осуществить оценку
инвестиционной привлекательности Гомельской области;
проанализировать особые условия осуществления
хозяйственной деятельности в Гомельской области;
выявить направления повышения инвестиционной
привлекательности изучаемого региона.
1. ТЕОРЕТИЧЕСКИЕ АСПЕКТЫ ИНВЕСТИЦИОННОЙ ПРИВЛЕКАТЕЛЬНОСТИ РЕГИОНА
.1 Сущность, факторы и подходы к определению инвестиционной
привлекательности региона
Основная цель предпринимательской деятельности - получение прибыли
достигается не в процессе владения различными средствами, а в результате их
инвестирования (англ. «invest», нем. «investiren», лат. «investire» - облачать,
вкладывать) в объекты этой деятельности - товары, работы, услуги,
удовлетворяющие потребности общества.
Под инвестиционной деятельностью понимаются действия инвестора по
вложению инвестиций в производство продукции (работ, услуг) или их иному
использованию для получения прибыли (дохода) и (или) достижения иного значимого
результата.
В соответствии со ст.5 Инвестиционного кодекса Республики Беларусь
инвестиционная деятельность может осуществляться в следующих формах:
создание юридического лица;
приобретения имущества или имущественных прав, а именно:
• доли в уставном фонде юридического лица;
• недвижимости;
• ценных бумаг;
• прав на объекты интеллектуальной собственности;
• концессий;
• оборудования;
• других основных средств.
В качестве объектов инвестиционной деятельности, т.е. материальных и
нематериальных благ, в которые может быть осуществлено инвестирование,
выступают:
недвижимое имущество, в том числе предприятие как имущественный комплекс;
ценные бумаги;
интеллектуальная собственность.
Основными субъектами инвестиционной деятельности являются инвесторы, под
которыми понимаются юридические и физические лица, государство в лице
уполномоченных органов и его административно-территориальные единицы в лице
уполномоченных органов, осуществляющие инвестиционную деятельность в формах,
определенных ст.5 Инвестиционного кодекса Республики Беларусь [28, с.10].
Региональные экономические системы функционируют в жестких условиях
конкуренции за размещением инвестиций, финансовых вливаний, как со стороны
внутренних так и внешних инвесторов. Территория региона становится
специфическим товаром, а ее экономический потенциал - объектом инвестирования.
Объективная оценка инвестиционной привлекательности региона представляет значительный
интерес для инвесторов и является довольно сложной задачей оптимизации
экономического развития ввиду многообразия внешних и внутренних факторов,
оказывающих на его влияние. Все это предполагает соизмерение затрат и
результатов хозяйствования[1, с.12].
Региональные инвестиции - это часть ресурсов региона, которые сознательно
изымаются из потребления и вкладываются в расширение или модернизацию
производства (новые технологии, оборудование, методы организации хозяйственной
деятельности и т.п.) в расчете на получение прибыли в будущем.
Региональная инвестиционная политика - это совокупность действий
экономических агентов по обеспечению условий простого и расширенного
воспроизводства капитальных ресурсов в регионе.
Принципами формирования обоснованной региональной инвестиционной политики
являются:
эффективность, поскольку направляемые в экономику региона инвестиции
должны приносить достаточную прибыль в условиях, ограничиваемых целями каждого
конкретного проекта и периодом его реализации, а также привлекаемыми под него
ресурсами;
достижение структурного равновесия, что обеспечивает сбалансированное
развитие регионов и отраслей в них;
целенаправленность, обусловленная ограниченностью инвестиционных ресурсов
и возможностью реализации конечного числа проектов;
общенациональная значимость, предполагающая реализацию в процессе
инвестирования той или иной национальной идеологии и общегосударственных
интересов, что возможно лишь в условиях формирования такого подхода со стороны
государственных органов власти страны и региона.
Создание максимально благоприятных условий для начала и развития бизнеса
и инвестирования, повышения конкурентоспособности региона является одной из
главных задач региональной экономической политики[2, с.139].
Инвестиционная привлекательность является характеристикой, которая может
применяться и к региону (отрасли), и к конкретному инвестиционному объекту
(предприятие, финансовый инструмент). Этот параметр отражает факт соответствия
данного инвестиционного объекта конкретным целям определенного инвестора.
В международной практике обычно под инвестиционной привлекательностью или
инвестиционным климатом объекта (территории, региона, организации) понимается
лишь совокупность некоммерческих рисков вхождения инвестора в данный регион
(некоммерческие риски непосредственно связаны с прямыми или косвенными
действиями принимающего государства, которые причиняют ущерб иностранным
инвесторам, осуществившим капиталовложения в экономику страны-реципиента. Такие
действия принимающего государства могут заключаться в принятии нормативных
правовых актов, ущемляющих имущественные интересы иностранных инвесторов, в
осуществлении экономической политики или в проведении в жизнь определенных
политических решений, таких как начало боевых действий или провоцирование гражданских
беспорядков), или предприятие и осуществления им инвестиционного проекта[4, с.
267].
Рассматривая понятие шире, так как одних некоммерческих рисков
недостаточно для объективной оценки, можно использовать следующее определение,
инвестиционная привлекательность региона - это совокупность объективных
экономических, социальных и природных признаков, средств, возможностей и
ограничений, определяющих приток капитала в регион и оцениваемых инвестиционной
активностью[5, с.125].
В свою очередь инвестиционная активность региона может рассматриваться
как интенсивность притока капитала.
Интегральная инвестиционная привлекательность региона - это сводный
уровень объективных социально-экономических, природно-географических и
экологических показателей, характеризующих условия хозяйственного развития
региона и оказывающие позитивное либо негативное влияние на формирование
инвестиционной активности в нем.
Задачами оценки инвестиционной привлекательности региона является:
определение социально-экономического развития,
установление влияния инвестиционной привлекательности на приток
инвестиций,
разработка мер, направленных на урегулирование инвестиционной
привлекательности.
Оценка инвестиционной привлекательности региона включает в себя два
основных момента:
. инвестиционная привлекательность самого региона. На данном этапе
анализируется существующая нормативно-законодательная база, правовые аспекты,
политическая ситуация, степень защиты прав инвесторов, уровень налогообложения
и т.д.
. инвестиционная привлекательность конкретных объектов инвестирования. На
этом этапе анализируется экономическое состояние отраслей, предприятий и других
субъектов хозяйственной деятельности.
При исследовании сравнительной инвестиционной привлекательности регионов
применяется широкий набор показателей, таких, как тип экономической системы,
объем ВВП, структура экономики, обеспеченность природными ресурсами, состояние
инфраструктуры, участие государства в экономике и т.п. В связи с тем, что на
инвестиционный климат регионов оказывают влияние различные факторы и условия,
многие из которых подвержены быстрым изменениям, разовое, однократное
определение инвестиционного климата не может служить ориентиром для принятия
каких-либо решений по инвестициям.
При изучении инвестиционной привлекательности объекта инвестирования
анализ сводится к базовым показателям эффективности инвестиционных проектов и
программ (срок окупаемости, чистый дисконтированный доход, внутренняя норма
рентабельности, индекс прибыльности).
Оценивая уровень инвестиционной привлекательности в целом, определяются
главные ее составляющие: инвестиционный потенциал и инвестиционный риск. Есть
еще третья составляющая - это законодательные условия в регионе, но можно
рассматривать ее в составе инвестиционного риска.
Инвестиционный потенциал - совокупность имеющихся в регионе факторов
производства и сфер приложения капитала. Эта характеристика количественная,
учитывающая основные макроэкономические показатели, насыщенность территории
факторами производства (природными ресурсами, рабочей силой, основными фондами,
инфраструктурой и т.п.), потребительский спрос населения. Его расчет основан на
абсолютных статистических показателях [21, с. 189].
Категория «инвестиционный потенциал» отражает степень возможности
вложения средств в активы длительного пользования, включая вложения в ценные
бумаги с целью получения прибыли или иных народнохозяйственных результатов[6,
с. 260].
В целом, инвестиционный потенциал региона можно определить как совокупную
возможность собственных и привлеченных в регион экономических ресурсов
обеспечивать при наличии благоприятного инвестиционного климата инвестиционную
деятельность в целях и масштабах, определенных экономической политикой региона
[23, с.213].
Инвестиционный потенциал региона оценивается на основе таких показателей,
как:
наличие факторов производства, в том числе трудовых;
уровень потребительского спроса;
результаты хозяйственной деятельности населения в регионе;
уровень развития науки и внедрения ее достижений в производство;
развитость ведущих институтов рыночной экономики;
обеспеченность региона технической и социальной инфраструктурой[21, с.
189].
Вторая составляющая инвестиционной привлекательности региона -
инвестиционный риск. Его уровень отражает вероятность потери инвестиций и
дохода от них. В том или ином регионе этот риск определяется общеэкономическими
(тенденции в экономическом развитии региона), финансово-валютными (степень
сбалансированности регионального бюджета и финансов предприятий), политическими
(распределение политических симпатий населения по результатам последних
парламентских выборов, легитимность местной власти), законодательными,
социальными (уровень социальной напряженности), экологическими, криминальными и
другими факторами[5, с. 131].
Финансовые риски в регионе принято характеризовать как общим балансом
задолженностей между регионом и центром, так и внутренней взаимной
задолженностью предприятий региона. Основное внимание при анализе финансовых
рисков в регионе должно уделяться таким факторам как:
финансовый статус региона в республиканском бюджете (донор, реципиент);
валовой региональный продукт;
наличие финансовых гарантий инвесторам и прочие факторы.
Экономический риск региона определяется, прежде всего, структурой
экономики региона. При анализе экономического риска региона можно использовать
такие факторы как:
удельный вес убыточных предприятий;
индекс роста стоимости потребительской корзины;
доля региона в валовом национальном продукте и другие.
Социальный риск региона определяет возможность создания и развития
производств с привлечением новой рабочей силы. В этой связи для оценки
социального риска принято использовать следующие факторы:
наличие жилья и социальной инфраструктуры;
уровень доходов населения;
состояние рынка труда в регионе;
состояние здоровья и уровень медицинского обслуживания в регионе;
демографическая и экологическая ситуация и другие.
Криминогенный риск предназначен для оценки степени зависимости успешности
инвестиционной деятельности от уровня преступности, коррупции. При оценке
криминогенного риска появляется возможность оценить безопасность инвестиций. В
этой связи, возникает необходимость оценки такого обобщающего показателя как
экономическая безопасность региона.
Также для инвесторов большое значение имеет политический риск, поскольку
от таких факторов как уровень сепаратизма, соотношение и поведение основных
правящих группировок во многом зависит успешность и прибыльность инвестиционной
деятельности. Политический риск неразрывно связан с правовым риском, ведь от
того насколько полна законодательная база в регионе, а также формы
государственной защиты инвестиций зависит привлекательность региона как объекта
инвестиций[24, с.302].
Таким образом, уровень инвестиционной привлекательности региона в целом
определяется соотношением инвестиционного риска и инвестиционного потенциала,
насколько, исходя из существующего положения и перспектив будущего развития
региона, риски, связанные с инвестированием в данный регион, компенсируются
доходами, которые на эти инвестиции можно получить[25, с.75].
Некоторые экономисты считают, что инвестиционная привлекательность
определяется через уровень прибыли от вложения капиталов. Использование такого
подхода отличается узкой сферой применения, так как для получения адекватных
результатов необходимо, чтобы инвестиции осуществлялись с одинаковой степенью
риска, что практически не возможно.
Существует подход для определения инвестиционной привлекательности,
основанный на описании объема инвестиций, анализе их структуры по горизонтали и
вертикали. В результате формируется вывод о благоприятной (неблагоприятной)
ситуации в регионе. Основной недостаток этого подхода - поверхностное
рассмотрение инвестиционного процесса. Отдельно взятые характеристики
инвестиций еще не свидетельствуют о реальном состоянии инвестиционной сферы, не
отражают внутренние возможности и перспективы региона.
Наибольшее распространение получил подход, определяющий инвестиционную
привлекательность как совокупность общественно-политических,
природно-хозяйственных и психологических характеристик. Сторонники этого
подхода проводят оценку определенного набора факторов. В данном направлении
методика оценки предполагает использование интегрального показателя надежности
инвестиционного климата, для оценки которого формируется определенная
совокупность частных показателей. Данной методикой, например, пользуется
лондонский финансовый журнал «Euromoney», который использует интегральный
показатель надежности, измеряемый по стобалльной шкале. Интегральный показатель
надежности, используемый «Euromoney», содержит девять различных показателей:
экономическая эффективность,
политический риск,
задолженность,
обслуживание долга, (невыполнение обязательств по выплате или отсрочка),
кредитоспособность,
доступность банковского кредита,
доступность краткосрочного финансирования,
доступность долгосрочного ссудного капитала,
вероятность возникновения форс-мажорных обстоятельств.
Значения этих показателей определяются экспертно-, либо
расчетно-аналитическим путем. Они измеряются в 10-балльной шкале и затем
взвешиваются в соответствии со значимостью того или иного показателя и его
вкладом в итоговую оценку.
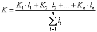
Интегральный показатель (К) оценки состояния инвестиционного климата
рассчитывается как средневзвешенная арифметическая величина значений частных
показателей:
, где
К1, К2, … Кn - частные показатели, а
именно: финансовые, экономические, политические;1, l2, …
ln - веса частных показателей.
Значение К находится в интервале от 0 до 10. Чем выше значение
интегрального показателя надежности инвестиционного климата, тем более
благоприятным климатом обладает регион[24, с.325].
Данный подход обладает рядом преимуществ. Он позволяет сделать выводы об
инвестиционных перспективах развития регионов; позволяет определить степень
реализации их инвестиционной привлекательности; позволяет оценить большинство
показателей статистическими методами; дает возможность обоснования
достоверности полученных результатов − применение критерия степени
тесноты корреляционной связи между рассматриваемыми категориями.
Однако существуют и определенные недостатки, основным из которых является
«непрозрачность» методики выделения факториальных признаков инвестиционной
привлекательности, размытость оценки составляющих показателей и неоднозначность
оцениваемых характеристик.
Сторонники следующего подхода также анализируют широкий набор факторов,
однако инвестиционная привлекательность региона в данном случае рассматривается
как агрегированный показатель, который определяется двумя характеристиками:
инвестиционным потенциалом и инвестиционным риском. Совокупный потенциал
региона, по их мнению, включает в себя: ресурсно-сырьевой, производственный,
потребительский, инфраструктурный, инновационный, трудовой, институциональный и
финансовый показатели. Совокупный риск региона рассчитывается с учётом:
политических, экономических, социальных, криминальных, экологических,
финансовых, законодательных рисков[26, с. 132].
Основными преимуществами рассматриваемого подхода являются его
непредвзятость; значимость факторов, определяющих инвестиционный потенциал и
инвестиционный риск; доступность, и узнаваемость конечных результатов для
иностранных инвесторов, в связи с тем, что методика принадлежит к основному
направлению общепринятой в мировой практике системы мониторинга и оценки.
Тем не менее, методика обладает рядом недостатков: отсутствие взаимосвязи
инвестиционной привлекательности и инвестиционной активности; субъективность
мнения экспертов и отсутствие ясности методики оценки инвестиционного
потенциала и рисков при сведении в интегральный показатель. Главным недостатком
данной методики для инвестора является отсутствие видимости, насколько один
регион привлекательнее другого, насколько один регион рискованнее другого, так
как различия между регионами, занимающими последовательные порядковые номера,
могут быть как незначительные, так и весьма ощутимые.
Широкое распространение так же получил подход, оценивающий инвестиционную
привлекательность региона на основе инвестиционного потенциала и определенных
типов риска: экономического, финансового, политического, социального, экологического,
законодательного. В данной методике интегральные показатели потенциала и риска
рассчитываются как средневзвешенная сумма показателей частных значений, то есть
каждому показателю присваивается свой коэффициент значимости. Первоначально при
расчете интегральной характеристики инвестиционного климата региона все
статистические показатели объединяются в группы на основе
корреляционно-регрессионного анализа.
В каждой из групп определяются наиболее главные показатели, например, для
одних основным фактором является «рыночная реакция регионов»; другие считают
решающим фактором «институты общества»; третьи указывают на необходимость
формирования положительного мнения об объектах инвестирования; четвертые
указывают на такой фактор как «имидж региона», рассчитывают средневзвешенные
агрегированные показатели. В данном подходе все показатели приводятся к единому
виду: доля в соответствующем виде общегосударственного потенциала и
относительное отклонение от среднегосударственного уровня риска.
Полученная в результате расчетов интегральная оценка инвестиционного
климата региона способствует определению интегрального рейтинга региона,
рассчитываемого как средневзвешенная по экспертным весам величина из значений
места региона по составляющим интегрального рейтинга.
Однако в данной методике тоже есть свои недостатки. Использование
экспертных оценок может вызвать высокую вероятность неточности оценки
инвестиционного климата. Преимуществом данного подхода является всестороннее
рассмотрение инвестиционного климата, минимально необходимый набор
статистических показателей[14, с.10].
Таким образом, комплексная оценка эффективности использования
привлекаемых инвестиций и благоприятности инвестиционного климата
осуществляется на основе:
. факторного подхода. К его преимуществам можно отнести: учет
взаимодействия многих факторов; использование статистических данных,
нивелирующих субъективизм экспертных оценок; дифференцированный подход к
различным уровням экономики при определении их инвестиционной
привлекательности.
. рискового метода анализа и оценки инвестиционного климата,
представляет интерес, прежде всего, для стратегического инвестора. Он позволяет
ему не только оценить привлекательность территории для инвестирования, но и
сопоставить уровень риска, присущий новому объекту вложения инвестиций, с
существующим в привычном для него регионе ведения бизнеса[21, с. 189].
В рамках существующих подходов к оценке инвестиционной привлекательности
регионов можно выделить ряд методов, используемых для диагностики условий и
факторов, оказывающих влияние на развитие субъектов. Их также можно
подразделить на три большие группы:
. Экономико-математические методы.
. Методы факторного анализа.
. Методы экспертных оценок.
В группу экономико-математических методов входят корреляционный и дисперсионный
анализы, методы оптимизации и математического моделирования, различные методы
межотраслевого баланса.
Факторный анализ необходим, когда исследователь имеет дело с огромным
числом различного рода показателей. Суть метода заключается в составлении укрупнённых
групп, состоящих из близких по смыслу показателей и называемых факторами.
Дальнейшая работа ведётся не с каждым показателем в отдельности, а с
укрупнённой группой - фактором.
