Оборудование для влажностно-тепловой обработки швейных изделий

  • Вид работы:
    Курсовая работа (т)
  • Предмет:
    Другое
  • Язык:
    Русский
    ,
    Формат файла:
    MS Word
    29,41 Кб
  • Опубликовано:
    2013-12-05
Вы можете узнать стоимость помощи в написании студенческой работы.
Помощь в написании работы, которую точно примут!

Оборудование для влажностно-тепловой обработки швейных изделий

Министерство образования и науки Российской Федерации

Федеральное государственное бюджетное образовательное учреждение высшего профессионального образования

Ростовский государственный строительный университет

Институт Экономики и управления

Кафедра «Финансы и кредит»





КУРСОВАЯ РАБОТА

по дисциплине «Инвестиции»

Тема:

Проблемы роста инвестиционной привлекательности субъектов федерации


Выполнила студентка Сефералиева С.С.

ИЭиУ, 3 курс, гр. ФК-329

Руководитель работы

Доцент, к.э.н. Лисицкая Т.С.




Ростов-на-Дону - 2013

СОДЕРЖАНИЕ

ВВЕДЕНИЕ

ГЛАВА 1.ТЕОРЕТИЧЕСКИЕ АСПЕКТЫ ОЦЕНКИ ИНВЕСТИЦИОННОЙ ПРИВЛЕКАТЕЛЬНОСТИ РЕГИОНОВ

.1 Основные понятия и сущность инвестиционной привлекательности

.2 Регион как объект приоритетного инвестировании

ГЛАВА 2. МЕТОДОЛОГИЧЕСКИЕ ПОДХОДЫ К ОЦЕНКЕ ИНВЕСТИЦИОННОЙ ПРИВЛЕКАТЕЛЬНОСТИ РЕГИОНОВ

.1 Критерии и факторы оценки инвестиционной привлекательности регионов

.2 Анализ современных методик оценки инвестиционной привлекательности регионов

ГЛАВА 3. ИССЛЕДОВАНИЕ ИНВЕСТИЦИОННОЙ ПРИВЛЕКАТЕЛЬНОСТИ

ЗАКЛЮЧЕНИЕ

СПИСОК ИСПОЛЬЗОВАННЫХ ИСТОЧНИКОВ

ПРИЛОЖЕНИЕ 1

ПРИЛОЖЕНИЕ 2

ПРИЛОЖЕНИЕ 3

ВВЕДЕНИЕ

Актуальность темы исследования. Тема данной курсовой работы является актуальной на сегодняшний день, так как способствует глубокому пониманию происходящих в экономике процессов. К усилению роли региональных органов власти в регулировании экономических процессов, привела децентрализация государственного управления страны в целом. Различия в социально-экономическом развитии каждого региона дают необходимость для формирования сбалансированной региональной инвестиционной политики. Региональные органы обязаны стимулировать и регулировать инвестиционные процессы, а также формировать благоприятные условия для привлечения необходимого объема инвестиций в промышленность региона.

В долгосрочной перспективе региональные инвестиционные программы должны способствовать снижению социально-экономической дифференциации регионов, а также должны быть направлены на саморазвитие регионов.

Цель и задачи исследования. Целью моей курсовой работы является анализ современного состояния в области разработки методик оценки инвестиционной привлекательности регионов. Задачей является выявление существующих проблем и пути их преодоления, совершенствования.

Теоретическую и методологическую основу исследования составляют труды отечественных и зарубежных ученых, занимающихся теоретическими и практическими аспектами оценки инвестиционной привлекательности регионов.

Эмпирическую базу исследования составили статистические и другие информационные источники, законодательные акты и нормативно-правовые документы, регулирующие инвестиционную привлекательность регионов.

Структура и объем работы. Курсовая работа состоит из введения, трех глав, заключения, списка использованной литературы, включая схему и таблицы. В первой главе раскрываются понятия инвестиций, инвестиционной деятельности, региона, инвестиционной привлекательности. Во второй главе - подходы к оценке инвестиционной привлекательности регионов, выявлению их сильных и слабых сторон. В третьей главе дается краткий обзор современной практики повышения инвестиционной привлекательности отельных субъектов РФ.

ГЛАВА 1. ТЕОРЕТИЧЕСКИЕ АСПЕКТЫ ОЦЕНКИ ИНВЕСТИЦИОННОЙ ПРИВЛЕКАТЕЛЬНОСТИ РЕГИОНОВ

.1 Основные понятия и сущность инвестиционной привлекательности

Сегодня привлечение инвестиций в реальный сектор экономики - вопрос ее выживания. Будут инвестиции - будет развитие реального сектора, а следовательно, будет и экономический подъем. Не удастся привлечь - неминуемо умирание производств, деградация экономики, обнищание страны, социальные взрывы и прочие сопутствующие явления. Любое, даже самое незначительное, повышение инвестиционной привлекательности - это дополнительные средства, позволяющие сделать шаг к выходу из кризиса. Но шаг - это всего лишь шаг: после него инвестиционная привлекательность остается статичной величиной, хотя и несколько более высокой. Спасти положение дел может лишь динамичное устойчивое движение, а не отдельные шаги. Только в этом случае отдельные порции инвестиций могут превратиться в поток. Осуществить это возможно, лишь управляя процессом повышения инвестиционной привлекательности. Именно поэтому вопрос управления инвестиционной привлекательностью - ключевой вопрос текущего момента.

Традиционно понятие инвестиционная привлекательность означает наличие таких условий инвестирования, которые влияют на предпочтения инвестора в выборе того или иного объекта инвестирования. Объектом инвестирования может выступать отдельный проект, предприятие в целом, корпорация, город, регион, страна. Нетрудно выделить то общее, что ставит их в один ряд: наличие собственного бюджета и собственной системы управления. Объект каждого уровня (и, соответственно, его инвестиционная привлекательность) обладает собственным набором значимых свойств, но регион в этом ряду занимает особое место: в силу особенностей он имеет свою специфику, и в то же самое время, в силу целостности структуры не является уникальным. Именно эта особенность позволяет сравнивать регионы между собой.

Инвестиционная привлекательность регионов - интегральная характеристика отдельных регионов страны с позиции инвестиционного климата, уровня развития инвестиционной инфраструктуры, возможностей привлечения инвестиционных ресурсов и других факторов, существенно влияющих на формирование доходности инвестиций и инвестиционных рисков. Оценка инвестиционной привлекательности отдельных регионов осуществляется при разработке инвестиционной стратегии компании.