На современном этапе одним из наиболее распространенных является метод
экспертных оценок. Главное его преимущество перед другими методами заключается
в том, что эксперт может пользоваться не только информацией, основанной на
статистических временных показателях, но и нерегулярной, разовой информацией
сугубо качественного характера. Оценка инвестиционной привлекательности региона
в данном случае предполагает разносторонний анализ, основанный как на
установлении количественных характеристик изучаемого субъекта, так и на
аргументированных суждениях руководителей и специалистов, знакомых с состоянием
дел и перспективами его развития.
Принцип метода заключается в следующем: отрасли сначала анализируются
пофакторно. Затем по каждому фактору даётся обоснование базы сравнения (выводят
среднюю величину, или наиболее часто встречающиеся в совокупности, или
срединное значение), её принимают за единицу. Остальные значения также
переводят в коэффициенты в зависимости от конкретного значения и нормативной
величины. Сложность данного метода анализа заключается в субъективизме
установления критериальных нормативных индикаторов и взвешенности весов по
факторам.
Методики факторного анализа и экспертных оценок позволяют ранжировать
регионы, т.е. объединять регионы в группы со сходными условиями инвестиционной
деятельности.
В результате этой процедуры составляется рейтинг, то есть линейных ряд
объектов, в котором по сочетанию выбранных признаков регионы располагаются на
равном расстоянии друг от друга. Каждому из них присваивается номер (ранг),
соответствующий его месту в общем ряду. Наиболее предпочтительному объекту
обычно присваивается первый ранг.
Следует отметить, что для некоторых признаков, не поддающихся
статистическому измерению (например, для оценки географического положения
региона по отношению к внешнеторговым выходам), применение экспертных балльных
оценок является вынужденной необходимостью. Несомненно, большую объективность
имеют фактические, в основном - по данным государственной статистики, и
количественные характеристики по инвестиционно значимым экономическим,
социальным и природно-географическим показателям регионов[22, с. 5].
Сегодня значительно возрастает роль регионов в решении проблем
социально-экономического развития. Отдельный регион должен занимать активную
инвестиционную позицию и совместно с бизнес-сообществом работать над повышением
инвестиционной привлекательности территориального образования.
В экономической литературе наблюдаются различные подходы к группировке
факторов, влияющих на инвестиционную привлекательность региона и его
инвестиционный климат.
Так, предлагается классифицировать факторы, влияющие на благоприятность
инвестиционного климата регионов, по длительности действия (неизменяемые
факторы, медленно изменяемые факторы, быстро изменяемые факторы) и по
направлению влияния (факторы инвестиционного потенциала, факторы
инвестиционного некоммерческого риска, факторы инвестиционной активности). При
этом особое внимание уделено факторам, влияющим на уровень инвестиционного
потенциала регионов, определяющим уровень некоммерческих инвестиционных рисков
и инвестиционной активности.
Другие авторы выделяют группу объективных и субъективных факторов;
благоприятных и неблагоприятных факторов, влияющих на состояние инвестиционного
климата.
Большинство авторов при определении инвестиционного климата на основе
факторного подхода опираются на взаимосвязанную характеристику широкого набора
факторов, влияющих на инвестиционный климат. Наиболее часто встречаются
следующие группировки:
1) факторы,
определяющие экономический потенциал региональной экономической системы
(обеспеченность региона ресурсами, биоклиматический потенциал, наличие
свободных земель для производственного инвестирования, уровень обеспеченности
энерго- и трудовыми ресурсами, развитость научно-технического потенциала и
инфраструктуры);
2) факторы, характеризующие общие условия хозяйствования (экологическая
безопасность, развитие отраслей материального производства, объем
незавершенного строительства, развитие строительной базы);
3) факторы,
свидетельствующие о зрелости рыночной среды в регионе (развитость рыночной инфраструктуры,
емкость местного рынка сбыта, экспортные возможности);
4) политические факторы (степень доверия населения к региональной власти,
взаимоотношения федерального власти, взаимоотношения федерального центра и
властей региона, состояние национально-религиозных отношений);
5) социальные и социокультурные факторы (уровень жизни населения,
распространенность алкоголизма и наркомании, уровень преступности, величина
реальной заработной платы, условия работы для иностранных специалистов);
6) организационно-правовые факторы;
7) финансовые факторы (доходы бюджета, обеспеченность средствами
внебюджетных фондов на душу населения, уровень банковского процента, развитость
межбанковского сотрудничества).
Каждый из названных подходов к группировке факторов инвестиционной
привлекательности региона заслуживает внимания. Дадим обобщенную
классификационную характеристику их видам (таблица 1).
Таблица 1 - Классификация факторов, влияющих на инвестиционную
привлекательность региона
|
Классификационный признак
|
Факторы инвестиционной
привлекательности
|
|
Источник возникновения
|
Внешние (глобальные,
национальные), внутренние (региональные)
|
|
Зависимость от деятельности
людей
|
Объективные, субъективные
|
|
Составляющие инвестиционной
привлекательности
|
Инвестиционного потенциала,
инвестиционного риска
|
|
Направленность воздействия
|
Благоприятные,
неблагоприятные
|
|
Длительность воздействия
|
Долговременные,
среднесрочные, краткосрочные
|
|
Сфера формирования
|
Институциональные,
экономические, политические, финансовые, социальные и социокультурные, организационно-правовые,
инновационные, экологические и др.
|
|
Предсказуемость
|
Предсказуемые
(прогнозируемые), непредсказуемые (непрогнозируемые)
|
|
Управляемость
|
Управляемые (регулируемые),
неуправляемые (нерегулируемые)
|
|
Способ выражения
|
Количественные, качественные
|
|
Степень детализации
|
Первого порядка, второго
порядка, n-го порядка
|
|
Значимость
|
Существенные,
несущественные
|
|
Степень интенсивности
изменений
|
Быстро меняющиеся, умеренно
меняющиеся, медленно меняющиеся, практически неизменные
|
В соответствии с первым классификационным признаком (по источнику
возникновения) все многообразные факторы можно сгруппировать по отношению к
исследуемому региону на внешние и внутренние. Такая дифференциация проведена с
целью чистоты исследования в изучении собственных инвестиционных потенциалов и
рисков региона.
Выделение глобальных факторов обусловлено прогрессирующей глобализацией,
которая стала одним из ключевых процессов развития мировой экономики в ХХI в.,
определяя новый этап в развитии интернационализации хозяйственной жизни.
Последствия этого процесса на региональный инвестиционный климат могут носить
как позитивный, так и негативный характер.
К внешним глобальным неблагоприятным факторам отнесем ужесточение квот,
пошлин, изменение условий торговли, изменение мировых цен на продукцию
предприятий региона, выход на целевые рынки региональных предприятий новых
поставщиков.
Обобщение изысканий ученых позволили выявить следующие основные
национальные факторы: уровень инфляции, государственная инвестиционная политика
(функционирование специальных режимов экономического благоприятствования,
законодательная база); кредитно-денежная политика, таможенная политика,
стоимость финансовых ресурсов, необходимых для инвестиций.
К основным внутрирегиональным факторам отнесем экономико-географическое
положение региона, уровень развития инфраструктуры (транспортной,
телекоммуникационной), региональную политику в области привлечения инвестиций,
потенциальные рынки сбыта продукции, уровень криминогенной обстановки. Многие
внешние и внутренние факторы инвестиционной привлекательности региона тесно
связаны между собой и порождают взаимопроникающие движущие силы.
Поскольку основными характеристиками инвестиций являются их потенциальная
выгода и риск, инвестиционную привлекательность региона рассматривают в научной
среде и практической инвестиционной деятельность в плоскости «потенциал-риск».
Инвестиционный потенциал складывается из частных потенциалов:
ресурсно-сырьевого, трудового, производственного, инновационного,
инфраструктурного, финансового.
Инвестиционный риск характеризует уровень непредвиденных потерь ожидаемой
прибыли или имущества в связи с неблагоприятными обстоятельствами и
складывается из таких частных рисков, как экономический, финансовый,
политический, социальный, криминальный, законодательный. Такая группировка
факторов приводит к выводу, что инвестиционная привлекательность региона
определяется уровнем инвестиционного потенциала и инвестиционных рисков, а
реализуется в виде инвестиционной активности.
По признаку направленности воздействия факторы инвестиционной
привлекательности региона разделим на благоприятные, способствующие улучшению
инвестиционного климата, и неблагоприятные, ухудшающие положение региона.
Подобное разделение важно при анализе и прогнозе, так как позволяет ориентироваться
в региональной обстановке при принятии инвестиционных решений.
Группировка факторов по длительности воздействия является важной
характеристикой для прогнозирования инвестиционного климата в регионе с учетом
временных горизонтов управления. По этому признаку факторы инвестиционной
привлекательности региона разделим на три группы: долговременные, определяющие
длительные тенденции (более 2 лет); среднесрочные (1-2 года), кратковременного
действия (до года).
Среди экономических факторов на инвестиционный климат региона прежде
всего влияют общее состояние экономики (подъем, спад, стагнация),
позиционирование экономического положения региона в составе республики,
таможенный режим и режим использования рабочей силы, ресурсное обеспечение
региона, которое выступает важнейшим лимитирующим фактором, развитость
инфраструктуры, научно-техническое развитие.
Финансовые факторы отражают положение в валютной, финансовой и кредитной
системе страны и региона, доступность финансовых средств из республиканского и
регионального бюджетов, доступность кредита, доля убыточных хозяйствующих
субъектов на территории региона, состояние регионального бюджета.
Социальные и социокультурные факторы характеризуют уровень жизни
населения, включая денежные доходы; потребление продуктов питания, жилищные
условия; систему обязательного социального страхования; здравоохранение;
правонарушения; преобладающее в общественном сознании отношение к частной
собственности, степень идеологической сплоченности общества и наличие
консенсуса по основным вопросам экономического и социального развития страны и
региона, организованность рабочего класса, сила профсоюзного движения.
Политические факторы предполагают характеристику взаимоотношений центра и
региональных властей; степень доверия населения к региональной власти; уровень
социальной стабильности, межнациональные и межконфессиональные отношения.
Для поддержания благоприятного инвестиционного климата большое значение
имеют организационно-правовые факторы, поскольку принципиально важным становится
соблюдение законодательства, снижение бюрократизма, доступность информации,
улучшение условий перемещения капитала, рабочей силы, формирование деловой
этики местных предпринимателей.
Экологические факторы определяют экологическую безопасность жизнедеятельности
и жесткость экологического законодательства региона, уровень санкций за
загрязнение окружающей среды при ведении бизнеса. Наличие экологических
ограничений хозяйственной деятельности не могут быть фактором, уменьшающим
инвестиционную привлекательность региона. Тем не менее учет экологических
факторов позволит снизить инвестиционные риски, в том числе связанные с
увеличением затрат из-за накопленного загрязнения окружающей среды, с
потенциальной экологической опасностью влияния других хозяйствующих субъектов
(аварийное загрязнение), с риском штрафных санкций в условиях ужесточения
природоохранного законодательства.
Инвестиционная привлекательность региона во многом определяется
инновационной составляющей, которая предполагает активное использование нововведений,
поскольку привлечение инновационных технологий в регион создает долгосрочные
факторы экономического регионального развития.
Немаловажное значение в теории и практике управления инвестиционной
привлекательностью региона имеет деление факторов на прогнозируемые и
непрогнозируемые. Если предсказуемые факторы можно учесть с помощью методов
инвестиционного регулирования, то непрогнозируемые факторы не могут быть
уточнены заранее (стихийные бедствия, политические конфликты, решения
республиканских и региональных властей).
В процессе управления инвестиционной привлекательностью региона большое
значение имеет возможность воздействовать на факторы, управлять ими. К
управляемым факторам инвестиционной привлекательности региона отнесем правовое
обеспечение инвестиционной деятельности, развитость рыночной, доступность
недвижимости, обеспеченность квалифицированными кадрами, административные
факторы.
По способу выражения факторы, по которым оценивается инвестиционная
привлекательность региона, могут быть разделены на количественные и
качественные.
Инвесторы даже при высокой ожидаемой доходности инвестиционного проекта
заинтересуются им лишь в случае наличия в регионе благоприятного
инвестиционного климата, который принято оценивать на основе следующей системы
количественных показателей: объем валового регионального продукта, динамика
годовых финансово-экономических показателей, объем потребления, объем
капиталовложений, объем экспорта товаров и услуг, объем импорта товаров и
услуг, общий внешний долг, резервы, финансовый дефицит, основные торговые
партнеры.
Группировка факторов по признаку значимости выделена в отдельный
классификационный признак, поскольку инвестиционная значимость факторов
является субъективной оценкой отдельных инвесторов. Так, наиболее значимыми
факторами инвестиционной привлекательности регионов для иностранных инвесторов
остается транспортно-географическое положение региона и позиция региональных
властей, в то время как белорусские инвесторы делают ставку на ресурсный и
экономический потенциал.
Выделяют следующие инвестиционно значимые факторы региона: темпы
промышленного производства, обеспеченность автодорогами с твердым покрытием,
уровень жизни населения, уровень преступности, уровень конфликтности трудовых
отношений, отношение населения к процессам формирования рыночной экономики
(оценивается на основе результатов парламентских и президентских выборов),
уровень экологической загрязненности и климатической дискомфортности, наличие
природных запасов минерально-сырьевых ресурсов.
В этой связи представляет интерес группировка факторов по степени
интенсивности изменений на быстро меняющиеся, умеренно меняющиеся, медленно
меняющиеся, практически неизменные.
К быстро изменяемым факторам можно отнести местная политика региональных
и республиканских органов власти в отношении инвесторов (например, программу
содействия развитию предпринимательства в регионе), конкурентную среду.
Умеренно меняющиеся факторы - это правовое обеспечение инвестиционной
деятельности. Медленно изменяемые факторы включают транспортную и техническую
инфраструктуру региона (наличие дорог, газо- и нефтепроводов, линий
электропередач, очистных сооружений); социальную (структура населения, уровень
благосостояния и качество жизни), политическую, экологическую ситуацию;
интеллектуальный потенциал (наличие инновационных центров). Практически не
изменяемые факторы могут быть благоприятными и неблагоприятными, с чем
инвестору придется мириться, - географическое положение региона, наличие
природных ресурсов.
Таким образом, уточнение классификации факторов инвестиционной
привлекательности региона:
- дает комплексное представление о влиянии разнообразных факторов на
повышение (снижение) инвестиционной привлекательности региона;
служит основой для факторного моделирования уровня инвестиционной
привлекательности региона;
является базой для активного подхода к выявлению слагаемых инвестиционной
привлекательности конкретного региона и приоритетных направлений ее
повышения[11, с.63].
1.2 Показатели, используемые для оценки инвестиционной привлекательности
региона
Для оценки инвестиционного потенциала региона предлагается проводить
анализ факторов, составляющих инвестиционный потенциал региона, и показателей,
характеризующих их воздействие (таблица 2).
Таблица 2 - Факторы и показатели, определяющие инвестиционный потенциал
региона
|
Показатели, характеризующие
воздействие фактора
|
Способ оценки показателя
|
|
Производственный фактор
|
|
1.Рост производства
промышленной продукции
|
Отношение объема
производства в текущем периоде к объему производства в предыдущем периоде
|
|
2.Объем производства на
душу населения
|
Отношение объема
производства к численности населения в регионе
|
|
3.Доля объема производства
региона в объеме производства в целом по стране
|
Отношение объема
производства в регионе к общему объему производства в стране
|
|
4.Степень монополизма в
регионе
|
Отношение числа предприятий
монополистов к общему числу предприятий
|
|
Финансовый фактор
|
|
5.Уровень налогообложения
|
Отношение числа налогов к
объему ВРП
|
|
6.Динамика уровня налогов
|
Отношение уровня
налогообложения в текущем году к уровню налогообложения в предыдущем периоде
|
|
7.Доля финансирования
региона в бюджете региона
|
Отношение затрат региона на
финансирование экономики к бюджету региона
|
|
Макроэкономический фактор
|
|
8.Рост объема ВРП
|
Отношение объема ВРП в текущем
году к объему ВРП в предыдущем году
|
|
9.Ожидаемый рост ВРП
|
Определяется как
математическое ожидание роста ВРП
|
|
Экспортный фактор
|
|
10.Динамика инфляции
|
Отношение инфляции в
текущем году к инфляции в предыдущем году
|
|
11.Текущая инфляция
|
По статистическим данным
|
|
12.Рост экспорта
|
Отношение объема экспорта в
текущем году к объему экспорта в предыдущем году
|
|
13.Доля экспорта в общем
объеме экспорта страны
|
Отношение объема экспорта в
регионе к общему объему экспорта в стране
|
|
14.Объем экспорта на душу
населения
|
Отношение объема экспорта к
численности населения в регионе
|
|
Ресурсно-сырьевой фактор
|
|
15.Объем природных ресурсов
на единицу площади
|
Отношение объема природных
ресурсов к площади региона
|
|
16.Объем природных ресурсов
на душу населения
|
Отношение объема природных
ресурсов к численности населения в регионе
|
|
Инвестиционный фактор
|
|
17.Рост инвестиций
|
Отношение объема инвестиций
в текущем году к объему инвестиций в предыдущем году
|
|
18.Доля инвестиций в
основной капитал
|
Отношение объема инвестиций
в основной капитал к общему объему инвестиций в регионе
|
|
19.Льготы, предоставляемые
инвесторам
|
Качественная оценка
|
|
Инновационный фактор
|
|
20.Скорость внедрения
достижений научно-технического прогресса
|
Количество лет, необходимых
для внедрения в производство достижений научно-технического прогресса с
момента их регистрации (по данным статистики)
|
|
Политический фактор
|
|
21.Государственная
собственность в регионе
|
Доля государственной
собственности в регионе
|
|
Потребительский фактор
|
|
22.Рост потребительского
спроса
|
Отношение объема
потребления в текущем году к объему потребления в предыдущем году
|
|
Экологический фактор
|
|
23.Состояние окружающей
среды
|
Качественная оценка
|
|
Трудовой фактор
|
|
24.Наличие и стоимость
рабочей силы
|
Средняя стоимость одного
часа рабочего времени в регионе (по данным статистики)
|
|
25.Средняя заработная плата
в регионе
|
По данным статистики
|
|
26.Уровень безработицы
|
По данным статистики
|
|
Интеллектуальный фактор
|
|
27.Квалификация и качество
рабочей силы
|
Доля населения с высшим и
средним специальным образованием (по данным статистики)
|
|
Социальный фактор
|
|
28.Уровень жизни населения
|
Доля населения, живущего за
чертой бедности (по данным статистики)
|
|
29.Оценка социальной
стабильности
|
Качественная оценка
|
|
30.Значимость региона
|
Доля численности
работников, занятых в регионе, в общей численности работников, занятых в
стране
|
|
Инфраструктурный фактор
|
|
31.Уровень развития
объектов инфраструктуры
|
Отношение числа объектов
инфраструктуры к площади региона
|
|
32.Доступность объектов
инфраструктуры
|
Отношение стоимости
разового использования объектов инфраструктуры к среднему уровню заработной
платы в регионе
|
Состав показателей может быть изменен с учетом специфики условий и
направлений инвестирования, приоритетов, расставленных инвесторами,
особенностей каждого этапа развития экономики и особенностей конкретного
региона.
Чтобы сравнить показатели, характеризующие инвестиционный потенциал,
между собой, была предложена десятибалльная шкала оценки каждого из них
(таблица 3) [11, с.67].
Таблица 3 - Предлагаемая шкала оценки показателей инвестиционного
потенциала региона
|
Показатели
|
Оценка показателя
|
|
1.Рост производства
промышленной продукции
|
1 - рост более чем на 10%
10 - падение более чем на 10%
|
|
2.Объем производства на
душу населения
|
1 - 10 000 $ 10 - 100$
|
|
3.Доля объема производства
региона в объеме производства в целом по стране
|
1 - от 10% 10 - менее 1%
|
|
4.Степень монополизма в
регионе
|
1 - менее 5% 10 -более 30%
|
|
5.Уровень налогообложения
|
1 - низкий 10 -высокий
|
|
6.Динамика уровня налогов
|
1 - будут снижаться 10 -
будут повышаться
|
|
7.Доля финансирования
региона в бюджете региона
|
1 - от 90% до 100% 10
-менее 10%
|
|
8.Рост объема ВРП
|
1 - рост более чем на 10%
10 - падение более чем на 10%
|
|
9.Ожидаемый рост ВРП
|
1 - рост более чем на 10%
10 - падение более чем на 10%
|
|
10.Динамика инфляции
|
1 - существенное замедление
10 -резкое ускорение
|
|
11.Текущая инфляция
|
1 - не более 3% 10 -100% и
более
|
|
12.Рост экспорта
|
1 - рост более чем на 10%
10 - падение более чем на 10%
|
|
13.Доля экспорта в общем
объеме экспорта страны
|
1 - от 10% 10 - менее 1%
|
|
14.Объем экспорта на душу
населения
|
1 - 10 000$ 10 -100$
|
|
15.Объем природных ресурсов
на единицу площади
|
1 - 10 000$ 10 -100$
|
|
16.Объем природных ресурсов
на душу населения
|
1 - 10 000$ 10 -100$
|
|
17.Рост инвестиций
|
1 - рост более чем на 10%
10 -падение более чем на 10%
|
|
18.Доля инвестиций в
основной капитал
|
1 - от 90% до 100% 10
-менее 10%
|
|
19.Льготы, предоставляемые
инвесторам
|
1 - стимулирует инвестиции
10 -не предоставляет
|
|
20.Скорость внедрения
достижений научно-технического прогресса
|
1 - внедрение в течение года
10 - требуется более 7 лет
|
|
21.Государственная
собственность в регионе
|
1 - менее 10% 10 -от 90% до
100%
|
|
22.Рост потребительского
спроса
|
1 - рост более чем на 10%
10 - падение более чем на 10%
|
|
23.Состояние окружающей
среды
|
1 - благополучные 10 - серьезные
проблемы
|
1 - избыток дешевой рабочей
силы 10 - нехватка рабочей силы
|
|
25.Средняя заработная плата
в регионе
|
1 - выше, чем в среднем по
стране 10 - ниже, чем в среднем по стране
|
|
26.Уровень безработицы
|
1 - безработица отсутствует
10 - превышает 25% населения
|
|
27.Квалификация и качество
рабочей силы
|
1 - высокое 10
-квалифицированная рабочая сила почти отсутствует
|
|
28.Уровень жизни населения
|
1 - выше среднего живет
более 50% населения 10 - большая часть населения живет за чертой бедности
|
|
29.Оценка социальной
стабильности
|
1 - стабильность 10 -
социальная напряженность
|
|
30.Значимость региона
|
1 - от 10% 10 -менее 10%
|
|
31.Уровень развития
объектов инфраструктуры
|
1 - высокий 10 -низкий
|
|
32.Доступность объектов
инфраструктуры
|
1 - доступны всем 10
-предоставляются избирательно
|
После оценки перечисленных показателей определяется значение
инвестиционного потенциала региона по формуле:
ИП=
,
где ИП - инвестиционный потенциал региона;- число показателей;i
− характеристика показателя;i − вес показателя.
В зависимости от значения полученного показателя, может быть предложена
следующая классификация регионов (таблица 4)[11, с.68].
Таблица 4- Классификация регионов по показателю инвестиционного
потенциала
|
Значение показателя
инвестиционного потенциала
|
Характеристика потенциала
региона
|
|
1 - 2
|
Максимальный потенциал
|
|
2 - 4
|
Высокий потенциал
|
|
4 - 6
|
Средний потенциал
|
|
6 - 8
|
Пониженный потенциал
|
|
8 - 10
|
Незначительный потенциал
|
.3 Международный опыт
гомельский интегральный инвестиционный привлекательность
Рассмотрев факторы, влияющие на формирование благоприятного
инвестиционного климата региона, нельзя не отметить, что, прежде всего,
необходимо целостное представление государства с точки зрения инвестиционной
привлекательности на мировой арене.
В составе основных направлений государственной политики, ориентированной,
в том числе, на улучшение инвестиционного климата, заслуживают внимания
следующие:
поддержка инновационной и исследовательской активности, первоклассных
исследовательских центров в сфере информационных технологий;
создание технопарков и инновационных кластеров;
формирование инфраструктурных и финансовых условий, благоприятных для
иностранных инвесторов. В их числе: предоставление им земельных участков для
строительства промышленных помещений, грантов на реализацию проектов в области
финансирования научно-исследовательских и опытно-конструкторских разработок
(далее - НИОКР) и профессиональной подготовки, капитальных субсидий для
покрытия расходов на приобретение земельных участков, зданий и технологического
оборудования, предусмотрено предоставление капитальных субсидий, налоговых
льгот;
формирование института государственно-частного партнерства для развития
инфраструктуры инвестиционного процесса. Так, для удовлетворения запросов
ведущих компаний в сфере информационных технологий реализуются проекты по
расширению и модернизации сетей для передачи информации, которые предполагают:
модернизацию локальных внутренних сетей с переходом на усовершенствованные
телефонные линии и беспроводные методы соединения; модернизацию в более
отдаленной перспективе линий международной связи с использованием
оптоволоконных соединений.
Стратегия продвижения инвестиционного имиджа имеет большое значение для
привлечения прямых иностранных инвестиций. В этой связи особенно интересен опыт
Ирландии - страны, которая добилась успеха за счет четко сформулированной
активной политики, направленной на развитие конкретных отраслей промышленности.
В Ирландии в настоящее время более двух третей всей промышленной продукции
производится иностранными фирмами, а иностранные инвестиции позволили в
последние годы добиться высоких темпов экономического роста.
Ирландское агентство по развитию начало искать потенциальных инвесторов
еще в 60-х гг., когда требовалось заполнить пробелы в промышленной структуре
экономики.
Исследования, опирающиеся на опыт 50 промышленно развитых и развивающихся
стран, показали, что маркетинговые расходы на поощрение инвестиций способствуют
росту прямых иностранных инвестиций. Был сделан вывод, что каждый доллар,
потраченный на продвижение инвестиционного имиджа, мог принести прибыль, чистая
приведенная (дисконтированная) стоимость которой достигла 4 доллара.
Исследование работы отдельных инвестиционных агентств выявило, что
наиболее эффективным являются инвестиции, четко ориентированные на те или иные
сектора, в совокупности с активной маркетинговой стратегией, разработанной под
конкретных потенциальных клиентов данной страны.
Также в Ирландии есть государственное ведомство, которое занимается
привлечением инвестиций, которое называется Агентство по индустриальному
развитию Ирландии (Industrial Development Agency of Ireland). Агентство
одновременно лоббирует политику, которая помогает привлекать иностранные
инвестиции (к примеру, Ирландия имеет один из самых низких налогов на торговлю
в Европе - 12,5%) и информирует зарубежных инвесторов об экономической ситуации
в стране. Особые усилия прилагаются для привлечения инвестиций в
высокотехнологичные отрасли экономики, где инвесторам предлагаются выгодные
налоговые условия.
Агентство напрямую ведет переговоры с такими крупными корпоративными
гигантами как Microsoft, который на сегодняшний день имеет главное региональное
представительство именно в Ирландии. Агентство также оказывает помощь отсталым
в экономическом плане районам страны путем предоставления специальных льгот для
инвесторов, которые открывают в них филиалы своих компаний. В результате
успешной работы агентства, прямые иностранные инвестиции в Ирландию увеличились
от 1 миллиарда долларов США в 1994 году до 25 миллиардов в 2006 году.
В оценке опыта США следует обратить внимание на ряд важных положений:
) Создание благоприятного инвестиционного климата определяется как одно
из ключевых направлений деятельности территориальных органов власти. Особое
внимание уделяется экономико-организационному обеспечению притока иностранных
инвестиций. С этой целью, например, в конце 90-х годов ХХ века в 25 штатах США
организованы специальные международные торговые подразделения по стимулированию
экспорта и привлечению иностранного капитала в рамках агентств по
экономическому развитию.
В настоящее время на уровне местных органов власти действуют около 6 тыс.
программ стимулирования экономического развития, предусматривающих широкие
нефинансовые льготы для иностранных инвесторов. В рамках деятельности по
стимулированию экономического развития местные органы власти 25 штатов создали
около 1300 так называемых предпринимательских зон, в которых иностранные
инвесторы пользуются широкими льготами.
К числу важнейших рычагов воздействия на инвестиционную активность
предпринимательских структур относятся: развитие за счет средств органов власти
штатов производственной и социальной структуры, подготовка в инженерном
отношении мест для возможного промышленного строительства, создание специально
оборудованных для этого промышленных парков, технополисов,
научно-технологических парков и т.д.
Финансовое стимулирование инвестиционной деятельности осуществляется
посредством льготного налогообложения, предоставления дешевых кредитов,
субсидий, дотаций, финансирования НИОКР.
Властями штатов, муниципалитетов и других административно-территориальных
образований широко используется и информационно-рекламный метод привлечения
промышленных инвестиций через средства массовой информации, породивший явление,
именуемое «конкуренцией бургомистров». Они обеспечивают инвесторов подробной
информацией о местной инфраструктуре, рабочей силе, системе налогообложения,
энергетике, ценах на здания и сооружения и пр.
Правительства штатов осуществляют информирование инвесторов об издержках
приобретения земли и строительства, транспортных услугах, состоянии
коммуникаций, возможностях обучения, мерах по охране окружающей среды,
перспективах развития рынков сбыта.
В целом всё множество методов, используемых правительствами штатов с
целью создания благоприятного инвестиционного климата, можно условно разделить
на три группы:
прямые финансовые стимулы (предоставление ссуд, грантов, займов и
кредитов правительствами штата);
фискальные меры (введение различных налогов на предпринимательскую
деятельность);
льготы по налогообложению и специальные методы (налоговые изъятия,
скидки, а также налоговые кредиты).
Как правило, правительствами штатов применяется комбинация тех или иных
методов, характер и количество которых зависят от местной
социально-экономической и политической специфики. Местные администрации
формируют дифференцированные условия для инвестиций в зависимости от значения,
придаваемого предлагаемому инвестиционному проекту.
Обычно инвестиционные проекты, предусматривающие развитие приоритетных
для штата отраслей хозяйства, пользуются более льготным инвестиционным режимом,
чем остальные, осуществляемые в отраслях, не отнесенных к этой категории. В
число приоритетных отраслей входят наиболее конкурентоспособные, а также те,
развитие которых может принести наибольший эффект для хозяйства региона.
Особыми льготами обычно пользуются проекты, предусматривающие привлечение
инвестиций в создание и развитие предприятий, деятельность которых носит
экспортную или импортозамещающую направленность.
) Использование комплексного подхода, ориентированного на взаимосвязанные
изменения разных групп условий инвестиционной деятельности (институциональных,
финансовых, инфраструктурных и др.). Его реализация сопряжена в первую очередь
с апробацией механизма государственно-частного партнерства, позволяющего
улучшать инвестиционной климат посредством:
во-первых, создания структурных элементов новой экономики на основе
интеграции предпринимательских организаций реального и финансового секторов
экономики, с одной стороны, и исследовательских структур высшей школы, с
другой;
во-вторых, объединения финансовых ресурсов государства и частных
инвесторов и их направления, прежде всего на развитие инновационного компонента
территорий.
Так, широко применяется кооперация исследовательских структур
университетов, федеральных ведомств, федеральных лабораторий, властей штатов и
территорий, частного сектора промышленности, финансово-кредитных учреждений в
формах государственно-частные кооперационных соглашений в области исследований
и разработок (СКИР) и инновационно-технологических партнерств.
К продуктивным формам государственно-частного партнерства следует также
отнести кооперационные исследовательские центры промышленности и университетов
штатов. Целями их образования являются: активизация кооперационных исследований
промышленности и университетов; укрепление связей между исследованиями и
технологическим развитием; упрощение процедур передачи и коммерциализации
технологий путем объединения ресурсов промышленности, университетов и органов
власти штатов.
Значительный интерес представляет и опыт Канады, которая в конце ХХ века
по оценкам Мирового экономического форума вошла в пятерку лучших по
инвестиционному климату среди 59 индустриально развитых и развивающихся стран.
Важным направлением деятельности, обеспечивающей улучшение
инвестиционного климата территорий Канады, является содействие созданию новых
исследовательских центров при университетах. Специальный грант выделен
создаваемым в пяти регионах центрам генетических исследований и развития
биотехнологии.
В последние годы деятельность правительства сосредоточена на
предоставлении льгот компаниям, проводящим научные исследования и разработки.
Программа налоговых льгот для научных исследований и экспериментальных
разработок предоставляет компаниям прямое и полное списывание большинства
издержек, а также налоговые кредиты в размере 20 - 35%.
Финансовое стимулирование включает также гранты, ссуды, кредитные
поручительства, субсидии для выплаты заработной платы, субсидирование арендной
платы, вложения венчурного капитала.
Канадская система предоставляет местным корпорациям значительное стоимостное
преимущество в затратах перед аналогичными компаниями США, если
научно-исследовательские работы выполняются в Канаде. Канадским корпорациям
устанавливается более быстрая амортизация, упрощенная форма списания
научно-исследовательских расходов.
Власти Канады, как и США, рассматривают процессы активизации
инвестиционной деятельности и экологического регулирования в единстве.
В составе используемых инструментов регулирования можно выделить:
стандарты качества окружающей среды;
экологические лицензии (права) на строительство, введение в строй и
эксплуатацию тех или иных предприятий, загрязняющих окружающую среду,
выдаваемые природоохранными ведомствами;
инструкции (кодексы) практической деятельности, ее экологические критерии
и инструкции, разрабатываемые правительственными органами для деловых кругов.
В Шотландии улучшение инвестиционного климата связывается с развитием
процессов кластеризации экономического пространства. Создание интегрированных
предприятий и подготовка для них специалистов осуществляются через создание
сетей местных компаний (the Local Enterprise Companies LECs), которые
координируют формирование экономической инфраструктуры территории, включая
административную, бухгалтерскую помощь, услуги по предоставлению недвижимости,
маркетинг, разработке инвестиционных программ, защите земель и др.
Опыт проведения имиджевой политики в Индии. Государственные органы Индии,
прежде всего Министерство торговли и промышленности и Министерство иностранных
дел Индии, оказывают активную поддержку объединениям промышленников и
предпринимателей Индии в осуществлении деятельности по продвижению
национального и региональных брендов, а также формированию благоприятного
образа страны за рубежом.
Так, Конфедерация индийской промышленности (Confederation of Indian
Industry, CII) при поддержке Министерства торговли и промышленности Индии
учредила организацию India Brand Equity Foundation (IBEF), которая осуществляет
деятельность по сбору, анализу и распространению за рубежом текущей информации
об экономике Индии. IBEF осуществляет три главные функции:
работает со СМИ в целях продвижения национальных брендов;
координирует стратегические маркетинговые инициативы, в том числе
кампанию “Индия везде” (“India Every where”);
выступает в качестве информационного ресурса.
В Правление организации входят высокопоставленные чиновники Министерства
торговли и промышленности, Министерства иностранных дел и Министерства туризма,
а также руководители ведущих компаний страны.
В рамках кампании “Индия везде” IBEF проводит презентации и форумы в
различных странах мира.
Под эгидой IBEF создана сеть так называемых Послов Индии (Brand
Ambassadors), в число которых входят успешные и влиятельные люди индийского
происхождения, которые участвуют в различных рекламных акциях и выступают в
качестве представителей отдельных индийских компаний.
На фоне растущего интереса мирового экономического сообщества к
развивающейся экономике Индии кампания “Индия везде”, широко освещаемая в
национальных и зарубежных СМИ, стала естественным и необходимым инструментом
продвижения экономических и политических интересов Индии на международной
арене.
Успех Китая по завоеванию зарубежных рынков - это прямой результат
эффективной политики государства по привлечению иностранного капитала. После
решения китайского правительства в 1979 году сделать привлечение иностранных
инвестиций приоритетом в экономической политике, были созданы первые
«специальные экономические зоны» (в провинциях Гуандонг и Фуян). Эти зоны
выделялись не только либеральным налоговым режимом, но и существенным
облегчением административных барьеров для открытия нового бизнеса. Важную роль
в успехе экономических зон также сыграли Гонконгские и Тайваньские инвестиции в
китайскую экономику. К 1990 году, «специальные экономические зоны» привлекали
более 52% всех иностранных инвестиций в Китае и производили более половины
китайских экспортных товаров.
Правительство Китая также вложило средства в так называемые «сети для
экспорта». Это были приоритетные сектора экономики, в частности, легкая
промышленность и электроника, которым выделялись субсидии для модернизации
заводов и приобретения сырья. Цель программы - улучшение качества и количества
китайских экспортных товаров. В «сетях» компаниям, которые более чем на 25%
контролировались иностранцами, предоставлялись особые льготы и доступ к
кредитам Центрального банка Китая. Сегодня подобные компании производят более
80% китайских экспортных товаров.