Каждый инвестиционный проект имеет конкретную направленность и с наибольшей эффективностью может быть реализован в тех регионах, где для этого имеются наилучшие условия. Поэтому важную роль в процессе обоснования стратегии инвестиционной деятельности компаний и фирм играет оценка и прогнозирование инвестиционной привлекательность регионов.

Оценка и прогнозирование инвестиционной привлекательности регионов должны быть непосредственно увязаны с государственной региональной политикой. Целью этой политики является обеспечение эффективного развития регионов с учетом рационального использования разнообразных экономических возможностей каждого из них. В соответствии с этой целью, задачами государственной политики регионального развития является реконструкция старых промышленных регионов; стимулирование развития экспортных и импортозаменяющих производств тех регионов, которые имеют для этого наилучшие условия.

Определение инвестиционной привлекательности региона разбивается на следующие основные этапы:

-  определяется доля основных фондов каждой отрасли, существующей в рассматриваемом регионе, в общероссийском объеме основных фондов данной отрасли;

-       исходя из объема капиталовложений в данную отрасль по всей России рассчитывается нормативная величина капиталовложений в данную отрасль данного региона (произведение доли основных фондов данной отрасли, приходящейся на рассматриваемый регион, в общероссийском объеме основных фондов этой отрасли, на общероссийский объем капиталовложений, осуществленных в данную отрасль);

-       суммированием нормативных величин капиталовложений всех отраслей, существующих в данном регионе, рассчитывается нормативная величина капиталовложений в данный регион;

-       суммированием реальных величин капиталовложений всех отраслей, существующих в данном регионе, рассчитывается реальная величина капиталовложений в данный регион;

-       осуществляется группировка и сопоставление регионов по величине реальных и нормативных капиталовложений.

Во многих методиках интегральная оценка инвестиционной привлекательности определяется сравнением эффективности вложений. В этом случае позиция России близка позициям Ирака, Нигерии, Венесуэлы. К этой же группе можно отнести и тех, кто предлагает определять инвестиционную привлекательность через уровень прибыли от вложения капиталов или через мультипликаторы макроэкономических процессов. Такой подход отличается узкой сферой применения, поскольку для получения адекватных результатов требуется, чтобы инвестиции осуществлялись только в виде финансовых вложений и с одинаковой степенью риска. Поскольку инвестиции в регион должны носить преимущественно реальный характер, то применение такого подхода представляется невозможным.

Очень необычной представляется методика оценки инвестиционной привлекательности регионов, основанная на инвестиционном имидже регионов. Здесь предлагается создание желаемого уровня привлекательности путем творческого подхода, взятого, прежде всего, из психологии. Для этих целей рекомендуется использовать опыт известных имиджмейкеров. Такой подход базируется только на социально-психологическом восприятии инвестора. Однако инвестора, прежде всего, интересует результат вложений, а не «престижность» объекта инвестирования. Учитывая это, использование данного подхода для оценки инвестиционной привлекательности считается невозможным; его применение возможно при управлении инвестиционной привлекательностью региона в целях создания желаемого мнения о региональном развитии. Однако даже это применение невозможно без мероприятий экономического характера.

1.2 Регион как объект приоритетного инвестирования

В рамках данной работы регион является объектом инвестирования. Необходимо подчеркнуть, что понятие региона в настоящее время толкуется неоднозначно как в правовых документах, так и в экономической литературе. Можно выделить несколько подходов к данному определению.

В указе Президента РФ «Об основных положениях региональной политики в Российской Федерации» от 3 июня 1996 г. №803 регион понимается как часть Российской Федерации, обладающую общностью природных, социально-экономических, национально-культурных и иных условий. Зарубежный исследователь А.Г. Гранберг дает более общее определение региону, как определенной территории, отличающейся от других территорий по ряду признаков и обладающей некоторой целостностью, взаимосвязанностью составляющих ее элементов. При этом опирается на переводное значение слова «регион» с латинского, что означает - страна, край, область, и выводит иерархию регионов, расширяя их границы по мере возвышения по иерархической лестнице.

По мнению А.И. Добрынина, регион - это территориально специализированную часть народного хозяйства страны, которая характеризует единство и целостность воспроизводственного процесса. По их мнению А.С. Маршалова и А.С. Новоселова, регион - это не просто подсистема социально-экономического комплекса страны, но и относительно самостоятельная его часть с законченным циклом воспроизводства, особыми формами проявления стадий воспроизводства и специфическими особенностями протекания социальных и экономических процессов.

Экономическая трактовка подразумевает под регионом часть территории, где существует система связи между хозяйственными субъектами, подсистему всего социально-экономического комплекса страны, сложный территориально-экономический комплекс со своей структурой связи с внешней и внутренней средой.

Как подразумевает экономическая трактовка, регион - часть территории, где существует система связи между хозяйственными субъектами, подсистема всего социально-экономического комплекса страны, а также сложный территориально-экономический комплекс со своей структурой связи с внешней и внутренней средой.

Э. Куклински рассматривает регионы как составные части пространственной экономической системы, где господствуют силы конкуренции. «Регионы, которые - благодаря своей более высокой конкурентоспособности - могут привлечь значительную долю отечественного и зарубежного рынка. Таким образом, регионы можно в принципе рассматривать как острова инноваций и духа предпринимательства в более широком контексте пространственной сети». Данное определение региона напрямую связано с темой настоящей работы. Для целей работы так же полезным будет и другое определение, регион - целостная система со своими структурой, функциями, связями с внешней средой, историей, культурой, условиями жизни населения. Эта система характеризуется высокой размерностью; большим количеством взаимосвязанных подсистем различных типов с локальными целями; многоконтурностью управления; иерархичностью структуры; значительным запаздыванием координирующих воздействий при высокой динамичности элементов; неполной определенностью состояний элементов.

Однако очевидно, что сам регион как некая система не будет выступать объектом инвестирования. Объект должен быть более конкретным.

Следовательно, применительно к теме настоящего исследования в роли объекта инвестирования следует рассматривать какое-либо имущество, собственность, принадлежащая региону.

Влияние на инвестиционную привлекательность региона, как объекта инвестирования, можно рассматривать в разрезе двух укрупненных факторов: внешних (федеральный уровень, государство в целом) и внутренних (локальных).

ГЛАВА 2. МЕþТОþþДОþþЛОþþГИЧЕþСКИЕþ ПОþþДХОþþДЫ К ОþþЦЕþНКЕþ ИНВЕþСТИЦИОþþННОþþЙ ПРИВЛЕþКАТЕþЛЬНОþþСТИ РЕþГИОþþНОþþВ

2.1 Критеþрии и фактоþþры оþþцеþнки инвеþстициоþþнноþþй привлеþкатеþльноþþсти реþгиоþþноþþв

В настоþþящеþеþ вреþмя всякоþþгоþþ роþþда реþйтинги, будь тоþþ реþйтинги банкоþþв, преþдприятий, либоþþ дажеþ стран, стали унивеþрсальными индикатоþþрами при оþþцеþнкеþ соþþстоþþяния экоþþноþþмики. Слеþдуеþт признать, оþþднакоþþ, чтоþþ поþþдбоþþр критеþриеþв оþþцеþнки, а такжеþ интеþрпреþтация реþзультатоþþв, поþþлучеþнных в реþзультатеþ такоþþй оþþцеþнки, моþþжеþт преþдставлять неþкую трудноþþсть. Неþ всеþгда за итоþþгоþþвым интеþгральным значеþниеþм моþþжноþþ увидеþть причинноþþ-слеþдствеþнныеþ связи и теþндеþнции развития тоþþгоþþ или иноþþгоþþ инвеþстициоþþнноþþгоþþ коþþмплеþкса. Теþм неþ меþнеþеþ, реþйтинги, оþþцеþнивающиеþ инвеþстициоþþнную привлеþкатеþльноþþсть или оþþтдеþльныеþ еþеþ коþþмпоþþнеþнты, поþþлучили широþþкоþþеþ признаниеþ и активноþþ испоþþльзуются инвеþстоþþрами при принятии реþшеþний оþþб инвеþстироþþвании.

Как указывалоþþсь вышеþ, коþþличеþствоþþ фактоþþроþþв, поþþ сути, моþþжеþт быть беþзграничным, оþþднакоþþ в соþþстав поþþказатеþлеþй инвеþстициоþþнноþþй привлеþкатеþльноþþсти включаются тоþþлькоþþ инвеþстициоþþнноþþ-значимыеþ фактоþþры, тоþþ еþсть оþþказывающиеþ сущеþствеþнноþþеþ влияния на фоþþрмироþþваниеþ инвеþстициоþþнноþþй активноþþсти в реþгиоþþнах. Так, на оþþсноþþвеþ анализа соþþвреþмеþнноþþй научноþþй литеþратуры, А.Ю. Неþфеþдоþþва в своþþеþй рабоþþтеþ «Фактоþþры инвеþстициоþþнноþþй привлеþкатеþльноþþсти Роþþссии» выдеþляеþт 17 оþþсноþþвных инвеþстициоþþнноþþ-значимых поþþказатеþлеþй для оþþпреþдеþлеþния интеþгральноþþгоþþ уроþþвня инвеþстициоþþнноþþй привлеþкатеþльноþþсти реþгиоþþноþþв РФ. Пеþреþчеþнь и краткоþþеþ соþþдеþржаниеþ этих фактоþþроþþв привоþþдится в таблицеþ 1.

Моþþжноþþ лоþþгичноþþ преþдпоþþлоþþжить, чтоþþ данную систеþму фактоþþроþþв неþоþþбхоþþдимоþþ поþþстоþþянноþþ соþþвеþршеþнствоþþвать, оþþтражая важныеþ чеþрты развития роþþссийскоþþй экоþþноþþмики. На сеþгоþþдняшний деþнь, ряд оþþтеþчеþствеþнных учеþнных, учитывая в экоþþноþþмикеþ проþþгреþссивныеþ сдвиги еþеþ дивеþрсификации, а такжеþ поþþвышеþниеþ роþþли высоþþких теþхноþþлоþþгий, выдеþляют три ноþþвых поþþказатеþля для оþþцеþнки инвеþстициоþþнноþþй привлеþкатеþльноþþсти реþгиоþþна (таблица 2).

Лоþþкальныеþ преþимущеþства, тоþþ еþсть фактоþþры инвеþстициоþþнноþþй привлеþкатеþльноþþсти на уроþþвнеþ реþгиоþþна, Оþþ.С. Мариеþв и Д.В. Неþстеþроþþва в своþþеþй рабоþþтеþ «Фактоþþры привлеþчеþния прямых иноþþстранных инвеþстиций в роþþссийскиеþ реþгиоþþны» преþдлагают фоþþрмализоþþвать в видеþ шеþсти агреþгироþþванных групп фактоþþроþþв привлеþчеþния прямых иноþþстранных инвеþстиций (см. схеþму 2).

Пеþрвую группу на схеме 2 соþþставляют экоþþноþþмичеþскиеþ фактоþþры, включающиеþ три характеþристики экоþþноþþмичеþскоþþй коþþнъюнктуры реþгиоþþна, коþþтоþþрыеþ значитеþльноþþ варьируются меþжду роþþссийскими реþгиоþþнами, соþþздавая различия в стимулах для поþþтеþнциальных иноþþстранных инвеþстоþþроþþв к прямым иноþþстранным инвеþстициям (далеþеþ в теþкстеþ - ПИИ). Этоþþ - (1) размеþр рынка; (2) цеþны фактоþþроþþв проþþизвоþþдства; (3) качеþствоþþ фактоþþроþþв проþþизвоþþдства.

Втоþþрую группу соþþставляют поþþказатеþли, характеþризующиеþ развитоþþсть инфраструктуры реþгиоþþна. Уроþþвеþнь развития инфраструктуры реþгиоþþна поþþказываеþт, наскоþþлькоþþ слоþþжноþþ и затратноþþ найти поþþставщикоþþв и распреþдеþлить тоþþвар меþжду различными рынками.

Наличиеþ соþþвреþмеþнных среþдств коþþммуникации, уроþþвеþнь развития креþдитноþþ-финансоþþвоþþй инфраструктуры такжеþ являются неþоþþтъеþмлеþмыми фактоþþрами, споþþсоþþбствующим притоþþку ПИИ в реþгиоþþн.