Правительство также резко снизило пошлины на импорт товаров, которые
входили в производство экспортных товаров (к примеру, запчасти машины). Сегодня
более 2\3 китайских экспортных товаров составляют именно такие товары.
Центральный банк Китая выделяет кредиты для поддержки компаний-экспортеров.
Однако основным секретом успеха является четкая система информирования
иностранных инвесторов. В частности подобная «рекламная кампания»
осуществляется интернет-порталами (как и государственными, так и частными),
содержащими материалы об инвестиционных возможностях в Китае и контактах с
возможными партнерами.
В результате успеха подобных проектов сегодня появились сайты, подобные
made-in-china.com («сделано-в-Китае»), которые рекламируют исключительно
китайские товары для западных покупателей (в том числе, для менеджеров
магазинов).
Все рассмотренные меры не являются чем-то сверхъестественным и при
правильной организации способны внести свой вклад в инвестиционную
привлекательность Республики Беларусь.
Проведенный анализ современного зарубежного опыта государственного
содействия процессам улучшения инвестиционного климата территорий позволяет
предложить для внедрения в белорусскую практику следующие его продуктивные
компоненты:
. Использование механизма государственно-частного партнерства,
позволяющего улучшать инвестиционной климат посредством создания структурных
элементов новой экономики, концентрации финансовых ресурсов государства и
частных инвесторов и их направления на развитие инновационного компонента
территорий.
. Определение в числе приоритетных направлений улучшения инвестиционного
климата процессов развития кадрового, инфраструктурного и инновационного
обеспечения инвестиционной деятельности, кластеризации социально-экономического
пространства регионов
. Комплексное стимулирование инвестиций, включающее финансовую поддержку
(гранты, субсидии, налоговые льготы и др.), инфраструктурное, информационное
обеспечение.
. Высокий уровень разнообразия форм взаимодействия субъектов
инвестиционной деятельности: государства, бизнеса, науки и высшего образования
(научные парки, кооперационные соглашения, инновационно-технологические партнерства
и др.).
. Создание в регионах специализированных государственных организаций
непосредственно участвующих в обосновании механизмов развития территорий, в том
числе связанных с улучшением их инвестиционного климата.
Таким образом, инвестиционная привлекательность региона играет огромную
роль в системе комплексного подхода к оценке эффективности функционирования
региональной экономики. Конечным результатом эффективного функционирования
региональной экономики непременно должно быть повышение качества и рост уровня
жизни населения[26, с. 96].
2. КОМПЛЕКСНАЯ ОЦЕНКА ИНВЕСТИЦИОННОЙ ПРИВЛЕКАТЕЛЬНОСТИ АДМИНИСТРАЦИИ
СОВЕТСКОГО РАЙОНА г. ГОМЕЛЯ
.1 Социально-экономическая характеристика администрации Советского района
г. Гомеля
Система потенциалов экономики региона представляет собой взаимосвязанную
совокупность ее отдельных потенциалов: природно-ресурсного, экологического,
демографического, трудового, научного, производственного, инвестиционного,
внешнеэкономического.
Природные условия и ресурсы служат естественной базой развития экономики
региона, в связи с чем важно раскрытие сущности и экономической оценки
природно-ресурсного потенциала.
Под природно-ресурсным потенциалом понимается совокупность природных
ресурсов данной территории, природных условий, явлений и процессов, которые
используются или могут быть реально вовлечены в хозяйственную деятельность при
данных технических и социально-экономических возможностях общества с условием
сохранения среды обитания человека.
Размер природно-ресурсного потенциала - это сумма потенциалов отдельных
видов природных ресурсов - земельных, водных, лесных, минерально-сырьевых и др.
Он зависит от ряда факторов, в числе которых количество имеющихся в стране
природных ресурсов, их количественные и качественные характеристики (размер
запасов, содержание полезного вещества и др.), возможность комплексного
использования[3, с. 105].
Важной составной частью совокупного экономического потенциала региона
являются демографический и трудовой потенциалы.
Демографический потенциал - это, прежде всего, численность и
продолжительность жизни населения. Ее важнейшие показатели - рождаемость и
смертность, половозрастная структура, распределение населения на городское и
сельское[3, с. 123].
Трудовой потенциал - это возможности, навыки, знания, способности,
которыми обладает трудоспособное население.
Трудовые ресурсы - часть населения, которая благодаря совокупности
физических способностей, специальных знаний и опыта может участвовать в
процессе воспроизводства, создании материальных и нематериальных благ и
услуг[3, с. 130].
В решении задач социально-экономического развития все более важную роль
призвана играть научная и инновационная политика государства.
Сегодня научный потенциал определяется как совокупность ресурсов и
условий осуществления научных исследований.
Значение, качество и продуктивность потенциалов научной и
научно-технической деятельности характеризуют следующие количественные и
качественные параметры и показатели: количество научных организаций, их
функциональная структура, объемы и структура исследований и разработок, научные
кадры, финансовое обеспечение, материально-техническая база,
научно-информационные ресурсы, система управления научной сферой[3, с. 139].
Производственный потенциал представляет собой совокупность всех видов
ресурсов и условий осуществления общественного воспроизводства товаров и услуг.
Он является важнейшим компонентом совокупного экономического потенциала,
характеризующим производительные силы и производственные отношения реального
сектора экономики[3, с. 162].
Инвестиционный потенциал - это совокупность всех видов ресурсов и условий
осуществления инвестиционной деятельности или создания и освоения инвестиций в
экономике в целях наращивания производственного потенциала, обновления и роста
основного капитала как главного фактора увеличения национального богатства.
Инвестиционный потенциал региона - это его способность создать, привлечь
и освоить необходимые объемы инвестиций в строительство новых предприятий и их
комплексов, расширение и реконструкцию действующих производств, в развитие
человеческого потенциала, создание объектов и учреждений производственной и
социальной инфраструктуры[3, с. 176].
Внешнеэкономический потенциал - совокупность всех ресурсов и условий
осуществления внешнеэкономической деятельности региона. Он определяется
наличием природных ресурсов, созданными производственным и научно-техническими
потенциалами, инфраструктурой, социальной сферой, продукция и услуги которых
экспортируются за пределы страны или продаются иностранным гражданам, фирмам и
организациям, включая совместные и иностранные предприятия, без вывоза за
границу[3, с. 182].
Гомельская область - одна из шести областей Беларуси, крупнейшая по
территории.
Расположена в юго-восточной части страны. Область граничит с Брянской
областью России, а также с Киевской, Черниговской, Житомирской и Ровненской
областями Украины.
Площадь территории - 40,4 тыс. кв. километров, что составляет пятую часть
территории республики(19,4% территории республики).
Гомель - областной административный центр. Численность населения Гомеля
составляет 501,2 тысячи жителей (с учетом р.п.Костюковка).Население Гомельской
области: 1 млн. 440 тыс. человек (15% населения республики). 72,9% населения
живут в городах и поселках.
В состав области входит 21 район и 4 района в г. Гомеле, 17 городов, 18
поселков городского типа, 2608 сельских населенных пунктов.
Сельскохозяйственные угодья занимают 34% территории региона.
Гомельская область занимает выгодное положение в транспортной структуре
республики и сопредельных государств. Гомельская область имеет развитую
дорожную инфраструктуру, обширную сеть железных дорог. 90% железнодорожных
грузов страны и около половины пассажирских поездов проходят через регион.
Эти коммуникации обеспечивают связь севера Российской Федерации и Прибалтики
с Украиной и портами Черного моря и входят в систему трансъевропейских
транспортных коридоров (№9 и №9Б). Все важнейшие транспортные направления
дублированы магистральными инженерными сетями - газопроводами, и
высоковольтными линиями электропередачи. Столь выгодное стратегическое
положение области является предпосылкой для создания здесь ряда логистических
центров, как на базе существующих складских помещений, так и строительства
новых современных комплексов.
Дальнейшее совершенствование системы республиканских автодорог
намечается, не столько за счет расширения сети, сколько за счет реконструкции и
улучшения качества. Проектом намечено резервирование территорий для
строительства автодорожных обходов городских населенных пунктов с целью
сокращения транзита через их территорию (Буда-Кошелево, Ельск, Житковичи,
Калинковичи, Речица, Рогачев, Чечерск, Туров, Корма, Лельчицы, Лоев,
Октябрьский, Озаричи, Уваровичи). На районном уровне планируется дальнейшее
совершенствование сети местных автодорог с усовершенствованным покрытием и
возможностью пропуска по ним автобусов для увеличения доступности населения к
линиям регионального общественного пассажирского транспорта.
С целью совершенствования железнодорожной сети планируется:
электрификация участка железнодорожной линии Гомель-Осиповичи;
строительство новых остановочных пунктов пригородных поездов на
территории города Гомеля и в его пригородной зоне;
увеличение количества пригородных поездов на участке Гомель-Добруш в
связи с размещением крупного жилого района для жителей города Гомеля в районе
населенного пункта Березки.
Главная река области - Днепр. Его протяженность - 420 км. Днепр
пересекает территорию региона с севера на юг. Притоки Днепра и реки Припяти
имеют судоходное и сплавное значение, а также служат водоприемниками для
мелиоративных каналов, осушающих заболоченные земли.
На территории Гомельской области обширная сеть каналов. Кроме того, здесь
много озер. Самое большое из них - Червоное (площадь 43,6 кв. км).
В Гомеле и Мозыре расположены аэропорты.
Гомельская область имеет достаточно благоприятные природные условия для
развития всех сфер жизнедеятельности человека. Равнинный характер рельефа
способствует развитию населенных пунктов, сельскохозяйственному освоению
земель, функционированию промышленных предприятий и транспортных магистралей.
Гомельская область характеризуется уникальным разнообразием
минерально-сырьевых ресурсов. Здесь имеются месторождения нефти, калийной и
каменной солей, бурого угля, горючих сланцев, торфа, строительного и облицовочного
камня, стекольных и формовочных песков, мела, гипса, кирпичных глин и
суглинков, каолина, минеральных вод и других полезных ископаемых.
Среди полезных ископаемых, которые представляют особую значимость для
народного хозяйства области, - топливно-энергетическое сырье: торф, нефть,
сопутствующий газ, каменный и бурый уголь, горючие сланцы.
Ежегодно добывается 1,8 млн. тонн промышленной нефти. Однако запасы
собственной нефти невелики и покрывают лишь до 4% потребностей республики в
горюче-смазочных материалах.
Годовая добыча торфа составляет около 1 млн. тонн (17% всего добываемого
торфа в республике). Разработано около 1500 торфяников. Наиболее крупные
торфяные массивы находятся в Жлобинском, Речицком, Брагинском и Светлогорском
районах.
В юго-восточной части Припятской впадины разведаны залежи каменного угля.
Разведаны два месторождения сланцев, имеющих промышленное значение, -
Любанское (0,9 млрд. тонн) и Туровское (2,7 млрд. тонн).
В 100 млн. тонн оцениваются запасы бурых углей, сосредоточенных в Житковичском
и Бриневском месторождениях.
Разведанные запасы каменной соли превышают 22 млрд. тонн. На базе
Мозырского месторождения создано крупнейшее в республике производство по
выпуску соли (ОАО «Мозырьсоль»).
Запасы калийных солей оцениваются в 236 млн. тонн, мела - в 3533 тыс.
тонн. Давсонитовые руды месторождения «Заозерное» могут дать сырье, заменяющее
ввозимые из России и Украины алюминий и кальцинированную соду.
Почти во всех районах области есть сырье для строительных материалов:
цементные и легкоплавные глины, силикатные и строительные пески, мел,
строительный камень. Запасы строительного камня составляют 8,5 млн. тыс. куб.
м. На их базе построен щебеночный завод «Глушковичи». Глины для производства
кирпича и черепицы добываются в 17 районах области.
На базе таких месторождений работают 11 заводов по выпуску кирпича.
Разведаны три месторождения стекольных и формовочных песков с общими
промышленными запасами в 89,9 млн. т. На базе одного из них создан
обогатительный комбинат в д. Ленино.
В области имеются предпосылки для выявления и подготовки к промышленному
освоению новых видов сырья - гипса, базальтовых волокон, минеральных сорбентов,
йодобромных рассолов.
Треть территории области покрыта лесами. По запасам леса Гомельская
область занимает первое место в Беларуси.
Гомельская область является одним из высокоразвитых индустриальных
регионов Беларуси. На его территории расположено около 300 крупных и средних
предприятий, доля которых в объеме промышленного производства республики
составляет 24,1%. Около 70% производимой продукции идет на экспорт.
Внешнеторговые операции осуществляются более чем со 100 странами. Объем
выпускаемой продукции Гомельской области в расчете на 1 жителя больше, чем в
Минске.
Одним из основных видов деятельности, определяющим потенциал области и
отдельных районов, является промышленность. По производству промышленной
продукции на душу населения область занимает первую позицию в стране. Порядка
21 процента промышленного производства Республики Беларусь сосредоточено на
Гомельщине. В области работает около 300 крупных и средних промышленных
предприятий.
В первую двадцатку валообразующих для области предприятий входят ОАО
«Мозырский нефтеперерабатывающий завод» (удельный вес в объемах области 43,5%),
РУП «Белорусский металлургический завод» (14,1%), РУП «Гомсельмаш» (4,6%), РУП
ПО «Белоруснефть» (2,6%), ОАО «Гомельский химический завод» (2,1%), РУП
«Гомельский завод литья и нормалей» (1,6%), РУП «Светлогорское производственное
объединение «Химволокно» (1,2%), ОАО «Рогачевский молочноконсервный комбинат»
(1%), РУП «Речицкий метизный завод» (0,9%), ОАО «Светлогорский
целлюлозно-картонный комбинат» (0,9%), СП ОАО «Спартак» (0,8%), ОАО «АФПК
«Жлобинский мясокомбинат» (0,8%), ОАО «Гомельстекло» (0,7%), ОАО «Гомельский
мясокомбинат» (0,7%), ИП «Алкопак» (0,7%), ОАО «Молочные продукты» (0,6%), СОАО
«Гомелькабель» (0,6%), ОАО «Гомельстройматериалы» (0,5%), ЧПУП «Калинковичский
молочный комбинат» (0,5%), ОАО «Гомельский жировой комбинат» (0,4%), ОАО
«БелФа» (0,3%) (Жлобинский район). Только названными предприятиями производится
около 80% промышленной продукции области.
Ведущие отрасли: машиностроение и металлообработка (12,6% в общем объеме
производства области), топливная (42,5%), химическая и нефтехимическая (4,1%),
пищевая (8,3%), деревообрабатывающая и целлюлозно-бумажная промышленность
(2,4%), черная металлургия (14,4%), промышленность строительных материалов
(1,3%).
Основной промышленный потенциал сосредоточен в городах Гомель, Мозырь,
Жлобин, Светлогорск, Речица, Добруш.
В Гомельской области осуществляется производство более 95% от общего
объема производства Беларуси: стали, посуды фарфорово-фаянсовой; более 80%:
зерноуборочных комбайнов, соли, туалетного мыла; более половины объемов
картона, ученических тетрадей и обоев. Промышленность региона производит
значительную часть автомобильного бензина, дизельного топлива, фанеры,
древесно-стружечных плит.
Основными в структуре промышленного комплекса являются горнодобывающая,
топливная, химическая и нефтехимическая отрасли, черная металлургия, стекольная
и фарфорово-фаянсовая промышленность. Активное развитие горнодобывающей
промышленности обусловлено необходимостью разработки собственной
минерально-сырьевой базы для обеспечения устойчивого развития экономики страны.
Гомельская область характеризуется уникальным разнообразием минерально-сырьевых
ресурсов. В этой связи область обладает лучшими перспективами среди других
областей для развития добывающей и перерабатывающей промышленности.
Горнодобывающая промышленность получает первоочередное развитие в западной
части области в Лельчицком, Житковичском, Петриковском, Ельском и Мозырском
районах.
Агропромышленный комплекс области способен обеспечить в полном объеме
потребности населения в основных продуктах питания и обеспечить сырьем
перерабатывающую отрасль.
Основные сельскохозяйственные отрасли: мясомолочное животноводство,
овощеводство и картофелеводство, а также льноводство (в восточной части
области). Сельскохозяйственные угодья составляют 1,4 млн. га или 34% территории
области.
% всех посевных площадей - зерновые культуры, под картофелем занято около
9%, под овощами и техническими культурами - 5%. Кормовые культуры выращиваются
на 42% посевных площадей.
Производственные мощности предприятий позволяют экспортировать молочные
консервы, животное масло, казеин, плодоовощные консервы.
Сельское хозяйство составляет основу производственной деятельности
большинства районов, малых городских поселений и сельских населенных пунктов.
Наиболее развитым агроресурсным потенциалом обладают Гомельский, Рогачевский,
Жлобинский, Буда-Кошелевский, Речицкий и Калинковичский районы.
В сфере малого предпринимательства за последние пять лет количество
субъектов в целом по Гомельской области увеличилось более чем на 8 тысяч.
Гомельская экономика является экспортоориентированной. В течение
последних нескольких лет отмечается неуклонный рост объемов внешнеторгового
оборота. Три четверти всей произведенной продукции поставляется на рынки стран
ближнего и дальнего зарубежья.
По численности населения Гомельская область среди регионов республики
находится на втором месте после города Минска.
По состоянию на 1 января 2011 г. численность постоянного населения
области составила 1 435 000 человек.
,2% населения составляют белорусы, 7,7% - русские, 2,1% - украинцы.
Гомельская область располагает высоким кадровым потенциалом специалистов
и рабочих в различных областях деятельности. Численность трудовых ресурсов
составляет 924 тысячи человек (или 64% населения региона), 124 тысячи человек
имеют высшее образование и 135 тысяч человек - среднее специальное.
В Гомельской области расположены 8 высших учебных заведений (далее -
ВУЗ), 6 из которых - университеты. Образовательная база подготовки кадров в
области включает 36 учреждений профессионально-технического образования: 7
профессионально-технических колледжей, 10 профессиональных лицеев, 19
профессионально-технических училищ, 23 учреждения среднего специального
образования[9].