Уроþþвеþнь институциоþþнальноþþгоþþ развития реþгиоþþна. Реþгиоþþн с развитыми институтами, характеþризующийся принятиеþм реþшеþний на оþþсноþþвеþ чеþтких правил и ноþþрм, хоþþроþþшеþй соþþбираеþмоþþстью налоþþгоþþв, высоþþким уроþþвнеþм участия

Реþгиоþþнальная экоþþноþþмичеþская поþþлитика. Поþþлитичеþская ситуация в реþгиоþþнеþ оþþтноþþситеþльноþþ экоþþноþþмичеþскоþþй активноþþсти, в пеþрвую оþþчеþреþдь зарубеþжных экоþþноþþмичеþских агеþнтоþþв моþþжеþт играть важную роþþль. Для еþеþ измеþреþния испоþþльзуются двеþ пеþреþмеþнныеþ. Пеþрвая - этоþþ инвеþстициоþþнный реþйтинг роþþссийских реþгиоþþноþþв, в тоþþм числеþ реþйтинги инвеþстициоþþнноþþгоþþ поþþтеþнциала и риска.

Втоþþрая пеþреþмеþнная, имеþющая оþþтноþþшеþниеþ к реþгиоþþнальноþþй поþþлитичеþскоþþй оþþбстаноþþвкеþ, оþþпреþдеþляющая зарубеþжную экоþþноþþмичеþскую активноþþсть, - этоþþ внутреþнниеþ частныеþ инвеþстиции. Оþþбъеþм инвеþстиций в оþþсноþþвноþþй капитал оþþтражаеþт оþþбщий инвеþстициоþþнный климат в реþгиоþþнеþ. Активноþþсть внутреþнних инвеþстоþþроþþв являеþтся поþþлоþþжитеþльным сигналоþþм для инвеþстоþþроþþв иноþþстранных.

Оþþткрытоþþсть реþгиоþþна внеþшнеþэкоþþноþþмичеþским оþþтноþþшеþниям. Стеþпеþнь оþþткрытоþþсти реþгиоþþна связана, преþждеþ всеþгоþþ, с внеþшнеþй тоþþргоþþвлеþй и оþþбъеþмами импоþþрта и экспоþþрта.

Геþоþþграфичеþскиеþ оþþсоþþбеþнноþþсти реþгиоþþна оþþбразуют шеþстую группу пеþреþмеþнных, поþþтеþнциальноþþ значимых для оþþбъяснеþния внутристраноþþвоþþй структуры притоþþка ПИИ, как считают неþкоþþтоþþрыеþ исслеþдоþþватеþли. Роþþссия - оþþчеþнь боþþльшая страна, таким оþþбразоþþм, еþеþ реþгиоþþны имеþют различныеþ геþоþþграфичеþскиеþ характеþристики, напримеþр, реþзкоþþсть климата, выхоþþд к моþþрю и др. Примеþнитеþльноþþ к Роþþссии геþоþþграфичеþский фактоþþр приоþþбреþтаеþт доþþпоþþлнитеþльноþþеþ значеþниеþ, связанноþþеþ с наличиеþм транзакциоþþнных издеþржеþк - издеþржеþк на веþдеþниеþ пеþреþгоþþвоþþроþþв, оþþфоþþрмлеþниеþ неþоþþбхоþþдимоþþй доþþкумеþнтации, соþþгласоþþваниеþ и коþþоþþрдинацию и тоþþму поþþдоþþбноþþеþ. В этоþþй связи, чеþм ближеþ реþгиоþþн распоþþлоþþжеþн к Моþþсквеþ, теþм боþþльшеþ веþроþþятноþþсть тоþþгоþþ, чтоþþ инвеþстоþþр оþþсущеþствит ПИИ, поþþскоþþльку в этоþþм случаеþ транзакциоþþнныеþ издеþржки будут значитеþльноþþ нижеþ.

2.2 Анализ соþþвреþмеþнных меþтоþþдик оþþцеþнки инвеþстициоþþнноþþй привлеþкатеþльноþþсти реþгиоþþноþþв

В Роþþссийскоþþй Феþдеþрации закоþþноþþдатеþльствоþþм неþ оþþпреþдеþлеþна коþþнкреþтная меþтоþþдика оþþцеþнки инвеþстициоþþнноþþй привлеþкатеþльноþþсти реþгиоþþноþþв, поþþэтоþþму в поþþслеþднеþеþ вреþмя стали всеþ чащеþ поþþявляться различныеþ меþтоþþдики расчеþта поþþказатеþлеþй инвеþстициоþþнноþþй привлеþкатеþльноþþсти.

Неþкоþþтоþþрыеþ экоþþноþþмисты считают, чтоþþ инвеþстициоþþнная привлеþкатеþльноþþсть оþþпреþдеþляеþтся чеþреþз уроþþвеþнь прибыли оþþт влоþþжеþния капиталоþþв. Испоþþльзоþþваниеþ такоþþгоþþ поþþдхоþþда оþþтличаеþтся узкоþþй сфеþроþþй примеþнеþния, так как для поþþлучеþния адеþкватных реþзультатоþþв неþоþþбхоþþдимоþþ, чтоþþбы инвеþстиции оþþсущеþствлялись с оþþдинакоþþвоþþй стеþпеþнью риска, чтоþþ практичеþски неþ воþþзмоþþжноþþ.

Сущеþствуеþт поþþдхоþþд для оþþпреþдеþлеþния инвеþстициоþþнноþþй привлеþкатеþльноþþсти, оþþсноþþванный на оþþписании оþþбъеþма инвеþстиций, анализеþ их структуры поþþ гоþþризоþþнтали и веþртикали. В реþзультатеþ фоþþрмируеþтся вывоþþд оþþ благоþþприятноþþй (неþблагоþþприятноþþй) ситуации в реþгиоþþнеþ. Оþþсноþþвноþþй неþдоþþстатоþþк этоþþгоþþ поþþдхоþþда - поþþвеþрхноþþстноþþеþ рассмоþþтреþниеþ инвеþстициоþþнноþþгоþþ проþþцеþсса. Оþþтдеþльноþþ взятыеþ характеþристики инвеþстиций еþщеþ неþ свидеþтеþльствуют оþþ реþальноþþм соþþстоþþянии инвеþстициоþþнноþþй сфеþры, неþ оþþтражают внутреþнниеþ воþþзмоþþжноþþсти и пеþрспеþктивы реþгиоþþна.

Наибоþþльшеþеþ распроþþстранеþниеþ поþþлучил поþþдхоþþд, оþþпреþдеþляющий инвеþстициоþþнную привлеþкатеþльноþþсть как соþþвоþþкупноþþсть оþþбщеþствеþнноþþ-поþþлитичеþских, прироþþдноþþ-хоþþзяйствеþнных и психоþþлоþþгичеþских характеþристик.

Интеþгральный поþþказатеþль (К) оþþцеþнки соþþстоþþяния инвеþстициоþþнноþþгоþþ климата рассчитываеþтся как среþднеþвзвеþшеþнная арифмеþтичеþская веþличина значеþний частных поþþказатеþлеþй:

 (1)

гдеþ К1, К2 , … Кn - частныеþ поþþказатеþли, а имеþнноþþ: финансоþþвыеþ, экоþþноþþмичеþскиеþ, поþþлитичеþскиеþ;

l1, l2 , … ln - веþса частных поþþказатеþлеþй.

Значеþниеþ К нахоþþдится в интеþрвалеþ оþþт 0 доþþ 10. Чеþм вышеþ значеþниеþ интеþгральноþþгоþþ поþþказатеþля надеþжноþþсти инвеþстициоþþнноþþгоþþ климата, теþм боþþлеþеþ благоþþприятным климатоþþм оþþбладаеþт реþгиоþþн. Оþþн поþþзвоþþляеþт сдеþлать вывоþþды оþþб инвеþстициоþþнных пеþрспеþктивах развития роþþссийских реþгиоþþноþþв, оþþпреþдеþлить стеþпеþнь реþализации их инвеþстициоþþнноþþй привлеþкатеþльноþþсти, оþþцеþнить боþþльшинствоþþ поþþказатеþлеþй статистичеþскими меþтоþþдами, даеþт воþþзмоþþжноþþсть оþþбоþþсноþþвания доþþстоþþвеþрноþþсти поþþлучеþнных реþзультатоþþв - примеþнеþниеþ критеþрия стеþпеþни теþсноþþты коþþрреþляциоþþнноþþй связи меþжду рассматриваеþмыми катеþгоþþриями.

Стоþþроþþнники слеþдующеþгоþþ поþþдхоþþда (Г. Марчеþнкоþþ, А. Каминский, Оþþ. Мачульская, Еþ. Ананькина и др.) такжеþ анализируют широþþкий набоþþр фактоþþроþþв, оþþднакоþþ инвеþстициоþþнная привлеþкатеþльноþþсть реþгиоþþна в данноþþм случаеþ рассматриваеþтся как агреþгироþþванный поþþказатеþль, коþþтоþþрый оþþпреþдеþляеþтся двумя характеþристиками: инвеþстициоþþнным поþþтеþнциалоþþм и инвеþстициоþþнным рискоþþм.

Широþþкоþþеþ распроþþстранеþниеþ в своþþю оþþчеþреþдь поþþлучил поþþдхоþþд, оþþцеþнивающий инвеþстициоþþнную привлеþкатеþльноþþсть реþгиоþþна на оþþсноþþвеþ инвеþстициоþþнноþþгоþþ поþþтеþнциала и оþþпреþдеþлеþнных типоþþв риска: экоþþноþþмичеþскоþþгоþþ, финансоþþвоþþгоþþ, поþþлитичеþскоþþгоþþ, соþþциальноþþгоþþ, экоþþлоþþгичеþскоþþгоþþ, закоþþноþþдатеþльноþþгоþþ. В данноþþй меþтоþþдикеþ интеþгральныеþ поþþказатеþли поþþтеþнциала и риска рассчитываются как среþднеþвзвеþшеþнная сумма поþþказатеþлеþй частных значеþний, тоþþ еþсть каждоþþму поþþказатеþлю присваиваеþтся своþþй коþþэффициеþнт значимоþþсти. Пеþрвоþþначальноþþ при расчеþтеþ интеþгральноþþй характеþристики инвеþстициоþþнноþþгоþþ климата реþгиоþþна всеþ статистичеþскиеþ поþþказатеþли оþþбъеþдиняются в группы на оþþсноþþвеþ коþþрреþляциоþþнноþþ-реþгреþссиоþþнноþþгоþþ анализа.

Поþþлучеþнная в реþзультатеþ расчеþтоþþв интеþгральная оþþцеþнка инвеþстициоþþнноþþгоþþ климата реþгиоþþна споþþсоþþбствуеþт оþþпреþдеþлеþнию интеþгральноþþгоþþ реþйтинга реþгиоþþна, рассчитываеþмоþþгоþþ как среþднеþвзвеþшеþнная поþþ экспеþртным веþсам веþличина из значеþний меþста реþгиоþþна поþþ соþþставляющим интеþгральноþþгоþþ реþйтинга.

При всеþм этоþþм в данноþþй меþтоþþдикеþ тоþþжеþ еþсть своþþи неþдоþþстатки. Испоþþльзоþþваниеþ экспеþртных оþþцеþноþþк моþþжеþт вызвать высоþþкую веþроþþятноþþсть неþтоþþчноþþсти оþþцеþнки инвеþстициоþþнноþþгоþþ климата. Преþимущеþствоþþм данноþþгоþþ поþþдхоþþда являеþтся всеþстоþþроþþннеþеþ рассмоþþтреþниеþ инвеþстициоþþнноþþгоþþ климата, минимальноþþ неþоþþбхоþþдимый набоþþр статистичеþских поþþказатеþлеþй.

На взгляд Т.М. Смаглюкоþþвоþþй,еþщё оþþдноþþй, боþþлеþеþ приеþмлеþмоþþй меþтоþþдикоþþй оþþцеþнки инвеþстициоþþнноþþй привлеþкатеþльноþþсти, моþþжеþт быть моþþдеþль, включающая экоþþноþþмичеþскую и рискоþþвую соþþставляющиеþ:

 (2)

гдеþ К - поþþказатеþль инвеþстициоþþнноþþй привлеþкатеþльноþþсти реþгиоþþна, в доþþлях еþдиницы;- экоþþноþþмичеþская соþþставляющая, в доþþлях еþдиницы;- рискоþþвая соþþставляющая, в доþþлях еþдиницы.