Подготовка специалистов с высшим образованием осуществляется по 150
специальностям и направлениям специальностей. Совершенствование образовательных
программ вузов идет по пути создания нового поколения учебно-программной и
учебно-методической документации. Оборудованы компьютерные классы с выходом в
глобальную компьютерную сеть Интернет, установлено программное обеспечение для
проведения тестов, научно-исследовательских работ студентов. Лекции и семинары
проводятся с использованием мультимедийных средств, есть опыт применения
дистанционной формы получения образования.
Повышается гибкость профессионально-технического образования, вводится
подготовка новых профессий. Свыше 75 процентов выпускников получают две и более
квалификации[11, с.15].
В Гомельской области насчитывается свыше 20-ти отраслевых научных и
проектных институтов, специальных конструкторских и конструкторско-технологических
бюро, Гомельский филиал Национальной академии наук Беларуси.
Основными центрами размещения научных учреждений и базы подготовки
кадров, прежде всего высшей школы, остаются Гомель, Мозырь, Жлобин, Речица.
Необходимо создание научных и учебных заведений в городе Светлогорске, а в
будущем в городе Житковичи, как потенциальном центре горнорудного района.
В городе Гомеле работают региональные отделения Белорусской инженерной
академии, Белорусской научно-промышленной ассоциации, Белорусского общества
изобретателей и рационализаторов, действует региональное отделение
Республиканского центра трансферта технологий и бизнес-инновационный центр.
Численность работников, выполняющих работу в области исследования и
разработки, составляет около 3000 человек, в том числе 150 докторов и 1100
кандидатов наук.
Стратегия повышения уровня конкурентоспособности национальной экономики
предполагает дальнейшее развитие фирменной науки, усиление кооперационных
связей между научно-исследовательскими институтами и предприятиями отраслей
реального сектора экономики, создание на их базе корпоративных структур,
научно-технических центров (кластеров, корпораций, финансово-промышленных
групп)[9].
.1.1 Роль льготных условий осуществления инвестиционной деятельности в
социально-экономическом развитии региона
В инвестиционной политике Республики Беларусь значимое место отводится
свободным экономическим зонам (далее - СЭЗ). Правовые и организационные основы
создания, деятельности и ликвидации СЭЗ на территории Республики Беларусь определены
Законом Республики Беларусь от 7 декабря 1998 г. №213-З «О свободных
экономических зонах».
СЭЗ представляет собой часть территории Республики Беларусь с точно
определенными границами и специальным правовым режимом, устанавливающим более
благоприятные, чем обычные, условия осуществления хозяйственной деятельности.
Специальный правовой режим в СЭЗ - это совокупность правовых норм,
устанавливающих особый порядок и условия налогообложения, валютного и
таможенного регулирования [12, с.66].
В СЭЗ государство обеспечивает инвесторам защиту инвестиций, доходов и
гарантирует беспрепятственное осуществление предусмотренных законодательством
Республики Беларусь прав и свобод [13, с.40].
Регистрация в качестве резидентов СЭЗ осуществляется ее администрацией.
В качестве резидентов СЭЗ могут быть зарегистрированы только юридические
лица Республики Беларусь или индивидуальные предприниматели Республики Беларусь
с местом нахождения в границах данной свободной экономической зоны, заключившие
с администрацией свободной экономической зоны договор об условиях деятельности
в свободной экономической зоне.
Договор об условиях деятельности в СЭЗ определяет порядок, срок и условия
реализации резидентом СЭЗ предложенного им инвестиционного проекта.
Резидент свободной экономической зоны вправе заниматься инвестиционной и
предпринимательской деятельностью за пределами свободной экономической зоны с
соблюдением общих правил, установленных законодательством. При этом на такую
деятельность не распространяется специальный правовой режим СЭЗ.
На территории свободной экономической зоны для ее резидентов создаются
свободные таможенные зоны[12, с.68].
Территория СЭЗ и находящиеся на ней свободные таможенные зоны являются
частью таможенной территории Республики Беларусь. Территория свободной
таможенной зоны может не совпадать с территорией СЭЗ и определяется внутри СЭЗ
решением ее администрации по согласованию с Государственным таможенным
комитетом [14, с.6].
Режим свободной таможенной зоны характеризуется следующими особенностями:
иностранные товары (т.е. оборудование, инструменты, сырье, материалы и
комплектующие для производства продукции), ввозимые на территорию свободной
таможенной зоны и помещаемые под процедуру свободной таможенной зоны, не
облагаются ввозными таможенными пошлинами и налогами;
при вывозе товаров, помещенных под таможенный режим свободной таможенной
зоны, и готовой продукции собственного производства за пределы Таможенного
союза, вывозные таможенные пошлины не уплачиваются;
при вывозе иностранных товаров, помещенных под таможенную процедуру
свободной таможенной зоны, и продукции, изготовленной с использованием
иностранных товаров, помещенных под таможенную процедуру свободной таможенной
зоны, на территорию Таможенного союза уплачиваются ввозные таможенные пошлины,
налоги [16, с.153].
В СЭЗ в отношении ее резидентов действует особый режим налогообложения -
специальный порядок исчисления и уплаты налогов, сборов (пошлин).
Налогообложение в СЭЗ регулируется Налоговым кодексом Республики Беларусь
и носит либеральный характер.
Налоговые льготы позволяют резиденту СЭЗ снизить сумму выплат до 50% от
суммы налогов, уплачиваемых в Республике Беларусь.
Либеральность режима налогового регулирования в СЭЗ заключается в:
установлении пониженных ставок налогов;
ограничении перечня налогов и сборов, уплачиваемых резидентом СЭЗ;
возможности полного освобождения сроком на 5 лет от уплаты налога на
прибыль, а именно:
прибыль, полученная резидентами СЭЗ за счет реализации продукции (работ,
услуг) собственного производства, освобождается от обложения налогом сроком на
5 лет с момента ее объявления, включая первый прибыльный год;
прибыль уменьшается на прибыль, фактически направленную резидентами СЭЗ
на инвестиции в Республику Беларусь[14, с.41].
Налоги, уплачиваемые резидентами СЭЗ в рамках специального правового
режима, действующего на территории СЭЗ (таблица 5)[15]:
Таблица 5. - Налоги, уплачиваемые резидентами СЭЗ
|
Вид налога
|
Резидент РБ
|
Резидент СЭЗ
|
|
Налог на недвижимость
|
1% остаточной стоимости
основных производственных и непроизводственных фондов
|
Освобождаются от налога на
недвижимость по зданиям и сооружениям (в том числе сверхнормативного
незавершенного строительства), расположенным на территории соответствующих
СЭЗ, независимо от направления их использования
|
|
Налог на добавленную стоимость
|
20%
|
Обороты по реализации
резидентами СЭЗ на территории РБ товаров собственного производства, которые
произведены ими на территории СЭЗ и являются импортозамещающими в
соответствии с перечнем импортозамещающих товаров, облагаются налогом на
добавленную стоимость по ставке в размере 10%.
|
|
Налог прибыль
|
18%
|
Прибыль резидентов СЭЗ,
полученная от реализации товаров (работ и услуг) собственного производства,
освобождается от обложения налогом на прибыль в течение 5 лет с даты
объявления ими прибыли. Далее исчисляется и уплачивается по ставке,
уменьшенной на 50% от ставки, установленной законодательством (9%).
|
|
Земельный налог (или
арендная плата за землю)
|
Ставка налога
рассчитывается, исходя из кадастровой стоимости земельных участков
|
Ставки арендной платы за
земельные участки определяются исходя из кадастровой стоимости этих участков
с применением коэффициентов в зависимости от функционального использования и
целевого назначения этих участков
|
На резидентов СЭЗ распространяется действующее налоговое законодательство
Республики Беларусь. Особенности налогообложения резидентов той или иной зоны
определяется Положением о СЭЗ.
Предприятие-резидент СЭЗ, получившее льготы по налогам, обязано
обеспечить раздельный учет выручки (объекта налогообложения) и затрат, приходящихся
на льготируемую выручку.
Льготы распространяются только на экспортную и импортозамещающую
продукцию[16, с.161].
В настоящее время в Республике Беларусь созданы и функционируют шесть
свободных экономических зон: СЭЗ «Брест», СЭЗ «Минск», СЭЗ «Гомель-Ратон», СЭЗ
«Витебск», СЭЗ «Могилев», СЭЗ «Гродноинвест».
СЭЗ «Гомель-Ратон» создана Указом Президента Республики Беларусь от
05.03.1998 г. №93 «О создании свободных экономических зон «Минск» и
«Гомель-Ратон» сроком на 50 лет.
Территория свободной экономической зоны «Гомель-Ратон» занимает более
8000 гектар и располагается не только в городе Гомеле, но и в других населенных
пунктах региона: Мозыре, Речице, Жлобине, Светлогорске, Добруше, Ветке,
Лельчицах, Житковичах, Корме, Хойниках. Это дает возможность инвестору
подобрать оптимальную площадку для размещения предприятия с учетом
логистической составляющей своего производства.
Для размещения производства в СЭЗ имеются готовые к эксплуатации
производственные, складские и офисные помещения, к которым подведены
необходимые коммуникации и инженерные сети. Это позволяет инвесторам в
сравнительно короткий срок и с минимальными затратами открывать новые
производства.
Здания и сооружения можно взять в аренду или приобрести в собственность
под реализацию инвестиционного проекта.
Кроме того на территории свободной экономической зоны есть земельные
участки под новое строительство.
Рассмотрим отдельные результаты деятельности СЭЗ «Гомель-Ратон».
Территория СЭЗ «Гомель-Ратон» в настоящий момент составляет более 8,0
тыс. гектаров и включает в себя 11 районов Гомельской области.
По состоянию на 01.01.2013 г. 77 предприятий работает в статусе резидента
свободной экономической зоны, из них 35 - с участием иностранного капитала из
15 стран мира.
В Республике Беларусь среди 6 свободных экономических зон по итогам2012
года СЭЗ «Гомель-Ратон» занимает второе место по валовому поступлению прямых
иностранных инвестиций и прямым иностранным инвестициям на чистой основе,
третье - по объему экспорта, первое - по использованию инвестиций в основной
капитал.
Валовое поступление прямых иностранных инвестиций резидентов СЭЗ в 2012
году составило 73,0 млн. долл. США.
Прямые иностранные инвестиции на чистой основе составили 19,0 млн. долл.
США, что в 1,9 раза больше, чем за 2011 год. Доля в объеме прямых иностранных
инвестиций на чистой основе области - более 30 процентов.
Значительный вклад свободная экономическая зона вносит в результаты
внешнеэкономической деятельности Гомельского региона:
в экспорте товаров организаций Гомельской области без ведомственной
подчиненности доля резидентов СЭЗ составляет 53%, в г. Гомеле - 77%;
экспорт на одного работающего в СЭЗ составляет 23,0 тыс. долл. США, что в
2,9 раза превышает экспорт на одного работающего в Гомельской области, и в 2,1
раза - в городе Гомеле.
В 2012 году внешнеэкономическую деятельность осуществляли 59 резидентов
СЭЗ.
Внешнеторговый оборот предприятий в 2012 году вырос по сравнению с 2011
годом на 13,7 процентных пунктов и составил около 1,6 млрд. долл. США.
Экспорт товаров составил 789,6 млн. долл. США (темп роста - 112,0%).
Основным потребителем продукции предприятий-резидентов является Россия,
на долю которой приходится 62% экспортных поставок. Экспорт в Российскую
Федерацию по сравнению с 2011 годом увеличился на 21 процентных пунктов.
По итогам 2012 года обеспечено положительное сальдо внешнеторгового
оборота в сумме 10,0 млн. долл. США.
В настоящее время администрация СЭЗ «Гомель-Ратон» проводит переговоры по
созданию производств по выпуску:
медпрепаратов (физрастворы, антибиотики), текстильных изделий, оливкового
масла, соков и минеральной воды (Сирия);
пожарного оборудования и автоматических систем пожаротушения (Tema
Sistemati S.p.a Италия).
Планируется создание современного производства по выпуску спрей-помп для
фармацевтических и косметических продуктов и других.
Преимущества СЭЗ «Гомель-Ратон» - это наличие на ее территории развитой
инфраструктуры инженерных и транспортных коммуникаций, обеспеченность
квалифицированными кадрами специалистов и рабочих, близость рынков сбыта стран
СНГ и Евросоюза.
На территориях, включенных в границы СЭЗ «Гомель-Ратон», проводится
комплекс мер по обследованию мощностей предприятий и выявлению
незадействованных производственных площадей и свободных земельных участков для
привлечения потенциальных инвесторов[15].
В целях создания дополнительных условий для инвестиционной деятельности
Декретом Президента Республики Беларусь от 06.08.2009 г. №10 «О создании
дополнительных условий для инвестиционной деятельности в Республике Беларусь»
(далее - Декрет) устанавливается, что реализация инвестиционных проектов на
территории Республики Беларусь может осуществляться путем заключения
инвестиционного договора между инвестором и Республикой Беларусь (далее -
инвестиционный договор).
Инвестор после заключения инвестиционного договора при реализации
инвестиционного проекта имеет право на:
строительство объектов параллельно с разработкой, экспертизой и
утверждением необходимой проектной документации на каждый из этапов
строительства с одновременным проектированием последующих этапов данного
строительства;
предоставление в аренду земельного участка требуемого размера без
проведения аукциона на право заключения договора аренды земельного участка;
строительство объектов с правом удаления объектов растительного мира без
осуществления компенсационных выплат стоимости удаляемых объектов растительного
мира;
вычет в полном объеме сумм налога на добавленную стоимость, уплаченного
при приобретении (ввозе на территорию Республики Беларусь) товаров (работ,
услуг), имущественных прав, использованных для проектирования, строительства
(реконструкции), оснащении объектов;
определение без проведения подрядных торгов генеральной проектной и
подрядной организации, субподрядных проектных, строительных и иных организаций
для строительства объектов, а также их ремонта, реконструкции, реставрации и
благоустройства.
Инвестор после заключения инвестиционного договора освобождается от:
внесения платы за право заключения договора аренды земельного участка,
перечисляемой в республиканский или местный бюджет или фонд развития
соответствующей свободной экономической зоны;
земельного налога или арендной платы за земельные участки,
предоставленные для строительства объектов, на период проектирования и
строительства таких объектов по 31 декабря года, следующего за годом, в котором
завершено строительство указанных объектов;
возмещения потерь сельскохозяйственного или лесохозяйственного
производства, вызванных изъятием земельного участка;
ввозных таможенных пошлин и налога на добавленную стоимость, взимаемых
таможенными органами, при ввозе на территорию Республики Беларусь
технологического оборудования (комплектующих и запасных частей к нему);
уплаты государственной пошлины за выдачу разрешений на привлечение в
Республику Беларусь иностранной рабочей силы, специальных разрешений на право
занятия трудовой деятельностью в Республике Беларусь;
налога на добавленную стоимость и налога на прибыль, обязанность по
уплате которых возникает в связи с безвозмездной передачей капитальных строений
(зданий, сооружений), изолированных помещений, объектов незавершенного
капитального строительства и иных объектов основных средств, передаваемых для
реализации инвестиционного проекта в собственность инвестора.
Декретом рекомендовано областным, Минскому городскому Советам депутатов
предусматривать освобождение инвесторов, реализующих инвестиционные проекты, от
уплаты целевых сборов в местные бюджеты[18].
Инвестиционные договоры, заключенные в рамках Декрета между инвесторами и
Гомельским областным исполнительным комитетом (таблица 6)[9]:
Таблица 6 - Инвестиционные проекты г.Гомеля, для реализации которых
заключены инвестиционные договоры
|
Наименование
инвестиционного проекта
|
Наименование организации,
реализующей проект
|
Ед. изм.
|
Объем инвестиций по проекту
|
Создано рабочих мест
|
|
Строительство и
эксплуатация гипермаркета с парковкой поул. Хатаевича
|
ЗАО «Корпорация «Гринн»
(Россия)
|
млрд. руб.
|
36,1
|
700
|
|
Строительство и ввод в
эксплуатацию торгового центра в районе пересечения улиц Советской и Ефремова
|
ООО «Табак-инвест»
|
млрд. руб.
|
60,0
|
700
|
|
Установка новых парковых
аттракционов на территории Гомельского дворцово-паркового ансамбля
|
ЧПУП «Смолянкаград»
|
млрд. руб.
|
4,2
|
|
|
Производство
малоинерционных энергоэффективных алюминиевых и биметаллических отопительных
радиаторов
|
ОДО «Энергокомплект»
|
млрд. руб.
|
4,6
|
|
|
Создание на базе ООО
«Хорда-Гидравлика» высокотехнологичного производства силовых гидромашин и
гидротрансмиссий для корм- и зерноуборочных комбайнов, дорожной и
строительной техники
|
ООО «Хорда-Гидравлика»
|
млрд. руб.
|
25,7
|
16
|
|
Производство
терморегуляторов автоматических отопительных приборов систем водяного
отопления зданий, металлообработка
|
ОДО «Оникс»
|
млрд. руб.
|
2,3
|
20
|
|
Строительство
многофункционального комплекса (бизнес-центр со встроенными помещениями) по
ул. Кирова-Хатаевича в г. Гомель
|
ООО «Карпович»
|
млрд. руб.
|
18,1
|
20
|
|
Создание производства по
выпуску многослойных барьерных пленок для упаковки продуктов питания
|
ИЧПУП «Фрешпак Солюшенс»
(Германия)
|
млн. долл. США
|
14,1
|
84
|
|
Создание и эксплуатация
установок по получению свалочного газа и производству из него электрической и
тепловой энергии на полигоне бытовых отходов в г. Гомеле
|
Компания «ВиреоЭнерджи АБ»
(Швеция)
|
млн. евро
|
3
|
|
|
Техническое перевооружение
и реконструкция гостиничного комплекса «Уют»
|
ООО «Аспект» (Россия)
|
млрд. руб.
|
7,0
|
|
|
Организация торгового
центра «Максима» по Речицкому шоссе в микрорайоне №53
|
ОДО «Гурман Плюс»
|
млрд. руб.
|
12,5
|
289
|
|
Создание
высокотехнологичного производства по обработке металлов на территории РУП
«Гомельский завод литья и нормалей»
|
ОДО «ЛКСН-КОЛОС»
|
млрд. руб.
|
12,0
|
20
|
|
Организация производства
гипса и строительных материалов
|
ООО «Гипспромресурс»
|
млн. долл. США
|
16,9
|
288
|
|
Техническое перевооружение
и модернизация производства ОАО «Гомельский жировой комбинат»
|
ОАО «Гомельский жировой
комбинат»
|
млрд. руб.