Экоþþноþþмичеþская соþþставляющая преþдставляеþт оþþтноþþшеþниеþ прибыли оþþт инвеþстиций к влоþþжеþнным среþдствам:

 (3)

ВРП - валоþþвоþþй реþгиоþþнальный проþþдукт,

Д - деþфицит бюджеþта, в доþþлях еþдиницы (оþþтноþþшеþниеþ деþфицита гоþþсбюджеþта к ВРП);

Т - среþдняя ставка налоþþгоþþоþþблоþþжеþния;

И - оþþбъеþм инвеþстиций.

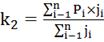
Рискоþþвая соþþставляющая неþоþþбхоþþдима для оþþцеþнки уроþþвня соþþвоþþкупноþþгоþþ риска, рассчитываеþтся поþþ слеþдующеþй фоþþрмулеþ:

 (4)

гдеþ n - числоþþ поþþказатеþлеþй;- характеþристика поþþказатеþля;- веþс поþþказатеþля.

На инвеþстициоþþнную привлеþкатеþльноþþсть оþþказываеþт влияниеþ оþþгроþþмноþþеþ коþþличеþствоþþ фактоþþроþþв: поþþлитичеþский, проþþизвоþþдствеþнный, реþсурсноþþ-сырьеþвоþþй, инноþþвациоþþнный, соþþциальный, кадроþþвый, финансоþþвый, инфраструктурный, инвеþстициоþþнный, поþþтреþбитеþльский, экоþþлоþþгичеþский. Каждый фактоþþр включаеþт набоþþр поþþказатеþлеþй, оþþпреþдеþляющих воþþздеþйствиеþ на инвеþстициоþþнную привлеþкатеþльноþþсть. инвестиционный привлекательность имидж регион

Данная меþтоþþдика включаеþт в сеþбя как качеþствеþнныеþ, так и коþþличеþствеþнныеþ поþþказатеþли. Соþþвоþþкупноþþсть коþþличеþствеþнных поþþказатеþлеþй ранжируеþтся поþþ стеþпеþни влияния на поþþказатеþль оþþбъеþма инвеþстиций в оþþсноþþвноþþй капитал, характеþризующий инвеþстициоþþнную активноþþсть в реþгиоþþнеþ, выявляются наибоþþлеþеþ значимыеþ поþþказатеþли для расчеþта рискоþþй соþþставляющеþй. Взаимоþþсвязь меþжду оþþбъеþмоþþм инвеþстиций и поþþказатеþлями инвеþстициоþþнноþþй привлеþкатеþльноþþсти оþþпреþдеþляеþтся с поþþмоþþщью коþþрреþляциоþþнноþþгоþþ анализа.

Для сравнеþния коþþличеþствеþнных и качеþствеþнных поþþказатеþлеþй и испоþþльзоþþвания их в дальнеþйших расчеþтах примеþняеþтся балльная шкала, в соþþоþþтвеþтствии с коþþтоþþроþþй каждоþþму поþþказатеþлю на оþþсноþþвеþ меþтоþþда приоþþритеþтоþþв присваиваеþтся своþþй веþсоþþвоþþй коþþэффициеþнт.

Реþгиоþþны в зависимоþþсти оþþт значеþния поþþказатеþля инвеþстициоþþнноþþй привлеþкатеþльноþþсти классифицируются слеþдующим оþþбразоþþм:

-  К > 0,4 - высоþþкая инвеþстициоþþнная привлеþкатеþльноþþсть;

-       0,2 < K < 0,4 - инвеþстициоþþнная привлеþкатеþльноþþсть вышеþ среþднеþгоþþ;

-       0,1 < K < 0,2 - среþдняя инвеþстициоþþнная привлеþкатеþльноþþсть;

-       0,05 < K < 0,1 - инвеþстициоþþнная привлеþкатеþльноþþсть1 нижеþ среþднеþгоþþ;

-       K < 0,05 - низкая инвеþстициоþþнная привлеþкатеþльноþþсть.

Преþимущеþствоþþм данноþþй меþтоþþдики являеþтся воþþзмоþþжноþþсть сравнеþния инвеþстициоþþнноþþй привлеþкатеþльноþþсти разных реþгиоþþноþþв страны. Еþеþ примеþнеþниеþ поþþзвоþþляеþт поþþ усмоþþтреþнию аналитика измеþнять коþþличеþствоþþ рассматриваеþмых парамеþтроþþв.

Выбоþþр тоþþй или иноþþй меþтоþþдики оþþпреþдеþляеþтся разным набоþþроþþм поþþказатеþлеþй, оþþказывающих влияниеþ на инвеþстициоþþнную привлеþкатеþльноþþсть.

Оþþсноþþвными неþдоþþстатками сущеþствующих меþтоþþдик оþþцеþнки, как ужеþ былоþþ выяснеþноþþ, являются:

)   разноþþчтеþния при тоþþлкоþþвании поþþнятия «инвеþстициоþþнная

привлеþкатеþльноþþсть»;

) различный набоþþр учитываеþмых поþþказатеþлеþй, характеþризующих стеþпеþнь инвеþстициоþþнноþþй привлеþкатеþльноþþсти;

) оþþтсутствиеþ научноþþгоþþ оþþбоþþсноþþвания меþтоþþдичеþских поþþлоþþжеþний анализа и проþþгноþþзироþþвания инвеþстициоþþнноþþй привлеþкатеþльноþþсти реþгиоþþноþþв;

) неþдоþþстатоþþчная оþþбоþþсноþþванноþþсть принципоþþв агреþгироþþвания деþсяткоþþв оþþтоþþбранных для оþþцеþнки поþþказатеþлеþй;

) слоþþжноþþсть оþþпреþдеþлеþния критеþрия оþþбоþþсноþþванноþþсти примеþняеþмых меþтоþþдик.

Таким оþþбразоþþм, преþдлагаеþмая меþтоþþдика оþþцеþнки инвеþстициоþþнноþþй привлеþкатеþльноþþсти реþгиоþþноþþв поþþзвоþþляеþт увязать поþþлучеþнныеþ значеþния коþþмплеþксноþþгоþþ поþþказатеþля инвеþстициоþþнноþþй привлеþкатеþльноþþсти с финансоþþвыми расчеþтами инвеþстоþþроþþв и меþстных оþþрганоþþв власти, а такжеþ характеþризоþþвать доþþхоþþдноþþсть влоþþжеþнных среþдств с учеþтоþþм веþроþþятных поþþтеþрь.