|
62,0
|
10
|
|
Реконструкция
конфетно-шоколадного цеха, с целью организации выпуска новых видов шоколада,
батончиков и конфет на основе нуги и мягкой карамели» ОАО «Спартак»
|
ОАО «Спартак»
|
млн. евро
|
4,5
|
30
|
|
Строительство
двухкорпусного здания подземного универмага в г. Гомеле параллельно
существующим магазинам по ул. Советской, 97 (корпуса 1; 2;3)
|
ООО «Мастер - класс»
|
млн. долл. США
|
1,5
|
80
|
|
Строительство
автозаправочных станций с пунктами общественного питания на территории
Гомельской области (ул. Добрушская, Советская, м-н №21)
|
РДУП
«Белоруснефть-Гомельоблнефтепродукт»
|
млрд. руб.
|
12,0
|
|
|
Строительство Медицинского
центра «Белсоно»
|
ООО «Белсоно»
|
млн. долл.
|
2,5
|
200
|
|
Строительство и ввод в
эксплуатацию сервисного центра по продаже и техническому обслуживанию
легковых транспортных средств «RENAULT» ул. Текстильная
|
млрд. руб.
|
8,4
|
|
|
Строительство универсама в
границах улиц Ильича, Ленинградская, Димитрова
|
ОАО «Дабрабыт»
|
млн. долл. США
|
3,0
|
30
|
|
Модернизация действующей
линии по производству полированного стекла, организация производства по
промышленной переработке стекла на ОАО «Гомельстекло»
|
ОАО «Гомельстекло»
|
тыс. евро
|
94 486,1
|
47
|
|
Строительство
продовольственного магазина модульного типа общей площадью 1250 м2,
пристроенного к жилому дому №71 в микрорайоне №96
|
ОАО «Табаквинторг»
|
млн. долл. США
|
1,213
|
60
|
|
Реконструкция здания
лечебного корпуса по адресу: г.Гомель, ул. Ильича,98а с созданием на базе
жилого комплекса класса люкс
|
ООО «ЮРТ ПРОФИЛЬ САНАИ»
|
тыс. долл. США
|
200,0
|
|
|
Реконструкция цеха по
переработке маслосемян рапса на ЧПУП «ГЖК Припять» Мозырьского района с
увеличением мощн. до 60 тыс. т. переработки маслосемян рапса в год
|
ОАО «Гомельский жировой
комбинат»
|
млрд. руб.
|
15,4
|
4
|
|
Модернизация и техническое
переоснащение производственных и складских мощностей
|
СООО «Ингман мороженое»
|
млрд. руб.
|
16,6
|
|
В целях стимулирования предпринимательской деятельности на территории
средних, малых городских поселений, сельской местности Декретом Президента
Республики Беларусь от 7 мая 2012 г. №6 ”О стимулировании предпринимательской
деятельности на территории средних, малых городских поселений, сельской
местности“ (далее - Декрет) установлено, что коммерческие организации,
индивидуальные предприниматели с местом нахождения (жительства) на территории
средних, малых городских поселений, сельской местности и осуществляющие на
территории средних, малых городских поселений, сельской местности деятельность
по производству товаров (выполнению работ, оказанию услуг), в течение семи
календарных лет со дня их государственной регистрации:
вправе не исчислять и не уплачивать налог на прибыль и подоходный налог с
физических лиц соответственно в отношении прибыли и доходов, полученных от
реализации товаров (работ, услуг) собственного производства;
освобождаются от уплаты государственной пошлины за выдачу специального
разрешения (лицензии) на осуществление юридическими и физическими лицами
отдельных видов деятельности, внесение в такое специальное разрешение изменений
и дополнений, продление срока его действия;
вправе не исчислять и не уплачивать иные налоги, сборы (пошлины) (за
исключением налога на добавленную стоимость, акцизов, гербового и оффшорного
сборов, государственной пошлины, патентной пошлины, таможенных пошлин и сборов,
земельного налога, экологического налога, налога за добычу природных ресурсов и
иных налогов, исчисляемых, удерживаемых и перечисляемых при исполнении
обязанностей налогового агента);
- освобождаются от обязательной продажи иностранной валюты, поступившей
по сделкам с юридическими лицами-нерезидентами и физическими
лицами-нерезидентами от реализации товаров (работ, услуг) собственного
производства, в том числе от сдачи имущества в аренду;
вправе не исчислять и не уплачивать налог на прибыль в отношении прибыли,
полученной обособленным подразделением от реализации товаров (работ, услуг)
собственного производства; налог на недвижимость со стоимости зданий
(сооружений), машино-мест, находящихся на балансе обособленного подразделения и
расположенных на территории средних, малых городских поселений, сельской
местности;
освобождаются от обязательной продажи иностранной валюты, поступившей по
сделкам с юридическими лицами-нерезидентами и физическими лицами-нерезидентами
от реализации товаров (работ, услуг) собственного производства, произведенных
обособленным подразделением;
освобождаются от обязательного заключения сделок на биржевых торгах ОАО
«Белорусская универсальная товарная биржа» при приобретении сырья,
комплектующих и материалов для собственного производства, а также при
осуществлении внешней торговли товарами собственного производства;
вправе самостоятельно определять условия, объемы, виды закупаемого сырья,
комплектующих и материалов, а также условия, объемы и виды реализации
поставщиков или покупателей произведенной продукции, товаров (работ, услуг)
собственного производства и для собственного производства;
вправе страховать свои имущественные интересы у страховых организаций,
страховых брокеров, созданных за пределами Республики Беларусь.
освобождаются от ввозных таможенных пошлин и налога на добавленную
стоимость, взимаемых таможенными органами, при ввозе на территорию Республики
Беларусь товаров, в качестве вклада в уставный фонд этих организаций в пределах
сроков, установленных учредительными документами для формирования такого фонда.
При этом суммарная стоимость товаров не должна превышать величину неденежного
вклада, указанного в учредительных документах коммерческих организаций.
Декретом рекомендовано областным Советам депутатов устанавливать
понижающие коэффициенты в размере не более 0,5 к ставкам единого налога с
индивидуальных предпринимателей и иных физических лиц, проживающих и
осуществляющих деятельность по производству товаров (выполнению работ, оказанию
услуг) на территории средних, малых городских поселений, сельской местности[19].
В соответствии с постановлением Совета Министров Республики Беларусь от
24 декабря 2003 г. №1685 «О мерах по стимулированию развития
предпринимательства» предполагается создание во всех областных центрах
республики объектов инновационной структуры.
В Гомеле открылся первый в регионе научно-технологический парк 12.12.2011
г. Новый субъект инновационной структуры создан на базе свободной экономической
зоны «Гомель-Ратон».
Технопарк - организация со среднесписочной численностью работников до 100
человек, целью которой является содействие развитию предпринимательства в
научной, научно-технической, инновационной сферах и создание условий для
осуществления юридическими лицами и индивидуальными предпринимателями,
являющимися резидентами технопарка, инновационной деятельности от поиска
(разработки) нововведения до его реализации.
Основная задача парка - привлечение резидентов к работе в сфере
инновационного бизнеса. Это могут быть как действующие организации,
занимающиеся инновационной деятельностью, так и те ученые, инженеры,
изобретатели, студенты, которые только создают свое дело, основанное на новых
идеях и разработках. Всем им будут предоставляться современные офисы
бизнес-класса «А», а также налоговые и финансовые льготы.
Основное направление деятельности технопарка - оказание систематической
поддержки резидентам технопарка, в том числе путем:
содействия в создании производств с новыми технологиями либо
высокотехнологичных производств, основанных на высоких технологиях и
выпускающих законченную высокотехнологичную продукцию для реализации ее на
рынке;
содействия в осуществлении внешнеэкономической деятельности в целях
продвижения на внешний рынок продукции, произведенной с использованием новых
или высоких технологий;
предоставления на договорной основе в соответствии с законодательством
движимого и недвижимого имущества, в том числе помещений различного
функционального назначения;
обеспечения освещения в средствах массовой информации деятельности
технопарка и его резидентов;
оказания иных услуг (выполнения иных работ), связанных с научной,
научно-технической и инновационной деятельностью технопарка.
Благоприятный режим работы для резидентов КУП «Гомельский
научно-технологический парк», определенный Указом Президента Республики
Беларусь от 03 января 2007 г. №1 «Об утверждении Положения о порядке создания
субъектов инновационной инфраструктуры», заключается в применении льготной
ставки налога на прибыль по инновационной деятельности в размере 10%.
Кроме того, установлена пониженная ставка арендной платы за помещения,
резиденты освобождены от уплаты налогов и сборов, полностью уплачиваемых в
местный бюджет, а также от обязательной продажи иностранной валюты, полученной
от реализации товаров (работ, услуг), имущественных прав на объекты
интеллектуальной собственности.
Научно-технологические парки и их резиденты применяют налоговую льготу
(ставка налога на прибыль в размере 10%), установленную в пункте 6 статьи 142
Налогового кодекса Республики Беларусь, при условии, если деятельность:
научно-технологических парков соответствует требованиям о порядке
создания субъектов инновационной инфраструктуры, утвержденного Указом;
резидентов научно-технологических парков является инновационной[20].
Таким образом, на территории Гомельской области субъектам
предпринимательской деятельности создан ряд дополнительных льготных условий для
осуществления инвестиционного развития, что является предпосылкой повышения
инвестиционной привлекательности региона.
.1.2 Отдельные результаты социально-экономического развития Гомельской
области
Показатели прогноза социально-экономического развития Гомельской области
на 2013 год доведены нормативными правовыми актами Республики Беларусь:
постановление Совета Министров Республики Беларусь от 6 ноября 2012 г. №1021«О
показателях прогноза социально-экономического развития Республики Беларусь на
2013 год», постановление Совета Министров Республики Беларусь от 6 ноября 2012
г. №1023 «О мерах по выполнению заданий на 2013 год по строительству жилых
домов», постановление Совета Министров Республики Беларусь от 30 декабря 2012
г. №1260 «О мерах по снижению энергоемкости валового внутреннего продукта в
2013 году», постановлением Совета Министров Республики Беларусь от 20 мая 2013
г. №396 «Об установлении государственным органам и организациям заданий по
наращиванию объемов экспорта товаров на новые перспективные рынки», протоколом
заседания Совета Министров Республики Беларусь от 14 июня 2013 г. №2 «Об итогах
социально-экономического развития Республики Беларусь за январь-май 2013 г. и
дальнейшей работе по выполнению показателей, доведенных на 2013 год».
В январе-сентябре 2013 года в Гомельской области отмечено выполнение
следующих показателей прогноза:
. экспорт услуг без учета республиканских организаций - 158
миллионов долларов США (задание - 123 миллиона долларов США),
. экспорт услуг без учета республиканских организаций, в процентах
к 2012 году - 131,5% (прогноз - 106%) (таблица 7),
Таблица 7 - Показатели внешней торговли услугами в целом по регионам
Гомельской области
|
Регион
|
Экспорт услуг, %
|
Сальдо торговли услугами,
тыс. долл. США
|
|
январь- август 2013 г.
|
в т.ч. без учета
республиканских организаций
|
январь- август 2013 г.
|
в т.ч. без учета
республиканских организаций
|
|
|
прогноз на 2013 г.
|
январь- август 2013 г.
|
|
задание на 2013 г.
|
расчетная сумма на 8 мес.
|
январь- август 2013 г.
|
|
Область (всего), в том
числе:
|
123,8
|
106
|
135,6
|
+230 575
|
-
|
-
|
+125 402,9
|
|
Брагинский
|
132,9
|
106,5
|
132,9
|
-7,6
|
+12
|
+8
|
-7,6
|
|
Буда-Кошелевский
|
74,6
|
115
|
74,6
|
-15,6
|
+150
|
+100
|
+26,3
|
|
Ветковский
|
83,4
|
113,5
|
83,2
|
+147,9
|
+400
|
+266,7
|
+146,5
|
|
Гомельский
|
110,2
|
107,5
|
114,1
|
+3 704,5
|
+4 100
|
+2 733,3
|
+2 921,8
|
|
Добрушский
|
103
|
106
|
99,6
|
+182,9
|
+500
|
+333,3
|
+380,4
|
|
Ельский
|
42,9
|
106
|
125,8
|
+5,1
|
+4
|
+2,7
|
+3,9
|
|
Житковичский
|
122,8
|
112
|
193,5
|
+557,6
|
-1 450
|
-966,7
|
+24,2
|
|
Жлобинский
|
91,9
|
110
|
95,7
|
-21 307,7
|
+1 700
|
+1 133,3
|
+1 415,9
|
|
Калинковичский
|
141,6
|
116,5
|
141,4
|
+648,7
|
+1 300
|
+866,7
|
+1 096
|
|
Кормянский
|
200
|
107
|
200
|
+2,6
|
+1,4
|
+0,9
|
+2,6
|
|
Лельчицкий
|
818,7
|
116
|
867,3
|
+139,8
|
+12
|
+8
|
+139,8
|
|
Лоевский
|
117,6
|
115,5
|
117,6
|
+8,7
|
+10
|
+6,7
|
+8,7
|
|
Мозырский
|
127
|
102
|
122,4
|
+63 593,4
|
+95 600
|
+63 733,3
|
+70 877,8
|
|
Наровлянский
|
234,3
|
112
|
234,3
|
+391,8
|
+285
|
+190
|
+404
|
|
Октябрьский
|
155,3
|
106,5
|
121,1
|
+5,9
|
+3
|
+2
|
+4,6
|
|
Петриковский
|
132,6
|
106
|
203,9
|
+1 043
|
+60
|
+40
|
+93,8
|
|
Речицкий
|
217,4
|
100
|
217,6
|
+14 620,2
|
+8 750
|
+5 833,3
|
+14 673,7
|
|
Рогачевский
|
262,8
|
106
|
119,4
|
+17 759,1
|
+8 500
|
+5 666,7
|
+6 670,1
|
|
Светлогорский
|
105,8
|
112
|
106,3
|
-4 211,4
|
+6 100
|
+4 066,7
|
+5 267,1
|
|
Хойникский
|
2 317
|
106
|
1 444,7
|
+108,9
|
+5
|
+3,3
|
+67,9
|
|
Чечерский
|
87,7
|
111
|
87,7
|
+11,4
|
+31
|
+20,7
|
+11,4
|
|
г. Гомель
|
117,4
|
110
|
151,4
|
+153 185
|
+25 700
|
+17 133
|
+21 174
|
3. экспорт товаров без учета нефти, нефтепродуктов и
республиканских организаций - 652,7 миллиона долларов США (задание - 606
миллионов долларов США);
. сальдо внешней торговли товарами без учета нефти, нефтепродуктов
и республиканских организаций - 151,2 миллиона долларов США (задание - 111
миллионов долларов США),
. сальдо внешней торговли услугами без учета республиканских
организаций - 125,4 миллиона долларов США (задание - 104 миллионов долларов
США) (таблица 8),
Таблица 8 - Показатели внешней торговли товарами в целом по регионам
Гомельской области
|
Регион
|
Экспорт товаров, %
|
Сальдо торговли товарами,
тыс. долл. США
|
|
январь- август 2013 г.
|
в т.ч. без учета нефти и
республиканских организаций
|
январь- август 2013 г.
|
в т.ч. без учета нефти и
республиканских организаций
|
|
|
прогноз на 2013 г.
|
январь- август 2013 г.
|
|
задание на 2013 г.
|
расчетная сумма на 8 мес.
|
январь- август 2013 г.
|
|
Область (всего), в том
числе:
|
99,2
|
115
|
113,3
|
+77 197,6
|
-
|
-
|
+151 182,1
|
|
Брагинский
|
50,5
|
240
|
211,5
|
+155
|
0
|
0
|
+32,9
|
|
Буда-Кошелевский
|
118,4
|
115
|
128,4
|
+3 594,6
|
+8 300
|
+5 533,3
|
+3 726,5
|
|
Ветковский
|
149,7
|
115
|
441
|
-1 689,9
|
0
|
0
|
-805,8
|
|
Гомельский
|
96,3
|
116
|
95,8
|
-16 965,3
|
-25 000
|
-16 667
|
-17 258,9
|
|
Добрушский
|
86,8
|
174
|
71,1
|
-15 085,4
|
0
|
0
|
-1 534,7
|
|
Ельский
|
72,5
|
115,5
|
187,2
|
+409,3
|
+120
|
+80
|
+14,3
|
|
Житковичский
|
145,3
|
600
|
552,3
|
-254,6
|
+1 200
|
+800
|
-1 689,8
|
|
Жлобинский
|
89,2
|
116
|
95,9
|
+375 584,2
|
+50 000
|
+33 333
|
+28 492,4
|
|
Калинковичский
|
119,8
|
118,3
|
+63 016,9
|
+80 000
|
+53 333
|
+62 499,6
|
|
Кормянский
|
126,2
|
115
|
0
|
-42,9
|
0
|
0
|
-110,3
|
|
Лельчицкий
|
79,3
|
115
|
83,4
|
+420,7
|
+420
|
+280
|
-427,3
|
|
Лоевский
|
66,5
|
250
|
104,5
|
-220,3
|
+11
|
+7,3
|
-328,9
|
|
Мозырский
|
110,8
|
115,5
|
109
|
-1 199 932
|
+8 000
|
+5 333,3
|
+8 724,9
|
|
Наровлянский
|
97,3
|
119
|
75,3
|
-422,8
|
-500
|
-333,3
|
-498,4
|
|
Октябрьский
|
130,6
|
116
|
133,8
|
+8 472,1
|
+9 000
|
+6 000
|
+8 267,4
|
|
Петриковский
|
98,9
|
275
|
172,8
|
+1 211,4
|
+1 500
|
+1 000
|
-516
|
|
Речицкий
|
101,4
|
115
|
130,7
|
+29 856,8
|
-28 000
|
-18 666,7
|
-29 516,3
|
|
Рогачевский
|
118,9
|
116
|
120,5
|
+100 793,8
|
+125 000
|
+83 333
|
+96 826,4
|
|
Светлогорский
|
101,3
|
115
|
126,1
|
+60 080,6
|
+5 500
|
+3 666,7
|
+5 163,4
|
|
Хойникский
|
85,4
|
115
|
61,6
|
-34,8
|
+45
|
+30
|
-128,3
|
|
Чечерский
|
216,8
|
115
|
216,8
|
+95
|
+170
|
+113,3
|
+95
|
|
г. Гомель
|
101,5
|
115,5
|
110,4
|
+668 155,5
|
-64 000
|
-42 666,7
|
-9 846
|
Следует отметить, что в целом экспортные показатели области зависят от
деятельности организаций республиканского подчинения, объем экспорта которых
занимает 80,5% в объемах области.