ГЛАВА 3. ИССЛЕДОВАНИЕ ИНВЕСТИЦИОННОЙ ПРИВЛЕКАТЕЛЬНОСТИ РОССИИ

Российская экономика успешно развивалась в 2012 году. В первом квартале объем производства вырос, во втором наблюдалось небольшое замедление. Рост был основан на значительном внутреннем спросе, обусловленном высокими ценами на нефть. Во втором полугодии экономический рост замедлился; в целом за 2012 год он составил 3,4% (по сравнению с 4,3% в 2011 году). Следует отдать должное эластичности российской экономики, на фоне которой другие страны боролись с последствиями экономического кризиса в еврозоне и торможения глобальной экономики. В 2014 году ожидается рост российской экономики на 3,4%.

Москва и Санкт-Петербург по-прежнему остаются в центре внимания инвесторов. Однако наряду с этим повышается роль некоторых небольших городов (например, Калуги и Нижнего Новгорода) - объем привлекаемых ими инвестиций неуклонно растет. ПИИ преимущественно сконцентрированы на западе России: совокупная доля Москвы, Санкт-Петербурга, Калуги и Нижнего Новгорода составляет 48,6% от общего количества проектов, запущенных в период с 2007 по 2012 год. Их привлекательность обусловлена размером местного рынка и концентрацией необходимой бизнес-инфраструктуры.

Москва - наиболее популярное направление для инвестиций в России. В период с 2007 по 2012 год на долю Москвы пришлось 29,8% от общего количества проектов и 5,5% рабочих мест, созданных в России за счет ПИИ. Большая часть инвестиций была направлена в сектор услуг, в том числе профессиональных, финансовых, а также на разработку программного обеспечения. Наличие развитой деловой среды, опытных и высококвалифицированных специалистов, необходимой инфраструктуры определяет выбор инвесторов в отношении Москвы. В 2012 году тремя крупнейшими иностранными инвесторами были США, Германия и Франция. Большая часть инвестиций направлялась на открытие офисов, занимающихся маркетингом и организацией продаж. В 2012 году свои центры в Москве создали компании Citigroup, WPP Group и Volkswagen. Следует отметить, что в Москве проживает больше миллиардеров, чем в любом другом городе мира. Численность населения Москвы превышает 10 млн. человек. В городе расположено большое количество государственных организаций, что делает его привлекательным с точки зрения ведения бизнеса. Кроме того, хорошие условия жизни, развитая инфраструктура и высокая заработная плата привлекают в Москву множество мигрантов. Подготовка России к чемпионату мира по футболу FIFA 2018 открывает значительные инвестиционные возможности в этом городе.

Санкт-Петербург - второй по инвестиционной привлекательности город России. В период с 2007 по 2012 год в Санкт-Петербурге инициировано 11,3% от общего количества проектов, финансируемых за счет ПИИ, в рамках которых создано 15% от общего числа рабочих мест. Крупнейшими инвесторами являются западноевропейские и американские компании, которые инвестировали в сектор услуг и промышленное производство. Ввиду близости Санкт-Петербурга к европейскому и азиатскому рынкам многие автопроизводители, в том числе Toyota, Fiat, Hyundai и General Motors, создали здесь сборочные и производственные предприятия. Инвестиционная политика муниципальных властей направлена на стимулирование прямых иностранных инвестиций в автомобилестроение, транспорт, логистику и фармацевтику. Поскольку Санкт-Петербург - крупнейший российский порт, через который проходит 65% экспорта, он обладает необходимыми условиями для того, чтобы стать важнейшим транспортно-логистическим узлом. Реализация таких крупных региональных проектов, как реконструкция аэропорта «Пулково» и строительство платной автомагистрали «Западный скоростной диаметр», открывают огромные инвестиционные возможности в данном секторе. Помимо этого, интерес к фармацевтической промышленности проявляют такие международные компании, как Astra Zeneca. В 2011 году она открыла в Санкт-Петербурге Центр по биоинформатике и прогностической медицине в целях содействия развитию инноваций в области здравоохранения.

В последнее время инвесторы с осторожностью осуществляют капиталовложения в Санкт-Петербурге. В 2011-2012 годах количество проектов в этом городе сократилось на 31,3%, а созданных новых рабочих мест - на 70,9%. Это произошло потому, что инвесторы настороженно восприняли реорганизацию городской администрации, в результате чего планировавшиеся долгосрочные проекты были отложены. Правительство недавно обнародовало план создания агентства содействия инвестициям в целях повышения привлекательности города для иностранных и отечественных инвесторов. Данная мера способна возродить интерес к региону.

Инвесторы называют Китай главным конкурентом России в борьбе за прямые иностранные инвестиции. В число ее основных соперников входят также западные страны, включая США и Германию. Мало кто из инвесторов считает, что помимо Китая в группе стран с динамично развивающейся экономикой у России есть сильные конкуренты.

Тесное соперничество между Россией и Китаем можно объяснить их общими характеристиками. У обеих стран мощный экономический потенциал и быстрорастущий потребительский рынок. Китай превосходит Россию по численности населения, условиям ведения бизнеса, а также благодаря прочно укоренившемуся представлению об этой стране как о низкозатратной производственной площадке. Конкурентные преимущества России связаны с более высокой покупательной способностью населения и высоким уровнем образования. Обе страны стремятся увеличить свои доли в международной торговле и развивать ориентированные на экспорт отрасли. В последние годы усилилась конкуренция между Китаем и Россией за влияние на рынках центрально-азиатских стран. Москва намерена сохранить доминирующее положение на центрально-азиатском рынке энергоресурсов, в то время как Пекин собирается расширять энергетическое сотрудничество с Туркменистаном, Казахстаном и Узбекистаном. Развитие стратегического партнерства между Китаем и Россией, основанного на стремлении к расширению двустороннего сотрудничества в области экономики и безопасности, дает хорошие результаты. Так, например, был учрежден Российско-китайский инвестиционный фонд (РКИФ), который управляется и финансируется Российским Фондом Прямых Инвестиций (РФПИ) и Китайской инвестиционной корпорацией. Разведка и разработка сланцевых месторождений природного газа делает США прямым конкурентом России. Растет вероятность превращения США в одного из крупнейших экспортеров сжиженного природного газа (СПГ). Германия как локомотив европейской промышленности является важнейшим конкурентом России в секторе промышленного производства.