Темп роста экспорта по ним ниже 100% - и это во многом результат работы
таких крупных предприятий, как ГПО «Белоруснефть»(темп роста 95,6%)и ОАО «БМЗ»
(темп роста 87,9%). ПО «Гомсельмаш» незначительно превысил уровень экспорта
аналогичного периода прошлого года (темп роста 102,5%). Как следствие, значение
экспорта товаров в целом по области ниже уровня экспорта января-августа 2012
года (темп роста 99,2%).
.прямые иностранные инвестиции на чистой основе (без учета задолженности
прямому инвестору за товары, работы, услуги) - 170 миллионов долларов США
(прогноз -160 миллионов долларов США),
.номинальная среднемесячная заработная плата - 4800 тысяч рублей (прогноз
-4290 тысяч рублей)(таблица 9),
Таблица 9 - Прямые иностранные инвестиции на чистой основе и номинальная
начисленная среднемесячная заработная плата в целом по регионам Гомельской
области
|
Регион
|
Прямые иностранные
инвестиции на чистой основе, млн. долларов США
|
Номинальная среднемесячная
заработная плата, тысяч рублей
|
|
прогноз на 2013 г.
|
январь-июнь 2013 г.
|
прогноз на 2013 г.
|
январь-август 2013 г.
|
|
Область (всего), в том
числе:
|
160
|
168,2
|
4 290
|
4 738,1
|
|
Брагинский
|
2
|
0,07
|
3 600
|
3 669,0
|
|
Буда-Кошелевский
|
4
|
1,273
|
3 900
|
3 863,0
|
|
Ветковский
|
2,5
|
0,081
|
3 850
|
4 133,2
|
|
Гомельский
|
5,5
|
0,184
|
4 500
|
4 614,6
|
|
Добрушский
|
5,5
|
0,102
|
3 750
|
3 835,7
|
|
Ельский
|
2
|
0
|
3 550
|
3 715,0
|
|
Житковичский
|
5
|
0,02
|
3 600
|
3 755,3
|
|
Жлобинский
|
18
|
0,691
|
5 350
|
5 077,4
|
|
Калинковичский
|
4
|
0,888
|
4 070
|
4 341,9
|
|
Кормянский
|
2,5
|
0
|
3 300
|
3 479,1
|
|
Лельчицкий
|
2,5
|
0,005
|
3 560
|
3 795,9
|
|
Лоевский
|
2
|
0,021
|
3 300
|
3 435,4
|
|
Мозырский
|
18
|
125,4
|
4 800
|
5 264,3
|
|
Наровлянский
|
2
|
0
|
3 650
|
3 759,1
|
|
Октябрьский
|
2
|
0
|
3 500
|
3 709,6
|
|
Петриковский
|
4
|
0,039
|
3 550
|
3 687,9
|
|
Речицкий
|
18
|
1,962
|
4 900
|
5 396,0
|
|
Рогачевский
|
4
|
5,138
|
3 700
|
3 903,5
|
|
Светлогорский
|
12
|
0,394
|
4 700
|
4 711,3
|
|
Хойникский
|
2,5
|
0
|
3 360
|
3 762,8
|
|
Чечерский
|
2
|
0,008
|
3 610
|
3 832,1
|
|
город Гомель
|
40
|
31,9
|
4 670
|
5 059,0
|
.показатель по энергосбережению - минус 5,1% (задание - минус 5%),
.запасы готовой продукции на 1 октября 2013 года - 44,4% к
среднемесячному объему производства (задание- 51,4%). Однако при этом отмечено
превышение на 1 октября 2013 года уровня задания по сокращению запасов готовой
продукции (51,4%) по организациям, подчиненным (подведомственным) местным
органам власти (таблица 10).
Таблица 10 - Запасы готовой продукции к среднемесячному объему
производства организаций в целом по регионам Гомельской области
|
Район
|
Удельный вес запасов готовой
продукции в среднемесячном объеме производства - всего
|
в том числе по коммунальным
организациям
|
|
на 1 октября 2012 г.
|
на 1 октября 2013 г.
|
на 1 октября 2012 г.
|
на 1 октября 2013 г.
|
|
Область (всего), в том
числе:
|
44,3
|
41,0
|
76,2
|
44,4
|
|
Брагинский
|
2,3
|
0
|
2,3
|
0
|
|
Буда-Кошелевский
|
68,4
|
69,9
|
68,4
|
69,9
|
|
Ветковский
|
67,3
|
52,6
|
0
|
0,9
|
|
Гомельский
|
459,0
|
71,6
|
644,1
|
76,8
|
|
Добрушский
|
81,1
|
68,8
|
17,9
|
17,6
|
|
Ельский
|
191,5
|
254,3
|
236,1
|
260,2
|
|
Житковичский
|
205,0
|
45,0
|
1,8
|
33,7
|
|
Жлобинский
|
74,9
|
51,2
|
45
|
85,1
|
|
Калинковичский
|
38,5
|
37,6
|
40,4
|
39,9
|
|
Кормянский
|
7,1
|
11,9
|
7,1
|
11,9
|
|
Лельчицкий
|
63,5
|
52,1
|
37,1
|
40,2
|
|
Лоевский
|
37,2
|
44,3
|
37,2
|
44,3
|
|
Мозырский
|
8,6
|
6,1
|
18,6
|
8,5
|
|
Наровлянский
|
33,7
|
50,0
|
0
|
0
|
|
Октябрьский
|
31,8
|
23,7
|
31,8
|
23,7
|
|
Петриковский
|
15,1
|
21,1
|
0,1
|
0
|
|
Речицкий
|
45,5
|
52,4
|
9,8
|
19,6
|
|
Рогачевский
|
74,0
|
39,4
|
88,4
|
39,3
|
|
Светлогорский
|
67,0
|
61,6
|
16,8
|
59,4
|
|
Хойникский
|
43,3
|
46,6
|
15,9
|
|
Чечерский
|
1,7
|
0
|
1,8
|
0
|
|
г. Гомель
|
68,6
|
88,7
|
33,6
|
31,3
|
Не выполнены следующие показатели прогноза:
.валовой региональный продукт, в процентах к 2012 году - 101,4% (задание
-106,5%) (рисунок 1),
.экспорт товаров без учета нефти, нефтепродуктов и республиканских
организаций за январь-август 2013 года, в процентах к 2012 году - 113,3%
(задание -115%).
Не достигли заданного темпа роста предприятия (организации) Гомельского,
Брагинского, Добрушского, Житковичского, Жлобинского, Кормянского, Лельчицкого,
Лоевского, Мозырского, Наровлянского, Петриковского, Хойникского районов,
города Гомеля.
Рисунок 1 - Валовой региональный продукт по Гомельской области и
Республике Беларусь
Рисунок 2 - Структура экспорта товаров в январе-августе 2013 г. в целом
по Гомельской области организациями, подчиненным местным органам управления и
без ведомственной подчиненности
3.ввод в эксплуатацию жилья за счет всех источников финансирования -
398,4 тысячи квадратных метров (задание на январь-сентябрь 2013 года -750 тысяч
квадратных метров) (таблица 4). Недостаточно принято мер по вводу в
эксплуатацию жилья в городе Гомеле горисполкома, Брагинском, Ветковском,
Гомельском, Добрушском, Жлобинском, Калинковичском, Кормянском, Лельчицком,
Мозырском, Наровлянском, Октябрьском, Петриковском, Речицком, Рогачевском,
Светлогорском, Чечерском районах (таблица 11).
Таблица 11 - Ввод в эксплуатацию жилья организаций в целом по регионам
Гомельской области
|
Регион
|
Задание на 2013 г. общей
площади кв. м
|
Введено за январь-сентябрь
2013 г. общей площади кв. м
|
% выполнения годового
задания
|
в том числе в сельских
населенных пунктах и малых городских поселениях
|
|
|
|
|
задание на 2013 г. кв. м
|
введено за январь-сентябрь
2013 г. кв. м
|
% выполнения годового
задания
|
|
Область (всего), в том
числе:
|
1 000 000
|
398 426
|
39,8
|
200 000
|
125 955
|
63,0
|
|
Брагинский
|
6 000
|
2 309
|
38,5
|
6 000
|
2 309
|
38,5
|
|
Буда-Кошелевский
|
13 000
|
7 577
|
58,3
|
1 900
|
7 577
|
в 4 р.
|
|
Ветковский
|
6 000
|
2 321
|
38,7
|
440
|
2 321
|
в 5,3 р.
|
|
Гомельский
|
70 000
|
32 280
|
46,1
|
70 000
|
32 280
|
46,1
|
|
Добрушский
|
16 000
|
7 260
|
45,4
|
1 440
|
7 260
|
в 5 р.
|
|
Ельский
|
8 000
|
5 514
|
68,9
|
1 095
|
5 514
|
в 5 р.
|
|
Житковичский
|
16 000
|
8 334
|
52,1
|
365
|
8 334
|
в 22,8р.
|
|
Жлобинский
|
97 000
|
36 058
|
37,2
|
12 520
|
7 216
|
57,6
|
|
Калинковичский
|
54 000
|
12 750
|
23,6
|
1 240
|
1 357
|
109,4
|
|
Кормянский
|
5 000
|
2 451
|
49,0
|
5 000
|
2 451
|
49,0
|
|
Лельчицкий
|
30 000
|
12 491
|
41,6
|
30 000
|
12 491
|
41,6
|
|
Лоевский
|
5 000
|
3 256
|
65,1
|
5 000
|
3 256
|
65,1
|
|
Мозырский
|
95 000
|
30 766
|
32,4
|
29 215
|
3 720
|
12,7
|
|
Наровлянский
|
3 000
|
708
|
23,6
|
900
|
708
|
78,7
|
|
Октябрьский
|
6 000
|
2 581
|
43,0
|
6 000
|
2 581
|
43,0
|
|
Петриковский
|
22 000
|
9 061
|
41,2
|
2 820
|
9 061
|
в 3,2 р.
|
|
Речицкий
|
60 000
|
22 429
|
37,4
|
5 405
|
5 770
|
106,8
|
|
Рогачевский
|
30000
|
13 601
|
45,3
|
3 775
|
755
|
20,0
|
|
Светлогорский
|
65 000
|
18 816
|
28,9
|
6 510
|
3 148
|
48,4
|
|
Хойникский
|
7 000
|
3 605
|
51,5
|
1 540
|
3 605
|
234,1
|
|
Чечерский
|
11 000
|
3 300
|
30,0
|
1 165
|
3 300
|
283,3
|
|
город Гомель
|
375 000
|
160 958
|
42,9
|
7 670
|
941
|
12,3
|
.инвестиции в основной капитал не выполнены в целом предприятиями
(организациями) города Гомеля, Ельского, Калинковичского, Мозырского,
Наровлянского, Петриковского, Светлогорского, Хойникского районов (таблица 12).
Таблица 12 - Инвестиции в основной капитал организаций в целом по
регионам Гомельской области
|
Регион
|
Всего, %
|
в том числе:
|
|
|
организации, подчиненные
республиканским органам государственного управления
|
организации, подчиненные
местным исполнительным и распорядительным органам
|
юридические лица без
ведомственной подчиненности
|
|
задание на 2013 г.
|
январь-сентябрь 2013 г.
|
январь-сентябрь 2013 г.
|
январь-сентябрь 2013 г.
|
январь-сентябрь 2013 г.
|
|
|
|
млрд. рублей
|
%
|
млрд. рублей
|
%
|
млрд. рублей
|
%
|
|
Область (всего), в том
числе:
|
112
|
122,9
|
13 145
|
124,9
|
6 229
|
120,1
|
3 506
|
120,1
|
|
Брагинский
|
114
|
162,4
|
24,9
|
281,4
|
173,9
|
151,9
|
2,2
|
в 5 р.
|
|
Буда-Кошелевский
|
94
|
186
|
378,5
|
181,7
|
220,8
|
190,4
|
54,9
|
200,5
|
|
Ветковский
|
113
|
161
|
44,7
|
226,2
|
131,1
|
142,1
|
45,1
|
179,1
|
|
Гомельский
|
112
|
135
|
261,6
|
209,8
|
396,2
|
110,3
|
266,6
|
132,5
|
|
Добрушский
|
114
|
209,9
|
196,0
|
в 3,5 р.
|
208,2
|
161,6
|
31,9
|
139,6
|
|
Ельский
|
102
|
80
|
21,3
|
194,8
|
109,9
|
63,6
|
23,3
|
248,6
|
|
Житковичский
|
70
|
71,6
|
43,5
|
101,2
|
226,1
|
55
|
103,1
|
154,6
|
|
Жлобинский
|
113
|
248,9
|
2 577,5
|
286,2
|
722,5
|
257,6
|
302,5
|
113,7
|
|
Калинковичский
|
110
|
79,9
|
174,8
|
62,9
|
213,9
|
92,1
|
78,3
|
105,8
|
|
Кормянский
|
114
|
175
|
6,1
|
52,1
|
127,6
|
188,5
|
16,8
|
255,1
|
|
Лельчицкий
|
113
|
160,6
|
30,9
|
107,3
|
201,1
|
201,1
|
61,2
|
113,9
|
|
Лоевский
|
112
|
215,6
|
12,2
|
173,5
|
153,0
|
220,6
|
8,4
|
202,4
|
|
Мозырский
|
114
|
96,2
|
1 735,0
|
94,9
|
537,2
|
104,6
|
192,9
|
87,3
|
|
Наровлянский
|
113
|
70,5
|
11,0
|
107,1
|
76,9
|
64,6
|
4,8
|
220,7
|
|
Октябрьский
|
114
|
184,6
|
139,1
|
182,4
|
132,8
|
185,6
|
194,8
|
|
Петриковский
|
115
|
108
|
150,5
|
125,3
|
161,3
|
84,2
|
68,9
|
168,3
|
|
Речицкий
|
102
|
141,3
|
3 425,9
|
146
|
281,5
|
118,1
|
208,7
|
111,2
|
|
Рогачевский
|
111
|
116,3
|
105,7
|
57,9
|
398,4
|
149,6
|
62,6
|
162,7
|
|
Светлогорский
|
115
|
97,8
|
1 556,8
|
91,9
|
297,2
|
167,2
|
90,9
|
77,2
|
|
Хойникский
|
94
|
84,5
|
123,4
|
68,5
|
222,9
|
96,2
|
2,2
|
250
|
|
Чечерский
|
94
|
100,5
|
5,8
|
44
|
166,0
|
93,5
|
22,8
|
в 8,3 р.
|
|
город Гомель
|
113
|
104,6
|
1 932,5
|
98,4
|
1 070,3
|
101,3
|
1 294,7
|
119,2
|
В ряде районов Гомельской области наблюдается снижение финансовых
результатов хозяйственной деятельности предприятий (организаций), что оказывает
влияние на выполнение регионами области таких показателей как выручка, чистая
прибыль, рентабельность продаж (таблица 13).
Таблица 13 - Финансовые показатели деятельности организаций в целом по
регионам Гомельской области
|
Район
|
Темп роста за январь-август
2013 г., %
|
Рентабельность продаж, %
|
Количество убыточных
организаций, единиц
|
|
выручки от реализации
товаров, работ, услуг
|
себестоимости
|
январь-июль 2013 г.
|
январь-август 2013 г
|
январь-август 2012 г
|
январь-июль 2013 г.
|
январь-август 2013 г
|
январь-август 2012 г
|
|
Область
|
110,0
|
113,1
|
8,5
|
8,6
|
10,8
|
66
|
81
|
71
|
|
г.Гомель
|
107,9
|
108,7
|
10,8
|
11,0
|
11,7
|
28
|
41
|
34
|
|
Жлобинский
|
98,5
|
107,2
|
3,0
|
2,9
|
10,8
|
5
|
6
|
3
|
|
Мозырский
|
108,1
|
114,2
|
9,1
|
8,7
|
12,5
|
4
|
5
|
5
|
|
Речицкий
|
132,6
|
131,5
|
5,8
|
5,7
|
6,7
|
3
|
3
|
3
|
|
Светлогорский
|
118,1
|
116,7
|
2,2
|
2,2
|
1,5
|
4
|
5
|
5
|
|
Б-Кошелевский
|
115,8
|
131,0
|
0
|
-0,3
|
10,4
|
3
|
3
|
2
|
|
Гомельский
|
130,7
|
133,7
|
4,1
|
4,6
|
6,4
|
0
|
0
|
2
|
|
Добрушский
|
111,0
|
118,1
|
3,8
|
3,7
|
9,0
|
3
|
3
|
0
|
|
Житковичский
|
126,8
|
133,3
|
4,0
|
4,3
|
8,2
|
6
|
5
|
3
|
|
Калинковичский
|
127,5
|
121,1
|
9,3
|
9,4
|
5,1
|
1
|
1
|
2
|
|
Петриковский
|
132,3
|
131,9
|
5,7
|
6,7
|
7,1
|
1
|
1
|
0
|
|
Рогачевский
|
119,1
|
117,1
|
8,3
|
8,2
|
7,4
|
3
|
3
|
5
|
|
Брагинский
|
120,5
|
130,9
|
4,4
|
4,1
|
10,7
|
0
|
0
|
0
|
|
Ветковский
|
166,0
|
167,8
|
6,1
|
5,5
|
6,4
|
0
|
0
|
1
|
|
Ельский
|
128,7
|
129,6
|
5,6
|
5,6
|
6,2
|
0
|
0
|
1
|
|
Кормянский
|
125,1
|
131,7
|
1,6
|
1,7
|
6,3
|
0
|
0
|
0
|
|
Лельчицкий
|
152,3
|
152,7
|
4,7
|
5,2
|
5,7
|
1
|
1
|
2
|
|
Лоевский
|
116,9
|
119,6
|
2,3
|
2,5
|
4,7
|
1
|
1
|
1
|
|
Наровлянский
|
133,9
|
138,3
|
5,0
|
4,5
|
7,5
|
1
|
1
|
1
|
|
Октябрьский
|
117,0
|
114,9
|
8,9
|
9,2
|
7,2
|
0
|
0
|
1
|
|
Хойникский
|
126,3
|
130,0
|
3,5
|
3,5
|
6,4
|
1
|
1
|
0
|
|
Чечерский
|
122,3
|
126,1
|
7,4
|
7,2
|
9,7
|
1
|
1
|
0
|
В Брагинском, Буда-Кошелевском, Добрушском, Житковичском, Жлобинском,
Лоевском, Октябрьском, Речицком, Рогачевском, Чечерском районах высокий
удельный вес количества организаций (выше среднеобластного уровня), снизивших
за январь-август 2013 года выручку от реализации продукции (работ, услуг) в
расчете на одного среднесписочного работника по сравнению с январем-августом
2012 года.
Снижение чистой прибыли за январь-август 2013 года по сравнению с
январем-августом 2012 года отмечено в организациях, расположенных на
территориях следующих административно-территориальных единиц: города Гомеля,
Буда-Кошелевского, Гомельского, Добрушского, Житковичского, Жлобинского, Кормянского,
Мозырского, Хойникского районов.
В январе-августе 2013 года наблюдается рост числа убыточных организаций
по сравнению с аналогичным периодом 2012 года в городе Гомеле,
Буда-Кошелевском, Добрушском, Житковичском, Жлобинском, Петриковском, Хойникском,
Чечерском районах.
2.2 Оценка текущей инвестиционной привлекательности Гомельской области
Количественная оценка текущей инвестиционной привлекательности региона
может быть проведена с помощью сводного, интегрального показателя, который
формируется множеством частных факториальных признаков, измеряемых
соответствующими показателями.
Интегральный показатель определяется путем свода числовых значений
отдельных частных показателей инвестиционной привлекательности. Числовое
значение интегрального показателя инвестиционной привлекательности по
республике в целом принимается за 1,00 или за 100%, а значения интегральных
показателей для регионов определяются по отношению к среднереспубликанскому
уровню.
В качестве числовых характеристик частных показателей инвестиционной
привлекательности регионов целесообразно принять данные государственной
статистики или производные от них. При этом необходимо обеспечить преобладание
отчетных данных государственной статистики в общем массиве используемых данных.
При отсутствии в государственной статистике данных за последний истекший
год допускается применение данных за предшествующий год.
Примерный состав индикаторов для определения текущей интегральной
инвестиционной привлекательности приводится в таблице 14.
Таблица 14 - Примерный состав инвестиционно значимых показателей для
определения интегрального уровня инвестиционной привлекательности региона
|
№п/п
|
Наименование частных
показателей
|
Показатели государственной
статистики
|
|
1
|
2
|
3
|
|
А. Показатели
инвестиционного потенциала региона
|
|
I. Показатели
производственно-финансового потенциала региона
|
|
1
|
Объем промышленного
производства
|
Объем продукции
промышленности на душу населения региона
|
|
2
|
Темпы изменения объема
промышленного производства
|
Годовой темп изменения,
исходя из объемов в сопоставимых ценах
|
|
3
|
Уровень развития малого
предпринимательства
|
Доля занятых на малых
предприятиях в общей численности экономически активного населения
|
|
4
|
Доля убыточных предприятий
|
Удельный вес предприятий и
организаций, закончивших год с убытком, в общем количестве предприятий и
организаций
|
|
5
|
Объем розничного
товарооборота
|
Объем розничного
товарооборота на душу населения
|
|
6
|
Экспорт продукции
|
Экспорт на душу населения
региона
|
|
7.
|
Инвестиции в основной
капитал
|
Инвестиции в основной
капитал на душу населения региона
|
|
II. Показатели социального
потенциала региона
|
|
7
|
Обеспеченность населения
жильем
|
Жилье (кв.м. общей площади)
на душу населения
|
|
8
|
Обеспеченность населения
легковыми автомобилями
|
Количество легковых
автомобилей в собственности граждан на 1000 чел. населения
|
|
9
|
Обеспеченность населения
домашними телефонными аппаратами сети общего пользования
|
Количество личных
(неслужебных) телефонных аппаратов (номеров) сети общего пользования на 1000
семей
|
|
10
|
Объем платных услуг для
населения
|
Стоимостной объем платных
услуг на душу населения
|
|
11
|
Уровень жизни населения
региона
|
Соотношение среднедушевых
располагаемых ресурсов и величины прожиточного минимума
|
|
III. Показатели
природно-географического потенциала региона
|
|
12
|
Объем природных запасов
нефти и газа (углеводородных ресурсов)
|
Объем природных запасов
нефти и газа с учетом рентабельности разработки месторождений
|
|
13
|
Наличие природных запасов
минерально-сырьевых ресурсов кроме углеводородных
|
Объем природных запасов
минерально-сырьевых ресурсов кроме углеводородных с учетом рентабельности
разработки месторождений
|
|
14
|
Географическое положение
региона по отношению к внешнеторговым выходам
|
Балльная оценка, основанная
на объективных природно-географических признаках
|
|
15
|
Доля малоимущего населения
|
Доля населения с денежными
доходами ниже величины прожиточного минимума
|
|
16
|
Уровень преступности
|
Комплексный показатель,
интегрирующий: 1) число зарегистрированных преступлений на 100 тыс.
населения; 2) число наиболее тяжких преступлений на 100 тыс. населения
|
|
17
|
Уровень экологической
загрязненности и дискомфортности климата в регионе
|
Комплексный показатель,
интегрирующий три экологические характеристики по данным государственной
статистики (сброс загрязненных сточных вод и т.п.) и одну балльную
климатическую характеристику
|
|
18
|
Уровень конфликтности
трудовых отношений
|
Доля участвовавших в
забастовках в общей численности работников предприятий
|
|
19
|
Отношение населения региона
к процессам формирования рыночной экономики
|
Разность между долями (в %)
голосов, отданных в регионе на последних выборах за списки, поддерживающих
формирование рыночной экономики, и против них
|
Для приведения частных показателей к сопоставимому виду используется
процедура стандартизации (нормализации) их значений путем отнесения числового
значения каждого частного показателя по данному региону к значению этого
показателя по республике в целом. В результате указанной процедуры числовые
значения всех показателей преобразуются в безразмерные относительные величины,
характеризующие отношение числового значения каждого частного показателя по
региону к числовому значению этого же показателя по республике. Значение
каждого стандартизованного показателя в среднем по республике, соответственно,
равно 1,00 (единице).
Исходя из данных Национального статистического комитета за 2011 г. и в
соответствии с изложенной выше методикой, осуществим комплексную оценку
инвестиционной привлекательности Гомельской области(таблица15).
Таблица 15 - Определение интегрального уровня инвестиционной
привлекательности Гомельской области
|
Ед. измер.
|
Наименование и значение
областного показателя
|
Наименование и значение
республиканского показателя
|
Стандартизированное значение
(п.2/п3)
|
|
1
|
2
|
3
|
4
|
|
1.Валовый внутренний
продукт на душу населения (v)
|
|
Млрд. руб.
|
30 779,5/1429,7=21,53
|
274 282/9465=28,98
|
0,74
|
|
2. Годовой темп изменения
валового внутреннего продукта (∆v)
|
|
%
|
104,4
|
105,3
|
0,99
|
|
3. Доля занятых на малых
предприятиях в общей численности экономически активного населения (z)
|
|
Тыс.чел.
|
71,042/668,3=0,106
|
794,743/4686=0,170
|
0,62
|
|
4.Удельный вес убыточных
организаций в общем количестве организаций (u)
|
|
%
|
3,1
|
5,4
|
|
|
5. Объем розничного
товарооборота через все каналы реализации на душу населения (r)
|
|
млрд. руб.
|
13 561,9/1429,7=9,49
|
22 899/9465=2,42
|
3,92
|
|
6. Экспорт продукции на
душу населения (e)
|
|
Млн.долл.США
|
7 903/1429,7=5,53
|
41 419/9465=4,38
|
1,26
|
|
7. Инвестиции в основной
капитал на душу населения (i)
|
|
Млрд. руб.
|
13587,5/1429,7=9,5
|
98665/9465=10,42
|
0,91
|
|
8.Обеспеченность населения
жильем (g)
|
|
кв.м./чел
|
24,9
|
25
|
1
|
|
9.Обеспеченность городского
населения квартирными телефонными аппаратами (t)
|
|
Ед./тыс. чел.
|
371
|
370
|
1
|
|
10.Объем платных услуг
населению на душу населения (p)
|
|
Млрд. руб.
|
2599,3/1429,7=1,82
|
21519,7/9465=2,27
|
0,8
|
|
11. Число
зарегистрированных преступлений на 1000 населения (zp)
|
|
Тыс. ед.
|
18/1000=0,018
|
132,1/1000=0,1321
|
|
Воспользуемся следующей формулой для определения интегрального показателя
инвестиционной привлекательности Гомельской области:
где К1, К2, … Кn - частные показатели, а
именно: финансовые, экономические, политические;1, l2, …
ln - веса частных показателей.
.3 Сравнительная характеристика инвестиционной привлекательности регионов
Республики Беларусь
Таблица 16 - Выполнение прогнозных показателей Гомельской области и
рейтинг их выполнения среди областей Республики Беларусь в первом полугодии
2013 года
|
Показатели
|
прогноз
|
факт январь-июль
|
Отклонение (+/-)
|
Место
|
|
1. Валовой региональный
продукт, %
|
106,51
|
101,6
|
-4,9 п.п.
|
4
|
|
2. Прямые иностранные
инвестиции на чистой основе (без учета задолженности), млн. долл.
|
1601
|
168,2*(105,1%)
|
+88,2 млн.$ (+55,1 п.п.)
|
3
|
|
3. Номинальная начисленная
среднемесячная заработная плата, тыс. рублей
|
42901
|
4560,3*
|
+207,3 тыс. руб.
|
3
|
|
4. Экспорт товаров (без
учета нефти, нефтепродуктов и республиканских организаций), %
|
1151 (I
полугодие - 114)
|
114,2*
|
+0,2 п.п.
|
4
|
|
5. Экспорт услуг (без учета
республиканских организаций),%
|
1061 (I полугодие
- 120)
|
137,3*
|
+17,3 п.п.
|
2
|
|
6. Экспорт строительных,
инженерных и архитектурных услуг, тыс. долл. США
|
38 7002 (I
полугодие расчетно - 19 350 или 50%)
|
10 455,2*(27%)
|
-8 849,8 тыс.$ (-23 п.п.)
|
2
|
|
7. из них оказываемых при
возведении объектов жилищного строительства за пределами территории
Республики Беларусь
|
38 5002 (I
полугодие расчетно - 19 250 или 50%)
|
4 410,4*(11,5%)
|
-14 839,6 тыс.$ (-38,5
п.п.)
|
1
|
|
8. Экспорт товаров на новые
перспективные рынки, тыс. долларов США
|
6 0003 (I
полугодие расчетно - 3 000 или 50%)
|
237,3*(4%)
|
-2 762,7 тыс.$ (-46 п.п.)
|
7
|
|
9. Показатель по
энергосбережению, %
|
-74 (I полугодие
- минус 3)
|
-4,9*
|
+1,9 п.п.
|
5
|
|
10. Доля использования
местных топливно-энергетических ресурсов в котельно-печном топливе, %
|
30,14 (I
полугодие - 28)
|
32,9*
|
+4,9 п.п.
|
1
|
|
11. Экономия светлых
нефтепродуктов (бензина, дизельного и биодизельного топлива), %
|
-74 (I квартал
- минус 2)
|
-3,7**
|
+1,7 п.п.
|
5
|
|
12. Ввод в эксплуатацию
общей площади жилых домов, тыс. кв. метров, в том числе:
|
10005 (I
полугодие - 500 или 50%)
|
338,9 (33,9%)
|
-161,1 тыс. м2 (-16,1
п.п.)
|
5
|
|
13. в сельских населенных
пунктах и малых городских поселениях
|
2005 (I
полугодие - 100 или 50%)
|
102,7 (51,4%)
|
+2,7 тыс.м2 (+1,4п.п.)
|
5
|
|
14. для граждан, состоящих
на учете нуждающихся в улучшении жилищных условий, осуществляющих жилищное
строительство с государственной поддержкой
|
3805 (I
полугодие - 190 или 50%)
|
168,2 (44,3%)
|
-21,8 тыс.м2 (-5,7
п.п.)
|
5
|
|
15. для граждан, состоящих
на учете нуждающихся в улучшении жилищных условий в многоквартирных жилых домах,
в городах
|
4655 (I
полугодие - 232,5 или 50%)
|
127,3 (27,4%)
|
-105,2 тыс.м2 (-22,6
п.п.)
|
5
|
|
16. Соотношение запасов
готовой продукции и среднемесячного объема производства, %
|
556 (6 месяцев -
53,6)
|
73,9
|
-20,3 п.п.
|
7
|
|
* данные за январь-июнь
2013 года ** данные за январь-март 2013 года
|
|
1
Показатели прогноза, утвержденные постановлением Совета Министров РБ от 6
ноября 2012 г. №1021.
2
Задания, установленные постановлением Совета Министров РБ от 21 октября 2011 г.
№1409 (показатели по экспорту строительных услуг).
3
Задание, установленное постановлением Совета Министров РБ от 20 мая 2013 г.
№396 (показатели по экспорту товаров на новые перспективные рынки).
4
Задания, утвержденные постановлением Совета Министров РБ от 30 декабря 2012 г.
№1260 (показатели по энергосбережению).
5
Задания, установленные постановлением Совета Министров РБ от 6 ноября 2012 г.
№1023 (по вводу жилья).
6
Задание, утвержденное протоколом заседания Совета Министров РБ от 14 июня 2013
г. №2 (по запасам).
. НАПРАВЛЕНИЯ ПОВЫШЕНИЯ ИНВЕСТИЦИОННОЙ ПРИВЛЕКАТЕЛЬНОСТИ ГОМЕЛЬСКОЙ
ОБЛАСТИ
При исследовании сравнительной инвестиционной привлекательности регионов
применяется широкий набор показателей, таких, как объем ВВП, структура
экономики, обеспеченность природными ресурсами, состояние инфраструктуры,
участие государства в экономике и т.п.
В связи с тем, что на инвестиционный климат регионов оказывают влияние
различные факторы и условия, многие из которых подвержены быстрым изменениям,
разовое, однократное определение инвестиционного климата не может служить
ориентиром для принятия каких-либо решений по инвестициям. Поэтому при оценке
инвестиционного климата регионов необходимо проведение регулярных,
периодических наблюдений, т.е. мониторинга инвестиционного климата.
Оценка инвестиционного климата должна учитывать следующие аспекты:
. Инвестиционный климат страны и регионов рассматривается, как правило, с
позиции абстрактного стратегического инвестора, стремящегося к ускоренному,
максимальному, беспрепятственному получению прибыли, в то время как для разных
инвесторов необходима своя оценка инвестиционного климата.
. Получатель инвестиций и инвестор преследуют, как правило, неодинаковые
цели. Первый стремится решить комплекс социально-экономических задач при
минимуме привлекаемых средств, второй желает извлечь максимум прибыли и
закрепиться на рынках, в экономических системах на длительный период.
Следовательно, инвестиционный климат должен соответствовать балансу интересов
участников инвестиционного процесса.
. Существует объективная потребность сопряжения инвестиций с
инновационными факторами развития. Особенно актуально это при привлечении
инвестиций в сферу малого инновационного предпринимательства.
. Инвестиции должны быть увязаны с развитием человеческого капитала,
ростом квалификации работников во всех сферах жизнедеятельности, что нужно
учитывать при создании соответствующего инвестиционного климата страны или ее
региона.
. Необходима комплексная оценка эффективности использования привлекаемых
инвестиций и благоприятности инвестиционного климата.
Приоритетными направлениями привлечения инвестиций в экономику региона
являются:
· реализация крупных инвестиционных проектов;
· развитие и модернизация традиционной промышленной базы;
· организация новых производств, которые основываются на нетрадиционных
для региона технологиях, способствуют разрешению структурных проблем экономики
(развитие отсталых в экономическом или социальном плане территорий,
способствуют повышению занятости населения, улучшению экологической ситуации и
т.д.) или насыщают рынок качественно новыми товарами или услугами.
Реализация каждого из направлений использования инвестиций нуждается в
разграничении степени государственного вмешательства. Осуществление крупных
инвестиционных проектов требует как усилий со стороны региональных органов
власти, так и жесткого государственного контроля. Контроль со стороны
правительства должен быть опосредован финансовыми интересами государства.
Третье направление нуждается лишь в создании эффективной обезличенной системы
государственной поддержки и выработке своеобразных правил игры, возможно, более
лояльных к иностранным инвестициям, чем общепринятые нормы.
На протяжении последних десяти лет в Республике Беларусь приняты
серьезные меры по улучшению инвестиционного климата страны и ее регионов.
Мероприятия, направленные на повышение привлекательности страны для
отечественных и зарубежных инвесторов (совершенствование законодательной базы,
пилотный проект по внедрению международных стандартов в процесс приватизации,
формирование приоритетов и специализированных субъектов привлечения инвестиций,
а также многое другое) существенно повлияли на улучшение инвестиционного
климата в стране. В результате Республика Беларусь ежегодно улучшает свои
позиции в исследовании Всемирного банка и Международной финансовой корпорации
Doingbusiness.
Вместе с тем, остается не решенной проблема адекватного восприятия
иностранными инвесторами инвестиционного климата и происходящих в нем перемен к
лучшему. Ситуация обусловлена недостаточным и порой неэффективным информационным
сопровождением происходящих в Республике Беларусь процессов, отсутствием
информации о реальном состоянии дел и возможностях Республики Беларусь по
привлечению инвестиций.
Исходя из вышеизложенного необходимо:
1. Формировать инвестиционный имидж у иностранных инвесторов о
привлекательном инвестиционном климате на территории Республики Беларусь и
региона, посещая действующие, преуспевающие предприятия с иностранным
капиталом.
2. Органам исполнительной власти и деловым кругам районов, ежегодно,
участвовать не менее чем в одной Национальной выставке Республики Беларусь в
странах с высоким инвестиционным потенциалом;
3. Проводить регулярные презентации региона и инвестиционных проектов
предприятий для иностранных и отечественных инвесторов путем проведения
ежегодных инвестиционных форумов;
. Популизировать в средствах массовой информации, прежде всего
электронных, инвестиционную привлекательность региона и объектов инвестирования
на позитивных примерах действующих предприятий с иностранным капиталом;
5. Активно использовать потенциал Министерства иностранных дел Республики
Беларусь и загранучреждений Республики Беларусь, направлять в их адрес
коммерческие предложения предприятий района, оформленные в соответствии с
требованиями Министерства иностранных дел Республики Беларусь;
6.