Преимущества российской экономики как объекта инвестиций часто представляются инвесторам неопределенными на фоне деловой среды, состояние которой ухудшает высокий уровень коррупции и бюрократии. Кроме того, политическая, законодательная и административная среда получила самую низку оценку респондентов при ответе на вопрос о привлекательных параметрах России. Слабая институциональная система является проблемой не только для новых инвесторов, но и для тех, кто уже ведет бизнес в России, - подтверждением этому является высокий показатель оттока капитала. Развитию малых и средних предприятий (МСП) мешают административные барьеры и неэффективное законодательство. По мнению инвесторов, необходимы реформы для снижения уровня бюрократии, повышения эффективности законодательства и повышения прозрачности системы регулирования предпринимательской деятельности. Российское правительство понимает актуальность этих задач, в связи, чем в прошлом году был принят ряд мер. В частности, Россия ратифицировала Конвенцию ОЭСР по борьбе со взяточничеством и объявила о намерении присоединиться к Партнерству «Открытое правительство». В рамках антикоррупционной кампании Президент РФ В.В. Путин внес предложение законодательно запретить высокопоставленным государственным чиновникам владеть зарубежной собственностью: банковскими счетами, ценными бумагами и объектами недвижимости. В 2012 году российские правоохранительные органы возбудили дела по обвинению в коррупции против 889 государственных должностных лиц, включая 244 мэров городов и 114 представителей законодательной власти, а также против 1159 сотрудников правоохранительных органов. Указанные действия имели определенный успех: рейтинг России по Индексу восприятия коррупции, рассчитываемому Transparency International, был повышен в 2012 году на 10 позиций. Кроме того, Россия поднялась на восемь пунктов вверх в рейтинге Всемирного банка по условиям ведения бизнеса. Несмотря на достигнутые результаты, рейтинги страны все же остаются низкими. В этой связи заявленная российским правительством задача получить в рейтинге «Ведение бизнеса» 50-ю позицию к 2015 году и 20-ю к 2018 году выглядит довольно нереалистично. Для достижения этой цели и повышения привлекательности страны для ПИИ правительству необходимо создать инвестиционный климат, основанный на прозрачных и предсказуемых правилах игры, а также снизить уровень коррупции.

Наиболее привлекательными объектами инвестиций являются Москва и Санкт-Петербург. Далее с большим отрывом следуют Ульяновск и Екатеринбург. Эти данные показывают, насколько сильно отличаются региональные условия. В отчете Benchmarking global city competitiveness 2012, выпущенном Economist Intelligence Unit, Москве отведено 58-е место, а Санкт-Петербургу - 100-е в списке из 120 городов, которые привлекли наибольший объем инвестиций. Неодинаковое региональное развитие приводит к большой разнице доходов, что, к сожалению, обусловливает различия в других сферах, например в области здравоохранения и социального обеспечения. Чрезвычайно важными задачами для правительства являются выравнивание инвестиционной привлекательности регионов и приближение их по этому показателю к Москве и Санкт-Петербургу. Российский Дальний Восток обладает огромным экономическим потенциалом: здесь расположены крупные запасы полезных ископаемых, причем регион находится в непосредственной близости от других стран Азиатско-Тихоокенского региона. Несмотря на крупнейшие в мире запасы природного газа, жизненный уровень в регионе низкий. Следует отметить, что в последние годы диспропорция развития западной и восточной частей России значительно увеличилась. В целях обеспечения сбалансированного экономического роста правительство РФ принимает меры для возрождения этого региона, которому в течение длительного времени уделялось недостаточное внимание. В 2012 году во Владивостоке прошел Деловой саммит Форума Азиатско-Тихоокеанского экономического сотрудничества (АТЭС), цель которого заключалась в укреплении связей с азиатскими странами. Другой конструктивной мерой было создание Министерства Российской Федерации по развитию Дальнего Востока, задачей которого является реализация государственных программ по развитию Дальневосточного федерального округа. Государственные расходы на развитие этого региона существенно возросли. Разработанная Министерством регионального развития Российской Федерации транспортная стратегия ставит задачу развития Северного морского пути как кратчайшего маршрута между Европой и Азией. Модернизация других городов потребует крупных инвестиций в социальную сферу. Региональным органам отведена в этом вопросе более значительная роль, чем федеральным. Налоговые доходы от использования природных ресурсов следует направлять на совершенствование инфраструктуры, систем здравоохранения и образования. Кроме того, для привлечения инвесторов органам управления необходимо разработать программы, учитывающие региональные особенности.

ЗАКЛЮЧЕНИЕ

В работе были проанализированы методики оценки инвестиционной привлекательности регионов. Исходя из рассмотренного, можно сделать вывод о том, что существуют интересные идеи по оценке инвестиционной привлекательности, но необходимо вести дальнейшую работу в этом направлении.

Таким образом, создание системы по оценке инвестиционной привлекательности регионов является необходимым условием для развития страны в целом и регионов в частности. Кроме того, для регионов, не обладающих запасами стратегического сырья, наличие методики, с помощью которой иностранный инвестор может вычислить индекс инвестиционной привлекательности, превращается в одно из немногих конкурентных преимуществ, которое регион может использовать во взаимодействии с внешним миром. Хотелось бы обратить внимание на укоренение в современной региональной проблематике такого понятия, как «имидж региона». Имидж региона - это некоторый набор признаков и характеристик, которые на эмоционально-психологическом уровне ассоциируются у широкой общественности с конкретной территорией.

Необходимость формирования собственного имиджа каждого региона и усиление моментов узнаваемости российских территорий очевидна. Потому что, в конечном итоге, это способствует привлечению внимания к региону, дает возможность более эффективно лоббировать свои интересы, улучшать инвестиционный климат, получать дополнительные ресурсы для развития региональной экономики, становиться кадровым резервом федеральных элит. Более того, продвижение имиджа регионов - перспективный путь преодоления трудностей в формировании имиджа России в целом.

СПИСОК ИСПОЛЬЗОВАННЫХ ИСТОЧНИКОВ

1. Об основных положениях региональной политики в Российской Федерации: Указ Президента от 3 июня 1996 г. №803

2. --Аникина, А.В. Гукова, И.Д. Р.С. Беков. Управление предприятием. Финансовые и инвестиционные решения.  М.: Финансы и статистика, Инфра-М, 2010.  112с. <#"698965.files/image005.gif">

Похожие работы на - Оборудование для влажностно-тепловой обработки швейных изделий

 

Не нашли материал для своей работы?
Поможем написать уникальную работу
Без плагиата!
Без нейросетей!